研究考研数学典型例题
- 格式:doc
- 大小:13.50 KB
- 文档页数:3
往年考研数学试题及答案一、选择题1. 根据题目所给的函数f(x)=x^2-2x+3,下列哪个选项是f(x)的导数?A. 2x-2B. x^2-2C. 2x-1D. 2x+3答案:A2. 已知等差数列的首项为a1=2,公差为d=3,求第5项的值。
A. 17B. 14C. 11D. 8答案:A二、填空题1. 若函数g(x)=x^3-6x^2+11x-6在x=2处取得极值,则g'(2)的值为______。
答案:-12. 某工厂生产的产品,其成本函数为C(x)=50+0.1x^2,其中x表示产品数量。
若要使利润最大化,产品数量x应为______。
答案:200三、解答题1. 证明:对于任意实数x,不等式e^x ≥ x+1成立。
证明:令函数h(x) = e^x - (x + 1),则h'(x) = e^x - 1。
当x < 0时,h'(x) < 0,说明h(x)在x < 0时是递减的。
当x > 0时,h'(x) > 0,说明h(x)在x > 0时是递增的。
由于h(0) = e^0 - 1 = 0,所以对于所有x,h(x) ≥ 0,即e^x ≥ x + 1。
2. 已知曲线y = x^2与直线y = 4x在点(2,8)处相切,求曲线y =x^2在点(2,8)处的切线斜率。
解:曲线y = x^2的导数为y' = 2x。
将点(2,8)的横坐标x=2代入导数公式,得到切线斜率k = 2 * 2 = 4。
四、计算题1. 计算定积分∫[0,1] (2x - 3) dx。
解:根据定积分的计算法则,我们有:∫[0,1] (2x - 3) dx = [x^2 - 3x] (从0到1) = (1 - 3) - (0 - 0) = -2。
2. 求曲线y = x^3 - 6x^2 + 9x + 2在x=1处的切线方程。
解:首先求导数:y' = 3x^2 - 12x + 9。
数学考研试题大全及答案# 数学考研试题大全及答案## 一、高等数学### 1.1 函数、极限与连续例题:设函数 \( f(x) = \frac{1}{x} \),求 \( \lim_{x \to 0^+} f(x) \)。
解答:函数 \( f(x) \) 在 \( x = 0 \) 处不连续,因此\( \lim_{x \to 0^+} f(x) \) 不存在。
### 1.2 导数与微分例题:求函数 \( f(x) = x^3 - 2x^2 + x \) 的导数。
解答:\( f'(x) = 3x^2 - 4x + 1 \)。
### 1.3 微分中值定理例题:设 \( f(x) \) 在闭区间 [1, 2] 上连续,在开区间 (1, 2) 内可导,且 \( f(1) = f(2) \),证明存在 \( c \in (1, 2) \) 使得 \( f'(c) = 0 \)。
解答:由罗尔定理可知,由于 \( f(1) = f(2) \),故存在 \( c \in (1, 2) \) 使得 \( f'(c) = 0 \)。
## 二、线性代数### 2.1 矩阵与向量例题:设矩阵 \( A = \begin{bmatrix} 1 & 2 \\ 3 & 4\end{bmatrix} \),求 \( A \) 的逆矩阵。
解答:\( A \) 的逆矩阵为 \( A^{-1} = \begin{bmatrix} -2 & 1 \\ 1.5 & -0.5 \end{bmatrix} \)。
### 2.2 线性方程组例题:解线性方程组:\[\begin{cases}x + y = 1 \\2x + 3y = 5\end{cases}\]解答:解得 \( x = 1 \),\( y = 0 \)。
### 2.3 特征值与特征向量例题:求矩阵 \( A = \begin{bmatrix} 4 & 1 \\ 0 & 3\end{bmatrix} \) 的特征值和特征向量。
研究生数学试题及答案一、选择题(每题5分,共20分)1. 下列哪个选项是函数f(x)=x^2+3x+2的导数?A. 2x+3B. 2x+6C. x^2+3D. 3x+2答案:A2. 矩阵A和矩阵B的乘积AB中,如果A是3x2矩阵,B是2x4矩阵,那么AB的维度是多少?A. 3x4B. 3x3C. 2x4D. 4x4答案:A3. 以下哪个级数是收敛的?A. 1/nB. 1/n^2C. 1/n^3D. 1/n^(1/2)答案:B4. 函数f(x)=sin(x)在区间[0, π]上的定积分是多少?A. 0B. πC. 2D. -π答案:A二、填空题(每题5分,共20分)1. 如果函数f(x)在x=a处连续,那么lim(x→a)f(x) = _______。
答案:f(a)2. 矩阵A的特征值是特征多项式det(A-λI)=0的解,其中I是单位矩阵,λ代表_______。
答案:特征值3. 微分方程y''+y=0的通解是y=C1cos(x)+C2sin(x),其中C1和C2是常数,那么这个方程的特解y_p=_______。
答案:04. 函数f(x)=x^3-3x+1在x=1处的二阶导数是_______。
答案:6三、解答题(每题15分,共30分)1. 证明函数f(x)=x^3在实数域R上是单调递增的。
证明:由于f'(x)=3x^2≥0对所有x∈R成立,且仅在x=0时取等号,因此f(x)在R上单调递增。
2. 求解微分方程y'+2y=e^(-2x)的通解。
解:首先找到齐次方程y'+2y=0的解,得到y_h=Ce^(-2x)。
然后使用待定系数法找到特解y_p=A,代入原方程得到A=1/2e^(-2x)。
因此,通解为y=Ce^(-2x)+1/2e^(-2x)。
结束语:本试题及答案旨在考察研究生数学的基本概念、计算能力和证明技巧,希望同学们通过练习能够加深对数学知识的理解与应用。
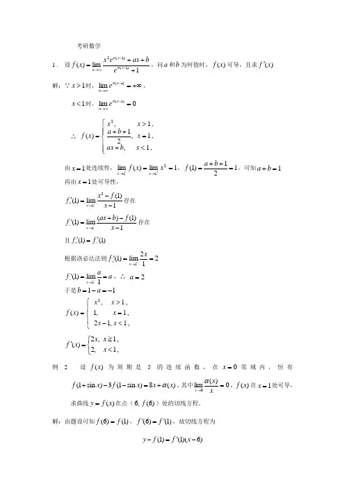
考研数学1 . 设1lim )()1()1(2+++=--∞→x n x n n e bax e x x f ,问a 和b 为何值时,)(x f 可导,且求()f x '解:∵1>x 时,+∞=-∞→)1(lim x n n e, 1<x 时,0lim )1(=-∞→x n n e∴ ⎪⎪⎩⎪⎪⎨⎧<+=++>=,x b ax ,x b a ,x x x f 1,1,211,)(2 由1=x 处连续性,1lim )(lim 211==++→→x x f x x ,121)1(=++=b a f ,可知1=+b a 再由1=x 处可导性,21(1)(1)lim 1x x f f x ++→-'=-存在1()(1)(1)lim 1x ax b f f x --→+-'=-存在且(1)(1)f f +-''=根据洛必达法则12(1)lim 21x xf ++→'== 1(1)lim 1x af a --→'==,∴ 2=a 于是11-=-=a b ⎪⎩⎪⎨⎧<-=>=,1,12,1,1,1,)(2x x x x x x f2,1,()2,1,x x f x x ≥⎧'=⎨<⎩例2 设)(x f 为周期是5的连续函数,在0=x 邻域内,恒有(1s i n )3(1s i n )f x f x x x α+--=+。
其中0)(lim=→xx x α,)(x f 在1=x 处可导,求曲线)(x f y =在点()6(,6f )处的切线方程。
解:由题设可知)1()6(f f =,(6)(1)f f ''=,故切线方程为(1)(1)(6)y f f x '-=-所以关键是求出)1(f 和(1)f '由)(x f 连续性)1(2)]sin 1(3)sin 1([lim 0f x f x f x -=--+→由所给条件可知0)1(2=-f ,∴ 0)1(=f再由条件可知8)sin )(sin 8(lim sin )sin 1(3)sin 1(lim 00=+=--+→→x x x x x x f x f x x α令8)1(3)1(lim,sin 0=--+=→tt f t f t x t ,又∵0)1(=f ∴ 上式左边=)()1()1(lim3)]1()1([lim00t f t f t f t f t t ---+-+→→ =(1)3(1)4(1)f f f '''+= 则4(1)8f '= (1)2f '=所求切线方程为)6(20-=-x y 即 0122=--y x例2 设xx y n-=1,求)(n y (n 正整数)解:)1(1111)1(21++++--=-+-=--x x x xx x y n n n 1)(1)()1(!])1[(+--=-=n n n x n x y微分中值定理一、用罗尔定理的有关方法例1 设)(x f 在[0,3]上连续,在(0,3)内可导,且3)2()1()0(=++f f f ,1)3(=f . 试证:必存在)3,0(∈ξ,使()0f ξ'=证:∵ )(x f 在[0,3]上连续,∴ )(x f 在[0,2]上连续,且有最大值M 和最小值m .于是M f m ≤≤)0(;M f m ≤≤)1(;M f m ≤≤)2(,故M f f f m ≤++≤)]2()1()0([31. 由连续函数介值定理可知,至少存在一点[0,2]c ∈使得1)]2()1()0([31)(=++=f f f c f ,因此)3()(f c f =,且)(x f 在[c ,3]上连续,(c ,3)内可导,由罗尔定理得出必存在)3,0()3,(⊂∈c ξ使得()0f ξ'=。
高数考研典型例题1. 函数极限在高等数学考研中,函数极限是一个常见的考点。
下面我们来看一个经典的例题:例题:已知函数 f(x) = sin(x),求lim(x→0) f(x) 的值。
解析:要求 f(x) 的极限值,可以先考虑利用极限的性质进行计算。
根据极限的性质,我们有lim(x→a) sin(x) = sin(a)。
因此,我们可以得出lim(x→0) f(x) = sin(0) = 0。
2. 一元函数微分在考研中,一元函数的微分也是一个常见的考点。
下面是一个典型例题:例题:已知函数 f(x) = x^2,求 f(x) 的导数。
解析:根据微分的定义,我们可以求出函数 f(x) 的导数。
对函数 f(x) = x^2 进行求导,使用求导法则,则有 f'(x) = 2x。
3. 一元函数积分一元函数的积分在考研中也是一个重要的考点。
下面是一个典型例题:例题:求函数 f(x) = x^2 在区间 [0, 2] 上的定积分。
解析:使用积分的定义,可以求出函数 f(x) 在给定区间上的定积分。
计算 f(x) 在区间 [0, 2] 上的定积分,则有∫[0, 2] x^2 dx = [1/3 * x^3] [0, 2] = 1/3 * (2^3 - 0^3) = 8/3。
4. 多元函数偏导数在高数考研中,多元函数的偏导数也是一个常见的考点。
下面是一个例题:例题:已知函数 f(x, y) = x^2y,求函数 f(x, y) 关于变量 x 的偏导数。
解析:根据偏导数的定义,我们可以求出函数 f(x, y) 关于变量 x 的偏导数。
对函数 f(x, y) = x^2y 进行求偏导,固定 y 值,求 f(x, y) 对 x 的偏导数,则有∂f/∂x = 2xy。
5. 多元函数的二重积分多元函数的二重积分也是高数考研的一个考点。
下面是一个典型例题:例题:求函数 f(x, y) = x^2 + 2xy 在区域D = {(x, y) | 0 ≤ x ≤ 1, 0 ≤ y ≤ x} 上的二重积分。
第一章 函数、极限、连续典型例题1:函数2sin(2)()(1)(2)x x f x x x x -=--在下列哪个区间内有界( ). A. (1,0)- B. (0,1) C. (1,2) D. (2,3) 解析:有如下的两个重要结论:❶若()f x 在闭区间[,]a b 上连续,则()f x 在闭区间[,]a b 上有界;❷若()f x 在开区间(,)a b 内连续,且极限lim ()x af x +→与lim ()x bf x -→存在,则()f x 在开区间(,)a b 内有界.当0,1,2x ≠时,()f x 连续,而1sin 3lim ()18x f x +→-=-,0sin 2lim ()4x f x -→=-,0sin 2lim ()4x f x +→=,1lim ()x f x →=∞,2lim ()x f x →=∞.所以()f x 在(1,0)-内有界,选(A ).2:设{}n a ,{}n b ,{}n c 均为非负数列,且lim 0n n a →∞=,lim 1n n b →∞=,lim n n c →∞=∞,则必有( ).A .n n a b <对任意n 成立B .n n b c <对任意n 成立C .lim n n n a c →∞不存在 D .lim n n n b c →∞不存在解析:应选(D ).由数列极限保号性的条件得A 、B 两项不是无条件成立的,故A 、B错误.C 项中的极限是“0⋅∞”的未定式,极限有可能是存在的,故C 项也错误.选D 项.3:设()f x 在0x =的某邻域内连续,0()lim 21cos x f x x→=-,则在0x =处()f x ( ).A .不可导B .可导且(0)0f '≠C .取得极大值D .取得极小值 解析:应选(D ).由0()lim21cos x f x x→=-可得,0x →时,1cos 0x -→,则()0f x →,而()f x 在点0x =的某邻域内连续,得(0)0f =.于是000()()(0)0()(0)2limlim lim 21cos 01cos 0x x x f x f x f x f x f x x x x x→→→---=⋅=⋅=----,而02limx x →=∞,因此0()(0)lim 00x f x f x →-=-,即'(0)0f =.(A )(B )均错误. 00()()(0)limlim 201cos 1cos x x f x f x f x x→→-==>--,由函数极限的局部保号性可得,(0,)U δ∃,(0,)x U δ∀∈,有()(0)01c o s f x f x->-,而1c o s 0x ->,得()(0)f x f >,因此()f x 在0x =处取得极小值.4:设lim ,n n a a →∞=且0,a ≠则当n 充分大时有( ).A. 2n a a >B. 2n a a <C. 1n a a n >-D. 1n a a n<+ 解析:应选(A ).用排除法,令n a 为简单数列的通项. (1)令21n a n =+,则lim 1n n a →∞=,11n a n >+,排除(D ).(2)令21n a n =-,则lim 1n n a →∞=,11n a n <-,排除(C ).(3)令11n a n=--,则lim 1n n a →∞=-,1112n a n -=+>,排除(B ).5:设数列{}n x 满足110,sin (1,2,...).n n x x x n π+<<== (1)证明lim n n x →∞存在,并求该极限.(2)计算211lim n x n n n x x +→∞⎛⎫ ⎪⎝⎭. 证明(1) 由于0x π<<时,0sin x x <<,于是10sin n n n x x x +<=<,说明数列{}n x 单调减少且0n x >. 由单调有界准则知lim n n x →∞存在.记为A .递推公式两边取极限得sin A A =,解得0A =. (2)原式21sin lim()nxn n nx x →∞=,为“1∞”型极限.因为离散型不能直接用洛必达法则,先考虑210sin lim()t t t t→. 22011sin lim ln 0sin lim()t ttt t t t e t→→=.其中2223220000011sin 1sin sin cos 112lim ln lim (1)lim lim lim 336t t t t t t t t t t t t t t t t t t →→→→→---=-====-. 所以 2221111016sin sin lim()lim()lim()nnxxn n x n n x nnx x x x x xe+→∞→∞→-===.6:41lim(cos 22sin )xx x x x →+解:(方法1)14441ln(cos22sin )limln(cos22sin )0lim(cos 22sin )lim xx x x x x x x xx x x x x x ee→++→→+==而42042040sin 2sin 2lim )sin 2sin 21ln(lim )sin 22ln(cos lim x xx x x x x x x x x x x x x +-=+-=+→→→121612lim 2sin 2lim 33030=⋅=+-=→→x x x x x x x ,所以原式31e =. (方法2)44121)sin 2sin 21(lim )sin 22(cos lim x x x x x x x x x x +-=+→→31sin 2sin 2sin 2sin 212422)sin 2sin 21(lim e x x x x xx x x x x x =+-=+-⋅+-→.7:1402sin lim ||1x x x e x x e →⎛⎫+ ⎪+ ⎪ ⎪+⎝⎭解:1144002sin 2sin 2lim lim 11111x xx x x x e x e x x x e e --→→⎛⎫⎛⎫++ ⎪ ⎪+=-=-= ⎪ ⎪ ⎪ ⎪++⎝⎭⎝⎭; 1144002sin 2sin lim lim 01111x x x x x x e x e x x x e e ++→→⎛⎫⎛⎫++ ⎪ ⎪+=+=+= ⎪ ⎪ ⎪ ⎪++⎝⎭⎝⎭; 左右极限存在且相等,所以1402sin lim 1.1x x x e x x e →⎛⎫+ ⎪+= ⎪ ⎪+⎝⎭8:22411limsin x x x x x x→-∞++++=+ .解:分子分母同时除以x (注意x 趋于负无穷大),可得2222411411limlimsin sin x x x x x x x x x x x xx x x→-∞→-∞++++++++=++ 22222241111141lim lim 1sin sin 1x x x x x x x x x x x x x x x →-∞→-∞+++-+-++++===+-+-.9:求221()lim 1n n n x f x x x →∞⎡⎤⎛⎫-=-⎢⎥ ⎪+⎝⎭⎣⎦的间断点,并判别类型. 解:当||1x <时,20nx→,则()1f x x =--,当||1x =时,则()f x x =-, 当||1x >时,2nx→∞,则()1f x x =-,1,||1(), ||11, ||1x x f x x x x x --<⎧⎪∴=-=⎨⎪->⎩.分段点为1x =±(1)1,(10)2,(10)0f f f =--=-+= (1)1,(10)2,(10)0f f f -=--=-+=则1x =±都为跳跃间断点.10:设)(x f 在[0,1]]连续,(1)0f =,212()1lim112x f x x →-=⎛⎫- ⎪⎝⎭,证明:(1)存在1,12ξ⎛⎫∈ ⎪⎝⎭,使()f ξξ=; (2))(x f 在[0,1]上最大值大于1.证明:(1)由212()1lim112x f x x →-=⎛⎫- ⎪⎝⎭及)(x f 在[0,1]连续,得121=⎪⎭⎫⎝⎛f .令()()x f x x φ=-,111102222f φ⎛⎫⎛⎫=-=>⎪ ⎪⎝⎭⎝⎭,(1)(1)110f φ=-=-<,由连续函数介值定理知存在1(,1)2ξ∈使()0φξ=,即()f ξξ=.(2)由于01211)(lim221>=⎪⎭⎫ ⎝⎛--→x x f x ,由保号性定理知1111(,)(,)2222x δδ∀∈-+时,有()1f x >,故)(x f 在[0,1]上最大值大于1.。
今天来看看第二题吧。
题目本身不算难题,不过由于涉及的内容对考研的帮助特别大,又是典型中的典型,所以选出来说。
希望今天通过这道题目,能够让大家掌握如何思考这类题目!这道题目的条件很明显,闭区间上连续,开区间上可导,第一反应应该就是中值定理了中值定理有三个,那么该用哪个呢?回一下就可以发现,三个中值定理都只会出现一个参数,但是题目中却出现了两个参数η,ξ。
那么怎么办?这个时候就应该知道仅仅一个中值定理是解决不了此题的,所以考虑使用两个中值定理来做!那么,到底该使用哪两个中值定理呢?一般来说,中值定理的混用有3种,两个拉格朗日,一个拉格朗日一个柯西,两个柯西。
具体问题就要具体分析了。
所以对这道题目,我们有必要对式子进行变形,从中发现线索!不知道大家看出来我变形的目标没有----就是将同一个参数集中在一堆,然后f放在分子,具体函数(在这道题中就是cosx与sinx)放在分母。
从这种形式,我们很容易看出来,这应该是柯西中值定理的应用左边f’(η)/sinη就可以看做柯西中值定理的右边部分,这样一来,我们只需要把分子分母的原函数找出来,然后用柯西中值定理处理就可以出现我们结论中的东西了。
同理,右边的f’(ξ)/cosξ也可以再用一个柯西中值定理处理。
注意,这里左边就应该取端点值a,b,因为表达式里面还含有a,b。
至于那个tan((a+b)/2)可以暂时不管,先分别用柯西中值定理处理后然后再看看是否能够出现那个式子,如果出现不了的话才考虑其他的,能够出现,命题基本上可以说是得证了!于是下面就是解答过程看来,只要将用两个柯西中值定理想出来了,后面的就是水道渠成了。
那个tan((a+b)/2)也是自然而然就出现了。
最后总结一下这道题。
从这道题我们能够学到哪些东西?首先,通过条件的分析,知道很可能使用中值定理,这是整体把握此题,让自己有个大致的方向。
然后就是对题目的分析了。
处理一个变量的中值定理的证明题,一般都是利用分析法,也就是通过条件倒推,最后看出需要构造什么样的辅助函数。
考研数学往年试题及答案一、选择题(每题4分,共40分)1. 设函数f(x)=x^3-3x,求f'(x)的值。
A. 3x^2-3B. x^2-3C. 3x^2+3D. x^3-3答案:A2. 已知集合A={x|x<2},B={x|x>3},则A∩B=?A. {x|x<2}B. {x|x>3}C. {x|2<x<3}D. 空集答案:D3. 计算定积分∫(0,1) x^2 dx的值。
A. 1/3B. 1/2C. 2/3D. 1答案:B4. 设矩阵A=\[\begin{matrix}1 & 2 \\ 3 & 4\end{matrix}\],求A的行列式值。
A. -2B. 2C. -1D. 1答案:B5. 求极限lim(x→0) (sin x)/x的值。
A. 0B. 1C. 2D. -1答案:B6. 已知等差数列{an}的前三项为1,4,7,求通项公式an。
A. 3n-2B. 3n+1C. n+3D. 3n-1答案:A7. 设函数f(x)=x^2+2x+1,求f(x)的最小值。
A. 0B. 1C. 2D. 3答案:B8. 已知曲线y=x^3-3x+1在点(1, -1)处的切线斜率。
A. 1B. -1C. 3D. -3答案:A9. 计算二重积分∫∫D (x^2+y^2) dxdy,其中D为x^2+y^2≤1的区域。
A. πB. 2πC. π/2D. 4π答案:B10. 设函数f(x)=ln(x+√(1+x^2)),求f'(x)的值。
A. 1/(√(1+x^2)+x)B. 1/(√(1+x^2)-x)C. 1/(√(1+x^2))D. 1/(1+x^2)答案:A二、填空题(每题5分,共30分)1. 设函数f(x)=x^3-6x^2+11x-6,求f'(x)的值。
答案:3x^2-12x+112. 已知等比数列{bn}的前三项为1,2,4,求通项公式bn。
考研数学经典例题集锦引言考研数学作为研究生入学考试中的一部分,占据着非常重要的位置。
合理的备考方法和充足的练习是取得好成绩的关键。
本文整理了数学考研中一些经典的例题,旨在帮助考生加深对数学知识的理解和提高解题能力。
题目一:函数极限与连续性给定函数 $f(x) = \\frac{3x}{x+2}$,求 $\\lim_{x \\to -2} f(x)$。
解析根据函数极限的定义,我们需要计算极限$\\lim_{x \\to -2} \\frac{3x}{x+2}$。
由于分母不能为零,需要对函数进行化简。
首先,将函数化简为 $f(x) = \\frac{3x}{x+2} = \\frac{3x}{(x+2) - 0} =\\frac{3x}{x+2-(-2)} = \\frac{3x}{x+4}$。
然后,代入x=−2,得到 $\\lim_{x \\to -2} \\frac{3x}{x+4} = \\frac{3(-2)}{-2+4} = \\frac{-6}{2} = -3$。
因此,$\\lim_{x \\to -2} f(x) = -3$。
题目二:矩阵运算给定矩阵 $A = \\begin{bmatrix} 1 & 2 \\\\ 3 & 4 \\end{bmatrix}$,求矩阵A的转置矩阵A T。
解析矩阵的转置是将矩阵的行变为列,列变为行。
对于矩阵 $A = \\begin{bmatrix}1 &2 \\\\3 &4 \\end{bmatrix}$,将行变为列得到转置矩阵 $A^T =\\begin{bmatrix} 1 & 3 \\\\ 2 & 4 \\end{bmatrix}$。
因此,$A^T = \\begin{bmatrix} 1 & 3 \\\\ 2 & 4 \\end{bmatrix}$。
题目三:概率与统计某班级有40名学生,其中10名学生的身高在160cm以下,20名学生的身高在160cm到170cm之间,10名学生的身高在170cm以上。
考研单独考试数学真题在考研过程中,数学是许多考生头疼的科目之一。
数学的题量庞大且内容较为复杂,需要考生具备扎实的数学基础和良好的解题能力。
为了帮助考生更好地备考数学,下文将为大家列举一些考研单独考试数学真题,并分析解题方法,希望能对考生有所帮助。
一、选择题1. 设函数y=f(x)为一节跨横径为a且篆底形状为凹下去的抛物线形槽(x轴为其斜轴)的头盖形。
假设该槽的横截面面积为一个与横截面宽度x成正比的数a(x)。
试求该抛物线形槽压力强度最大的位置x_0。
解析:该题为函数极值问题。
要求压力强度最大,即求函数的最小值(抛物线为凹下去的形状)。
通过设定函数和面积之间的关系式,并对函数求导,可以求得函数的极值点位置。
2. 已知函数f(x)在(a,b)内一阶连续可导,且满足关系式f (x),则f(2)-f(0)的值为()A. f'(1)B. f(2)-f(1)C. f'(β)D. f(a)-f(b)解析:根据题目所给条件,可以推导出相关关系式。
根据中值定理,可以将f(2)-f(0)表示为某一点处的导数值与函数在两个点之间的差值的乘积。
通过对选项进行排除法分析,可以得出正确答案。
二、填空题1. 对给定的一组数(2,9,6,5,8,3,4,7,1,10),其中包含了1~10之间的所有整数且没有重复,它们按升序排列后,第4个数与第9个数的和为______。
解析:将给定的一组数从小到大进行排序,然后计算第4个数和第9个数的和。
2. 已知函数f(x)=x^3-2x^2+ax,则a的值为______。
解析:将函数f(x)代入已知表达式中,通过对方程系数进行整理整理,可以求解未知数a的值。
三、解答题1. 设函数f(x)=e^(-x)-ax,则当a为何值时,曲线y=f(x)与斜线y=1-x的切线方程为y=1-x?解析:首先列出曲线和斜线的方程式,然后求解两条线的交点。
通过求解导数和斜率的关系,可以得到关于a的方程。
考研数学精选试题及答案# 考研数学精选试题及答案## 一、选择题1. 题目:设函数 \( f(x) = x^3 - 3x^2 + 2x \),求 \( f'(x) \)。
选项:A. \( 3x^2 - 6x + 2 \)B. \( x^3 - 3x + 2 \)C. \( 3x^2 - 6x + 1 \)D. 无解析解答案:A2. 题目:若 \( \lim_{x \to 0} \frac{\sin x}{x} = 1 \),求\( \lim_{x \to 0} \frac{\sin 2x}{x} \)。
选项:A. 2B. 1C. 0D. 无法确定答案:A3. 题目:设 \( a, b \) 为实数,若 \( a^2 + b^2 = 1 \),求\( (a + b)^2 \) 的最大值。
选项:A. 1B. 2C. \( \frac{1}{2} \)D. 无法确定答案:B## 二、填空题1. 题目:已知 \( \int_{0}^{1} x^2 dx = \frac{1}{3} \),求\( \int_{0}^{1} x^3 dx \)。
答案:\( \frac{1}{4} \)2. 题目:设 \( \lim_{n \to \infty} \frac{n}{n^2 + 1} = 0 \),求 \( \lim_{n \to \infty} \frac{n^2}{n^2 + 1} \)。
答案:13. 题目:若 \( e^x = 1 + x \),求 \( x \)。
答案:0## 三、解答题1. 题目:证明:对于任意正整数 \( n \),\( 1^3 + 2^3 + ... + n^3 = \left(\frac{n(n + 1)}{2}\right)^2 \)。
解答:首先,我们可以通过数学归纳法来证明这个等式。
对于 \( n = 1 \),等式成立。
假设对于 \( n = k \),等式成立,即 \( 1^3 + 2^3 + ... + k^3 = \left(\frac{k(k + 1)}{2}\right)^2 \)。
考研数学二(高等数学)历年真题试卷汇编9(题后含答案及解析) 题型有:1. 选择题 2. 填空题 3. 解答题选择题下列每题给出的四个选项中,只有一个选项符合题目要求。
1.设函数f(x)在x=0处可导,且f(0)=0,则A.一2f’(0).B.一f’(0).C.f’(0).D.0正确答案:B解析:2.函数f(x)=ln|(x一1)(x一2)(x一3)|的驻点个数为A.0B.1C.2D.3正确答案:C解析:令3x2—12x+11=0由于△= 122一12x+11>0,则该方程有两个实根,f(x)有两个驻点.3.曲线y=渐近线的条数为A.0B.1C.2D.3正确答案:C解析:由于=1,则该曲线有水平渐近线y=1.又=∞,则x=1为该曲线的一条垂直渐近线,故应选(C).4.设函数f(x)=(ex一1)(e2x一2)…(enx一n),其中n为正整数,则f’(0)= A.(一1)n一1(n一1)!.B.(一1)n(n一1)!.C.(一1)n1n!.D.(一1)nn!.正确答案:A解析:排除法:当n=2时,f(x)=(ex一1)(e2x一2)f’(x)=ex(e2x一2)+2e2x(ex一1)f’(0)=一1显然,(B)(C)(D)都不正确,故应选(A).5.设函数y=f(x)由方程cos(xy)+lny一x=1确定,则A.2B.1C.一1D.一2正确答案:A解析:由方程cos(xy)+lny一x=1知,当x=0时,y=1,即f(0)=1,以上方程两端对x求导得将x=0,y=1代入上式得y’|x=0=1,即f’(0)=1,6.下列曲线中有渐近线的是A.y=x+sinxB.y=x2+sinxC.y=x+sinD.y=x2+sin正确答案:C解析:由于所以曲线y=x+有斜渐近线y=x,故应选(C).7.设函数f(x)具有2阶导数,g(x)=f(0)(1一x)+f(1)x,则在区间[0,1]上A.当f’(x)≥0时,f(x)≥g(x)B.当f’(x)≥0时,f(x)≤g(x)C.当f”(x)≥0时,f(z)≥g(x)D.当f”(x)≥0时,f(x)≤g(x)正确答案:D解析:由于g(0)=f(0),g(1)=f(1),则直线y=f(0)(1一x)+f(1)x过点(0,f(0))和(1,f(1)),当f”(x)≥0时,曲线y=f(x)在区间[0,1]上是凹的,曲线y=f(x)应位于过两个端点(0,f(0))和(1,f(1))的弦y=f(0)(1一x)+f(1)x的下方,即f(x)≤g(x) 故应选(D).8.曲线上对应于t=1的点处的曲率半径是A.B.C.D.正确答案:C解析:故应选(C).9.设函数f(x)=arctanx,若f(x)=xf’(ξ),则A.B.C.D.正确答案:D解析:由f(x)= arctanx,及f(x)=xf’(ξ)得故应选(D).10.设函数f(x)=(α>0,β>0).若f’(x)在x=0处连续,则A.α一β>1.B.0<α一β≤1.C.α一β>2.D.0<α一β≤2.正确答案:A解析:f一’(0)=0,f+’(0)=该极限存在当且仅当α一1>0,即α>1.此时,α>1,f+’(0)=0,f’(0)=0.当x>0时,f’(x)=axα一1+βxα一β一1cos要使上式的极限存在且为0,当且仅当α一β一1>0.则α一β>1.故应选(A).11.设函数f(x)在(一∞,+∞)内连续,其2阶导函数f”(x)的图形如右图所示,则曲线y=f(x)的拐点个数为A.0B.1C.2D.3正确答案:C解析:由右图知f”(x1)=f”(x2)=0,f”(0)不存在,其余点上二阶导数f”(x)存在且非零,则曲线y=f(x)最多三个拐点,但在x=x1两侧的二阶导数不变号,因此不是拐点,而在x=0和x=x2两侧的二阶导数变号,则曲线y=f(x)有两个拐点,故应选(C).12.设函数f(x)在(一∞,+∞)内连续,其导函数的图形如图所示,则A.函数f(x)有2个极值点,曲线y=f(x)有2个拐点.B.函数f(x)有2个极值点,曲线y=f(x)有3个拐点.C.函数f(x)有3个极值点,曲线y=f(x)有1个拐点.D.函数f(x)有3个极值点,曲线y=f(x)有2个拐点.正确答案:B解析:x1,x3,x5为驻点,而在x1和x3两侧一阶导数f’(x)变号,则为极值点,在x5两侧一阶导数f’(x)不变号,则不是极值点,在x2处一阶导数不存在,但在x2两侧f’(x)不变号,则不是极值点.在x2处二阶导数不存在,在x4和x5处二阶导数为零,在这三个点两侧一阶导函数的增减性发生变化,则都为拐点,故应选(B).13.设函数fi(x)(i=1,2)具有二阶连续导数,且fi”(x0)<0(i=1,2).若两条曲线y=fi(x)(i=1,2)在点(x0,y0)处具有公切线y=g(x),且在该点处曲线y=f1(x)的曲率大于曲线y=f2(x)的曲率,则在x0的某个邻域内,有A.f1(x)≤f2(x)≤g(x).B.f2(x)≤f1(x)≤g(x).C.f1(x)≤g(x)≤f2(x).D.f2(x)≤g(x)≤f1(x).正确答案:A解析:由函数fi(x)(i=1,2)具有二阶连续导数,且fi”(x0)<0(i=1,2)可知,在x0某邻域内曲线y =fi(x)(i=1,2)是凸的,而两曲线y=fi(x)(i=1,2)在点(x0,y0)处有公共切线y=g(x),且在该点处曲线y=f1(x)的曲率大于曲线y=f2(x)的曲率,则在x0的某邻域内三条曲线如图所示,故在x0点的该邻域内f1(x)≤f2(x)≤g(x)故应选(A).填空题14.曲线y=的渐近线方程为________.正确答案:y=2x.解析:显然曲线y=无水平渐近线和垂直渐近线,则原曲线有斜渐近线y=2x.15.函数y=ln(1一2x)在x=0处的n阶导数y(n)(0)=________.正确答案:一2n(n一1)!.解析:利用ln(l+x)的麦克劳林展开式16.已知一个长方形的长l以2cm/s的速率增加,宽ω以3 cm/s的速率增加,则当l=12 cm,ω=5 cm时,它的对角线增加的速率为________.正确答案:3.解析:设l=x(t),ω=y(t),其对角线长为z(t),则z2(t)=x2(t)+y2(t),2z(t)z’(t)=2x(t)x’(t)+2y(t)y’(t)将x(t)=12,y(t)=5,x’(t)=2,y’(t)=3,z(t)==13代入上式得z’(t)=3.17.设y=y(x)是由方程x2一y+1=ey所确定的隐函数,则|x=0=________.正确答案:1.解析:在方程x2一y+1=ey中令x=0,得y=0,该方程两端对x求导得2x 一y’=eyy’将x=0,y=0代入上式得y’(0)=0,上式再对x求导2一y”=eyy’2+eyy”将x=0,y=0,y’(0)代入上式得y”(0)=1.18.曲线y=x2+x(x<0)上曲率为的点的坐标是________.正确答案:(一1,0).解析:由y=x2+x得,y’=2x+1,y”=2,代入曲率计算公式得由K=得(2x+1)2=1解得x=0或x=一1,又x<0,则x=一1,这时y=0,故所求点的坐标为(一1,0).19.曲线上对应于t=1的点处的法线方程为________.正确答案:y+x=解析:而t=1时,x=则t=1处的法线方程为20.设f(x)是周期为4的可导奇函数,且f’(x)=2(x 一1),x∈[0,2],则f(7)=________.正确答案:1.解析:由f’(x)=2(x一1),x∈[0,2]知,f(x)=(x一1)2+C.又f(x)为奇函数,则f(0)=0,C=一1.f(x)=(x一1)2一1.由于f(x)以4为周期,则f(7)=f[8+(一1)]=f(一1)=一f(1)=1.21.曲线L的极坐标方程是r=θ,则L在点(r,θ)=处的切线的直角坐标方程是________.正确答案:解析:22.=________.正确答案:48.解析:23.函数f(x)=x22x在x=0处的竹阶导数f(n)(0)=________.正确答案:n(n一1)(ln2)n一2.解析:24.曲线y=+arctan(1+x2)的斜渐近线方程为________.正确答案:y=x+解析:则该曲线的斜渐近线方程为y=x+25.已知函数f(x)在(一∞,+∞)上连续,且f(x)=(x+1)2+2∫0xf(t) dt,则当n≥2时,f(n)(0)=________.正确答案:5.2n一1.解析:等式f(x)=(x+1)2+2∫0xf (t)dt两边对x求导得f’(x)=2(x+1)+2f(x),f’(0)=2+2f(0)=4f”(x)=2+2f’(x),f”(0)=2+2f’(0)=10f”‘(x)=2f”(x)f(n)(x)=2f(n一1)(x)=22f(n一2)(x)=…=2n一2f”(x) (n>2)f(n)(0)=2n一22f”(0) (n>2)= 2n一2.10=2n一1.5.26.已知动点P在曲线y=x3上运动,记坐标原点与点P间的距离为l.若点P的横坐标对时间的变化率为常数υ0,则当点P运动到点(1,1)时,l对时间的变化率是________.正确答案:解析:由题设知解答题解答应写出文字说明、证明过程或演算步骤。
考研应用数学试题及答案一、选择题(每题3分,共30分)1. 下列函数中,满足条件f(x+y)=f(x)+f(y)的函数是:A. f(x) = x^2B. f(x) = sin(x)C. f(x) = e^xD. f(x) = ln(x)答案:C2. 设随机变量X服从参数为λ的泊松分布,其概率质量函数为P(X=k)=λ^k/k!e^λ,k=0,1,2,...。
若P(X=1)=0.1,则λ的值为:A. 0.5B. 1C. 2D. 3答案:B3. 在二维空间中,若向量a=(1, 2)和向量b=(2, 1),则向量a与向量b的夹角的余弦值为:A. 1/2B. √2/2C. √3/2D. 3/4答案:D4. 对于函数f(x)=x^3-6x^2+9x+2,其在区间(2, +∞)上的最小值为:A. -2B. 2C. 5D. 8答案:C5. 设矩阵A=\begin{bmatrix} 1 & 2 \\ 3 & 4 \end{bmatrix},矩阵B=\begin{bmatrix} 5 & 6 \\ 7 & 8 \end{bmatrix},则矩阵C=2A-3B 的值为:A. \begin{bmatrix} -19 & -22 \\ -22 & -26 \end{bmatrix}B. \begin{bmatrix} -5 & -2 \\ -11 & -6 \end{bmatrix}C. \begin{bmatrix} 1 & 4 \\ 9 & 12 \end{bmatrix}D. \begin{bmatrix} 13 & 16 \\ 17 & 20 \end{bmatrix}答案:B6. 某工厂生产的产品经过三道工序,第一道工序的合格率为80%,第二道工序的合格率为85%,第三道工序的合格率为90%。
若整个产品的合格率为76.5%,则三道工序之间:A. 相互独立B. 不相互独立C. 只有第一、二道工序相互独立D. 只有第二、三道工序相互独立答案:B7. 设函数f(x)在区间[a, b]上连续,且∫[a, b]f(x)dx = 3,则函数F(x)=∫[a, x]f(t)dt在区间[a, b]上的定积分为:A. 3B. 6C. 9D. 无法确定答案:B8. 对于常微分方程y'' - 2y' + y = 0,其通解为:A. y = e^tB. y = e^(t/2)sin(t)C. y = e^t + e^(2t)D. y = e^(3t)答案:C9. 设函数g(x) = x^3 - 3x^2 + 2,若g(x) ≥ 1,则x的取值范围为:A. (-∞, 1]∪ [2, +∞)B. (-∞, 2] ∪ [1, +∞)C. (-∞, 0] ∪ [1, +∞)D. (-∞, 0] ∪ [2, +∞)答案:B10. 某投资项目,初始投资额为100万元,预计未来5年内每年末能获得的净收益为30万元。
数学考研历年试题及答案一、选择题1. 设函数f(x)在区间(0,1)上连续,且f(0)=0,f(1)=1,则下列结论正确的是:A. f(x)在(0,1)上存在零点B. f(x)在(0,1)上单调递增C. f(x)在(0,1)上单调递减D. f(x)在(0,1)上至少存在一个零点答案:D2. 若矩阵A为3阶方阵,且|A|=-2,则矩阵A的行列式值为:A. 2B. -2C. 4D. -4答案:B二、填空题1. 已知等差数列{a_n}满足a_1=2,公差d=3,则a_5=________。
答案:172. 设函数f(x)=x^3-3x+1,求f'(x)=________。
答案:3x^2-3三、解答题1. 求极限lim(x→0) (sin x - x) / x^3。
解:首先使用洛必达法则,得到lim(x→0) (cos x - 1) / 3x^2,再使用洛必达法则,得到lim(x→0) (-sin x) / 6x,最后得到极限值为0。
2. 已知函数f(x)=x^2-4x+c,求证:当c=5时,函数f(x)在(0,2)上单调递增。
证明:首先求导得到f'(x)=2x-4。
当x∈(0,2)时,f'(x)=2x-4>0,因此函数f(x)在(0,2)上单调递增。
四、证明题1. 证明:若x,y∈R,且x^2+y^2=1,则x+y≤√2。
证明:由柯西-施瓦茨不等式可知,(x^2+y^2)(1^2+1^2)≥(x+y)^2,即2≥(x+y)^2,所以x+y≤√2。
2. 证明:若数列{a_n}满足a_1=1,a_{n+1}=2a_n+1,求证:a_n=2^n-1。
证明:使用数学归纳法,首先证明n=1时成立,即a_1=2^1-1=1。
假设n=k时成立,即a_k=2^k-1,那么a_{k+1}=2a_k+1=2(2^k-1)+1=2^{k+1}-1,故n=k+1时也成立。
因此,对于所有的n∈N*,a_n=2^n-1。
考研数学试题大全及答案考研数学模拟试题一、选择题(每题3分,共36分)1. 下列函数中,满足条件f(2+x) = f(2-x)的是()。
A. y = sin(x)B. y = cos(x)C. y = |x|D. y = x^22. 设函数f(x)在点x=a处的导数为f'(a),若f'(a)=0,则称点x=a为函数的()。
A. 驻点B. 极值点C. 拐点D. 渐近点3. 对于函数F(x) = ∫(0到x) t^2 dt,其不定积分F(x)为()。
A. x^3/3B. x^3C. x^2/2D. x^24. 设随机变量X服从参数为λ的泊松分布,其概率质量函数为P(X=k) = λ^k e^(-λ) / k!,k=0,1,2,...,则E(X)等于()。
A. λB. λ^2C. e^λD. 1/λ5. 设A为3阶矩阵,|A|=2,则A的伴随矩阵的行列式值为()。
A. 1/2B. 4C. 8D. 166. 对于二元函数z=f(x, y),若偏导数∂z/∂x和∂z/∂y都存在,则该函数在该点连续的充分必要条件是()。
A. 混合偏导数相等B. 偏导数连续C. 函数可微D. 函数有界7. 设数列{an}满足an+1 = an + 1/n,n≥1,则该数列的极限为()。
A. 0B. 1C. eD. ∞8. 对于函数f(x) = x^3 - 6x^2 + 9x - 4,其在区间[1, +∞)上的最小值为()。
A. -1B. 0C. 1D. 49. 设矩阵A=\begin{bmatrix} 1 & 2 \\ 3 & 4 \end{bmatrix},矩阵B=\begin{bmatrix} 5 & 6 \\ 7 & 8 \end{bmatrix},则AB-BA的行列式为()。
A. -15B. -16C. -18D. -2012. 设随机变量X和Y的联合概率密度函数为f(x, y),若P(X>Y) = ∫∫ f(x, y) dy dx,其中积分区域为y<x,且P(X>Y)=1/4,则E(XY)等于()。
考研数学试题及答案详解一、选择题(每题4分,共40分)1. 设函数f(x) = x^2 - 6x + 8,求f(3)的值。
A. -1B. 1C. 3D. 5答案:B解析:将x=3代入函数f(x)中,得到f(3) = 3^2 - 6*3 + 8 = 9- 18 + 8 = 1。
2. 求极限lim(x→2) (x^2 - 4) / (x - 2)。
A. 0B. 2C. 4D. 8答案:D解析:原式可以化简为lim(x→2) (x^2 - 4) / (x - 2) =lim(x→2) (x + 2) = 2 + 2 = 4。
3. 设矩阵A = \[\begin{bmatrix} 1 & 2 \\ 3 & 4 \end{bmatrix}\],求A的行列式。
A. 0C. 5D. 8答案:C解析:矩阵A的行列式为1*4 - 2*3 = 4 - 6 = -2,但选项中没有-2,因此需要检查题目是否有误。
4. 求不定积分∫x^2 dx。
A. (1/3)x^3 + CB. (1/2)x^2 + CC. x^3 + CD. 2x + C答案:A解析:根据积分公式,∫x^n dx = (1/(n+1))x^(n+1) + C,代入n=2,得到∫x^2 dx = (1/3)x^3 + C。
5. 设函数f(x) = sin(x),求f'(x)。
A. cos(x)B. sin(x)C. -cos(x)D. -sin(x)答案:A解析:根据导数公式,f'(x) = cos(x)。
6. 若方程x^2 - 5x + 6 = 0的两个根为α和β,则α + β的值为。
B. 2C. 3D. 4答案:C解析:根据一元二次方程的根与系数的关系,α + β = -b/a = 5。
7. 设函数f(x) = e^x,求f'(x)。
A. e^xB. e^(-x)C. -e^xD. -e^(-x)答案:A解析:根据导数公式,f'(x) = e^x。
重庆市考研数学解析题典型例题解析考研数学是许多学生备战考研的难点科目之一。
在数学解析题部分,考生需要具备扎实的数学基础和深入的数学思维,才能应对各种题型的挑战。
本文将通过解析重庆市考研数学解析题典型例题,帮助考生加深对解析题的理解和应用。
例题一:已知函数f(x) = x^2 + 3x + 2,求f(x) = 0的根。
解析:为了求出函数f(x) = 0的根,即求出方程x^2 + 3x + 2 = 0的解。
我们可以使用因式分解法或者求根公式来解这个方程。
首先,我们尝试使用因式分解法。
我们寻找两个数,它们的乘积等于2,且它们的和等于3。
显然,1和2满足这个条件。
因此,我们可以将方程进行因式分解:(x + 1)(x + 2) = 0。
根据因式分解法的原理,当两个因子中的任意一个等于0时,方程成立。
因此,我们得到两个解:x + 1 = 0,解得x = -1;x + 2 = 0,解得x = -2。
所以,方程x^2 + 3x + 2 = 0的解为x = -1和x = -2。
例题二:若函数f(x)在区间[0,π]上连续,且f(0) = f(π),则函数f(x)在区间[0,π]上至少存在一个点x0,使得f(x0) = f(x0 + 2π)。
解析:根据题目描述,函数f(x)在区间[0,π]上连续,并且f(0) = f(π)。
我们需要证明在这个条件下,函数f(x)在区间[0,π]上至少存在一个点x0,使得f(x0) = f(x0 + 2π)。
根据介值定理,如果函数f(x)在区间[0,π]上连续,并且满足f(0) ≠f(π),则对于任意一个介于f(0)和f(π)之间的值c,总存在一个点x0∈(0,π),使得f(x0) = c。
由于题目给出了f(0) = f(π),所以可以得出f(x)在[0,π]上的取值范围是一个常数,即f(x) = f(0),对于任意的x∈[0,π]都成立。
因此,在[0,π]区间上,对任意一个c,都存在x0∈(0,π),使得f(x0) = c。
研究考研数学典型例题
数学科目重视做题和理论应用,尤其是典型的题型,大家要研究好,且要灵活的运用,下面查字典数学网小编分享关于研究和用好典型例题的事儿,请小伙伴们注意啦。
一、面对一道典型例题,在做这道题以前你必须考虑,它该从哪个角度切入,为什么要从这个角度切入。
做题的过程中,必须考虑为什么要用这几个原理,而不用那几个原理,为什么要这样对这个式子进行化简,而不那样化简。
做完之后,必须要回过头看一下,这个解题方法适合这个题的关键是什么,为什么偏偏这个方法在这道题上出现了最好的效果,有没有更好的解法……就这样从开始到最后,每一步都进行全方位的思考,那么这道题的价值就会得到充分的发掘。
二、学习数学,重在做题,熟能生巧。
对于数学的基本概念、公式、结论等也只有在反复练习中才能真正理解与巩固。
数学试题虽然千变万化,其知识结构却基本相同,题型也相对固定,往往存在一定的解题套路,熟练掌握后既能提高正确率,又能提高解题速度。
此外,还要初步进行解答综合题的训练。
数学考研题的重要特征之一就是综合性强、知识覆盖面广,近几年来较为新颖的综合题愈来愈多。
这类试题一般比较灵活,难度也要大一些,应逐步进行训练,积累解题经验。
这也有利于进一步理解并彻底
弄清楚知识点的纵向与横向联系,转化为自己真正掌握了的东西,能够在理解的基础上灵活运用、触类旁通。
三、同时要善于思考,归纳解题思路与方法。
一个题目有条件,有结论,当你看见条件和结论想起了什么?这就是思路。
思路有些许偏差,解题过程便千差万别。
考研数学复习光靠做题也是不够的,更重要的是应该通过做题,归纳总结出一些解题的方法和技巧。
考生要在做题时巩固基础,在更高层次上把握和运用知识点。
对数学习题最好能形成自己熟悉的解题体系,也就是对各种题型都能找到相应的解题思路,从而在最后的实考中面对陌生的试题时能把握主动。
基础的重要性已不言而喻,但是只注重基础,也是不行的。
太注重基础,就会拘泥于书本,难以适应考研试题。
打好基础的目的就是为了提高。
但太重提高就会基础不牢,导致头重脚轻,力不从心。
考生要明白基础与提高的辩证关系,根据自身情况合理安排复习进度,处理好打基础和提高能力两者的关系。
一般来说,基础与提高是交插和分段进行的,在一个时期的某一个阶段以基础为主,基础扎实了,再行提高。
然后又进入了另一个阶段,同样还要先扎实基础再提高水平,如此反复循环。
考生在这个过程中容易遇到这样的问题,就是感觉自已经过基础复习或一段时间的提高后几乎不再
有所进步,甚至感到越学越退步,碰到这种情况,考生千万
不要气馁,要坚信自己的能力,只要复习方法没有问题,就应该坚持下去。
虽然表面上感到没有进步,但实际水平其实已经在不知不觉中提高了,因为在这个时期考生已经认识到了自已的不足,正处于调整和进步中。
这个时候需要的就是考生的意志力,考研本来就是一场意志力的比赛,不仅需要丰富的知识和较高的能力,更要有坚强的意志力。
只要坚持下去,就有成功的希望。
希望大家在复习过程中要加强考研数学综合解题能力的训练,熟悉常见考题的类型和解题思路,力求在解题思路上有所突破。