初二下册计算题
- 格式:doc
- 大小:116.50 KB
- 文档页数:7
八年级下册二次根式计算题一、二次根式计算题20题及解析。
1. 计算:√(12) - √(3)- 解析:- 先将√(12)化简,√(12)=√(4×3)=2√(3)。
- 则原式= 2√(3)-√(3)=√(3)。
2. 计算:√(27)+√(48)- 解析:- 化简√(27)=√(9×3)=3√(3),√(48)=√(16×3)=4√(3)。
- 原式= 3√(3)+4√(3)=7√(3)。
3. 计算:√(18)-√(8)- 解析:- √(18)=√(9×2)=3√(2),√(8)=√(4×2)=2√(2)。
- 原式= 3√(2)-2√(2)=√(2)。
4. 计算:√(50)-√(32)- 解析:- √(50)=√(25×2)=5√(2),√(32)=√(16×2)=4√(2)。
- 原式= 5√(2)-4√(2)=√(2)。
5. 计算:√(frac{1){2}}+√(frac{1){8}}- √(frac{1){2}}=(√(1))/(√(2))=(√(2))/(2),√(frac{1){8}}=(√(1))/(√(8))=(√(2))/(4)。
- 原式=(√(2))/(2)+(√(2))/(4)=(2√(2)+ √(2))/(4)=(3√(2))/(4)。
6. 计算:√(12)+√(frac{1){3}}- 解析:- √(12)=2√(3),√(frac{1){3}}=(√(1))/(√(3))=(√(3))/(3)。
- 原式= 2√(3)+(√(3))/(3)=(6√(3)+√(3))/(3)=(7√(3))/(3)。
7. 计算:(√(3)+1)(√(3)-1)- 解析:- 根据平方差公式(a + b)(a - b)=a^2-b^2,这里a=√(3),b = 1。
- 原式=(√(3))^2-1^2=3 - 1=2。
8. 计算:(√(5)+√(2))^2- 解析:- 根据完全平方公式(a + b)^2=a^2+2ab + b^2,这里a=√(5),b=√(2)。
初二下册数学练习题20道1. 一架飞机从地面起飞,以每小时400公里的速度飞行。
如果它需要飞行4小时,计算它总共飞行的距离。
解答:飞机的速度为400公里/小时,飞行4小时,所以飞行距离=速度×时间=400×4=1600公里。
2. 一辆汽车以每小时60公里的速度行驶,行驶6小时后已经行驶了多少公里?解答:汽车的速度为60公里/小时,行驶6小时,所以行驶的距离=速度×时间=60×6=360公里。
3. 若甲车从A地开到B地,甲车出发时速度为50公里/小时,行驶了2小时,此时乙车从B地出发,以每小时60公里的速度追赶甲车。
问乙车多长时间能追上甲车?解答:甲车出发时行驶了2小时,所以离开A地的距离=速度×时间=50×2=100公里。
乙车追赶甲车的速度为60-50=10公里/小时,所以追上甲车需要的时间=追赶距离/追赶速度=100/10=10小时。
4. 婆婆每天走路去菜市场,步行的速度是每小时4公里,她下午5点出发,走了3小时停下休息,然后继续走到菜市场。
问她几点到达菜市场?解答:婆婆下午5点出发,走了3小时,所以她停下休息的时间是5+3=8点。
然后她继续走到菜市场,根据题目没有给出她走到菜市场需要的时间,无法计算她几点到达。
5. 甲、乙两人同时从A地出发,一一路向北,一向南。
甲每小时步行4公里,乙每小时步行3公里。
若甲乙两人相隔240公里时停下休息,问他们分别行走了多少小时?解答:甲、乙两人相隔240公里时停下休息,说明他们总共行走的距离是240+240=480公里。
甲、乙两人行走的速度之和为4+3=7公里/小时,所以他们行走的时间=行走距离/行走速度=480/7≈68.57小时。
练习题(1)4+(3)2+ 38 ; 2) 218)4()3(322-------(3)])3(3[64)5.2(223332---+⨯---(4)30125)3(25+--π ; (52(6)102- ; (62(7)102- ; (8)(9)1; (10)()2212()2--(11) (12)2(13)31+(14(23(15+; (16)(17)1201()(2)(10)3-+-⨯--︱︱; (18(19)()132482-+-+; (20)(21);(31-(23) 1+;(242(25) 0|2|(1--+; (26) ()23122⎛⎫-- ⎪⎝⎭(27) 1; (28011()22-+- (29)()234a b ab b a ⎛⎫⎛⎫-⨯-÷- ⎪ ⎪⎝⎭⎝⎭ (30)21111x x x ⎛⎫-÷ ⎪--⎝⎭(1)21)2(11+-∙+÷-x x x x (2)32232)()2(b a c ab ---÷ (3)2323()2()a a a ÷- (4)0142)3()101()2()21(-++-----π (5)222)()()(ba ab ab ab b a b a b -∙-+-÷-(6)(3103124π--⎛⎫⎛⎫-⋅-÷ ⎪ ⎪⎝⎭⎝⎭ (7)2211yx xy y x y x -÷⎪⎪⎭⎫ ⎝⎛++- 四、解方程:1、(1)3513+=+x x ; (2) 11322x x x -+=---(4)512552x x x =--- (5) 25231x x x x +=++.(6) (7)2、当x 为何值时,代数式 的值等于2?3、若使 互为倒数,求x 的值。
4、若分式方程3234=++xm mx 的解为1=x ,求m 的值。
、先化简,再求值)1121(1222+---÷--x x x x x x ,其中31-=x41)1)x x +=-5、已知1x =,求代数式 2221x x x x--+的值6、已知x 、y分别是3-的整数部分和小数部分,求 4xy – y 2 的值 7、已知4x 2+y 2-4x-6y+10=0,求(+y-(x(31))1 ;(32)31+:x xx x x x x x -÷+----+4)44122(22,并求当3-=x 时原式的值. 5、先化简,x x x x x x11132-⋅⎪⎭⎫ ⎝⎛+--再取一个你喜欢的数代入求值: 1.计算: (1)(1)222412()2144x x xx x x x ---⋅-+-+ 2.计算:3.化简:.4.: 5..231211422+=+--x x x x x 233321122--=++-x x x x 23223+---x xx x 与x x x x 231392---++. ?(x 2﹣9) 7..8.+. 9.(1);(2). 10.(2001?常州).11.计算:12.计算:﹣a ﹣1.13.计算: (1)(2)14.计算:a ﹣2+15.计算:.16.化简:,并指出x 的取值范围.17.已知ab=1,试求分式:的值. 18.计算:﹣19.20.21.(. 22.23.(1); (2).24. 25..26. 27.28.()÷.29.. 30.﹣x ﹣2)9、先化简再求值2(2)(2)(3)(39)x x x x x x +---++,当41-=x 时,求此代数式的值 80、已知:23a = 25b=,求3232a b +-的值。
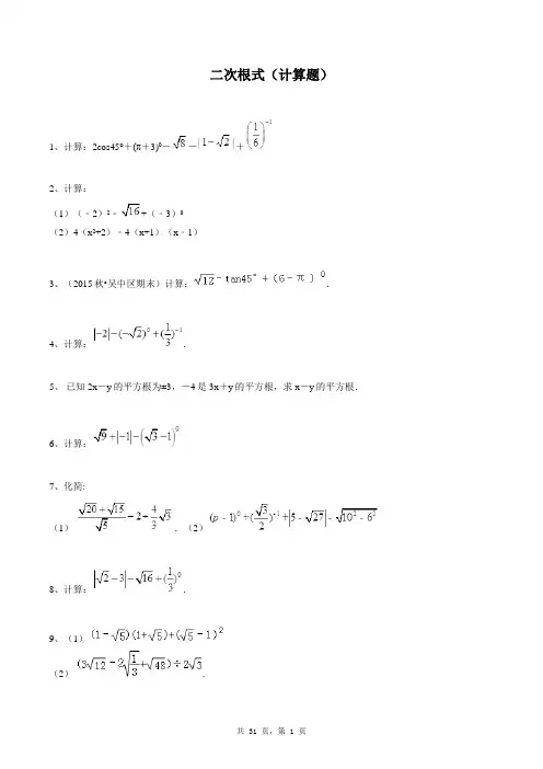
二次根式(计算题)1、计算:2cos45°+(π+3)0--+2、计算:(1)(﹣2)2﹣+(﹣3)0(2)4(x2+2)﹣4(x+1)(x﹣1)3、(2015秋•吴中区期末)计算:.4、计算:.5、已知2x-y的平方根为±3,-4是3x+y的平方根,求x-y的平方根.6、计算:7、化简:(1).(2)8、计算:.9、(1)(2).10、计算:4﹣(﹣)+.11、计算:×(﹣)+|﹣2|+()﹣3﹣(π﹣3.14)0.12、计算(1)(2).13、计算:.14、计算:(﹣1)2016+﹣|﹣|﹣(π﹣3.14)0.15、计算(1)3-(2+)(2)+|1-|16、计算:(1)(2)17、计算:.18、计算(1)(2)19、计算或化简⑴、⑵、-2+2 +20、计算:(﹣1)3+﹣(﹣1)0+×.21、(1)计算:﹣﹣3(2)化简:(3+)(﹣2)22、化简:(1);(2).23、(2015秋•灌云县校级月考)计算(1)(﹣)2(2)()3﹣(3)()2﹣(4)(π﹣3.14)0.24、计算(1).(2).25、计算:(1);(2)26、计算:(a>0).27、计算:-|1-|-(3.14-π)0+(-)-2.28、计算题.(1)计算:-+20150;(2)+|1-|-()-2.29、.30、.31、计算: -|-2|+(-3)0-()-1.32、(7分)计算:.33、(10分)计算下列各式的值:(1)(2)|﹣1|+|﹣4|34、(6分)计算:.35、(本题满分6分)计算:36、计算:37、(本题满分6分)计算:.38、(6分)计算:.39、计算:.40、计算:① (2分) ②(3分)41、计算:.42、计算:.43、计算:(2﹣1)0+|﹣6|﹣8×4﹣1+.44、计算:﹣|﹣3|+.45、计算(1)9+7﹣5+2(2)(﹣1)(+1)﹣(1﹣2)2.46、(2014秋•南安市期末)计算:+tan45°﹣sin30°﹣(﹣).47、计算:.48、49、(本题6分)计算:.50、计算:(1)(2)51、若m-2的算术平方根是3,-64的立方根是7n+3,求4m-5n的平方根.52、计算:(1);(2)53、(本题4分)若,求的值.54、(4分)计算:(1)(2)55、计算(1)(2).56、化简:(1);(2).57、计算:+(π-)0-|-2|+()-1.58、(共计8分)计算:(1)+(﹣2013)0﹣()﹣1+|﹣3|(2)÷﹣×+.59、(本小题满分7分)计算:.60、计算:61、(7分)(2015黄石)计算:.62、计算:﹣|﹣2|+﹣4sin60°.63、在实数范围内分解因式:(1)x4-4;(2)x4-4x2+4.64、计算.(1);(2);(3);(4).65、如果,求的值.66、已知a、b为一等腰三角形的两边长,且a、b满足,求该三角形的周长.67、(1)当x取何值时,?(2)当x取何值时,?68、已知a、b、c为△ABC的三边长,化简:.69、计算:70、计算(5分)参考答案1、.2、(1)1;(2)12.3、2.4、45、±26、37、(1)、2+ (2)、原式=8、.9、(1)2﹣2;(2).10、511、7﹣.12、(1)17;(2)﹣.13、.14、15、(1)2﹣2;(2)2-1.16、(1);(2)8.17、.18、(1)、;(2)、.19、(1);(2).20、21、(1);(2).22、(1);(2).23、(1)7;(2)﹣3;(3)5;(4)0.24、(1)2;(2)0.25、(1);(2)26、.27、+4.28、(1)7;(2).29、0.30、.31、-1.32、7.33、(1)7;(2)3.34、5.35、36、437、438、3.39、.40、①-0.1;②.41、.42、2.43、1044、7+45、(1);(2)﹣11+4.46、3+47、.48、10+349、.50、(1);(2).51、±7.52、(1)12﹣3;(2)1﹣.53、354、(1)(2)55、(1)原式=4+;(2)原式=6+.56、156;3m57、5.58、(1)5;(2)+459、.60、4.61、3.62、-163、(1).(2).64、(1).(2).(3).(4).65、-166、567、(1)x≥3(2)x≤368、2a+4b69、170、【解析】1、试题分析:先根据二次根式的化简、负整数指数幂、特殊角的三角函数值及0指数幂把原式化简,再根据实数混合运算的法则进行计算即可.试题解析:原式===.考点:1.特殊角的三角函数值;2.零指数幂;3.负整数指数幂4.实数的运算.2、试题分析:(1)原式利用乘方的意义,算术平方根定义,以及零指数幂法则计算即可得到结果;(2)原式利用平方差公式计算,去括号合并即可得到结果.试题解析:(1)原式=4﹣4+1=1;(2)原式=4x2+8﹣4x2+4=12.【考点】平方差公式;零指数幂.3、试题分析:原式第一项化为最简二次根式,第二项利用特殊角的三角函数值计算,最后一项利用零指数幂法则计算即可得到结果.解:原式=2﹣1+1=2.考点:实数的运算;零指数幂;特殊角的三角函数值.4、试题分析:利用绝对值的代数意义、零指数幂法则、负指数幂法则计算即可得到结果.试题解析:原式=2﹣1+3=4.考点:1.实数的运算;2.零指数幂;3.负整数指数幂.5、试题分析:首先根据平方根的性质列出关于x和y的二元一次方程组,从而求出x和y的值,然后得出答案.试题解析:由题意得:2x-y=9 3x+y=16∴解得:∴x-y=4 ∴x-y平方根为±2.考点:平方根的性质6、试题分析:先将算式中的每一项进行化简再进行运算。
初二下学期数学计算练习题1. 小明在一家商店里购买了一本数学书,原价为98元,商店打折后降价为85元。
请计算小明享受了多少折扣。
解答:商店打折后降价的金额 = 原价 - 打折后价格= 98元 - 85元= 13元小明享受的折扣金额为13元。
2. 一辆汽车每小时的油耗为7升,小明开车连续行驶了4小时。
请计算小明行驶了多少升的汽油。
解答:小明行驶4小时消耗的汽油量 = 7升/小时 × 4小时= 28升小明行驶了28升的汽油。
3. 一条绳子长48米,小明想把这条绳子切成若干段,每段长度相等。
请问小明可以切成几段,每段长度是多少米?解答:小明可以切成的段数 = 48米 ÷段长= 48米 ÷段长段长越大,切成的段数越少;段长越小,切成的段数越多。
4. 一个正方形的周长为36米,请计算这个正方形的边长。
解答:设正方形的边长为x米。
根据正方形的性质,正方形的周长等于4倍的边长:4倍的边长 = 36米边长 = 36米 ÷ 4= 9米这个正方形的边长为9米。
5. 小明去超市买了3斤苹果,每斤苹果的价格为5元,请计算小明购买这些苹果需要支付多少钱。
解答:小明购买苹果需要支付的钱数 = 3斤 × 5元/斤= 15元小明需要支付15元。
6. 小明的电话号码是一个4位数,百位数字是6,千位、十位和个位数字之和为15。
请找出小明的电话号码是多少。
解答:根据题目条件,百位数字是6,千位、十位和个位数字之和为15。
设千位数字为a,十位数字为b,个位数字为c。
根据题意可得:a +b +c = 15百位数字为6,所以小明的电话号码为:6abc将a + b + c = 15代入电话号码中:6 + a + b + c = 15整理方程:a +b +c = 9根据方程,满足条件的可能数字组合为:1 + 3 + 5 = 92 +3 +4 = 9小明的电话号码可能为6135或6234。
这些是初二下学期数学计算练习题的答案,希望能帮助到你!。
初二下册物理计算练习题
一、力和压强计算题
1. 小明用力推一个质量为10kg的物体,如果小明用的力是50N,求这个物体的加速度。
2. 小红站在草地上,她的体重是450N,脚底面积是0.02平方米,求小红站在地面上的压强。
二、速度和加速度计算题
1. 一辆汽车以10m/s的速度匀速行驶了20秒,求汽车的位移。
2. 物体A以加速度2m/s²匀变速运动,起始速度为4m/s,求t=4s时的速度。
三、力和功率计算题
1. 一辆质量为2000kg的汽车,需要拖曳行驶上坡,坡道的斜度角度为30°,求摩擦力和功率。
2. 某电梯以3m/s的速度上升到20米高的大楼,电梯的额定功率为15,000W,求电梯所用的时间。
四、电路计算题
1. 一个电压为12V的电池连接一个电阻为4欧的电阻器,求通过电阻器的电流强度。
2. 一个电容器的电容为5μF,电压为10V,求该电容器存储的电荷量。
五、光的折射计算题
1. 空气中的光线入射到水中,折射角为30°,求光线入射角。
2. 光线从玻璃射向空气,已知玻璃的折射率为1.5,入射角度为60°,求折射角度。
六、声音计算题
1. 一个声音源发出频率为500Hz的声波,求该声波在10秒钟内传
播的距离。
2. 在室温下,声速为330m/s,一个音波的波长为2m,求该音波的
频率。
以上是初二下册物理计算练习题的题目内容,你可以根据题目要求
进行计算并得出答案。
请注意计算中的单位和公式使用的准确性。
祝
你顺利完成练习!。
⼋年级数学下册第⼗六章《分式》单元计算题⼤全新课标⼈教版(6)⼋年级数学下册第⼗六章《分式》单元计算题⼤全新课标⼈教版1. 计算:(1)11123x x x ++(2)3xy 2÷x y 262.2223189218a a a a a +-÷-+-+, 2221()2444x x xx x x x x+----+- 3. 计算题⑴22124a aa +-- ⑵22233mn mn n p p ÷ ?⑶112---x x x ⑷2222x y xy y x x x ??--÷-⑸ 121200523-??-+ ?⑹()()23323a b ab ----?(结果只含正整数指数幂)a cb ac ÷÷(4)42232)()()(abc ab c c b a ÷-?- (5)22233)()()3(x y x y y x y x a +-÷-?+5. 计算:x x x x -+--+11211 21211+++-+x x x xx x x x x x 13632+-+--)2122()41223(2+--÷-+-a a a aaa a a a a -?+--4)22( 6. 计算(1)3223322a b a c cd d a÷? ?-7. 计算:??+--- ++11111212x x x x x x 8. 22326123()()y y xy x x÷-.22234()()()x y y y x x ÷-, 9. 22222a b ab b a a ab a ?? -+÷+ ?-??10. 计算:()2222x 2xy+y x yxy+x xy x++÷-÷a a a 2122+-12.6532----x x x x x ; 211a a a +-+ 42()a a a a+-÷; 13. 计算:22()x y- 22)2(4yx y x -÷ 14. 计算(1)168422+--x x x x (2)mn nn m m m n n m -+-+--2 15. 计算:(1)232223(4)(2)x y z xy z -?- ;(2)9323496222-?+-÷-+-a a b a ba a .(3)2221()244x x x x x -+÷+--(4) 44()()xy xy x y x y x y x y -++--+16.化简:1441312-+-÷?--+x x x x x17. 22a b b a b a b a b a b --??÷ ?+-+??-18.2121()2a bca bc ---÷ 221()()x x x x ---÷- 30(0.25)(0.25)--+-332p mn p n n m ÷???? ??? ⑵2)22444(22-÷+-++--x xx x x x x (3)11141+-???? ??-+-a a a a a (4)()1632125.00 2+--?-?-π20. 计算:(1)222x y xy x y x y +--- (2)???? ??-÷??? ?-y x x y 1121. 22[()]33x y x yx y x x y x x +----÷+ 222212111a a a a a a a a --÷++++; 22.??-÷x y y x 346342;-y x x y x y x 22426438; 23. 化简:232224a a aa a a ??-÷ ?+--??. 24. 计算:(1)130)21()2()21(----÷- ;(2)329122---m m . 25.xy x xz xy x z y x y xy x z y x y x --+?--++÷---2222222222)(2)(; () yy y x xy xy -+?+-33212.27. 计算:)12()23()344(222222---÷++-?+--x x x x x x x x 28.215()()x xy x y x x x y x --+-÷- 42321()()x y x y y--÷29.(1+1m)÷22121m m m --+30. 计算⑴2332)2(2ab c d a cd b a ?÷-)((2)2228224a a a a a a +-??+÷ ?--??(3)44()()xy xy x y x y x y x y-++--+ (4)2233x y x y x y x x y x x ??+-??---÷ +? 31. 计算:()()()()()() c a a b b ca b b c b c c a c a a b ---++------32.222()111a aa a a ++÷++- 33.1)111(2-÷-+x x x34. 计算:(1))141)(141(+-+-+-a a a a a a (2) 1211111222+-+-÷??? ??---x x x x x 35. 计算:32)(y x y x --? 32232)()2(b a c ab ---÷)102.3()104(36- 2125)103()103(--?÷?36.624)373(+-÷+--a a a a 37. 计算下列各式:(1)22 33222)(b a ab ba b a b a ba -+--+÷(2)a a a a a a a a 444122)(22-+---+÷-38.计算(1)ab c 2cb a 22?(2)322542n m m n- (3)-÷x x y 27(4)-8xy xy 52÷ (5)39. 化简(1)2232129x y x y (2)222x x y xy -- (3)222221x x x --+ (4) 22 39m m m-- (5)()()2222x y z x y z --+-40. 计算: ()3322232n m n m --? 41.计算:33xx 1x 1+++ ⑵.计算:223x 1x 36x 6x x +-?-+ 42. 计算⑴5331111x x x x+---- ⑵22y xy x y y x -+- ⑶()432562b ab a ÷- (4)()113423-??--+--(5)(1a x -)÷22x a x -43. 计算:23011)31(64)3()1(4-+--?-+-π计算:y x yx28712÷ 44. 计算2222444(1)(4);282a a a a a a a --+÷-+--(2)0)1(213=-+--x x x x 45. 计算:(3)96312-++a a (4) 96-22; 46. 22211()961313a a a a a a -÷++++ 13(1)224a a a --÷-- 47.223252224x x x x x +??+÷ ?-+-??48. 计算:(1);(2)()2442444222-+-?-÷++-a a a a a a a(3)a b a ab ab a b a b a b a -+÷--?-2232 (4)2216168m m m -++÷428m m -+·2 2m m -+(5)(2b a )2÷(b a -)·(-34b a)3(6)a b ab a b a b ab a b 2222121121-+---÷---++49. 化简:221211241x x x x x x --+÷++-- 2121a a a a a -+?-÷50. 计算:(1)22424422x x xx x x x ??--+÷ ?-++-??(2) 121a a a a a --??÷- ,(3)()2111211x x x ??+÷-- ?--?(4)232224xx x x x x ??-÷ ?-+-??,51. 计算:(1)423223423b a d c cd ab ? (2)m m m m m --?-+-3249622 (3).(xy -x 2)÷xy y x - (4).24244422223-+-÷+-+-x x x x x x x x (5).12--x x ÷(x +1-13-x )(6).x x x x 3922+++969(8)x y y x y x y x y y x ----+-+2. (9).232323194322---+--+x x x x x 52. 计算:)2(121y x x yx y x x --++- 53.2243312()()22a a b a b b -÷- 2221644168282m m m m m m m ---÷++++,54. 计算:cd b a c ab 4522223-÷ 411244222--?+-+-a a a a a am m m 7149122-÷- 228241681622+-?+-÷++-a a a a a a a 55.计算3223322a b a c cd d a÷? ?-56. 计算:24424441622++++-÷++-m m m m m m m 57.11)1111(-÷--+a a a 58. 计算:(1) ()()322322y x z xy ---÷ (2) x yx y x xy x y x x -÷211111222+-+-÷??? ??---x x x x x 59. 化简下列各式1. 212312+-÷??? ??+-x x x2.2111a a a a -++-3. 22(1)b a a b a b-÷+-4.352242a a a a -??÷-- ?--??5.)2422(4222+---÷--x x x x x x6. (x 2+4x -4)÷ x 2-4 x 2+2x7. 1-aa a a a 21122+-÷- 8. 2211(1).a a a a--÷+ 9. 2112()x x xx x x +++÷+ 10. 6931x x x x --÷- ? ??11. 21(1)1xx x x x ??-÷+ ?--??12.39631122-+÷+---+x xx x x x x 13. 432112--÷??? ??--a a a 14. 1224422++÷--a a a a15.22444()2x x x x x x -+÷-- 16. ,1 11122--+÷-x xx x x 17. 260. 计算: aa --+242 61. 计算与化简:(1)222)2222(x x x x x x x --+-+- (2) 1- aa a a a 21122+-÷- 62. 2301()20.1252005|1|2---?++- ()3 22514-++-÷13-, 63. 2141326a a a -??+÷--64.(112-+a a +1)? a a a 122+-65. 计算与化简:(1)222x y y x ?;(2)22211444a a a a a --÷-+-;(3)22142a a a ---;(4)211a a a ---;(5)()()222142y x x y xy x y x +-÷-.66.计算43222??? ?-÷ - -x y x y y x 67. 计算 1、y x axyx y x y 2211-+- 3、1111-÷??--x x x 4、22224421y xy x y x y x y x ++-÷+-- 5、2 2221106532xyx y y x ÷? 6、m n n n m m m n n m -+-+--2 7、4412222+----+x x x x x x 8、x x x x x x x x 4)44122(22-÷+----+ 9.xx x x x x x x 4)44122(22-÷+----+ 10.2144122++÷++-a a a a a 68. 化简下列分式(1)232123ab b a - (2)232213n m nm - (3))1(9)1(322m ab m b a ---(4))(12)(2222x y xy y x y x -- (5)22112mm m -+- (6)222963a ab b aba +-- 69. 计算:(1)b a ab a b --- (2)324332??x y y x (3)()1302341200431-??--+- - (4)()()222234a a a a -÷-70. 211()(3)31a a a a +---- 71.计算:22121124x x x x ++?72. 计算:221.111x x x x x ??-÷ ?-+-?? 73. 计算(1) 22)2(4y x y x -÷ (2) 432221??--ab a b b a(3)2222255343m n p q mnp pq mn q ?÷ (4)??÷ - -a bc ab c c b a 223274. 计算:(1)(2x y )2·(2y x )3÷(-y x )4;(2)(2b a )2÷(b a -)·(-34b a)375. 计算:①3333x x x x -+-+-;②212211933a a a +--+-;③2111111x x x ++-+-. 76. 计算:(4a a -)÷2a a+.77.233()()()24b b b a a a -÷- 22136932x x x x x x +-÷-+-+ 78. 计算:①2114()22x x x x --?-+;②22214()244x x x x x x x x+---÷--+;③11x x x -?-;④211(1)(1)11x x x +---+;⑤342n m n m n m ÷-? (2)2324222263ab a c c d b b ??-??÷? ? ?-?80.??--+÷--252423x x x x 23111x x x x -??÷+- ?--??81. 计算:(1)1111-÷??? ?--x x x (2)4214121111xx x x ++++++- 82. 计算:11)121(2+-÷+-x x x 83.化简:(1-44822+++a a a )÷aa a 2442+-84. 计算:(1)222x y xy x y x y +--- (2)-÷ -y x x y 11 (3).)1(1aa a a -÷- (4). )(22ab b a a ab a -÷- 85.21(1)(2)x x x++÷+86. 计算:(1)44223x y c ??-(2) mn a a n m 4322? (3) 222 324835154b a n n b a -?。
八年级下册数学计算题大全及答案第一章:整数运算知识点1:加法和减法1.计算:73 + 48 = 1212.计算:312 - 145 = 1673.计算:-86 + 64 = -224.计算:-126 - 83 = -209知识点2:乘法和除法1.计算:25 × 8 = 2002.计算:84 ÷ 6 = 143.计算:-32 × 5 = -1604.计算:-72 ÷ -9 = 8第二章:分数运算知识点1:分数的加法和减法1.计算:1/3 + 1/4 = 7/122.计算:2/5 - 1/3 = 1/153.计算:3/8 + 5/6 = 49/244.计算:4/9 - 3/7 = 13/63知识点2:分数的乘法和除法1.计算:2/5 × 3/4 = 6/202.计算:3/8 ÷ 1/4 = 12/83.计算:-1/3 × 5/6 = -5/184.计算:-2/7 ÷ -1/5 = 10/7第三章:代数式和代数方程知识点1:代数式运算1.计算:2x + 3y - x + 5y = x + 8y2.计算:4a - 2b + 3a + b = 7a - b3.计算:3m + 2n - 4m + 3n = -m + 5n4.计算:-5x + 2y + 3x - y = -2x + y知识点2:代数方程求解1.解方程:5x - 12 = 8–解:x = 42.解方程:3y + 7 = 4y - 9–解:y = 163.解方程:2z - 5 = -3z + 4–解:z = 14.解方程:4a + 3 = 2a + 9–解:a = 3第四章:几何运算知识点1:图形的周长和面积1.求矩形的周长:长为10cm,宽为4cm–解:周长 = 2(长 + 宽) = 2(10 + 4) = 28cm2.求正方形的面积:边长为6cm–解:面积 = 边长 × 边长 = 6 × 6 = 36cm²3.求三角形的周长:边长分别为5cm、7cm、8cm–解:周长 = 边1 + 边2 + 边3 = 5 + 7 + 8 = 20cm4.求圆的面积:半径为3cm–解:面积= π × 半径² = 3.14 × 3² = 28.26cm²知识点2:相似图形和全等图形1.判断下列图形是否相似:–三角形ABC与三角形DEF,∠ABC = ∠DEF,∠ACB = ∠DFE,∠BAC = ∠EDF–解:相似2.判断下列图形是否全等:–三角形ABC与三角形DEF,∠ABC = ∠DEF,∠BAC = ∠EDF–解:不全等以上是八年级下册数学计算题的大全及答案,包括整数运算、分数运算、代数式和代数方程、几何运算等多个知识点。
初二数学下册练习题计算题1. 一块正方形的草坪周长为28米。
若把这块草坪分成小正方形,每个小正方形的边长为1米,请计算这块草坪上共有多少个小正方形?解答:设草坪上小正方形的个数为x,则边长为1米的小正方形的周长为4米,因此有4x米的小正方形构成了28米的周长。
由此得到方程:4x = 28,解得x = 7。
所以这块草坪上共有7个小正方形。
2. 一辆汽车以每小时80公里的速度行驶,行驶了2小时后,停在路边休息了30分钟,然后以每小时90公里的速度行驶,行驶了3小时。
请计算整个行驶过程中汽车的总路程。
解答:在前2小时的行驶中,汽车以每小时80公里的速度行驶,所以行驶的距离为80公里/小时 × 2小时 = 160公里。
停在路边休息30分钟后,继续行驶3小时。
此时行驶的速度为每小时90公里,所以行驶的距离为90公里/小时 × 3小时 = 270公里。
整个行驶过程中汽车的总路程为160公里 + 270公里 = 430公里。
3. Bob和Alice一起制作一座雪人,Bob每小时能够制作2个雪球,Alice每小时能够制作3个雪球。
他们制作雪人的时间是相同的。
已知Bob使用3小时,Alice使用4小时,问他们制作这座雪人一共使用多少个雪球?解答:Bob每小时能制作2个雪球,所以他在3小时内制作的雪球数量为2个/小时 × 3小时 = 6个雪球。
Alice每小时能制作3个雪球,所以她在4小时内制作的雪球数量为3个/小时 × 4小时 = 12个雪球。
他们制作这座雪人一共使用的雪球数量为6个雪球 + 12个雪球 = 18个雪球。
4. 甲、乙、丙三个人一共有96个苹果,已知丙的苹果数量是甲的苹果数量的2倍,乙的苹果数量是甲的苹果数量的3倍。
问甲、乙、丙各自拥有多少个苹果?解答:设甲的苹果数量为x个,则乙的苹果数量为3x个,丙的苹果数量为2x个。
根据题意,有x + 3x + 2x = 96。
初二(下册)数学题精选分式:一:如果abc=1,求证11++a ab +11++b bc +11++c ac =1解:二:已知a 1+b 1=)(29b a +,则a b +b a等于多少?解:三:一个圆柱形容器的容积为V 立方米,开始用一根小水管向容器内注水,水面高度达到容器高度一半后,改用一根口径为小水管2倍的大水管注水。
向容器中注满水的全过程共用时间t 分。
求两根水管各自注水的速度。
解:四:联系实际编拟一道关于分式方程2288+=xx 的应用题。
要求表述完整,条件充分并写出解答过程。
解略五:已知M =222y x xy -、N =2222yx y x -+,用“+”或“-”连结M 、N,有三种不同的形式,M+N 、M-N 、N-M,请你任取其中一种进行计算,并简求值,其中x :y=5:2.解:反比例函数:一:一张边长为16cm正方形的纸片,剪去两个面积一定且一样的小矩形得到一个“E"图案如图1所示.小矩形的长x(cm)与宽y(cm)之间的函数关系如图2所示:(1)求y与x之间的函数关系式;(2)“E”图案的面积是多少?(3)如果小矩形的长是6≤x≤12cm,求小矩形宽的范围。
二:是一个反比例函数图象的一部分,点(110)A ,,(101)B ,是它的两个端点.(1)求此函数的解析式,并写出自变量x 的取值范围; (2)请你举出一个能用本题的函数关系描述的生活实例.三:如图,⊙A 和⊙B 都与x 轴和y 轴相切,圆心A 和圆心B 都在反比例函数1y x的图象上,则图中阴影部分的面积等于 。
四:如图11,已知正比例函数和反比例函数的图像都经过点M (-2,1),且P (1,-2)为双曲线上的一点,Q 为坐标平面上一动点,PA 垂直于x轴,QB 垂直于y 轴,垂足分别是A 、B . (1)写出正比例函数和反比例函数的关系式;(2)当点Q 在直线MO 上运动时,直线MO 上是否存在这样的点Q ,使得△OBQ 与△OAP 面积相等?如果存在,请求出点的坐标,如果不存在,请说明理由;(3)如图12,当点Q 在第一象限中的双曲线上运动时,作以OP 、OQ 为邻边的平行四边形OPCQ ,求平行四边形OPCQ 周长的最小值.五:如图,在平面直角坐标系中,直线AB 与Y 轴和X 轴分别交于点A 、点8,与反比例函数y 一罟在第一象限的图象交于点c(1,6)、点D(3,x ).过点C 作CE 上y 轴于E,过点D 作DF 上X 轴于F . (1)求m ,n 的值;(2)求直线AB 的函数解析式;勾股定理:图11xyB()AOMQP图xy()BCA OMPQ一:清朝康熙皇帝是我国历史上对数学很有兴趣的帝王.近日,•西安发现了他的数学专著,其中有一文《积求勾股法》,它对“三边长为3、4、5的整数倍的直角三角形,已知面积求边长”这一问题提出了解法:“若所设者为积数(面积),以积率六除之,平方开之得数,再以勾股弦各率乘之,即得勾股弦之数”.用现在的数学语言表述是:“若直角三角形的三边长分别为3、4、5的整数倍,•设其面积为S ,则第一步:6S=m;第二步:m =k ;第三步:分别用3、4、5乘以k ,得三边长".(1)当面积S 等于150时,请用康熙的“积求勾股法"求出这个直角三角形的三边长;(2)你能证明“积求勾股法”的正确性吗?请写出证明过程.二:一张等腰三角形纸片,底边长l5cm,底边上的高长22.5cm .现沿底边依次从下往上裁剪宽度均为3cm 的矩形纸条,如图所示.已知剪得的纸条中有一张是正方形,则这张正方形纸条是( )A .第4张B .第5张C .第6张D .第7张三:如图,甲、乙两楼相距20米,甲楼高20米,小明站在距甲楼10米的A 处目测得点A 与甲、乙楼顶B C 、刚好在同一直线上,且A 与B 相距350米,若小明的身高忽略不计,则乙楼的高度是 米.四:恩施州自然风光无限,特别是以“雄、奇、秀、幽、险”著称于世.著名的恩施大峡谷()A 和世界级自然保护区星斗山()B 位于笔直的沪渝高速公路X 同侧,50km AB A =,、B 到直线X 的距离分别为10km 和40km ,要在沪渝高速公路旁修建一服务区P ,向A 、B 两景区运送游客.小民设计了两种方案,图(1)是方案一的示意图(AP 与直线X 垂直,垂足为P ),P 到A 、B 的距离之和1S PA PB =+,图(2)是方案二的示意图(点A 关于直线X 的对称点是A ',连接BA '交直线X 于点P ),P 到A 、B 的距离之和2S PA PB =+. (1)求1S 、2S ,并比较它们的大小; (2)请你说明2S PA PB =+的值为最小;(3)拟建的恩施到张家界高速公路Y 与沪渝高速公路垂直,建立如图(3)所示的直角坐标系,B 到直线Y 的距离为30km ,请你在X 旁和Y 旁各修建一服务区P 、Q ,使P 、A 、B 、Q 组成的四边形的周长最小.并求出这个最小值.五:已知:如图,在直角梯形ABCD 中,AD ∥BC ,∠ABC =90°,DE ⊥AC 于点F ,P图(1)图(3)图(2) A交BC 于点G ,交AB 的延长线于点E ,且AE AC =. (1)求证:BG FG =;(2)若2AD DC ==,求AB 的长.四边形:一:如图,△ACD 、△ABE 、△BCF 均为直线BC 同侧的等边三角形。
1、 ( +×)×.2、 ((+(.3 、 1212-⎛ ⎝; 4、 (3+1)(3-1)+24-012⎛⎫⎪⎝⎭. 5、6、÷﹣× + ;7、已知x =1+3,y =1-3,求代数式x 2-xy +y 2的值.8、一个三角形三条边的长分别为15cm ,20cm ,25cm ,这个三角形最长边上的高是多少?9、如图,在平行四边形ABCD 中,E 、F 分别为边AB 、CD 的中点,BD 是对角线.(1)求证:△ADE ≌△CBF ;(2)若∠ADB 是直角,则四边形BEDF 是什么四边形?证明你的结论.10、如图,在菱形ABCD 中,AB=2,∠DAB=60°。
点E 是AD 边的中点,点M 是AB 边上的一个动点(不与点A 重合),延长ME 交CD 的延长线于点N ,连接MD 、AN 。
(1)求证:四边形AMDN 是平行四边形。
(2)当AM 为何值时,四边形AMDN 是矩形?请说明理由。
11、如图,直线AB 与x 轴交于点A (-2,0),与y 轴交于点B (0,3).(1)求直线AB 的解析式;(2)若直线AB 上的点C 在第二象限,且S △AOC =35,求点C 的坐标.12、已知:y 与x +2成正比例,且当x =1时,y =-6.(1)求y 与x 之间的函数解析式;(2)若点M(m ,4)在这个函数的图象上,求m 的值. 11、直线AB 与x 轴交于点A(1,0),与y 轴交于点B(0,-2). (1)求直线AB 的解析式;(2)若直线AB 上一点C 在第一象限且点C 的坐标为(2,2),求△BOC 的面积. 13、直线y=2x+b 经过点(3,5),求关于x 的不等式2x+b ≥0的解集。
14、如图,某中学有一块四边形的空地ABCD ,学校计划在空地上种植草皮,经测量∠A=90°,AB=3m ,BC=12m ,CD=13m ,DA=4m ,若每平方米草皮需要200元,问学校需要投入多少资金买草皮?15、如图,直线l 是一次函数y =kx +b 的图象.(1)求出这个一次函数的解析式. (2)根据函数图象,直接写出y <2时x 的取值范围.16、某公司招聘人才,对应聘者分别进行了阅读能力、思维能力和表达能力三项测试,其中甲、乙两人的测试成绩(百分制)如下表:(单位:分)(1)若根据三项测试的平均成绩在甲、乙两人中录用一人,那么谁将被录用?(2)若将阅读能力、思维能力和表达能力三项测试得分按1:3:1的比确定每人的最后成绩,谁将被录用?17、如图,已知直线y=kx+b 经过点A (5, 0),B (1, 4)。
初二下数学计算题计算:1)$\frac{4a+2-a}{a^2} \div \frac{(a+1)(a-2)}{2(a-2)(a+2)}$ 2)$-\frac{1}{2}\div \frac{a+6}{(a+2)(a-4)}$化简:1)$\frac{9-a^2}{2a^2+6a+9}$2)$\frac{x-1}{x+16}=\frac{1}{2x-1}$3)$\frac{x+5}{2x-3}=4$4)$\frac{2x-3}{2x+1}=-1$5)$\frac{2x}{x^2-3x+3}=1$化简,再求值:1)$\frac{x+2}{x-4}-\frac{2}{x-2}$,其中$x=2+\sqrt{2}$2)$\frac{a^2+b^2}{ab}-\frac{a^2-b^2}{a-b}$,其中$a=2$,$b=-1$3)$\frac{x^2-16x+1}{x+8}+\sqrt{\frac{x-4}{x-16}}$,其中$x=2+1\sqrt{2}$4)$\frac{-1}{2a-4}-\frac{11}{a^2+4a+11}$,其中$a=\frac{-1}{2}$5)$\frac{11b}{2a-4b}-\frac{1}{a-2b}$,其中$a=1+2$,$b=1-2$6)$\frac{3a}{a-1}-\frac{3}{a+1}$,其中$a=2$7)$\frac{3x+6}{x^2+4x+4}-\frac{21}{x-2}$,其中$x=-6$8)$\left(\frac{2}{a-1}-\frac{1}{a+1}\right)\times (a^2-1)$,其中$a=3-\sqrt{3}$9)$\frac{x+1}{(x+1)^3}-\frac{x^2+1}{x^4-1}-\frac{x-3}{x+1}$,其中$x=3+1$10)$\frac{11x+1}{x+1}-\frac{x^2-1}{x^2-2x+1}$,其中$x=3-1$11)$\frac{3a}{a-1}-\frac{a^2-1}{a+1}$,其中$a=2$12)$y(x+y)+(x-y)^2-x^2-2y^2$,其中$x=-\frac{1}{3}$,$y=3$13)$\frac{a^2-2a}{a+1}\times \frac{1+\frac{1}{a}}{a}$,其中$a=-2$14)$\frac{2x+y}{x^2-2xy+y^2}$,已知$x-3y=2$已知x=-2,求(x-y)的值。
15道八年级下册物理计算题在八年级下册物理知识考查中,最能体现能力的就是物理计算题。
接下来是店铺为大家带来的15道关于八年级下册物理的计算题,供大家参考。
八年级下册物理计算题:第1-5道1、把一块重为G=3.4N的矿石,挂弹簧测力计上,并把他浸没在水中。
静止时弹簧测力计的示数为F=2.9N,g取10N/kg。
求:⑴矿石浸没在水中时受到的浮力;⑵矿石的体积;⑶矿石的密度。
2、仁爱礁是我国的固有领土,隶属我国海南省三沙市,中国公务船只定期在那里巡视,如图14所示是我国一艘装备精良的现代化综合公务船.(1)该船以20km/h的速度匀速航行了5h,则航行的距离是多少?(2)若该船的声呐探头距海面深度为10m,则该声呐探头受到海水的压强是多少?(3)该船满载时排水量为5x106kg,则船受到的重力和浮力各为多少?(海水密度为1.03x103kg/m3,g取10N/kg)3、如图所示茶壶,底面积为100 cm2,当其盛满水时,容积4 dm3,水深12 cm,(不计茶壶的厚度),若茶壶质量为300g,求:(1) 水对容器底的压力; (2) 茶壶对桌面的压强。
4、有一种气压保温瓶其结构如图所示。
用手压下按压器,气室上方小孔被堵住,在瓶内气体压强作用下,水经出水管流出。
按压器面积为S0 cm2,瓶内水面距离瓶底的高度为h cm,瓶内水面低于出水管口h0 cm。
已知弹簧的平均弹力为F0 N,外界大气压为p0 Pa,水的密度为ρ kg/m3,按压器所受重力忽略不计。
要将水压出管口,求:(1)瓶内水面上方的压强至少要多大? (2)瓶内外气体对按压器的压力差ΔF至少为多大?(3)在按压器上至少要加多大的压力?5、有一块花岗岩碑石,其体积是40m3,为了计算它的质量,取一小块作为这块碑石的样品,测出它的质量为28g,体积为10cm3.求:(1)这块碑石的密度是多少?(2)这块碑石的质量是多少吨?28.(本题5分)一捆粗细均匀的铜线,质量约为17.8kg,铜线的横截面积是10mm2.(ρ铜=8.9×103kg/m3)求:(1)铜线的体积.(2)这捆铜线的长度为多少米?八年级下册物理计算题:第6-10道6、(本题7分)有一个质量为200g玻璃瓶,当瓶内装满水时,瓶和水的总质量700g,用此瓶装金属颗粒若干,瓶和金属颗粒的总质量是1000g,若在装金属颗粒的瓶中再装满水时,瓶、金属颗粒和水的总质量为1400g,求(已知ρ水=1.0×103kg/m3):(1)空瓶的容积;(2)金属颗粒的总质量;(3)金属颗粒的总体积;(4)金属颗粒的密度.7、把一块重为3.6 N的矿石挂在弹簧测力计上,并把它浸没在水中,静止时弹簧测力计的示数为F=2.1 N。
班别:姓名:等级:1、质量1.5kg的物体,所受重力大小为多少?重力是220N的物体,其质量为多少?(g取10N/kg)2、如图所示的轻质杠杆OB,其中OA长为1 m,AB长为0.5m。
若在B点挂一重为4N的物体,为了使杠杆水平平衡,现在A点施加一个竖直向上的力F,求力F的大小。
3、一位同学双手的最大拉力为500N,现在他用一个动滑轮和一个定滑轮组成的滑轮组,若不计滑轮重和摩擦,最多能提起的物重为多少?4、用滑轮组匀速提升重物,当绳子的自由端移动1.5m时,重物升高0.5m。
若重物的重力是180N,则拉绳子所用的动力为多少N?(动滑轮重,绳重和摩擦都不计)5、如图所示,一个重G = 20N的物体在拉力F的作用下被匀速提升了20 cm.若不计滑轮重和摩擦,则拉力F及其向上移动的距离s分别为多少?6、如图,物重为250 N,每个滑轮重50 N,不计绳重与摩擦,当物体被匀速提起时,加在绳子自由端的拉力F为多少N?当物体上升2 m,则绳子自由端在竖直方向移动了多少m?7、如图,若拉力F=900N,物体A重1500N,不计滑轮重和绳与滑轮间摩擦。
当绳子自由端移动3m,则沿水平方向匀速拉动物体A前进时,物体A与地面间摩擦力是多少N?,物体A移动多少m?8、如图所示,将重物提高2m所用拉力F=196N,(1)重物的质量(动滑轮重不计)?(2)F移动的距离。
9、小苏步行的信息如图,可推测此过程(1)小苏步长约为多少m ?(2)他每分钟步行速度是多少?(3)他的平均速度为多少km/h (4)他步行3km用时多少?10、如图所示是甲、乙两物体运动的路程一时间图像。
由图像可知,乙物体前2s通过的路程是多少m?甲、乙两物体全程平均速度各为多少?11、汽车在出厂前要进行测试,某次测试中,先让汽车在模拟公路上以 5m/s 的速度匀速行驶 800s,紧接着又以 15m/s 的速度继续匀速行驶了 3000m.求:(1)该汽车在前 800s 行驶的路程是多少?(2)该汽车以 15m/s 的速度行驶的时间是多少?(3)全程的平均速度是多少 m/s?。
带答案300道计算题八年级(1)66×+17y=396725x+y=1200答案:x=48y=47(2)18×+23y=230374×-y=1998答案:x=27y=79(3)44×+90y=779644x+y=3476答案:x=79y=48(4)76x-66y=408230x-y=2940答案:x=98y=51(5)67x+54y=854671x-y=5680答案x=80y=59(6)42x-95y=-141021x-y=1575答案:x=75y=48(7)47x-40y=85334×=y=2006答案:x=59y=48(8)19x-32y=-1786 75x+y=4950答案:x=66y=95 (9)97x+24y=7202 58x-Y=2900答案:x=50y=98 (10)42x+85y=6362 63x-y=1638答案:x=26y=62 (11)85x-92y=-2518 27x-y=486答案:x=18y=44 (12)79x+40y=2419 56x-y=1176答案:x=21y=19 (13)80x-87y=2156 22x-y=880答案:x=40y=12 (14)32x+62y=5134 57x+y=2850答案:x=50y=57 (15)83x-49y=8259x+y=2183答案:x=37y=61 (16)91x+70y=5845 95x-y=4275答案:x=45y=25 (17)29x+44y=5281 88x-y=3608答案:x=41y=93 (18)25x-95y=-4355 40x-y=2000答案:x=50y=59 (19)54x+68y=3284 78x+y=1404答案:x=18y=34 (20)70x+13y=3520 52x+y=2132答案:x=41y=50 (21)48×-54y=-3186 24x+y=1080答案:x=45y=99 (22)36×+77y=7619 47x-y=799答案:x=17y=91 (23)13x-42y=-2717 31x-y=1333答案:x=43y=78 (24)28×+281=3332 52x-y=4628答案:x=89y=30 (25)62x-98y=-2564 46x-y=2024答案:x=44y=54 (26)79x-76y=-4388 26x-y=832答案:x=32y=91 (27)63x-40y=-821 42x-y=546答案:x=13y=41 (28)69x-96y=-1209 42x+y=3822答案:x=91y=78 (29)85x+67y=7338 11x+y=308答案:x=28y=74(30)78×+74y=12928 14x+y=1218答案:x=87y=83 (31)39×+42y=5331 59x-y=5841答案:x=99y=35 (32)29x+18y=1916 58x+y=2320答案:x=40y=42 (33)40×+31y=6043 45x-y=3555答案:x=79y=93 (34)47×+501=8598 45x+y=3780答案:x=84y=93 (35)45x-30y=-1455 29x-y=725答案:x=25y=86 (36)11x-43y=-1361 47×+y=799答案:x=17y=36 (37)33×+59y=325494x+1=1034答案:x=11y=49 (38)89x-74y=-2735 68x+y=1020答案:x=15y=55 (39)94×+71y=7517 78x+y=3822答案:x=49y=41 (40)28x-62y=-4934 46x+y=552答案:x=12y=85 (41)75x+43y=8472 17×-y=1394答案:x=82y=54 (42)41x-38y=-1180 29x+y=1450答案:x=50y=85 (43)22x-59y=824 63x+y=4725答案:x=75y=14 (44)95x-56y=-401 90x+y=1530答案x=17y=36 (45)93x-52y=-852 29x+y=464答案x=16y=45 (46)93x+12y=8823 54x+y=4914答案:x=91y=30 (47)21x-63y=84 20x+y=1880答案:x=94y=30 (48)48×+93y=9756 38x-y=950答案:x=25y=92 (49)99x-67y=4011 75x-y=5475答案:x=73y=48 (50)83x+64y=9291 90x-y=3690答案:x=41y=92 (51)17x+62y=3216 75x-y=7350答案x=98y=25(52)77×+67y=2739 14×-y=364答案:x=26y=11 (53)20x-68y=-4596 14×-y=924答案:x=66y=87 (54)23×+87y=4110 83x-y=5727答案:x=69y=29 (55)22x-38y=804 86x+y=6708答案:x=78y=24 (56)20x-45y=-3520 56x+y=728答案:x=13y=84 (57)46x+37y=7085 61x-y=4636答案:x=76y=97 (58)17x+61y=4088 71x+y=5609答案:x=79y=45 (59)51x-61y=-190789x-y=2314答案:x=26y=53 (60)69x-98y=-2404 21x+y=1386答案:x=66y=71 (61)15x-41y=754 74x-y=6956答案:x=94y=16 (62)78x-55y=656 89x+y=5518答案:x=62y=76 (63)29×+21y=1633 31x-y=713答案:x=23y=46 (64)58x-28y=2724 35x+y=3080答案:x=88y=85 (65)28x-63y=-2254 88x-y=2024答案:x=23y=46 (66)43x+504=7064 85x+1=8330答案:x=98y=57 (67)58x-77y=1170 38x-y=2280答案:x=60y=30 (68)92x+83y=11586 43x+y=3010答案:x=70y=62 (69)99x+82y=6055 52x-y=1716答案:x=33y=34 (70)15x+26y=1729 94x+1=8554答案:x=91y=14 (71)64×+32y=3552 56x-y=2296答案:x=41y=29 (72)94x+661=10524 84x-y=7812答案:x=93y=27 (73)65x-79y=-5815 89x+y=2314答案:x=26y=95(74)96x+54y=6216 63x-y=1953答案:x=31y=60 (75)60x-441=-352 33x-y=1452答案:x=44y=68 (76)79x-45y=510 14×-y=840答案:x=60y=94 (77)29x-35y=-218 59x-y=4897答案:x=83y=75 (78)33x-24y=1905 30x+y=2670答案:x=89y=43 (79)61x+94y=11800 93x+y=5952答案:x=64y=84 (80)61x+90y=5001 48x+1=2448答案:x=51y=21 (81)93x-19y=286x-y=1548答案:x=18y=88 (82)19x-96y=-5910 30x-y=2340答案:x=78y=77 (83)80x+74y=8088 96x-y=8640答案:x=90y=12 (84)53x-94y=1946 45x+y=2610答案:x=58y=12 (85)93x+12y=9117 28x-y=2492答案:x=89y=70 (86)66x-71y=-1673 99x-y=7821答案:x=79y=97 (87)43x-52y=-1742 76x+y=1976答案:x=26y=55 (88)70x+351=8295 40x+y=2920答案:x=73y=91 (89)43×+82y=4757 11x+y=231答案:x=21y=47 (90)12x-19y=236 95x-y=7885答案:x=83y=40 (91)51x+99y=8031 71x-y=2911答案:x=41y=60 (92)37×+74y=4403 69x-y=6003答案:x=87y=16 (93)46×+34y=4820 71x-y=5183答案:x=73y=43 (94)47×+98y=5861 55x-y=4565答案:x=83y=20 (95)30x-17y=239 28x+y=1064答案x=38y=53(96)55x-12y=4112 79x-y=7268答案:x=92y=79 (97)27x-24y=-450 67x-y=3886答案:x=58y=84 (98)97×+23y=8119 14×+y=966答案:x=69y=62 (99)84×+53y=11275 70x+y=6790答案:x=97y=59 (100)51x-97y=297 19x-y=1520答案:x=80y=39。