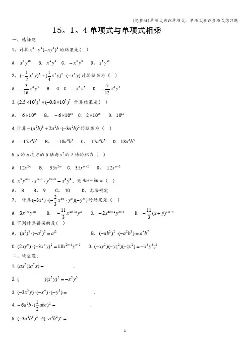
单项式乘以单项式经典习题--大全
- 格式:doc
- 大小:135.00 KB
- 文档页数:2
单项式乘单项式试题精选(一)一.选择题(共26小题)1.(2014•日照)下列运算正确的是()A.3a3•2a2=6a6B.(a2)3=a6C.a8÷a2=a4D.x3+x3=2x6 2.(2014•盘锦)计算(2a2)3•a正确的结果是()A.3a7B.4a7C.a7D.4a63.(2014•从化市一模)计算a2•2a3的结果是()A.2a6B.2a5C.8a6D.8a54.(2012•路南区一模)下列运算中,正确的是()A.2m+m=2m2B.﹣m(﹣m)=﹣2m C.(﹣m3)2=m6D.m2m3=2m55.(2012•海曙区模拟)计算(﹣2a3)(﹣a2)结果是()A.2a6B.﹣2a6C.2a5D.﹣2a56.(2011•呼和浩特)计算2x2•(﹣3x3)的结果是()A.﹣6x5B.6x5C.﹣2x6D.2x67.(2009•保定一模)计算(﹣2a2)×(﹣3a3)的结果为()A.6a5B.﹣6a5C.6a6D.﹣6a68.(2001•重庆)若(a m+1b n+2)•(a2n﹣1b2m)=a5b3,则m+n的值为()A.1B.2C.3D.﹣39.化简:(﹣3x2)2x3的结果是()A.﹣3x5B.18x5C.﹣6x5D.﹣18x510.计算(﹣x3)2•x的结果是()A.﹣x7B.x7C.﹣x6D.x611.下列计算正确的是()A.2a3•3a2=6a6B.4x3•2x5=8x8C.2x•2x5=4x5D.5x3•4x4=9x712.下列计算正确的是()A.5a2b•2b2a=10a4b2B.3x4•3x4=9x4C.7x3•3x7=21x10D.4x4•5x5=20x2013.下列计算,正确的是()A.a6÷a2=a3B.3a2×2a2=6a2C.(ab2)2=a2b4D.5a+3a=8a2 14.下列计算中正确的是()C.(﹣3a2)•2a3=﹣6a6D.a2m=(﹣a m)2(其中m为正整数)15.计算x2•y2(﹣xy3)2的结果是()A.x5y10B.x4y8C.﹣x5y8D.x6y1216.计算﹣(a2b)3+2a2b•(﹣3a2b)2的结果为()A.﹣17a6b3B.﹣18a6b3C.17a6b3D.18a6b317.计算(﹣2a)(﹣3a)的结果是()A.﹣5a B.﹣a C.6a D.6a218.下列各式计算正确的是()A.(a2)4=(a4)2B.2x3•5x2=10x6C.(﹣c)8÷(﹣c)6=D.(ab3)2=ab6﹣c219.计算(ab2)(﹣3a2b)2的结果是()A.6a5b4B.﹣6a5b4C.9a5b4D.9a3b420.2x•(﹣3xy)2•(﹣x2y)3的计算结果是()A.﹣6x4y5B.﹣18x9y5C.6x9y5D.18x8y521.一种计算机每秒可做4×108次运算,它工作3×103秒运算的次数为()A.12×1024B.1.2×1012C.12×1012D.12×10822.下列四个算式:①63+63;②(2×63)×(3×63);③(22×32)3;④(33)2×(22)3中,结果等于66的是()A.①②③B.②③④C.②③D.③④23.计算(﹣2ab)(3a2b2)3的结果是()A.﹣6a3b3B.54a7b7C.﹣6a7b7D.﹣54a7b724.单项式与24x5y的积为()A.﹣4x7y4z B.﹣4x7y4C.﹣3x7y4z D.3x7y4z25.计算:3x2y•(﹣2xy)结果是()A.6x3y2B.﹣6x3y2C.﹣6x2y D.﹣6x2y226.8b2(﹣a2b)=()A.8a2b3B.﹣8b3C.64a2b3D.﹣8a2b3二.填空题(共4小题)27.(2014•山西)计算:3a2b3•2a2b=_________.28.计算(﹣3a3)•(﹣2a2)=_________.30.计算:2x2y•(﹣3y2z)=_________.单项式乘单项式试题精选(一)参考答案与试题解析一.选择题(共26小题)1.(2014•日照)下列运算正确的是()A.3a3•2a2=6a6B.(a2)3=a6C.a8÷a2=a4D.x3+x3=2x6考点:同底数幂的除法;合并同类项;幂的乘方与积的乘方;单项式乘单项式.专题:计算题.分析:根据合并同类项的法则,同底数幂的乘法与除法以及幂的乘方的知识求解即可求得答案.解答:解:A、3a3•2a2=6a5,故A选项错误;B、(a2)3=a6,故B选项正确;C、a8÷a2=a6,故C选项错误;D、x3+x3=2x3,故D选项错误.故选:B.点评:此题考查了合并同类项的法则,同底数幂的乘法与除法以及幂的乘方等知识,解题要注意细心.2.(2014•盘锦)计算(2a2)3•a正确的结果是()A.3a7B.4a7C.a7D.4a6考点:单项式乘单项式;幂的乘方与积的乘方.专题:计算题.分析:根据幂的乘方与积的乘方、单项式与单项式相乘及同底数幂的乘法法则进行计算即可.解答:解:原式==4a7,故选:B.点评:本题考查了同底数幂的乘法法则,同底数幂相乘,底数不变指数相加;幂的乘方的法则,幂的乘方,底数不变,指数相乘.3.(2014•从化市一模)计算a2•2a3的结果是()A.2a6B.2a5C.8a6D.8a5考点:单项式乘单项式.分析:本题需根据单项式乘以单项式的法则进行计算,即可求出答案.解答:解:a2•2a3=2a5故选B.点评:本题主要考查了单项式乘以单项式,在解题时要注意单项式的乘法法则的灵活应用是本题的关键.4.(2012•路南区一模)下列运算中,正确的是()考点:单项式乘单项式;合并同类项;同底数幂的乘法;幂的乘方与积的乘方.分析:根据合并同类项法则,单项式的乘法法则,积的乘方法则,同底数幂的乘法的运算方法,利用排除法求解.解答:解:A、应为2m+m=3m,故本选项错误;B、应为﹣m(﹣m)=m2,故本选项错误;C、(﹣m3)2=m6,故本选项正确;D、m2m3=m5,故本选项错误.故选C.点评:本题主要考查了合并同类项,单项式的乘法法则,积的乘方法则,同底数幂的乘法,熟练掌握运算法则是解题的关键.5.(2012•海曙区模拟)计算(﹣2a3)(﹣a2)结果是()A.2a6B.﹣2a6C.2a5D.﹣2a5考点:单项式乘单项式.分析:根据单项式与单项式相乘,把他们的系数分别相乘,相同字母的幂分别相加,其余字母连同他的指数不变,作为积的因式,计算即可.解答:解:(﹣2a3)(﹣a2)=2a3+2=2a5.故选:C.点评:本题考查了单项式与单项式相乘,熟练掌握运算法则是解题的关键.6.(2011•呼和浩特)计算2x2•(﹣3x3)的结果是()A.﹣6x5B.6x5C.﹣2x6D.2x6考点:同底数幂的乘法;单项式乘单项式.分析:根据单项式乘单项式的法则和同底数幂相乘,底数不变,指数相加计算后选取答案.解答:解:2x2•(﹣3x3),=2×(﹣3)•(x2•x3),=﹣6x5.故选A.点评:本题主要考查单项式相乘的法则和同底数幂的乘法的性质.7.(2009•保定一模)计算(﹣2a2)×(﹣3a3)的结果为()A.6a5B.﹣6a5C.6a6D.﹣6a6考点:单项式乘单项式.专题:计算题.分析:利用单项式相乘的运算性质计算即可得到答案.解答:解:(﹣2a2)×(﹣3a3)=(﹣2)×(﹣3)a2•a3=6a5,故选A.点评:本题考查了单项式的乘法,属于基础题,比较简单.8.(2001•重庆)若(a m+1b n+2)•(a2n﹣1b2m)=a5b3,则m+n的值为()A.1B.2C.3D.﹣3考点:单项式乘单项式;同底数幂的乘法.分析:根据单项式的乘法的法则,同底数幂相乘,底数不变,指数相加的性质计算,然后再根据相同字母的次数相同列出方程组,整理即可得到m+n的值.解答:解:(a m+1b n+2)•(a2n﹣1b2m),=a m+1+2n﹣1•b n+2+2m,=a m+2n•b n+2m+2,=a5b3,∴,两式相加,得3m+3n=6,解得m+n=2.故选B.点评:本题主要考查单项式的乘法的法则和同底数幂的乘法的性质,根据数据的特点两式相加求解即可,不需要分别求出m、n的值.9.化简:(﹣3x2)2x3的结果是()A.﹣3x5B.18x5C.﹣6x5D.﹣18x5考点:单项式乘单项式.分析:利用单项式的乘法法则,同底数幂的乘法的性质,计算后直接选取答案.解答:解:(﹣3x2)2x3=[2×(﹣3)](x3•x2)=﹣6x5.故选C.点评:本题考查了单项式乘以单项式的知识,单项式乘法法则:把系数和相同字母分别相乘.同底数幂的乘法,底数不变指数相加.10.计算(﹣x3)2•x的结果是()A.﹣x7B.x7C.﹣x6D.x6考点:单项式乘单项式;幂的乘方与积的乘方.分析:本题需根据单项式乘以单项式的法则进行计算,即可求出答案.解答:解:(﹣x3)2•x=x3×2•x=x7.故选B.点评:本题主要考查了单项式乘以单项式,在解题时要注意单项式的乘法法则的灵活应用是本题的关键.11.下列计算正确的是()A.2a3•3a2=6a6B.4x3•2x5=8x8C.2x•2x5=4x5D.5x3•4x4=9x7考点:单项式乘单项式.分析:根据同底数幂的乘法的知识求解即可求得答案.解答:解:A、2a3•3a2=6a5,故A选项错误;B、4x3•2x5=8x8,故B选项正确;C、2x•2x5=4x6,故C选项错误;D、5x3•4x4=20x7,故D选项错误.故选:B.点评:此题考查了同底数幂的乘法等知识,解题的关键是熟记法则.12.下列计算正确的是()A.5a2b•2b2a=10a4b2B.3x4•3x4=9x4C.7x3•3x7=21x10D.4x4•5x5=20x20考点:单项式乘单项式.分析:运用单项式乘单项式的法则计算.解答:解:A、5a2b•2b2a=10a3b3,故A选项错误;B、3x4•3x4=9x8,故B选项错误;C、7x3•3x7=21x10,故C选项正确;D、4x4•5x5=20x9,故D选项错误.故选:C.点评:本题主要考查了单项式乘单项式,解题的关键是熟记法则.13.下列计算,正确的是()A.a6÷a2=a3B.3a2×2a2=6a2C.(ab2)2=a2b4D.5a+3a=8a2考点:单项式乘单项式;合并同类项;幂的乘方与积的乘方;同底数幂的除法.分析:利用同底数幂相除、单项式乘以单项式、积的乘方、合并同类项法则逐一判断即可.解答:解:A、a6÷a2=a4,故本项错误;B、3a2×2a2=6a4,故本项错误;C、(ab2)2=a2b4,故本项正确;D、5a+3a=8a,故本项错误.故选:C.点评:本题主要考查了同底数幂相除、单项式乘以单项式、积的乘方、合并同类项,熟练掌握法则是解题的关键.14.下列计算中正确的是()A.a5﹣a2=a3B.|a+b|=|a|+|b|C.(﹣3a2)•2a3=﹣6a6D.a2m=(﹣a m)2(其中m为正整数)考点:单项式乘单项式;绝对值;合并同类项;同底数幂的乘法;幂的乘方与积的乘方.分析:依据绝对值的意义、幂的乘方、同底数幂的乘法、合并同类项的法则即可解决.解答:解:A、a5与a2不是同类项,不能合并,故本选项错误;B、|a+b|≤|a|+|b|,故本选项错误;C、应为(﹣3a2)•2a3=﹣6a5,故本选项错误;D、正确.故选D.点评:(1)本题综合考查了整式运算的多个考点,包括合并同类项、幂的乘方、单项式乘单项式,需熟练掌握且区分清楚,才不容易出错;(2)同类项的概念是所含字母相同,相同字母的指数也相同的项是同类项,不是同类项的一定不能合并.15.计算x2•y2(﹣xy3)2的结果是()A.x5y10B.x4y8C.﹣x5y8D.x6y12考点:单项式乘单项式;幂的乘方与积的乘方.解答:解:x2y2•(﹣xy3)2,=x2y2•x2y3×2,=x2+2y2+6,=x4y8.故选B.点评:本题考查乘方与乘法相结合:应先算乘方,再算乘法.要用到乘方法则:幂的乘方,底数不变,指数相乘.同底数幂的乘法法则:底数不变,指数相加.16.计算﹣(a2b)3+2a2b•(﹣3a2b)2的结果为()A.﹣17a6b3B.﹣18a6b3C.17a6b3D.18a6b3考点:单项式乘单项式;幂的乘方与积的乘方.分析:先按照单项式乘单项式以及积的乘方与幂的乘方法则计算,再合并整式中的同类项即可.解答:解:﹣(a2b)3+2a2b•(﹣3a2b)2=﹣a6b3+2a2b•9a4b2=﹣a6b3+18a6b3=17a6b3.故选:C.点评:本题主要考查了单项式乘单项式以及积的乘方与幂的乘方法则,本题的关键是熟练掌握运算法则.17.计算(﹣2a)(﹣3a)的结果是()A.﹣5a B.﹣a C.6a D.6a2考点:单项式乘单项式.分析:根据单项式的乘法法则,计算后直接选取答案.解答:解:(﹣2a)(﹣3a),=(﹣2)×(﹣3)a•a,=6a2.故选D.点评:本题主要考查单项式的乘法法则,熟练掌握法则是解题的关键,是基础题.18.下列各式计算正确的是()D.(ab3)2=ab6A.(a2)4=(a4)2B.2x3•5x2=10x6C.(﹣c)8÷(﹣c)6=﹣c2考点:单项式乘单项式;幂的乘方与积的乘方;同底数幂的除法.分析:根据幂的乘方、积的乘方、单项式乘单项式、同底数幂相除的法则计算即可.解答:解:A、(a2)4=(a4)2=a8,故本项正确;B、2x3•5x2=10x5,故本项错误;C、(﹣c)8÷(﹣c)6=c2,故本项错误;D、(ab3)2=a2b6,故本项错误,故选:A.点评:本题主要考查了幂的乘方、积的乘方、单项式乘单项式、同底数幂相除的法则,熟练运用法则是解题的关键.A.6a5b4B.﹣6a5b4C.9a5b4D.9a3b4考点:单项式乘单项式.分析:首先利用积的乘方进行化简,进而利用单项式乘以单项式法则求出即可.解答:解:(ab2)(﹣3a2b)2=ab2•9a4b2=9a5b4,故选:C.点评:此题主要考查了单项式乘以单项式,正确把握单项式乘以单项式法则是解题关键.20.2x•(﹣3xy)2•(﹣x2y)3的计算结果是()A.﹣6x4y5B.﹣18x9y5C.6x9y5D.18x8y5考点:单项式乘单项式;幂的乘方与积的乘方.分析:根据单项式的乘法及幂的乘方与积的乘方法则,直接得出结果.解答:解:2x•(﹣3xy)2•(﹣x2y)3=2x•9x2y2•(﹣x6y3)=﹣18x9y5,故选:B.点评:本题主要考查了单项式乘单项式及幂的乘方与积的乘方,单项式与单项式相乘,把他们的系数分别相乘,相同字母的幂分别相乘,其余字母连同他的指数不变,作为积的因式.注意相同字母的指数相加.21.一种计算机每秒可做4×108次运算,它工作3×103秒运算的次数为()A.12×1024B.1.2×1012C.12×1012D.12×108考点:单项式乘单项式;科学记数法—表示较大的数;同底数幂的乘法.专题:应用题.分析:根据题意列出代数式,再根据单项式的乘法法则以及同底数幂的乘法的性质进行计算即可.解答:解:它工作3×103秒运算的次数为:(4×108)×(3×103),=(4×3)×(108×103),=12×1011,=1.2×1012.故选B.点评:本题主要利用单项式的乘法法则以及同底数幂的乘法的性质求解,科学记数法表示的数在运算中通常可以看做单项式参与的运算.22.下列四个算式:①63+63;②(2×63)×(3×63);③(22×32)3;④(33)2×(22)3中,结果等于66的是()A.①②③B.②③④C.②③D.③④考点:单项式乘单项式;同底数幂的乘法;幂的乘方与积的乘方.分析:根据同类项、同底数幂的乘法、积的乘方、幂的乘方、单项式的乘法法则,对各项计算后利用排除法求解.解答:解:①63+63=2×63;②(2×63)×(3×63)=6×66=67;③(22×32)3=(62)3=66;④(33)2×(22)3=36×26=66.所以③④两项的结果是66.点评:本题主要考查单项式的乘法,积的乘方的性质,幂的乘方的性质,熟练掌握运算法则和性质是解题的关键.23.计算(﹣2ab)(3a2b2)3的结果是()A.﹣6a3b3B.54a7b7C.﹣6a7b7D.﹣54a7b7考点:单项式乘单项式;幂的乘方与积的乘方.分析:先运用积的乘方,再运用单项式乘单项式求解即可.解答:解:(﹣2ab)(3a2b2)3=﹣2ab•27a6b6=﹣54a7b7,故选:D.点评:本题主要考查了幂的乘方与积的乘方及单项式乘单项式,解题的关键是熟记运算法则.24.单项式与24x5y的积为()A.﹣4x7y4z B.﹣4x7y4C.﹣3x7y4z D.3x7y4z考点:单项式乘单项式.分析:先列出算式,再根据单项式乘单项式的法则:把系数、同底数的幂分别相乘,即可得出答案.解答:解:•24x5y=(﹣×24)x2+5y3+1z=﹣3x7y4z,故选C.点评:本题考查了单项式乘单项式的法则和同底数幂的乘法,能熟练地运用法则进行计算是解此题的关键,注意:z也是积的一个因式.25.计算:3x2y•(﹣2xy)结果是()A.6x3y2B.﹣6x3y2C.﹣6x2y D.﹣6x2y2考点:单项式乘单项式.分析:根据单项式的乘法法则,直接得出结果.解答:解:3x2y•(﹣2xy)=﹣6x3y2,故选B.点评:单项式与单项式相乘,把他们的系数分别相乘,相同字母的幂分别相乘,其余字母连同他的指数不变,作为积的因式.本题考查了单项式的乘法法则,注意相同字母的指数相加.26.8b2(﹣a2b)=()A.8a2b3B.﹣8b3C.64a2b3D.﹣8a2b3考点:单项式乘单项式.分析:根据单项式的乘法法则求解.解答:解:8b2(﹣a2b)=﹣8a2b3.故选D.点评:本题考查了单项式的乘法法则:单项式与单项式相乘,把他们的系数,相同字母的幂分别相乘,其余字母连同他的指数不变,作为积的因式.二.填空题(共4小题)27.(2014•山西)计算:3a2b3•2a2b=6a4b4.word格式-可编辑-感谢下载支持考点:单项式乘单项式.专题:计算题.分析:根据单项式与单项式相乘,把他们的系数分别相乘,相同字母的幂分别相加,其余字母连同他的指数不变,作为积的因式,计算即可.解答:解:3a2b3•2a2b=(3×2)×(a2•a2)(b3•b)=6a4b4.故答案为:6a4b4.点评:此题考查了单项式乘以单项式,熟练掌握运算法则是解本题的关键.28.计算(﹣3a3)•(﹣2a2)=6a5.考点:单项式乘单项式;同底数幂的乘法.分析:根据单项式的乘法法则;同底数幂相乘,底数不变,指数相加的性质计算即可.解答:解:(﹣3a3)•(﹣2a2),=(﹣3)(﹣2)•(a3•a2),=6a5.点评:本题考查单项式的乘法法则,同底数幂的乘法的性质,熟练掌握运算法则和性质是解题的关键.29.若单项式﹣3x4a﹣b y2与3x3y a+b是同类项,则这两个单项式的积为﹣9x6y4.考点:单项式乘单项式;同类项.分析:首先同类项的定义,即同类项中相同字母的指数也相同,得到关于a,b的方程组,然后求得a、b的值,即可写出两个单项式,从而求出这两个单项式的积.解答:解:根据同类项的定义可知:,解得:.∴﹣3x4a﹣b y2与3x3y a+b分别为﹣3x3y2与3x3y2,∴﹣3x3y2•3x3y2=﹣9x6y4.故答案为:﹣9x6y4.点评:本题考查了单项式的乘法及同类项的定义,属于基础运算,要求必须掌握.30.计算:2x2y•(﹣3y2z)=﹣6x2y3z.考点:单项式乘单项式.分析:利用单项式乘单项式的运算法则进行计算即可得到正确的答案.解答:解:2x2y•(﹣3y2z)=[2×(﹣3)]x2y•y2z=﹣6x2y3z;故答案为:﹣6x2y3z.点评:本题考查了单项式乘以单项式的运算,单项式乘以单项式就是将系数相乘作为结果的系数,相同字母相乘作为结果的因式.。
.单项式乘单项式测试时间:45分钟总分: 100一、选择题(本大题共8小题,共32.0分)1.下列运算正确的是A. B.C. D.2.若,则内应填的单项式是A. B. C. D.3.下列运算正确的是A. B.C. D.4.若,则的值为A. 1B. 2C. 3D.5.计算的结果是A. B. C. D.6.计算的结果是A. B. C. D.7.如果,则“”内应填的代数式是A. B. C. a D.8.的计算结果为A. B. C. D.二、填空题(本大题共6小题,共24.0分)9.______10.计算:的结果是______ .11.计算的结果为______.12.计算______.13.计算:______.14.等于______.三、计算题(本大题共4小题,共24.0分)15.计算:16.计算:17.计算:..18.计算:;;;.四、解答题(本大题共2小题,共20分)19.计算:.20.化简.计算:结果化为只含有正整指数幂的形式答案和解析【答案】1. D2. D3. B4. B5. B6. A7. A8. D9.10.11.12.13.14.15. 解:原式;原式.16. 解:原式.17. 解:原式;原式.18. 解:原式;原式;.原式;原式19. 解:原式;原式.20. 解:;结果化为只含有正整指数幂的形式.【解析】1. 【分析】本题主要考查了整式的运算,根据同底数幂的乘法,可判断A,根据幂的乘方,可判断B,根据合并同类项,可判断C,根据平方差公式,可判断本题考查了平方差,利用了平方差公式,同底数幂的乘法,幂的乘方.【解答】解:A、原式,故A错误;B、原式,故B错误;C、原式,故C错误;D、原式,故D正确;故选D.2. 解:,故选:D.利用单项式的乘除运算法则,进而求出即可.此题主要考查了单项式的乘除运算,正确掌握运算法则是解题关键.3. 解:A、,故本选项错误;B、,故本选项正确;C、,故本选项错误;D、,故本选项错误.故选B.结合选项分别进行合并同类项、积的乘方、单项式乘单项式、完全平方公式的运算,选出正确答案.本题考查了合并同类项、积的乘方、单项式乘单项式、完全平方公式,掌握运算法则是解答本题的关键.4. 解:,,故得:,解得:.故选:B.直接利用单项式与单项式相乘,把他们的系数,相同字母分别相乘,对于只在一个单项式里含有的字母,则连同它的指数作为积的一个因式,进而得出关于m,n的等式,进而求出答案.此题主要考查了单项式乘以单项式,正确掌握运算法则是解题关键.5. 解:,故选B.根据同底数幂相乘,底数不变指数相加,计算后直接选取答案.本题主要考查同底数幂的乘法的性质,熟练掌握性质是解题的关键.6. 解:.故选A.先把常数相乘,再根据同底数幂的乘法性质:底数不变指数相加,进行计算即可.本题考查了同底数幂的乘法,牢记同底数幂的乘法,底数不变指数相加是解题的关键.7. 解:,.故选A.已知积和其中一个因式,求另外一个因式,可用积除以已知因式,得所求因式.本题考查了单项式与单项式相乘,熟练掌握运算法则是解题的关键..8. 解:.故选:D.直接利用单项式乘以单项式运算法则求出答案.此题主要考查了单项式乘以单项式,正确掌握运算法则是解题关键.9. 解:,故答案为:根据单项式与单项式相乘,把他们的系数分别相乘,相同字母的幂分别相加,其余字母连同他的指数不变,作为积的因式,计算即可.本题考查了单项式与单项式相乘,熟练掌握运算法则是解题的关键.10. 解::.故答案为:.根据单项式与单项式相乘,把他们的系数分别相乘,相同字母的幂分别相加,其余字母连同他的指数不变,作为积的因式,计算即可.本题考查了单项式与单项式相乘,熟练掌握运算法则是解题的关键.11. 解:,故答案为:.根据积的乘方和同底数幂的乘法可以解答本题.本题考查单项式乘单项式、幂的乘方与积的乘方,解答本题的关键是明确它们各自的计算方法.12. 解:故答案为:根据单项式与单项式相乘,把他们的系数分别相乘,相同字母的幂分别相加,其余字母连同他的指数不变,作为积的因式,计算即可.本题考查了单项式与单项式相乘,熟练掌握运算法则是解题的关键.13. 解:,,.故答案为:.先算积的乘方,再算单项式乘单项式,注意运算法则.本题考查了单项式乘单项式,积的乘方,解题时牢记法则是关键,此题比较简单,易于掌握.14. 解:.故答案为:.直接利用单项式乘以单项式运算法则计算得出答案.此题主要考查了单项式乘以单项式,正确掌握运算法则是解题关键.15. 原式利用单项式乘单项式法则计算即可得到结果;原式利用完全平方公式,以及平方差公式计算即可得到结果.此题考查了平方差公式,以及完全平方公式,熟练掌握公式是解本题的关键.16. 根据整式的乘除运算顺序和运算法则计算可得.本题主要考查整式的乘除运算,解题的关键是掌握单项式与单项式的乘除运算法则及幂的运算法则.17. 根据单项式乘单项式的法则计算可得;先计算括号内的加法,再计算乘法可得.本题考查了分式的化简求值和单项式乘单项式,熟悉通分、约分及分式的乘法法则及单项式乘单项式的法则是解题的关键.18. 原式先计算乘方运算,再利用单项式乘以单项式法则计算即可得到结果;原式先计算乘方运算,再计算乘除运算即可得到结果;原式先利用平方差公式化简,再利用完全平方公式展开即可;原式中括号中利用平方差公式及完全平方公式展开,去括号合并后利用多项式除以单项式法则计算即可得到结果.此题考查了整式的混合运算,熟练掌握运算法则是解本题的关键.19. 根据单项式乘以单项式的法则进行计算即可;根据积的乘方和单项式乘以单项式的法则进行计算即可.本题考查了单项式乘以单项式以及积的乘方和幂的乘方,掌握运算法则是解题的关键.20. 首先将分子与分母分解因式进而化简即可;直接利用幂的乘方运算法则以及积的乘方运算法则化简求出答案.此题主要考查了约分以及幂的乘方运算以及积的乘方运算等知识,正确掌握运算法则是解题关键.。
《单项式乘以单项式》典型例题例1 计算)2(32343c ab b a -。
例2 计算:(1))()3)(2(21c a ab b a n n -⋅--+(2)2232)(31)(6x y ab y x b a -⋅⋅-⋅-例3 计算232333])2[(]25.0[83ab c ab bc a -⋅-⋅.例4 计算:(1)523232)(4)3(b a b a -⋅-;(2)33233332332232])()[()(2)2()(z y y x yz yz x z y x z xy ⋅-⋅---⋅+-;例5 计算题:(1))32()43(5433c ab b a ab -⋅-⋅ (2)3222)3()()2(xy y x y x n n m -⋅-⋅-例6 化简:(1)432)35(21)53(2x x xy -⋅--; (2)23322)()()(21)(2abc abc bc a bc a --⋅--。
参考答案例1 分析:积的系数是各单项式系数的积:6)2(3-=-⨯;相同字母相乘,依据同底数幂的乘法性质,得:73443,b b b a a a =⋅=⋅;作为只在一个单项式里含有的字母,连同它的指数作为积的一个因式,这个因式为2c 。
最后计算结果为3746c b a -。
解:)2(32343c ab b a -27423436))()(2(3c b a c b b a a -=⋅⋅-⨯=。
说明:凡是在单项式里出现过的字母,在其结果里也应全都有,不能漏掉。
例2 分析:第(1)小题只要按单项式乘法法则去做即可;第(2)小题应把y x -与x y -分别看作一个整体,那么此题也是单项式乘法,要按照单项式乘法及法则计算。
解:(1))()3)(2(21c a ab b a n n -⋅--+c b a cb b a a a n n n n 44216))()](1()3()2[(+++-=⋅⋅⋅-⨯-⨯-=(2)2232)(31)(6x y ab y x b a -⋅⋅-⋅- 。
15。
1。
4单项式与单项式相乘一、选择题1。
计算2322)(xy y x -⋅的结果是( )A. 105y xB. 84y xC. 85y x - D 。
126y x2。
)()41()21(22232y x y x y x -⋅+-计算结果为( ) A. 36163y x - B. 0 C. 36y x - D. 36125y x - 3.2233)108.0()105.2(⨯-⨯⨯ 计算结果是( )A 。
13106⨯B 。
13106⨯- C. 13102⨯ D. 14104.计算22232)3(2)(b a b a b a -⋅+-的结果为( )A. 3617b a - B 。
3618b a - C 。
3617b a D. 3618b a5.x 的m 次方的5倍与2x 的7倍的积为( )A. m x 212B. m x 235C. 235+m x D 。
212+m x6.992213y x y x y x n n m m =⋅⋅++-,则=-n m 34( )A 。
8B 。
9C 。
10D 。
无法确定7。
计算))(32()3(32m n m y y x x -⋅-⋅-的结果是( ) A. mn m y x 43 B. m m y x 22311+- C. n m m y x ++-232 D. n m y x ++-5)(311 8.下列计算错误的是( )A 。
122332)()(a a a =-⋅B 。
743222)()(b a b a ab =-⋅-C.212218)3()2(++=-⋅n n n n y x y x xyD.333222))()((z y x zx yz xy -=---二、填空题:1..___________))((22=x a ax2.3522)_)((_________y x y x -=3..__________)()()3(343=-⋅-⋅-y x y x4.._____________)21(622=⋅-abc b a 5.._____________)(4)3(523232=-⋅-b a b a6..______________21511=⋅⋅--n n n y x y x7。
整式的乘法----单项式乘以单项式一、选择题1.计算2322)(xy y x -⋅的结果是( ) A. 105y x B. 84y x C. 85y x - D.126y x2.)()41()21(22232y x y x y x -⋅+-计算结果为( )A. 36163y x -B. 0C. 36y x -D. 36125y x -3.2233)108.0()105.2(⨯-⨯⨯ 计算结果是( ) A. 13106⨯ B. 13106⨯- C. 13102⨯ D. 14104.计算)3()21(23322y x z y x xy -⋅-⋅的结果是( )A. z y x 663B. z y x 663-C. z y x 553D. z y x 553-5.计算22232)3(2)(b a b a b a -⋅+-的结果为( )A. 3617b a -B. 3618b a -C. 3617b aD. 3618b a6.x 的m 次方的5倍与2x 的7倍的积为( )A. m x 212B. m x 235C. 235+m xD. 212+m x7.22343)()2(yc x y x -⋅-等于( )A. 214138c y x -B. 214138c y xC. 224368c y x -D. 224368c y x8.992213y x y x y x n n m m =⋅⋅++-,则=-n m 34( )A. 8B. 9C. 10D.无法确定 9. 计算))(32()3(32m n m y y x x -⋅-⋅-的结果是( )A. mn m y x 43B. m m y x 22311+-C. n m m y x ++-232D. n m y x ++-5)(31110.下列计算错误的是( ) A.122332)()(a a a =-⋅ B.743222)()(b a b a ab =-⋅-C.212218)3()2(++=-⋅n n n n y x y x xyD.333222))()((z y x zx yz xy -=--- 二、填空题:1..___________))((22=x a ax2.3522)_)((_________y x y x -=3..__________)()()3(343=-⋅-⋅-y x y x4.._____________)21(622=⋅-abc b a5.._____________)(4)3(523232=-⋅-b a b a6..______________21511=⋅⋅--n n n y x y x7.._____________)21()2(23=-⋅-⋅mn mn m8.._______________)104)(105.2)(102.1(9113=⨯⨯⨯三、解答题1.计算下列各题(1))83(4322yz x xy -⋅ (2))312)(73(3323c b a b a -(3))125.0(2.3322n m mn - (4))53(32)21(322yz y x xyz -⋅⋅-(5))2.1()25.2()31(522y x axy ax x ⋅-⋅⋅ (6)3322)2()5.0(52xy x xy y x ⋅---⋅(7))47(123)5(232y x y x xy -⋅-⋅- (8)23223)4()()6()3(5a ab ab ab b b a -⋅--⋅-+-⋅2、已知:81,4-==y x ,求代数式52241)(1471x xy xy ⋅⋅的值.3、已知:693273=⋅m m ,求m .二、填空题:1..___________))((22=x a ax 2.3522)_)((_________y x y x -= 3..__________)()()3(343=-⋅-⋅-y x y x4.._____________)21(622=⋅-abc b a5.._____________)(4)3(523232=-⋅-b a b a6..______________21511=⋅⋅--n n n y x y x7.._____________)21()2(23=-⋅-⋅mn mn m8.._______________)104)(105.2)(102.1(9113=⨯⨯⨯三、解答题 1.计算下列各题(1))83(4322yz x xy -⋅ (2))312)(73(3323c b a b a -(3))125.0(2.3322n m mn - (4))53(32)21(322yz y x xyz -⋅⋅-(5))2.1()25.2()31(522y x axy ax x ⋅-⋅⋅ (6)3322)2()5.0(52xy x xy y x ⋅---⋅(7))47(123)5(232y x y x xy -⋅-⋅- (8)23223)4()()6()3(5a ab ab ab b b a -⋅--⋅-+-⋅2、已知:81,4-==y x ,求代数式52241)(1471x xy xy ⋅⋅的值.3、已知:693273=⋅m m ,求m .整式的乘法----单项式乘以单项式一、选择题1.计算2322)(xy y x -⋅的结果是( ) A. 105y x B. 84y x C. 85y x - D.126y x2.)()41()21(22232y x y x y x -⋅+-计算结果为( )A. 36163y x -B. 0C. 36y x -D. 36125y x -3.2233)108.0()105.2(⨯-⨯⨯ 计算结果是( ) A. 13106⨯ B. 13106⨯- C. 13102⨯ D. 14104.计算)3()21(23322y x z y x xy -⋅-⋅的结果是( )A. z y x 663B. z y x 663-C. z y x 553D. z y x 553- 5.计算22232)3(2)(b a b a b a -⋅+-的结果为( ) A. 3617b a - B. 3618b a - C. 3617b a D. 3618b a 6.x 的m 次方的5倍与2x 的7倍的积为( ) A. m x 212 B. m x 235 C. 235+m x D. 212+m x 7.22343)()2(yc x y x -⋅-等于( )A. 214138c y x -B. 214138c y xC. 224368c y x -D. 224368c y x 8.992213y x y x y x n n m m =⋅⋅++-,则=-n m 34( )A. 8B. 9C. 10D.无法确定9. 计算))(32()3(32m n m y y x x -⋅-⋅-的结果是( )A. mn m y x 43B. m m y x 22311+-C. n m m y x ++-232D. n m y x ++-5)(31110.下列计算错误的是( )A.122332)()(a a a =-⋅B.743222)()(b a b a ab =-⋅-C.212218)3()2(++=-⋅n n n n y x y x xyD.333222))()((z y x zx yz xy -=---。
.单项式乘单项式测试时间:45分钟总分: 100一、选择题(本大题共8小题,共32.0分)1.下列运算正确的是A. B.C. D.2.若,则内应填的单项式是A. B. C. D.3.下列运算正确的是A. B.C. D.4.若,则的值为A. 1B. 2C. 3D.5.计算的结果是A. B. C. D.6.计算的结果是A. B. C. D.7.如果,则“”内应填的代数式是A. B. C. a D.8.的计算结果为A. B. C. D.二、填空题(本大题共6小题,共24.0分)9.______10.计算:的结果是______ .11.计算的结果为______.12.计算______.13.计算:______.14.等于______.三、计算题(本大题共4小题,共24.0分)15.计算:16.计算:17.计算:..18.计算:;;;.四、解答题(本大题共2小题,共20分)19.计算:.20.化简.计算:结果化为只含有正整指数幂的形式答案和解析【答案】1. D2. D3. B4. B5. B6. A7. A8. D9.10.11.12.13.14.15. 解:原式;原式.16. 解:原式.17. 解:原式;原式.18. 解:原式;原式;.原式;原式19. 解:原式;原式.20. 解:;结果化为只含有正整指数幂的形式.【解析】1. 【分析】本题主要考查了整式的运算,根据同底数幂的乘法,可判断A,根据幂的乘方,可判断B,根据合并同类项,可判断C,根据平方差公式,可判断本题考查了平方差,利用了平方差公式,同底数幂的乘法,幂的乘方.【解答】解:A、原式,故A错误;B、原式,故B错误;C、原式,故C错误;D、原式,故D正确;故选D.2. 解:,故选:D.利用单项式的乘除运算法则,进而求出即可.此题主要考查了单项式的乘除运算,正确掌握运算法则是解题关键.3. 解:A、,故本选项错误;B、,故本选项正确;C、,故本选项错误;D、,故本选项错误.故选B.结合选项分别进行合并同类项、积的乘方、单项式乘单项式、完全平方公式的运算,选出正确答案.本题考查了合并同类项、积的乘方、单项式乘单项式、完全平方公式,掌握运算法则是解答本题的关键.4. 解:,,故得:,解得:.故选:B.直接利用单项式与单项式相乘,把他们的系数,相同字母分别相乘,对于只在一个单项式里含有的字母,则连同它的指数作为积的一个因式,进而得出关于m,n的等式,进而求出答案.此题主要考查了单项式乘以单项式,正确掌握运算法则是解题关键.5. 解:,故选B.根据同底数幂相乘,底数不变指数相加,计算后直接选取答案.本题主要考查同底数幂的乘法的性质,熟练掌握性质是解题的关键.6. 解:.故选A.先把常数相乘,再根据同底数幂的乘法性质:底数不变指数相加,进行计算即可.本题考查了同底数幂的乘法,牢记同底数幂的乘法,底数不变指数相加是解题的关键.7. 解:,.故选A.已知积和其中一个因式,求另外一个因式,可用积除以已知因式,得所求因式.本题考查了单项式与单项式相乘,熟练掌握运算法则是解题的关键..8. 解:.故选:D.直接利用单项式乘以单项式运算法则求出答案.此题主要考查了单项式乘以单项式,正确掌握运算法则是解题关键.9. 解:,故答案为:根据单项式与单项式相乘,把他们的系数分别相乘,相同字母的幂分别相加,其余字母连同他的指数不变,作为积的因式,计算即可.本题考查了单项式与单项式相乘,熟练掌握运算法则是解题的关键.10. 解::.故答案为:.根据单项式与单项式相乘,把他们的系数分别相乘,相同字母的幂分别相加,其余字母连同他的指数不变,作为积的因式,计算即可.本题考查了单项式与单项式相乘,熟练掌握运算法则是解题的关键.11. 解:,故答案为:.根据积的乘方和同底数幂的乘法可以解答本题.本题考查单项式乘单项式、幂的乘方与积的乘方,解答本题的关键是明确它们各自的计算方法.12. 解:故答案为:根据单项式与单项式相乘,把他们的系数分别相乘,相同字母的幂分别相加,其余字母连同他的指数不变,作为积的因式,计算即可.本题考查了单项式与单项式相乘,熟练掌握运算法则是解题的关键.13. 解:,,.故答案为:.先算积的乘方,再算单项式乘单项式,注意运算法则.本题考查了单项式乘单项式,积的乘方,解题时牢记法则是关键,此题比较简单,易于掌握.14. 解:.故答案为:.直接利用单项式乘以单项式运算法则计算得出答案.此题主要考查了单项式乘以单项式,正确掌握运算法则是解题关键.15. 原式利用单项式乘单项式法则计算即可得到结果;原式利用完全平方公式,以及平方差公式计算即可得到结果.此题考查了平方差公式,以及完全平方公式,熟练掌握公式是解本题的关键.16. 根据整式的乘除运算顺序和运算法则计算可得.本题主要考查整式的乘除运算,解题的关键是掌握单项式与单项式的乘除运算法则及幂的运算法则.17. 根据单项式乘单项式的法则计算可得;先计算括号内的加法,再计算乘法可得.本题考查了分式的化简求值和单项式乘单项式,熟悉通分、约分及分式的乘法法则及单项式乘单项式的法则是解题的关键.18. 原式先计算乘方运算,再利用单项式乘以单项式法则计算即可得到结果;原式先计算乘方运算,再计算乘除运算即可得到结果;原式先利用平方差公式化简,再利用完全平方公式展开即可;原式中括号中利用平方差公式及完全平方公式展开,去括号合并后利用多项式除以单项式法则计算即可得到结果.此题考查了整式的混合运算,熟练掌握运算法则是解本题的关键.19. 根据单项式乘以单项式的法则进行计算即可;根据积的乘方和单项式乘以单项式的法则进行计算即可.本题考查了单项式乘以单项式以及积的乘方和幂的乘方,掌握运算法则是解题的关键.20. 首先将分子与分母分解因式进而化简即可;直接利用幂的乘方运算法则以及积的乘方运算法则化简求出答案.此题主要考查了约分以及幂的乘方运算以及积的乘方运算等知识,正确掌握运算法则是解题关键.。
一、选择题1.计算2322)(xy y x -⋅的结果是( ) A. 105y x B. 84y x C. 85y x - D.126y x2.)()41()21(22232y x y x y x -⋅+-计算结果为( ) A. 36163y x -B. 0C. 36y x -D. 36125y x - 3.2233)108.0()105.2(⨯-⨯⨯ 计算结果是( ) A. 13106⨯ B. 13106⨯- C. 13102⨯ D. 1410 4.计算)3()21(23322y x z y x xy -⋅-⋅的结果是( ) A. z y x 663 B. z y x 663- C. z y x 553 D. z y x 553- 5.计算22232)3(2)(b a b a b a -⋅+-的结果为( ) A. 3617b a - B. 3618b a - C. 3617b a D. 3618b a 6.x 的m 次方的5倍与2x 的7倍的积为( ) A. m x 212 B. m x 235 C. 235+m x D. 212+m x 7.22343)()2(yc x y x -⋅-等于( )A. 214138c y x -B. 214138c y xC. 224368c y x -D. 224368c y x 8.992213y x y x y x n n m m =⋅⋅++-,则=-n m 34( ) A. 8 B. 9 C. 10 D.无法确定 9. 计算))(32()3(32m n m y y x x -⋅-⋅-的结果是( ) A. mn m y x 43 B. m m y x 22311+-C. n m m y x ++-232D. n m y x ++-5)(311 10.下列计算错误的是( )A.122332)()(a a a =-⋅B.743222)()(b a b a ab =-⋅-C.212218)3()2(++=-⋅n n n n y x y x xyD.333222))()((z y x zx yz xy -=--- 二、填空题:1..___________))((22=x a ax2.3522)_)((_________y x y x -=3.__________)()()3(343=-⋅-⋅-y x y x4.._____________)21(622=⋅-abc b a 5.._____________)(4)3(523232=-⋅-b a b a 6..______________21511=⋅⋅--n n n y x y x 7.._____________)21()2(23=-⋅-⋅mn mn m 8.._______________)104)(105.2)(102.1(9113=⨯⨯⨯ 三、1.计算下列各题(1))83(4322yz x xy -⋅ (2))312)(73(3323c b a b a -(3))125.0(2.3322n m mn - (4))53(32)21(322yz y x xyz -⋅⋅-5.)2.1()25.2()31(522y x axy ax x ⋅-⋅⋅ (6)3322)2()5.0(52xy x xy y x ⋅---⋅(7))47(123)5(232y x y x xy -⋅-⋅- (8)23223)4()()6()3(5a ab ab ab b b a -⋅--⋅-+-⋅2、已知:81,4-==y x ,求代数式52241)(1471x xy xy ⋅⋅的值.3、一长方体的长为7108⨯cm ,宽为5106⨯cm ,高为9105⨯cm ,求长方体的体积.2、单项式与多项式相乘一、选择题1.化简2(21)(2)x x x x ---的结果是( ) A .3x x --B .3x x -C .21x --D .31x -2.化简()()()a b c b c a c a b ---+-的结果是( ) A .222ab bc ac ++ B .22ab bc - C . 2abD .2bc -3.如图14-2是L 形钢条截面,它的面积为( ) A .ac+bcB .ac+(b-c)cC .(a-c)c+(b-c)cD .a+b+2c+(a-c)+(b-c)4.下列各式中计算错误的是( )A .3422(231)462x x x x x x -+-=+-B .232(1)b b b b b b -+=-+C .231(22)2x x x x --=--D .342232(31)2323x x x x x x -+=-+5.2211(6)(6)23ab a b ab ab --⋅-的结果为( ) A .2236a bB .3222536a b a b +C .2332223236a b a b a b -++D .232236a b a b -+二、填空题1.22(3)(21)x x x --+-= 。
《单项式乘以单项式》典型例题例1 计算)2(32343c ab b a -。
例2 计算:(1))()3)(2(21c a ab b a n n -⋅--+(2)2232)(31)(6x y ab y x b a -⋅⋅-⋅-例3 计算232333])2[(]25.0[83ab c ab bc a -⋅-⋅.例4 计算:(1)523232)(4)3(b a b a -⋅-;(2)33233332332232])()[()(2)2()(z y y x yz yz x z y x z xy ⋅-⋅---⋅+-;例5 计算题:(1))32()43(5433c ab b a ab -⋅-⋅ (2)3222)3()()2(xy y x y x n n m -⋅-⋅-例6 化简:(1)432)35(21)53(2x x xy -⋅--; (2)23322)()()(21)(2abc abc bc a bc a --⋅--。
参考答案例1 分析:积的系数是各单项式系数的积:6)2(3-=-⨯;相同字母相乘,依据同底数幂的乘法性质,得:73443,b b b a a a =⋅=⋅;作为只在一个单项式里含有的字母,连同它的指数作为积的一个因式,这个因式为2c 。
最后计算结果为3746c b a -。
解:)2(32343c ab b a -27423436))()(2(3c b a c b b a a -=⋅⋅-⨯=。
说明:凡是在单项式里出现过的字母,在其结果里也应全都有,不能漏掉。
例2 分析:第(1)小题只要按单项式乘法法则去做即可;第(2)小题应把y x -与x y -分别看作一个整体,那么此题也是单项式乘法,要按照单项式乘法及法则计算。
解:(1))()3)(2(21c a ab b a n n -⋅--+c b a cb b a a a n n n n 44216))()](1()3()2[(+++-=⋅⋅⋅-⨯-⨯-=(2)2232)(31)(6x y ab y x b a -⋅⋅-⋅- 。
单项式乘以单项式练习题14.2 整式的乘法1. 单项式与单项式相乘一、选择题1.计算2322)(xy y x -?的结果是()A. 105y xB. 84y xC. 85y x -D.126y x 2.)()41()21(22232y x y x y x -?+-计算结果为() A. 36163y x - B. 0 C. 36y x - D. 36125y x -3.2233)108.0()105.2(?-?? 计算结果是()A. 13106?B. 13106?-C. 13102?D. 14104.计算)3()21(23322y x z y x xy -?-?的结果是()A. z y x 663B. z y x 663-C. z y x 553D. z y x 553-5.计算22232)3(2)(b a b a b a -?+-的结果为()A. 3617b a -B. 3618b a -C. 3617b aD. 3618b a6.x 的m 次方的5倍与2x 的7倍的积为()A. m x 212B. m x 235C. 235+m xD. 212+m x7.22343)()2(yc x y x -?-等于()A. 214138c y x -B. 214138c y xC. 224368c y x -D. 224368c y x8.992213y x y x y x n n m m =??++-,则=-n m 34()A. 8B. 9C. 10D.无法确定9. 计算))(32()3(32m n m y y x x -?-?-的结果是()A. mn m y x 43B. m m y x 22311+-C. n m m y x ++-232D. nm y x ++-5)(31110.下列计算错误的是()A.122332)()(a a a =-?B.743222)()(b a b a ab =-?-C.212218)3()2(++=-?n n n n y x y x xyD.333222))()((z y x zx yz xy -=---二、填空题:1..___________))((22=x a ax2.3522)_)((_________y x y x -=3..__________)()()3(343=-?-?-y x y x4.._____________)21(622=?-abc b a 5.._____________)(4)3(523232=-?-b a b a6..______________21511=??--n n n y x y x7.._____________)21()2(23=-?-?mn mn m8.._______________)104)(105.2)(102.1(9113=三、解答题1.计算下列各题(1))83(4322yz x xy -? (2))312)(73(3323c b a b a -(3))125.0(2.3322n m mn - (4))53(32)21(322yz y x xyz -??-(5))2.1()25.2()31(522y x axy ax x ?-?? (6)3322)2()5.0(52xy x xy y x ?---?(7))47(123)5(232y x y x xy -?-?- (8)23223)4()()6()3(5a ab ab abb b a -?--?-+-?2、已知:81,4-==y x ,求代数式52241)(1471x xy xy ??的值.3、已知:693273=?m m ,求m .四、探究创新乐园1. 若32=a ,62=b ,122=c ,求证:2b=a+c .2. 若32=a ,52=b ,302=c ,试用a 、b 表示出c .五、数学生活实践一长方体的长为7108?cm ,宽为5106?cm ,高为9105?cm ,求长方体的体积.六、小小数学沙龙一队工程师在丈量一根旗杆的高度,他们只有一根皮尺,无法固定在旗杆上,因为皮尺总是落下来.一位数学家路过,拔出旗杆,很容易就量出了数据.他离开后,一位工程师对另一位说:“数学家总是这样,我们要的是高度,他却给我们长度.”亲爱的同学们,你对这个小故事有什么想法?。