初二下册数学分式计算题题目
- 格式:docx
- 大小:886.96 KB
- 文档页数:5
初二数学分式练习题及答案分式是数学中的重要概念,也是初中数学的基础知识之一。
在初中数学学习中,分式的运算是一个关键的内容。
为了帮助同学们更好地掌握分式的运算,以下将提供一些初二数学分式练习题及答案。
一、基础练习题1. 计算下列分式的值:(1) $\frac{2}{3}+\frac{1}{6}$(2) $\frac{5}{7}-\frac{2}{7}$(3) $\frac{3}{4}\times\frac{2}{5}$(4) $\frac{6}{13}\div\frac{2}{3}$2. 按照要求变换下列分式:(1) 化简:$\frac{4x^2-2x}{2x}$(2) 分解:$\frac{5}{xy}-\frac{7}{yx}$(3) 合并:$\frac{a}{b}\times\frac{b}{c}$(4) 变形:$\frac{1}{x}+\frac{1}{y}=\frac{x+y}{xy}$3. 求解方程:(1) $\frac{7}{10}x=\frac{35}{4}$(2) $\frac{5}{6}+\frac{x}{4}=\frac{7}{8}$(3) $\frac{3}{x}-\frac{2}{x-1}=\frac{5}{x(x-1)}$二、提高练习题1. 小明在旅行中用一辆摩托车以每小时40千米的速度行驶,计划经过$\frac{2}{5}$小时后休息10分钟,然后以每小时50千米的速度行驶到终点。
求小明旅行一段的总时间。
2. 甲,乙两个工程队共同进行一项工程,甲队完成全工程的$\frac{2}{5}$,乙队完成剩下的部分。
如果两队同时施工,还需6天可以完成全工程;如果只由甲队自行施工,需要10天完成全工程。
请问乙队自行施工需要多少天才能完成全工程?3. 甲、乙两人一起做一件工作,甲独立完成全工作需要8小时,乙独立完成全工作需要12小时。
他们两人合作完成全工作,需要多少小时?三、答案基础练习题答案:1.(1) $\frac{2}{3}+\frac{1}{6}=\frac{4}{6}+\frac{1}{6}=\frac{5}{6}$(2) $\frac{5}{7}-\frac{2}{7}=\frac{3}{7}$(3)$\frac{3}{4}\times\frac{2}{5}=\frac{3\times2}{4\times5}=\frac{3}{10}$(4)$\frac{6}{13}\div\frac{2}{3}=\frac{6}{13}\times\frac{3}{2}=\frac{6}{13 }\times\frac{3}{2}=\frac{9}{13}$2.(1) 化简:$\frac{4x^2-2x}{2x} = \frac{2x(2x-1)}{2x}=2x-1$(2) 分解:$\frac{5}{xy}-\frac{7}{yx}=\frac{5}{xy}-\frac{7}{xy}=\frac{5-7}{xy}=-\frac{2}{xy}$(3) 合并:$\frac{a}{b}\times\frac{b}{c}=\frac{a\times b}{b\timesc}=\frac{a}{c}$(4) 变形:$\frac{1}{x}+\frac{1}{y}=\frac{x+y}{xy}$ 通过分数的通分,两边同乘以$xy$得到等式$\frac{xy}{x}+\frac{xy}{y}=x+y$,化简得到$x+y=x+y$3.(1) $\frac{7}{10}x=\frac{35}{4}$,两边同乘以$\frac{10}{7}$得到等式$x=\frac{35}{4}\times\frac{10}{7}=\frac{25}{2}$(2) $\frac{5}{6}+\frac{x}{4}=\frac{7}{8}$,先通分得到等式$\frac{10}{12}+\frac{3x}{12}=\frac{7}{8}$,化简得到$\frac{10+3x}{12}=\frac{7}{8}$,两边同乘以12得到$10+3x=12\times\frac{7}{8}$,解方程得到$x=\frac{63}{8}$(3) $\frac{3}{x}-\frac{2}{x-1}=\frac{5}{x(x-1)}$,先通分得到等式$\frac{3(x-1)-2x}{x(x-1)}=\frac{5}{x(x-1)}$,化简得到$\frac{3x-3-2x}{x(x-1)}=\frac{5}{x(x-1)}$,整理得到$\frac{x-3}{x(x-1)}=\frac{5}{x(x-1)}$,可以得到方程$x-3=5$,解方程得到$x=8$。
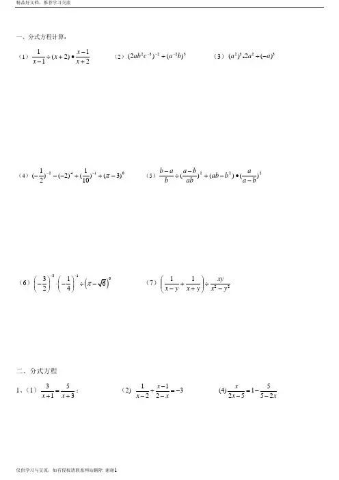
一、分式方程计算:(1)21)2(11+-•+÷-x x x x (2)32232)()2(b a c ab ---÷ (3)2323()2()a a a ÷-(4)0142)3()101()2()21(-++-----π (5)222)()()(b a a b ab ab b a b a b -•-+-÷-(6)(3103124π--⎛⎫⎛⎫-⋅-÷ ⎪ ⎪⎝⎭⎝⎭ (7)2211y x xy y x y x -÷⎪⎪⎭⎫ ⎝⎛++-二、分式方程1、(1)3513+=+x x ; (2) 11322x x x-+=--- (4)512552x x x =---(5) 25231x x x x +=++. (6) (7)(8)三、1、先化简,再求值)1121(1222+---÷--x x x x x x ,其中31-=x2、若使 互为倒数,求x 的值。
3、若分式方程3234=++xm mx 的解为1=x ,求m 的值。
1211422+=+--x x x x x 233321122--=++-x x x x 23223+---x x x x 与xx x x 231392---++四、二元一次方程组解方程组:五、可化为一元二次方程的分式方程、二元二次方程组56556--=--x x x 22(1)(5)2511x y x y ⎧++-=⎨+=⎩ 226232x x x x +---=0|a + b + 7| + a 2b 2–10ab + 25=0 2123x x x ++-+2226x x x -+-=2632x x x --+ 儿童文学的美学特征分析——以《馅饼里包进一块天》为例14汉语言 周奕娴 F11414080一,纯真之美儿童的心灵如同纯净的水晶,看待世界的眼光也是那么的稚拙纯真。
在孩子的眼里,世界是美好善良的,纤尘不染的童真是儿童最为独特而宝贵的品质。
初二数学分式的加减练习题在初二数学学习中,分式是一个重要的知识点。
理解和掌握分式的加减运算是非常关键的,本文将提供一些初二数学分式的加减练习题,帮助同学们加深对该知识点的理解。
1. 计算下列分式的和或差:a) $\frac{1}{3}+\frac{2}{3}$b) $\frac{5}{6}-\frac{3}{6}$c) $\frac{2}{5}+\frac{1}{10}$d) $\frac{3}{4}-\frac{1}{8}$2. 计算下列分式的和或差:a) $\frac{1}{2}+\frac{3}{4}$b) $\frac{5}{6}-\frac{1}{3}$c) $\frac{7}{8}+\frac{3}{16}$d) $\frac{2}{5}-\frac{3}{10}$3. 计算下列分式的和或差:a) $\frac{1}{2}+\frac{3}{5}$b) $\frac{7}{8}-\frac{1}{2}$c) $\frac{2}{3}+\frac{4}{9}$d) $\frac{3}{4}-\frac{1}{6}$4. 计算下列分式的和或差:a) $\frac{2}{3}+\frac{1}{4}$b) $\frac{5}{6}-\frac{2}{5}$c) $\frac{8}{9}-\frac{2}{3}$d) $\frac{7}{8}+\frac{3}{16}$5. 计算下列分式的和或差:a) $\frac{4}{5}+\frac{2}{3}$b) $\frac{1}{2}-\frac{1}{4}$c) $\frac{5}{6}+\frac{1}{3}$d) $\frac{7}{8}-\frac{1}{8}$以上就是初二数学分式的加减练习题。
同学们可以按照题目给定的分式进行加减运算,通过练习来巩固对分数的理解和掌握。
如果有疑问,可以向老师请教,或者在学习中与同学一起讨论解题思路。
分数的加减运算需要注意分母相同与分母不同的情况,逐步学习和练习,同学们会越来越熟练掌握这一知识点。
初二分式乘除练习题50道1. 计算下列分式的乘积:a) $\frac{2}{3} \times \frac{4}{5}$b) $\frac{3}{4} \times \frac{5}{6}$c) $\frac{1}{2} \times \frac{3}{4}$d) $\frac{5}{6} \times \frac{7}{8}$e) $\frac{2}{5} \times \frac{3}{7}$2. 计算下列分式的商:a) $\frac{2}{3} ÷ \frac{4}{5}$b) $\frac{3}{4} ÷ \frac{5}{6}$c) $\frac{1}{2} ÷ \frac{3}{4}$d) $\frac{5}{6} ÷ \frac{7}{8}$e) $\frac{2}{5} ÷ \frac{3}{7}$3. 计算下列分式的乘积或商:a) $\frac{2}{3} \times \frac{4}{5} ÷ \frac{1}{2}$b) $\frac{3}{4} ÷ \frac{5}{6} \times \frac{4}{5}$c) $\frac{1}{2} \times \frac{3}{4} \div \frac{2}{3}$d) $\frac{5}{6} \div \frac{7}{8} \times \frac{6}{7}$e) $\frac{2}{5} \times \frac{3}{7} \div \frac{4}{5}$4. 将下列分式化简,使分母为正数:a) $\frac{-2}{3}$b) $\frac{3}{-4}$c) $\frac{-5}{-6}$d) $\frac{4}{-7}$e) $\frac{-6}{8}$5. 计算下列表达式的值:a) $3 \times \left(\frac{2}{5} - \frac{1}{3}\right)$b) $\frac{2}{9} + \frac{3}{7} - \frac{5}{21}$c) $\frac{3}{4} \div \left(\frac{2}{5} + \frac{1}{3}\right)$d) $\left(\frac{4}{5} + \frac{1}{6}\right) \div \left(\frac{2}{3} -\frac{1}{4}\right)$e) $\frac{2}{3} \times \left(\frac{3}{4} - \frac{1}{6}\right) +\frac{1}{2}$6. 用分式表示下列问题,并计算:a) Tom做了$\frac{2}{5}$小时的作业,占他学习时间的$\frac{3}{4}$,他学习了多久?b) 如果$\frac{1}{8}$块蛋糕可以给一个人吃,那么12个人可以吃多少块蛋糕?c) 一个学生做数学作业花费$\frac{4}{9}$小时,然后又花费$\frac{5}{8}$小时做英语作业,一共花了多久?d) $\frac{3}{4}$米绳子被剪成了$\frac{2}{3}$米和剩下的部分,剩下的部分有多长?e) 如果一个邮箱的容量是$\frac{7}{10}$倍于另一个邮箱,容量较大的邮箱可以放几个较小邮箱的邮件?7. 将下列百分数转换为分数或小数:a) $50\%$b) $75\%$c) $25\%$d) $20\%$e) $80\%$8. 将下列分数转换为百分数或小数:a) $\frac{3}{5}$b) $\frac{2}{10}$c) $\frac{1}{4}$d) $\frac{3}{8}$e) $\frac{5}{6}$9. 在下列方程中解出未知数的值:b) $\frac{5}{2}y + \frac{1}{4} = \frac{11}{4}$c) $\frac{1}{3}z - \frac{4}{5} = -\frac{11}{15}$d) $\frac{3}{4}w + \frac{2}{3} = \frac{17}{12}$e) $4a - \frac{1}{5} = 5$10. 解下列方程组,给出未知数的值:a)$\begin{cases}2x - y = 5 \\x + 3y = 1\end{cases}$b)$\begin{cases}3x - 2y = 8 \\2x + y = 4\end{cases}$c)$\begin{cases}5x - 4y = 6 \\\end{cases}$d)$\begin{cases}\frac{x}{2} - \frac{y}{3} = 1 \\\frac{x}{4} + \frac{y}{5} = \frac{3}{10}\end{cases}$e)$\begin{cases}2x + 3y = 7 \\4x - 5y = 1\end{cases}$通过以上50道分式乘除练习题,相信你对初二阶段的分式乘除运算有了更深入的理解。
⼋年级数学下册第⼗六章《分式》单元计算题⼤全新课标⼈教版(6)⼋年级数学下册第⼗六章《分式》单元计算题⼤全新课标⼈教版1. 计算:(1)11123x x x ++(2)3xy 2÷x y 262.2223189218a a a a a +-÷-+-+, 2221()2444x x xx x x x x+----+- 3. 计算题⑴22124a aa +-- ⑵22233mn mn n p p ÷ ?⑶112---x x x ⑷2222x y xy y x x x ??--÷-⑸ 121200523-??-+ ?⑹()()23323a b ab ----?(结果只含正整数指数幂)a cb ac ÷÷(4)42232)()()(abc ab c c b a ÷-?- (5)22233)()()3(x y x y y x y x a +-÷-?+5. 计算:x x x x -+--+11211 21211+++-+x x x xx x x x x x 13632+-+--)2122()41223(2+--÷-+-a a a aaa a a a a -?+--4)22( 6. 计算(1)3223322a b a c cd d a÷? ?-7. 计算:??+--- ++11111212x x x x x x 8. 22326123()()y y xy x x÷-.22234()()()x y y y x x ÷-, 9. 22222a b ab b a a ab a ?? -+÷+ ?-??10. 计算:()2222x 2xy+y x yxy+x xy x++÷-÷a a a 2122+-12.6532----x x x x x ; 211a a a +-+ 42()a a a a+-÷; 13. 计算:22()x y- 22)2(4yx y x -÷ 14. 计算(1)168422+--x x x x (2)mn nn m m m n n m -+-+--2 15. 计算:(1)232223(4)(2)x y z xy z -?- ;(2)9323496222-?+-÷-+-a a b a ba a .(3)2221()244x x x x x -+÷+--(4) 44()()xy xy x y x y x y x y -++--+16.化简:1441312-+-÷?--+x x x x x17. 22a b b a b a b a b a b --??÷ ?+-+??-18.2121()2a bca bc ---÷ 221()()x x x x ---÷- 30(0.25)(0.25)--+-332p mn p n n m ÷???? ??? ⑵2)22444(22-÷+-++--x xx x x x x (3)11141+-???? ??-+-a a a a a (4)()1632125.00 2+--?-?-π20. 计算:(1)222x y xy x y x y +--- (2)???? ??-÷??? ?-y x x y 1121. 22[()]33x y x yx y x x y x x +----÷+ 222212111a a a a a a a a --÷++++; 22.??-÷x y y x 346342;-y x x y x y x 22426438; 23. 化简:232224a a aa a a ??-÷ ?+--??. 24. 计算:(1)130)21()2()21(----÷- ;(2)329122---m m . 25.xy x xz xy x z y x y xy x z y x y x --+?--++÷---2222222222)(2)(; () yy y x xy xy -+?+-33212.27. 计算:)12()23()344(222222---÷++-?+--x x x x x x x x 28.215()()x xy x y x x x y x --+-÷- 42321()()x y x y y--÷29.(1+1m)÷22121m m m --+30. 计算⑴2332)2(2ab c d a cd b a ?÷-)((2)2228224a a a a a a +-??+÷ ?--??(3)44()()xy xy x y x y x y x y-++--+ (4)2233x y x y x y x x y x x ??+-??---÷ +? 31. 计算:()()()()()() c a a b b ca b b c b c c a c a a b ---++------32.222()111a aa a a ++÷++- 33.1)111(2-÷-+x x x34. 计算:(1))141)(141(+-+-+-a a a a a a (2) 1211111222+-+-÷??? ??---x x x x x 35. 计算:32)(y x y x --? 32232)()2(b a c ab ---÷)102.3()104(36- 2125)103()103(--?÷?36.624)373(+-÷+--a a a a 37. 计算下列各式:(1)22 33222)(b a ab ba b a b a ba -+--+÷(2)a a a a a a a a 444122)(22-+---+÷-38.计算(1)ab c 2cb a 22?(2)322542n m m n- (3)-÷x x y 27(4)-8xy xy 52÷ (5)39. 化简(1)2232129x y x y (2)222x x y xy -- (3)222221x x x --+ (4) 22 39m m m-- (5)()()2222x y z x y z --+-40. 计算: ()3322232n m n m --? 41.计算:33xx 1x 1+++ ⑵.计算:223x 1x 36x 6x x +-?-+ 42. 计算⑴5331111x x x x+---- ⑵22y xy x y y x -+- ⑶()432562b ab a ÷- (4)()113423-??--+--(5)(1a x -)÷22x a x -43. 计算:23011)31(64)3()1(4-+--?-+-π计算:y x yx28712÷ 44. 计算2222444(1)(4);282a a a a a a a --+÷-+--(2)0)1(213=-+--x x x x 45. 计算:(3)96312-++a a (4) 96-22; 46. 22211()961313a a a a a a -÷++++ 13(1)224a a a --÷-- 47.223252224x x x x x +??+÷ ?-+-??48. 计算:(1);(2)()2442444222-+-?-÷++-a a a a a a a(3)a b a ab ab a b a b a b a -+÷--?-2232 (4)2216168m m m -++÷428m m -+·2 2m m -+(5)(2b a )2÷(b a -)·(-34b a)3(6)a b ab a b a b ab a b 2222121121-+---÷---++49. 化简:221211241x x x x x x --+÷++-- 2121a a a a a -+?-÷50. 计算:(1)22424422x x xx x x x ??--+÷ ?-++-??(2) 121a a a a a --??÷- ,(3)()2111211x x x ??+÷-- ?--?(4)232224xx x x x x ??-÷ ?-+-??,51. 计算:(1)423223423b a d c cd ab ? (2)m m m m m --?-+-3249622 (3).(xy -x 2)÷xy y x - (4).24244422223-+-÷+-+-x x x x x x x x (5).12--x x ÷(x +1-13-x )(6).x x x x 3922+++969(8)x y y x y x y x y y x ----+-+2. (9).232323194322---+--+x x x x x 52. 计算:)2(121y x x yx y x x --++- 53.2243312()()22a a b a b b -÷- 2221644168282m m m m m m m ---÷++++,54. 计算:cd b a c ab 4522223-÷ 411244222--?+-+-a a a a a am m m 7149122-÷- 228241681622+-?+-÷++-a a a a a a a 55.计算3223322a b a c cd d a÷? ?-56. 计算:24424441622++++-÷++-m m m m m m m 57.11)1111(-÷--+a a a 58. 计算:(1) ()()322322y x z xy ---÷ (2) x yx y x xy x y x x -÷211111222+-+-÷??? ??---x x x x x 59. 化简下列各式1. 212312+-÷??? ??+-x x x2.2111a a a a -++-3. 22(1)b a a b a b-÷+-4.352242a a a a -??÷-- ?--??5.)2422(4222+---÷--x x x x x x6. (x 2+4x -4)÷ x 2-4 x 2+2x7. 1-aa a a a 21122+-÷- 8. 2211(1).a a a a--÷+ 9. 2112()x x xx x x +++÷+ 10. 6931x x x x --÷- ? ??11. 21(1)1xx x x x ??-÷+ ?--??12.39631122-+÷+---+x xx x x x x 13. 432112--÷??? ??--a a a 14. 1224422++÷--a a a a15.22444()2x x x x x x -+÷-- 16. ,1 11122--+÷-x xx x x 17. 260. 计算: aa --+242 61. 计算与化简:(1)222)2222(x x x x x x x --+-+- (2) 1- aa a a a 21122+-÷- 62. 2301()20.1252005|1|2---?++- ()3 22514-++-÷13-, 63. 2141326a a a -??+÷--64.(112-+a a +1)? a a a 122+-65. 计算与化简:(1)222x y y x ?;(2)22211444a a a a a --÷-+-;(3)22142a a a ---;(4)211a a a ---;(5)()()222142y x x y xy x y x +-÷-.66.计算43222??? ?-÷ - -x y x y y x 67. 计算 1、y x axyx y x y 2211-+- 3、1111-÷??--x x x 4、22224421y xy x y x y x y x ++-÷+-- 5、2 2221106532xyx y y x ÷? 6、m n n n m m m n n m -+-+--2 7、4412222+----+x x x x x x 8、x x x x x x x x 4)44122(22-÷+----+ 9.xx x x x x x x 4)44122(22-÷+----+ 10.2144122++÷++-a a a a a 68. 化简下列分式(1)232123ab b a - (2)232213n m nm - (3))1(9)1(322m ab m b a ---(4))(12)(2222x y xy y x y x -- (5)22112mm m -+- (6)222963a ab b aba +-- 69. 计算:(1)b a ab a b --- (2)324332??x y y x (3)()1302341200431-??--+- - (4)()()222234a a a a -÷-70. 211()(3)31a a a a +---- 71.计算:22121124x x x x ++?72. 计算:221.111x x x x x ??-÷ ?-+-?? 73. 计算(1) 22)2(4y x y x -÷ (2) 432221??--ab a b b a(3)2222255343m n p q mnp pq mn q ?÷ (4)??÷ - -a bc ab c c b a 223274. 计算:(1)(2x y )2·(2y x )3÷(-y x )4;(2)(2b a )2÷(b a -)·(-34b a)375. 计算:①3333x x x x -+-+-;②212211933a a a +--+-;③2111111x x x ++-+-. 76. 计算:(4a a -)÷2a a+.77.233()()()24b b b a a a -÷- 22136932x x x x x x +-÷-+-+ 78. 计算:①2114()22x x x x --?-+;②22214()244x x x x x x x x+---÷--+;③11x x x -?-;④211(1)(1)11x x x +---+;⑤342n m n m n m ÷-? (2)2324222263ab a c c d b b ??-??÷? ? ?-?80.??--+÷--252423x x x x 23111x x x x -??÷+- ?--??81. 计算:(1)1111-÷??? ?--x x x (2)4214121111xx x x ++++++- 82. 计算:11)121(2+-÷+-x x x 83.化简:(1-44822+++a a a )÷aa a 2442+-84. 计算:(1)222x y xy x y x y +--- (2)-÷ -y x x y 11 (3).)1(1aa a a -÷- (4). )(22ab b a a ab a -÷- 85.21(1)(2)x x x++÷+86. 计算:(1)44223x y c ??-(2) mn a a n m 4322? (3) 222 324835154b a n n b a -?。
初二分式专项练习题一、简答题1.什么是分式?分式是数学中的一种表示形式,用一个分数表示的数叫做分数或分式。
分式由分子和分母组成,分子在上面,分母在下面,用一条横线分隔。
2.什么是分式的分子和分母?分数的分子是它的上面的数,分母是它的下面的数。
3.分式的主要运算有哪些?分式的主要运算有加法、减法、乘法和除法。
二、计算题1.计算:(2/3) + (1/5)解答:先求最小公倍数,最小公倍数是15。
然后将两个分式的分母都改为15后相加:(10/15)+(3/15) = 13/15∴(2/3) + (1/5) = 13/152.计算:(3/4) - (1/8)解答:先求最小公倍数,最小公倍数是8。
然后将两个分式的分母都改为8后相减:(6/8)-(1/8) = 5/8∴(3/4) - (1/8) = 5/83.计算:(2/3) * (3/4)解答:直接将两个分式的分子相乘,分母相乘:(2*3)/(3*4)= 6/12 = 1/2∴(2/3) * (3/4) = 1/24.计算:(2/3) ÷(4/5)解答:将除法转化为乘法,即将除号改为乘号并将第二个分式的分子与分母互换:(2/3) * (5/4)= 10/12 = 5/6∴(2/3) ÷(4/5) = 5/6三、应用题1.甲组同学一起制作一张海报,甲组完成了3/5的工作,乙组完成了1/4的工作,还剩下多少工作?解答:甲组完成了3/5的工作,乙组完成了1/4的工作,还剩下的工作可以表示为:1 - (3/5 + 1/4)。
先求最小公倍数,最小公倍数是20。
然后将两个分式的分母都改为20后相加:(12/20)+(5/20) = 17/20所以还剩下的工作是:1 - 17/20 = 3/202.小明妈妈煮了3/4的米饭,小明吃掉了1/6的米饭,还剩下多少米饭?解答:小明妈妈煮了3/4的米饭,小明吃掉了1/6的米饭,还剩下的米饭可以表示为:3/4 - 1/6。
八年级数学下册分式单元测试题一、精心选一选(每小题3分,共24分)1.计算223)3(a a ÷-的结果是( )(A )49a - (B )46a (C )39a (D )49a2.下列算式结果是-3的是( )(A )1)3(-- (B )0)3(- (C ))3(-- (D )|3|--4.下列算式中,你认为正确的是( )A . 1-=---a b a b a bB 。
11=⨯÷ba ab C . D . b a b a b a b a +=--•+1)(1222 5.计算⎪⎪⎭⎫ ⎝⎛-÷⎪⎪⎭⎫ ⎝⎛-⋅24382342y x y x y x 的结果是( ) (A )x 3- (B )x 3 (C )x 12- (D )x 126.如果x >y >0,那么xy x y -++11的值是( ) (A )0 (B )正数 (C )负数 (D )不能确定 7.如果m 为整数,那么使分式13++m m 的值为整数的m 的值有( ) (A )2个 (B )3个 (C )4个 (D )5个8.已知122432+--=--+x B x A x x x ,其中A 、B 为常数,则4A -B 的值为( ) (A )7 (B )9 (C )13 (D )5二、细心填一填(每小题3分,共30分)9.计算:-16-= .10.用科学记数法表示:-0.00002004= .11.如果32=b a ,那么=+b a a ____ . 12.计算:ab b b a a -+-= . 13.已知31=-a a ,那么221a a += . 14.一根蜡烛在凸透镜下成一实像,物距u ,像距v 和凸透镜的焦距f满足关系式:1u +1v =1f. 若f =6厘米,v =8厘米,则物距u = 厘米. 15.若54145=----x x x 有增根,则增根为___________.16、若20)63(2)3(----x x 有意义,那么x 的取值范围是 。
八年级数学下册分式单元测试题一、精心选一选(每小题3分,共24分)1.计算223)3(a a ÷-的结果是( )(A )49a - (B )46a (C )39a (D )49a 2.下列算式结果是-3的是( )(A )1)3(-- (B )0)3(- (C ))3(-- (D )|3|-- 4.下列算式中,你认为正确的是( ) A .1-=---a b a b a b B 。
11=⨯÷baa b C .D . b a b a b a b a +=--•+1)(12225.计算⎪⎪⎭⎫⎝⎛-÷⎪⎪⎭⎫ ⎝⎛-⋅24382342y x y x y x 的结果是( )(A )x 3- (B )x 3 (C )x 12- (D )x 12 6.如果x >y >0,那么xyx y -++11的值是( ) (A )0 (B )正数 (C )负数 (D )不能确定 7.如果m 为整数,那么使分式13++m m 的值为整数的m 的值有( ) (A )2个 (B )3个 (C )4个 (D )5个 8.已知122432+--=--+x Bx A x x x ,其中A 、B 为常数,则4A -B 的值为( ) (A )7 (B )9 (C )13 (D )5二、细心填一填(每小题3分,共30分)9.计算:-16-= .10.用科学记数法表示:-0.00002004= .11.如果32=b a ,那么=+b a a____ .12.计算:a b bb a a -+-= . 13.已知31=-a a ,那么221aa += .14.一根蜡烛在凸透镜下成一实像,物距u ,像距v 和凸透镜的焦距f满足关系式:1u +1v =1f. 若f =6厘米,v =8厘米,则物距u = 厘米.15.若54145=----xx x 有增根,则增根为___________. 16、若2)63(2)3(----x x 有意义,那么x 的取值范围是 。
分式方程练习题及答案一、选择题(每小题 3 分,共30 分)1.下列式子是分式的是()A.xB.2C.xD.x +y 2 x π22.下列各式计算正确的是()A.a=a -1B.b=bC.n=na , (a ≠ 0)D.n=n +a b b -1 a ab m ma m m +a3.下列各分式中,最简分式是()A.3(x -y) m2-n2B. a 2-b2C.2 2x 2 -y 2D.7(x +y) m +n a b +ab x 2 - 2xy +y 24.化简m2- 3m9 -m2的结果是()A.mB. -m + 3mC.m + 3mD.m - 3m3 -m5.若把分式x +y中的x 和y 都扩大2 倍,那么分式的值()xyA.扩大2 倍B.不变C.缩小2 倍D.缩小4 倍6.若分式方程1x - 2+3 =a -x有增根,则a 的值是()a +xA.1 B.0 C.—1 D.—2a =b=c a +b7.已知2 3 4 ,则 c 的值是()4 A.57B.45C.1D. 428. 一艘轮船在静水中的最大航速为 30 千米/时,它沿江以最大航速顺流航行 100 千米所用时间,与以最大航速逆流航行 60 千米所用时间相等,江水的流速为多少?设江水的流速为 x 千米/时,则可列方程( )A .100 x + 30 C .100 30 - x =6030 - x=6030 + xB .100 =x + 30 D .100 =x - 30 60x - 3060x + 309. 某学校学生进行急行军训练,预计行 60 千米的路程在下午 5 时到达,后来由于把速度加快 20% ,结果于下午 4 时到达,求原计划行军的速度。
设原计划行军的速度为 xkm/h ,,则可列方程()60 = A. x 60 + 1x + 20%60 = B. x 60 - 1 x + 20%60 = 60 + 1 60 = 60 - 1 C. xx (1 + 20%) D. xx (1 + 20%)10. 已知ab +c = b a + c = c a + b= k ,则直线 y = kx + 2k 一定经过()A.第一、二象限B.第二、三象限C.第三、四象限D.第一、四象限二、填空题(每小题 3 分,共 18 分) 11.计算a -2b 3 ÷(a 2b )-3 =.12.用科学记数法表示—0.000 000 0314=.13. 计算 2a - a 2- 4 1 =.a - 214. 方程 3= x 4 70 - x的解是.15.瑞士中学教师巴尔末成功地从光谱数据 9 ,16 , 25 , 36,中得到巴尔末公式,从而打开了光谱奥5 12 21 32秘的大门。
分式专题题型一:分式的概念:【例题1】以下各式:5.043,23,33,,22,22-++-+x x y x x xy x x x π,其中分式有______个. 〔 〕A 、1B 、2C 、3D 、4 【练一练】1. 以下式子中,属于分式的是 〔 〕A 、π1 B 、3x C 、11-x D 、52 2. 以下式子中,2a ,3x ,1m m +,23x +,5π,2a a ,23-.哪些是整式?哪些是分式?整式有:________________________________;分式有:________________________________;题型二:分式有意义,分式值为0:【例题2】以下各式中,〔1〕2m m +;〔2〕1||2m -;〔3〕239mm --.m 取何值时,分式有意义?【练一练】1. x 为任意实数,分式一定有意义的是 〔 〕A 、21x x - B 、112-+x x C 、112+-x x D 、11+-x x 2. 假设代数式4-x x有意义,则实数x 的取值范围是________________. 3. (1)假设分式11+x 有意义,则x 的取值范围是________________; (2)已知分式ax x x +--532,当2=x 时,分式无意义,则=a _______________________.4. 假设不管x 取何实数,分式mx x x ++-6322总有意义,则m 的取值范围是______________________. 【例题3】当x 为何值时,〔1〕2132x x +-;〔2〕221x x x +-;〔3〕224x x +-.各式的值为0.【练一练】 1. 已知分式11+-x x 的值是零,那么x 的值是 〔 〕 A 、-1 B 、0 C 、1 D 、1±2. 假设分式112--x x 的值是零,则x 的值为 〔 〕A 、-1B 、0C 、1D 、1±3.(1)如果分式212-+-x x x 的值为零,那么x 的值为_____________________;(2)当=x ______________时,分式123++x x 的值是零;(3)当=x ______________时,分式112--x x 的值为零.【例题4】当x 满足什么条件时,分式2122-++x x x 的值是负数?正数?【练一练】1.(1)假设分式1232-a a 的值为负数,则a 的取值范围为__________________;(2)当整数=x _____________时,分式16-x 的值是负整数; (3)已知点)82017,22018(2-++n n n 在第四象限,则n 的取值范围是______________________. 2. 当x 为何值时,分式232-+x x 的值为正数?负数?题型三:分式的基本性质I (分子、分母同乘或除以一个不等于0的数或整式):【例题5】如果把分式中的都扩大3倍,那么分式的值 〔 〕A 、扩大3倍B 、不变C 、缩小3倍D 、扩大2倍 【例题6】不改变分式的值,将以下分式的分子、分母中的系数化为整数.(1)0.20.020.5x yx y+-〔2〕11341123x y x y +- 【练一练】1. 如果把分式yx xy+中的x 和y 都扩大为原来的2倍,那么分式的值 〔 〕 A 、扩大为原来的4倍 B 、扩大为原来的2倍 C 、不变 D 、缩小为原来的21 2. 如果把分式y x y x ++2中的x 和y 都缩小为原来的31,那么分式的值 〔 〕 A 、扩大为原来的3倍 B 、缩小为原来的31 C 、缩小为原来的91D 、不变 yx x232-y x ,3. 分式x--11可变形为 〔 〕 A 、11--x B 、x +-11 C 、x +11 D 、11-x 4. 不改变分式的值,将以下分式的分子、分母中的系数化为整数.并将较大的系数化成正数.(1) xx xx 24.03.12.001.032+- (2) yx y x +-5.12.041题型四:分式的基本性质II (约分和通分):【例题7】约分:〔1〕; 〔2〕;〔3〕1616822-+-a a a ,其中5=a 〔4〕y x y x ---2422,其中1,3==y x【练一练】 1. 约分:(1) 2323510c b a bc a - (2))(3)(2b a b b a a ++- (3)32)()(a x x a -- (4)393--x x (5)2222222y xy x xy y x +-- (6)2222)1()1()1(-+-x x x2. 先化简,再求值:(1) 22)2(1)(4-+--x x x x ,其中7-=x (2)已知212=-=+y x y x ,,求2222222y xy x y x ++-的值.【例题8】 通分:(1)分式abc b a ab 3,1,22的最简公分母是________;(2)分式222,7n m mnn m ---的最简公分母是____________; (3)分式122,1441,1232-+-+a a a a 的最简公分母是______________________; (4)分式2222222,2,b ab a cb ab a b b a a +-++-的最简公分母是_____________________________; (5)分式22941,461,461y y y x y x -+-的最简公分母是_____________________________________;(6)分式acbb ac c b a 107,23,5422的最简公分母是__________,通分时,这三个分式的分子分母依次乘以_______________,____________,_______________.【练一练】通分:(1)xz xz y x 45,34,2123 〔2〕32)1(,)1(,1a z a y a x --- 〔3〕42,882,4422-+-+-a c a a b a a a【例题8】已知xy y x 4=-,求yxy x yxy x ---+2232的值【练一练】1. 假设2=+abb a ,则=++++22224b ab a b ab a ___________;假设311=-y x ,则代数式=----y xy x y xy x 22142____________;2. 已知311=-y x ,求yxy x yxy x ----2232的值.题型五:分式的加减:【例题9】 计算:(1) 〔2〕〔3〕22222333a b a b a b a b a b a b +--+-222422x x x x x +-+--222222222a ab b a b b a a b ++---〔4〕 〔5〕 〔6〕.【练一练】1. (1)111+-+x x x =_________;(2)x y x y x y -+-=_________;(3)2222235b a ab a b a ---+=__________. 2. (1)已知1,3==+ab b a ,则=+a b b a ___________;(2)已知0322=++b ab a ,则=+ab b a __________. 3.〔1〕 〔2〕 〔3〕222442242x x x x x x-+-++-+【例题10】已知,求整式A ,B .21132a ab +2312224x x x x +-+--211a a a ---22256343333ab b a a b a bc ba c cba +-++-2222()()a b a b b a ---34(1)(2)12x A Bx x x x -=+----【练一练】1. 假设11)1)(1(3-++=-+-x Bx A x x x ,求整式A ,B.题型六:分式的乘除:【例题11】 计算:(1)(2) (3)(4).【练一练】422449158a b xx a b 222441214a a a a a a -+--+-222324a b a bc cd -÷2222242222x y x y x xy y x xy -+÷+++1.计算:〔1〕32232)()2(y x x y -- 〔2〕x x x x x x +-÷-+-22211122.先化简,再求值:〔1〕其中 〔2〕其中=-1.3.已知求的值.题型七:分式方程:【例题12】解分式方程:,144421422x x x x x ++÷--14x =-⋅,ab .b b a a b a b a a 222224)()(+÷--,21=a b .0)255(|13|2=-+-+b a b a 323232236().()()a ab ba b b a-÷--〔1〕〔2〕 〔3〕【练一练】 〔1〕0122=-+x x 〔2〕22231--=-x x x〔3〕x x x -=+--23123 〔4〕1132-=+-x xx x题型七:分式方程增根问题:10522112x x +=--225103x x x x -=+-21233x x x -=---【例题13】(1)假设分式方程有增根,求值;〔2〕假设分式方程有增根,求的值.【练一练】 1、假设关于x 的方程0111=----x xx m 有增根,则m 的值是 〔 〕 A 、3B 、2C 、1D 、-12、假设关于x 的分式方程1322m x x x++=--有增根,则m 的值是 〔 〕 A 、1m =- B 、2m =C 、3m =D 、0m =或3m =3、假设关于x 的方程0552=-+--x mx x 有增根,则m 的值是 〔 〕 A 、-2 B 、-3 C 、5 D 、3223242mx x x x +=--+m 2221151k k x x x x x---=---1x =-k4、如果方程有增根,那么增根是_____.假设方程114112=---+x x x 有增根,则增根是______.5、已知分式方程5133x mx x+=--有增根,则m 的值为 .6、(1)假设关于x 的分式方程xx x m 2132=--+有增根,则该方程的增根为________________; (2)假设关于x 的方程2222=-++-xm x x 有增根,则m 的值是__________________. 7、假设关于x 的分式方程3232-=--x m x x 有增根,则2-m 的值为________________.题型八:分式方程无解问题:【例题14】假设关于x 的分式方程6523212+-=---x x x a x 总无解,求a 的值。
八年级数学下册分式单元测试题一、精心选一选(每小题3分,共24分)1.计算223)3(a a ÷-的结果是( )(A )49a - (B )46a (C )39a (D )49a 2.下列算式结果是-3的是( )(A )1)3(-- (B )0)3(- (C ))3(-- (D )|3|-- 4.下列算式中,你认为正确的是( ) A .1-=---a b a b a b B 。
11=⨯÷baa b C .D . b a b a b a b a +=--•+1)(12225.计算⎪⎪⎭⎫⎝⎛-÷⎪⎪⎭⎫ ⎝⎛-⋅24382342y x y x y x 的结果是( )(A )x 3- (B )x 3 (C )x 12- (D )x 12 6.如果x >y >0,那么xyx y -++11的值是( ) (A )0 (B )正数 (C )负数 (D )不能确定 7.如果m 为整数,那么使分式13++m m 的值为整数的m 的值有( ) (A )2个 (B )3个 (C )4个 (D )5个 8.已知122432+--=--+x Bx A x x x ,其中A 、B 为常数,则4A -B 的值为( ) (A )7 (B )9 (C )13 (D )5二、细心填一填(每小题3分,共30分)9.计算:-16-= .10.用科学记数法表示:-= .11.如果32=b a ,那么=+b a a____ .12.计算:a b bb a a -+-= . 13.已知31=-a a ,那么221aa += .14.一根蜡烛在凸透镜下成一实像,物距u ,像距v 和凸透镜的焦距f满足关系式:1u +1v =1f . 若f =6厘米,v =8厘米,则物距u = 厘米. 15.若54145=----xx x 有增根,则增根为___________.16、若20)63(2)3(----x x 有意义,那么x 的取值范围是 。