单项式乘以单项式练习题复习进程
- 格式:doc
- 大小:918.50 KB
- 文档页数:9
9.1单项式乘单项式单项式乘单项式单项式与单项式相乘,把它们的系数、相同字母的幂分别相乘,对于只在一个单项式里含有的字母,则连同它的指数作为积的一个因式。
题型1:单项式乘单项式1.计算:2ab2•a2b= 2a3b3 .【分析】根据单项式乘单项式的运算法则计算.【解答】解:2ab2•a2b=2(a•a2)•(b2•b)=2a3b3,故答案为:2a3b3.【变式1-1】计算(﹣2a3b2)•(﹣3a)2= ﹣18a5b2 .【分析】根据单项式乘单项式,积的乘方运算法则求解即可.【解答】解:(﹣2a3b2)•(﹣3a)2=(﹣2a3b2)•9a2=﹣18a5b2,故答案为:﹣18a5b2.【变式1-2】计算(a2b﹣3)﹣2•(a﹣2b3)2= a﹣8b12 .【分析】根据积的乘方、幂的乘方、同底数幂的乘法解答.【解答】解:(a2b﹣3)﹣2•(a﹣2b3)2=a﹣4b6•a﹣4b6=a﹣8b12.故答案为:a﹣8b12.题型2:与幂的运算结合2.若(a m+1b n+2)•(a2n﹣1b2n)=a5b3,则m﹣n的值为 4 .【分析】先利用单项式乘单项式法则计算(a m+1b n+2)•(a2n﹣1b2n),再根据等式得到指数间关系,最后求出m﹣n.【解答】解:∵(a m+1b n+2)•(a2n﹣1b2n)=a m+1+2n﹣1b n+2+2n=a m+2n b3n+2,∴a m+2n b3n+2=a5b3.∴m+2n=5①,3n=1②.∴①﹣②,得m﹣n=5﹣1=4.故答案为:4.【变式2-1】若1+2+3+…+n=m,且ab=1,m为正整数,则(ab n)(a2b n﹣1)…(a n﹣1b2)(a n b)= 1 .【分析】根据单项式乘单项式的计算法则计算,得到(ab n)(a2b n﹣1)…(a n﹣1b2)(a n b)=a m b m,再根据积的乘方得到原式=(ab)m,再根据ab=1,m为正整数,代入计算即可求解.【解答】解:∵ab=1,m为正整数,∴(ab n)(a2b n﹣1)…(a n﹣1b2)(a n b)=a1+2+…+n﹣1+n b n+n﹣1+…+2+1=a m b m=(ab)m=1m=1.故答案为:1.【变式2-2】若﹣2x3m+1y2n与4x n﹣6y﹣3﹣m的积与﹣4x4y是同类项,求m、n.【分析】先求出﹣2x3m+1y2n与4x n﹣6y﹣3﹣m的积,再根据同类项的定义列出方程组,求出m,n的值即可.【解答】解:∵﹣2x3m+1y2n•4x n﹣6y﹣3﹣m=﹣8x3m+n﹣5y2n﹣3﹣m,一.选择题(共4小题)1.下列计算正确的是( )A.(﹣3a2)3=﹣9a6B.(a2)3=a5 C.a2b•(﹣2ba2)=﹣2a4b2D.a9÷a3=a3【分析】各式计算得到结果,即可作出判断.【解答】解:A、原式=﹣27a6,不符合题意;B、原式=a6,不符合题意;C 、原式=﹣2a 4b 2,符合题意;D 、原式=a 6,不符合题意.故选:C .2.现有下列算式:(1)2a +3a =5a ;(2)2a 2•3a 3=6a 6;(3)(b 3)2=b 5;(4)(3b 3)3=9b 9;其中错误的有( )A .1个B .2个C .3个D .4个【分析】利用合并同类项的法则,单项式乘单项式的法则,幂的乘方与积的乘方的法则对各项进行运算即可.【解答】解:(1)2a +3a =5a ,故(1)不符合题意;(2)2a 2•3a 3=6a 5,故B 符合题意;(3)(b 3)2=b 6,故C 符合题意;(4)(3b 3)3=27b 9,故D 符合题意;则符合题意的有3个.故选:C .3.若(﹣2a m •b m +n )3=﹣8a 9•b 15,则( )A .m =3,n =2B .m =3,n =3C .m =5,n =2D .m =2,n =4【分析】根据积的乘方的法则,可得计算结果.【解答】解:∵(﹣2a m ⋅b m +n )3=﹣8a 3m ⋅b 3m +3n =﹣8a 9⋅b 15,∴3m =9,3m +3n =15,∴m =3,n =2,故选:A .4.下列运算正确的是( )A .(a 3)4=a 7B .a 6a 3=a 2C .3a 2•4a 3=12a 5D .(a 2b )2=a 2b 2【分析】利用同底数幂的除法的法则,单项式乘单项式的法则,幂的乘方与积的乘方的法则对各项进行运算即可.【解答】解:A 、(a 3)4=a 12,故A 不符合题意;B 、a 6a 3=a 3,故B 不符合题意;C 、3a 2•4a 3=12a 5,故C 符合题意;D 、(a 2b )2=a 4b 2,故D 不符合题意;故选:C .二.填空题(共4小题)5.计算2x 2•(﹣3x )3= ﹣6x 5 .【分析】根据单项式乘单项式的法则:系数的积作为积的系数,同底数的幂分别相乘也作为积的一个因式,进行计算即可.【解答】解:2x 2•(﹣3x 3)=(﹣2×3)x 2•x 3=﹣6x 5.故答案为:﹣6x 5.6.若x 3y n +1•x m +n •y 2n +2=x 9y 9,则4m ﹣3n = 10 .【分析】利用单项式乘单项式的法则进行运算即可.【解答】解:∵x 3y n +1•x m +n •y 2n +2=x 9y 9,∴x 3+m +n y n +1+2n +2=x 9y 9,∴3+m +n =9,n +1+2n +2=9,解得:n =2,m =4,∴4m ﹣3n=4×4﹣3×2=16﹣6=10.故答案为:10.7.已知x n =2,y n =3.(1)(xy )2n 的值为 36 ;(2)若x 3n +1•y 3n +1=64,则xy 的值为 827 .【分析】(1)利用幂的乘方与积的乘方的法则进行计算,即可得出结果;(2)利用幂的乘方与积的乘方的法则进行计算,即可得出结果.【解答】解:(1)∵x n=2,y n=3,∴(xy)2n=x2n y2n=(x n)2(y n)2=22×32=4×9=36,故答案为:36;(2)∵x3n+1•y3n+1=64,∴x3n•y3n•xy=64,∴(x n)3•(y n)3•xy=64,∵x n=2,y n=3,∴23•33•xy=64,∴xy=8 27,故答案为:8 27.8.单项式3x2y与﹣2x3y3的积为mx5y n,则m+n= ﹣2 .【分析】根据单项式的乘法:系数乘系数,同底数的幂相乘,可得答案.【解答】解:由题意,得m=3×(﹣2)=﹣6,n=3+1=4,m+n=﹣6+4=﹣2,故答案为:﹣2.三.解答题(共3小题)9.计算:(1)(﹣2x2y3)2•xy;(2)a﹣2b2•(ab﹣1).【分析】(1)根据同底数幂的乘除法的计算方法进行计算即可;(2)根据负整数指数幂以及分式乘除法的计算方法进行计算即可.【解答】解:(1)原式=4x4y6•xy=4x5y7:(2)原式=b2a2×ab=ba.10.(1)计算:(2a2)3•a3(2)计算:(a3)2÷a4(3)计算:(﹣3a3)2•a3+(﹣4a)2•a7﹣(5a3)3.【分析】(1)先根据积的乘方的计算法则计算,再根据同底数幂的乘法法则计算即可;(2)先根据积的乘方的计算法则计算,再根据同底数幂的除法法则计算即可;(3)先根据积的乘方的计算法则,同底数幂的乘法法则分别计算,在合并同类项求解即可.【解答】解:(1)(2a2)3•a3=8a6•a3=8a9;(2)(a3)2÷a4=a6÷a4=a2;(3)(﹣3a3)2•a3+(﹣4a)2•a7﹣(5a3)3=9a6•a3+16a2.a7﹣125a9=9a9+16a9﹣125a9=﹣100a9.11.已知x3m=2,y2m=3,求(x2m)3+(y m)6﹣(x2y)3m•y m的值.【分析】直接利用积的乘方运算法则以及幂的乘方运算法则计算得出答案.【解答】解:∵x3m=2,y2m=3,∴(x2m)3+(y m)6﹣(x2y)3m•y m=(x3m)2+(y2m)3﹣(x6m y3m×y m)=(x3m)2+(y2m)3﹣(x3m y2m)2=22+33﹣(2×3)2=﹣5.。
一、解答题(共19小题)1.计算:(ax2)•(﹣8a3x3)考点:单项式乘单项式。
分析:根据单项式与单项式相乘,把他们的系数分别相乘,相同字母的幂分别相加,其余字母连同他的指数不变,作为积的因式,计算即可.解答:解:(ax2)•(﹣8a3x3)=×(﹣8)×a4•x5=﹣2a4x5.点评:本题考查了单项式与单项式相乘,熟练掌握运算法则是解题的关键.2.计算(1)(﹣ab)2•(2a2﹣ab﹣1);(2)4x(x﹣y)+(2x﹣y)(y﹣2x).考点:单项式乘单项式;平方差公式;整式的混合运算。
分析:(1)首先按照乘法分配原则进行乘法运算,再合并同类项即可.(2)本题须根据整式的混合运算的顺序和法则分别进行计算,再把所得结果合并即可.解答:(1)原式=a2b2•(2a2﹣ab﹣1)=2 a4b2﹣a3b3﹣a2b2;(2)原式=4x2﹣4xy﹣4x2+4xy﹣y2=﹣y2;点评:本题主要考查了单项式乘多项式,在解题时要注意运算顺序和结果的符号是本题的关键.3.计算:①(2x)3•(﹣5xy2)②(3x+1)(x+2)③(4n﹣n)2④(x+2y﹣3)(x﹣2y﹣3)⑤先化简,再求值:[(x+2y)(x﹣2y)﹣(x+4y)2]÷4y,其中x=5,y=2.考点:单项式乘单项式;多项式乘多项式;完全平方公式;平方差公式;整式的混合运算—化简求值。
分析:①分别根据幂的乘方与积的乘方法则计算即可.②先用括号中的每一项分别与另一括号中的每一项分别进行相乘,再合并同类项,即可求出答案;③先把括号中进行合并,再算乘方,即可求出答案;④先把(x+2y﹣3)(x﹣2y﹣3)进行整理,得出[(x﹣3)+2y][(x﹣3)﹣2y],再根据平方差公式进行计算即可;⑤先根据平方差公式进行计算,再除以4y,然后把x=5,y=2代入即可求出答案.解答:解:①(2x)3•(﹣5xy2)=8x3•(﹣5xy2)=﹣40x4y2,②(3x+1)(x+2)=3x2+6x+x+2=3x2+7x+2,③(4n﹣n)2=(3n)2=9n2,④(x+2y﹣3)(x﹣2y﹣3)=[(x﹣3)+2y][(x﹣3)﹣2y]=(x﹣3)2﹣(2y)2=x2﹣6x+9﹣4y2=x2﹣6x﹣4y2+9;⑤[(x+2y)(x﹣2y)﹣(x+4y)2]÷4y=[x2﹣4y2﹣x2﹣8xy﹣16y2]÷4y=[﹣20y2﹣8xy]÷4y=﹣5y﹣2x,把x=5,y=2代入上式得:﹣5×2﹣2×5=﹣20.点评:此题考查了单项式乘单项式,完全平方公式,平方差公式,多项式乘多项式等知识点;解题的关键是熟记公式结构,认真计算即可.4.计算:考点:单项式乘单项式。
整式的乘法----单项式乘以单项式一、选择题1.计算2322)(xy y x -⋅的结果是( ) A. 105y x B. 84y x C. 85y x - D.126y x2.)()41()21(22232y x y x y x -⋅+-计算结果为( )A. 36163y x -B. 0C. 36y x -D. 36125y x -3.2233)108.0()105.2(⨯-⨯⨯ 计算结果是( ) A. 13106⨯ B. 13106⨯- C. 13102⨯ D. 14104.计算)3()21(23322y x z y x xy -⋅-⋅的结果是( )A. z y x 663B. z y x 663-C. z y x 553D. z y x 553-5.计算22232)3(2)(b a b a b a -⋅+-的结果为( )A. 3617b a -B. 3618b a -C. 3617b aD. 3618b a6.x 的m 次方的5倍与2x 的7倍的积为( )A. m x 212B. m x 235C. 235+m xD. 212+m x7.22343)()2(yc x y x -⋅-等于( )A. 214138c y x -B. 214138c y xC. 224368c y x -D. 224368c y x8.992213y x y x y x n n m m =⋅⋅++-,则=-n m 34( )A. 8B. 9C. 10D.无法确定 9. 计算))(32()3(32m n m y y x x -⋅-⋅-的结果是( )A. mn m y x 43B. m m y x 22311+-C. n m m y x ++-232D. n m y x ++-5)(31110.下列计算错误的是( ) A.122332)()(a a a =-⋅ B.743222)()(b a b a ab =-⋅-C.212218)3()2(++=-⋅n n n n y x y x xyD.333222))()((z y x zx yz xy -=--- 二、填空题:1..___________))((22=x a ax2.3522)_)((_________y x y x -=3..__________)()()3(343=-⋅-⋅-y x y x4.._____________)21(622=⋅-abc b a5.._____________)(4)3(523232=-⋅-b a b a6..______________21511=⋅⋅--n n n y x y x7.._____________)21()2(23=-⋅-⋅mn mn m8.._______________)104)(105.2)(102.1(9113=⨯⨯⨯三、解答题1.计算下列各题(1))83(4322yz x xy -⋅ (2))312)(73(3323c b a b a -(3))125.0(2.3322n m mn - (4))53(32)21(322yz y x xyz -⋅⋅-(5))2.1()25.2()31(522y x axy ax x ⋅-⋅⋅ (6)3322)2()5.0(52xy x xy y x ⋅---⋅(7))47(123)5(232y x y x xy -⋅-⋅- (8)23223)4()()6()3(5a ab ab ab b b a -⋅--⋅-+-⋅2、已知:81,4-==y x ,求代数式52241)(1471x xy xy ⋅⋅的值.3、已知:693273=⋅m m ,求m .二、填空题:1..___________))((22=x a ax 2.3522)_)((_________y x y x -= 3..__________)()()3(343=-⋅-⋅-y x y x4.._____________)21(622=⋅-abc b a5.._____________)(4)3(523232=-⋅-b a b a6..______________21511=⋅⋅--n n n y x y x7.._____________)21()2(23=-⋅-⋅mn mn m8.._______________)104)(105.2)(102.1(9113=⨯⨯⨯三、解答题 1.计算下列各题(1))83(4322yz x xy -⋅ (2))312)(73(3323c b a b a -(3))125.0(2.3322n m mn - (4))53(32)21(322yz y x xyz -⋅⋅-(5))2.1()25.2()31(522y x axy ax x ⋅-⋅⋅ (6)3322)2()5.0(52xy x xy y x ⋅---⋅(7))47(123)5(232y x y x xy -⋅-⋅- (8)23223)4()()6()3(5a ab ab ab b b a -⋅--⋅-+-⋅2、已知:81,4-==y x ,求代数式52241)(1471x xy xy ⋅⋅的值.3、已知:693273=⋅m m ,求m .整式的乘法----单项式乘以单项式一、选择题1.计算2322)(xy y x -⋅的结果是( ) A. 105y x B. 84y x C. 85y x - D.126y x2.)()41()21(22232y x y x y x -⋅+-计算结果为( )A. 36163y x -B. 0C. 36y x -D. 36125y x -3.2233)108.0()105.2(⨯-⨯⨯ 计算结果是( ) A. 13106⨯ B. 13106⨯- C. 13102⨯ D. 14104.计算)3()21(23322y x z y x xy -⋅-⋅的结果是( )A. z y x 663B. z y x 663-C. z y x 553D. z y x 553- 5.计算22232)3(2)(b a b a b a -⋅+-的结果为( ) A. 3617b a - B. 3618b a - C. 3617b a D. 3618b a 6.x 的m 次方的5倍与2x 的7倍的积为( ) A. m x 212 B. m x 235 C. 235+m x D. 212+m x 7.22343)()2(yc x y x -⋅-等于( )A. 214138c y x -B. 214138c y xC. 224368c y x -D. 224368c y x 8.992213y x y x y x n n m m =⋅⋅++-,则=-n m 34( )A. 8B. 9C. 10D.无法确定9. 计算))(32()3(32m n m y y x x -⋅-⋅-的结果是( )A. mn m y x 43B. m m y x 22311+-C. n m m y x ++-232D. n m y x ++-5)(31110.下列计算错误的是( )A.122332)()(a a a =-⋅B.743222)()(b a b a ab =-⋅-C.212218)3()2(++=-⋅n n n n y x y x xyD.333222))()((z y x zx yz xy -=---。
单项式乘以单项式练习题单项式乘单项式测试时间:45分钟总分:100一、选择题(本大题共8小题,共32.0分)1. 下列运算正确的是'丿=a 2 - 4b 2A- a 2 ' a 3 = a 6C- 2a 2+ Sa 2= 5a 6B-辭=a 5D ・么 + 2b) (a -2b) 2. 若口 x 2xy = 16x 3y 2^则□内应填的单项式是()A. 4:CyB.U 4xTy 2 D ・ 8^y3. 下列运算正确的是(丿A ・ / + / = a 4-b 6C- 2x -2x 2= 2x 3J (m - YI Y = nT - rT4. 若(an, + 1b ,l + 2) -(~a 2n -1b 2n,) = -a 3b 5'则加十力的值为( )A. 1B.2C. 3D 打5. 计算W 的结果是()A- 4』B. 4X 5U 4x D ・ 4x 36. 计算2/ 7-x 2)的结果是])A- - 2?B* 2xC- -2x 6D- 2x 67. 如果口 3a= - 3a 2b f则 “口” 内应填的代数式是(丿A.・ abB. _ 3abC. a D ・-3a&緒「垣泸计算结果和 —)A ・5 5 4B ・八3-F /- xyC ・ 5 ° 3 -xyD--莎- V填空题(本大题共6小题,共24.0分) 9. 2x - 6x y.收集于网络.如有便权请联系管理员删除计算:(皿⑶的结果是 ____ 计算(-2a)3与/的结果为 - • 计算农y •(-$) = -- • 计算:XV 7-2^3)2= ---- .3a 2b V 的等于 - •计算题(本大题共4小题,共24.0分) 计算:(l)3xTy V - 2xy 3) (2)(2x 十 y)2 - (2x + 3y)(2x - 3y)计算:4xy^2y '(-Sxy^2计算:(l)4x 『 Y-詁日⑵"+ 2 +嘉鬻计算:(1)(-x)3 '(-X)7-x/;⑵少b3 一 (一分b)「3沪收集于网络,如有侵权请联系管理员删除10. 11. 12. 13. 14.三、15. 16. 17. 1& 19. 20. 21. 22. 23. 24. 25. 26. 27. 2& 29. 30. 31. 32.33. 34. 35.(3) (2x + 5y)2(2x - 5沪(4) [(x - 2y)2 + (3x - 2y)(3x + 2y)] ^ (- 5x)'解答题(本大题共2小题,共20分) 计算: (1) 2cf x f - 2ab) x aby (2) (-~^)3 -(2xy 3)3y*“丿化简./・处+ 9・⑵计算:宀(曲・3(结果化为只含有正整指数幕的形式丿收集于网络.如有便权请联系管理员删除36. 37. 3& 39. 40. 41. 42. 43. 44.四、45.46. 47. 4& 49. 50. 51. 52. 53. 54. 55. 56. 57. 5& 59. 60. 61. 62.63.答案和解析【答案】l. D 2.D 3.B 4.B 5. B 6. A 7. A9 - Sx2y1°・-6/11- -24a512・.x3y13-小14-15aV15.解:〃丿原式=・6汐;⑵原式=屁 + 4xy + y2 - 4x2 + 9y2 = 4xy + 10y2'16.解:原式=4x i y 2y ■(-3x\>5)2=4xy十2y = 2x ' (9^y)=18x5y6-17.解:〃丿原式=(.訂形©.同•八- ⑵原式=f归■丄・L m - 2 m - 2/(m + 3)(m- 3) .-2(m + 3)2(m - 2) m - 2 -(m - 3)=-2m - 6・ 18•解:〃丿原式=■兀珂⑵原式=务5护+ (如b)皆)=.]沁2;⑶原式=(4卫-25y2)2 = 16x4 - 200x2^ + 625y^ 岸丿原式=(x2 _ 4y:y _^4y2 + 9x2 _ 4y^一(.翊= 19-解:〃丿原式=2a2 x 2ab x a3b3收集于网络.如有便权请联系管理员删除秸品文档⑵原式=-&vy y=忌严20.解:,.6x + 9 (X- 3尸X-5;⑴ 2x-6 = 2(x-3) = ~1~⑵(a-3)2(ab2)-3(^果化为只含有正整指数幕的形式丿=/ -a^b'6 = a'9b'6【解析】1.【分析】本题主要考查了整式的运算,根据同底数幕的乘法,可判断4,根据幕的乘方,可判断5根据合并同类项,可判断C,根据平方差公式,可判断D本题考查了平方差,利用了平方差公式,同底数幕的乘法,幕的乘方.【解答】解:4、原式=/,故4错误;B、原式=/,故〃错误;C、原式=5才,故C错误;D、原式=a2 _ 4b2f故D正确;故选D.2.解::•口x2xy = /<5xV,••□ = 16x3y十2xy = 8x2y.故选:D.利用单项式的乘除运算法则,进而求出即可.此题主要考查了单项式的乘除运算,正确掌握运算法则是解题关键.3.解:4、/ + / = 2/,故本选项错误;B、「旳3= _b6f故本选项正确;C、2x ' 2y? = 4x'故本选项错误;D、(m - n)2 = m2 - 2mn + n2f故本选项错误・故选氏结合选项分别进行合并同类项、积的乘方、单项式乘单项式、完全平方公式的运算,选出正确答案.收集于网络,如有侵权请联系管理员删除粘品文档本题考查了合并同类项、积的乘方、单项式乘单项式、完全平方公式,掌握运算法则是解答本题的关键.4.解:故⑦+ g得:3m + % = Q 解得:加+ ” = 2・故选:B.直接利用单项式与单项式相乘,把他们的系数,相同字母分别相乘,对于只在一个单项式里含有的字母,则连同它的指数作为积的一个因式,进而得出关于加,〃的等式,进而求出答案.此题主要考查了单项式乘以单项式,正确掌握运算法则是解题关键.5.解:4—4严=4小故选氏根据同底数幕相乘,底数不变指数相加,计算后直接选取答案.本题主要考查同底数幕的乘法的性质,熟练掌握性质是解题的关键.6•解:2?7-x2J= -2x5-故选4・先把常数相乘,再根据同底数幕的乘法性质:底数不变指数相加,进行计算即可.本题考查了同底数幕的乘法,牢记同底数幕的乘法,底数不变指数相加是解题的关键.7•解:<3a2b 3a = -ab'故选4・己知积和其中一个因式,求另外一个因式,可用积除以己知因式,得所求因式.本题考查了单项式与单项式相乘,熟练掌握运算法则是解题的关键.& 解:2 2 ./ ■, 3) 九”.产y (- ^xy ) = -ycy故选:D.直接利用单项式乘以单项式运算法则求出答案.此题主要考查了单项式乘以单项式,正确掌握运算法则是解题关键.9 .解:2 ' 3x2y = 6x3y f故答案为:3x2y根据单项式与单项式相乘,把他们的系数分别相乘,相同字母的幕分别相加,其余字母连同他的指数不变,作为积的因式,计算即可.本题考查了单项式与单项式相乘,熟练掌握运算法则是解题的关键.收集于网络,如有侵权请联系管理员删除秸品文档10.解::2/丿% = - 2 x 3a2 -a = - 6a^故答案为:_ &/・根据单项式与单项式相乘,把他们的系数分别相乘,相同字母的幕分别相加,其余字母连同他的指数不变,作为积的因式,计算即可.本题考查了单项式与单项式相乘,熟练掌握运算法则是解题的关键. □•解:(如血= (-8a3) -3cT=-24小故答案为:_ 24扌.根据积的乘方和同底数幕的乘法可以解答本题.本题考查单项式乘单项式、幕的乘方与积的乘方,解答本题的关键是明确它们各自的计算方法.12.解:2• / 7 i 3gy (-^c) = -xy.故答案为:_ Jy.根据单项式与单项式相乘,把他们的系数分别相乘,相同字母的幕分别相加,其余字母连同他的指数不变,作为积的因式,计算即可.本题考查了单项式与单项式相乘,熟练掌握运算法则是解题的关键.13 .解:汐心册= x3y2 7 - 2)2x2y6f= 4x3 + 2y2 + 6^=4刘・故答案为:先算积的乘方,再算单项式乘单项式,注意运算法则.本题考查了单项式乘单项式,积的乘方,解题时牢记法则是关键,此题比较简单,易于掌握.14-解:3局M=15a»・故答案为:曲P直接利用单项式乘以单项式运算法则计算得出答案.此题主要考查了单项式乘以单项式,正确掌握运算法则是解题关键.15.〃丿原式利用单项式乘单项式法则计算即可得到结果;收集于网络,如有侵权请联系管理员删除粘品文档(2丿原式利用完全平方公式,以及平方差公式计算即可得到结果.此题考查了平方差公式,以及完全平方公式,熟练掌握公式是解本题的关键.16•根据整式的乘除运算顺序和运算法则计算可得.本题主要考查整式的乘除运算,解题的关键是掌握单项式与单项式的乘除运算法则及幕的运算法则.17.⑵根据单项式乘单项式的法则计算可得;门丿先计算括号内的加法,再计算乘法可得.本题考查了分式的化简求值和单项式乘单项式,熟悉通分、约分及分式的乘法法则及单项式乘单项式的法则是解题的关键.1& 〃丿原式先计算乘方运算,再利用单项式乘以单项式法则计算即可得到结果;门丿原式先计算乘方运算,再计算乘除运算即可得到结果;(刃原式先利用平方差公式化简,再利用完全平方公式展开即可;“丿原式中括号中利用平方差公式及完全平方公式展开,去括号合并后利用多项式除以单项式法则计算即可得到结果.此题考查了整式的混合运算,熟练掌握运算法则是解本题的关键.19•⑵根据单项式乘以单项式的法则进行计算即可;⑵根据积的乘方和单项式乘以单项式的法则进行计算即可.本题考查了单项式乘以单项式以及积的乘方和幕的乘方,掌握运算法则是解题的关键.20•〃丿首先将分子与分母分解因式进而化简即可;(2丿直接利用幕的乘方运算法则以及积的乘方运算法则化简求出答案.此题主要考查了约分以及幕的乘方运算以及积的乘方运算等知识,正确掌握运算法则是解题关键.收集于网络,如有侵权请联系管理员删除。
单项式乘单项式的学案:同步练习题指南1、学习目标本节课的学习目标是让学生掌握如何进行单项式与单项式的乘法运算。
学生应该能够准确地使用乘法定理进行计算,同时能够理解乘法定理的原理和运用条件。
同时,本节课还将与同步练习题共同配套,以帮助学生更好地理解相关知识点,并做好复习准备。
2、教学重难点本节课的教学重点是关于单项式的乘法运算,包括如何将单项式相乘,以及如何使用乘法定理求解。
同时,本节课要求学生学习如何进行分步计算,以避免因粗心而产生的错误。
教学难点主要在于如何让学生理解乘法定理的原理和运用条件,以提高其应用能力。
3、教学准备WPS文档、课件、同步练习题集4、教学过程第一步:引入通过简单的引言,让学生了解本节课的重点内容。
同时,要求学生预习同步练习题集中的乘法题目,并计划好本节课的学习计划。
第二步:讲解利用课件,对单项式乘法进行讲解。
要求学生认真理解单项式的概念,了解单项式与单项式相乘的方法。
随后,介绍乘法定理,让学生了解其原理和与乘法定理相伴的应用条件。
同时,通过实例的演示,让学生明白乘法定理的实际应用方法。
第三步:拓展根据学生的不同反应,通过课件以及教师介绍,进行拓展,介绍单项式的乘法与整式的乘法的区别与联系,让学生了解单项式乘法与整式乘法的关系。
其目的在于帮助学生了解更广泛的数学知识,提高分析问题的能力。
第四步:练习通过同步练习题,让学生落实所学知识点,并在练习中掌握乘法的运用方法。
同时,过程中,教师要及时解答学生提出的问题,并给出适当的指导,以帮助学生更好地理解相关知识点。
第五步:总结在完成练习之后,对学生进行总结,让学生对本节课的内容进行回顾。
同时,教师也要督促学生在课后进行自主练习,以夯实所学的知识。
5、教学流程引入 -> 讲解 -> 拓展 -> 练习 -> 总结6、教学注意事项1、教师要提前准备好教学材料,确保教学流程顺畅。
2、教师在讲解时,要重点讲解乘法定理和其应用方法,让学生掌握话题的核心内容。
单项式乘以单项式教案第一章:单项式乘以单项式概念介绍1.1 教学目标:让学生理解单项式的概念。
让学生掌握单项式乘以单项式的计算方法。
1.2 教学内容:定义单项式。
解释单项式乘以单项式的概念。
举例说明单项式乘以单项式的计算过程。
1.3 教学方法:使用PPT展示单项式的定义和例子。
通过小组讨论让学生理解单项式乘以单项式的概念。
提供练习题让学生进行计算练习。
1.4 教学评估:通过课堂提问检查学生对单项式概念的理解。
通过计算练习题检查学生对单项式乘以单项式计算方法的掌握。
第二章:单项式乘以单项式的计算方法2.1 教学目标:让学生掌握单项式乘以单项式的计算方法。
让学生能够正确进行单项式乘以单项式的计算。
2.2 教学内容:解释单项式乘以单项式的计算规则。
提供例子并解释如何计算单项式乘以单项式。
介绍乘法分配律在单项式乘以单项式计算中的应用。
2.3 教学方法:使用PPT展示单项式乘以单项式的计算规则和例子。
通过小组讨论让学生理解乘法分配律在单项式乘以单项式计算中的应用。
提供练习题让学生进行计算练习。
2.4 教学评估:通过计算练习题检查学生对单项式乘以单项式计算方法的掌握。
通过课堂提问检查学生对乘法分配律在单项式乘以单项式计算中的应用的理解。
第三章:单项式乘以单项式的实际应用3.1 教学目标:让学生能够将单项式乘以单项式的计算方法应用于实际问题中。
让学生能够解决实际问题并应用单项式乘以单项式的计算结果。
3.2 教学内容:提供实际问题例子,要求学生应用单项式乘以单项式的计算方法进行解决。
解释如何将实际问题转化为单项式乘以单项式的计算问题。
强调实际问题中单项式乘以单项式的计算结果的意义。
3.3 教学方法:使用PPT展示实际问题例子。
通过小组讨论让学生理解如何将实际问题转化为单项式乘以单项式的计算问题。
提供练习题让学生进行实际问题的解决练习。
3.4 教学评估:通过练习题检查学生对实际问题中单项式乘以单项式的计算方法的掌握。
人教版数学七年级上册《单项式乘以单项式》教案一. 教材分析《单项式乘以单项式》是人教版数学七年级上册的教学内容,这部分内容是在学生已经掌握了有理数的乘法、单项式的概念等基础知识的基础上进行学习的。
通过这部分内容的学习,使学生掌握单项式乘以单项式的运算方法,进一步培养学生的运算能力,同时为学生以后学习多项式乘以单项式、多项式乘以多项式等更复杂的运算打下基础。
二. 学情分析学生在学习这部分内容时,已经有了一定的数学基础,对有理数的乘法、单项式的概念等已经有所了解。
但学生在进行运算时,可能会对符号的判断、运算的顺序等方面产生困惑。
因此,在教学过程中,需要引导学生明确运算的规则,通过实例使学生理解运算的方法。
三. 教学目标1.理解单项式乘以单项式的运算方法。
2.能够正确进行单项式乘以单项式的运算。
3.培养学生的运算能力。
四. 教学重难点1.重点:单项式乘以单项式的运算方法。
2.难点:符号的判断、运算的顺序。
五. 教学方法采用讲解法、示范法、练习法、讨论法等教学方法。
通过实例讲解,使学生理解单项式乘以单项式的运算方法;通过示范,使学生明确运算的规则;通过练习,使学生巩固运算方法;通过讨论,使学生解决运算中遇到的问题。
六. 教学准备1.教学PPT。
2.练习题。
3.黑板、粉笔。
七. 教学过程1.导入(5分钟)通过一个具体的实例,如2x * 3x,引导学生思考单项式乘以单项式的运算方法。
2.呈现(10分钟)讲解单项式乘以单项式的运算规则,如符号的判断、运算的顺序等。
通过PPT展示,使学生明确运算的方法。
3.操练(10分钟)让学生进行单项式乘以单项式的运算练习,教师引导学生明确运算的步骤,解答学生遇到的问题。
4.巩固(10分钟)让学生进行一些类似的练习题,巩固所学的内容。
教师选取一些典型的题目进行讲解,引导学生运用所学知识解决问题。
5.拓展(5分钟)引导学生思考单项式乘以多项式、多项式乘以多项式等更复杂的运算问题,为学生以后的学习打下基础。
《整式的乘法-单项式乘以单项式》教案一、教学目标:1. 让学生理解单项式乘以单项式的概念和意义。
2. 让学生掌握单项式乘以单项式的运算法则。
3. 培养学生解决实际问题的能力,提高学生的数学思维能力。
二、教学内容:1. 单项式乘以单项式的概念和意义。
2. 单项式乘以单项式的运算法则。
3. 单项式乘以单项式的应用。
三、教学重点与难点:1. 教学重点:单项式乘以单项式的运算法则。
2. 教学难点:如何运用单项式乘以单项式的运算法则解决实际问题。
四、教学方法:1. 采用讲授法,讲解单项式乘以单项式的概念、运算法则和应用。
2. 利用案例分析法,分析单项式乘以单项式在实际问题中的应用。
3. 组织学生进行小组讨论,提高学生的合作能力和解决问题的能力。
五、教学过程:1. 导入:通过简单的实例,引导学生思考单项式乘以单项式的意义和必要性。
2. 新课讲解:讲解单项式乘以单项式的概念、运算法则,并通过示例进行演示。
3. 案例分析:分析单项式乘以单项式在实际问题中的应用,引导学生学会运用所学知识解决实际问题。
4. 课堂练习:布置一些单项式乘以单项式的练习题,让学生巩固所学知识。
5. 总结与拓展:总结本节课的主要内容,并提出一些拓展问题,激发学生的学习兴趣。
6. 课后作业:布置一些相关的课后作业,让学生进一步巩固所学知识。
六、教学评估:1. 课堂练习环节,观察学生对单项式乘以单项式运算法则的掌握情况。
2. 课后收集学生的作业,评估学生对课堂所学知识的巩固程度。
3. 通过提问和讨论,了解学生在解决问题时对单项式乘以单项式的应用能力。
七、教学反思:1. 反思教学过程中学生的参与度,是否充分调动了学生的积极性。
2. 反思教学方法是否适合学生的学习需求,是否需要调整教学策略。
3. 反思作业布置是否合理,是否有助于学生巩固所学知识。
八、教学延伸:1. 引导学生探究单项式乘以单项式在更广泛数学问题中的应用。
2. 鼓励学生参与数学竞赛或研究项目,提高学生的研究能力和创新能力。
1.5 单项式乘单项式第5课时主备人:审核人:班级:姓名:一学习目标1、在具体情景中了解单项式乘以单项式2、理解单项式的乘法法则,会利用单项式乘以单项式的法则进行简单运算二学习重难点学习重点:单项式与单项式的乘法运算学习难点:能熟练进行多项式乘法的运算三课前复习1、同底数幂的乘法法则幂的乘方的法则积的乘方的法则(用字母表示)2、乘法对加法的分配律(用字母表示)3、3a2b·2ab3和(xyz)·y2z可以表达得更简单些吗?为什么?4、单项式乘以单项式时,结果的系数是怎样得到的?相同的字母怎么办?仅在一个单项式里出现的字母怎么办?单项式与单项式相乘,把它们的系数、相同字母的幂分别相乘,对于只在一个单项式中出现的字母,则连同它的指数一起作为积的一个因式。
课后作业1、计算(1)(2xy3)·(31xy2)(2)(34x2y)·(-43y2z)(3)-6a2b2 · 4b3c (4)(-2a3b4)·(-3ac)(5)(4×105)·(0.5×104)(6)(2xy2)·3xyz2、(1)(-0.7×104)·(0.4×103)·(-10)(2)(5x3)·(2x2y)(3)(-3ab)·(-4b2)(4)(2x2y)3 ·(-4xy2)3、判断下列各运算是否正确,不对的请改正。
(1)(4×106)·(8×103)=3.2×10 9(2)-0.2xy2+51x · xy =0(3)-3x2y ·(-3xy)=(-3)×(-3)(x2y)·(xy)=9x3y24、选一选下列关于单项式乘法的说法中不正确的是()A 单项式之积不可能是多项式B 几个单项式相乘,有一个因式是0,积一定是0C 几个单项式之积的次数不小于各因式的次数D 单项式必须是同类型才能相乘课后小结:这节课你收获了什么,有什么困惑?1.6 多项式乘多项式 第6课时主备人:审核人:班级:姓名:一 学习目标1、经历探索单项式与多项式相乘的过程,会进行简单的单项式与多项式相乘运算;2、理解整式单项式与多项式相乘运算的算理,体会乘法分配律的作用和转化的思想. 二 学习重难点学习重点:单项式与多项式的乘法运算学习难点:能熟练进行单项式与多项式相乘运算; 三 课前复习1、单项式与单项式相乘的法则:2、)2(43xy xy -⋅=)4(32b ab -⋅-=3、如何进行单项式与多项式相乘的运算?用单项式分别去乘多项式的每一项,再把所得的积相加。
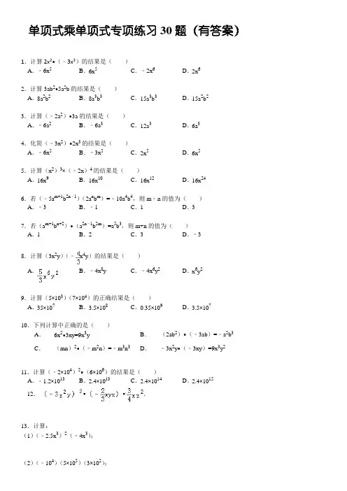
单项式乘单项式专项练习30题(有答案)1.计算2x2•(﹣3x3)的结果是()A.﹣6x5B.6x5C.﹣2x6D.2x62.计算3ab2•5a2b的结果是()A.8a2b2B.8a3b3C.15a3b3D.15a2b23.计算(﹣2a2)•3a的结果是()A.﹣6a2B.﹣6a3C.12a3D.6a34.化简(﹣3x2)•2x3的结果是()A.﹣6x5B.﹣3x5C.2x5D.6x55.计算(x2)3×(﹣2x)4的结果是()A.16x9B.16x10C.16x12D.16x246.若(﹣5a m+1b2n﹣1)(2a n b m)=﹣10a4b4,则m﹣n的值为()A.﹣3 B.﹣1 C.1D.37.若(a m+1b n+2)•(a2n﹣1b2m)=a5b3,则m+n的值为()A.1B.2C.3D.﹣38.计算(3x2y)(﹣x4y)的结果是()A.B.﹣4x8y C.﹣4x6y2D.x6y29.计算(5×103)(7×104)的正确结果是()A.35×107B.3.5×108C.0.35×109D.3.5×10710.下列计算中正确的是()A.6x2•3xy=9x3y B.(2ab2)•(﹣3ab)=﹣a2b3C.(mn)2•(﹣m2n)=﹣m3n3D.﹣3x2y•(﹣3xy)=9x3y211.计算(﹣2×104)2•(6×106)的结果是()A.﹣1.2×1013B.2.4×1013C.2.4×1014D.2.4×101512..13.计算:(1)(﹣2.5x3)2(﹣4x3);(3)(﹣a2b3c4)(﹣xa2b)314.15.计算:①(2x)3•(﹣5xy2)②(3x+1)(x+2)③(4n﹣n)2④(x+2y﹣3)(x﹣2y﹣3)⑤先化简,再求值:[(x+2y)(x﹣2y)﹣(x+4y)2]÷4y,其中x=5,y=2.16.计算:a•3a•(﹣ab)2.17.计算.18..19.计算:(1)6x2•3xy (2)(4a﹣b2)(﹣2b)20.计算(1)(﹣ab)2•(2a2﹣ab﹣1);(2)4x(x﹣y)+(2x﹣y)(y﹣2x).21.计算:(ax2)•(﹣8a3x3)22.计算:(2x2)3•(﹣3xy4)23.计算:24.5a2b•(﹣2ab3)25..26.三角表示3abc,方框表示﹣4x y w z,求×.27.计算:(1)(﹣2a2b)2•(﹣2a2b2)3=_________(2)(3×102)3×(﹣103)4=_________(3)[(﹣3mn2•m2)3]2=_________28.计算:.29.计算:(1)(2xy)2•(﹣3x)3•y;(2)(﹣4)2×(﹣4)﹣2﹣20090.30.计算:(1)(﹣a2)3 (2)(5×104)×(3×102)单项式乘单项式30题参考答案:1.2x2•(﹣3x3)=2×(﹣3)•(x2•x3)=﹣6x5.故选A.2.解:3ab2•5a2b=3×5a•a2•b2b=15a3b3.故选C3.(﹣2a2)•3a=(﹣2×3)×(a2•a)=﹣6a3故选B4.(﹣3x2)•2x3=﹣3×2x2•x3=﹣6x2+3=﹣6x5.故选A5.(x2)3×(﹣2x)4=x6•16x4=16x10.故选B.6.∵(﹣5a m+1b2n﹣1)(2a n b m)=﹣5×2a m+1a n•b2n﹣1b m=﹣10a m+1+n b2n﹣1+m,∴m+1+n=4,2n﹣1+m=4,解得,m=1,n=2,∴m﹣n=﹣1.故选B.7.(a m+1b n+2)•(a2n﹣1b2m)=a m+1+2n﹣1•b n+2+2m=a m+2n•b n+2m+2=a5b3,∴,两式相加,得3m+3n=6,解得m+n=2.故选B.8.(3x2y)(﹣x4y)=3×(﹣)x2+4y2=﹣4x6y2.故选C9.(5×103)(7×104)=(5×7)×(103×104)=3.5×108故选B10.A、应为6x2•3xy=18x3y,故本选项错误;B、应为(2ab2)•(﹣3ab)=﹣6a2b3,故本选项错误;C、应为(mn)2•(﹣m2n)=﹣m4n3,故本选项错误;D、﹣3x2y•(﹣3xy)=9x3y2,正确.故选D.11.(﹣2×104)2•(6×106)=(4×108)•(6×106)=2.4×1015.故选D.12.原式==﹣x6y3z313.(1)(﹣2.5x3)2(﹣4x3)=(6.25x6)(﹣4x3)=6.25×(﹣4)x6•x3=﹣25x9;(2)(﹣104)(5×105)(3×102)=(﹣1×5×3)×(104×105×102)=﹣15×1011=﹣1.5×1012;(3)(﹣a2b3c4)(﹣xa2b)3=(﹣a2b3c4)(﹣x3a6b3)=a8b6c4x314.原式=a2bc3•4a4b4c2=2a6b5c5.15.①(2x)3•(﹣5xy2)=8x3•(﹣5xy2)=﹣40x4y2,②(3x+1)(x+2)=3x2+6x+x+2=3x2+7x+2,③(4n﹣n)2=(3n)2=9n2,④(x+2y﹣3)(x﹣2y﹣3)=[(x﹣3)+2y][(x﹣3)﹣2y]=(x﹣3)2﹣(2y)2=x2﹣6x+9﹣4y2=x2﹣6x﹣4y2+9;⑤[(x+2y)(x﹣2y)﹣(x+4y)2]÷4y=[x2﹣4y2﹣x2﹣8xy﹣16y2]÷4y=[﹣20y2﹣8xy]÷4y=﹣5y﹣2x,把x=5,y=2代入上式得:﹣5×2﹣2×5=﹣20.16.原式=3a2(a2b2)=3a4b217.=a6b318.=4a4b2•ab•(b2)=2a5b5.19.(1)6x2•3xy=18x3y;(2)(4a﹣b2)(﹣2b)=﹣8ab+2b3.20.(1)原式=a2b2•(2a2﹣ab﹣1)=2 a4b2﹣a3b3﹣a2b2;(2)原式=4x2﹣4xy﹣4x2+4xy﹣y2=﹣y2;21.(ax2)•(﹣8a3x3)=×(﹣8)×a4•x5=﹣2a4x5.22.原式=8x6•(﹣3xy4)=﹣24x7y4.231+324225.原式=﹣×(﹣2)×(a•a3)×(b2×b)×c=a4b3c26.×=9mn×(﹣4n2m5)=﹣36m6n3.27.(1)(﹣2a2b)2•(﹣2a2b2)3=4a4b2•(﹣8a6b6)=﹣32a10b8;(2)(3×102)3×(﹣103)4=(27×106)×(1012)=2.7×1019;(3)[(﹣3mn2•m2)3]2=(﹣3mn2•m2)6=(﹣3)6m6n12•m12=729m18n1228.原式=x4y2•=29.(1)原式=4x2y2•(﹣27x3)•y=﹣108x5y3;(2)原式=16×﹣1=1﹣1=0.故答案为﹣108x5y3、030.(1)(﹣a2)3=﹣a2×3=﹣a6;(2)(5×104)×(3×102)=(5×3)×(104×102)=1.5×107。
单项式乘单项式的练习教案——巩固知识点一、教学目标1、掌握单项式乘单项式的规则及乘法运算法则。
2、提高学生的算术思维能力,加强学生对数学基础知识的巩固和理解。
3、让学生学以致用,掌握解决实际问题的方法。
二、教学重点掌握单项式乘单项式的规则及乘法运算法则。
三、教学难点解决实际问题的方法。
四、教学方法1、讲解教学法。
2、示范教学法。
3、练习巩固法。
五、教学过程1、背景知识单项式:由一个非零常数与若干个由同一字母的不同次幂的乘积形成的代数式叫做单项式。
如3x^2y、-9xy^2。
乘法运算法则:同底数相乘,指数相加。
即,a^m × a^n =a^(m+n)。
2、新知输入1) 步骤一:通过示例,介绍单项式乘单项式的规则。
例如,当单项式2x和单项式5y相乘时,结果为10xy。
此时,系数为2和5相乘得到10,而变量x和y各取单项式中变量的乘积。
2) 步骤二:引入乘法运算法则,提醒学生注意规则的适用性和计算过程中需要注意的问题。
3) 步骤三:展示不同的乘法运算例子,引导学生进行观察和思考,进一步加深对单项式乘单项式的理解。
3、新知输出1) 步骤一:通过练习,让学生进行单项式乘单项式的相关计算,加深对规则和计算过程的理解。
2) 步骤二:教师应及时地纠正错误并进行点评,引导学生进行反思和巩固,掌握解决实际问题的方法。
3) 步骤三:通过提高题的形式,巩固学生的知识点,激发学生的学习兴趣和求知欲。
六、教学参考1) 教材:《初中数学》。
2) 练习参考:《初中数学习题集》。
3) 教学辅助工具:黑板、白板、书本、课件。
4) 教学时间:3课时。
七、教学反思通过对单项式乘单项式的探究和练习,学生能够掌握单项式乘单项式的规则及乘法运算法则。
同时,通过练习,学生的算术思维能力得到了提高,加强了对数学基础知识的巩固和理解。
教学效果良好。
单项式乘以单项式练
习题
单项式乘单项式测试
时间:45分钟总分: 100
题号一二三四总分得分
一、选择题(本大题共8小题,共32.0分)
1.下列运算正确的是
A. B.
C. D.
2.若,则内应填的单项式是
A. B. C. D.
3.下列运算正确的是
A. B.
C. D.
4.若,则的值为
A. 1
B. 2
C. 3
D.
5.计算的结果是
A. B. C. D.
6.计算的结果是
A. B. C. D.
7.如果,则“”内应填的代数式是
A. B. C. a D.
8.的计算结果为
A. B. C. D.
二、填空题(本大题共6小题,共24.0分)
9. ______
10.计算:的结果是______ .
11.计算的结果为______.
12.计算______.
13.计算:______.
14.等于______.
三、计算题(本大题共4小题,共24.0分)
15.计算:
16.计算:
17.计算:
.
18.计算:
;
;
;
.
四、解答题(本大题共2小题,共20分)
19.计算:
.
20.化简.
计算:结果化为只含有正整指数幂的形式
答案和解析
【答案】
1. D
2. D
3. B
4. B
5. B
6. A
7. A
8. D
9.
10.
11.
12.
13.
14.
15. 解:原式;
原式.
16. 解:原式
.
17. 解:原式;
原式
.
18. 解:原式;
原式;
原式;
原式
19. 解:原式
;
原式
.
20. 解:;
结果化为只含有正整指数幂的形式
.
【解析】
1. 【分析】
本题主要考查了整式的运算,根据同底数幂的乘法,可判断A,根据幂的乘方,可判断B,根据合并同类项,可判断C,根据平方差公式,可判断本
题考查了平方差,利用了平方差公式,同底数幂的乘法,幂的乘方.
【解答】
解:A、原式,故A错误;
B、原式,故B错误;
C、原式,故C错误;
D 、原式,故D正确;
故选D.
2. 解:,
故选:D.
利用单项式的乘除运算法则,进而求出即可.
此题主要考查了单项式的乘除运算,正确掌握运算法则是解题关键.
3. 解:A、,故本选项错误;
B、,故本选项正确;
C、,故本选项错误;
D 、,故本选项错误.
故选B.
结合选项分别进行合并同类项、积的乘方、单项式乘单项式、完全平方公式的运算,选出正确答案.
本题考查了合并同类项、积的乘方、单项式乘单项式、完全平方公式,掌握运算法则是解答本题的关键.
4. 解:,
,
故得:,
解得:.
故选:B.
直接利用单项式与单项式相乘,把他们的系数,相同字母分别相乘,对于只在一个单项式里含有的字母,则连同它的指数作为积的一个因式,进而得出关于m,n的等式,进而求出答案.
此题主要考查了单项式乘以单项式,正确掌握运算法则是解题关键.
5. 解:,
故选B.
根据同底数幂相乘,底数不变指数相加,计算后直接选取答案.
本题主要考查同底数幂的乘法的性质,熟练掌握性质是解题的关键.
6. 解:.
故选A.
先把常数相乘,再根据同底数幂的乘法性质:底数不变指数相加,进行计算即可.
本题考查了同底数幂的乘法,牢记同底数幂的乘法,底数不变指数相加是解题的关键.
7. 解:,
.
故选A.
已知积和其中一个因式,求另外一个因式,可用积除以已知因式,得所求因式.
本题考查了单项式与单项式相乘,熟练掌握运算法则是解题的关键.
8. 解:.
故选:D.
直接利用单项式乘以单项式运算法则求出答案.
此题主要考查了单项式乘以单项式,正确掌握运算法则是解题关键.
9. 解:,
故答案为:
根据单项式与单项式相乘,把他们的系数分别相乘,相同字母的幂分别相加,其余字母连同他的指数不变,作为积的因式,计算即可.
本题考查了单项式与单项式相乘,熟练掌握运算法则是解题的关键.
10. 解::.
故答案为:.
根据单项式与单项式相乘,把他们的系数分别相乘,相同字母的幂分别相加,其余字母连同他的指数不变,作为积的因式,计算即可.
本题考查了单项式与单项式相乘,熟练掌握运算法则是解题的关键.
11. 解:
,
故答案为:.
根据积的乘方和同底数幂的乘法可以解答本题.
本题考查单项式乘单项式、幂的乘方与积的乘方,解答本题的关键是明确它们各自的计算方法.
12. 解:
故答案为:
根据单项式与单项式相乘,把他们的系数分别相乘,相同字母的幂分别相加,其余字母连同他的指数不变,作为积的因式,计算即可.
本题考查了单项式与单项式相乘,熟练掌握运算法则是解题的关键.
13. 解:
,
,
.
故答案为:.
先算积的乘方,再算单项式乘单项式,注意运算法则.
本题考查了单项式乘单项式,积的乘方,解题时牢记法则是关键,此题比较简单,易于掌握.
14. 解:
.
故答案为:.
直接利用单项式乘以单项式运算法则计算得出答案.
此题主要考查了单项式乘以单项式,正确掌握运算法则是解题关键.
15. 原式利用单项式乘单项式法则计算即可得到结果;
原式利用完全平方公式,以及平方差公式计算即可得到结果.
此题考查了平方差公式,以及完全平方公式,熟练掌握公式是解本题的关键.
16. 根据整式的乘除运算顺序和运算法则计算可得.
本题主要考查整式的乘除运算,解题的关键是掌握单项式与单项式的乘除运算法则及幂的运算法则.
17. 根据单项式乘单项式的法则计算可得;
先计算括号内的加法,再计算乘法可得.
本题考查了分式的化简求值和单项式乘单项式,熟悉通分、约分及分式的乘法法则及单项式乘单项式的法则是解题的关键.
18. 原式先计算乘方运算,再利用单项式乘以单项式法则计算即可得到结果;
原式先计算乘方运算,再计算乘除运算即可得到结果;
原式先利用平方差公式化简,再利用完全平方公式展开即可;
原式中括号中利用平方差公式及完全平方公式展开,去括号合并后利用
多项式除以单项式法则计算即可得到结果.
此题考查了整式的混合运算,熟练掌握运算法则是解本题的关键.
19. 根据单项式乘以单项式的法则进行计算即可;
根据积的乘方和单项式乘以单项式的法则进行计算即可.
本题考查了单项式乘以单项式以及积的乘方和幂的乘方,掌握运算法则是解题的关键.
20. 首先将分子与分母分解因式进而化简即可;
直接利用幂的乘方运算法则以及积的乘方运算法则化简求出答案.
此题主要考查了约分以及幂的乘方运算以及积的乘方运算等知识,正确掌握运算法则是解题关键.。