随机过程课后习题解答 毛用才_胡奇英
- 格式:pdf
- 大小:595.46 KB
- 文档页数:58
随机过程课后习题答案随机过程课后习题答案随机过程是概率论和数理统计中的一个重要分支,研究的是随机事件在时间上的演变规律。
在学习随机过程的过程中,习题是不可或缺的一部分。
通过解习题,我们可以更好地理解和掌握随机过程的基本概念和性质。
下面是一些随机过程课后习题的答案,希望对大家的学习有所帮助。
1. 假设随机过程X(t)是一个平稳过程,其自协方差函数为Cov[X(t), X(t+h)] =e^(-2|h|),求该过程的自相关函数。
解:首先,自协方差函数Cov[X(t), X(t+h)]可以通过自相关函数R(t, h)来表示,即Cov[X(t), X(t+h)] = R(t, h) - E[X(t)]E[X(t+h)]。
由于该过程是平稳过程,所以E[X(t)]和E[X(t+h)]是常数,可以将其记为μ。
因此,Cov[X(t), X(t+h)] = R(t, h) - μ^2。
根据题目中给出的自协方差函数,我们有e^(-2|h|) = R(t, h) - μ^2。
将μ^2移到等式左边,得到R(t, h) = e^(-2|h|) + μ^2。
所以,该过程的自相关函数为R(t, h) = e^(-2|h|) + μ^2。
2. 假设随机过程X(t)是一个平稳过程,其自相关函数为R(t, h) = e^(-3|h|),求该过程的均值和方差。
解:由于该过程是平稳过程,所以均值和方差是常数,可以将均值记为μ,方差记为σ^2。
根据平稳过程的性质,自相关函数R(t, h)可以表示为R(h) = E[X(t)X(t+h)] =E[X(0)X(h)]。
根据题目中给出的自相关函数,我们有R(h) = e^(-3|h|)。
将t取为0,得到R(h) = E[X(0)X(h)] = μ^2。
所以,该过程的均值为μ。
根据平稳过程的性质,方差可以表示为Var[X(t)] = R(0) - μ^2。
将t取为0,得到Var[X(t)] = R(0) - μ^2 = e^(-3*0) - μ^2 = 1 - μ^2。
随机过程第四版参考答案随机过程第四版参考答案随机过程是概率论中的一个重要概念,研究的是随机事件在时间上的演化过程。
它在现代科学和工程领域中有着广泛的应用,例如通信系统、金融市场和生物学等。
随机过程第四版是一本经典的教材,为学习者提供了理论和实践的结合,帮助读者更好地理解和应用随机过程。
在随机过程第四版中,作者首先介绍了随机过程的基本概念和性质。
随机过程可以分为离散时间和连续时间两种类型,而在每个时间点上的随机变量可以是离散型或连续型的。
通过对这些基本概念的介绍,读者可以建立起对随机过程的初步认识,并为后续的学习打下坚实的基础。
接下来,随机过程第四版详细讨论了不同类型的随机过程。
其中,最常见的两种类型是马尔可夫过程和泊松过程。
马尔可夫过程是一种具有马尔可夫性质的随机过程,即未来状态的概率只依赖于当前状态,而与过去的状态无关。
泊松过程则是一种连续时间的随机过程,其具有独立增量和平稳增量的特点。
通过对这些经典模型的介绍,读者可以更深入地了解随机过程的特性和应用。
随机过程第四版还涉及了随机过程的数学建模和分析方法。
在实际问题中,我们常常需要通过建立数学模型来描述随机过程的行为。
这些模型可以是基于统计数据的参数估计,也可以是基于物理规律的微分方程。
通过对这些数学方法的学习,读者可以了解如何将实际问题转化为数学模型,并通过数学分析来解决问题。
除了理论部分,随机过程第四版还包含了大量的例题和习题。
这些例题和习题涵盖了不同类型的随机过程和应用场景,帮助读者巩固所学知识,并提供了实践的机会。
通过解答这些例题和习题,读者可以更深入地理解随机过程的概念和性质,并培养解决实际问题的能力。
总的来说,随机过程第四版是一本权威且实用的教材,为学习者提供了理论和实践相结合的学习方式。
通过对随机过程的介绍、不同类型的讨论、数学建模和分析方法的学习,以及大量的例题和习题的解答,读者可以全面地了解和掌握随机过程的基本概念、性质和应用。
(完整版)随机过程习题答案随机过程部分习题答案习题22.1 设随机过程b t b Vt t X ),,0(,)(+∞∈+=为常数,)1,0(~N V ,求)(t X 的⼀维概率密度、均值和相关函数。
解因)1,0(~N V,所以1,0==DV EV ,b Vt t X +=)(也服从正态分布,b b tEV b Vt E t X E =+=+=][)]([ 22][)]([t DV t b Vt D t X D ==+=所以),(~)(2t b N t X ,)(t X 的⼀维概率密度为),(,21);(222)(+∞-∞∈=--x ett x f t b x π,),0(+∞∈t均值函数 b t X E t m X ==)]([)(相关函数)])([()]()([),(b Vt b Vs E t X s X E t s R X ++==][22b btV bsV stV E +++=2b st +=2.2 设随机变量Y 具有概率密度)(y f ,令Yt e t X -=)(,0,0>>Y t ,求随机过程)(t X 的⼀维概率密度及),(),(21t t R t EX X 。
解对于任意0>t,Yt e t X -=)(是随机变量Y 的函数是随机变量,根据随机变量函数的分布的求法,}ln {}{})({);(x Yt P x e P x t X P t x F t Y ≤-=≤=≤=-)ln (1}ln {1}ln {tx F t x Y P t x Y P Y --=-≤-=-≥= 对x 求导得)(t X 的⼀维概率密度xtt x f t x f Y 1)ln ();(-=,0>t)(][)]([)(dy y f e eE t X E t m yt tY X相关函数+∞+-+---====0)()(2121)(][][)]()([),(212121dy y f e e E e e E t X t X E t t R t t y t t Y t Y t Y X 2.3 若从0=t 开始每隔21秒抛掷⼀枚均匀的硬币做实验,定义随机过程=时刻抛得反⾯时刻抛得正⾯t t t t t X ,2),cos()(π试求:(1))(t X 的⼀维分布函数),1(),21(x F x F 和;(2))(t X 的⼆维分布函数),;1,21(21x x F ;(3))(t X 的均值)1(),(X X m t m ,⽅差 )1(),(22X Xt σσ。
标准教材:随机过程基础及其应用/赵希人,彭秀艳编著索书号:O211.6/Z35-2备用教材:(这个非常多,内容一样一样的)工程随机过程/彭秀艳编著索书号:TB114/P50历年试题(页码对应备用教材)2007一、习题0.7(1)二、习题1.4三、例2.5.1—P80四、例2.1.2—P47五、习题2.2六、例3.2.2—P992008一、习题0.5二、习题1.4三、定理2.5.1—P76四、定理2.5.6—P80五、1、例2.5.1—P802、例2.2.2—P53六、例3.2.3—P992009(回忆版)一、习题1.12二、例2.2.3—P53三、例1.4.2与例1.5.5的融合四、定理2.5.3—P76五、习题0.8六、例3.2.22010一、习题0.4(附加条件给出两个新随机变量表达二、例1.2.1三、例2.1.4四、例2.2.2五、习题2.6六、习题3.3引理1.3.1 解法纠正 许瓦兹不等式()222E XY E X E Y ⎡⎤⎡⎤≤⎡⎤⎣⎦⎣⎦⎣⎦证明:()()()()222222222220440E X Y E X E XY E Y E XY E X E Y E XY E X E Y λλλ +⎡⎤⎡⎤=++≥⎣⎦⎣⎦∴∆≤⎡⎤⎡⎤∴-≤⎡⎤⎣⎦⎣⎦⎣⎦⎡⎤⎡⎤∴≤⎡⎤⎣⎦⎣⎦⎣⎦例1.4.2 解法详解已知随机过程(){},X t t T ∈的均值为零,相关函数为()121212,,,,0a t t t t et t T a --Γ=∈>为常数。
求其积分过程()(){},t Y t X d t T ττ=∈⎰的均值函数()Y m t 和相关函数()12,Y t t Γ。
解:()0Y m t =不妨设12t t >()()()()()()1212222112121122122100,,Y t t t t t t t t t EY t Y t E X d X d d d τττττττττΓ===Γ⎰⎰⎰⎰()()()()()222121122221222112222212221212121212000220022002200222211||111111||211ττττττττττττττττττττττττ--------------=+-=+=---=+-+⎡=++--⎣⎰⎰⎰⎰⎰⎰⎰⎰t t t a a t t a a a a t t t a a at a t a at t a t t at at ed d ed de d e d a ae d e d a a t t e e a a a a t e e e a a⎤⎦同理当21t t >时()()2112112221,1a t t at at Y t t t e e e a a----⎡⎤Γ=++--⎣⎦ (此处书上印刷有误)例1.5.5解法同上例1.5.6 解法详解 普松过程公式推导:(){}()()()()()()()()()()()1lim !lim 1!!!1lim 1!!lim 1lim !lim lim !第一项可看做幂级数展开:第二项将分子的阶乘进行变换:→∞-→∞-→∞---∆-→∞→∞-→∞→∞===-∆∆-⎡⎤⎡⎤⎡⎤=-∆∆⎢⎥⎢⎥⎣⎦-⎣⎦⎣⎦⎡⎤⎡⎤-∆==⎢⎥⎣⎦⎣⎦⎡⎤⋅∆=∆⎢⎥--⎣⎦N k N N kkN N k kN N kN kq t qtN N k N kk k N N P X t k C P N q t q t k N k N q t q t N k k q t e e N N N q t q t N k N ()()()()()!lim 1!-→∞⎡⎤⎢⎥⎣⎦⎡⎤⎡⎤=∆⋅=⋅=⎢⎥⎣⎦-⎣⎦N k k k k kN k N q t N qt qt N k (){}()()()()!1lim 1!!!N kkN kqt P X t k N q t q t N k k qt ek -→∞-∴=⎡⎤⎡⎤⎡⎤=-∆∆⎢⎥⎢⎥⎣⎦-⎣⎦⎣⎦=例2.1.2 解法详解设(){},X t t -∞<<+∞为零均值正交增量过程且()()2212121,E X t X t t t t t -=->⎡⎤⎣⎦,令()()()1Y t X t X t =--,试证明(){},Y t t -∞<<+∞为平稳过程。
习题一1.设随机变量X 服从几何分布,即:(),0,1,2,...k P X k pq k ===。
求X 的特征函数、EX 及DX 。
其中01,1p q p <<=-是已知参数。
2.(1)求参数为(p,b )的Γ分布的特征函数,其概率密度函数为(2)求其期望和方差;(3)证明对具有相同的参数b 的Γ分布,关于参数p 具有可加性。
3.设X 是一随机变量,F (x )是其分布函数,且是严格单调的,求以下随机变量的特征函数。
(1)(),(0,)Y aF X b a b =+≠是常数; (2)Z=ln F()X ,并求()k E Z (k 为自然数)。
4.设12,,...,n X X X 相互独立,具有相同的几何分布,试求 的分布。
5.试证函数 为一特征函数,并求它所对应的随机变量的分布。
6.试证函数 为一特征函数,并求它所对应的随机变量的分布。
7.设12,,...,n X X X 相互独立同服从正态分布2(,)N a σ,试求n 维随机向量12,,...,n X X X 的分布,并求出其均值向量和协方差矩阵,再求 的概率密度函数。
8.设X 、Y 相互独立,且(1)分别具有参数为(m, p)及(n, p)的二项分布;(2)分别服从参数为12(,),(,)p b p b 的Γ分布。
求X+Y 的分布。
9.已知随机向量(X, Y )的概率密度函数为试求其特征函数。
10.已知四维随机向量X ,X ,X ,X 1234()服从正态分布,均值向量为0,协方差矩阵为B σ⨯kl 44=(),求(X ,X ,X ,X E 1234)。
11.设X 1,X 2 和X 3相互独立,且都服从(0,1)N ,试求随机变量112Y X X =+和213Y X X =+组成的随机向量(Y 1, Y 2)的特征函数。
12.设X 1,X 2 和X 3相互独立,且都服从2(0,)N σ,试求:1,0()0,0()p p bxb x e x p x p x --⎧>⎪Γ⎨⎪≤⎩=0,0b p >>1nkk X =∑(1)()(1)jt jnt jt e e f t n e -=-21()1f t t=+11ni i X X n ==∑221[1()],1,1(,)40,xy x y x y p x y ⎧+--<<⎪=⎨⎪⎩其他(1)随机向量(X 1, X 2, X 3)的特征函数;(2)设112123123,,S X S X X S X X X ==+=++,求随机向量(S 1, S 2, S 3)的特征函数;(3)121Y X X =-和232Y X X =-组成的随机向量(Y 1, Y 2)的特征函数。
随机过程习题解答(一)第一讲作业:1、设随机向量的两个分量相互独立,且均服从标准正态分布。
(a)分别写出随机变量和的分布密度(b)试问:与是否独立?说明理由。
解:(a)(b)由于:因此是服从正态分布的二维随机向量,其协方差矩阵为:因此与独立。
2、设和为独立的随机变量,期望和方差分别为和。
(a)试求和的相关系数;(b)与能否不相关?能否有严格线性函数关系?若能,试分别写出条件。
解:(a)利用的独立性,由计算有:(b)当的时候,和线性相关,即3、设是一个实的均值为零,二阶矩存在的随机过程,其相关函数为,且是一个周期为T的函数,即,试求方差函数。
解:由定义,有:4、考察两个谐波随机信号和,其中:式中和为正的常数;是内均匀分布的随机变量,是标准正态分布的随机变量。
(a)求的均值、方差和相关函数;(b)若与独立,求与Y的互相关函数。
解:(a)(b)第二讲作业:P33/2.解:其中为整数,为脉宽从而有一维分布密度:P33/3.解:由周期性及三角关系,有:反函数,因此有一维分布:P35/4. 解:(1) 其中由题意可知,的联合概率密度为:利用变换:,及雅克比行列式:我们有的联合分布密度为:因此有:且V和相互独立独立。
(2)典型样本函数是一条正弦曲线。
(3)给定一时刻,由于独立、服从正态分布,因此也服从正态分布,且所以。
(4)由于:所以因此当时,当时,由(1)中的结论,有:P36/7.证明:(1)(2) 由协方差函数的定义,有:P37/10. 解:(1)(2)当i=j 时;否则令,则有第三讲作业:P111/7.解:(1)是齐次马氏链。
经过次交换后,甲袋中白球数仅仅与次交换后的状态有关,和之前的状态和交换次数无关。
(2)由题意,我们有一步转移矩阵:P111/8.解:(1)由马氏链的马氏性,我们有:(2)由齐次马氏链的性质,有:,因此:P112/9.解:(1)(2)由(1)的结论,当为偶数时,递推可得:;计算有:,递推得到,因此有:P112/11.解:矩阵的特征多项式为:由此可得特征值为:,及特征向量:,令矩阵则有:因此有:P112/12.解:设一次观察今天及前两天的天气状况,将连续三天的天气状况定义为马氏链的状态,则此问题就是一个马氏链,它有8个状态。
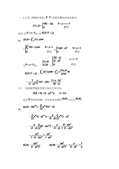
一、1.1设二维随机变量(,)的联合概率密度函数为:试求:在时,求。
解:当时,==1.2 设离散型随机变量X服从几何分布:试求的特征函数,并以此求其期望与方差。
解:所以:2.1 袋中红球,每隔单位时间从袋中有一个白球,两个任取一球后放回,对每对应随机变量一个确定的t⎪⎩⎪⎨⎧=时取得白球如果对时取得红球如果对t et t t X t 3)(.维分布函数族试求这个随机过程的一2.2 设随机过程,其中是常数,与是相互独立的随机变量,服从区间上的均匀分布,服从瑞利分布,其概率密度为试证明为宽平稳过程。
解:(1)与无关(2),所以(3)只与时间间隔有关,所以为宽平稳过程。
2.3是随机变量,且,其中设随机过程U t U t X 2cos )(=求:,.5)(5)(==U D U E.321)方差函数)协方差函数;()均值函数;((2.4是其中,设有两个随机过程U Utt Y Ut t X ,)()(32==.5)(=U D 随机变量,且数。
试求它们的互协方差函2.5,试求随机过程是两个随机变量设B At t X B A 3)(,,+=的均值),(+∞-∞=∈T t 相互独若函数和自相关函数B A ,.),()(),2,0(~),4,1(~,21t t R t m U B N A X X 及则且立为多少?3.1一队学生顺次等候体检。
设每人体检所需的时间服从均值为2分钟的指数分布并且与其他人所需时间相互独立,则1小时内平均有多少学生接受过体检?在这1小时内最多有40名学生接受过体检的概率是多少(设学生非常多,医生不会空闲)解:令()N t 表示(0,)t 时间内的体检人数,则()N t 为参数为30的poisson 过程。
以小时为单位。
则((1))30E N =。
4030(30)((1)40)!kk P N ek -=≤=∑。
3.2在某公共汽车起点站有两路公共汽车。
乘客乘坐1,2路公共汽车的强度分别为1λ,2λ,当1路公共汽车有1N 人乘坐后出发;2路公共汽车在有2N 人乘坐后出发。
第2章-随机过程习题及答案第二章随机过程分析1.1 学习指导 1.1.1 要点随机过程分析的要点主要包括随机过程的概念、分布函数、概率密度函数、数字特征、通信系统中常见的几种重要随机过程的统计特性。
1. 随机过程的概念随机过程是一类随时间作随机变化的过程,它不能用确切的时间函数描述。
可从两种不同角度理解:对应不同随机试验结果的时间过程的集合,随机过程是随机变量概念的延伸。
2. 随机过程的分布函数和概率密度函数如果ξ(t )是一个随机过程,则其在时刻t 1取值ξ(t 1)是一个随机变量。
ξ(t 1)小于或等于某一数值x 1的概率为P [ ξ(t 1) ≤ x 1 ],随机过程ξ(t )的一维分布函数为F 1(x 1, t 1) = P [ξ(t 1) ≤ x 1] (2-1)如果F 1(x 1, t 1)的偏导数存在,则ξ(t )的一维概率密度函数为1111111(,)(, ) (2 - 2)?=?F x t f x t x对于任意时刻t 1和t 2,把ξ(t 1) ≤ x 1和ξ(t 2) ≤ x 2同时成立的概率{}212121122(, ; , )(), () (2 - 3)F x x t t P t x t x ξξ=≤≤称为随机过程ξ (t )的二维分布函数。
如果2212122121212(,;,)(,;,) (2 - 4)F x x t t f x x t t x x ?=存在,则称f 2(x 1, x 2; t 1, t 2)为随机过程ξ (t )的二维概率密度函数。
对于任意时刻t 1,t 2,…,t n ,把{}n 12n 12n 1122n n ()(),(),,() (2 - 5)=≤≤≤L L L F x x x t t t P t x t x t x ξξξ,,,;,,,称为随机过程ξ (t )的n 维分布函数。
如果n n 12n 12n n 12n 12n 12n(x )() (2 - 6)?=L L L L L F x x t t t f x x x t t t x x x ,,,;,,,,,,;,,,存在,则称f n (x 1, x 2, …, x n ; t 1, t 2, …, t n )为随机过程ξ (t )的n 维概率密度函数。
F(0,x)8P{X(0)Vx} ‘031x<0;< .r < 1;M>4分P{i l0<5} = P{N(5) >10} =工it=10 e 心(12.5)*k\=i-Ek=0e"5(12.5)*V.®0.79857 (5)随机过程参考答案及评分标准一、填空(每空5分)1.才儿匚 + 2min(/] ,0)2.Vr n eT,limEIX(0-X(r n)l2 = 0 或limE I X(x + /i)-X(x) l2 = 0■ t^>t…"TO3.5at74.—24'o r二、解:(1).心0时,X(0)~ I 25 3 J(2). m * (/) = EX (/) = 1 x * + sin / x * + cos / x * = * (1 + sin / + cos t).R x (?, ,t2) = EX(/J • EX (切=1 x P { W]} + sin £ sin t2P {w2} + cos £ cos t2P {w3} = -{l + COS(r i _?2)} .......................................................................................................................Cx(t\ ,t2) = Rx(t\) —EX (G • X 律)=Rx(t[,G)-m.Y(?1)m A-(?2)= — +—008(^ -Z2)- —(sin t x +cos/] + cos t2 + sinr2)- — sinZ2(cos+sin/J.................................................................................................. 3分二、解:N⑴为何到达的顾客数,贝U N(f)~P(2.5)—2.5x5 /r\斥10 1(1)-列“⑸=吩爲诂严•(12®。
随机过程习题及部分解答习题一1.若随机过程X(/)为X(0 = A?,-oo<r<+oo,式中4为(0, 1)上均匀分布的随机变量,求X(/)的一维概率密度Px(x;t)。
2.设随机过程X(/) = 4cos(初+ 其中振幅A及角频率①均为常数,相位&是在[-兀,刃上服从均匀分布的随机变量,求X(/)的一维分布。
习题二1.若随机过程X(/)为X(t)=At -00 < r < +00 ,式中4为(0,1)上均匀分布的随机变量,求E[xa)],7?xa』2)2.给定一随机过程X(/)和常数Q,试以X(/)的相关函数表示随机过程y(0 = X(/ + a) —X(/)的自相关函数。
3.已知随机过程X(/)的均值阪⑴和协方差函数Cx (爪© , 0(/)是普通函数,试求随机过程丫⑴=X(/) + 0(/)是普通函数,试求随机过程丫⑴=X(/) + 0(/)的均值和协方差函数。
4.设X(t) = A cos at + B sin at,其中A, B是相互独立且服从同一高斯(正态)分布N(0Q2)的随机变量,a为常数,试求X(/)的值与相关函数。
习题三1.试证3.1节均方收敛的性质。
2.证明:若X(t),twT;Y(t),twT均方可微,a0为任意常数,则aX(t) + bY(t) 也是均方可微,且有[aX (?) + b Y(/)]' = aX'(/) + b Y'(/)3.证明:若X⑴,twT均方可微,/X/)是普通的可微函数,则f(Z)X(Z)均方可微且[f(ox(or-/w(o+/(ox,(o4.证明:设X⑴在[a,b]上均方可微,且X0)在[a,切上均方连续,则有X'⑴ dt = X(b) — X(a)J a5•证明,设X(t\t eT =[a,b];Y{t\t eT = [a,b]为两个随机过程,且在T上均方可积,a和0为常数,则有(*b (*b (*bf [aX(/) + 0Y(/)M = a [ Xit)dt + /3\ Y⑴ dtJ a J a J aeb rc rbaX (t)dt = X (t)dt + XQ) dt,aWcWbJ a J a Jc6.求随机微分方程X'(/) + aX ⑴二丫⑴ze[0,+oo]'X(0) = 0的X(t)数学期望E [X(0]。
西安交通大学汪荣鑫随机过程第二版课后答案------------------------------------------作者xxxx------------------------------------------日期xxxx随机过程习题解答第一章习题解答1. 设随机变量X 服从几何分布,即:(),0,1,2,k P X k pq k ===。
求X 的特征函数,EX 及DX 。
其中01,1p q p <<=-是已知参数。
解()()jtxjtk k X k f t E ee pq ∞===∑ 0()k jtkk p q e∞==∑ =0()1jtkjt k pp qe qe ∞==-∑ 又20()kk k k q qE X kpq p kq pp p∞∞======∑∑ 222()()[()]q D X E X E X P =-=(其中 00(1)nnn n n n nxn x x ∞∞∞====+-∑∑∑)令 0()(1)n n S x n x ∞==+∑则 100()(1)1xxnn k n xS t dt n t dt x x∞∞+===+==-∑∑⎰⎰22201()()(1)11(1)1(1)xn n dS x S t dt dxx xnx x x x ∞=∴==-∴=-=---⎰∑同理 2(1)2kkkk k k k k k x k x kx x ∞∞∞∞=====+--∑∑∑∑令20()(1)k k S x k x ∞==+∑ 则211()(1)(1)xkk k k k k S t dt k t dt k xkx ∞∞∞+====+=+=∑∑∑⎰)2、(1) 求参数为(,)p b 的Γ分布的特征函数,其概率密度函数为1,0()0,0()0,0p p bxb x e x p x b p p x --⎧>⎪=>>Γ⎨⎪≤⎩(2) 其期望和方差;(3) 证明对具有相同的参数的b 的Γ分布,关于参数p 具有可加性。
随机过程复习题一、填空题:1.设}),({0≥t t X 是泊松过程,且对于任意012≥>t t ,)()]()([12123t t t X t X E -=-,则15486}6)5(,4)3(,2)1({-====e X X X P ,618}4)3(|6)5({-===e X X P2. 已知马尔可夫链的状态空间为},,{321=I ,初始分布为),,(412141,⎥⎥⎥⎥⎥⎥⎥⎦⎤⎢⎢⎢⎢⎢⎢⎢⎣⎡=43410313131043411)(P 则167)2(12=P ,161}2,2,1{210====X X X P 3.强度λ的泊松过程的协方差函数},min{),(t s t s C X λ= 4.已知平稳过程)(t X 的自相关函数为πττcos )(=X R , 则)]()([)(πωδπωδπω-++=X S5.对于平稳过程X (t)若)()]()([)()(τττX R t X t X E t X t X =+>=+<以概率1成立,则称)(t X 的自相关函数具有各态历经性。
6.已知平稳过程)(t X 的谱密度为23242++=ωωωω)(S ,则)(t X 的均方值=2222- 7. 随机相位过程),cos()(Θω+=t a t X 其中ω,a 为常数,Θ为),(π20上服从均匀分布的随机变量,则0)(>=<t X ,ωττcos 2)()(2a t X t X >=+<8.设马尔可夫链},2,1,0,{ =n X n 的状态空间}1,0{=I ,则一步转移概率矩阵为⎥⎦⎤⎢⎣⎡=9.01.01.09.0P ,初始分布为)31,32()0(=p ,则2X 的分布律为 (2)P = (0.547,0.453),234(1,1,0)________P X X X ====0.099.设...)2,1,0(=n Xn是只有两个状态的齐次马氏链,其n步转移概率矩阵为⎪⎪⎪⎪⎭⎫ ⎝⎛-=n n n nD C n P 21311)(,则n n C D ==nn 21,31二、计算与证明:1.设任意相继两天中,雨天转晴天的概率为31,晴天转雨天的概率为21,任一天晴或雨是互为逆事件,以0表示晴天状态,以1表示雨天状态,nX 表示第n 天的状态(0或1)。
第三章 随机过程学习目标通过对本章的学习,应该掌握以下要点: 随机过程的基本概念随机过程的数字特征(均值、方差、相关函数);平稳过程的定义、各态历经性、相关函数和功率谱密度;高斯过程的定义和性质、一维概率密度函数;随机过程通过线性系统、输出和输入的关系;窄带随机过程的表达式和统计特性;正弦波加窄带高斯过程的统计特性;高斯白噪声及其通过理想低通信道和理想带通滤波器。
3.1 内容概要3.1.1 随机过程的基本概念随机过程是一类随时间作随机变化的过程,具有不可预知性,不能用确切的时间函数来描述。
1.定义角度一:随机过程ξ(t )是随机试验的全体样本函数{ξ1 (t ), ξ2 (t ), …, ξn (t )}的集合。
角度二:随机过程ξ(t )是在时间进程中处于不同时刻的随机变量的集合。
这说明,在任一观察时刻t 1,ξ(t 1)是一个不含t 变化的随机变量。
可见,随机过程具有随机变量和时间函数的特点。
研究随机过程正是利用了它的这两个特点。
2.分布函数和概率密度函数 一维分布函数:ξ(t )在11111(,)[()]F x t P t x ξ=≤含义:随机过程ξ(t )在t 1时刻的取值ξ(t 1)小于或等于某一数值x 1的概率。
如果存在1111111),(),(x t x F t x f ∂∂=则称111(,)f x t 为ξ(t )的一维概率密度函数。
同理,任意给定12n t t t T ∈ ,,,,则ξ(t )的n 维分布函数为{}12121122(,,,;,,)(),(),,()n n n n n F x x x t t t P t x t x t x ξξξ=≤≤≤如果此能在n21n 21n 21n n n 21n 21n x )t x ()t x (∂∂∂∂= x x t t x x F t t x x f ,,,;,,,,,,;,,,则称其为ξ(t )的n 维概率密度函数。
显然,n 越大,对随机过程统计特性的描述就越充分。
第一章随机过程的基本概念1.设随机过程X(t)=X cosω0t,-∞ <t< +∞,其中ω0是正常数,而X是标准正态变量。
试求X(t)的一维概率分布解:∵当cosω0t=0 即ω0 t =(k + 1)π 即t=1(k+1)π时2 ω0 2p{x(t)=0}=1若 c o ωs0t≠ 0 即t ≠1 (k+ 1 )π时2ω0F (x, t)= P{X (x)≤ x}= P{X cosω0t ≤ x} 当 c o ωs0t> 0 时此时若 c o ωs0t同理有⎧ x ⎫ 1 x - ξ 22F (x, t)= P⎨X ≤ ⎬ = cosω0t e dξ⎩ cosω0t ⎭ 2π⎰0∂F (x, t ) 1 - x2 1f (x, t)= = e 2 c o 2sω 0t⋅∂x c o sω0tπ< 0 时⎧ x ⎫ ⎧ x ⎫F (x, t)= P⎨X ≥ ⎬ = 1 -P⎨x< ⎬⎩ cosω0t⎭ ⎩ cosω0t⎭1 x e- ξ 2= 1 - cosω0t 2 dξ⎰0- x21f (x, t)= - 2 c o 2sω t ⋅c o ωs0t综上当:cosω0t≠0 即t ≠1 (k+ 1 )π时ω0 21 1 - x2f (x, t) e 2 cos2 ω0t| cosω0 t |π2.利用投掷一枚硬币的试验,定义随机过程为⎧cos πt , 出现正面X (t ) = ⎨⎩ 2t , 出现反面1假定“出现正面”和“出现反面”的概率各为 1 2 。
试确定 X (t ) 的一维分布函数 F (x , 2)和 F (x ,1) ,以及二维分布函数 F (x 1 , x 2 ;12 ,1)解:(1)先求 F (x , 1 )2⎧ π 出现正面 ⎧0⎛ 1 ⎫ ⎪cos 2 , 出现正面显然 X⎪ = ⎨= ⎨1出现反面 ⎝ 2 ⎭ ⎪2 - , 出现反面 ⎩12⎩⎛ 1 ⎫随机变量 X ⎪ 的可能取值只有 0,1 两种可能,于是⎝ 2 ⎭⎧ ⎛ 1 ⎫ ⎫ 1⎧ ⎛ 1 ⎫⎫ 1 P ⎨X⎪ = 0⎬ =P ⎨X⎪ = 1⎬ =⎩ ⎝ 2 ⎭⎭ 2 ⎩ ⎝ 2 ⎭⎭ 2所以⎧ 0 x < 0⎛1 ⎫ ⎪ 1F x ,⎪ =⎨ 0 ≤ x < 1⎝2 ⎭ 2⎪1 x ≥ 1⎩再求 F (x ,1)⎧cos π 出现正面 ⎧-1 出现正面显然 X (1) = ⎨= ⎨⎩2出现反面 ⎩2出现反面p {X (1) = -1}= p {X (1) = 2}= 12所以⎧0x < -1⎪ 1F (x ,1) = ⎪-1 ≤ x < 2⎨ 2⎪⎪1x ≥ 2⎩1(2) 计算 F (x 1 , x 2 ; 2 ,1)1 0 出现正面-1 出现正面X () = ⎨出现反面, X (1) = ⎨出现反面2⎩1⎩2于是⎛ 1 ⎫⎧ ⎛ 1 ⎫ ⎫ F x x 1 , x 2 ; ,1⎪ =p ⎨X ⎪ ≤ x 1 ; X (1) ≤ x 2 ⎬⎝2 ⎭⎩⎝ 2 ⎭⎭⎧0 x 1 < 0- ∞ < x 2 < +∞⎪或 x 1 ≥ 0, x 2 < -1⎪⎪ 10 ≤ x 1 < 1, 2 ≤ x 2= ⎨2 ⎪ 或 x 1> 1,⎪ -1 ≤ x 2 < 2⎪⎩1x 1 > 1,x 2 ≥ 23.设随机过程 {X (t ),-∞ < t < +∞}共有三条样本曲线X (t,ϖ1 ) = 1, X (t,ϖ 2 ) = sin t , X (t,ϖ 3 ) = cos t且 p(ϖ1 ) = p(ϖ 2 ) = p(ϖ 3 ) = 1 , 试求随机过程 X (t ) 数学期望 EX(t) 和相关函数3 R x (t 1,t 2)。