最新第二章-PN结
- 格式:ppt
- 大小:3.46 MB
- 文档页数:7
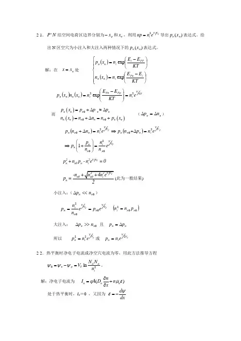
2-1.P N +结空间电荷区边界分别为p x -和n x ,利用2T V V i np n e =导出)(n n x p 表达式。
给出N 区空穴为小注入和大注入两种情况下的)(n n x p 表达式。
解:在n x x =处 ()()⎪⎪⎩⎪⎪⎨⎧⎪⎭⎫ ⎝⎛-=⎪⎭⎫⎝⎛-=KT E E n x n KT E E n x p i Fn in n FP i i nn exp exp()()VT V i Fp Fn i n n n n e n KT E E n x n x p 22exp =⎪⎪⎭⎫ ⎝⎛-= 而()()()000n n n n nn n n n n n n p x p p p n x n n n p x =+∆≈∆=+∆=+ (n n n p ∆=∆)()()TTV Vin n n V V in n n en p n p e n n n p 2020=∆+⇒=∆+2001TV V n i n n n p n p e n n ⎛⎫⇒+=⎪⎝⎭ T V V 22n n0n i p +n p -n e =0n p =(此为一般结果) 小注入:(0n n n p <<∆)T T V V n V V n i n e p e n n p 002== ()002n n i p n n =大注入: 0n n n p >>∆ 且 n n p p ∆= 所以 TV V inen p 22=或 TV Vi n en p 2=2-2.热平衡时净电子电流或净空穴电流为零,用此方法推导方程20lni ad T p n n N N V =-=ψψψ。
解:净电子电流为()n nn nI qA D n xμε∂=+∂ 处于热平衡时,I n =0 ,又因为 d dxψε=-所以nn d n n D dx x ψμ∂=∂,又因为n T nDV μ=(爱因斯坦关系) 所以dn nV d T=ψ, 从n p x x →-作积分,则2002ln ln ln ln ln i a d n p T n T po T d T T a in N NV n V n V N V V N n ψψψ=-=-=-=2-3.根据修正欧姆定律和空穴扩散电流公式证明,在外加正向偏压V 作用下,PN 结N 侧空穴扩散区准费米能级的改变量为qV E FP =∆。
第二章PN结1. PN结:由P型半导体和N型半导体实现冶金学接触(原子级接触)所形成的结构。
任何两种物质(绝缘体除外)的冶金学接触都称为结(junction),有时也叫做接触(contact)。
2. PN结是几乎所有半导体器件的基本单元。
除金属-半导体接触器件外,所有结型器件都由PN结构成。
3. 按照杂质浓度分布,PN 结分为突变结和线性缓变结.突变结杂质分布线性缓变结杂质分布4. 空间电荷区:PN结中,电子由N区转移至P区,空穴由P区转移至N区。
电子和空穴的转移分别在N区和P区留下了未被补偿的施主离子和受主离子。
它们是荷电的、固定不动的,称为空间电荷。
空间电荷存在的区域称为空间电荷区。
5. 内建电场:P区和N区的空间电荷之间建立了一个电场——空间电荷区电场,也叫内建电场。
PN结自建电场:在空间电荷区产生缓变基区自建电场:基区掺杂是不均匀的,产生出一个加速少数载流子运动的电场,电场沿杂质浓度增加的方向,有助于电子在大部分基区范围内输运。
大注入内建电场:在空穴扩散区(这有利于提高BJT的电流增益和频率、速度性能)。
6. 内建电势差:由于内建电场,空间电荷区两侧存在电势差,这个电势差叫做内建电势差(用表示)。
7. 费米能级:平衡PN结有统一的费米能级。
准费米能级:当pn结加上外加电压V后,在扩散区和势垒区范围内,电子和空穴没有统一的费米能级,分别用准费米能级。
8. PN结能带图热平衡能带图平衡能带图非平衡能带图正偏压:P正N负反偏压:P负N正9. 空间电荷区、耗尽区、势垒区、中性区势垒区:N区电子进入P区需要克服势垒,P区空穴进入N区也需要克服势垒。
于是空间电荷区又叫做势垒区。
耗尽区:空间电荷区内的载流子完全扩散掉,即完全耗尽,空间电荷仅由电离杂质提供。
这时空间电荷区又可称为“耗尽区”。
中性区:PN结空间电荷区以外的区域(P区和N区)。
耗尽区主要分布在低掺杂一侧,重掺杂一边的空间电荷层的厚度可以忽略。