单项式乘以单项式练习题
- 格式:doc
- 大小:146.00 KB
- 文档页数:3
单项式乘单项式练习题第一篇范文:单项式乘多项式练习题(含答案)一.解答题(共18小题)1.先化简,再求值:2(ab+ab)﹣2(ab﹣1)﹣ab﹣2,其中a=﹣2,b=2.2.计算:22(1)6某3某y(2)(4a﹣b)(﹣2b)3.(3某y﹣2某+1)(﹣2某y)4.计算:(1)(﹣12abc)(﹣abc)=;(2)(3ab﹣4ab﹣5ab﹣1)(﹣2ab)=_________.5.计算:﹣6a(﹣7.先化简,再求值3a(2a﹣4a+3)﹣2a(3a+4),其中a=﹣28.(﹣ab)(b﹣a+)9.一条防洪堤坝,其横断面是梯形,上底宽a米,下底宽(a+2b)米,坝高(1)求防洪堤坝的横断面积;米.2222222222222222﹣a+2)6.﹣3某(2某﹣某+4)2(2)如果防洪堤坝长100米,那么这段防洪堤坝的体积是多少立方米?10.2ab(5ab+3ab)11.计算:12.计算:2某(某﹣某+3)13.(﹣4a+12ab﹣7ab)(﹣4a)=_________.14.计算:某y(3某y﹣某y+y)15.(﹣2ab)(3a﹣2ab﹣4b)16.计算:(﹣2ab)(3b﹣4a+6)17.某同学在计算一个多项式乘以﹣3某时,因抄错运算符号,算成了加上﹣3某,得到的结果是某﹣4某+1,那么正确的计算结果是多少?18.对任意有理数某、y定义运算如下:某△y=a某+by+c某y,这里a、b、c是给定的数,等式右边是通常数的加法及乘法运算,如当a=1,b=2,c=3时,l△3=1某l+2某3+3某1某3=16,现已知所定义的新运算满足条件,1△2=3,2△3=4,并且有一个不为零的数d使得对任意有理数某△d=某,求a、b、c、d的值.222232222222323322.参考答案与试题解析一.解答题(共18小题)22221.先化简,再求值:2(ab+ab)﹣2(ab﹣1)﹣ab﹣2,其中a=﹣2,b=2.2.计算:2(1)6某3某y2(2)(4a﹣b)(﹣2b)3.(3某y﹣2某+1)(﹣2某y)4.计算:2(1)(﹣12abc)(﹣abc)=;(2)(3ab﹣4ab﹣5ab﹣1)(﹣2ab)=﹣6a.222244522233242325.计算:﹣6a(﹣﹣a+2)6.﹣3某(2某﹣某+4)27.先化简,再求值3a(2a﹣4a+3)﹣2a(3a+4),其中a=﹣2228.计算:(﹣ab)(b﹣a+)229.一条防洪堤坝,其横断面是梯形,上底宽a米,下底宽(a+2b)米,坝高(1)求防洪堤坝的横断面积;(2)如果防洪堤坝长100米,那么这段防洪堤坝的体积是多少立方米?米.10.2ab(5ab+3ab)211.计算:.第二篇范文:单项式乘以单项式习题1.6.1整式的乘法——单项式乘以单项式班级姓名【知识点】单项式与单项式相乘,把它们的系数、相同字母的幂分别,其余的字母连同它的指数作为积的因式.【知识点基础训练】一、填空题:11、3某24某某y26某2y.2422、(3mn)(2mn);a3a552223、2.51024103.14、3a2b2abcabc2;3103410451053二、计算:1、5某32某2y2、3ab4b23、2某2y4某y2254、4某y2某y35、某2y3某yz6、某y2z3583某y22322137、210381088、10591039、某3y2某y2332210、一种电子计算机每秒可做4109次运算,它工作5102秒可做多少次运算?【拓展与提高】一、计算:111、2某2某y2z6yz2、0.5mmnmn3222213、10591034、2某3y某3y14某6某y3333、1.21020.610210102423二、解答题:1、光的速度约是每秒钟3105千米,有一颗恒星发射的光要10年才能到达地球,若一年以3.1107秒计算,这颗恒星距离地球有多少千米?14.2整式的乘法1.单项式与单项式相乘一、选择题1.计算某2y2(某y3)2的结果是()A.某5y10B.某4y8C.某5y8D.某6y12112.(某2y)3(某2y)2(某2y)计算结果为()2435A.某6y3B.0C.某6y3D.某6y316123.(2.5103)3(0.8102)2计算结果是()A.61013B.61013C.21013D.101414.计算2某y(某2y2z)(3某3y3)的结果是()2A.3某6y6zB.3某6y6zC.3某5y5zD.3某5y5z5.计算(a2b)32a2b(3a2b)2的结果为()A.17a6b3B.18a6b3C.17a6b3D.18a6b36.某的m次方的5倍与某2的7倍的积为()A.12某2mB.35某2mC.35某m2D.12某m27.(2某3y4)3(某2yc)2等于()A.8某13y14c2B.8某13y14c2C.8某36y24c2D.8某36y24c28.某3ym1某mny2n2某9y9,则4m3n()A.8B.9C.10D.无法确定29.计算(3某2)(某3myn)(ym)的结果是()31111A.3某4mymnB.某2m2ymC.2某3m2ymnD.(某y)5mn3310.下列计算错误的是()A.(a2)3(a3)2a12B.(ab2)2(a2b3)a4b7C.(2某yn)(3某ny)218某2n1yn2D.(某y2)(yz2)(z某2)某3y3z3二、填空题:1.(a某2)(a2某)___________.2.(__________)(某2y)2某5y33.(3某3y)(某4)(y3)__________.14.6a2b(abc)2_____________.25.(3a2b3)24(a3b2)5_____________.6.15某ny2某n1yn1______________.17.2m(2mn)(mn)3_____________.28.(1.2103)(2.51011)(4109)_______________.三、解答题1.计算下列各题331(1)4某y2(某2yz3)(2)(a3b2)(2a3b3c)873123(3)3.2mn2(0.125m2n3)(4)(某yz)某2y2(yz3)23512(5)5某(a某)(2.25a某y)(1.2某2y2)(6)某2y(0.5某y)2(2某)3某y3357(7)(5某y)3某2y12某3(y2)(8)5a3b(3b)2(6ab)2(ab)ab3(4a)241112、已知:某4,y,求代数式某y214(某y)2某5的值.8743、已知:39m27m36,求m.四、探究创新乐园1.若2a3,2b6,2c12,求证:2b=a+c.2.若2a3,2b5,2c30,试用a、b表示出c.五、数学生活实践一长方体的长为8107cm,宽为6105cm,高为5109cm,求长方体的体积.六、小小数学沙龙一队工程师在丈量一根旗杆的高度,他们只有一根皮尺,无法固定在旗杆上,因为皮尺总是落下来.一位数学家路过,拔出旗杆,很容易就量出了数据.他离开后,一位工程师对另一位说:“数学家总是这样,我们要的是高度,他却给我们长度.”亲爱的同学们,你对这个小故事有什么想法?。
专题9.2 单项式乘以单项式(基础篇)(专项练习)一、单选题1.计算的结果是( )A.B.C.D.2.下列计算中,正确的是().A.B.C.D.3.在代数式中,与y的值各减少,则该代数式的值减少了()A.B.C.D.4.x的m次方的5倍与的7倍的积是( )A.B.C.D.5.若=-10,则m-n等于()A.-3B.-1C.1D.36.若,则的值分别为( )A.3 2B.2,3C.3,3D.2,27.若单项式和的积为,则的值为()A.2B.30C.-15D.158.若□·3xy=27x3y4 ,则□内应填的单项式是()A.3x3y4B.9x2y2C.3x2y3D.9x2y39.若(am+1bn+2)•(a2n-1b2m)=a5b3,则m+n的值为( )A.1B.2C.3D.﹣310.某商品原价为a元,因需求量增大,经营者连续两次提价,两次分别提价10%,后因市场物价调整,又一次性降价20%,降价后这种商品的价格是()A.1.08a元B.0.88a元C.0.968a元D.a元二、填空题11.计算:__________.12.计算___________13.若(anb•abm)3=a9b15,则m•n=________.14.已知8×2m×16m=211,则m的值为____.15.若,则______.16.若单项式与是同类项,则这两个单项式的积是_____.17.一个长方形的长为.宽为则它的面积为________.18.我国陆地面积约是,平均每平方千米的陆地上,一年从太阳得到的能量约相当于燃烧煤所产生的能量,求在我国陆地上,一年内从太阳得到的能量约相当于燃烧______吨煤所产生的能量.三、解答题19.计算(1) (2)20.先化简,再求值:,其中21.化简再求值:,其中.22.已知单项式和单项式的积与是同类项,求的值.23.计算:(1) ;(2) ;(3) (把作为整体看作一个因式的底数).24.小王购买了一套房子,他准备将地面都铺上地砖,地面结构如图所示,请根据图中的数据(单位:米),解答下列问题:(1)用含x,y的代数式表示地面总面积;(2)若x=5,y=1,铺地砖每平方米的平均费用为100元,则铺地砖的总费用为多少元?参考答案1.A【分析】直接利用单项式乘以单项式运算法则化简求出答案即可.解:.故选:A.【点拨】此题主要考查了单项式乘以单项式,正掌握运算法则是解题关键.2.C【分析】根据幂的乘方、同底数幂的乘法、单项式乘单项式、合并同类项逐一判断即可求解.解:A、,故该选项不符合题意;B、,故该选项不符合题意;C、,故该选项符合题意;D、,故该选项不符合题意;故选:C.【点拨】本题考查幂的乘方、同底数幂的乘法、单项式乘单项式、合并同类项,解答本题的关键是明确它们各自的计算方法,计算出正确的结果.3.D【分析】x与y的值各减少,则原式可变为从而可作出判断.解:x与y的值各减少,则:原式故选:D.【点拨】本题主要考查的是代数式求值,列出x与y的值各减少后的代数式是解题的关键.4.C【分析】x的m次方的5倍为,的7倍是,据此求解即可.解:根据题意得,x的m次方的5倍与x2的7倍的积为:.故选C.【点拨】本题主要考查了单项式乘以单项式,正确理解题意是解题的关键.5.B【分析】首先根据单项式乘单项式的运算法则计算求出m,n的值,然后代入计算即可.解:∴∴解得∴m-n=1-2=-1,故选:B.【点拨】本题主要考查代数式求值,掌握单项式乘单项式的运算法则是关键.6.B【分析】利用同底数幂的乘法法则将原式变形为,从而得到7n=14,2+k=5,可得结果.解:∵,∴7n=14,2+k=5,∴n=2,k=3,故选B.【点拨】本题考查了同底数幂的乘法,解题的关键是掌握运算法则.7.D【分析】先按单项式乘以单项式的法则计算,再比较结果利用相同字母的指数相等构造等式,求出再求的值即可.解:单项式和的积为,,,,.故选择:D.【点拨】本题考查单项式与单项式相乘问题,掌握单项式与单项式的乘法法则,会用指数构造等式解决问题是本题解题关键.8.D【分析】根据单项式与单项式相乘,把他们的系数分别相乘,相同字母的幂分别相加,其余字母连同他的指数不变,作为积的因式,计算即可.解:因为9x2y3·3xy=27x3y4,则□内应填的单项式是9x2y3,故选:D.【点拨】本题考查了单项式与单项式相乘,熟练掌握运算法则是解题的关键.9.B【分析】先利用单项式乘单项式法则,可得(am+1bn+2)•(a2n-1b2m)=am+2n•bn+2m+2,从而得到关于m,n的方程组,即可求解.解:(am+1bn+2)•(a2n-1b2m)=am+1+2n-1•bn+2+2m=am+2n•bn+2m+2,∵(am+1bn+2)•(a2n-1b2m)=a5b3,∴,两式相加,得3m+3n=6,解得m+n=2.故选:B【点拨】本题主要考查了利用单项式乘法求字母或代数式的值,熟练掌握单项式乘单项式法则是解题的关键.10.C【分析】根据题意可得,降价后这种商品的价格是a.解:根据已知可得a=0.968a(元)故选C【点拨】根据题意列出代数式,再化简;熟记常见的数量关系.11.【分析】根据单项式乘以单项式运算法则:系数、相同字母分别相乘,对于只在一个单项式中含有的字母,连同它的指数作为积的一个因式,结合同底数幂的乘法运算法则计算即可得到答案.解:,故答案为:.【点拨】本题考查整式乘法运算,涉及单项式乘以单项式、同底数幂乘法运算等知识,熟练掌握相关运算法则是解决问题的关键.12.【分析】根据幂的乘方运算、单项式乘以单项式的运算法则进行计算即可.解:.故答案为:【点拨】本题考查了整式的乘法、幂的乘方,解本题的关键在熟练掌握运算法则.单项式的乘法法则:单项式乘以单项式,把它们的系数、同底数幂分别相乘,对于只在一个单项式里含有的字母,连同它的指数作为积的一个因式.幂的乘方运算法则:幂的乘方,底数不变,指数相乘.13.8【分析】根据单项式乘单项式、积的乘方法则分别求出m、n,计算即可.解:(anb•abm)3=(an+1bm+1)3=a3n+3b3m+3,由题意得:3n+3=9,3m+3=15,解得:n=2,m=4,则mn=2×4=8,故答案为:8.【点拨】本题主要考查单项式乘单项式、积的乘方,掌握单项式乘单项式、积的乘方的法则是关键.14.【分析】先把式子左边化简成2n的形式,即可求得m的值.解:8×2m×16m=211故答案为【点拨】此题重点考察学生对整式乘法的应用,正确化简是解题的关键.15.8【分析】先把等号左边的代数式进行化简,然后指数相等求出m、n的值,进行计算即可.解:,∴,,∴,,∴;故答案为8.【点拨】本题考查了单项式乘以单项式,以及积的乘方运算,幂的乘方运算,同底数幂相乘,解题的关键是掌握单项式乘以单项式的运算法则.16.【分析】由同类项定义求出a,b的值,再求单项式的乘积即可.解:∵单项式与是同类项,∴,,即:,∴单项式的积为故答案为.【点拨】本题考查同类项定义以及单项式乘单项式,关键是根据同类项定义:所含字母相同,并且相同字母的指数也分别相等的项,求出a,b的值.17.4×106【分析】直接利用单项式乘以单项式运算法则求出即可.解:长方形的长为,宽为,∴长方形的面积为:8×103×5×102=4×106.故答案为:4×106.【点拨】此题主要考查了单项式乘以单项式,正确掌握运算法则是解题关键.18.【分析】根据每平方千米的土地上,一年从太阳得到的能量相当于燃烧1.3×105吨煤所产生的能量乘以我国陆地面积,计算即可得到所求的结果.解:根据题意得:()×(1.3×105)=.故答案为:【点拨】此题考查了整式的混合运算,是一道应用题,弄清题意是解本题的关键.19.(1) (2)【分析】(1)按照单项式乘以单项式的运算法则计算即可;(2)先计算积的乘方运算,再计算单项式乘以单项式,最后合并同类项即可.(1)解:;(2).【点拨】本题考查的是积的乘方运算,单项式乘以单项式,合并同类项,掌握“单项式乘以单项式的运算法则”是解本题的关键.20.,12【分析】先对整式进行化简,然后再代值求解即可.解:原式==,把代入得:原式=.【点拨】本题主要考查整式的化简求值,熟练掌握积的乘方、同底数幂的乘法及单项式乘单项式是解题的关键.21.,【分析】先根据积的乘方和单项式乘以单项式的计算法则化简,然后代值计算即可.解:,当时,原式.【点拨】本题主要考查了单项式乘以单项式,积的乘方,代数式求值,熟知相关计算法则是解题的关键.22.-16【分析】先将两个单项式相乘,再根据同类项的含义列出关于m、n、p的三元一次方程组,解方程即可求出m、n、p,再代入计算即可.解:,∵与是同类项,∴,解得,∵,∴,即所求式子的值为-16.【点拨】本题主要考查了单项式乘以单项式,同类项的含义等知识.理解互为同类项的含义得出关于m、n、p的三元一次方程组是解答本题的关键.23.(1) (2) (3)【分析】(1)根据单项式乘单项式法则计算即可;(2)根据单项式乘单项式法则计算即可;(3)根据单项式乘单项式法则计算即可.解:(1);(2);(3).【点拨】本题考查单项式乘单项式.掌握其运算法则是解题关键,注意(3)整体思想的运用.24.(1)地面总面积为6x+2y+18(m2);(2)铺地砖的总费用为5000元.【分析】(1)利用长方形面积公式,分块计算各房间结构的面积,再求和;(2)将x=5,y=1,铺地砖每平方米的平均费用为100元,代入(1)中式子计算即可解:(1)地面总面积为:6x+2×(6﹣3)+2y+3×(2+2)=6x+6+2y+12=6x+2y+18(m2);(2)当x=5,y=1,铺1m2地砖的平均费用为100元,总费用=(6×5+2×1+18)×100=50×100=5000元答:铺地砖的总费用为5000元.【点拨】本题考查代数式与图形面积,是常见考点,难度较易,掌握相关知识是解题关键.。
整式的乘法----单项式乘以单项式一、选择题1.计算2322)(xy y x -⋅的结果是( ) A. 105y x B. 84y x C. 85y x - D.126y x2.)()41()21(22232y x y x y x -⋅+-计算结果为( )A. 36163y x -B. 0C. 36y x -D. 36125y x -3.2233)108.0()105.2(⨯-⨯⨯ 计算结果是( ) A. 13106⨯ B. 13106⨯- C. 13102⨯ D. 14104.计算)3()21(23322y x z y x xy -⋅-⋅的结果是( )A. z y x 663B. z y x 663-C. z y x 553D. z y x 553-5.计算22232)3(2)(b a b a b a -⋅+-的结果为( )A. 3617b a -B. 3618b a -C. 3617b aD. 3618b a6.x 的m 次方的5倍与2x 的7倍的积为( )A. m x 212B. m x 235C. 235+m xD. 212+m x7.22343)()2(yc x y x -⋅-等于( )A. 214138c y x -B. 214138c y xC. 224368c y x -D. 224368c y x8.992213y x y x y x n n m m =⋅⋅++-,则=-n m 34( )A. 8B. 9C. 10D.无法确定 9. 计算))(32()3(32m n m y y x x -⋅-⋅-的结果是( )A. mn m y x 43B. m m y x 22311+-C. n m m y x ++-232D. n m y x ++-5)(31110.下列计算错误的是( ) A.122332)()(a a a =-⋅ B.743222)()(b a b a ab =-⋅-C.212218)3()2(++=-⋅n n n n y x y x xyD.333222))()((z y x zx yz xy -=--- 二、填空题:1..___________))((22=x a ax2.3522)_)((_________y x y x -=3..__________)()()3(343=-⋅-⋅-y x y x4.._____________)21(622=⋅-abc b a5.._____________)(4)3(523232=-⋅-b a b a6..______________21511=⋅⋅--n n n y x y x7.._____________)21()2(23=-⋅-⋅mn mn m8.._______________)104)(105.2)(102.1(9113=⨯⨯⨯三、解答题1.计算下列各题(1))83(4322yz x xy -⋅ (2))312)(73(3323c b a b a -(3))125.0(2.3322n m mn - (4))53(32)21(322yz y x xyz -⋅⋅-(5))2.1()25.2()31(522y x axy ax x ⋅-⋅⋅ (6)3322)2()5.0(52xy x xy y x ⋅---⋅(7))47(123)5(232y x y x xy -⋅-⋅- (8)23223)4()()6()3(5a ab ab ab b b a -⋅--⋅-+-⋅2、已知:81,4-==y x ,求代数式52241)(1471x xy xy ⋅⋅的值.3、已知:693273=⋅m m ,求m .二、填空题:1..___________))((22=x a ax 2.3522)_)((_________y x y x -= 3..__________)()()3(343=-⋅-⋅-y x y x4.._____________)21(622=⋅-abc b a5.._____________)(4)3(523232=-⋅-b a b a6..______________21511=⋅⋅--n n n y x y x7.._____________)21()2(23=-⋅-⋅mn mn m8.._______________)104)(105.2)(102.1(9113=⨯⨯⨯三、解答题 1.计算下列各题(1))83(4322yz x xy -⋅ (2))312)(73(3323c b a b a -(3))125.0(2.3322n m mn - (4))53(32)21(322yz y x xyz -⋅⋅-(5))2.1()25.2()31(522y x axy ax x ⋅-⋅⋅ (6)3322)2()5.0(52xy x xy y x ⋅---⋅(7))47(123)5(232y x y x xy -⋅-⋅- (8)23223)4()()6()3(5a ab ab ab b b a -⋅--⋅-+-⋅2、已知:81,4-==y x ,求代数式52241)(1471x xy xy ⋅⋅的值.3、已知:693273=⋅m m ,求m .整式的乘法----单项式乘以单项式一、选择题1.计算2322)(xy y x -⋅的结果是( ) A. 105y x B. 84y x C. 85y x - D.126y x2.)()41()21(22232y x y x y x -⋅+-计算结果为( )A. 36163y x -B. 0C. 36y x -D. 36125y x -3.2233)108.0()105.2(⨯-⨯⨯ 计算结果是( ) A. 13106⨯ B. 13106⨯- C. 13102⨯ D. 14104.计算)3()21(23322y x z y x xy -⋅-⋅的结果是( )A. z y x 663B. z y x 663-C. z y x 553D. z y x 553- 5.计算22232)3(2)(b a b a b a -⋅+-的结果为( ) A. 3617b a - B. 3618b a - C. 3617b a D. 3618b a 6.x 的m 次方的5倍与2x 的7倍的积为( ) A. m x 212 B. m x 235 C. 235+m x D. 212+m x 7.22343)()2(yc x y x -⋅-等于( )A. 214138c y x -B. 214138c y xC. 224368c y x -D. 224368c y x 8.992213y x y x y x n n m m =⋅⋅++-,则=-n m 34( )A. 8B. 9C. 10D.无法确定9. 计算))(32()3(32m n m y y x x -⋅-⋅-的结果是( )A. mn m y x 43B. m m y x 22311+-C. n m m y x ++-232D. n m y x ++-5)(31110.下列计算错误的是( )A.122332)()(a a a =-⋅B.743222)()(b a b a ab =-⋅-C.212218)3()2(++=-⋅n n n n y x y x xyD.333222))()((z y x zx yz xy -=---。
单项式乘以单项式练习题单项式乘单项式测试时间:45分钟总分:100一、选择题(本大题共8小题,共32.0分)1. 下列运算正确的是'丿=a 2 - 4b 2A- a 2 ' a 3 = a 6C- 2a 2+ Sa 2= 5a 6B-辭=a 5D ・么 + 2b) (a -2b) 2. 若口 x 2xy = 16x 3y 2^则□内应填的单项式是()A. 4:CyB.U 4xTy 2 D ・ 8^y3. 下列运算正确的是(丿A ・ / + / = a 4-b 6C- 2x -2x 2= 2x 3J (m - YI Y = nT - rT4. 若(an, + 1b ,l + 2) -(~a 2n -1b 2n,) = -a 3b 5'则加十力的值为( )A. 1B.2C. 3D 打5. 计算W 的结果是()A- 4』B. 4X 5U 4x D ・ 4x 36. 计算2/ 7-x 2)的结果是])A- - 2?B* 2xC- -2x 6D- 2x 67. 如果口 3a= - 3a 2b f则 “口” 内应填的代数式是(丿A.・ abB. _ 3abC. a D ・-3a&緒「垣泸计算结果和 —)A ・5 5 4B ・八3-F /- xyC ・ 5 ° 3 -xyD--莎- V填空题(本大题共6小题,共24.0分) 9. 2x - 6x y.收集于网络.如有便权请联系管理员删除计算:(皿⑶的结果是 ____ 计算(-2a)3与/的结果为 - • 计算农y •(-$) = -- • 计算:XV 7-2^3)2= ---- .3a 2b V 的等于 - •计算题(本大题共4小题,共24.0分) 计算:(l)3xTy V - 2xy 3) (2)(2x 十 y)2 - (2x + 3y)(2x - 3y)计算:4xy^2y '(-Sxy^2计算:(l)4x 『 Y-詁日⑵"+ 2 +嘉鬻计算:(1)(-x)3 '(-X)7-x/;⑵少b3 一 (一分b)「3沪收集于网络,如有侵权请联系管理员删除10. 11. 12. 13. 14.三、15. 16. 17. 1& 19. 20. 21. 22. 23. 24. 25. 26. 27. 2& 29. 30. 31. 32.33. 34. 35.(3) (2x + 5y)2(2x - 5沪(4) [(x - 2y)2 + (3x - 2y)(3x + 2y)] ^ (- 5x)'解答题(本大题共2小题,共20分) 计算: (1) 2cf x f - 2ab) x aby (2) (-~^)3 -(2xy 3)3y*“丿化简./・处+ 9・⑵计算:宀(曲・3(结果化为只含有正整指数幕的形式丿收集于网络.如有便权请联系管理员删除36. 37. 3& 39. 40. 41. 42. 43. 44.四、45.46. 47. 4& 49. 50. 51. 52. 53. 54. 55. 56. 57. 5& 59. 60. 61. 62.63.答案和解析【答案】l. D 2.D 3.B 4.B 5. B 6. A 7. A9 - Sx2y1°・-6/11- -24a512・.x3y13-小14-15aV15.解:〃丿原式=・6汐;⑵原式=屁 + 4xy + y2 - 4x2 + 9y2 = 4xy + 10y2'16.解:原式=4x i y 2y ■(-3x\>5)2=4xy十2y = 2x ' (9^y)=18x5y6-17.解:〃丿原式=(.訂形©.同•八- ⑵原式=f归■丄・L m - 2 m - 2/(m + 3)(m- 3) .-2(m + 3)2(m - 2) m - 2 -(m - 3)=-2m - 6・ 18•解:〃丿原式=■兀珂⑵原式=务5护+ (如b)皆)=.]沁2;⑶原式=(4卫-25y2)2 = 16x4 - 200x2^ + 625y^ 岸丿原式=(x2 _ 4y:y _^4y2 + 9x2 _ 4y^一(.翊= 19-解:〃丿原式=2a2 x 2ab x a3b3收集于网络.如有便权请联系管理员删除秸品文档⑵原式=-&vy y=忌严20.解:,.6x + 9 (X- 3尸X-5;⑴ 2x-6 = 2(x-3) = ~1~⑵(a-3)2(ab2)-3(^果化为只含有正整指数幕的形式丿=/ -a^b'6 = a'9b'6【解析】1.【分析】本题主要考查了整式的运算,根据同底数幕的乘法,可判断4,根据幕的乘方,可判断5根据合并同类项,可判断C,根据平方差公式,可判断D本题考查了平方差,利用了平方差公式,同底数幕的乘法,幕的乘方.【解答】解:4、原式=/,故4错误;B、原式=/,故〃错误;C、原式=5才,故C错误;D、原式=a2 _ 4b2f故D正确;故选D.2.解::•口x2xy = /<5xV,••□ = 16x3y十2xy = 8x2y.故选:D.利用单项式的乘除运算法则,进而求出即可.此题主要考查了单项式的乘除运算,正确掌握运算法则是解题关键.3.解:4、/ + / = 2/,故本选项错误;B、「旳3= _b6f故本选项正确;C、2x ' 2y? = 4x'故本选项错误;D、(m - n)2 = m2 - 2mn + n2f故本选项错误・故选氏结合选项分别进行合并同类项、积的乘方、单项式乘单项式、完全平方公式的运算,选出正确答案.收集于网络,如有侵权请联系管理员删除粘品文档本题考查了合并同类项、积的乘方、单项式乘单项式、完全平方公式,掌握运算法则是解答本题的关键.4.解:故⑦+ g得:3m + % = Q 解得:加+ ” = 2・故选:B.直接利用单项式与单项式相乘,把他们的系数,相同字母分别相乘,对于只在一个单项式里含有的字母,则连同它的指数作为积的一个因式,进而得出关于加,〃的等式,进而求出答案.此题主要考查了单项式乘以单项式,正确掌握运算法则是解题关键.5.解:4—4严=4小故选氏根据同底数幕相乘,底数不变指数相加,计算后直接选取答案.本题主要考查同底数幕的乘法的性质,熟练掌握性质是解题的关键.6•解:2?7-x2J= -2x5-故选4・先把常数相乘,再根据同底数幕的乘法性质:底数不变指数相加,进行计算即可.本题考查了同底数幕的乘法,牢记同底数幕的乘法,底数不变指数相加是解题的关键.7•解:<3a2b 3a = -ab'故选4・己知积和其中一个因式,求另外一个因式,可用积除以己知因式,得所求因式.本题考查了单项式与单项式相乘,熟练掌握运算法则是解题的关键.& 解:2 2 ./ ■, 3) 九”.产y (- ^xy ) = -ycy故选:D.直接利用单项式乘以单项式运算法则求出答案.此题主要考查了单项式乘以单项式,正确掌握运算法则是解题关键.9 .解:2 ' 3x2y = 6x3y f故答案为:3x2y根据单项式与单项式相乘,把他们的系数分别相乘,相同字母的幕分别相加,其余字母连同他的指数不变,作为积的因式,计算即可.本题考查了单项式与单项式相乘,熟练掌握运算法则是解题的关键.收集于网络,如有侵权请联系管理员删除秸品文档10.解::2/丿% = - 2 x 3a2 -a = - 6a^故答案为:_ &/・根据单项式与单项式相乘,把他们的系数分别相乘,相同字母的幕分别相加,其余字母连同他的指数不变,作为积的因式,计算即可.本题考查了单项式与单项式相乘,熟练掌握运算法则是解题的关键. □•解:(如血= (-8a3) -3cT=-24小故答案为:_ 24扌.根据积的乘方和同底数幕的乘法可以解答本题.本题考查单项式乘单项式、幕的乘方与积的乘方,解答本题的关键是明确它们各自的计算方法.12.解:2• / 7 i 3gy (-^c) = -xy.故答案为:_ Jy.根据单项式与单项式相乘,把他们的系数分别相乘,相同字母的幕分别相加,其余字母连同他的指数不变,作为积的因式,计算即可.本题考查了单项式与单项式相乘,熟练掌握运算法则是解题的关键.13 .解:汐心册= x3y2 7 - 2)2x2y6f= 4x3 + 2y2 + 6^=4刘・故答案为:先算积的乘方,再算单项式乘单项式,注意运算法则.本题考查了单项式乘单项式,积的乘方,解题时牢记法则是关键,此题比较简单,易于掌握.14-解:3局M=15a»・故答案为:曲P直接利用单项式乘以单项式运算法则计算得出答案.此题主要考查了单项式乘以单项式,正确掌握运算法则是解题关键.15.〃丿原式利用单项式乘单项式法则计算即可得到结果;收集于网络,如有侵权请联系管理员删除粘品文档(2丿原式利用完全平方公式,以及平方差公式计算即可得到结果.此题考查了平方差公式,以及完全平方公式,熟练掌握公式是解本题的关键.16•根据整式的乘除运算顺序和运算法则计算可得.本题主要考查整式的乘除运算,解题的关键是掌握单项式与单项式的乘除运算法则及幕的运算法则.17.⑵根据单项式乘单项式的法则计算可得;门丿先计算括号内的加法,再计算乘法可得.本题考查了分式的化简求值和单项式乘单项式,熟悉通分、约分及分式的乘法法则及单项式乘单项式的法则是解题的关键.1& 〃丿原式先计算乘方运算,再利用单项式乘以单项式法则计算即可得到结果;门丿原式先计算乘方运算,再计算乘除运算即可得到结果;(刃原式先利用平方差公式化简,再利用完全平方公式展开即可;“丿原式中括号中利用平方差公式及完全平方公式展开,去括号合并后利用多项式除以单项式法则计算即可得到结果.此题考查了整式的混合运算,熟练掌握运算法则是解本题的关键.19•⑵根据单项式乘以单项式的法则进行计算即可;⑵根据积的乘方和单项式乘以单项式的法则进行计算即可.本题考查了单项式乘以单项式以及积的乘方和幕的乘方,掌握运算法则是解题的关键.20•〃丿首先将分子与分母分解因式进而化简即可;(2丿直接利用幕的乘方运算法则以及积的乘方运算法则化简求出答案.此题主要考查了约分以及幕的乘方运算以及积的乘方运算等知识,正确掌握运算法则是解题关键.收集于网络,如有侵权请联系管理员删除。
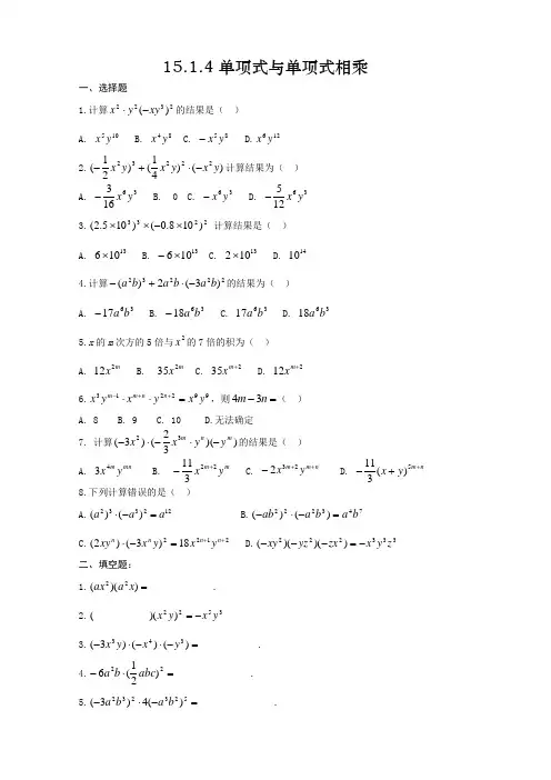
15.1.4单项式与单项式相乘一、选择题1.计算2322)(xy y x -⋅的结果是( )A. 105y xB. 84y xC. 85y x -D.126y x 2.)()41()21(22232y x y x y x -⋅+-计算结果为( ) A. 36163y x - B. 0 C. 36y x - D. 36125y x - 3.2233)108.0()105.2(⨯-⨯⨯ 计算结果是( )A. 13106⨯B. 13106⨯-C. 13102⨯D. 14104.计算22232)3(2)(b a b a b a -⋅+-的结果为( )A. 3617b a -B. 3618b a -C. 3617b aD. 3618b a5.x 的m 次方的5倍与2x 的7倍的积为( )A. m x212 B. m x 235 C. 235+m x D. 212+m x 6.992213y x y x y x n n m m =⋅⋅++-,则=-n m 34( )A. 8B. 9C. 10D.无法确定7. 计算))(32()3(32m n m y y x x -⋅-⋅-的结果是( ) A. mn m y x 43 B. m m y x 22311+- C. n m m y x ++-232 D. n m y x ++-5)(311 8.下列计算错误的是( )A.122332)()(a a a =-⋅B.743222)()(b a b a ab =-⋅-C.212218)3()2(++=-⋅n n n n y xy x xy D.333222))()((z y x zx yz xy -=--- 二、填空题:1..___________))((22=x a ax2.3522)_)((_________y x y x -=3..__________)()()3(343=-⋅-⋅-y x y x4.._____________)21(622=⋅-abc b a5.._____________)(4)3(523232=-⋅-b a b a6..______________21511=⋅⋅--n n n y x y x7.._____________)21()2(23=-⋅-⋅mn mn m 8.._______________)104)(105.2)(102.1(9113=⨯⨯⨯三、解答题1.计算下列各题(1))83(4322yz x xy -⋅ (2))312)(73(3323c b a b a -(3))2.1()25.2()31(522y x axy ax x ⋅-⋅⋅ (4)3322)2()5.0(52xy x xy y x ⋅---⋅(5))47(123)5(232y x y x xy -⋅-⋅- (6)23223)4()()6()3(5a ab ab ab b b a -⋅--⋅-+-⋅2、已知:81,4-==y x ,求代数式52241)(1471x xy xy ⋅⋅的值.3、已知:693273=⋅m m ,求m .4.若32=a ,62=b ,122=c,求证:2b=a+c .5.一长方体的长为7108⨯cm ,宽为5106⨯cm ,高为9105⨯cm ,求长方体的体积.单项式与多项式相乘一、选择题1.化简2(21)(2)x x x x ---的结果是( )A .3x x --B .3x x -C .21x --D .31x - 2.化简()()()a b c b c a c a b ---+-的结果是( )A .222ab bc ac ++B .22ab bc -C .2abD .2bc - 3.如图14-2是L 形钢条截面,它的面积为( )A .ac+bcB .ac+(b-c)cC .(a-c)c+(b-c)cD .a+b+2c+(a-c)+(b-c)4.下列各式中计算错误的是( )A .3422(231)462x x x x x x -+-=+-B .232(1)b b b b b b -+=-+C .231(22)2x x x x --=--D .342232(31)2323x x x x x x -+=-+ 5.2211(6)(6)23ab a b ab ab --⋅-的结果为( ) A .2236a bB .3222536a b a b +C .2332223236a b a b a b -++D .232236a b a b -+ 二、填空题1.22(3)(21)x x x --+-= 。
15.1.4单项式与单项式相乘4.计算(a 2b )3 2a 2b ( 3a 2b )2 的结果为()6 3 6 3 6 318a b C. 17a b D. 18a b 5. x 的m 次方的5倍与x 2的7倍的积为()二、填空题: 1. (ax 2)(a 2x)2 、2 5 32. ( _________ )(x y) x y3. ( 3x 3y) ( x 4) ( y 3) _________ .21 24. 6a b (— abc) _________________ .2 5. ( 3a 2b 3)2 4( a 3b 2)5 __________________ 2m A. 12x 2mB. 35x m 2C. 35 xD. m 212x 3 m 1 6. x y m n 2n 2 x y x 9y 9,则 4m 3nA. 8B. 9C. 10D. 无法确定7.计算( 3x 2)( 2 3mx 3 n m y )( y )的结果是(4m A. 3x y mnB. 8.下列计算错误的是 11 x 3 )2m 2 m y C.3m 2x 2 m n 115m n y D . — (x y) 八/ 2\3 / 3\2 12 A. (a ) ( a ) aB. (ab 2)2 (a 2b 3) a 4b 7C.(2xy n ) ( 3x n y)2 2n 18xD. (xy 2)( 2、/ 2、3 3 3 yz )( zx ) x y z 1.计算 x 2 y 2( xy 3)2的 5 104 8A. x yB. x y ( 1 23 2.( -x y) / 2 ) (_X y ) 2 4A. x yB. 0C. 16 3 3 3. (2.5 10 ) (0.8 A. 6 1013 B. 6 是()x 5y 8 D. x 6y 12x 2 y )计算结果为()6 3 5 6 3Xy D. A2 2 10 )计算结果是(1013 C. 2 1013 D. 1014A. 17a 6b 3B. 、选择题2 (n n 1 n 1.15x y 2x y __________________ .1 37. 2m ( 2mn) ( — mn)___________________ -28. (1.2 103)(2.5 1011)(4 109) _____________________ .三、解答题1.计算下列各题2,323 3 ^2 13, 3、(1) 4xy ( x yz ) (2) (一a b )( 2 a b c)8 7 361 2 2⑶5x (3ax) ( 2.25axy) (1.2x y )2y ( 0.5xy) 3 3(2x) xy2 3 7 2 (5) ( 5xy) 3x y 12x ( y )43 2 2 3 (6) 5a b ( 3b) ( 6ab) ( ab) ab (4a)21 12 2 1 52、已知:x 4, y ,求代数式一xy 14(xy) x的值.8 7 43、已知:39m 27m 36,求m4.若2a 3,2b 6,2c12,求证:2b=a+c5. 长方体的长为8 107cm,宽为6 5 910 cm,高为5 10 cm,求长方体的体积、选择题1.化简x(2x 1)2 .3 .1 .2 .3 .4 .5 .6 .A.x3化简a(b c)单项式与多项式相乘x2(2 x)的结果是()B. x3xC. x2D. x3b(c a) c(a b)的结果是(2bc 2ac B. 2ab 2bcA. ac+bcB. ac+(b-c)cC. (a-c)c+(b-c)cD. a+b+2c+(a-c)+(b-c)下列各式中计算错误的是()3A. 2x (2x33x 1) 4x426x 2x B.b(b2 b 1) b3 b2 bC. ^x(2x222) x3x D. 2 ,3 3x( x3 23x 1) x4 2x2z 1 .2 1 2(ab a b2 36ab)( 6ab) 的结果为()A. 36a2b2 3 2B. 5a b 36a2b22, 3 3, 2 2, 2C. 3a b 2a b 36a b 2 3D. a b 36a2b24 .5 .A.如图C. 2ab)2ab14 -2是L形钢条截面,它的面积为(2x3二、填空题(3x2)( x23(2x 4x 2(a2b2 ab2 2(3x )(x2x 1)8) ( ^x2)21) 3ab(1 ab)3 22x 3) 3x( x3 2x25)2 28m(m 3m 4) m (m 3)7x(2x 1) 3x(4x 1) 2x(x 3)17. ( 2a2b)2(ab2 a2b a3) ________________________ 。
15.1.4单项式与单项式相乘一、选择题1.计算2322)(xy y x -⋅的结果是( )A. 105y xB. 84y xC. 85y x -D.126y x 2.)()41()21(22232y x y x y x -⋅+-计算结果为( ) A. 36163y x - B. 0 C. 36y x - D. 36125y x - 3.2233)108.0()105.2(⨯-⨯⨯ 计算结果是( )A. 13106⨯B. 13106⨯-C. 13102⨯D. 14104.计算22232)3(2)(b a b a b a -⋅+-的结果为( )A. 3617b a -B. 3618b a -C. 3617b aD. 3618b a5.x 的m 次方的5倍与2x 的7倍的积为( )A. m x 212B. m x 235C. 235+m xD. 212+m x6.992213y x y x y x n n m m =⋅⋅++-,那么=-n m 34( )A. 8B. 9C. 10D.无法确信7. 计算))(32()3(32m n m y y x x -⋅-⋅-的结果是( ) A. mn m y x 43 B. m m y x 22311+- C. n m m y x ++-232 D. n m y x ++-5)(311 8.以下计算错误的选项是( )A.122332)()(a a a =-⋅B.743222)()(b a b a ab =-⋅-C.212218)3()2(++=-⋅n n n n y x y x xyD.333222))()((z y x zx yz xy -=---二、填空题:1..___________))((22=x a ax2.3522)_)((_________y x y x -=3..__________)()()3(343=-⋅-⋅-y x y x4.._____________)21(622=⋅-abc b a5.._____________)(4)3(523232=-⋅-b a b a6..______________21511=⋅⋅--n n n y x y x7.._____________)21()2(23=-⋅-⋅mn mn m 8.._______________)104)(105.2)(102.1(9113=⨯⨯⨯三、解答题1.计算以下各题(1))83(4322yz x xy -⋅ (2))312)(73(3323c b a b a -(3))2.1()25.2()31(522y x axy ax x ⋅-⋅⋅ (4)3322)2()5.0(52xy x xy y x ⋅---⋅(5))47(123)5(232y x y x xy -⋅-⋅- (6)23223)4()()6()3(5a ab ab ab b b a -⋅--⋅-+-⋅二、已知:81,4-==y x ,求代数式52241)(1471x xy xy ⋅⋅的值.3、已知:693273=⋅m m ,求m .4.若32=a ,62=b ,122=c ,求证:2b=a+c .5.一长方体的长为7108⨯cm ,宽为5106⨯cm ,高为9105⨯cm ,求长方体的体积.单项式与多项式相乘一、选择题1.化简2(21)(2)x x x x ---的结果是( )A .3x x --B .3x x -C .21x --D .31x - 2.化简()()()a b c b c a c a b ---+-的结果是( )A .222ab bc ac ++B .22ab bc -C .2abD .2bc - 3.如图14-2是L 形钢条截面,它的面积为( )A .ac+bcB .ac+(b-c)cC .(a-c)c+(b-c)cD .a+b+2c+(a-c)+(b-c)4.以下各式中计算错误的选项是( )A .3422(231)462x x x x x x -+-=+-B .232(1)b b b b b b -+=-+C .231(22)2x x x x --=--D .342232(31)2323x x x x x x -+=-+ 5.2211(6)(6)23ab a b ab ab --⋅-的结果为( ) A .2236a bB .3222536a b a b +C .2332223236a b a b a b -++D .232236a b a b -+ 二、填空题1.22(3)(21)x x x --+-= 。
14.2 整式的乘法
1. 单项式与单项式相乘
一、选择题
1.计算2322)(xy y x -⋅的结果是( )
A. 105y x
B. 84y x
C. 85y x -
D.126y x 2.)()4
1()21(22232y x y x y x -⋅+-计算结果为( ) A. 36163y x - B. 0 C. 36y x - D. 3612
5y x - 3.2233)108.0()105.2(⨯-⨯⨯ 计算结果是( )
A. 13106⨯
B. 13106⨯-
C. 13102⨯
D. 1410
4.计算)3()2
1(23322y x z y x xy -⋅-⋅的结果是( ) A. z y x 663 B. z y x 663- C. z y x 553 D. z y x 553-
5.计算22232)3(2)(b a b a b a -⋅+-的结果为( )
A. 3617b a -
B. 3618b a -
C. 3617b a
D. 3618b a
6.x 的m 次方的5倍与2x 的7倍的积为( )
A. m x 212
B. m x 235
C. 235+m x
D. 212+m x
7.22343)()2(yc x y x -⋅-等于( )
A. 214138c y x -
B. 214138c y x
C. 224368c y x -
D. 224368c y x
8.992213y x y x y x n n m m =⋅⋅++-,则=-n m 34( )
A. 8
B. 9
C. 10
D.无法确定
9. 计算))(3
2()3(32m n m y y x x -⋅-⋅-的结果是( ) A. mn m y x 43 B. m m y x 22311+- C. n m m y x ++-232 D. n m y x ++-5)(3
11 10.下列计算错误的是( )
A.122332)()(a a a =-⋅
B.743222)()(b a b a ab =-⋅-
C.212218)3()2(++=-⋅n n n n y x y x xy
D.333222))()((z y x zx yz xy -=---
二、填空题:
1..___________))((22=x a ax
2.3522)_)((_________y x y x -=
3..__________)()()3(343=-⋅-⋅-y x y x
4.._____________)2
1(622=⋅-abc b a 5.._____________)(4)3(523232=-⋅-b a b a
6..______________21511=⋅⋅--n n n y x y x
7.._____________)2
1()2(23=-⋅-⋅mn mn m 8.._______________)104)(105.2)(102.1(9113=⨯⨯⨯
三、解答题
1.计算下列各题
(1))83(4322yz x xy -⋅ (2))3
12)(73(3323c b a b a -
(3))125.0(2.3322n m mn - (4))5
3(32)21(322yz y x xyz -⋅⋅-
(5))2.1()25.2()31(522y x axy ax x ⋅-⋅⋅ (6)3322)2()5.0(5
2xy x xy y x ⋅---⋅
(7))4
7(123)5(232y x y x xy -⋅-⋅- (8)23223)4()()6()3(5a ab ab ab b b a -⋅--⋅-+-⋅
2、已知:81,4-==y x ,求代数式5224
1)(1471x xy xy ⋅⋅的值.
3、已知:693273=⋅m m ,求m .
四、探究创新乐园
1. 若32=a ,62=b ,122=c ,求证:2b=a+c .
2. 若32=a ,52=b ,302=c ,试用a 、b 表示出c .
五、数学生活实践
一长方体的长为7108⨯cm ,宽为5106⨯cm ,高为9105⨯cm ,求长方体的体积.
六、小小数学沙龙
一队工程师在丈量一根旗杆的高度,他们只有一根皮尺,无法固定在旗杆上,因为皮尺总是落下来.一位数学家路过,拔出旗杆,很容易就量出了数据.他离开后,一位工程师对另一位说:“数学家总是这样,我们要的是高度,他却给我们长度.”
亲爱的同学们,你对这个小故事有什么想法?。