【精准解析】甘肃省甘南藏族自治州合作第一中学2019-2020学年高二上学期9月月考地理试题
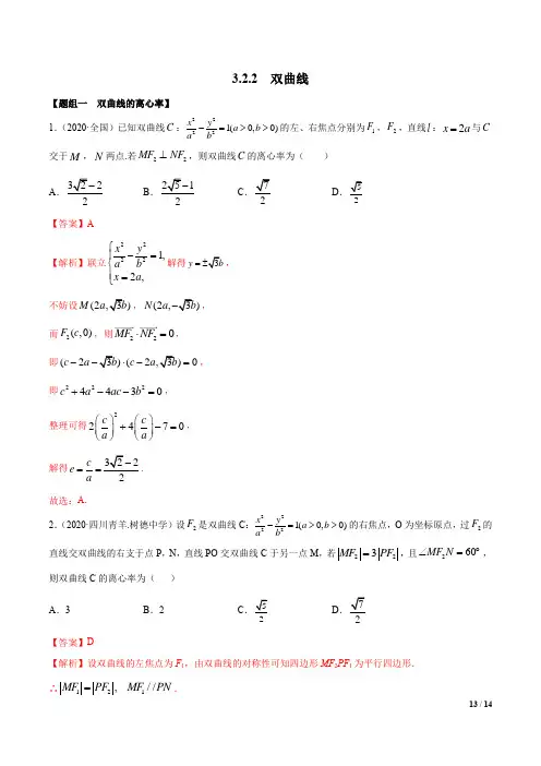
- 格式:pdf
- 大小:502.72 KB
- 文档页数:12
甘肃省甘南藏族自治州合作第一中学2019-2020学年高二上学期期中考试文科地理试题1.下列各项,不属于长江三角洲和松嫩平原共性的是()A. 都是平原地区B. 都位于我国的东部季风区C. 都位于入海口处D. 土壤都比较肥沃『答案』C『解析』长江三角洲和松嫩平原都是平原地区,A是共性。
都位于我国的东部季风区,B是共性。
土壤都比较肥沃,D是共性。
但松嫩平原不是位于入海口处,C不属于共性,符合题意。
故选C。
2.有关这两个区域农业生产活动的说法不正确的是()A. 长江三角洲属于水田耕作业,主要种植水稻。
B. 松嫩平原发展旱地耕作业,主要种植玉米、春小麦、大豆等作物。
C. 长江三角洲的作物熟制以两年三熟为主,松嫩平原则一年一熟。
D. 长江三角洲畜牧业较为发达;松嫩平原的西部降水适宜发展水产业。
『答案』C『解析』长江三角洲属于水田耕作业,主要种植水稻,A描述正确。
松嫩平原纬度较高,为发展旱地耕作业,主要种植玉米、春小麦、大豆等作物,B描述正确。
长江三角洲的作物熟制以两年三熟为主,松嫩平原则一年一熟,C描述正确。
长江三角洲农业以种植水稻为主,松嫩平原的西部降水少,适宜发展畜牧业,D描述不对。
故本题『答案』为D。
3. 下列有关长江三角洲地区的叙述,正确的是()A. 有较丰富的石油等矿产资源B. 是我国的重化工业基地C. 是全国最大侨乡所在地D. 位于我国沿海航线的中枢,又是长江入海的门户,对内、对外联系方便『答案』D『解析』长江三角洲矿产资源贫乏;是我国综合性工业基地;不是中国的侨乡,中国侨乡在珠江三角洲;位于我国沿海航线的中枢,又是长江入海的门户,对内、对外联系方便。
所以本题选择D选项。
地理环境对人类活动的影响具有明显的阶段性。
读“华北平原地区人类活动分布图”,回答下面小题。
4. 在采集和狩猎阶段,人类活动主要集中在( )A. 山麓和丘陵地带B. 平坦肥沃的平原地带C. 矿产资源丰富地带D. 沿海海运发达地带5. 在工业社会阶段,下列地区可能不会成为人类活动主要集中分布区的是( )A. 矿产资源的数量、质量及其组合状况优越的地区B. 位于沿海或海岛,可以充分利用港口优势的地区C. 丰富的自然资源和有利的自然条件紧密结合的地区D. 大江大河的源头、三角洲、盆地,水热条件组合好的地区『答案』4. A 5. D『解析』该题考查区域不同发展阶段地理环境的影响。
合作一中2019-2020学年第一学期期中高二(理科)地理试卷命题人:刘静审题人:白旭明时间:50分钟分值:100分一、选择题(每题3分,共60分)区域是客观存在的,具有一定的范围和界线,有的界线明确,有的具有一定的过渡性或模糊性,如图所示。
据此完成。
1. 图示区域的客观性主要表现在()A. 地理差异是划分的基础,是地球表面的空间单位B. 区域是人们按照一定的指标和方法划分出来的C. 人们划分的目的不同D. 因研究的需要,区域是发展变化的2. 与图示区域A的边界类型相同的是()①行政区②政治文化区③热量带④干湿区⑤三江平原⑥山东省和青岛市A. ①②③B. ④⑤⑥C. ①⑥D. ③④⑤【答案】1. A 2. C【解析】试题分析:【1题详解】区域是人们根据需要、按照一定的指标和方法划分出来的,是地球表面的空间单位。
区域的客观性主要是地理差异。
【2题详解】文化区、热量带、干湿区、三江平原其边界都有一定的过渡性。
只有行政区有明确的界线。
故①⑥符合。
考点:本题考查区域的划分和基本特征。
点评:本题难度一般,学生只要掌握区域划分的基本标准和区域的主要特征等基础内容即可。
对于此类试题,学生只要能调用课本的基础知识分析即可。
地理信息技术是指获取、管理、分析、应用地理空间信息的技术总称,主要包括遥感技术、全球定位系统、地理信息系统等,它们各自侧重功能作用不一,但是都广泛应用于区域地理研究中。
完成下列各题.3. 水稻是亚洲主要的粮食作物,病虫害防治是保障其高产稳产的重要措施,实时监测和预报水稻病虫害灾情所运用的地理信息技术是 ( )A. 全球定位系统、数字地球B. 遥感技术、地理信息系统C. 地理信息系统、数字地球D. 遥感技术、全球定位系统4. 从某一时刻的遥感影像图中,不能获取的信息是 ( )A. 森林火灾面积B. 土地干旱程度C. 河流的洪峰流量D. 植物病虫害程度【答案】3. B 4. C【解析】【3题详解】遥感是从远距离感知目标反射或自身辐射的电磁波、可见光、红外线对目标进行探测和识别的技术,所以对病虫害灾情的实时监测运用的是RS技术。
合作一中2019-2020学年第一学期期末考试高二文科数学试卷 命题人: 审题人: 时 间:120分钟 分 值:150分一、选择题(本大题共12小题,每小题5分,共60分)1.抛物线281x y -=的准线方程是( )A . 321=xB .321=yC . 2=yD .2-=y 2. “x=1”是“0232=+-x x ”的 ( )A.充分不必要条件B.必要不充分条件C.充要条件D.既不充分也不必要条件3.给出命题:p :3>5,q :4∈{2,4},则在下列三个复合命题:“p ∧q ”,“p ∨q ”,“⌝p ”中,真命题的个数为( )A. 0B. 3C. 2D. 14.已知命题:p x ∀∈R ,02>x ,则( )A .:p x ⌝∃∈R ,02<xB .:p x ⌝∀∈R ,02<xC .:p x ⌝∃∈R ,x 2≤0D .:p x ⌝∀∈R ,x 2≤05.如果椭圆13422=+y x 上一点p 到焦点1F 的距离等于3,那么点p 到另一个焦点2F 的距离是( )A .4B .3C .2D .16.椭圆122=+my x 的焦点在y 轴上,长轴长是短轴长的两倍,则m 的值为( )A .2B .21C .41 D .47.抛物线px y 22=的焦点与椭圆1162522=+y x 的左焦点重合,则p 的值为( )A .6B .-6C .-4D .48.已知双曲线C :22x a -22y b =1的焦距为10 ,点P (2,1)在C 的渐近线上,则C 的方程为( )A .220x -25y =1 B.25x -220y =1 C.280x -220y =1 D.220x -280y =1 9. 已知函数9x 3ax x )x (f 23-++=在3x -=时取得极值, 则=a ( )A. 2B. 3C. 4D. 510.曲线x x x f ln )(= +2在点1=x 处的切线方程为( )A. 22+=x yB. 22-=x yC. 1-=x yD. 1+=x y11.已知()f x 的定义域为R ,()f x 的导函数()'f x 的图象如所示,则( )A .()f x 在1x =处取得极小值B .()f x 在1x =处取得极大值C .()f x 是R 上的增函数D .()f x 是(),1-∞上的减函数,()1,+∞上的增函数 12. 已知某生产厂家的年利润y (单位:万元)与年产量(单位:万件)的函数关系式为31812863y x x =-+-,则该生产厂家获取的最大年利润为( )A.300万元B.252万元C.200万元D.128万元第II 卷二、填空题(每小题5分,共20分)13.有一机器人的运动方程为21()s t t t=+ (t 是时间,是位移),则该机器人x y1o在时刻1t =时的瞬时速度为________.14. 若函数sin ()x f x x =的导函数为'()f x ,则'()f π________.15.曲线3x y =在点)1,1(处的切线与x 轴、直线2=x 所围成的三角形的面积为 .16.右图是抛物线形拱桥,当水面在l 时,拱顶离水面2米,水面宽4米,水位下降1米后,水面宽 米.三、解答题(17题10分,其余每题12分)17.(本小题满分10分)已知p :方程012=++mx x 有两个不等的实数根,q :方程01)2(442=+-+x m x 无实根.若p 或q 为真,p 且q 为假,求实数m 的范围.18.(本小题满分12分)已知椭圆13422=+y x (1)过椭圆右焦点作垂直于x 轴的直线AB ,交椭圆于A,B 两点,F 1是椭圆的左焦点,求三角形AF 1B 的周长;(2)已知点P 是椭圆13422=+y x 上一点,且以点P 及焦点21F F 、为顶点的三角形的面积等于1,求点P 坐标.19.(本小题满分12分) 过双曲线221x y -=的右焦点F 作倾斜角为600的直线l ,交双曲线于A 、B 两点,(1)求双曲线的离心率和渐近线;(2)求|AB|.20.(本小题满分12分) 过抛物线y 2=4x 的焦点作直线AB 交抛物线于A 、B ,求AB 中点M 的轨迹方程。
绝密★启用前2019-2020学年甘肃省甘南藏族自治州高二上学期期末考试数学(理)试题注意事项:1、答题前填写好自己的姓名、班级、考号等信息 2、请将答案正确填写在答题卡上 一、单选题1.已知,αβR ∈,则“αβ=”是“tan tan αβ=”的 ( )A .充分不必要条件B .必要不充分条件C .充要条件D .既不充分也不必要条件答案D 解: 若2παβ==则tan ,tan αβ不存在,若tan tan αβ=,可得k απβ=+,故选D2.命题“若21x <,则11x -<<”的逆否命题是( ) A .若21x ≥,则1x ≥且1x ≤- B .若11x -<<,则21x < C .若1x >或1x <-,则21x > D .若1x ≥或1x ≤-,则21x ≥答案D根据逆否命题的定义即可写出原命题的逆否命题. 解:根据逆否命题的定义知,原命题的逆否命题为: 若1x ≤-,或1x ≥,则21x ≥. 故选:D. 点评:考查逆否命题的定义,以及写出原命题的逆否命题的方法.3.向量()1,0,1a =-r ,()1,2,3b =r ,若ka b -r r与b r 垂直,则实数k =( )A .6B .-7C .7D .-6答案C首先表示出ka b -r r 的坐标,再根据ka b -r r与b r 垂直,则()0k b a b -=r r r g ,即可得解;解:解:因为()1,0,1a =-r ,()1,2,3b =r,所以()1,2,3ka b k k -=----r r因为ka b -r r与b r 垂直,所以()0k b a b -=r r r g ,即()()()1122330k k --⨯+-⨯+-⨯=,解得7k =, 故选:C 点评:本题考查空间向量的坐标运算,向量垂直的坐标表示,属于基础题. 4.如果命题“p ∨q ”与命题“┓p ”都是真命题,那么( ) A .命题p 不一定是假命题 B .命题q 一定为真命题 C .命题q 不一定是真命题 D .命题p 与命题q 的真假相同答案B 因为是真命题,所以一定为假命题,所以只有为真命题时才为真,选B5.空间直角坐标中A(1,2,3),B(-1,0,5),C(3,0,4),D(4,1,3),则直线AB 与CD 的位置关系是( ) A .平行 B .垂直 C .相交但不垂直 D .无法确定答案A由已知得AB u u u r =(﹣2,﹣2,2),CD uuu r =(1,1,﹣1),AB u u u r =﹣2CD uuu r,从而得到直线AB 与CD 平行. 解:∵空间直角坐标系中,A (1,2,3),B (﹣1,0,5),C (3,0,4),D (4,1,3), ∴AB u u u r =(﹣2,﹣2,2),CD uuu r=(1,1,﹣1),∴AB u u u r=﹣2CD uuu r ,∴直线AB 与CD 平行. 故选:A . 点评:本题考查空间两直线的位置关系的判断,是基础题,解题时要认真审题.6.若平面α,β的法向量分别为1,1,32a ⎛⎫=-- ⎪⎝⎭r ,()1,2,6b =-r,则( )A .//αβB .α与β相交但不垂直C .αβ⊥D .//αβ或α与β重合答案A可判断两个平面的法向量共线,根据法向量平行可知两平面平行. 解:解:因为平面α,β的法向量分别为1,1,32a ⎛⎫=-- ⎪⎝⎭r ,()1,2,6b =-r即2a b =-r r,所以//a b r r所以//αβ 故选:A 点评:本题考查了空间向量在立体几何中的应用问题,属于基础题. 7.抛物线y 2=-ax 的准线方程为x =-2,则a 的值为( ) A .4 B .-4 C .8 D .-8答案D由抛物线22y px =的准线方程为2px =-,结合题意,即可求得a 的值. 解:因为22y px =的准线方程为2p x =-, 所以由2y ax =-的准线方程为2x =-,得24a=-, 所以8a =-,故选D. 点评:本题考查的是抛物线的简单性质,掌握抛物线22y px =的准线方程为2px =-,是解题的关键,属于基础题目.8.三棱锥A BCD -中,2AB AC AD ===,90BAD ∠=︒,90BAC ∠=︒,则AB CD ⋅u u u r u u u r等于( )A .0B .2C .23-D .23答案A根据所给的条件把三棱锥底边上的向量写成两条侧棱的差,进行数量积的运算,这样应用的边长和角都是已知的,得到结果. 解:解:因为90BAD ∠=︒,90BAC ∠=︒ 即AB AD ⊥u u u r u u u r ,AB AC ⊥u u u r u u u r所以0AB AD AB AC ==u u u r u u u r u u u r u u u rg g()AB CD AB AD AC =-u u u r u u u r u u u r u u u r u u u r g gAB AD AB AC =-u u u r u u u r u u u r u u u r g g000=-=故选:A . 点评:本题考查平面向量的数量积的运算,本题解题的关键是把未知量转化为已知量,用侧棱做基底表示未知向量,属于基础题.9.若双曲线的左、右焦点分别为,点在双曲线上,且,则等于( )A .11B .9C .5D .3答案B 由双曲线定义得,即,解得,故选B .【考点】双曲线的标准方程和定义.10.在长方体1111ABCD A B C D -中,2AB =,2BC =,13DD =,则AC 与1BD 所成角的余弦值是( )A .0B .370C .37070-D .7070答案A建立空间直角坐标系,利用向量法能求出AC 与1BD 所成角的余弦值. 解:解:建立如图坐标系,Q 在长方体1111ABCD A B C D -中,2AB =,2BC =,13DD =,()10,0,3D ∴, ()2,2,0B ,()2,0,0A , ()0,2,0C ,∴()12,2,3BD =--u u u u r,()2,2,0AC=-u u u r .所以()()()12222300BD AC =-⨯-+-⨯+⨯=u u u u r u u u r g ,()()222122317BD =-+-+=u u u u r ,()222222AC =-+=u u u r111cos ,01722BD AC BD AC BD AC ∴<>===u u u u r u u u ru u u u r u u u r g u u u u r u u u r g ,.AC ∴与1BD 所成角的余弦值为0.故选:A .点评:本题考查异面直线所成角的余弦值的求法,是基础题,解题时要认真审题,注意向量法的合理运用,属于基础题. 11.已知抛物线的准线经过点,则抛物线焦点坐标为( )A .B .C .D .答案B 由抛物线得准线,因为准线经过点,所以,所以抛物线焦点坐标为,故答案选【考点】抛物线方程和性质.12.设F 为抛物线2:4C y x =的焦点,曲线()0ky k x =>与C 交于点P ,PF x ⊥轴,则k = A .12B .1C .32D .2答案D试题分析:由抛物线的性质可得(1,2)221kP y k ⇒==⇒=,故选D. 【考点】1、直线与抛物线;2、抛物线的几何性质;3、反比例函数.二、填空题13.已知命题1:(0),2p x R x x x∀∈≠+≥,则p ⌝:_____________. 答案1(0),2x R x x x∃∈≠+< 根据全称命题的否定是特称命题即可得到结论. 解:解:命题p 为全称命题,则命题的否定为:1(0),2x R x x x∃∈≠+<, 故答案为:1(0),2x R x x x∃∈≠+<. 点评:本题主要考查含有量词的命题的否定,属于基础题.14.过双曲线2213y x -=的右焦点且与x 轴垂直的直线,交该双曲线的两条渐近线于A ,B 两点,则AB =________.答案双曲线2213y x -=的右焦点()2,0,渐近线方程为y =,过双曲线2213y x -=右焦点且与x 轴垂直的直线,2x =,可得A B y y AB ==-=为15.已知()2,1,0a =-r ,(),0,1b k =r,若,120a b =︒r r ,则k =________.答案11-直接利用空间向量的数量积计算可得; 解:解:因为()2,1,0a =-r ,(),0,1b k =r所以a ==r b =r ()210012a b k k =+-⨯+⨯=r r g, 又,120a b =︒r r所以c 1,2os a b b a a b ⎛⎫=- ⎪⎝⎭=r r r r r gg r122k ⎛⎫-= ⎪⎝⎭,解得11k =-或11k = 因为,120a b =︒r r ,所以20a b k =<r rg ,所以11k =-,故答案为: 点评:本题考查空间向量的数量积的运算,属于基础题.16.已知为()0,1A -,当B 在曲线221y x =+上运动时,线段AB 的中点M 的轨迹方程是___________________. 答案24y x =设出M 的坐标,求出P 的坐标,动点P 在抛物线221y x =+上运动,点P 满足抛物线方程,代入求解,即可得到M 的轨迹方程. 解:解:设M 的坐标(,)x y ,由题意点B 与点(0,1)A -所连线段的中点M ,可知(2,21)B x y +,动点B 在抛物线221y x =+上运动,所以2212(2)1y x +=+,所以24y x =.所以点B 与点(0,1)A -所连线段的中M 的轨迹方程是:24y x =.故答案为:24y x =. 点评:本题考查点的轨迹方程的求法,相关点法,是常见的求轨迹方程的方法,注意中点坐标的应用,属于中档题.三、解答题17.若命题p :函数()()2212f x x a x =+-+在区间(],4-∞上是减函数,写出p ⌝,若p ⌝是假命题,求a 的取值范围. 答案(],3-∞-由题意知函数2()2(1)2f x x a x =+-+在区间(],4-∞上是减函数是真命题,从而得(1)4a --…,从而解得.解:解:p ⌝:函数()()2212f x x a x =+-+在区间(],4-∞上不是减函数.因为p ⌝为假命题,所以p 为真命题. 因此()14a --≥.故3a ≤-,即所求a 的取值范围是(],3-∞-. 点评:本题考查了复合命题的判断及二次函数的单调性的应用,属于基础题.18.椭圆的两个焦点的坐标分别为F 1(﹣2,0),F 2(2,0),且椭圆经过点(,﹣) (1)求椭圆标准方程.(2)求椭圆长轴长、短轴长、离心率. 答案(1)椭圆的标准方程为:+=1,(2)椭圆的长轴长:2,短轴长2,离心率e==.试题分析:(1)设椭圆的标准方程为+=1(a >b >0),结合两点之间距离公式,求出2a ,进而求出b ,可得椭圆标准方程.(2)由(1)中椭圆标准方程,可得椭圆长轴长、短轴长、离心率. 解:(1)设椭圆的标准方程为+=1(a >b >0),则2a=+=2,即a=,又∵c=2, ∴b 2=a 2﹣c 2=6, 故椭圆的标准方程为:+=1,(2)由(1)得: 椭圆的长轴长:2,短轴长2, 离心率e==. 【考点】椭圆的简单性质;椭圆的标准方程.19.已知空间三点()()()2,0,2,1,1,2,3,0,4A B C ---,设,a AB b AC ==u u u v u u u v v v.(1)求a v 和b v的夹角θ的余弦值;(2)若向量ka b +v v与2ka b -vv互相垂直,求k 的值. 答案(1)10;(2)52k =-或2k =.(1)利用向量夹角公式即可得出;(2)利用两个向量互相垂直,其数量积为0,可得关于k 的方程. 解:(1,1,2)(2,0,2)(1,1,0)a AB ==---=r u u u r, (3,0,4)(2,0,2)(1,0,2)b AC ==---=-r u u u r.(1)10cos ||||25a b a b θ⋅===⨯r r r r所以a r 与b r 的夹角θ的余弦值为10.(2),,01,)0,21,,()()(2ka b k k k k +=+-=-r r,2,,02,)0,42,,()()(4ka b k k k k -=--=+-r r,所以()()21,,22,,(4)()1280k k k k k k k -⋅+-=-++-=,即22100k k +-=, 所以52k =-或2k =. 点评:本题考查空间向量的夹角、数量积运算、共线向量定理,求解时要充分利用平面向量已有的知识进行问题类比求解,考查基本运算求解能力.20.过双曲线22136x y -=的右焦点F 2,倾斜角为30°的直线交双曲线于A ,B 两点,O为坐标原点,F 1为左焦点. (1)求|AB |; (2)求△AOB 的面积. 答案(1(2(1)联立方程,利用韦达定理直接利用弦长公式得到答案. (2)求原点到直线的距离,再利用面积公式得到答案. 解:解:(1)由双曲线的方程得a b ==3c ==,F 1(-3,0),F 2(3,0).直线AB的方程为3)y x =-. 设A (x 1,y 1),B (x 2,y 2),由22(3)3136y x x y ⎧=-⎪⎪⎨⎪-=⎪⎩消去y 得5x 2+6x -27=0. ∴1265x x +=-,12275x x ⋅=-. ∴AB ===(2)直线AB30y --=. ∴原点O到直线AB的距离为32d ==.∴113||222AOB S AB d =⋅==V 点评:本题考查了弦长和面积,是圆锥曲线里面的常规题型,意在考查学生的计算能力.21.已知椭圆C 的两个焦点分别为()()121,0,1,0F F -,短轴的两个端点分别为12,B B . (Ⅰ)若112F B B ∆为等边三角形,求椭圆C 的方程;(Ⅱ)若椭圆C 的短轴长为2,过点2F 的直线l 与椭圆C 相交于,P Q 两点,且11F P FQ ⊥u u u v u u u v ,求直线l 的方程. 答案(Ⅰ)2214133x y +=;(Ⅱ)10x +-=或10x -=. 解:试题分析:(1)由112F B B ∆为等边三角形可得a=2b ,又c=1,集合222a b c =+可求22,a b ,则椭圆C 的方程可求;(2)由给出的椭圆C 的短轴长为2,结合c=1求出椭圆方程,分过点F2的直线l 的斜率存在和不存在讨论,当斜率存在时,把直线方程和椭圆方程联立,由根与系数关系写出两个交点的横坐标的和,把 11F P FQ ⊥u u u r u u u r 转化为数量积等于0,代入坐标后可求直线的斜率,则直线l 的方程可求 试题解析:(1)112F B B ∆为等边三角形,则2222222433{{{1113a ab bc a b c b =-==⇒⇒-=== 椭圆C 的方程为:223314x y +=; (2)容易求得椭圆C 的方程为2212x y +=, 当直线l 的斜率不存在时,其方程为1x =,不符合题意;当直线的斜率存在时,设直线l 的方程为()1y k x =-,由()221{12y k x x y =-+=得()()2222214210k x k x k +-+-=,设()()1122,,,P x y Q x y , 则()22121222214,2121k k x x x x k k -+==++, ()()1111221,,1,F P x y FQ x y =+=+u u u r u u u r ∵11F P FQ ⊥u u u r u u u r , ∴11·0F P FQ u u u r u u u r =,即()()()()()2121212121211111x x y y x x x x k x x +++=++++--()()()22221212271111021k k x x k x x k k -+--+++==+= 解得217k =,即77k =±, 故直线l 的方程为710x y +-=或710x y --=.【考点】1.椭圆的标准方程及其性质;2.直线与椭圆的位置关系.22.如图,在直三棱柱111ABC A B C -中,3AC =,4BC =,5AB =,14AA =.(1)证明:1AC BC ⊥;(2)求二面角1C AB C --的余弦值大小.答案(1)见解析(2334 (1)根据AC ,BC ,1CC 两两垂直,建立如图以C 为坐标原点,建立空间直角坐标系C xyz -,写出点的坐标,根据两个向量的数量积等于0,证出两条直线互相垂直.(2)求出两个面的法向量,求两个法向量的夹角的余弦值,即可得到答案. 解:Q 直三棱柱111ABC A B C -,底面三边长3AC =,4BC =,5AB =,AC ∴,BC ,1CC 两两垂直.如图以C 为坐标原点,建立空间直角坐标系C xyz -,则11(0,0,0),(3,0,0),(0,0,4),(0,4,0),(0,4,4)C A C B B(1)Q (3,0,0)AC =-u u u r ,1(0,4,4)BC =-u u u u r ,∴10AC BC =u u u r u u u u r g ,故1AC BC ⊥。
合作一中2019-2020学年第一学期期末考试高二文科数学试卷一、选择题(本大题共12小题,每小题5分,共60分)1.抛物线218y x =-的准线方程是( ) A. 2y = B. 2y =-C. 132x =D. 132y =【答案】A 【解析】 【分析】将方程化成标准式,即可由抛物线性质求出准线方程. 【详解】抛物线218y x =-的标准方程是:28x y =-,28,4p p ==, 所以准线方程是22py ==,故选A . 【点睛】本题主要考查抛物线的性质应用. 2.“x =1”是“2320x x -+=”的( ) A. 充分不必要条件 B. 必要不充分条件 C. 充要条件 D. 既不充分也不必要条件【答案】A 【解析】 【分析】将1x =代入232x x -+可判断充分性,求解方程2320x x -+=可判断必要性,即可得到结果. 【详解】将1x =代入232x x -+中可得1320-+=,即“1x =”是“2320x x -+=”的充分条件;由2320x x -+=可得()()120x x --=,即1x =或2x =,所以“1x =”不是“2320x x -+=”的必要条件, 故选:A【点睛】本题考查充分条件和必要条件的判定,属于基础题.3.给出命题:p :3>5,q :4∈{2,4},则在下列三个复合命题:“p ∧q ”,“p ∨q ”,“⌝p ”中,真命题的个数为( ) A. 0 B. 3C. 2D. 1【答案】C 【解析】 【分析】 先判断命题p ,q的真假,再判断复合命题的真假.【详解】由题,命题p 为假命题;命题q 为真命题, 所以p q ∧为假命题;p q ∨为真命题;p ⌝为真命题, 故真命题有2个, 故选:C【点睛】本题考查复合命题真假的判断,属于基础题. 4.设命题:,20x p x R ∀∈>,则⌝p 为( ) A. ,20x x R ∀∈≤ B. ,20x x R ∀∈< C. 00,20x x R ∃∈≤D. 00,20x x R ∃∈>【答案】C 【解析】 【分析】根据全称命题的否定的结构形式写出其否定即可.【详解】命题:,20xp x R ∀∈>的否定为:00,20x x R ∃∈≤,故选:C.【点睛】全称命题的一般形式是:x M ∀∈,()p x ,其否定为(),x M p x ∃∈⌝.存在性命题的一般形式是x M ∃∈,()p x ,其否定为(),x M p x ∀∈⌝.5.如果椭圆22143x y +=上一点P 到焦点1F 的距离等于3,那么点P 到另一个焦点2F 的距离是( ) A. 4 B. 3C. 2D. 1【答案】D 【解析】【分析】由椭圆的定义可知122PF PF a +=,即可求解.【详解】由椭圆的标准方程可知2a =,根据椭圆的定义可知1224PF PF a +==, 因为13PF =, 所以21PF =, 故选:D【点睛】本题考查椭圆的定义的应用,属于基础题.6.椭圆221x my +=的焦点在y 轴上,长轴长是短轴长的两倍,则m 的值为( ) A.14B.12C. 2D. 4【答案】A 【解析】【详解】试题分析:将其方程变为标准方程为2211y x m+=,根据题意可得,11m >,且14m=,解得14m=,故A 正确. 考点:椭圆的方程及基本性质7.抛物线22y px =的焦点与椭圆2212516x y +=的左焦点重合,则p 的值为( )A. 6B. -6C. -4D. 4【答案】B 【解析】 【分析】由椭圆的标准方程可得左焦点为()3,0-,则32p=-,即可求得p . 【详解】由题,由椭圆的标准方程可知,2229c a b =-=,即3c =,所以左焦点为()3,0-,又抛物线22y px =的焦点与()3,0-重合,所以32p=-,所以6p =-, 故选:B【点睛】本题考查椭圆的焦点的应用,考查抛物线的标准方程.8.已知双曲线C :22x a -22y b=1的焦距为10 ,点P (2,1)在C 的渐近线上,则C 的方程为A. 220x -25y =1B. 25x -220y =1C. 280x -220y =1D.220x -280y =1【答案】A 【解析】【详解】由题意得,双曲线的焦距为10,即22225a b c +==, 又双曲线的渐近线方程为by x a=0bx ay ⇒-=,点1(2)P ,在C 的渐近线上, 所以2a b =,联立方程组可得,所以双曲线的方程为22=1205x y -.考点:双曲线的标准方程及简单的几何性质.9.若函数32()39f x x ax x =++-在3x =-时取得极值,则a =( ) A. 2 B. 3 C. 4 D. 5【答案】D 【解析】 【分析】对函数求导,根据函数在3x =-时取得极值,得到()30f '-=,即可求出结果. 【详解】因为()3239f x x ax x =++-,所以()2323f x x ax =++',又函数()3239f x x ax x =++-在3x =-时取得极值,所以()327630f a -=-+=',解得5a =. 故选D【点睛】本题主要考查导数的应用,根据函数的极值求参数的问题,属于常考题型.10.曲线()ln f x x x =+2在点1x =处的切线方程为( ) A. 22y x =+ B. 22y x =-C. 1y x =-D. 1y x =+【答案】D 【解析】 【分析】先求导可得()ln 1f x x '=+,则()11f k '==,()12f =,再由点斜式方程求解即可. 【详解】由题,()ln 1f x x '=+,设切线斜率为k , 所以()11f k '==,()12f =,所以切线方程为21y x -=-,即1y x =+, 故选:D【点睛】本题考查利用导数求在曲线上一点处的切线方程,属于基础题.11.已知()f x 的定义域为R ,()f x 的导函数()f x ¢的图象如所示,则( )A. ()f x 在1x =处取得极小值B. ()f x 在1x =处取得极大值C. ()f x 是R 上的增函数D. ()f x 是(),1-∞上的减函数,()1,+?上的增函数【答案】C 【解析】 【分析】由导函数图象可知()0f x ¢³在R 上恒成立,即()f x 在R 上单调递增,即可判断选项.【详解】由图可得,()0f x ¢³在R 上恒成立,即()f x 在R 上单调递增,故C 正确、D 错误;所以()f x 没有极值,故A 、B 错误; 故选:C【点睛】本题考查导函数图象的应用,属于基础题.12.某生产厂家的年利润y (单位:万元)与年产量x (单位:万件)的函数关系式为31812863y x x =-+-,则该生产厂家获取的最大年利润为( )A. 300万元B. 252万元C. 200万元D. 128万元【答案】C 【解析】 【分析】求得函数的导数,得到函数的单调性,进而求解函数的最大值,即可得到答案.【详解】由题意,函数31812863y x x =-+-,所以281y x '=-+,当09x <<时,0y '>,函数()f x 为单调递增函数; 当9x >时,0y '<,函数()f x 为单调递减函数,所以当9x =时,y 有最大值,此时最大值为200万元,故选C.【点睛】本题主要考查了利用导数研究函数的单调性与最值问题,其中解答中熟记函数的导数在函数中的应用,准确判定函数的单调性是解答的关键,着重考查了推理与计算能力,属于基础题.第II 卷二、填空题(每小题5分,共20分)13.有一机器人的运动方程为21()s t t t=+ (t 是时间,s 是位移),则该机器人在时刻1t =时的瞬时速度为________. 【答案】1 【解析】 【分析】根据题意,对21()s t t t=+进行求导,然后代入即可得到答案.【详解】由题意知21()s t t t=+,则21()2s t t t ='-, 当1t =时,21(1)2111v s ==⨯-=',即该机器人在1t =是的瞬时速度为1. 【点睛】本题主要考查了导数的几何意义,函数的瞬时变化率的应用去,其中极大中正确理解瞬时变化率的概念,以及求出函数的导数,准确计算是解答的关键,着重考查了推理与计算能力,属于基础题. 14.若函数sin ()x f x x=的导函数为'()f x ,则'()f π=________. 【答案】1π-【解析】 【分析】由题意,求得函数导数为2cos sin ()x x xf x x⋅-=',即可求解()f π'的值. 【详解】由题意,函数sin ()x f x x =的导数为2cos sin ()x x xf x x⋅-=', 所以22cos sin 1()f ππππππππ⋅-'-===- 【点睛】本题主要考查了导数的运算与求值问题,其中解答中熟记导数的运算法则,准确求出函数的导数是解答的关键,着重考查了推理与计算能力,属于基础题.15.曲线y=x 3在点(1,1)处的切线与x 轴、直线x=2所围成的三角形的面积为__________ 【答案】83【解析】试题分析:曲线的方程是:3y x =所以2'3y x =,令x=1,则在点(1,1)的切线斜率是:k=3,切线方程是:y-1=3(x-1),即:3x-y-2=0,联立方程:3x-y-2=0,x=2则y=4,令3x-y-2=0,y=0,则23x =,所以所求的面积是128(2)4233S =⨯-⨯=. 考点:1.导数的几何意义;2.利用导数研究曲线上某点切线方程.16.如图是抛物线形拱桥,当水面在l 时,拱顶离水面2米,水面宽4米,水位下降1米后,水面宽 米.【答案】26米 【解析】【详解】如图建立直角坐标系,设抛物线方程为2x my =, 将A (2,-2)代入2x my =, 得m=-2,∴22x y =-,代入B ()0,3x -得06x = 故水面宽为2626 考点:抛物线的应用三、解答题(17题10分,其余每题12分)17.已知p :方程210x mx ++=有两个不等的实数根,q :方程244(2)10x m x +-+=无实根.若p 或q 为真,p 且q 为假,求实数m 的范围. 【答案】{|2m m <-或12m <≤或}3m ≥ 【解析】 【分析】先分别求得命题p 、命题q 为真时m 的范围,再由p 或q 为真,p 且q 为假可知p 、q 一真一假,讨论求解即可.【详解】解:因为方程210x mx ++=有两个不等的实数根,即240m ∆=->, 解得2m >或2m <-,所以命题p :2m >或2m <-;因为方程244(2)10x m x +-+=无实根,即()2242440m ∆=--⨯<,解得13m <<,所以命题q :13m <<;因为p 或q 为真,p 且q 为假,则命题p 、q 一真一假; 当p 真q 假时,2m <-或3m ≥;当p 假q 真时,12m <≤, 综上,{|2m m m ∈<-或12m <≤或}3m ≥.【点睛】本题考查由复合命题的真假求参数范围,考查分类讨论思想,考查方程的根的个数与系数的关系.18.已知椭圆22143x y +=(1)过椭圆右焦点作垂直于x 轴的直线AB ,交椭圆于A ,B 两点,F 1是椭圆的左焦点,求三角形AF 1B 的周长;(2)已知点P 是椭圆22143x y +=上一点,且以点P 及焦点12F F 、为顶点的三角形的面积等于1,求点P 坐标.【答案】(1)8(2)(1)± 【解析】 【分析】(1)利用椭圆的定义求解即可; (2)先求得1222F F c ==,再由12120112PF F S F F y =⋅=V 解得01y =,进而代回椭圆的方程求解即可.【详解】解:(1)由题,2a =,根据椭圆的定义可得1AF B △的周长为1112212248AF AB BF AF AF BF BF a a a ++=+++=+==;(2)由2221c a b =-=可得1222F F c ==, 设()00,P x y ,所以12120112PF F S F F y =⋅=V ,即01y =,代入22143x y +=可得03x =,所以点P为(1)± 【点睛】本题考查椭圆的定义的应用,考查椭圆的几何性质.19.过双曲线221x y -=的右焦点F 作倾斜角为60︒的直线l ,交双曲线于A 、B 两点, (1)求双曲线的离心率和渐近线; (2)求|AB |. 【答案】(1)e =y x =±(2)|AB=8|【解析】 【分析】(1)由双曲线的标准方程可得1a b ==,c =进而求解;(2)设直线l为y x =,代入双曲线方程可得2270x +-=,进而利用韦达定理和弦长公式求解即可.【详解】解:(1)因为双曲线方程为221x y -=,所以1a b ==,则c ==所以ce a==渐近线方程为y x =± (2)由(1),右焦点为),则设直线l为y x =,代入双曲线221x y -=中,化简可得2270x +-=,所以12x x +=-,1272x x ⋅=-,所以21AB x =-==【点睛】本题考查双曲线的离心率和渐近线方程,考查求弦长,考查运算能力. 20.过抛物线y 2=4x 的焦点作直线AB 交抛物线于A 、B ,求AB 中点M 的轨迹方程. 【答案】y 2=2(x -1) 【解析】 【分析】设A (x 1,y 1),B (x 2,y 2),则y 12=4x 1,y 22=4x 2,当12x x ≠时作差后整理可得(y 1+y 2)1212y y x x -⋅-=4,设AB中点M (x ,y ),根据中点公式可知y 1+y 2=2y ,再由AB MF k k =,代入(y 1+y 2)1212y y x x -⋅-=4,即可求解. 【详解】解:设A (x 1,y 1),B (x 2,y 2),则y 12=4x 1,y 22=4x 2当12x x ≠时,作差可得(y 1+y 2)(y 1-y 2)=4(x 1-x 2),即(y 1+y 2)1212y y x x -⋅-=4, 抛物线的焦点为()1,0F ,设AB 中点M (x ,y ),则y 1+y 2=2y , 所以121201AB MF y y y k k x x x --===--, 所以241y y x ⋅=-,即22(1)y x =-, 当x 1=x 2时,M (1,0)满足上式,AB 中点M 轨迹方程为y 2=2(x -1)【点睛】本题考查求轨迹方程,考查点差法的应用,考查抛物线的几何性质.21.已知函数(),x f x e x =-(1)求()f x 的单调区间;(2)求()f x 在区间[]1,2-上的最大值和最小值.【答案】(1)在(),0-?单调递减,在[)0,+∞单调递增(2)最大值22e -,最小值1 【解析】【分析】(1)求导可得()1x f x e '=-,令()0f x ¢=,可得0x =,进而讨论0x >,0x <时()f x ¢的情况即可;(2)由(1)可知()f x 在[]1,0-上单调递减,[]0,2上单调递增,则在0x =处取得最小值;再比较()1f -与()2f ,即可得到最大值.【详解】解:(1)由题,则()1x f x e '=-,令()0f x ¢=,则0x =, 当0x >时,()0f x ¢>,即()f x 在[)0,+∞单调递增; 当0x <时,()0f x ¢<,即()f x 在(),0-?单调递减,所以()f x 在(),0-?单调递减,在[)0,+∞单调递增 (2)由(1),则()f x [)1,0-上单调递减,[]0,2上单调递增,所以()()min 01f x f ==,因为()1112f e-=+<,()2222f e =->, 所以()()2max 22f x f e ==-【点睛】本题考查利用导函数判断函数的单调性,考查利用导函数求函数的最值.22.已知函数()32f x x ax bx c =-+++图像上的点()1,2P -处的切线方程为31y x =-+. (1)若函数()f x 在2x =-时有极值,求()f x 的表达式;(2)函数()f x 在区间上单调递增,求实数的取值范围. 【答案】(1)()32243f x x x x =--+-;(2)[4,)+∞.【解析】【详解】试题分析:(1)对函数()f x 求导,由题意点()1,2P -处的切线方程为31y x =-+,可得()13f '=-,再根据()11f =-,又由()20f '-=联立方程求出,,a b c 的值,从而求出()f x 的解析式.(2)由题意得函数()f x 在区间[2,0]-上单调递增,对其求导可得()f x ¢再区间[2,0]-上大于或等于0,从而求解a 的取值范围.试题解析:由题意得()232f x x ax b '=-++, 因为函数()f x 在1x =处的切线斜率为-3,所以()1323f a b +'=-+=-,又()112f a b c =-+++=-得1a b c ++=-.(1)函数f (x )在2x =-时有极值,所以()21240f a b -=-+'-=解得2a =-,b =4,c =-3所以()32243f x x x x =--+-. (2)由(1)得()1323f a b +'=-+=-,即2=-a b ,所以()23f x x bx b -'=-+因为函数f (x )在区间[-2,0]上单调递增,所以导函数()23f x x bx b -'=-+在区间[-2,0]上的值恒大于或等于零,则,得4b ≥,所以实数b 的取值范围为[4+∞)考点:导数的几何意义;导数在函数的应用.。
合作一中2019-2020学年第一学期期末考高二地理试卷命题人:白旭明审题人:刘静时间:50分钟分值:100分一、选择题读“我国三大自然区(Ⅰ、Ⅱ、Ⅲ)图”,完成下列各题。
1.地理界线P南北两侧种植业不同,主要原因是()A.地形条件不同B.水热条件不同C.土壤条件不同D.光照条件不同2.图示Ⅰ、Ⅱ、Ⅲ三大自然区划分的依据是()A.土壤与植被B.水文与植被C.地形与气候D.地形与水文【答案】1.B 2.C【解析】图中地理界线P是800mm等降水量线,是湿润区和半湿润区、亚热带和暖温带的分界线,亚热带季风气候和温带季风气候区的分界线。
南北两侧种植业不同,主要原因是水热条件不同。
三自然区大致是季风区、非季风区、青藏高寒气候区,划分依据主要是地形、气候。
【1题详解】地理界线P是800mm等降水量线,是湿润区和半湿润区、亚热带和暖温带的分界线,亚热带季风气候和温带季风气候区的分界线。
南北两侧种植业不同,主要原因是水热条件不同,B对。
两侧地形、土壤条件、光照条件差异不大,不是主要原因,A、C、D错。
【2题详解】图示Ⅰ是季风气候区,Ⅱ是非季风气候区,Ⅲ是青藏高原,地势最高,是高寒气候区,三大自然区划分的依据是地形与气候,C对。
季风气候区内的土壤、植被、水文都有差异,不是划分自然区的依据,A、B、D错。
读我国新疆(土地面积166.48万km2)荒漠化情况统计数据表,回答下面小题3.关于新疆土地荒漠化的叙述,正确的是()A.荒漠化土地面积小于非荒漠化土地面积B.荒漠化主要是滥伐林木造成的C.保护草地,合理利用草场资源是治理荒漠化的主要任务D.荒漠化发生在有人类活动的地区4.关于新疆土地荒漠化形成的叙述,正确的是()A.控制人类活动的规模和强度对防止荒漠化效果不明显B.荒漠化形成的主要原因是农田灌溉不合理C.只要人类改变了粗放经营的活动方式,就不会形成荒漠化D.荒漠化形成的主要动力是近地面水平气流【答案】3.C 4.D【解析】【3题详解】A.通过数据可以计算出荒漠化土地面积大于非荒漠化土地面积,A错误。
甘肃省甘南州合作第一中学2019-2020学年高二上学期期中考试理科试题时间:50分钟分值:100分一、选择题1.春秋战国时期,最强调“人与自然环境的和谐统一”的学派是A. 儒家B. 法家C. 道家D. 墨家『答案』C『解析』根据题干和所学知识可知,儒家荀子提倡“人定胜天”思想,A项错误;法家主张变革适应社会发展,B项错误;道家主张“无为”“人与自然和谐相处”,C项正确;墨家主张“兼爱”“非公”的思想,D项错误。
综上所述,本题正确『答案』选C。
2.荀子曰:“礼之所以正国也,譬之犹衡之于轻重也,犹绳墨之于曲直也,犹规矩之于方圆也”这说明荀子重视礼的目的是A. 规范社会秩序B. 缓和社会矛盾C. 追求精神自由D. 维护专制政权『答案』A『解析』荀子强调礼是用来“正国”的,为人民树立一定的标准,以起到规范社会秩序的目的,故选A;礼严格区分社会等级,不利于缓和社会矛盾,排除B;道家追求精神自由,不符合题意,排除C;材料以礼为人民树立一定的标准,规范社会秩序,无法体现维护专制政权,排除D。
3.许锡亮在墨家的灭绝及中国千年的悲剧中说“墨子是真正哲学中的逻辑学与认识论的创始人,也是中国科学技术的始祖,他的思想是中国宗教的萌芽,也是中国最早的民主政治的开端”其中墨子思想能够体现中国最早的民主政治的开端的是A. 兼爱B. 非攻C. 尚贤D. 节葬『答案』C『解析』墨子主张尚贤任能,具有一定的民主色彩,故选C;兼爱、非攻强调人与人之间的关爱,反对战争,节葬主张节俭,都无法体现民主主张,排除ABD。
4.有学者指出政治上结束战国是在而文化上结束战国却是在结合所学知识两处横线上所填内容是A. 唐代宋代B. 秦代汉代C. 汉代唐代D. 宋代明代『答案』B『解析』秦朝灭掉六国,完成了国家统一,政治上结束了战国时期分裂割据局面,汉代董仲舒“罢黜百家,独尊儒术”,确立了儒学的独尊地位,结束战国百家争鸣的局面,故选B;ACD不符合题意,排除。
甘肃省甘南藏族自治州合作第一中学2019-2020学年高二上学期期中物理试题一、单项选择题:共6小题。
1. 处于静电平衡的导体,内部场强处处为零的原因是()A. 导体内部无任何电场B. 外电场不能进入导体内部C. 所有感应电荷在导体内部产生的合场强为零D. 外电场和所有感应电荷的电场在导体内部叠加的结果为零【答案】C【解析】【详解】处于静电平衡的导体内部存在两个电场,一个是外加电场、一个是导体内部自己产生的感应电场,两电场叠加的合场强为零,故只有C正确.2. 电容器是一种常用的电子元件.对电容器认识正确的是()A. 电容器的电容表示其储存电荷的能力B. 电容器的电容与它所带的电量成正比C. 电容器的电容与它两极板间的电压成正比D. 电容的常用单位有μF和pF,1 μF=103pF【答案】A【解析】【详解】A.电容是表示电容器容纳电荷本领大小的物理量,电容器的电容表示其储存电荷能力,故A正确;BC.电容器的电容由电容器本身决定,与所带电荷量和板间的电压无关,故BC均错误;D.电容的常用单位有μF和pF,1F=106μF=1012PF,故D错误;3. M和N都是不带电的物体,它们互相摩擦后M带正电荷1.6×10-10C,下列判断中正确的是( )A. 在摩擦前M和N内部没有任何电荷B. 摩擦的过程中电子从N转移到了MC. N在摩擦后一定带负电荷1.6×10-10CD. M在摩擦过程中失去了1.6×10-10个电子【答案】C【解析】【详解】摩擦起电的本质是电子的转移,说明在摩擦前MN内部都有电荷,故A错误.互相摩擦后M带1.6×10-10C 正电荷,故应该是M 上1.6×10-10C 的电子转移到N 上,故B 错误.N 原来是电中性,摩擦后M上1.6×10-10C 的电子转移到N 上,故N 在摩擦后一定带1.6×10-10C 的负电荷,故C 正确.M 在摩擦过程中失去的电子数为:n =10191.610 1.610--⨯⨯=109个,故D 错误.故选C . 【点睛】解答本题应明确起电的本质,明确不带电的物体呈现电中性,而带电的原因是失去或获得电子. 4. 如图,两个带电球,大球的电荷量大于小球的电荷量,下列说法正确的是A. 两球都带正电B. 大球受到的静电力大于小球受到的静电力C. 两球都带负电D. 两球受到的静电力大小相等【答案】D【解析】 【详解】AC .根据图可知,两球之间是排斥力,只能判断两球带的电性相同,不能肯定两球都带正电还是都带负电,故AC 均错误。
2019-2020学年甘肃省甘南藏族自治州合作第一中学高二上学期期中考试数学(理)试题一、单选题1.若,,,a b c d R ∈,且,a b c d >>那么( ) A .a c b d ->- B .ac bd >C .a bd c> D .a d b c ->-【答案】D 【解析】【详解】对于A ,当a =1,b =0,c =1,d =﹣1时,则不成立,故A 不正确; 对于B ,当a =1,b =0,c =﹣1,d =﹣2时,则不成立,故B 不正确; 对于C ,当a =1,b =0,c =﹣1,d =﹣2时,则不成立,故C 不正确; 对于D ,根据不等式的性质可得,∵a >b ,c >d ,∴﹣d >﹣c ,∴a ﹣d >b ﹣c , 故选D .2.在△ABC 中,已知a =b =A =30°,则c 等于( )A .BC .D .无解【答案】C【解析】由余弦定理可得:a 2=b 2+c 2-2bccosA ,代入解出即可得出. 【详解】由余弦定理可得:2222cos a b c bc A =+-,a =b =A =30°,∴25152c =+-⨯,化为:2100c -+=,解得c =故选:C . 【点睛】本题考查余弦定理的应用,属于简单题.3.设数列{}n a 是等差数列, 若 394,8,a a == 则6a =( ) A .5 B .112 C . 6 D . 132【解析】93632864634263a a d d d a a d ==+=+∴=∴=+=+= 4.不等式23121x x x +-≥-的解集为( )A .(][),12,-∞-⋃+∞B .(]1,1,22⎛⎤-∞- ⎥⎝⎦UC .(]1,1,22⎡⎤-∞-⎢⎥⎣⎦UD .[)11,2,2⎡⎫-+∞⎪⎢⎣⎭U 【答案】D【解析】利用分式不等式和高次不等式的解法解不等式得解. 【详解】由题得2310,21x x x +--≥-所以220,21x x x --≥-所以2)(1)0,21x x x -+≥-(所以210(21)(2)(1)0x x x x -≠⎧⎨--+≥⎩,所以1122x x -≤<≥或. 故选:D 【点睛】本题主要考查分式不等式和高次不等式的解法,意在考查学生对这些知识的理解掌握水平和分析推理能力.5.ABC V 中,若a 1=,c 2=,B 60=o ,则ABC V 的面积为( )A .12B .1C D【答案】C【解析】直接利用三角形的面积公式S 1AB BC sin602=⋅⋅o 计算求解. 【详解】由题得ABC V 的面积11S AB BC sin602122=⋅⋅=⨯⨯=o 故选:C.本题主要考查三角形面积的计算,意在考查学生对该知识的理解掌握水平. 6.等比数列{}n a 中,198a =,23q =,13n a =,则n =( )A .3B .4C .5D .6【答案】B【解析】利用等比数列的通项公式代入首项和公比求得n . 【详解】等比数列{}n a 中,198a =,23q =,13n a =,∴111921833n n n a a q --⎛⎫⎪⎭==⎝=, ∴132233n -=⎛⎫⎛⎫⎪ ⎪⎝⎭⎝⎭,n −1=3,n =4; 故选B. 【点睛】本题考查等比数列通项公式及解指数方程,考查基本求解能力,属于基础题.7.不等式(a -2)x 2+2(a -2)x -4<0,对一切x ∈R 恒成立,则a 的取值范围是( ) A .(-∞,2] B .(-2,2] C .(-2,2) D .(-∞,2) 【答案】B【解析】因为不等式(a -2)x 2+2(a -2)x -4<0,对一切x ∈R 恒成立,则对二次项系数是否为零,分为两种情况来解得,求解得到a 的取值范围是(-2,2] ,选B 8.设等比数列{}n a 的前n 项和记为n S ,若105:1:2S S =,则155:S S =( ) A .34B .23C .12D .13【答案】A【解析】根据等比数列前n 项和的性质求解可得所求结果. 【详解】∵数列{}n a 为等比数列,且其前n 项和记为n S , ∴51051510,,S S S S S --成等比数列. ∵105:1:2S S =,即1051 2S S =,∴等比数列51051510,,S S S S S --的公比为105512S S S -=-, ∴()1510105511 24S S S S S -=--=, ∴15510513 44S S S S =+=, ∴1553:4S S =. 故选A . 【点睛】在等比数列{}n a 中,其前n 项和记为n S ,若公比1q ≠,则233,,,k k k k k S S S S S --L 成等比数列,即等比数列中依次取k 项的和仍为等比数列,利用此性质解题时可简化运算,提高解题的效率.9.已知△ABC 中,acosB=bcosA,则△ABC 为( ) A .等腰三角形 B .直角三角形 C .等腰或直角三角形 D .钝角三角形 【答案】A【解析】cos cos sin cos sin cos sin()00a Bb A A B B A A B A B A B ππ=⇒-=-=-<-<∴-=本题考查正、余弦定理与和差角公式。
合作一中2019—2020学年第一学期期中考试高二文科历史试卷时间:50分钟分值:100分一、选择题1.春秋战国时期,最强调“人与自然环境的和谐统一”的学派是A. 儒家B. 法家C. 道家D. 墨家【答案】C【解析】根据题干和所学知识可知,儒家荀子提倡“人定胜天”思想,A项错误;法家主张变革适应社会发展,B项错误;道家主张“无为”“人与自然和谐相处”,C项正确;墨家主张“兼爱”“非公”的思想,D项错误。
综上所述,本题正确答案选C。
点睛:解决本题的关键是“人与自然环境的和谐统一”的学派,联系所学知识可知是道家。
2.荀子曰:“礼之所以正国也,譬之犹衡之于轻重也,犹绳墨之于曲直也,犹规矩之于方圆也”这说明荀子重视礼的目的是A. 规范社会秩序B. 缓和社会矛盾C. 追求精神自由D. 维护专制政权【答案】A【解析】【详解】荀子强调礼是用来“正国”的,为人民树立一定的标准,以起到规范社会秩序的目的,故选A;礼严格区分社会等级,不利于缓和社会矛盾,排除B;道家追求精神自由,不符合题意,排除C;材料以礼为人民树立一定的标准,规范社会秩序,无法体现维护专制政权,排除D。
【点睛】解答本题的关键信息是“礼之所以正国也”,紧扣关键信息分析解答。
3.许锡亮在墨家的灭绝及中国千年的悲剧中说“墨子是真正哲学中的逻辑学与认识论的创始人,也是中国科学技术的始祖,他的思想是中国宗教的萌芽,也是中国最早的民主政治的开端”其中墨子思想能够体现中国最早的民主政治的开端的是A. 兼爱B. 非攻C. 尚贤D. 节葬【答案】C【解析】【详解】墨子主张尚贤任能,具有一定的民主色彩,故选C;兼爱、非攻强调人与人之间的关爱,反对战争,节葬主张节俭,都无法体现民主主张,排除ABD。
4.有学者指出政治上结束战国是在而文化上结束战国却是在结合所学知识两处横线上所填内容是A. 唐代宋代B. 秦代汉代C. 汉代唐代D. 宋代明代【答案】B【解析】【详解】秦朝灭掉六国,完成了国家统一,政治上结束了战国时期分裂割据局面,汉代董仲舒“罢黜百家,独尊儒术”,确立了儒学的独尊地位,结束战国百家争鸣的局面,故选B;ACD 不符合题意,排除。
甘肃省甘南藏族自治州合作第一中学2019-2020学年高二上学期期中考试理科1.下列说法或表示方法中正确的是( )A. 等质量的硫蒸气和硫固体分别完全燃烧,后者放出的热量多B. 由C(金刚石)→C(石墨)ΔH=-1.9KJ/mol可知,金刚石比石墨稳定C. 在101KPa时,2gH2完全燃烧生成液态水,放出285.8KJ热量,氢气燃烧的热化学方程式为:2H2(g)+O2(g)=2H2O(l) ΔH=+285.8KJ/molD. 稀溶液中:H+(aq)+OH-(aq)=H2O(l) ΔH= -53.7KJ/mol,若将含0.5 molH2SO4的浓溶液与含1 molNaOH的溶液混合,放出的热量大于53.7KJ『答案』D『解析』【分析】A、硫蒸气变化为硫固体为放热过程;B、物质的能量越低越稳定;C、燃烧热为放热,焓变为负值;D、浓硫酸溶于水放热。
【详解】A. 硫蒸气变化为硫固体为放热过程,则等量的硫蒸气和硫固体在氧气中分别完全燃烧,放出热量硫蒸气多,即前者放出热量多,故A错误;B. 石墨能量比金刚石低,石墨稳定,故B错误;C. 燃烧热为放热,焓变为负值,故C错误;D. 浓硫酸溶于水放热,所以0.5molH2SO4的浓硫酸与含1molNaOH的溶液混合,整个过程放出的热量大于57.3kJ,故D正确;故选D。
2.下列反应既是氧化还原反应,又是吸热反应的是( )A. 铝片与稀硫酸的反应B. Ba(OH)2·8H2O与NH4Cl的反应C. 灼热的炭与CO2的反应D. 甲烷在O2中的燃烧反应『答案』C【分析】解答本题需要了解常见化学反应的能量变化。
【详解】A. 铝片与稀硫酸的反应是置换反应,置换反应一定是氧化还原反应,但该反应为放热反应,故A错误;B. Ba(OH)2·8H2O与NH4Cl的反应涉及的反应是吸热反应,化学方程式为Ba(OH)2·8H2O+2NH4Cl===BaCl2+2NH3↑+10H2O,化合价没有变化,是非氧化还原反应,故B错误;C.该反应的化学方程式为C+CO2高温2CO,是氧化还原反应,是吸热反应,故C正确;D. 甲烷在O2中的燃烧反应是氧化还原反应,是放热反应,故D错误;『答案』选C。
甘肃省甘南藏族自治州合作第一中学2019-2020学年高二上学期9月月考1.下列反应既属于氧化还原反应,又属于吸热反应的是A. 铝片和稀盐酸反应B. Ba(OH)2·8H2O与NH4Cl的反应C. 灼热的碳与二氧化碳的反应D. 甲烷在氧气中的燃烧『答案』C『解析』『分析』根据题中属于氧化还原反应,又属于吸热反应可知,本题考查氧化还原反应的特征和常见吸热反应,运用有化合价变化的反应是氧化还原反应和常见吸热反应分析。
『详解』A. 铝片和稀盐酸属于氧化还原反应,又属于放热反应,A项错误;B. Ba(OH)2·8H2O与NH4Cl反应属于非氧化还原反应,又属于吸热反应,B项错误;C. 碳与二氧化碳的反应属于氧化还原反应,又属于吸热反应,C项正确;D. 甲烷在氧气中的燃烧属于氧化还原反应,又属于放热反应,D项错误;答案选C。
『点睛』常见吸热反应:大多数的分解反应;以C 、CO、H2为还原剂的反应;八水合氢氧化钡与氯化铵反应。
2.我国燃煤锅炉采用沸腾炉(注:通过空气流吹沸使煤粉在炉膛内呈“沸腾状”燃烧)的逐渐增多,采用沸腾炉的好处是A. 增大煤燃烧时的燃烧热并形成清洁能源B. 减少煤中杂质气体(如SO2)的形成C. 提高煤炭的热值,从而放出更多的热量D. 使燃料燃烧充分,提高燃料的利用率『答案』D『解析』『详解』A.能增大煤炭与氧气的接触面积,不会改变生成产物,燃烧热不变,不能使煤变成清洁能源,故A错误;B.反应物不变,燃烧过程不变,不能减少杂质气体(如SO2等)的形成,故B错误;C.燃烧产物不变,不能提高煤炭的热值,故C错误;D.通过空气流吹沸使煤粉在炉膛内呈“沸腾状”燃烧,这样能使煤燃烧充分,从而提高燃料的利用率,故D正确;故答案为D。
3.根据图的能量图,下列说法正确的是()A. A2(g)+B2(g)=2AB(g)是一个放热反应B. 2molAB(g)的总能量大于1mol A2(g)和1mol B2(g)的能量之和C. 1mol A2(g)和1 mol B2(g)的能量之和为a kJ•mol﹣1D. 2AB(g)═A2(g)+B2(g)△H=(a﹣b)kJ•mol﹣1『答案』B『解析』『详解』A.由图可知,反应物总能量小于生成物总能量,则A2(g)+B2(g)=2AB(g)是吸热反应,故A错误;B.由图可知,2 mol AB(g)的总能量大于1 mol A2(g)和1 mol B2(g)的能量之和,故B正确;C.由图不能确定反应物的总能量,a为正反应的活化能,故C错误;D.由图可知A2(g)+B2(g)=2AB(g)△H=(a﹣b)kJ/mol,则2AB(g)═A2(g)+B2(g)△H=(b﹣a)kJ•mol﹣1,故D错误。
合作一中2019-2020学年第一学期月考高二地理试卷第一卷(选择题共20题,每题3分,共60分)读某区域模式图,回答下列问题。
1.图中所示区域的数码代号与文化景观描述连线正确的是()A.①—梯田层层稻花香B.②—草原茫茫牧牛羊C.③—翠竹青青有人家D.④—山歌阵阵采茶忙2.关于图中各区域突出环境问题的叙述,正确的是()A.①区常绿阔叶林破坏严重B.②区水土流失面积广大C.③区泥石流、滑坡灾害频发D.⑤区土壤盐渍化普遍3.关于图中各区域河流水文特征的叙述,正确的是()A.①区河流水位季节变化小B.②区河流春汛长于夏汛C.③区河流含沙量大,有结冰期D.⑥区河流汛期短,径流量季节变化小【答案】1.D 2.B 3.C【解析】【1题详解】由图中经纬度可知④位于亚热带季风区(四川盆地及云贵高原北部),土壤呈弱酸性,适于种植茶叶,故山歌阵阵采茶忙。
D对。
梯田层层稻花香出现在南方地区;草原茫茫牧牛羊主要在内蒙古地区;翠竹青青有人家主要在南方地区;故选D。
【2题详解】由图中经纬度可知常绿阔叶林主要出现在南方地区,与题不符合;②位于黄土高原,水土流失严重,正确;泥石流、滑坡灾害主要在降水较多的山区较多,不对;土壤盐渍化主要发生在干旱、半干旱的北方地区,不对。
故选B。
【3题详解】由图中经纬度可知③位于华北平原,河流含沙量大,冬季温度低,河流有结冰期(部分地段发生凌讯现象)。
故选C。
2017年8月8日21时19分46秒在四川省北部的阿坝州九寨沟县发生7.0级地震,震源深度20公里。
据此完成下面小题。
4.人们在第一时间迅速掌握整个地震灾区建筑破坏情况,所利用的技术手段主要是()A.地理信息系统B.全球定位系统C.遥感技术D.“数字地球”系统5.上题中地理信息技术的关键装置是()A.传感器B.卫星系统C.地面装置D.信号发射装置6.在震区被困灾民开展营救行动的过程中,政府相关部门利用的地理信息技术主要是()①GIS②GPS③RS④GPRSA.①④B.②③C.③④D.①②③【答案】4.C 5.A 6.D【解析】【4题详解】地震发生后,可利用遥感技术第一时间获取震区的卫星影像图,从而为抗震救灾工作提供依据,C正确;地理信息系统主要用于地理信息的查询与分析,全球定位系统主要用于地理信息的定位与导航(突出于“点”的定位),数字地球系统是指将地理信息数字化后,利用计算机系统进行管理的一种技术。
ABD错,故选C。
【5题详解】在遥感技术中,最为关键的装置是传感器,A正确,BCD错,故选A。
【6题详解】开展营救行动的过程中,要获取被困人员的精确位置,需要用到GPS技术;获取被困人员所在区域的信息,需要利用RS技术;确定最佳救援路线,需要用到GIS技术,①②③正确;地理信息技术中无GPRS技术,④错。
故选D。
【点睛】RS、GPS、GIS技术对比总结如下表:我国幅员辽阔,地理环境差异显著,地理环境的差异导致了人类活动的差异,据此完成下面小题。
7.广东人经常喝凉茶,四川人喜欢吃麻辣。
形成这种饮食习惯差异的主要自然因素是A.植被B.土壤C.气候D.地形8.我国南方地区以水田农业为主,北方地区以旱作农业为主,西北地区发展畜牧业。
形成这种生产活动地域差异的主要自然因素是A.降水B.地形C.土壤D.热量【答案】7.C8.A【解析】【7题详解】自然环境的差异对人们的饮食文化习惯有较大的影响,广东气候炎热,四川的气候湿热,故广东人爱喝凉茶,四川人喜欢吃麻辣,这主要与其气候有关,故选C。
【8题详解】造成水田农业(800毫米以上)、旱地农业(大于400毫米、小于800毫米)和畜牧业(大于200毫米小于400毫米)分布的主要原因是降水量的差异。
地形、土壤、热量不是主要原因。
故选A。
【点睛】本题主要考查考生结合所学的自然地理知识与当地的地域文化相联系,能够正确地理解二者之间的关系,试题注重地理知识的实用性,较好地贯彻新课改理念,试题难度也不大,属于一般性的基础题目。
9.聚落的建筑风格与自然环境密切相关。
下列地区和当地民居搭配不相符的是()A.西双版纳——竹楼B.江南地区——尖顶屋C.陕北延安——窑洞D.云贵高原——蒙古包【答案】D【解析】本题考查我国的区域自然环境。
聚落的建筑风格与自然环境密切相关,无可避免地打上各地自然条件的烙印。
西双版纳气候湿热,主要以竹楼为主;延安气候干旱,立土结构,主要以-窑洞为主;江南属于亚热带地区,尖顶楼是降水丰沛地区的典型民居,故选项ABC符合题意。
蒙古包为内蒙古高原的民居风格,故D不符合。
故答案选D项。
下面两图分别为秦汉时期和明清时期黄土高原土地利用图。
读图完成下列问题。
秦汉时期黄土高原土地利用图明清时期黄土高原土地利用图10.与秦汉时期相比,明清时期黄土高原土地利用的变化及其主要原因组合合理的是()A.草地减少—过度开垦B.耕地增加—草地退化C.荒漠扩大—水土流失D.森林减少—矿山开采11.与秦汉时期相比,明清时期黄土高原土地利用的变化对图中大河下游地区自然环境的影响叙述正确的是()①河流含沙量增大②河口海岸线后退③径流季节变化减小④通航能力下降A.①②B.②③C.①④D.③④【答案】10.A11.C【解析】考查植被破坏的原因及影响。
【10题详解】由图示对比可以看出,与秦汉时期相比,明清时期黄土高原土地利用森林和草原面积减少,农业用地和沙漠面积增加,是毁林开荒、过度开垦,破坏了森林和草原。
A正确,故选A。
【11题详解】与秦汉时期相比,明清时期黄土高原土地利用森林和草原面积减少,水土流失加剧,河流含沙量增大;河床淤积,通航能力下降,①④正确;每年注入大海泥沙量增多,河口海岸线前进;河流的季节变化增大,②③错误。
故选C。
俄罗斯历史上曾在西西伯利亚平原及哈萨克丘陵北部地区组织大规模的垦荒。
在垦荒初期,人们没有考虑垦荒区的气候和土壤等自然条件特点,没有采取相应的保护措施,结果导致生态平衡失调。
读图,回答下列各题。
12.该垦荒区面临的主要生态问题是()A.森林破坏B.水土流失C.土地荒漠化D.湿地萎缩13.当地出现该生态问题的主要原因是()A.过度放牧B.过度樵采C.过度开垦D.过度灌溉【答案】12.C13.C【解析】【12题详解】该垦荒区位于温带大陆性气候区,降水较少。
不合理的垦荒易导致土地荒漠化,C对;该地降水少,湿地、森林少;水土流失主要在降水较多的地区;其余选项可排除。
【13题详解】据材料“垦荒”可知是过度开垦,C正确,其余选项可排除。
针对藏南地区江北公路沙害问题,某研究所在该地区进行石方格沙障(由石头组成的方格状拦沙设施)防风固沙效益实验,下图示意风速为11m/s时在石方格沙障干预下的风速流场。
据此完成下列各题。
14.石方格沙障能有效降低A.高空输沙量B.近地面输沙量C.地表粗糙度D.风沙活动高度15.与林木覆盖相比,石方格沙障更能A.稳固沙土B.削减风力C.减少水分蒸发D.适应恶劣环境【答案】14.B15.D【解析】【14题详解】石方格沙障使近地面风速下降,能有效降低近地面输沙量,B对。
对高空输沙量影响不大,A 错。
增加了地表粗糙度,C错。
对风沙活动高度影响不明显,D错。
据此分析选B。
【15题详解】与林木覆盖相比,石方格沙障分布区不适宜林木生长,说明石方格沙障更利于适应恶劣环境。
但石方格沙障在稳固沙土、削减风力、减少水分蒸发方面,不如林木效果好,据此分析选D。
【点睛】荒漠化的治理措施和经验干旱、半干旱流沙地区飞机播种、设置沙障固沙、钻孔深栽等造林技术世界领先宁夏中卫沙坡头采用草方格沙障。
一方面可以增加地表粗糙度。
削减风力;另一方面能截留水分,提高沙层含水量,有利于固沙植物的存活恢复自然植被是防治荒漠化的有效措施。
荒漠植物一般具有强大的耐旱力,有的根系和地下茎特别发达,以便从土壤和岩隙间吸收水分;有的茎叶具有毛或细刺;或者退化无叶,以减少蒸腾;有的具有耐盐特性。
“三北”防护林被称为世界生态工程之最。
16.下面图示区域西部山区是我国重要的林果业基地,也是重要生态保护区。
图示区域西部森林的环境效益是()①涵养水源,保持水土②防风固沙,减轻东部地区的风沙危害③净化空气,吸烟除尘④调节气候,减轻东部地区寒潮影响A.①②B.③④C.①③D.②④17.下列描述与我国西北内陆实际最不相符的是()A.气候干旱,降水少B.流水侵蚀显著,风力侵蚀微弱C.化学风化微弱,物理风化强烈D.植被稀少,土壤有机质含量少【答案】16.A17.B【解析】【16题详解】该区域位于我国东部季风气候区,西部山地为太行山,森林的环境效益是涵养水源,保护水土;防风固沙,减轻东部地区的风沙危害,①、②正确。
净化空气,吸烟除尘是城市绿地的功能;可以调节气候,但不能减轻东部地区寒潮损失,③、④错误。
故A正确。
【17题详解】西北内陆地区,离海远,故海洋水汽难以到达,气候干旱,降水稀少,植被稀少,土壤贫瘠;外力作用以风力作用为主,流水作用弱,化学风化微弱,物理风化强烈。
故B与实际不符合。
故选B。
河西走廊属于甘肃省率先脱贫奔小康的地区,也是西部大开发的热点地区。
但在经济发展中对资源利用不合理,防护林网建设滞后。
民勤县在20世纪50年代种植的沙枣林至今已有近一半消失,从而导致风沙肆虐频繁,土地荒漠化严重。
为此,甘肃省委、省政府近年提出要再造河西,现在,河西走廊各地都在紧锣密鼓地实施再造林工程。
据此回答下面小题。
18.沙枣林死亡的原因可能是()A.水资源不合理利用B.病虫害灾害C.林带过大、过密,林水矛盾突出D.全球气候变暖,气候过于湿润19.“再造河西”反映了西部大开发中首先解决的问题是()A.大力开荒B.开发资源C.发展交通D.改善生态系统【答案】18.A19.D【解析】【18题详解】从材料中可看出,沙枣死亡的原因应是人为原因;河西走廊气候干旱,可能是水资源不合理利用,A正确。
【19题详解】西部地区土地荒漠化严重,因此在西部大开发中首先解决的问题是改善生态系统,D正确。
20.人类开发是雨林被破坏的直接原因。
读“亚马孙河流域朗多尼亚地区人口增长与雨林被砍伐关系图”,回答以下题。
亚马孙热带雨林面积减少直接导致的后果是()A.中纬度地区降水增加B.海平面上升,淹没沿海低地C.碳氧平衡受到破坏,大气中二氧化碳含量上升D.产生厄尔尼诺现象,亚马孙平原形成洪涝灾害【答案】C【解析】【分析】本题以“亚马孙河流域朗多尼亚地区人口增长与雨林被砍伐关系图”为背景材料,考查了全球气候变暖的相关知识,主要考查了考生获取解读地理信息、调动运用地理知识的能力。
【详解】“中纬度地区降水增加”、“海平面上升,淹没沿海低地”等这些影响都是其间接影响,故AB错误;亚马孙热带雨林面积减少会使其对二氧化碳的吸收能力降低,氧气制造能力降低,从而直接破坏全球碳氧平衡,使大气中二氧化碳含量上升,故C正确;厄尔尼诺现象是自然现象和亚马孙雨林的破坏没有关系,故D错误。