高等数学练习试题库及答案复习过程
- 格式:doc
- 大小:495.00 KB
- 文档页数:23
《高等数学》练习测试题库及答案一.选择题1.函数y=112+x 是( ) A.偶函数 B.奇函数 C 单调函数 D 无界函数2.设f(sin 2x )=cosx+1,则f(x)为( ) A 2x 2-2 B 2-2x 2 C 1+x 2 D 1-x 23.下列数列为单调递增数列的有( )A .0.9 ,0.99,0.999,0.9999B .23,32,45,54 C .{f(n)},其中f(n)=⎪⎩⎪⎨⎧-+为偶数,为奇数n nn n n n 1,1 D. {n n 212+} 4.数列有界是数列收敛的( )A .充分条件 B. 必要条件C.充要条件 D 既非充分也非必要5.下列命题正确的是( )A .发散数列必无界B .两无界数列之和必无界C .两发散数列之和必发散D .两收敛数列之和必收敛6.=--→1)1sin(lim 21x x x ( ) A.1 B.0 C.2 D.1/27.设=+∞→x x xk )1(lim e 6 则k=( ) A.1 B.2 C.6 D.1/68.当x →1时,下列与无穷小(x-1)等价的无穷小是( )A.x 2-1B. x 3-1C.(x-1)2D.sin(x-1)9.f(x)在点x=x 0处有定义是f(x)在x=x 0处连续的( )A.必要条件B.充分条件C.充分必要条件D.无关条件10、当|x|<1时,y= ( )A 、是连续的B 、无界函数C 、有最大值与最小值D 、无最小值11、设函数f(x)=(1-x)cotx要使f(x)在点:x=0连续,则应补充定义f(0)为()A、B、e C、-e D、-e-112、下列有跳跃间断点x=0的函数为()A、 xarctan1/xB、arctan1/xC、tan1/xD、cos1/x13、设f(x)在点x0连续,g(x)在点x不连续,则下列结论成立是()A、f(x)+g(x)在点x必不连续B、f(x)×g(x)在点x必不连续须有C、复合函数f[g(x)]在点x必不连续D、在点x0必不连续在区间(- ∞,+ ∞)上连续,且f(x)=0,则a,b满足14、设f(x)=()A、a>0,b>0B、a>0,b<0C、a<0,b>0D、a<0,b<015、若函数f(x)在点x0连续,则下列复合函数在x也连续的有()A、 B、C、tan[f(x)]D、f[f(x)]16、函数f(x)=tanx能取最小最大值的区间是下列区间中的()A、[0,л]B、(0,л)C、[-л/4,л/4]D、(-л/4,л/4)17、在闭区间[a ,b]上连续是函数f(x)有界的()A、充分条件B、必要条件C、充要条件D、无关条件18、f(a)f(b) <0是在[a,b]上连续的函f(x)数在(a,b)内取零值的()A、充分条件B、必要条件C、充要条件D、无关条件19、下列函数中能在区间(0,1)内取零值的有()A、f(x)=x+1B、f(x)=x-1C、f(x)=x2-1D、f(x)=5x4-4x+120、曲线y=x2在x=1处的切线斜率为()A、k=0B、k=1C、k=2D、-1/221、若直线y=x与对数曲线y=logax相切,则()A、eB、1/eC、e xD、e1/e22、曲线y=lnx平行于直线x-y+1=0的法线方程是()A、x-y-1=0B、x-y+3e-2=0C、x-y-3e-2=0D、-x-y+3e-2=023、设直线y=x+a与曲线y=2arctanx相切,则a=()A、±1B、±л/2C、±(л/2+1)D、±(л/2-1)24、设f(x)为可导的奇函数,且f`(x0)=a,则f`(-x)=()A、aB、-aC、|a|D、025、设y=㏑,则y’|x=0=()A、-1/2B、1/2C、-1D、026、设y=(cos)sinx,则y’|x=0=()A、-1B、0C、1D、不存在27、设yf(x)= ㏑(1+X),y=f[f(x)],则y’|x=0=()A、0B、1/ ㏑2C、1D、㏑228、已知y=sinx,则y(10)=()A、sinxB、cosxC、-sinxD、-cosx29、已知y=x㏑x,则y(10)=()A、-1/x9B、1/ x9C、8.1/x9D、 -8.1/x930、若函数f(x)=xsin|x|,则()A、f``(0)不存在B、f``(0)=0C、f``(0) =∞D、 f``(0)= л31、设函数y=yf(x)在[0,л]内由方程x+cos(x+y)=0所确定,则|dy/dx|x=0=()A 、-1B 、0C 、л/2D 、 232、圆x2cos θ,y=2sin θ上相应于θ=л/4处的切线斜率,K=( )A 、-1B 、0C 、1D 、 233、函数f(x)在点x 0连续是函数f(x)在x 0可微的( )A 、充分条件B 、必要条件C 、充要条件D 、无关条件34、函数f(x)在点x 0可导是函数f(x)在x 0可微的( )A 、充分条件B 、必要条件C 、充要条件D 、无关条件35、函数f(x)=|x|在x=0的微分是( )A 、0B 、-dxC 、dxD 、 不存在36、极限)ln 11(lim 1xx x x --→的未定式类型是( )A 、0/0型B 、∞/∞型C 、∞ -∞D 、∞型37、极限 012)sin lim(→x x x x 的未定式类型是( ) A 、00型 B 、0/0型 C 、1∞型 D 、∞0型 38、极限 x x x x sin 1sinlim 20→=( )A 、0B 、1C 、2D 、不存在39、x x 0时,n 阶泰勒公式的余项Rn(x)是较x x 0 的( )A 、(n+1)阶无穷小B 、n 阶无穷小C 、同阶无穷小D 、高阶无穷小40、若函数f(x)在[0, +∞]内可导,且f`(x) >0,xf(0) <0则f(x)在[0,+ ∞]内有( )A 、唯一的零点B 、至少存在有一个零点C 、没有零点D 、不能确定有无零点41、曲线y=x2-4x+3的顶点处的曲率为()A、2B、1/2C、1D、042、抛物线y=4x-x2在它的顶点处的曲率半径为()A、0B、1/2C、1D、243、若函数f(x)在(a,b)内存在原函数,则原函数有()A、一个B、两个C、无穷多个D、都不对44、若∫f(x)dx=2e x/2+C=()A、2e x/2B、4 e x/2C、e x/2 +CD、e x/245、∫xe-x dx =( D )A、xe-x -e-x +CB、-xe-x+e-x +CC、xe-x +e-x +CD、-xe-x -e-x +C46、设P(X)为多项式,为自然数,则∫P(x)(x-1)-n dx()A、不含有对数函数B、含有反三角函数C、一定是初等函数D、一定是有理函数0|3x+1|dx=()47、∫-1A、5/6B、1/2C、-1/2D、148、两椭圆曲线x2/4+y2=1及(x-1)2/9+y2/4=1之间所围的平面图形面积等于()A、лB、2лC、4лD、6л49、曲线y=x2-2x与x轴所围平面图形绕轴旋转而成的旋转体体积是()A、лB、6л/15C、16л/15D、32л/1550、点(1,0,-1)与(0,-1,1)之间的距离为()A、 B、2 C、31/2 D、 21/251、设曲面方程(P,Q)则用下列平面去截曲面,截线为抛物线的平面是()A、Z=4B、Z=0C、Z=-2D、x=252、平面x=a截曲面x2/a2+y2/b2-z2/c2=1所得截线为()A、椭圆B、双曲线C、抛物线D、两相交直线53、方程=0所表示的图形为()A 、原点(0,0,0)B 、三坐标轴C 、三坐标轴D 、曲面,但不可能为平面54、方程3x 2+3y 2-z 2=0表示旋转曲面,它的旋转轴是( )A 、X 轴B 、Y 轴C 、Z 轴D 、任一条直线55、方程3x 2-y 2-2z 2=1所确定的曲面是( )A 、双叶双曲面B 、单叶双曲面C 、椭圆抛物面D 、圆锥曲面 56下列命题正确的是( )A 、发散数列必无界B 、两无界数列之和必无界C 、两发散数列之和必发散D 、两收敛数列之和必收敛57.f(x)在点x=x 0处有定义是f(x)在x=x 0处连续的( )A 、.必要条件B 、充分条件C 、充分必要条件D 、无关条件58函数f(x)=tanx 能取最小最大值的区间是下列区间中的( )A 、[0,л]B 、(0,л)C 、[-л/4,л/4]D 、(-л/4,л/4)59下列函数中能在区间(0,1)内取零值的有( )A 、f(x)=x+1B 、f(x)=x-1C 、f(x)=x 2-1D 、f(x)=5x 4-4x+160设y=(cos)sinx ,则y’|x=0=( )A 、-1B 、0C 、1D 、 不存在二、填空题1、求极限1lim -→x (x 2+2x+5)/(x 2+1)=( ) 2、求极限 0lim →x [(x 3-3x+1)/(x-4)+1]=( ) 3、求极限2lim →x x-2/(x+2)1/2=( ) 4、求极限∞→x lim [x/(x+1)]x=( ) 5、求极限0lim →x (1-x)1/x= ( ) 6、已知y=sinx-cosx ,求y`|x=л/6=( )7、已知ρ=ψsin ψ+cos ψ/2,求d ρ/d ψ| ψ=л/6=( )8、已知f(x)=3/5x+x 2/5,求f`(0)=( )9、设直线y=x+a 与曲线y=2arctanx 相切,则a=( )10、函数y=x 2-2x+3的极值是y(1)=( )11、函数y=2x 3极小值与极大值分别是( )12、函数y=x 2-2x-1的最小值为( )13、函数y=2x-5x 2的最大值为( )14、函数f(x)=x 2e -x 在[-1,1]上的最小值为( )15、点(0,1)是曲线y=ax 3+bx 2+c 的拐点,则有b=() c=( ) 16、∫xx 1/2dx= ( )17、若F`(x)=f(x),则∫dF(x)= ( )18、若∫f(x)dx =x 2e 2x +c ,则f(x)= ( )19、d/dx ∫a barctantdt =( )20、已知函数f(x)=⎪⎩⎪⎨⎧=≠⎰-0,0,022)1(1x a x x t dt e x 在点x=0连续,则a=( )21、∫02(x 2+1/x 4)dx =( )22、∫49 x 1/2(1+x 1/2)dx=( )23、∫031/2a dx/(a 2+x 2)=( )24、∫01 dx/(4-x 2)1/2=( )25、∫л/3лsin (л/3+x)dx=( )26、∫49x 1/2(1+x 1/2)dx=( )27、∫49 x 1/2(1+x 1/2)dx=( )28、∫49x 1/2(1+x 1/2)dx=( )29、∫49 x 1/2(1+x 1/2)dx=( )30、∫49x 1/2(1+x 1/2)dx=( )31、∫49 x1/2(1+x1/2)dx=()32、∫49 x1/2(1+x1/2)dx=()33、满足不等式|x-2|<1的X所在区间为( )34、设f(x) = [x] +1,则f(л+10)=()35、函数Y=|sinx|的周期是()36、y=sinx,y=cosx直线x=0,x=л/2所围成的面积是()37、y=3-2x-x2与x轴所围成图形的面积是()38、心形线r=a(1+cosθ)的全长为()39、三点(1,1,2),(-1,1,2),(0,0,2)构成的三角形为()40、一动点与两定点(2,3,1)和(4,5,6)等距离,则该点的轨迹方程是()41、求过点(3,0,-1),且与平面3x-7y+5z-12=0平行的平面方程是()42、求三平面x+3y+z=1,2x-y-z=0,-x+2y+2z=0的交点是( )43、求平行于xoz面且经过(2,-5,3)的平面方程是()44、通过Z轴和点(-3,1,-2)的平面方程是()45、平行于X轴且经过两点(4,0,-2)和(5,1,7)的平面方程是()46求极限lim [x/(x+1)]x=()x→∞47函数y=x2-2x+3的极值是y(1)=()9 x1/2(1+x1/2)dx=()48∫449y=sinx,y=cosx直线x=0,x=л/2所围成的面积是()50求过点(3,0,-1),且与平面3x-7y+5z-12=0平行的平面方程是()三、解答题1、设Y=2X-5X2,问X等于多少时Y最大?并求出其最大值。
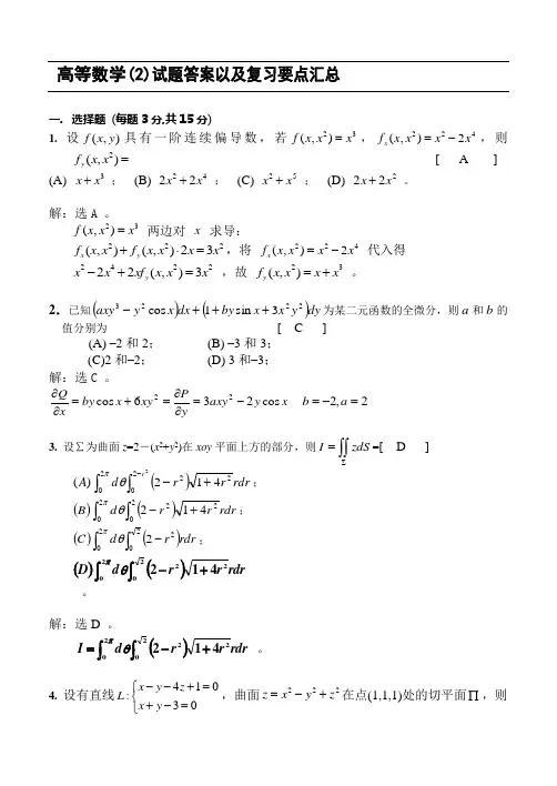
高等数学(2)试题答案以及复习要点汇总一. 选择题 (每题3分,共15分)1. 设(,)f x y 具有一阶连续偏导数,若23(,)f x x x =,224(,)2x f x x x x =-,则2(,)y f x x = [ A ](A) 3x x + ; (B) 2422x x + ; (C) 25x x + ; (D) 222x x + 。
解:选A 。
23(,)f x x x = 两边对 x 求导:222(,)(,)23x y f x x f x x x x +⋅=,将 224(,)2x f x x x x =- 代入得242222(,)3y x x xf x x x -+= ,故 23(,)y f x x x x =+ 。
2.已知()()dy y x x by dx x y axy 22233sin 1cos +++-为某二元函数的全微分,则a 和b 的值分别为 [ C ](A) –2和2; (B) –3和3;(C)2和–2; (D) 3和–3;解:选C 。
x y axy yP xy x by x Q cos 236cos 22-=∂∂=+=∂∂ 2,2=-=a b3. 设∑为曲面z =2-(x 2+y 2)在xoy 平面上方的部分,则⎰⎰∑=zdS I =[ D ]()⎰⎰-+-2202220412)(r rdr r r d A πθ; ()()⎰⎰+-202220412rdr r r d B πθ; ()()⎰⎰-202202rdr r d C πθ; ()()⎰⎰+-202220412rdr r r d D πθ 。
解:选D 。
()⎰⎰+-=202220412rdr r r d I πθ 。
4. 设有直线410:30x y z L x y --+=⎧⎨+-=⎩,曲面222z x y z =-+在点(1,1,1)处的切平面∏,则直线L 与平面∏的位置关系是: [ C ](A) L ⊂∏; (B) //L ∏; (C) L ⊥∏; (D) L 与∏斜交 。
一、填空题(共21分 每小题3分)1.曲线⎩⎨⎧=+=012x y z 绕z 轴旋转一周生成的旋转曲面方程为122++=y x z .2.直线35422:1z y x L =--=-+与直线⎪⎩⎪⎨⎧+=+-==tz t y tx L 72313:2的夹角为2π. 3.设函数22232),,(z y x z y x f ++=,则=)1,1,1(grad f }6,4,2{.4.设级数∑∞=1n n u 收敛,则=∞→n n u lim 0.5.设周期函数在一个周期内的表达式为⎩⎨⎧≤<+≤<-=,0,10,0)(ππx x x x f 则它的傅里叶级数在π=x 处收敛于21π+.6.全微分方程0d d =+y x x y 的通解为Cxy =.7.写出微分方程xe y y y =-'+''2的特解的形式xaxe y =*.二、解答题(共18分 每小题6分)1.求过点)1,2,1(-且垂直于直线⎩⎨⎧=+-+=-+-02032z y x z y x 的平面方程.解:设所求平面的法向量为n ,则{}3,2,1111121=--=kj i n(4分)所求平面方程为 032=++z y x (6分) 2.将积分⎰⎰⎰Ωv z y x f d ),,(化为柱面坐标系下的三次积分,其中Ω是曲面)(222y x z +-=及22y x z +=所围成的区域.解: πθ20 ,10 ,2 :2≤≤≤≤-≤≤Ωr r z r (3分)⎰⎰⎰Ωv z y x f d ),,(⎰⎰⎰-=221020d ),sin ,cos (d d r rz z r r f r r θθθπ (6分)3.计算二重积分⎰⎰+-=Dy x y x eI d d )(22,其中闭区域.4:22≤+y x D解⎰⎰-=2020d d 2r r eI r πθ⎰⎰--=-20220)(d d 212r e r πθ⎰-⋅-=202d 221r e π)1(4--=e π三、解答题(共35分 每题7分)1.设vue z =,而22y x u +=,xy v =,求z d .解:)2(232y y x x e y ue x e xv v z x u u z x z xy v v ++=⋅+⋅=∂∂⋅∂∂+∂∂⋅∂∂=∂∂ (3分))2(223xy x y e x ue y e yv v z y u u z y z xy v v ++=⋅+⋅=∂∂⋅∂∂+∂∂⋅∂∂=∂∂ (6分) y xy x y e x y y x x e z xy xy d )2(d )2(d 2332+++++= (7分)2.函数),(y x z z =由方程0=-xyz e z所确定,求yz x z ∂∂∂∂,. 解:令xyz e z y x F z-=),,(, (2分)则 ,yz F x -=,xz F y -=,xy e F zz -= (5分)xye yzF F x z zz x -=-=∂∂, xy e xz F F y z z z y -=-=∂∂. (7分) 3.计算曲线积分⎰+-Ly x x y d d ,其中L 是在圆周22x x y -=上由)0,2(A 到点)0,0(O 的有向弧段.解:添加有向辅助线段OA ,有向辅助线段OA 与有向弧段OA 围成的闭区域记为D ,根据格林公式⎰⎰⎰⎰+--=+-OA DL y x x y y x y x x y d d d d 2d d (5分)ππ=-⋅=022 (7分)4.设曲线积分⎰++Lx y x f x y x f e d )(d )]([与路径无关,其中)(x f 是连续可微函数且满足1)0(=f ,求)(x f .解: 由xQ y P ∂∂=∂∂ 得 )()(x f x f e x'=+, 即xe xf x f =-')()( (3分)所以 )d ()(d d )1(C x e e e x f x x x+⋅=⎰⎰---⎰)(C x e x +=, (6分) 代入初始条件,解得1=C ,所以)1()(+=x e x f x. (7分)5.判断级数∑∞=12)!2()!(n n n 的敛散性.解: 因为)!2()!()!22(])!1[(lim lim221n n n n u u n nn n ++=∞→+∞→ (3分) )12)(22()1(lim2+++=∞→n n n n 141<= (6分) 故该级数收敛. (7分)四、(7分)计算曲面积分⎰⎰∑++y x z x z y z y x d d d d d d ,其中∑是上半球面221z y x --=的上侧.解:添加辅助曲面1,0:221≤+=∑y x z ,取下侧,则在由1∑和∑所围成的空间闭区域Ω上应用高斯公式得⎰⎰∑++y x z x z y z y x d d d d d d ⎰⎰∑+∑++=1d d d d d d y x z x z y z y x⎰⎰∑++-1d d d d d d y x z x z y z y x (4分)0d 3-=⎰⎰⎰Ωv (6分)34213π⋅⋅=π2=. (7分) 五、(6分)在半径为R 的圆的内接三角形中,求其面积为最大的三角形.解:设三角形各边所对圆心角分别为z y x ,,,则π2=++z y x , 且面积为)sin sin (sin 212z y x R A ++=, 令)2(sin sin sin πλ-+++++=z y x z y x F (3分)由 ⎪⎪⎩⎪⎪⎨⎧=++=+==+==+=πλλλ20cos 0cos 0cos z y x z F y F x F z yx (4分)得32π===z y x .此时,其边长为R R 3232=⋅.由于实际问题存在最大值且驻点唯一,故当内接三角形为等边三角形时其面积最大. (6分)六、(8分)求级数∑∞=1n nnx 的收敛域,并求其和函数.解: 1)1(lim lim1=+==∞→+∞→nn a a R n n n n ,故收敛半径为1=R . (2分) 当1-=x 时,根据莱布尼茨判别法,级数收敛; 当1=x 时, 级数为调和级数,发散.故原级数的收敛域为)1,1[-. (5分)设和为)(x S ,即∑∞==1)(n nnx x S ,求导得∑∞=-='11)(n n x x S x-=11, (6分) 再积分得 ⎰'=xx x S x S 0d )()(x xxd 110⎰-=)1ln(x --=,)11(<≤-x (8分) 七、(5分)设函数)(x f 在正实轴上连续,且等式⎰⎰⎰+=yx x yt t f x t t f y t t f 111d )(d )(d )(对任何0,0>>y x 成立.如果3)1(=f ,求)(x f . 解:等式两边对y 求偏导得)(d )()(1y f x t t f y x f x x+=⎰ (2分)上式对任何0,0>>y x 仍成立.令1=y ,且因3)1(=f ,故有⎰+=xx t t f x xf 13d )()(. (3分)由于上式右边可导,所以左边也可导.两边求导,得3)()()(+=+'x f x f x f x 即)0(3)(>='x xx f .故通解为 C x x f +=ln 3)(.当1=x 时,3)1(=f ,故3=C . 因此所求的函数为 )1(ln 3)(+=x x f .(5分) 八. (5分)已知x x e xe y 21+=,x x e xe y -+=2,x x x e e xe y --+=23是某二阶线性非齐次微分方程的三个解,求此微分方程. 解1:由线性微分方程解的结构定理知xe2与xe-是对应齐次方程的两个线性无关的解,xxe 是非齐次方程的一个特解,故可设此方程为)(2x f y y y =-'-''将x xe y=代入上式,得x x xe e x f 2)(-=,因此所求的微分方程为x x xe e y y y 22-=-'-''解2:由线性微分方程解的结构定理知xe2与xe-是对应齐次方程的两个线性无关的解,xxe 是非齐次方程的一个特解,故x x x e C e C xe y -++=221是所求微分方程的通解,从而有x x x x e C e C xe e y --++='2212, x x x x e C e C xe e y -+++=''22142消去21,C C ,得所求的微分方程为x x xe e y y y 22-=-'-''06高数B一、填空题(共30分 每小题3分)1.xoy 坐标面上的双曲线369422=-y x 绕x 轴旋转一周所生成的旋转曲面方程为36)(94222=+-z y x .2.设函数22),,(z yz x z y x f ++=,则=-)1,0,1(grad f )2,1,2(--.3.直线35422:1z y x L =--=-+与直线⎪⎩⎪⎨⎧+=+-==tz t y tx L 72313:2的夹角为2π.4。
完整)高等数学练习题附答案第一章自测题一、填空题(每小题3分,共18分)1.lim (sinx-tanx)/(3xln(1+2x)) = 1/22.lim (2x^2+ax+b)/(x-1) =3.a = 5.b = 123.lim (sin2x+e^(2ax)-1)/(x+1) = 2a4.若f(x)在(-∞,+∞)上连续,则a=05.曲线f(x) = (x-1)/(2x-4x+3)的水平渐近线是y=1/2,铅直渐近线是x=3/26.曲线y=(2x-1)/(x+1)的斜渐近线方程为y=2x-3二、单项选择题(每小题3分,共18分)1.“对任意给定的ε∈(0,1),总存在整数N,当n≥N时,恒有|x_n-a|≤2ε”是数列{x_n}收敛于a的充分条件但非必要条件2.设g(x)={x+2,x<1.2-x^2,1≤x<2.-x,x≥2},f(x)={2-x,x<1.x^2,x≥1},则g(f(x))=2-x^2,x≥13.下列各式中正确的是 lim (1-cosx)/x = 04.设x→0时,e^(tanx-x-1)与x^n是等价无穷小,则正整数n=35.曲线y=(1+e^(-x))/(1-e^(-x^2))没有渐近线6.下列函数在给定区间上无界的是 sin(1/x),x∈(0,1]三、求下列极限(每小题5分,共35分)1.lim (x^2-x-2)/(4x+1-3) = 3/42.lim x+e^(-x)/(2x-x^2) = 03.lim (1+2+3+。
+n)/(n^2 ln n) = 04.lim x^2sin(1/x) = 01.设函数$f(x)=ax(a>0,a\neq1)$,求$\lim\limits_{n\to\infty}\frac{1}{\ln\left(\frac{f(1)f(2)\cdotsf(n)}{n^2}\right)}$。
2.求$\lim\limits_{4x\to1}\frac{x^2+e\sin x+6}{1+e^x-\cosx}$。
《高等数学》练习测试题库及答案一.选择题1.函数y=112+x 是( ) A.偶函数 B.奇函数 C 单调函数 D 无界函数2.设f(sin 2x )=cosx+1,则f(x)为( ) A 2x 2-2 B 2-2x 2 C 1+x 2 D 1-x 23.下列数列为单调递增数列的有( )A .0.9 ,0.99,0.999,0.9999B .23,32,45,54 C .{f(n)},其中f(n)=⎪⎩⎪⎨⎧-+为偶数,为奇数n nn n n n 1,1 D. {n n 212+} 4.数列有界是数列收敛的( )A .充分条件 B. 必要条件C.充要条件 D 既非充分也非必要5.下列命题正确的是( )A .发散数列必无界B .两无界数列之和必无界C .两发散数列之和必发散D .两收敛数列之和必收敛6.=--→1)1sin(lim 21x x x ( ) A.1 B.0 C.2 D.1/27.设=+∞→x x xk )1(lim e 6 则k=( ) A.1 B.2 C.6 D.1/68.当x →1时,下列与无穷小(x-1)等价的无穷小是( )A.x 2-1B. x 3-1C.(x-1)2D.sin(x-1)9.f(x)在点x=x 0处有定义是f(x)在x=x 0处连续的( )A.必要条件B.充分条件C.充分必要条件D.无关条件10、当|x|<1时,y= ( )A 、是连续的B 、无界函数C 、有最大值与最小值D 、无最小值11、设函数f(x)=(1-x)cotx要使f(x)在点:x=0连续,则应补充定义f(0)为()A、B、e C、-e D、-e-112、下列有跳跃间断点x=0的函数为()A、 xarctan1/xB、arctan1/xC、tan1/xD、cos1/x13、设f(x)在点x0连续,g(x)在点x不连续,则下列结论成立是()A、f(x)+g(x)在点x必不连续B、f(x)×g(x)在点x必不连续须有C、复合函数f[g(x)]在点x必不连续D、在点x0必不连续在区间(- ∞,+ ∞)上连续,且f(x)=0,则a,b满足14、设f(x)=()A、a>0,b>0B、a>0,b<0C、a<0,b>0D、a<0,b<015、若函数f(x)在点x0连续,则下列复合函数在x也连续的有()A、 B、C、tan[f(x)]D、f[f(x)]16、函数f(x)=tanx能取最小最大值的区间是下列区间中的()A、[0,л]B、(0,л)C、[-л/4,л/4]D、(-л/4,л/4)17、在闭区间[a ,b]上连续是函数f(x)有界的()A、充分条件B、必要条件C、充要条件D、无关条件18、f(a)f(b) <0是在[a,b]上连续的函f(x)数在(a,b)内取零值的()A、充分条件B、必要条件C、充要条件D、无关条件19、下列函数中能在区间(0,1)内取零值的有()A、f(x)=x+1B、f(x)=x-1C、f(x)=x2-1D、f(x)=5x4-4x+120、曲线y=x2在x=1处的切线斜率为()A、k=0B、k=1C、k=2D、-1/221、若直线y=x与对数曲线y=logax相切,则()A、eB、1/eC、e xD、e1/e22、曲线y=lnx平行于直线x-y+1=0的法线方程是()A、x-y-1=0B、x-y+3e-2=0C、x-y-3e-2=0D、-x-y+3e-2=023、设直线y=x+a与曲线y=2arctanx相切,则a=()A、±1B、±л/2C、±(л/2+1)D、±(л/2-1)24、设f(x)为可导的奇函数,且f`(x0)=a,则f`(-x)=()A、aB、-aC、|a|D、025、设y=㏑,则y’|x=0=()A、-1/2B、1/2C、-1D、026、设y=(cos)sinx,则y’|x=0=()A、-1B、0C、1D、不存在27、设yf(x)= ㏑(1+X),y=f[f(x)],则y’|x=0=()A、0B、1/ ㏑2C、1D、㏑228、已知y=sinx,则y(10)=()A、sinxB、cosxC、-sinxD、-cosx29、已知y=x㏑x,则y(10)=()A、-1/x9B、1/ x9C、8.1/x9D、 -8.1/x930、若函数f(x)=xsin|x|,则()A、f``(0)不存在B、f``(0)=0C、f``(0) =∞D、 f``(0)= л31、设函数y=yf(x)在[0,л]内由方程x+cos(x+y)=0所确定,则|dy/dx|x=0=()A、-1B、0C、л/2D、 232、圆x2cos θ,y=2sin θ上相应于θ=л/4处的切线斜率,K=( )A 、-1B 、0C 、1D 、 233、函数f(x)在点x 0连续是函数f(x)在x 0可微的( )A 、充分条件B 、必要条件C 、充要条件D 、无关条件34、函数f(x)在点x 0可导是函数f(x)在x 0可微的( )A 、充分条件B 、必要条件C 、充要条件D 、无关条件35、函数f(x)=|x|在x=0的微分是( )A 、0B 、-dxC 、dxD 、 不存在36、极限)ln 11(lim 1xx x x --→的未定式类型是( )A 、0/0型B 、∞/∞型C 、∞ -∞D 、∞型37、极限 012)sin lim(→x x x x 的未定式类型是( ) A 、00型 B 、0/0型 C 、1∞型 D 、∞0型 38、极限 x x x x sin 1sinlim 20→=( )A 、0B 、1C 、2D 、不存在39、x x 0时,n 阶泰勒公式的余项Rn(x)是较x x 0 的( )A 、(n+1)阶无穷小B 、n 阶无穷小C 、同阶无穷小D 、高阶无穷小40、若函数f(x)在[0, +∞]内可导,且f`(x) >0,xf(0) <0则f(x)在[0,+ ∞]内有( )A 、唯一的零点B 、至少存在有一个零点C 、没有零点D 、不能确定有无零点41、曲线y=x 2-4x+3的顶点处的曲率为( )A、2B、1/2C、1D、042、抛物线y=4x-x2在它的顶点处的曲率半径为()A、0B、1/2C、1D、243、若函数f(x)在(a,b)内存在原函数,则原函数有()A、一个B、两个C、无穷多个D、都不对44、若∫f(x)dx=2e x/2+C=()A、2e x/2B、4 e x/2C、e x/2 +CD、e x/245、∫xe-x dx =( D )A、xe-x -e-x +CB、-xe-x+e-x +CC、xe-x +e-x +CD、-xe-x -e-x +C46、设P(X)为多项式,为自然数,则∫P(x)(x-1)-n dx()A、不含有对数函数B、含有反三角函数C、一定是初等函数D、一定是有理函数0|3x+1|dx=()47、∫-1A、5/6B、1/2C、-1/2D、148、两椭圆曲线x2/4+y2=1及(x-1)2/9+y2/4=1之间所围的平面图形面积等于()A、лB、2лC、4лD、6л49、曲线y=x2-2x与x轴所围平面图形绕轴旋转而成的旋转体体积是()A、лB、6л/15C、16л/15D、32л/1550、点(1,0,-1)与(0,-1,1)之间的距离为()A、 B、2 C、31/2 D、 21/251、设曲面方程(P,Q)则用下列平面去截曲面,截线为抛物线的平面是()A、Z=4B、Z=0C、Z=-2D、x=252、平面x=a截曲面x2/a2+y2/b2-z2/c2=1所得截线为()A、椭圆B、双曲线C、抛物线D、两相交直线53、方程=0所表示的图形为()A、原点(0,0,0)B、三坐标轴C 、三坐标轴D 、曲面,但不可能为平面54、方程3x 2+3y 2-z 2=0表示旋转曲面,它的旋转轴是( )A 、X 轴B 、Y 轴C 、Z 轴D 、任一条直线55、方程3x 2-y 2-2z 2=1所确定的曲面是( )A 、双叶双曲面B 、单叶双曲面C 、椭圆抛物面D 、圆锥曲面二、填空题1、求极限1lim -→x (x 2+2x+5)/(x 2+1)=( )2、求极限 0lim →x [(x 3-3x+1)/(x-4)+1]=( )3、求极限2lim →x x-2/(x+2)1/2=( )4、求极限∞→x lim [x/(x+1)]x=( )5、求极限0lim →x (1-x)1/x= ( )6、已知y=sinx-cosx ,求y`|x=л/6=( )7、已知ρ=ψsin ψ+cos ψ/2,求d ρ/d ψ| ψ=л/6=( )8、已知f(x)=3/5x+x 2/5,求f`(0)=( )9、设直线y=x+a 与曲线y=2arctanx 相切,则a=( )10、函数y=x 2-2x+3的极值是y(1)=( )11、函数y=2x 3极小值与极大值分别是( )12、函数y=x 2-2x-1的最小值为( )13、函数y=2x-5x 2的最大值为( )14、函数f(x)=x 2e -x 在[-1,1]上的最小值为( )15、点(0,1)是曲线y=ax 3+bx 2+c 的拐点,则有b=( ) c=( )16、∫xx 1/2dx= ( )17、若F`(x)=f(x),则∫dF(x)= ( )18、若∫f(x)dx =x 2e 2x +c ,则f(x)= ( )19、d/dx ∫a barctantdt =( )20、已知函数f(x)=⎪⎩⎪⎨⎧=≠⎰-0,0,022)1(1x a x x t dt e x 在点x=0连续, 则a=( ) 21、∫02(x 2+1/x 4)dx =( )22、∫49 x 1/2(1+x 1/2)dx=( )23、∫031/2a dx/(a 2+x 2)=( )24、∫01 dx/(4-x 2)1/2=( )25、∫л/3лsin (л/3+x)dx=( )26、∫49 x 1/2(1+x 1/2)dx=( )27、∫49x 1/2(1+x 1/2)dx=( ) 28、∫49 x 1/2(1+x 1/2)dx=( )29、∫49 x 1/2(1+x 1/2)dx=( )30、∫49 x 1/2(1+x 1/2)dx=( )31、∫49 x 1/2(1+x 1/2)dx=( )32、∫49x 1/2(1+x 1/2)dx=( ) 33、满足不等式|x-2|<1的X 所在区间为 ( )34、设f(x) = [x] +1,则f (л+10)=( )35、函数Y=|sinx|的周期是 ( )36、y=sinx,y=cosx 直线x=0,x=л/2所围成的面积是 ( )37、 y=3-2x-x 2与x 轴所围成图形的面积是 ( )38、心形线r=a(1+cos θ)的全长为 ( )39、三点(1,1,2),(-1,1,2),(0,0,2)构成的三角形为 ( )40、一动点与两定点(2,3,1)和(4,5,6)等距离,则该点的轨迹方程是 ( )41、求过点(3,0,-1),且与平面3x-7y+5z-12=0平行的平面方程是( )42、求三平面x+3y+z=1,2x-y-z=0,-x+2y+2z=0的交点是 ( )43、求平行于xoz 面且经过(2,-5,3)的平面方程是 ( )44、通过Z轴和点(-3,1,-2)的平面方程是()45、平行于X轴且经过两点(4,0,-2)和(5,1,7)的平面方程是()三、解答题1、设Y=2X-5X2,问X等于多少时Y最大?并求出其最大值。
华中师范大学网絡教育学院 《高等数学》练习测试题库一.选捽题1,函数y=-J —是()X + 1A, 偶函数B,奇函数 C 单调函数 2•设 f(sin —)=cosx+l,则 f(Q 为( )2卜-列数列为单潤递増数列的有(6 limsincr-l)=(Il X -]AJ B,0C2IXI/27.设L*X=c h则 k=()AJ B 、2 C.6 DJ/68?'|x->l 时,下列与无穷小(x-1 )等价的无穷小是( A. x 2-! B. x ?-l C.(x-l)2D.sin(x-I)9. f(x)在点处有定义是f(x)在NXQ 处连续的() A,心要条件 B.充分条件 C.充分必要条件 D,无关条件 10、 当 |x <1 Ht, y= /】京(.)D 无界函数A 2x 2-2 B 2—2/ C I +/D l-x 2A. 0,9 t 0.99, 0,9991 0.9999B.—为奇数 I +n丄,网为偶数 U -科4, 数列有界是数列收敛的() A.充分条件 C.充要条件 5. 卜列命题正确的是( )A.发散数列必无界C.两发散数列之狷必发散C. {f(n)h 其中 f(n)=; B. D 必要条件 既非充分也非必要 R.D. 2N + 1 2tl两无界数列之和必无界 两收敛数列之用[必收A、是连续的无界函数C、有最大值勺最小值IL无最小值11、设函数f (x) = (1-xL要使f (x)在点:戸。
连续,则应补充定义1 (0) 为< )A、丄B、e 。
、-e D. _e 1e12、下列有跳跃间断点x=0的函数为()A-, sarctiinl /x B、 arctan 1/xC\ tetr 1 /x D、cosl/x13、设f (妇在点为连续,g(x)在点舔不连续,则下列结论成立是()A、f(X)-g(X)在点Xa必不连续B、f(x) Xg(x)在点为必不连续须冇C、复合函数f [g(x)]在点为必不连续*)D、gW在点为必不连续1 li1L设f (,x)= ]+@户在区间(1 8,+ 8)卜连续,冃J5f(x)=0,则a, h满足 ()A. a>0, b>0B. a>0h b<0C. a<0,b>0 Ik a<0, b<015、若函数「6)在点险连续,则下列复合函数在x*也连续的有( )A. K) B、貯3C、Un[f(x)]D、f[f(x)]16、函数f (x)=tanx能取最小最大值的区间是下列区向中的< )A、[0, ]B、『0,」)C、[- ■! /I, Ji /4] D* (-.'1/4:J]/4)17、在闭区间[a ,b]上连续是函数f(x)有界的()A,充分条件B、必要条件C、充要条件IX无关条件18、「(a)「(b) VQ是在[H,b] ±连续的函「(x)数在(a, b)内取零值的( )L 充分条件 B 、必要条件 C 、充要条件D 、无关条件19、 下列函数中能在区间(。
第一章自测题一、填空题(每题 3 分,共 18 分)sin x tan x1. lim.x 0 ln 12x32.3x1x. lim2x 1x x23.已知 lim 2x2ax b3,此中为 a,b 常数,则a, b.x1x14.若 f x sin 2x x e2 ax 1, x0 在,上连续,则 a.a,x05.曲线 f ( x)x1的水平渐近线是,铅直渐近线是.x24x 316.曲线y2x 1 e x的斜渐近线方程为.二、单项选择题(每题 3 分,共 18 分)1.“对随意给定的0,1,总存在整数 N ,当 n N 时,恒有 x n a 2 ”是数列 x n收敛于 a 的.A. 充足条件但非必需条件B.必需条件但非充足条件C. 充足必需条件D.既非充足也非必需条件2x,x022.设 g x x ,x 0则 g f x.x2,x , f x0x,x02 x2 , x 0B.2 x2 , x 0C.2 x2 , x 0D.2 x2 , x 0A.2 x, x 0 2 x, x 0 2 x, x 02 x, x 03.以下各式中正确的选项是.1xA.lim1e x 0x1xC. lim1ex x1xB.lim1ex 0x1x D.lim1e-1x x4.设x0 时,e tan x1 与x n是等价无量小,则正整数n.A. 1B. 2C. 3D. 4优选文库1 e5. 曲线 ye1x 2x 2.A. 没有渐近线B.仅有水平渐近线C. 仅有铅直渐近线D.既有水平渐近线又有铅直渐近线6.以下函数在给定区间上无界的是.A.1sin x, x(0,1]B.1sin x, x(0, )xxC.11 x(0,1] D.1 x(0, )sin,x sin ,xxx三、求以下极限(每题5 分,共 35 分)1. lim x 2x 2x 24x1 312. limx e 2 xxx 013. lim 12n 3n nnx 2sin14. limxx2x 2 15. 设函数 f xa xa 0, a 1 ,求 lim12 ln f 1 f 2 L f n .nn优选文库12 e x sin x6. lim4xx 01 e x7. lim1cosx x 01cos x四、确立以下极限中含有的参数(每题5 分,共 10 分)1. limax 22x b 2x 1x2x22. lim xax 2 bx 2 1xa xb x五、议论函数 f ( x)x , x在 x 0 处的连续性, 若(a 0,b 0, a 1,b 1)0,x不连续,指出该中断点的种类. (此题 6 分)优选文库sin t 六、设 f ( x)limt x sin xxsin tsin x,求 f ( x) 的中断点并判断种类.(此题7分)七、设 f ( x) 在 [0,1]上连续,且 f (0) f (1).证明:必定存在一点0,1,使得2f ( ) f1. (此题6分)2第二章自测题一、填空题(每题 3 分,共 18 分)1.设2.设4.设5.设f (x) 在 x0可导,且 f ( x0 ) 0, f ( x0 )f1cos x2,则 f ( x). 3.xy f (e sin x ) ,此中 f ( x) 可导,则 dyy1.arccos x ,则 y21,则 lim hf1.x0h hx.1dx dx2.6. 曲线xy 1 x sin y 在点1 ,的切线方程为.二、单项选择题(每题 3 分,共 15 分)1. 以下函数中,在x0 处可导的是.2.设 y f (x) 在 x0处可导,且 f ( x0 )2,则lim f ( x02Vx) f ( x0Vx).VxV x0A. 6B.6C.1D.1 663.设函数 f ( x) 在区间 (,) 内有定义,若当 x(,) 时恒有 | f ( x) |x2,则 x0 是f ( x) 的.A. 中断点B.连续而不行导的点C. 可导的点,且 f (0)0D.可导的点,且 f (0)04.sin x, x00处 f ( x) 的导数.设 f ( x)x,则在 xx2 ,0A. 0B.1C.2D.不存在5.设函数 f (u) 可导, y f (x2 ) 当自变量 x 在x 1 处获得增量 Vx时,相应的函数增量 Vy 的线性主部为,则 f(1).A. 1B.C.1D.三、解答题(共67 分)1.求以下函数的导数(每题 4 分,共16 分)(1) y ln e x 1 e2 x(2) y x 111 xa a x(3)y x a a x a a(4)y (sin x)cos x2. 求以下函数的微分(每题 4 分,共 12 分)(1) y x ln x sin x2cot21(2)y e x(3) y x21x 1x3. 求以下函数的二阶导数(每题 5 分,共 10 分)(1)y cos2x ln x1 x(2)y1 x4. 设 f ( x)e x , x 1在 x 1可导,试求 a 与 b . (此题 6分)ax b, x15. 设 f ( x)sin x , x 0 ,求 f ' ( x) . (此题 6 分)ln(1 x), x 026. 设函数 yy( x) 由方程 lnxxy 2 1所确立,求 dy . (此题 6 分)y7. 设 yx a ln tan tcost2y(x) 由参数方程2,求 dy , d y 2 . (此题 6 分)y a sin tdx dxx1 tt 38. 求曲线在 t1处的切线方程和法线方程 . (此题 5 分)3y 1 2t 22t第三章 自测题一、填空题(每题 3 分,共 15 分)3若 a0, b0 均为常数,则 lim a x b x x1..2x02.lim11.x2x tan xx 03.lim arctan x x.3x 0ln(1 2x )4.曲线 y e x2的凹区间,凸区间为.5.若 f ( x)xe x,则 f ( n ) ( x) 在点 x处获得极小值 .二、单项选择题(每题 3 分,共 12 分)1.设 a,b 为方程 f ( x)0 的两根, f ( x) 在 [ a,b] 上连续, (a, b) 内可导,则 f (x)0 在(a,b) 内.A. 只有一个实根B.起码有一个实根C. 没有实根D.起码有两个实根2.设 f (x) 在 x0处连续,在x0的某去心邻域内可导,且x x0时, ( x x0 ) f ( x)0 ,则f ( x0 ) 是.A. 极小值B.极大值C. x0为f ( x)的驻点D.x0不是 f ( x) 的极值点3.设 f (x) 拥有二阶连续导数,且f(0)0 , lim f( x) 1 ,则.x 0| x |A. f (0)是 f (x) 的极大值B. f (0)是 f (x) 的极小值C.(0, f (0))是曲线的拐点D.f(0) 不是 f (x) 的极值, (0, f (0))不是曲线的拐点4.设 f (x) 连续,且 f(0)0 ,则0,使.A. f ( x)在(0, )内单一增添 .B. f ( x) 在 (,0) 内单一减少.C.x(0,) ,有 f (x) f (0)D.x (,0) ,有 f ( x) f (0) .三、解答题 ( 共 73 分)1. 已知函数f ( x)在[0,1]上连续,(0,1)内可导,且f (1)0 ,优选文库证明在 (0,1) 内起码存在一点f ( )使得 f ( ). (此题 6 分)tan2. 证明以下不等式(每题 9 分,共 18 分)(1)当 0a b 时,b alnbb a .ba a(2)当 0 x时,2x sin x x .23. 求以下函数的极限(每题8 分,共 24 分)( 1) lim e x e x2xx 0xsin x优选文库12( 2)lim(cos x)sin xx 01( 3)lim(1 x) x exx 04. 求以下函数的极值(每题 6 分,共 12 分)12( 1)f ( x) x3(1 x)3x2x , x0( 2)f ( x)x 1 , x05. 求y2x. (此题 6 分)的极值点、单一区间、凹凸区间和拐点ln x16. 证明方程x ln x0 只有一个实根.(此题7分)e第一章自测题一、填空题(每题 3 分,共 18 分)1. 2.3.4.5.水平渐近线是,铅直渐近线是6.二、单项选择题(每题 3 分,共 18分)1. C2. D3. D4. A5. D 6. C三、求以下极限(每题 5 分,共 35分)解: 1.. 2.. 3.,又. 4.. 5.. 6.,,因此,原式.7..四、确立以下极限中含有的参数(每题 5 分,共 10 分)解: 1.据题意设,则,令,令得,故.2.左边,右边故,则.五、解:,故在处不连续,所以为六、解:,而,故,的间断点,,故为的第一类(可去)中断点,均为的第二类中断点.七、证明:设,明显在而,,,故由零点定理知:必定存在一点,使,即优选文库第二章自测题一、填空题(每题 3 分,共 18 分)1. 2.3. 4.5.6.或二、单项选择题(每题 3 分,共 15 分)1. D2. A3. C4. D5. D三、解答题(共67 分)解: 1.(1).(2).(3).(4)两边取对数得,两边求导数得,.2. 求以下函数的微分(每题 4 分,共 12 分)(1).(2).(3).优选文库3. 求以下函数的二阶导数(每题 5 分,共 10 分)(1).(2),.4.首先在处连续,故,故,。
《高等数学》试题库(有答案)一、选择题(一)函数1、下列集合中()是空集。
{}{}4,3,02,1,0. a {}{}7,6,53,2,1. b (){}x y x y y x c 2,.==且{}01.≥〈x x x d 且2、下列各组函数中是相同的函数有()。
()()()2,.x x g x x f a == ()()2,.x x g x x f b == ()()x x x g x f c 22cos sin ,1.+== ()()23,.x x g xx x f d == 3、函数()5lg 1-=x x f 的定义域是()。
()()+∞∞-,55,. a ()()+∞∞-,66,. b()()+∞∞-,44,. c ()()()()+∞∞-,66,55,44,. d4、设函数()⎪⎪⎪⎪⎪-+2222x x x 〈+∞≤〈≤〈∞〈-x x x 2200 则下列等式中,不成立的是()。
()()10.f f a = ()()10.-=f f b ()()22.f f c =- ()()31.f f d =- 5、下列函数中,()是奇函数。
x xa . x xb sin .2 11.+-x x a ac 21010.xx d -- 6、下列函数中,有界的是()。
arctgx y a =. tgx y b =. xy c 1.= x y d 2.= 7、若()()11-=-x x x f ,则()=x f ()。
()1.+x x a ()()21.--x x b ()1.-x x c .d 不存在8、函数x y sin =的周期是()。
π4.a π2.b π.c 2.πd9、下列函数不是复合函数的有()。
x y a ⎪⎪⎪⎪⎪=21. ()21.x y b --= x y c sin lg .= x e y d sin 1.+= 3 10、下列函数是初等函数的有()。
11.2--=x x y a ⎪⎪⎪+=21.xx y b 00≤〉x x x y c cos 2.--= ()()2121lg 1sin .⎪⎪⎪⎪⎪⎪+-=x e y d x11、区间[,)a +∞, 表示不等式().(A )a x <<+∞(B )+∞<≤x a (C )a x < (D )a x ≥12、若ϕ3()1t t =+,则ϕ3(1)t +=().(A )31t+ (B )61t + (C )62t + (D )963332t t t +++ 13、函数log (a y x =+ 是().(A )偶函数(B )奇函数(C )非奇非偶函数(D )既是奇函数又是偶函数14、函数()y f x =与其反函数1()y f x -=的图形对称于直线(). (A )0y= (B )0x = (C )y x = (D )y x =- 15、函数1102x y -=-的反函数是().(A )1x lg 22y x =- (B )log 2x y = (C )21log y x= (D )1lg(2)y x =++ 16、函数sin cos y x x =+是周期函数,它的最小正周期是().(A )2π(B )π(C )2π(D )4π17、设1)(+=x x f ,则)1)((+x f f =().A .xB .x + 1C .x + 2D .x + 318、下列函数中,()不是基本初等函数.A .x y )e 1(= B .2ln x y = C .xx y cos sin = D .35x y = 19、若函数f()1,则f(x)=( ) A. +1B. 1C. (1)D. 120、若函数f(1)2,则f(x)=( )2 B.(1) 2 C. (1) 2 D. x 2-121、若函数f(x),g(x)1,则函数f(g(x))的定义域是( ) >0 ≥0C ≥1 D. x>-122、若函数f(x)的定义域为(0,1)则函数f(1)的定义域是( )A.(0,1)B.(-1,0)C.(1,1)D. (1,e)23、函数f(x)1|是( )A.偶函数B.有界函数C.单调函数D.连续函数24、下列函数中为奇函数的是( ) (1) B.⎪⎪⎪⎪⎪++=21ln x x y 2 25、若函数f(x)是定义在(-∞,+∞)内的任意函数,则下列函数中()是偶函数。
《高等数学》习题册参考答案说明 本参考答案与现在的习题册中的题目有个别的不同,使用时请认真比对,以防弄错.第一册参考答案第一章 §1.11.⎪⎪⎩⎪⎪⎨⎧+≤≤--<≤<≤+=--. ),(2, , ,0 , 211010101T t T T t a v T t v t at v v a va vv a v v 图形为:2.B.3.)]()([)]()([)(2121x f x f x f x f x f --+-+=, 其中)]()([)(21x f x f x F -+=为偶函数,而)]()([)(21x f x f x G --=为奇函数. 4.⎪⎪⎩⎪⎪⎨⎧=<≤-<≤-<≤=.6 ,0,64 ,)4(,42 ,)2(,20 ,)(222x x x x x x x x f 5.⎩⎨⎧.)]([,)2()]([,)1(单调减单调性相反,则单调增;单调性相同,则x g f g f x g f g f6.无界.7.(1)否,定义域不同;(2)否,对应法则不同;(3)否,定义域不同.§1.21.(1))1 ,0()0 ,1(⋃-=D ;(2)} , ,{2Z ∈+≠=k k k x x D πππ;(3))1 ,0(=D . 2.1 ,4-==b a . 3.⎪⎩⎪⎨⎧>-=<=,0 ,1,0 ,0 ,0 ,1 )]([x x x x g f ⎪⎪⎩⎪⎪⎨⎧>=<=-.1 ,,1 ,1 ,1 , )]([1x e x x e x f g4.(1)]2 ,0[,)1arcsin(2=-=D x y ; (2)Y ∞=+=+=022),( , )(tan log 1k a k k Dx y πππ. 5.(1)xx x f f 1)]([-=; (2)xx f f 1)(1][=. 6.+∞<<=-h r V rh hr 2 ,23122π.7.(1)a x =)(ϕ; (2)h x x +=2)(ϕ; (3)ha a h x x )1()(-=ϕ.§1.91.1-=e a .2.(1)1=x 和2=x 都是无穷间断点(属第Ⅱ类);(2)1 ,0==x x 和1-=x 是间断点,其中:1是可去间断点(极限为21)(属第Ⅰ类); 0是跳跃间断点(左极限1-,右极限1)(属第Ⅰ类);-1 是无穷间断点(属第Ⅱ类); (3)0=x 为无穷间断点(属第Ⅱ类),1=x 为跳跃间断点(属第Ⅰ类)(注意:+∞==∞+-→-ee xx x 11lim ,而0lim 11==∞--→+e e xx x );(4))( 2Z ∈+=k k x ππ为无穷间断点(属第Ⅱ类); (5)⎩⎨⎧=≠=+=∞→,0 ,0,0 ,1lim )(12x x nx nx x f xn ∴ 0=x 为无穷间断点(属第Ⅱ类); (6)∵ )(lim , 0)(lim 11+∞==+-→→x f x f x x , ∴ 1=x 为第Ⅱ类间断点,(注意:这类间断点既不叫无穷间断点,也不叫跳跃间断点,不要乱叫); ∵ 1)(lim , 0)(lim -→→==+-e x f x f x x , ∴ 0=x 为跳跃间断点(属第Ⅰ类).3.(1)1 ,0≠=b a ; (2)1 ,≠=a e b .4.(1)21)0(=f ; (2)0)0(=f .5.证:由)()0()0(22x f f x f +=+,得0)0(=f ,于是,再由0)0()(lim )]()()([lim )]()([lim 0==∆=-∆+=-∆+→∆→∆→∆f x f x f x f x f x f x x f x x x ,∴ )(x f 在x 点连续.§1.101.)(x f 在),(+∞-∞内连续,则0≥a ;又0)(lim =-∞→x f x ,则0<b ,故选D.2.) ,2()2 ,3()3 ,(∞+⋃-⋃--∞; 210)0()(lim ==→f x f x (0是连续点), 5858213)2)(3()3()3(3322limlim)(lim -====----→-++-+-→-→x x x x x x x x x x x f (-3是可去间断点), ∞==-++-+→→)2)(3()3()3(222lim )(lim x x x x x x x x f (2是无穷间断点).3.(1)a1; (2)0; (3)2e (提示:原极限x e x xe x x x x x e e )ln(lim)ln(00lim ++→→==,而=+→110 )ln(lim 加分子减x e x x x 2)1(lim )]1(1ln[lim 00==-+-++→→拆分分子等价无穷小代换x e x x e x x x x x ); (4)21-e(提示:原极限xxx e 2sin cos ln 0lim→=,而21cos 11cos 11cos 0cos 1)]1(cos 1ln[0sin cos ln 0lim lim lim lim222-====+-→--→--+→→x x xx x x x x xxx ); 注意:(3)和(4)都用到了等价无穷小代换:□0→时,ln (1+□)~□. (5)1; (6)不存在(左极限2-,右极限2).4.(1)0=a ,e b =; (2)a 任意,1=b .§1.111.令)sin ()(b x a x x f +-=,则)(x f 在] ,0[b a +上连续,且0)0(<-=b f ,=+)(b a f 0)]sin(1[)sin(≥+-=-+-+b a a b b a a b a .若0)(=+b a f ,则b a +就是一个正根;若0)(>+b a f ,则由零点定理,)(x f 在) ,0(b a +内有一正根.总之,)(x f 在],0[b a +内有一正根.2.作辅助函数x x f x F -=)()(,则)(x F 在] ,[b a 上连续,且0)()(<-=a a f a F ,)(b F0)(>-=b b f ,由零点定理,) ,(b a ∈∃ξ,使得0)(=ξF ,即ξξ=)(f .3.由题设:)(x f 在] ,[1n x x 上连续,设m M 、分别为)(x f 在] ,[1n x x 上的最大值和最小值,则M x f x f x f c m n n≤+++=≤)]()()([211Λ,于是,由介值定理可知:) ,() ,(1b a x x n ⊂∈∃ξ,使得c f =)(ξ,即)]()()([)(211n nx f x f x f f +++=Λξ. 4.令)()()(a x f x f x F +-=,则)(x F 在] ,0[a 上连续.若)()0()0(a f a f f =+=,则取 00=x ,命题成立;设)()0(a f f ≠,则由)()0()0(a f f F -=,而)2()()(a f a f a F -= )]()0([)0()(a f f f a f --=-=,所以,)0(F 与)(a F 异号,于是,由零点定理可知:) ,0(a ∈∃ξ,使得0)(=ξF ,即)()(a f f +=ξξ,命题成立.第一章 总复习题1.⎪⎩⎪⎨⎧>≤=+.0,1 ,0 ,)]([211x x x f x ϕ 2.22sin 2x. 3.) ,(∞+e .4.证:∵A x f x x =→)(lim 0,∴对于事先给定的无论多么小的正数ε,都存在正数δ,只要δ<-<00x x ,就必有ε<-A x f )(成立①(这就是函数极限的“δε-定义”); 又∵)( lim 00x x x x n n n ≠=∞→,∴对①中的正数δ(因这样的正数是任意的),必存在自然数N ,只要N n >,就必有δ<-0x x n 成立(这就是数列极限的“N -ε定义”).但对任何n ,0x x n ≠,所以这时也就有δ<-<00x x n 成立②.把①②两步结合起来就是(从②推回到①):对于事先给定的无论多么小的正数ε,(由①,0>∃δ,从而由②)必存在自然数N ,只要N n >,(①②同时成立)就必有 ε<-A x f n )( 成立. 故由极限的定义可知:A x f n n =∞→)(lim .附注:本题是函数极限与数列极限相结合的题目,抽象且有点难,但提供了一个重要的求极限的方法,即数列极限可作为函数极限的特殊情况来处理,比如下面:∵a xa x x e x a x a x x x x ln ln lim 1lim 1lim0ln 00==-=-→→→(用到了□→0时,e □-1~□), ∴a xa naa n x x nn nn ln 1lim 11lim)1(lim 01=-=-=-+→∞→∞→. 5.(1)23-; (2)2011 ,20111; (3)5,531. 6.提示:因)(x f 在],[b a 上连续,而 )(m ax )(m in ],[2)()(2],[x f M m x f b a x d f c f kb a x ∈+∈=≤=≤=,对)(x f 在],[b a 上用介值定理.7.(1)21(提示:每个括号通分,分子因式分解,并与分母约分,再整理得n n 21+); (2)a-11(提示:给极限式子乘)1(a -,打开括号得)1(4na -,并利用一个重要结果)1( 0lim <=∞→q q n n );(3)ab--11(提示:分子、分母都利用等比数列前n 项和公式:1减公比分之首项减去末项乘公比,再利用(2)中的重要结果);(4)21(提示:有理化,分子、分母再同除以n 或利用重要结果:当0 ,000≠≠b a 时,⎪⎩⎪⎨⎧>>∞>=<<==++++++++∞→----∞→.0 ,,0 ,,0 ,0 lim lim 00002211022110m k m k m k n b na b n b n b n b a n a n a n a b a mkn m m m m n k k kn ΛΛ ); (5)t (提示:利用重要极限);(6)2-(提示:分母就是x 2sin -~2x -,再拆分);(7)2b a +(提示:有理化,再利用(4)中重要结果); (8)4(提示:分子减1加1并拆分,再利用等价无穷小代换:□→0时,cos 1-□~21□2); (9)e (提示:原极限e e e x x x x x x ==→+→=22220tan )1ln(0lim lim 等价无穷小代换); (10)2)1(+n n (提示:分子因式分解,先分出个因式)1(-x 并与分母约简,再分出个因式)1(-x 仍可与分母约简,聪明的人一下子就可分出因式2)1(-x ); (11)π2(提示:令x t -=1,则原极限]2 cos sin [lim 20t t t t ππ→=,再利用重要极限). 8.提示:把根号进行放缩得不等式:n n n n n n n n n A nA a a a A ⋅=<+++<Λ21,并注意:1lim=∞→nn n (会推证吗?),再用夹逼定理(或叫夹挤准则,俗称“两头夹”).第二章 §2.61.(1))cos(21sin )cos(2xy x x xy y --; (2))1(2xy e e e e y xyy xxy +-+; (3)y x y x -+; (4)22ln ln xx xy y y xy --(两端取对数);(5)]111[ln )1(x x x x x x ++++(两端取对数或利用一个重要公式:若)()]([x g x f y =,则])()(ln )([)]([)()()(x f x f x g x g x f x g x f y '⋅+'⋅=');(6)])1)(1(2)2()1(2[111222x x x x x x x x x x x x x ++++-+--+++-(利用对数求导法). 2.(1)3222)1(])1()1[(--+--y x x y y ; (2)])1()1(213[2322422+-++y y x y y x . 3.])(arctan )()(arctan )([2222x y x y f y x f y x x y '-+'++-(提示:令xyv v u == ,arctan 而,则原方程变为 y x u f =)(,两端对x 求导得 y x y u f x y x y v '+=⋅⋅'⋅-⋅'+22111)(,再解出y ').4.提示:求出一、二、三阶导数,代入左端化简.5.切线方程:)1(152-=-x y ; 法线方程:)1(125--=-x y . 6.(1)2t; (2)23-. 7.(1)21)1(cos ----t a ; (2)1)]([-'t f .8.)2)(1(1e e t t-+(提示:第二个方程两端对t 求导,得0d d =+t y e e y t ,解出y t e e t y -=d dee e e e e t t t t 22-=--=,并代入 t x t y x y d d d d d d = 之中再约简).9.在时刻t ,甲船所走路程t t s 40)(1=,乙船所走路程t t s 30)(2=,两船间的距离为 t t t t d 50)30()40()(22=+=,两船间的距离增加的速度为50)(='t d .10.设y OP x ON == ,,则由木杆匀速前移知:c tx=d d (为常数), 由题图知:OA MN y x y =-,即 x MN OA OA y -=,从而 txMN OA OA t y d d d d -=. 可见tyd d 为常量,即P 点前移的速度是匀速的.§2.71.(1)增量为-0.09,微分为-0.1;(2)增量为-0.0099,微分为-0.01.评注:①结果表明:x ∆愈小,则y y d 与∆愈接近,这就是微分的数量特征;②微分的几何特征是“以直代曲”.2.(1)C x x ++3; (2)C x +-2cos 21; (3)C e x +--; (4)C x +2arctan 21. 3.(1)x d 2; (2)x a d ; (3)x d 42; (4)x d .4.(1)x x x d 13)]13ln(2sin[3++; (2)t t t t e t t d )52(2)23(332)52ln(323+--⋅+-;(3)x x x x d )21(sec )21tan(8222++. 5.150110+. 第二章 总复习题1.A 、E .2.)(x f 在0=x 处可导必连续.由连续有:)0()2sin (lim lim 0f x b e x ax x =+=+-→→,求极限得:1=b ;由可导有:⎪⎩⎪⎨⎧=='=--=''='--+→+→-+-+-,2lim )0(,01lim )0( , )0()0(01)2sin 1(00x x x ax x f a x e f f f 而 所以,2=a . 3.由)0(f '存在,则)0()0(+-''f f 、存在且相等. 而x f x f x x f x f x f )0()(00)0()(0lim lim )0(-→--→+++==', )0(lim lim lim )0()0()(0)0()(0)0()(0+-→----→--→-'-=-==='++-f f xf x f x x f x f x x f x f x , 要使)0()0(+-'='f f ,只有0)0()0()0(='='='+-f f f . 4.(1)222211))((x a x ax axa +++-+; (2)]ln [ln 12xx x x x x x x ++(提示:===xx x x xexy lnxexx e ln ln ⋅,再利用指数复合函数求导;或者利用取对数求导法);(3)⎪⎩⎪⎨⎧≥<=--,1 ,,1 ,)(11x e x e x f x x 则 1<x 时,x e x f --='1)(; 1>x 时,1)(-='x e x f ;1=x 时,)1(lim 11lim )1(11111111+--→--→-'==≠-=='-+--f f x e x x e x x x ,则在1=x 处不可导.(4)4 ,1--; (5)tet t t t t t t t 22222)2sin cos 2()2cos 2(sin 4 , 2sin cos 22sin sin 2-+-+; (6)])6(1)5(1[!100101101+-+x x (提示:分母因式分解,并拆分,再求导). 5.1)0(=g ,11)sin 1(lim 0)0()(lim)0(1200=-++=--='→→xx x x g x g g x x x , 0≠x 时,x x x x x x x g 1112cos sin 21)sin 1()(-+='++='. 6.)0(lim 1lim )0( ,0)0(00)11(000)1ln(0+----+→--+→-'===='=+-f f f x x x x x x x , 所以,函数)(x f 在点0=x 处可导,且1)0(='f ,从而必在0=x 处连续.评注:2、3、4(3)、5、6都涉及函数在一点处的导数,特别是分段函数在分界点处的导数,导数的定义以及左右导数的概念起到关键的作用,务必要高度注意.7.(1)由xy y f x f y x f 2)()()(++=+,得0)0(=f .当0≠y 时,x y y f y x f y x f 2)()()(+=-+. 由已知并由导数定义,得 y y f y y f y f y f k )(0)0()(0lim lim )0(→-→=='=, k x x f y x f y x f y +=='-+→2lim )()()(0.故对一切) ,(∞+-∞∈x ,)(x f 皆可导,且 k x x f +='2)(.(2)由k x x f +='2)(,知C kx x x f ++=2)(,再由0)0(=f ,得kx x x f +=2)(.第三章 §3.31.)0( !2)(32之间与介于x x e x x x f ξξ++=. 2.) 1( )1()1(])1()()(1[)(1212之间与介于x x x x x x f n n n n-+-++++++++-=+++ξξΛ.3.2)1(2)1(76)(-+-+=x x x f .4.(1)61-(提示:分母的x sin ~x ,从而只需把分子的x sin 展开到3x 阶); (2)121-(提示:把分子的x cos 和22xe-都展开到4x 阶).§3.41.(1)) ,0(21∈x 单减,),(21+∞∈x 单增;(2)),(4 3a x -∞∈单增,),(4 3+∞∈a x 单减. 2.(1)证①:利用拉格朗日中值定理.令xe xf =)(,则x x e x f e e f x f x >⋅=-'=-=-ξξ)0)(()0()(0.证②:利用单调性.令1)(--=x e x f x ,则1)(-='xe xf .当0<x 时,0)(<'x f ,从而)(x f 单调减;而当0>x 时,0)(>'x f ,从而)(x f 单调增.故对一切0≠x ,0)0()(=>f x f ,即要证的不等式成立.评注:①虽抽象,但更简洁;②虽通俗,但稍显麻烦.(2)令)1sec 2(sin )( ,2sec cos )( ,2tan sin )(22-=''-+='-+=x x x f x x x f x x x x f .当20π<<x 时,)(0)(x f x f '⇒>''单调增0)0()(='>'⇒f x f )(x f ⇒单调增, 故当20π<<x 时,0)0()(=>f x f ,即要证的不等式成立(好好体会推理过程). 评注:本题与(1)和下面的(3)的不同之处在于:需两次利用单调性.(3)参考上题方法或用泰勒公式:①利用单调性方法:令331tan )(x x x x f --=,则 ))(tan (tan tan 1sec )(2222x x x x x x x x x f -+=-=--=', 当20π<<x 时,0)(>'x f ,所以,)(x f 单调增,故当20π<<x 时,0)0()(=>f x f . ②利用泰勒公式:令x x f tan )(=,则x x f 2sec )(=',x x x x f tan sec sec 2)(='', )1tan 4tan 3(2)sec sec tan 3(2)(24222++=+='''x x x x x x f ,x x x x x x x x f23223)4(sec )tan 2tan 3(8)sec tan 8sec tan 12(2)(+=+=(很麻烦),,之间与介于其中) 0 ( )( !4)(!3)0(!2)0()0()0()(tan 43314)4(32x x R x x x f x f x f x f f x f x ξξ++=+'''+''+'+== 当20π<<x 时,0)(4!4)(4)4(>=x x R f ξ,故 331tan x x x +> 成立. 评注:对本题而言,①似乎简单一些,但对②而言,得到泰勒公式(实际上是麦克劳林公式)后,其结果却更显而易见.擅长泰勒公式(或麦克劳林公式)的同学建议用②,其它几个题目也有类似的情况.总之,此类方法要好好掌握.(4)参考(1)题方法或用泰勒公式:4)1(14132432)1ln(x x x x x ξ+⋅-+-=+,而 0)(4)1(14134>⋅=+x x R ξ(ξ介于0与x 之间),故 3232)1ln(x x x x +-<+. 3.原不等式化为a a x a x a ln )ln(<++,设x xx f ln )(=,则2ln 1)(xx x f -='.所以,当e x >时, 0)(<'x f ,从而)(x f 单调减,故aax a x a ln )ln(<++,即原不等式成立. 评注:把要证的不等式先等价转化再利用单调性的方法会大大简化.4.不一定,例如,x x x f sin )(+=在) ,(∞+-∞内单增,但x x f cos 1)(+='在) ,(∞+-∞内不单调.5.) ,(512-∞∈x 单增,),(512+∞∈x 单减;10205205241m ax 512)(===f f ,无极小. 6.函数)(x f y =处处连续,322232a x x y -⋅=',有一个驻点0=x 和两个不可导点a x ±=;0)(=±a f 为极小值,也是最小值;34)0(a f = 为极大值,但无最大值.7.在]1 ,0[上函数单减,故4)0(π=f 最大,0)1(=f 最小. 8.令x bx x a x f ++=2ln )(,则应有 012)1(=++='b a f ,014)2(2=++='b f a , 求得 32-=a ,61-=b ;而)1(f 极小,)2(f 极大. 9.提示:因函数处处可导,而可导的极值点必为驻点. 但 c bx ax x f ++='23)(2 当0)3(434)2(22<-=⋅⋅-≡∆ac b c a b ,即 032<-ac b 时无零点.§3.51.)1 ,0(∈x 时,凸;) ,1(∞+∈x 时,凹;拐点)7 ,1(-.2.82±=k ,各有两个拐点) ,1(22±±. 3.3 ,0 ,1-===c b a .4.tt y 1143)1(2⋅-='',0=''y 的点 1±=t ,y '' 不存在的点 0=t ;有三个拐点:)2 ,1(11-↔-=t ,)0 ,0(02↔=t ,)4 ,1(13↔=t .§3.61.其图形如下所示:2.点) ,(22ln 22-处曲率半径有最小值233. 4.(1)铅锤渐近线两条:2=x 和3 -=x ;水平渐近线一条:1=y ;(2)铅锤渐近线:ex 1-=;斜渐近线:x y =.第四章 §4.11.(1)x e x 2cos 233+--; (2)C x x x +--33222 ,22; (3)C x x ++441221; (4)1ln +=x y .2.(1)C x x x x ++++22123232;(2)C x x ++-4147474;(3)C x x x ++-arctan 331; (4)C x +7272ln 121; (5)C x x +-arcsin 2arctan 3; (6)C e xxe ++1)5ln(1)5(; (7)C x +-cot 21;(8)C x x +-sec tan ;(9)C x x ++cos sin ;(10)C x x +-cot tan . §4.21.(1)C x x ++++])1[ln(411441; (2)C b ax nn n a n++++1)(2)1(2;(3)C x +)arcsin(tan ; (4)C x x +-ln 1; (5)C x+-10ln 1arccos 22110;(6)C x +2)(arctan; (7)C x+2sin 2212arctan ; (8)C x xe e ++1ln . 2.(1)C x x ++21; (2)C x x+--32arccos 39; (3)C xx +-442;(4)C x x x +++-)21ln()2()2(32323433132; (5)C x x x x +---)1(4arcsin 2222122; (6)提示:令 sin t x =(只需 20π<<t 即可),则 原式]d [d d cos sin )sin (cos d 21cos sin cos sin sin cos 21cos sin cos ⎰⎰⎰⎰++++-+++===t t t t tt tt t t tt tt t t (很巧妙)C x x x Ct t t t +-+++++==]1ln [arcsin ]cos sin ln [22121回代把.第五章 §5.11.提示:把区间n ]1 ,0[等份,每份长都是n1,每个小区间),,2,1( ],[1n i n in i Λ=-都取右端点,则a a a n a a an a a ax a nn n n n n n n ni ninn x ln 1)ln (]1[lim )1(])(1[limlimd 11111111-=--=--==∞→∞→=∞→∑⎰. 附注:其中①利用了分解式 )1)(1(112-++++-=-n n b b b b b Λ(上式中n ab 1=);②利用了等价无穷小代换:□→0时,1-a □~-□ln a .2.(1)极限中的和式相当于:把区间n ]1 ,0[等份,每份长都是n1,每个小区间 ],[1n in i - ),,2,1( n i Λ=都取右端点,函数x x f +=1)(在所取点处的值再乘以小区间的长度并把它们加起来的结果(这种和有个名称,叫“积分和”),于是,按定义:原极限=⎰+1d 1x x ;(2)同理,极限中的和式是函数x x f πsin )(=在区间]1 ,0[上的积分和,于是,按定义: 原极限=⎰1d sin x x π.另外,该极限式子又可变为 ∑=∞→ni n ni n11sinlimπππ,暂不管π1,而这极限中的和式是函数 x x f sin )(= 在区间] ,0[π上的积分和,所以,仍按定义:又有 原极限⎰=ππ 01d sin x x .(同一式子导致两种不同的表示说明:“会看看门道”的道理)3.(1)不可积,无界;(2)可积,连续.4.(1)⎰πd sin x x ; (2)⎰-112d x x .§5.21.(1)2110 152d 2≤≤⎰+x xx (提示:在]1 ,0[上,211522≤≤+x x ,再利用定积分的估值不等式性质); (2)412222d 2---≤≤-⎰e x e e xx(提示:在]2 ,0[上,2241e e e x x ≤≤--,再利用定积分的估值不等式性质,注意:下限大,而上限小).2.(1)反证法:若存在一点] ,[0b a x ∈,使0)(0≠x f ,则由题设可知,必有0)(0>x f ,又因)(x f 连续,从而存在0x 的一个邻域) ,(00δδ+-x x ,在这邻域内0)(>x f .于是,就有0d )(00>⎰+-δδx x x x f ;但另一方面,又由题设可知0d )(d )( 00=≤⎰⎰+-bax x x x f x x f δδ,矛盾. 故对一切] ,[b a x ∈,都有0)(=x f ,即在] ,[b a 上,0)(≡x f .(2)证:由题设可知:存在一点] ,[0b a x ∈,使0)(0>x f ,从而存在0x 的一个邻域) ,(00δδ+-x x ,在这邻域内0)(>x f .于是,就有0d )(00 >⎰+-δδx x x x f ,故0d )(d )(00 >≥⎰⎰+-δδx x bax x f x x f .(3)这是(1)的直接推论. 3.提示:①先对定积分用“积分中值定理”再取极限.②也可以“两头夹”:01sin d sin 01sin sin 01−−→−≤≤⇒≤≤∞→⎰n n n nnx x x .§5.31.(1)0; (2)⎰-xt t e 0 d 2; (3))0()(f x f -; (4)0 ,0 ,0 ,2x xe -; (5)x e ycos --.2.(1)81221213x x x x ++-; (2)x x x x cos )sin cos()sin ()cos cos(22⋅--⋅ππ.3.(1)2(连续用两次洛必达法则,还可先把分母等价无穷小代换后再用洛必达法则);(2)提示:0→x 时,2sin x ~2x ,12-x e ~x 21,x arctan ~x ,所以,原极限=01)1ln(lim 22lim d lim2201)1ln(0221 01)1ln(022002=++⋅→++→++→==⎰x x xx x tx x x x x t t x 约简型洛; (3)原极限21lim 2]1d [lim 2d 2lim202222200 02 0=⋅⋅→→→=⎰=⎰=xx x x t x xx x t x e e xte xe et e 型洛约简型洛; 注意:在极限的运算过程中,极限为1的变量式子21xe 直接“抹掉了”(想想合法吗 ?).(4)原极限)(lim 1)(d )(1 0a f a x f x t t f ax xa=⎰⋅+⋅→=型洛.4.(1)原式4d sin 42 0==⎰πx x ; (2)原式1d )1(210 =-=⎰x x ;(3)原式⎰-++=+=0141121d )3(2πx x x ; (4)原式3821 2211 0d d )1(=++=⎰⎰x x x x . 5.当)1 ,0[∈x 时,231 02d )(x t t x x==Φ⎰; 当]2 ,1[∈x 时,=+=Φ⎰⎰xt t t t x 11 02d d )(61221-x (这一步是关键). 故 ⎪⎩⎪⎨⎧≤≤-≤≤=Φ,21,,10 , )(61221331x x x x x 显然,)(x Φ在]2 ,0[内连续(显然吗?).6.当)0 ,(-∞∈x 时,0d 0 d )()(00 =-==Φ⎰⎰xx t t t f x ;当] ,0[π∈x 时,=Φ)(x )cos 1(d sin 2121x t t x-=⎰; 当) ,(∞+∈πx 时,⎰⎰⎰+==Φxx t t t t t f x 0 210 d 0d sin d )()(ππ1=.故 ⎪⎩⎪⎨⎧>≤≤-<=Φ. , 1 , 0 , )cos 1(,0 , 0 )(21ππx x x x x 7.先用一次洛必达法则得 xb xa x x cos lim120-=+→,因分子极限为0,所以分母极限也一定是0(想想为什么?),从而 1=b ;这时分母 x cos 1-~221x ,再一次取极限得 4=a . 8.提示:当) ,(b a x ∈时,2)(d )())(()(a x tt f a x x f xax F ---⎰=',只需证分子 0≤ 即可.于是,若令⎰--=x at t f x f a x x g d )()()()(,则)()()()()()()(x f a x x f x f a x x f x g '-=-'-+=',因在),(b a 内0)(≤'x f ,所以,在),(b a 内0)(≤'x g ,从而在),(b a 内0)()(=<a g x g .§5.71.(1)22ωω+p (连续两次分部积分,并注意会出现循环现象,再移项求解); (2)2π. 2.1>k 收敛;1≤k 发散; 当1>k 时,11)2(ln 1112)(ln 1112)(ln 1d --⋅=⋅=-∞+-∞+⎰k k kk x k x x x ,而函数 )0( )()2(ln 1>=x x f xx 当 2ln ln 1-=x 时取得它在) ,0(∞+内的最小值=m in f 12ln ln 1)2ln (ln +-,所以,当2ln ln 11-=-=k x ,即 2ln ln 11-=k 时广义积分的值最小.3.左c x cx c x e 22)1(lim =+=-∞→, 右⎰⎰∞-∞-∞--==ct ctct t e te e t 221221 221d )(dc c c tc c e e e 241224122)(-=-=∞-, 应有 1412=-c ,所以 25=c . 第五章 总复习题1.(1)A ; (2)C ;(3)提示:0=M 是奇函数在对称区间上的积分;P 的第一部分积分为0,第二部分积分为负,所以,0<P ;而N 的第一部分积分为0,第二部分积分为正(很容易算出,等于几呢?),所以,0>N ,故选D ;(4)提示:⎰⎰-=x xt t f t t t f xx F 02 02d )(d )()(,则⎰='xt t f x x F 0d )(2)(,而极限10 0 00d )(2lim d )(2lim )(lim -→→→⎰⎰=='k xx k x x k x x t t f x t t f x x x F 2000)1()(2lim-→-=k x x k x f 型洛0)0()(lim0 3 ≠'=→==f x x f x k 时当才会存在,故选C ;(5)提示:如图所示,由题设可知:)(x f 的图形在x 轴的上方单调下降且是凹的,2S 是下边小矩形的面积,最小;3S 是梯形的面积,最大;而1S 是阴影的面积,介于其间,故选B ;(6)提示:利用周期函数的积分性质:若)()(t f T t f =+,则对任意的常数a ,积分⎰⎰=+TTa at t f t t f 0 d )(d )( 与a 无关,现在t e t f t sin )(sin = 的 π2=T ,可知:⎰⎰⎰⎰+===πππππ2 sin 0sin 2 0sin 2 0d sin d sin d sin d )()(t te t t et t et t f x F t tt,对第二个积分令 π+=u t 换元而化为 ⎰⎰-=--ππsin 0sin d sin d )sin (t etu u e t u , 故可知:0d sin ]1[)( 0sin sin >-=⎰πt t ee x F tt 为正常数,故选A ;(7)提示:先通过换元把被积函数符号)(22t x f -中的x “拿出来”,再求导.=⎰=⎰-=-⋅---换凑22)()(d )( d )( 21 02222 0 22t x u xxtx t x f t t xf t⎰⎰=-=2221021d )(d )(x x u u f u u f ,故选A. (评注:本题的关键是换元)2.(1)0; (2)a 2sec ; (3)0; (4)0; (5)0;(6)x x f 3sin )3(cos 3-; (7)2sin x ; (8)8π; (9)3ln ; (10)π1231+. 3.(1)证①:⎰⎰⎰⎰--=-11 0d )(d )()1(d )(d )(λλλλλλx x f x x f x x f x x f (积分中值定理))10( 0)]()()[1()1)(()()1(≤≤≤≤≥--=--⋅-=ηλξηξλλληλλξλf f f f .证②:⎰⎰⎰⎰--=-11 0d )(d )()1(d )(d )(λλλλλλx x f x x f x x f x x f0)()1()()1(=---≥λλλλλλf f .评注:两种证法仅是考虑问题出发点不同:①的核心是积分中值定理与单调性的结合;②的核心是积分的不等式性质与单调性的结合.(2)提示:分部积分,得原式⎰⎰----+=⋅-=πππππππππ 0)( 0sin 0d sin )( d )(x x f x x x xf xx x x2)( d sin )( d d sin )( 00 sin 0=-+=-+=⎰⎰⎰-πππππππππππf x x f x x x f xx ;评注:本题的特点是含有“积不出”的积分 ⎰-xt tt 0 sin d π,但并不影响要求的定积分. (3))32ln(23++-(提示:令xet 21--=,则原积分⎰-=231d 22t t t ,再拆分); (4))()](2)([42222t f t f t t f ''+'(特点是参数方程,但含有变限积分);(5)令xt u =,则u t xd d 1=,xu t 010↔,⎰=x x u u f x 01d )()(ϕ,由A xx f x =→)(0lim及)(x f连续知:0)0(=f ,A f =')0(;由 ===→⎰→→=)0(limlim)(lim 1)(0d )(00 0f x x f x xt t f x x x型洛ϕ0)0(d )0(1==⎰ϕt f ,知)(x ϕ在点0=x 处连续;==='→--→xx x x x x )(00)0()(0lim lim )0(ϕϕϕϕ 22)(0d )(0lim lim 02 0 Ax x f x x tt f x x=→⎰→=型洛; 0≠x 时,20 d )()()(x tt f x f x x x ⎰-='ϕ,且因)0(][lim lim)(lim 22d )()(0d )()(02 0 2ϕϕ'==-=⎰-⎰='→-→→=A A x tt f x x f x x t t f x f x x x A x xx拆分,故可知)(x ϕ'在点0=x 处连续,从而处处连续.评注:本题是属于对变限积分所定义的函数的可导性的研究的题目.核心是导数的定义.(6)π2(提示:先放缩分母得不等式 ∑∑∑===+<+<ni n n i i n i ni n ni n n i 1111111sinsin sin πππ, 而左端的极限(利用定积分)πππππ2111 0 111111d sin sin lim ]sin [lim sin lim ===⋅=∑∑⎰∑==∞→+∞→=+∞→n i n i n n n n n n ni n n x x n i n i n i , 右端的极限(利用定积分)πππ21 0 11d sin sin lim ==⎰∑=∞→x x n i ni nn ,再利用夹逼定理); 评注:本题是利用夹逼准则和定积分相结合的方法而求和式极限的题目,加大了难度. (7)首先,因分子极限为0,所以,分母极限也一定是0,于是得0=b ;由洛必达法则得 20)1ln(0cos limcos lim 3x x a xa c x x x x --=→+→=分母等价无穷小代换,可知 1=a ;进而知21=c ; (8)原式⎰⎰--+=23 1)1(1121 )1(1d d x x x x x x ,第一个积分令2x x t -=,则012121t x ↔, )411(221t x -+=,所以,221)2(110214121 21)1(1)d(2d d 22π===⎰⎰⎰----t t x t tx x ;而对第二个积分令x x t -=2,则2323tx ↔,)411(221t x ++=,所以, ⎰⎰+-=23412231)1(1d d 2t x t x x 2320223)2(11))2(12ln()d(2t t t t ++==⎰+)32ln(+=, 故原式)32ln(2++=π.评注:本题中所作的两个换元虽有相似,但却本质不同,因此,相当于两个不同的积分. (9)提示:⎰∑⎰⎰∑--=-=-+-=-=nn n k n nnk n x x f n f x x f k f x x f k f a 1111111d )()(]d )()([d )()()](d )([ 11n f x x f a nn n --=⎰--,因)(x f 单调减,则)1(d )()( 1-≤≤⎰-n f x x f n f n n ,从而 0)](d )([1 ≥-⎰-n f x x f nn ,所以 1-≤n n a a ,即n a 单调减;另一方面,对一切n ,)(]d )()([d )()(11111n f x x f k f x x f k f a n k k knnk n +-=-=∑⎰⎰∑-=+=0)()()]()([11>=+-≥∑-=n f n f k f k f n k ,即n a 有下界. 综上:n a 单调递减有下界,故由单调有界准则(或原理)可知:A a n n =∞→lim 存在. 评注:上述分析推到过程中,积分的不等式性质起到关键作用. (10)] )( )([ )( )(22222222d 1d 21 12d 1d 2⎰⎰⎰=⎰+++=++=a auuu a auuu a a uuu a u x axxx a u f u f u f x f 令 而上式右端第二个积分⎰=⎰-⋅++=1d )d ()( )(2222222a t a a t ta u a au u ua t t f u f ta 令⎰⎰+=+=au u u a a t t t a u f t f 1d 1 d )( )(22(恰与第一个积分相等). ∴ ⎰+a x x x ax f 1 d 2 )(22⎰+=a u uu a u f 1 d )(2⎰+=a x x x a x f 1d )(2. 评注:通过两次不同的换元才最终达到目的是本题的特点.第六章 §6.51.由虎克定律:kx x F =)((x 为弹簧伸长厘米数),由5=x 时,100=F ,即k 5100=,得 20=k ,于是,x x F 20)(=,故 2250d 20d )(150 15===⎰⎰x x x x F W (克厘米).2.如图所示,沙堆母线AB 的方程为 1=+hyr x ,即)1(h yr x -=.沙的比重2000=ρ公斤/米3.对应于薄层]d ,[y y y +,则y yr y x y V y W h y d )1( d d d 222-===πρρπρ,故 22350022 d )1( h r y yr W hh y ππρ=-=⎰. 3.(1)660d )8(10 ,d )8(10d 6=+=+=⎰x x F x x F (吨);(2)设应升h 米,则 )11(60d )8(10 2 ,d )8(10d 60 +=++=++=⎰h x h x F x h x F ,于是,应有 )11(606602+=⋅h ,故 11=h (米).4.(1)AB 的线密度为l M,)(d )( 0 2a l a kmM x a x l kmM F l +=+=⎰(k 为引力常数); (2)引力分解为两个分力,由对称性,x x a l kmMF F x d )(d ,022+==,x x a l kmMax x a l kmM F y d )(cos d )(d 232222+=⋅+=ϕ, 222 2 232242d )(la a kmMx x a l kmMa F l l y +=+=⎰-. §6.61.232211d 2 e x x xe y -==⎰-. 2.12d )23( 3231=+=⎰t t t v (m/s ).3.mT T I t t i 21 021d )(I ==⎰. 第六章 总复习题1.23+-=x y ; )3 ,( , )1 ,(2921-; 31613 22123d ])[(=--=⎰-y y y A . 2.) , 2(4πa ;⎰⎰+2 42214 0221d )cos 2( d )sin 2( πππθθθθa a ; 22)1(a -π. 3.4ln 141+-=x y (提示:曲线]6 ,2[ ln ∈=t x y 在处的切线 方程为)(ln 1t x t y t -=-,即1ln 1-+=t x y t.题设中所指的 面积为⎰--+=-=62 8d ln )2ln 2(2)(x x t S S t S t曲边梯形梯形6ln 62ln 2ln 416-++=t t. 令0)(4162=+-='ttt S ,求得唯一驻点为]6 ,2[4∈=t ,从而曲线上的点为)4ln ,4().4.)32ln(6++(提示:抛物线221x y =与圆322=+y x 的右交点为)1 ,2(A ,如图:由对称性,所求的弧长为⎰⎰⎰+='+==2220 2 d 12d 12d 2x x x y s l OA).5.222342 , ab ab ππ(提示:椭圆绕直线b y =旋转所得的 立体与把椭圆向上平移b 个单位再绕x 轴旋转所得的立体一样大小.如图所示:所求的体积为⎰--=aax y y V 2221d ])()[(π⎰-----+=aaa x a x xb b b b 22d ])1()1[(2222π⎰⎰-⋅⋅=-=-aabaa a x x x a xb 022 2d 42d 14222ππ 2 8 222412ab a a b πππ=⋅⋅=). 6.0 , 2 , 35==-=c b a (提示:因抛物线过原点,∴0=c .如图:由题意,得图中阴影的面积为231 0294d )(ba x bx ax +=+=⎰ ①;此阴影绕x 轴旋转所得的立体的体积为)(d )(23121251122b ab a x bx ax V ++=+=⎰ππ.由①得)(2394a b -=,并代入V 的表达式而转化为求)(a V 的最小值问题,令0)(='a V ,可得唯一驻点35-=a ,从而2=b ). 7.提示:与曲线221-+=x x y 关于点)2 ,(p p 对称的曲线方程,是从21211-+=x x y 以及p x x =+)(121 和p y y 2)( 121=+中消去1y 和1x 而得到的,即 224)14(222++-++-=p p x p x y .设1y 与2y 的交点横坐标为)( βαβα<、,则所围面积为33112)(d )()(αββα-=-=⎰x y y p S .令21y y 、右端相等,得022222=--+-p p px x ,解之得βα、,并令判别式大于0解得 21<<-p ,23231])12(9[)(--=p p S ,21=p 时,)(p S 取最大值9.8.如图所示,设球的比重1≡ρ,半径为r ,则对应于 薄层]d ,[x x x +上的体积微元V d 上的功的微元为,d ])([1d d d 222x r x r gx x g x y x g V W --=⋅⋅⋅=⋅⋅=ππρ∴=-=⎰r x x rx x g W 2 02d )2(π)s /m 8.9( 2434=g g r π. 9.如图所示,水深x 处宽为x d 的面积微元x y A d 2d =上所受的压力微元为 x x gxA gx F d 2d d 22ρρ==,∴ ===⎰g x x x g F ρρ5162 0d 2N 31360; 设压力加倍时闸门下降m h , 则⎰+=2d )(22x x h x g F ρh g F ρ38+=,即 51638=h ,∴ =h m 2.1.其中ρ为水的比重. 定积分应用总评住:对所有专业而言,面积、体积和弧长应是最基本的;力学、物理方面的应用因专业而异;限于篇幅,未涉及经济和其它方面的应用.第二册参考答案第一章 §1.31.(1)B ;(2)C ;(3)C ;(4)A .2.(1)证:∵a x n n =∞→lim ,∴对于事先给定的无论多么小的正数ε(简记为0>∀ε),都存在自然数N (记为N ∃),只要N n >,就必有不等式ε<-a x n 成立,从而对任一自然数k ,当N k n >+(即k N n ->)时,不等式ε<-+a x k n 仍成立,故由数列极限的定义可知:a x k n n =+∞→lim .(2)证:∵a a n n =∞→lim ,∴N n N >∃>∀ , , 0ε时,ε<-a a n ,这时也必有ε<-≤-a a a a n n ,故a a n n =∞→lim .反例:n n a )1(-=,则1)1(lim lim =-=∞→∞→n n n n a 存在,但nn n n a )1(lim lim -=∞→∞→不存在(即n n a )1(-=发散).(3)证:∵0lim =∞→n n x ,∴N n N >∃>∀ , , 0ε时,ε<-0n x ε<-⇔0n x 成立,故0lim =∞→n n x .(4)证:∵)2( 112)12(232231232223222>=<==--+-+-+n nn n nn n n n nn ,∴][ , 01εε=∃>∀N (取整)只要N n > (从而ε1>n ),必有ε<><--+)2( 12312322n n n nn 成立,故2312322lim =-+∞→n n n n . 3.证:∵数列}{n x 有界,∴0>∃M ,使得对一切N ∈n ,都有M x n ≤成立①;又∵0lim =∞→n n y ,∴N n N >∃>∀ , ,0ε时,Mn n y y ε<=-0②. 于是,0>∀ε,对②中的N ,当N n >时,①②同时成立,所以这时εε=⋅<⋅<=-M n n n n n n M y x y x y x 0,故 0lim =∞→n n n y x .§1.41.(1)分析:因为22)2)(2(42-+=-+=-x x x x x ,而2→x ,所以可设31<<x ,于是,252242-<-+=-x x x x ,对于给定的0>ε,为了ε<-42x ,则只要δε=<-52x 即可,于是有如下的证明: 证:对于事先给定的无论多么小的正数ε,取5εδ=,只要δ<-<20x ,就必有 ε<-42x 成立,所以,4lim 22=→x x .(2)分析:因为)4)(2(2)106(2--=-+-x x x x ,而2→x ,所以可设31<<x ,于是,234)2(2)106(2-<--=-+-x x x x x ,对0>∀ε,为了ε<-+-2)106(2x x ,只要δε=<-32x 即可,从而证明如下:证:0>∀ε,03>=∃εδ,只要δ<-<20x ,就必有ε<-+-2)106(2x x成立,故 2)106(lim 22=+-→x x x .评注:以上的证法就是函数极限的“δε-论证法”,虽然抽象,但很严密,望认真体会.2.(1)证:∵21211212222x xxx x ≤=-++-,∴0>∀ε,取2εδ=,只要δ<-<00x ,就必有ε<≤=-++-21211212222x xxx x 成立,故 1lim 22110=+-→x x x . (2)证:∵34312221++-=-x x x ,∴0>∀ε,取34-=εX (10<<ε),则当X x >时,必有ε<=-++-34312221x x x 成立,故 1lim 3122=+-∞→x x x . 当01.0=ε时,397=X .评注:(2)的证法就是函数∞→x x f )(当时极限的“X -ε论证法”,望认真体会.3.(1)1)00( ,1)00(=+-=-f f ,所以,)(lim 0x f x →不存在;(2)0)00( ,1)00(=+=-f f ,所以,)(lim 0x f x →不存在; 而 1)(lim 1=→x f x .4.⎪⎩⎪⎨⎧>-><-=. 0 ,1, 0 ,1 ,0 ,1)(为无理数且为有理数且x x x x x x f。
《高等数学》练习测试题库及答案一.选择题1.函数y=112+x 是( )A.偶函数B.奇函数 C 单调函数 D 无界函数2.设f(sin 2x)=cosx+1,则f(x)为( )A 2x 2-2B 2-2x 2C 1+x 2D 1-x 23.下列数列为单调递增数列的有( )A . ,,,B .23,32,45,54C .{f(n)},其中f(n)=⎪⎩⎪⎨⎧-+为偶数,为奇数n n nn n n1,1 D. {n n 212+}4.数列有界是数列收敛的( )A .充分条件 B. 必要条件C.充要条件 D 既非充分也非必要5.下列命题正确的是( )A .发散数列必无界B .两无界数列之和必无界C .两发散数列之和必发散D .两收敛数列之和必收敛6.=--→1)1sin(lim 21x x x ( ).0 C 27.设=+∞→x x x k)1(lim e 6 则k=( ).2 C 68.当x →1时,下列与无穷小(x-1)等价的无穷小是( )2 B. x 3-1 C.(x-1)2 (x-1) (x)在点x=x 0处有定义是f(x)在x=x 0处连续的( )A.必要条件B.充分条件C.充分必要条件D.无关条件10、当|x|<1时,y= ( )A 、是连续的B 、无界函数C、有最大值与最小值D、无最小值11、设函数f(x)=(1-x)cotx要使f(x)在点:x=0连续,则应补充定义f(0)为()A、B、e C、-e D、-e-112、下列有跳跃间断点x=0的函数为()A、 xarctan1/xB、arctan1/xC、tan1/xD、cos1/x13、设f(x)在点x0连续,g(x)在点x0不连续,则下列结论成立是()A、f(x)+g(x)在点x0必不连续B、f(x)×g(x)在点x0必不连续须有C、复合函数f[g(x)]在点x0必不连续D、在点x0必不连续14、设f(x)= 在区间(- ∞,+ ∞)上连续,且f(x)=0,则a,b满足()A、a>0,b>0B、a>0,b<0C、a<0,b>0D、a<0,b<015、若函数f(x)在点x0连续,则下列复合函数在x0也连续的有()A、 B、C、tan[f(x)]D、f[f(x)]16、函数f(x)=tanx能取最小最大值的区间是下列区间中的()A、[0,л]B、(0,л)C、[-л/4,л/4]D、(-л/4,л/4)17、在闭区间[a ,b]上连续是函数f(x)有界的()A、充分条件B、必要条件C、充要条件D、无关条件18、f(a)f(b) <0是在[a,b]上连续的函f(x)数在(a,b)内取零值的()A、充分条件B、必要条件C、充要条件D、无关条件19、下列函数中能在区间(0,1)内取零值的有()A、f(x)=x+1B、f(x)=x-1C、f(x)=x2-1D、f(x)=5x4-4x+120、曲线y=x2在x=1处的切线斜率为()A、k=0B、k=1C、k=2D、-1/2x相切,则()21、若直线y=x与对数曲线y=logaA、eB、1/eC、e xD、e1/e22、曲线y=lnx平行于直线x-y+1=0的法线方程是()A、x-y-1=0B、x-y+3e-2=0C、x-y-3e-2=0D、-x-y+3e-2=023、设直线y=x+a与曲线y=2arctanx相切,则a=()A、±1B、±л/2C、±(л/2+1)D、±(л/2-1)24、设f(x)为可导的奇函数,且f`(x0)=a,则f`(-x0)=()A、aB、-aC、|a|D、025、设y=㏑,则y’|x=0=()A、-1/2B、1/2C、-1D、026、设y=(cos)sinx,则y’|x=0=()A、-1B、0C、1D、不存在27、设yf(x)= ㏑(1+X),y=f[f(x)],则y’|x=0=()A、0B、1/ ㏑2C、1D、㏑228、已知y=sinx,则y(10)=()A、sinxB、cosxC、-sinxD、-cosx29、已知y=x㏑x,则y(10)=()A、-1/x9B、1/ x9C、x9D、 x930、若函数f(x)=xsin|x|,则()A、f``(0)不存在B、f``(0)=0C、f``(0) =∞D、 f``(0)= л31、设函数y=yf(x)在[0,л]内由方程x+cos(x+y)=0所确定,则|dy/dx|x=0=()A、-1B、0C、л/2D、 232、圆x2cos θ,y=2sin θ上相应于θ=л/4处的切线斜率,K=( )A 、-1B 、0C 、1D 、 233、函数f(x)在点x 0连续是函数f(x)在x 0可微的( )A 、充分条件B 、必要条件C 、充要条件D 、无关条件34、函数f(x)在点x 0可导是函数f(x)在x 0可微的( )A 、充分条件B 、必要条件C 、充要条件D 、无关条件35、函数f(x)=|x|在x=0的微分是( )A 、0B 、-dxC 、dxD 、 不存在36、极限)ln 11(lim 1xx x x --→的未定式类型是( ) A 、0/0型 B 、∞/∞型 C 、∞ -∞ D 、∞型37、极限 012)sin lim(→x x x x 的未定式类型是( )A 、00型B 、0/0型C 、1∞型D 、∞0型38、极限 x x x x sin 1sinlim 20 =( ) A 、0 B 、1 C 、2 D 、不存在39、x x 0时,n 阶泰勒公式的余项Rn(x)是较x x 0 的( )A 、(n+1)阶无穷小B 、n 阶无穷小C 、同阶无穷小D 、高阶无穷小40、若函数f(x)在[0, +∞]内可导,且f`(x) >0,xf(0) <0则f(x)在[0,+ ∞]内有( )A 、唯一的零点B 、至少存在有一个零点C 、没有零点D 、不能确定有无零点41、曲线y=x 2-4x+3的顶点处的曲率为( )A 、2B 、1/2C 、1D 、042、抛物线y=4x-x 2在它的顶点处的曲率半径为( )A 、0B 、1/2C 、1D 、243、若函数f(x)在(a,b )内存在原函数,则原函数有( )A、一个B、两个C、无穷多个D、都不对44、若∫f(x)dx=2e x/2+C=()A、2e x/2B、4 e x/2C、e x/2 +CD、e x/245、∫xe-x dx =( D )A、xe-x -e-x +CB、-xe-x+e-x +CC、xe-x +e-x +CD、-xe-x -e-x +C46、设P(X)为多项式,为自然数,则∫P(x)(x-1)-n dx()A、不含有对数函数B、含有反三角函数C、一定是初等函数D、一定是有理函数47、∫-10|3x+1|dx=()A、5/6B、1/2C、-1/2D、148、两椭圆曲线x2/4+y2=1及(x-1)2/9+y2/4=1之间所围的平面图形面积等于()A、лB、2лC、4лD、6л49、曲线y=x2-2x与x轴所围平面图形绕轴旋转而成的旋转体体积是()A、лB、6л/15C、16л/15D、32л/1550、点(1,0,-1)与(0,-1,1)之间的距离为()A、 B、2 C、31/2 D、 21/251、设曲面方程(P,Q)则用下列平面去截曲面,截线为抛物线的平面是()A、Z=4B、Z=0C、Z=-2D、x=252、平面x=a截曲面x2/a2+y2/b2-z2/c2=1所得截线为()A、椭圆B、双曲线C、抛物线D、两相交直线53、方程=0所表示的图形为()A、原点(0,0,0)B、三坐标轴C、三坐标轴D、曲面,但不可能为平面54、方程3x2+3y2-z2=0表示旋转曲面,它的旋转轴是()A、X轴B、Y轴C、Z轴D、任一条直线55、方程3x2-y2-2z2=1所确定的曲面是()A、双叶双曲面B、单叶双曲面C、椭圆抛物面D、圆锥曲面56下列命题正确的是()A、发散数列必无界B、两无界数列之和必无界C、两发散数列之和必发散D、两收敛数列之和必收敛(x)在点x=x0处有定义是f(x)在x=x0处连续的()A、.必要条件B、充分条件C、充分必要条件D、无关条件58函数f(x)=tanx能取最小最大值的区间是下列区间中的()A、[0,л] B、(0,л)C、[-л/4,л/4]D、(-л/4,л/4)59下列函数中能在区间(0,1)内取零值的有()A、f(x)=x+1B、f(x)=x-1C、f(x)=x2-1D、f(x)=5x4-4x+160设y=(cos)sinx ,则y’|x=0=( ) A 、-1 B 、0 C 、1 D 、 不存在二、填空题1、求极限1lim -→x (x 2+2x+5)/(x 2+1)=( )2、求极限 0lim →x [(x 3-3x+1)/(x-4)+1]=( )3、求极限2lim →x x-2/(x+2)1/2=( )4、求极限∞→x lim [x/(x+1)]x =( )5、求极限0lim →x (1-x)1/x = ( )6、已知y=sinx-cosx ,求y`|x=л/6=( )7、已知ρ=ψsin ψ+cos ψ/2,求d ρ/d ψ| ψ=л/6=( ) 8、已知f(x)=3/5x+x 2/5,求f`(0)=( )9、设直线y=x+a 与曲线y=2arctanx 相切,则a=( ) 10、函数y=x 2-2x+3的极值是y(1)=( ) 11、函数y=2x 3极小值与极大值分别是( ) 12、函数y=x 2-2x-1的最小值为( )13、函数y=2x-5x 2的最大值为( )14、函数f(x)=x 2e -x 在[-1,1]上的最小值为( )15、点(0,1)是曲线y=ax 3+bx 2+c 的拐点,则有b=( ) c=( ) 16、∫xx 1/2dx= ( )17、若F`(x)=f(x),则∫dF(x)= ( ) 18、若∫f(x)dx=x 2e 2x +c ,则f(x)= ( ) 19、d/dx ∫a b arctantdt=( )20、已知函数f(x)=⎪⎩⎪⎨⎧=≠⎰-0,0,022)1(1x a x x t dte x在点x=0连续, 则a=( ) 21、∫02(x 2+1/x 4)dx=( ) 22、∫49 x 1/2(1+x 1/2)dx=( ) 23、∫031/2a dx/(a 2+x 2)=( ) 24、∫01 dx/(4-x 2)1/2=( ) 25、∫л/3лsin(л/3+x)dx=( )26、∫49 x1/2(1+x1/2)dx=( )27、∫49 x1/2(1+x1/2)dx=()28、∫49 x1/2(1+x1/2)dx=()29、∫49 x1/2(1+x1/2)dx=()30、∫49 x1/2(1+x1/2)dx=()31、∫49 x1/2(1+x1/2)dx=()32、∫49 x1/2(1+x1/2)dx=()33、满足不等式|x-2|<1的X所在区间为 ( )34、设f(x) = [x] +1,则f(л+10)=()35、函数Y=|sinx|的周期是()36、y=sinx,y=cosx直线x=0,x=л/2所围成的面积是()37、 y=3-2x-x2与x轴所围成图形的面积是()38、心形线r=a(1+cosθ)的全长为()39、三点(1,1,2),(-1,1,2),(0,0,2)构成的三角形为()40、一动点与两定点(2,3,1)和(4,5,6)等距离,则该点的轨迹方程是()41、求过点(3,0,-1),且与平面3x-7y+5z-12=0平行的平面方程是()42、求三平面x+3y+z=1,2x-y-z=0,-x+2y+2z=0的交点是( )43、求平行于xoz面且经过(2,-5,3)的平面方程是()44、通过Z轴和点(-3,1,-2)的平面方程是()45、平行于X轴且经过两点(4,0,-2)和(5,1,7)的平面方程是()46求极限lim [x/(x+1)]x=()∞x→47函数y=x2-2x+3的极值是y(1)=()48∫49 x1/2(1+x1/2)dx=()49y=sinx,y=cosx直线x=0,x=л/2所围成的面积是()50求过点(3,0,-1),且与平面3x-7y+5z-12=0平行的平面方程是()三、解答题1、设Y=2X-5X2,问X等于多少时Y最大并求出其最大值。
大一高等数学期末考试试卷及复习资料详解大一高等数学期末考试试卷(一)一、选择题(共12分)1.(3分)若/3= 2XXV0,为连续函数,则d的值为().a+ x,x>0(A)I (B) 2 (C)3 (D)-I2.(3分)已知厂⑶=2,则Ii y "7⑶的值为().λ→0 2hOOl (B) 3 (C)-I (D)I23.(3分)定积分∫>Λ∕1-COS23Xdx的值为()•■⑷ 0 (B)-2 (C)I (D) 24.(3分)若/⑴在“勺处不连续,则/3在该点处()・(A)必不可导(B)—定可导(C)可能可导(D)必无极限二、填空题(共12分)1.(3分)平面上过点(0,1),且在任意一点(Λ∙,y)处的切线斜率为3疋的曲线方程为_________________________ .2.( 3 分)∫ ι(x2+x4 Sin XyIX = _______ 1-3.(3 分)IilnX2 Sin丄= ・.r→υX4.(3分)y = 2√ -3√的极大值为________________ —2 (6分)设尸冕,求*JT + 1三、计算题(共42分)1.(6 分)求Iim史S.∙*→υ Sin 3x^3.(6分)求不定积分JXIn(I+十)厶.x .v<ι4.(6 分)求J /(X-1)JΛ∖其中/(x)= < l + cosχ,e' +l,x> 1.5.(6分)设函数y = f(x)由方程JO e,M + [cos∕d∕ = 0所确定,求dy.6.( 6 分)设 f f{x)dx = Sin + C,求j + 3)dx.7.(6 分)求极限IinJI÷-Γn→30k 2/7 7四、解答题(共28分)1.(7 分)设,Γ(lnx) = l+x,且/(0) = 1,求32.(7分)求由曲线y = cosx[-^-<x<^及X轴所围成图形绕着X轴旋I 2 2)转一周所得旋转体的体积.3.(7分)求曲线y = x3-3√÷24x-19在拐点处的切线方程•4.(7分)求函数y = x + √∏7在[-5,1]上的最小值和最大值.五、证明题(6分)设厂(X)在区间[“]上连续,证明i a f^dx = ¥ [/(“) + f(b)]+1 [(X - a)(x - b)fj)dx.(二)一、填空题(每小题3分,共18分)1.设函数/(χ)= 2χ2~1 ,则"1是心)的第_________ 类间断点.X -3x + 23.=∙v→∞V X)4・ 曲线 V 在点(扣)处的切线方程 为 ・5 .函数J = 2X 3-3X 2在[-1,4]上的最大值 _________________ ,最小值 __________ .二、 单项选择题(每小题4分,共20分)1.数列&”}有界是它收敛的( )•(A)必要但非充分条件; (C)充分必要条件; 2.下列各式正确的是((B)充分但非必要条件; (D)无关条件.)・(A) je-χdx=e"x+C i(B) J In X(IX = _ + C ; (C)JI 2∕x=2hl (l 2x)+C ;(D) f —5—JX = Inlllx+ C ・' ,J XInX3-设/(x)在RM 上,广(x)>O 且厂(x)>0,则曲线y = f(x)在[“问上•6.∣∙arctanx J l +x 2(IX(小沿X轴正向上升且为凹(B)沿兀轴正向下降且为凹的;的;(D)沿X轴正向下降且为凸(C)沿兀轴正向上升且为凸的;的.则/(x)在兀=0处的导? :( )•4. 设/(*)=XInX ’⑷等于1;(C)等于O ;(D)不存在•5.已知Ihn/(x)= 2,以下结论正确的是()•G)函数在工=1处有定义且/(1)=2 ; (B)函数在;V = I处的某去心邻域内有定义;(C)函数在2 1处的左侧某邻域内有定义;(D)函数在21处的右侧某邻域内有定义.三、计算(每小题6分,共36分)1.求极限:HlnX2 sinx→0X2.已知y = ln(l + χ2),求几3.求函数J = >0)的导数.5.J X COS XdX ・丄 16.方程y x =X y确定函数y = f(x)f求八四、(H)分)已知/为/(X)的一个原函数,求∫x2∕(x}∕x.五、(6分)求曲线,=壮7的拐点及凹凸区间.六、(10 分)设J广(√∑)/X = X(e、' +1)+C ,求/(X)・(三)填空题(本题共5小题,每小题4分,共20分)・±J_(1)⅛(COSX)r = ________ 石________ .(2)曲线A = Xlnx上及直线X-y + l= °平行的切线方程为y =x-∖(3 )已知f f(e x) = xe~x,且/(D = O ,则大一高等数学期末考试试卷及复习资料详解/(X)= _________ /Cv)= 2(In X)________ .X 211(4)曲线V =3777的斜渐近线方程为 _______ V= 3Λ^9,二、选择题(本题共5小题,每小题4分,共20分)・(1)下列积分结果正确的是(D )(2)函数/W 在[恥]内有定义,其导数广⑴的图形如图1-1所示, 则(D ) •(A)刁宀都是极值点.⑻ g ,/3)),(£,/(£))都是拐点.(C) F 是极值点.,U 是拐点. (D) WJy))是拐点,勺是极值点.(3) 函数y = qe v ÷C 2e-÷A -e'满足的一个微分方程是(D ).(A) /-y-2>∙ = 3xe t . (B) /-y-2y = 3e v . (C) / + y-2y = 3Λ∙e c .(D) / + y~2y = 3e r .lim∕(⅞)-∕(⅞~z0 (4) 设/W 在%处可导,则I h 为(A ) •⑷ 广仇). (B) -f ,M.(C) O. (D)不存在.(5)下列等式中正确的结果是((A) (J* /(x)"∙χ)'Z=/W-(C) 町 /(χ)"χ]=/W -) 微分方程= (V+1)-的通解为三、计算J (本 共4小题,每小题6分,共24分).y =3 _5 "3 O(或令 √Γ+χ = r)四、解答题(本题共4小题,共29分)•1. (本题6分)解微分方程r-5∕÷6j = xe -.解:特征方程r 2-5r + 6 = 0 ------------- 1分 特征解斤=2,r 2 =3. ------------ 1分 3x大一高等数学期末考试试卷及复习资料详解 恤(丄—丄)1∙求极限j X-I In —X 11. xlnx-x+1Iim (—— _ ——)IIm ---------In XIUn I XTl x-1 I---- + In xh ∖x Iim x →,X -1 + xln1.1 + In X 1 IUn -------- =— j 1 + In X +1 2Λ = In Sin t2.方程尸COSWSinf 确定V 为X 的函数,dy y ,(f)-=-一 =∕sm∕, 解 JX 十⑴求dx 及Jx 2 .(3分) (6分)arctan JX3. 4.计算不定积分J石(1+『. arctanA∕√7—— (i + χ)=21 arctan √7t∕ arctan y ∕x ——解 Hatan 仇=2 J √x(l + x)=(arctan2+C ——「一 dx4.计算定积分如+曲.'3χ(l -VTTX) 0解 分)oT7⅛7_ V dx = 一J(:(I-、/i+x)〃X(6分)LL i∖l4/1 «\ ? r V 八2.(本题7分)一个横放着的圆柱形水桶(如图4-1),桶内盛有半桶水,设桶的底半径为R ,水的比重为乙计算桶的一端面上所受的压力.解:建立坐标系如图3.(本题8分)设/B在S】上有连续的导数,f(u) = f(b) = θ9且∫O∕2(X)JΛ =1^试求∫>∕ω∕解:J:Xf(X)f∖x)dx = £ Xf(X)df(x) 2 分= -∫n^^W ------------ 2 分=IV 2(Λ-)⅛-|£72(X)厶一一2 分4.(本题8分)过坐标原点作曲线>, = h^的切线,该切线及曲线y =lnx及X轴围成平面图形D.⑴(3) 求D的面积A;⑵(4) 求D绕直线X = e旋转一周所得旋转体的体积V.解:(1)设切点的横坐标为",则曲线y = In Λ在点(⅞Jn ⅞)处的切线方程y = Inx0 + —(X-X0).氐__I分由该切线过原点知山心-1 = 0,从而心=匕所以该切线的方程为1y = -X.平面图形D的面积1V = -X(2)切线"及X轴及直线Xe所围成的三角形绕直线Xe旋转V I = -7te1所得的圆锥体积为,3 2分曲线尸IZ及X轴及直线所围成的图形绕直线Xe旋转所得的旋转体体积为V2=(oπ(e-e>)2dy9】分因此所求旋转体的体积为V=V l-V2=-^2-e y)2dy = -(5e2-∖2e + 3).五、证明题(本题共1小题,共7分)•1.证明对于任意的实数Y , eJl + x.e x = l + x + —Λ2≥l + x2解法二设fM = e x-x~^则/(0) = 0.因为f f M = e x-∖. 1 分当Xno时,f,M≥o.f(χ)单调增加,/(χ)≥∕(θ)=o.当x≤0时,∕,ω≤0.∕(Λ∙)单调增加,/(X)≥/(0) =0. 所以对于任意的实数X, ∕3≥°∙即e'≥l + I 解法三:由微分中值定理得,R -1 = “ -60 =^(X-O) = ^Xt 其中§位于0 到X 之一1分2分A = V -ey)dy = ~e~^∙解法一:2分2分1分2分间。
高等数学考试题库(附答案)1. 解析:求函数 f(x) = x^2 在区间 [0, 2] 上的定积分。
2. 解析:求函数 f(x) = e^x 在区间 [1, 1] 上的定积分。
3. 解析:求函数 f(x) = sin(x) 在区间[0, π] 上的定积分。
4. 解析:求函数 f(x) = cos(x) 在区间[0, π/2] 上的定积分。
5. 解析:求函数 f(x) = ln(x) 在区间 [1, e] 上的定积分。
6. 解析:求函数 f(x) = x^3 在区间 [1, 1] 上的定积分。
7. 解析:求函数f(x) = √x 在区间 [0, 4] 上的定积分。
8. 解析:求函数 f(x) = 1/x 在区间 [1, 2] 上的定积分。
9. 解析:求函数 f(x) = tan(x) 在区间[0, π/4] 上的定积分。
10. 解析:求函数 f(x) = 1/(1 + x^2) 在区间 [0, 1] 上的定积分。
11. 解析:求函数 f(x) = x^2 + 1 在区间 [0, 1] 上的定积分。
12. 解析:求函数 f(x) = e^(x) 在区间 [0, 2] 上的定积分。
13. 解析:求函数 f(x) = sin^2(x) 在区间[0, π] 上的定积分。
14. 解析:求函数 f(x) = cos^2(x) 在区间[0, π/2] 上的定积分。
15. 解析:求函数 f(x) = 1/(1 + x^2) 在区间 [1, 1] 上的定积分。
16. 解析:求函数f(x) = √(1 x^2) 在区间 [1, 1] 上的定积分。
17. 解析:求函数 f(x) = x^3 3x^2 + 2x 在区间 [0, 2] 上的定积分。
18. 解析:求函数 f(x) = e^(2x) 在区间 [1, 1] 上的定积分。
19. 解析:求函数 f(x) = ln(x) 在区间 [1, e^2] 上的定积分。
20. 解析:求函数 f(x) = sin(x)cos(x) 在区间[0, π/2] 上的定积分。
高等数学复习题及答案【篇一:大学高等数学上考试题库(附答案)】>一.选择题(将答案代号填入括号内,每题3分,共30分).1.下列各组函数中,是相同的函数的是().(a)f?x??lnx 和 g?x??2lnx (b)f?x??|x| 和 g?x??2(c)f?x??x 和 g?x??2(d)f?x??|x|x和 g?x??122.函数f?x???ln?1?x??a?x?0x?0在x?0处连续,则a?().(a)0 (b)14(c)1 (d)23.曲线y?xlnx的平行于直线x?y?1?0的切线方程为().(a)y?x?1 (b)y??(x?1)(c)y??lnx?1??x?1?(d)y?x 4.设函数f?x??|x|,则函数在点x?0处().(a)连续且可导(b)连续且可微(c)连续不可导(d)不连续不可微5.点x?0是函数y?x4的().(a)驻点但非极值点(b)拐点(c)驻点且是拐点(d)驻点且是极值点6.曲线y?1|x|的渐近线情况是().(a)只有水平渐近线(b)只有垂直渐近线(c)既有水平渐近线又有垂直渐近线(d)既无水平渐近线又无垂直渐近线 7.?f???2dx的结果是(). ?x?x??1??1??1(b)(c)?c?f??cf????x??x??x?x(a)f??8.?dxe?ex??1(d)?c?f????x???c ?的结果是().x?x(a)arctane?c (b)arctane?c (c)e?e x?x?c (d)ln(e?ex?x)?c9.下列定积分为零的是().?(a)?4?arctanx1?x2??4dx (b)?4??4xarcsinxdx (c)?11?1e?e2x?x1?1?x2?x?sinxdx10.设f?x?为连续函数,则?f??2x?dx等于().(a)f?2??f?0? (b)12??f?11??f?0???(c)12??f?2??f?0???(d)f?1??f?0?二.填空题(每题4分,共20分)?e?2x?1?1.设函数f?x???x?a?x?0x?056在x?0处连续,则a?.2.已知曲线y?f?x?在x?2处的切线的倾斜角为?,则f??2??3.y?4.?xx?12.的垂直渐近线有条.dxx?1?lnx?2?.?5.?2??xsinx?cosx?dx?4?2.三.计算(每小题5分,共30分) 1.求极限①lim x??2x?1?x????x?②limx?0x?sinxxe?x2?1?2.求曲线y?ln?x?y?所确定的隐函数的导数y?. x3.求不定积分①?四.应用题(每题10分,共20分) 1.作出函数y?x?3x的图像. 232dx?x?1??x?3?②??a?0? ③?xe?xdx2.求曲线y?2x和直线y?x?4所围图形的面积.《高数》试卷1参考答案一.选择题1.b 2.b 3.a 4.c 5.d 6.c 7.d 8.a 9.a 10.c 二.填空题 1.?22.?三.计算题1①e2 ②11633.24.arctanlnx?c 5.22.y??x1x?y?13. ①ln|2x?1x?3|?c②ln|x|?c③?e?x?x?1??c四.应用题1.略2.s?18《高数》试卷2(上)一.选择题(将答案代号填入括号内,每题3分,共30分) 1.下列各组函数中,是相同函数的是( ). (a) f?x??x和g?x??(b) f?x??22x?1x?122和y?x?1(c) f?x??x和g?x??x(sinx?cosx)(d) f?x??lnx和g?x??2lnx ?sin2?x?1??x?1??2.设函数f?x???2?2x?1???x?1x?1 ,则limfx?1?x??().x?1(a) 0 (b) 1(c)2(d) 不存在3.设函数y?f?x?在点x0处可导,且f??x?0, 曲线则y?f?x?在点?x0,f?x0??处的切线的倾斜角为{}. (a) 0 (b)?2(c)锐角(d) 钝角4.曲线y?lnx上某点的切线平行于直线y?2x?3,则该点坐标是( ). ??1?1??(b) 2,?ln??? 2?2??2?x(a) ?2,ln (c)??1??1?,ln2? (d) ?,?ln2? ?2??2?5.函数y?xe及图象在?1,2?内是( ).(a)单调减少且是凸的 (b)单调增加且是凸的 (c)单调减少且是凹的 (d)单调增加且是凹的6.以下结论正确的是( ).(a) 若x0为函数y?f?x?的驻点,则x0必为函数y?f?x?的极值点. (b) 函数y?f?x?导数不存在的点,一定不是函数y?f?x?的极值点. (c) 若函数y?f?x?在x0处取得极值,且f??x0?存在,则必有f??x0?=0. (d) 若函数y?f?x?在x0处连续,则f??x0?一定存在.17.设函数y?f?x?的一个原函数为xex,则f?x?=( ).21111(a) ?2x?1?ex (b)2x?ex(c)?2x?1?ex(d) 2xex 8.若?f?x?dx?f?x??c,则?sinxf?cosx?dx?( ).(a) f?sinx??c (b) ?f?sinx??c (c) f?cosx??c (d) ?f?cosx??c 9.设f?x?为连续函数,则?f??1?x??dx=( ). ?2???1??(a) f?1??f?0? (b)2??f?1??f?0??? (c) 2??f?2??f?0??? (d)2?f?2??f?0??????10.定积分?dx?a?b?在几何上的表示( ).ab(a) 线段长b?a (b) 线段长a?b (c) 矩形面积?a?b??1 (d) 矩形面积?b?a??1 二.填空题(每题4分,共20分) ?ln?1?x2??1.设 f?x???1?cosx?a?x?0x?0, 在x?0连续,则a=________.2.设y?sin2x, 则dy?_________________dsinx.3.函数y?xx?12?1的水平和垂直渐近线共有_______条.4.不定积分?xlnxdx?______________________.5. 定积分?1?1xsinx?11?x22?___________.三.计算题(每小题5分,共30分) 1.求下列极限:?①lim?1?2x?x ②limx?01?arctanx1xx???2.求由方程y?1?xe所确定的隐函数的导数y?x.3.求下列不定积分:①?tanxsec3xdx②?ya?0?③?xedx2x四.应用题(每题10分,共20分) 1.作出函数y?13x?x的图象.(要求列出表格)3【篇二:高等数学试题及答案】>一、单项选择题(本大题共5小题,每小题2分,共10分)在每小题列出的四个备选项中只有一个是符合题目要求的,请将其代码填写在题后的括号内。
高等数学练习册及答案### 高等数学练习册及答案#### 第一章:极限与连续练习题1:计算下列极限:1. \(\lim_{x \to 0} \frac{\sin x}{x}\)2. \(\lim_{x \to \infty} \frac{\sin x}{x}\)3. \(\lim_{x \to 1} (x^2 - 1)\)答案:1. 根据洛必达法则,我们首先对分子分母同时求导,得到 \(\lim_{x \to 0} \frac{\cos x}{1} = 1\)。
2. 由于 \(\sin x\) 的周期为 \(2\pi\),当 \(x\) 趋向无穷大时,\(\frac{\sin x}{x}\) 趋向于0。
3. 直接代入 \(x = 1\),得到 \(\lim_{x \to 1} (x^2 - 1) = 0\)。
练习题2:判断函数 \(f(x) = \frac{x^2 - 1}{x - 1}\) 在 \(x =1\) 处是否连续。
答案:函数 \(f(x)\) 在 \(x = 1\) 处的极限为2,但 \(f(1)\) 未定义,因此 \(f(x)\) 在 \(x = 1\) 处不连续。
#### 第二章:导数与微分练习题1:求下列函数的导数:1. \(f(x) = x^3 - 2x\)2. \(g(x) = \sin x + e^x\)答案:1. \(f'(x) = 3x^2 - 2\)2. \(g'(x) = \cos x + e^x\)练习题2:利用导数求函数 \(h(x) = x^2\) 在 \(x = 2\) 处的切线方程。
答案:首先求 \(h'(x) = 2x\),然后计算 \(h'(2) = 4\),切点坐标为\((2, 4)\)。
切线方程为 \(y - 4 = 4(x - 2)\),简化得 \(y = 4x - 4\)。
#### 第三章:积分学练习题1:计算下列不定积分:1. \(\int x^2 dx\)2. \(\int \frac{1}{x} dx\)答案:1. \(\int x^2 dx = \frac{x^3}{3} + C\)2. \(\int \frac{1}{x} dx = \ln |x| + C\)练习题2:计算定积分 \(\int_{0}^{1} x^2 dx\)。
中南大学现代远程教育课程考试(专科)复习题及参考答案《高等数学》(专科)一、填空题1.函数1142-+-=x x y 的定义域是 . 解. ),2[]2,(∞+--∞ 。
2.若函数52)1(2-+=+x x x f ,则=)(x f .解. 62-x 3.________________sin lim =-∞→xxx x答案:1正确解法:101sin lim 1lim )sin 1(lim sin lim=-=-=-=-∞→∞→∞→∞→xxx x x x x x x x x4.已知22lim 222=--++→x x bax x x ,则=a _____, =b _____。
由所给极限存在知, 024=++b a , 得42--=a b , 又由23412lim 2lim 2222=+=+++=--++→→a x a x x x b ax x x x , 知8,2-==b a 5.已知∞=---→)1)((lim0x a x be x x ,则=a _____, =b _____。
∞=---→)1)((lim 0x a x b e x x , 即01)1)((lim 0=-=---→b abe x a x x x , 1,0≠=∴b a 6.函数⎪⎩⎪⎨⎧≥+<=0101sin)(x x x xx x f 的间断点是x = 。
解:由)(x f 是分段函数,0=x 是)(x f 的分段点,考虑函数在0=x 处的连续性。
因为 1)0(1)1(lim 01sinlim 00==+=+-→→f x xx x x所以函数)(x f 在0=x 处是间断的,又)(x f 在)0,(-∞和),0(+∞都是连续的,故函数)(x f 的间断点是0=x 。
7. 设()()()n x x x x y -⋅⋅--= 21, 则()=+1n y(1)!n +8.2)(x x f =,则__________)1)((=+'x f f 。
《高等数学》练习测试题库及答案一.选择题1.函数y=112+x 是( ) A.偶函数 B.奇函数 C 单调函数 D 无界函数2.设f(sin 2x )=cosx+1,则f(x)为( ) A 2x 2-2 B 2-2x 2 C 1+x 2 D 1-x 23.下列数列为单调递增数列的有( )A .0.9 ,0.99,0.999,0.9999B .23,32,45,54 C .{f(n)},其中f(n)=⎪⎩⎪⎨⎧-+为偶数,为奇数n nn n n n 1,1 D. {n n 212+} 4.数列有界是数列收敛的( )A .充分条件 B. 必要条件C.充要条件 D 既非充分也非必要5.下列命题正确的是( )A .发散数列必无界B .两无界数列之和必无界C .两发散数列之和必发散D .两收敛数列之和必收敛6.=--→1)1sin(lim 21x x x ( ) A.1 B.0 C.2 D.1/27.设=+∞→x x xk )1(lim e 6 则k=( ) A.1 B.2 C.6 D.1/68.当x 1时,下列与无穷小(x-1)等价的无穷小是()A.x2-1B. x3-1C.(x-1)2D.sin(x-1)9.f(x)在点x=x0处有定义是f(x)在x=x0处连续的()A.必要条件B.充分条件C.充分必要条件D.无关条件10、当|x|<1时,y= ()A、是连续的B、无界函数C、有最大值与最小值D、无最小值11、设函数f(x)=(1-x)cotx要使f(x)在点:x=0连续,则应补充定义f(0)为()A、B、e C、-e D、-e-112、下列有跳跃间断点x=0的函数为()A、xarctan1/xB、arctan1/xC、tan1/xD、cos1/x13、设f(x)在点x0连续,g(x)在点x0不连续,则下列结论成立是()A、f(x)+g(x)在点x0必不连续B、f(x)×g(x)在点x0必不连续须有C、复合函数f[g(x)]在点x0必不连续D、在点x0必不连续14、设f(x)=在区间(- ∞,+ ∞)上连续,且f(x)=0,则a,b满足()A、a>0,b>0B、a>0,b<0C、a<0,b>0D、a<0,b<015、若函数f(x)在点x0连续,则下列复合函数在x0也连续的有()A、B、C、tan[f(x)]D、f[f(x)]16、函数f(x)=tanx能取最小最大值的区间是下列区间中的()A、[0,л]B、(0,л)C、[-л/4,л/4]D、(-л/4,л/4)17、在闭区间[a ,b]上连续是函数f(x)有界的()A、充分条件B、必要条件C、充要条件D、无关条件18、f(a)f(b) <0是在[a,b]上连续的函f(x)数在(a,b)内取零值的()A、充分条件B、必要条件C、充要条件D、无关条件19、下列函数中能在区间(0,1)内取零值的有()A、f(x)=x+1B、f(x)=x-1C、f(x)=x2-1D、f(x)=5x4-4x+120、曲线y=x2在x=1处的切线斜率为()A、k=0B、k=1C、k=2D、-1/2x相切,则()21、若直线y=x与对数曲线y=logaA、eB、1/eC、e xD、e1/e22、曲线y=lnx平行于直线x-y+1=0的法线方程是()A、x-y-1=0B、x-y+3e-2=0C、x-y-3e-2=0D、-x-y+3e-2=023、设直线y=x+a与曲线y=2arctanx相切,则a=()A、±1B、±л/2C、±(л/2+1)D、±(л/2-1)24、设f(x)为可导的奇函数,且f`(x0)=a,则f`(-x0)=()A、aB、-aC、|a|D、025、设y=㏑,则y’|x=0=()A、-1/2B、1/2C、-1D、026、设y=(cos)sinx,则y’|x=0=()A、-1B、0C、1D、不存在27、设yf(x)= ㏑(1+X),y=f[f(x)],则y’|x=0=()A、0B、1/ ㏑2C、1D、㏑228、已知y=sinx,则y(10)=()A、sinxB、cosxC、-sinxD、-cosx29、已知y=x㏑x,则y(10)=()A、-1/x9B、1/ x9C、8.1/x9D、-8.1/x930、若函数f(x)=xsin|x|,则()A、f``(0)不存在B、f``(0)=0C、f``(0) =∞D、f``(0)= л31、设函数y=yf(x)在[0,л]内由方程x+cos(x+y)=0所确定,则|dy/dx|x=0=()A、-1B、0C、л/2D、 232、圆x2cosθ,y=2sinθ上相应于θ=л/4处的切线斜率,K=()A、-1B、0C、1D、 233、函数f(x)在点x 0连续是函数f(x)在x 0可微的( )A 、充分条件B 、必要条件C 、充要条件D 、无关条件34、函数f(x)在点x 0可导是函数f(x)在x 0可微的( )A 、充分条件B 、必要条件C 、充要条件D 、无关条件35、函数f(x)=|x|在x=0的微分是( )A 、0B 、-dxC 、dxD 、 不存在36、极限)ln 11(lim 1x x xx --→的未定式类型是( )A 、0/0型B 、∞/∞型C 、∞ -∞D 、∞型37、极限 012)sin lim(→x x x x 的未定式类型是( )A 、00型B 、0/0型C 、1∞型D 、∞0型38、极限 x xx x sin 1sin lim 20→=( )A 、0B 、1C 、2D 、不存在39、x x 0时,n 阶泰勒公式的余项Rn(x)是较x x 0 的( )A 、(n+1)阶无穷小B 、n 阶无穷小C 、同阶无穷小D 、高阶无穷小40、若函数f(x)在[0, +∞]内可导,且f`(x) >0,xf(0) <0则f(x)在[0,+ ∞]内有() A 、唯一的零点 B 、至少存在有一个零点C、没有零点D、不能确定有无零点41、曲线y=x2-4x+3的顶点处的曲率为()A、2B、1/2C、1D、042、抛物线y=4x-x2在它的顶点处的曲率半径为()A、0B、1/2C、1D、243、若函数f(x)在(a,b)内存在原函数,则原函数有()A、一个B、两个C、无穷多个D、都不对44、若∫f(x)dx=2e x/2+C=()A、2e x/2B、4 e x/2C、e x/2 +CD、e x/245、∫xe-x dx =( D )A、xe-x -e-x +CB、-xe-x+e-x +CC、xe-x +e-x +CD、-xe-x -e-x +C46、设P(X)为多项式,为自然数,则∫P(x)(x-1)-n dx()A、不含有对数函数B、含有反三角函数C、一定是初等函数D、一定是有理函数47、∫-10|3x+1|dx=()A、5/6B、1/2C、-1/2D、148、两椭圆曲线x2/4+y2=1及(x-1)2/9+y2/4=1之间所围的平面图形面积等于()A、лB、2лC、4лD、6л49、曲线y=x2-2x与x轴所围平面图形绕轴旋转而成的旋转体体积是()A、лB、6л/15C、16л/15D、32л/1550、点(1,0,-1)与(0,-1,1)之间的距离为()A、B、2 C、31/2D、21/251、设曲面方程(P,Q)则用下列平面去截曲面,截线为抛物线的平面是()A、Z=4B、Z=0C、Z=-2D、x=252、平面x=a截曲面x2/a2+y2/b2-z2/c2=1所得截线为()A、椭圆B、双曲线C、抛物线D、两相交直线53、方程=0所表示的图形为()A、原点(0,0,0)B、三坐标轴C、三坐标轴D、曲面,但不可能为平面54、方程3x2+3y2-z2=0表示旋转曲面,它的旋转轴是()A、X轴B、Y轴C、Z轴D、任一条直线55、方程3x2-y2-2z2=1所确定的曲面是()A、双叶双曲面B、单叶双曲面C、椭圆抛物面D、圆锥曲面56下列命题正确的是()A、发散数列必无界B、两无界数列之和必无界C、两发散数列之和必发散D、两收敛数列之和必收敛57.f(x)在点x=x0处有定义是f(x)在x=x0处连续的()A、.必要条件B、充分条件C、充分必要条件D、无关条件58函数f(x)=tanx能取最小最大值的区间是下列区间中的()A、[0,л]B、(0,л)C、[-л/4,л/4]D、(-л/4,л/4)59下列函数中能在区间(0,1)内取零值的有()A、f(x)=x+1B、f(x)=x-1C、f(x)=x2-1D、f(x)=5x4-4x+160设y=(cos)sinx,则y’|x=0=()A 、-1B 、0C 、1D 、 不存在二、填空题1、求极限1lim -→x (x 2+2x+5)/(x 2+1)=( )2、求极限 0lim →x [(x 3-3x+1)/(x-4)+1]=( )3、求极限2lim →x x-2/(x+2)1/2=( )4、求极限∞→x lim [x/(x+1)]x=( )5、求极限0lim →x (1-x)1/x= ( )6、已知y=sinx-cosx ,求y`|x=л/6=( )7、已知ρ=ψsin ψ+cos ψ/2,求d ρ/d ψ| ψ=л/6=( )8、已知f(x)=3/5x+x 2/5,求f`(0)=( )9、设直线y=x+a 与曲线y=2arctanx 相切,则a=( )10、函数y=x 2-2x+3的极值是y(1)=( )11、函数y=2x 3极小值与极大值分别是( )12、函数y=x 2-2x-1的最小值为( )13、函数y=2x-5x 2的最大值为( )14、函数f(x)=x 2e -x 在[-1,1]上的最小值为( )15、点(0,1)是曲线y=ax 3+bx 2+c 的拐点,则有b=() c=( )16、∫xx 1/2dx= ( )17、若F`(x)=f(x),则∫dF(x)= ( )18、若∫f(x)dx=x 2e 2x +c ,则f(x)= ( )19、d/dx ∫a barctantdt=( )20、已知函数f(x)=⎪⎩⎪⎨⎧=≠⎰-0,0,022)1(1x a x x t dt e x 在点x=0连续, 则a=( ) 21、∫02(x 2+1/x 4)dx=( )22、∫49 x 1/2(1+x 1/2)dx=( )23、∫031/2adx/(a 2+x 2)=( )24、∫01 dx/(4-x 2)1/2=( )25、∫л/3лsin(л/3+x)dx=( )26、∫49 x 1/2(1+x 1/2)dx=( )27、∫49x 1/2(1+x 1/2)dx=( )28、∫49x 1/2(1+x 1/2)dx=( )29、∫49 x 1/2(1+x 1/2)dx=( )30、∫49x 1/2(1+x 1/2)dx=( )31、∫49x 1/2(1+x 1/2)dx=( )32、∫49 x 1/2(1+x 1/2)dx=( )33、满足不等式|x-2|<1的X 所在区间为 ( )34、设f(x) = [x] +1,则f (л+10)=( )35、函数Y=|sinx|的周期是 ( )36、y=sinx,y=cosx 直线x=0,x=л/2所围成的面积是( ) 37、 y=3-2x-x 2与x 轴所围成图形的面积是 () 38、心形线r=a(1+cos θ)的全长为 ( )39、三点(1,1,2),(-1,1,2),(0,0,2)构成的三角形为()40、一动点与两定点(2,3,1)和(4,5,6)等距离,则该点的轨迹方程是()41、求过点(3,0,-1),且与平面3x-7y+5z-12=0平行的平面方程是()42、求三平面x+3y+z=1,2x-y-z=0,-x+2y+2z=0的交点是( )43、求平行于xoz面且经过(2,-5,3)的平面方程是()44、通过Z轴和点(-3,1,-2)的平面方程是()45、平行于X轴且经过两点(4,0,-2)和(5,1,7)的平面方程是()lim[x/(x+1)]x=()46求极限→∞x47函数y=x2-2x+3的极值是y(1)=()48∫49 x1/2(1+x1/2)dx=()49y=sinx,y=cosx直线x=0,x=л/2所围成的面积是()50求过点(3,0,-1),且与平面3x-7y+5z-12=0平行的平面方程是()三、解答题1、设Y=2X-5X2,问X等于多少时Y最大?并求出其最大值。