乘法公式变形及应用
- 格式:doc
- 大小:184.00 KB
- 文档页数:1
乘法公式应用综合在咱们的数学世界里,乘法公式那可真是个神奇的存在!就像一把万能钥匙,能帮咱们打开好多难题的锁。
先来说说完全平方公式吧,(a ± b)² = a² ± 2ab + b²,这玩意儿可太有用啦!我记得有一次,我去逛菜市场,看到一个卖水果的摊位。
摊主正在算着成本和利润。
他说一箱苹果进价是 a 元,他打算每箱加价 b 元出售。
那按照完全平方公式,他每箱的利润就是 (a + b)² - a² = 2ab +b²。
这可让他一下子就清楚了自己能赚多少钱。
还有平方差公式 (a + b)(a - b) = a² - b²,也是解决问题的好帮手。
比如在装修房子的时候,要计算房间地面的面积。
如果房间的长是 (a + b) 米,宽是 (a - b) 米,那么地面的面积就是 a² - b²平方米。
乘法公式在代数运算中更是大显身手。
比如化简式子 (x + 2y)² - (x - 2y)²,咱们就可以直接套用公式。
先把前面的 (x + 2y)²展开得到 x² +4xy + 4y²,后面的 (x - 2y)²展开得到 x² - 4xy + 4y²,然后一减,4xy 就抵消掉了,剩下 8xy 。
是不是很简单?再看这道题:已知 a + b = 5 ,ab = 3 ,求 a² + b²的值。
这时候咱们就可以用完全平方公式啦,(a + b)² = a² + 2ab + b²,变形一下,a² + b² = (a + b)² - 2ab ,把数值带进去,5² - 2×3 = 19 。
乘法公式在几何图形中也有出色的表现。
比如说一个正方形的边长增加了 x ,那它的面积增加多少呢?原来正方形的边长是 a ,面积就是 a²。
不等式的常用变形公式一、加减法变形公式不等式的加减法变形公式是我们在解不等式问题时经常使用的一种变形方式。
具体表达如下:1. 加法变形公式:对于不等式 a < b,如果两边同时加上相同的数 c,不等式的方向不变,即 a + c < b + c。
例如,对于不等式2x - 3 < 5,我们可以通过加法变形公式将其变形为 2x - 3 + 3 < 5 + 3,得到 2x < 8。
2. 减法变形公式:对于不等式 a < b,如果两边同时减去相同的数 c,不等式的方向不变,即 a - c < b - c。
例如,对于不等式 3x + 4 > 7,我们可以通过减法变形公式将其变形为 3x + 4 - 4 > 7 - 4,得到 3x > 3。
二、乘法变形公式不等式的乘法变形公式是解决不等式问题时常用的另一种变形方式。
具体表达如下:1. 正数乘法变形公式:对于不等式 a < b,如果两边同时乘以一个正数 c(c > 0),不等式的方向不变,即 ac < bc。
例如,对于不等式 2x < 6,我们可以通过正数乘法变形公式将其变形为 2x * 3 < 6 * 3,得到 6x < 18。
2. 负数乘法变形公式:对于不等式 a < b,如果两边同时乘以一个负数 c(c < 0),不等式的方向改变,即 ac > bc。
例如,对于不等式-3x > 9,我们可以通过负数乘法变形公式将其变形为 -3x * (-3) > 9 * (-3),得到 9x < -27。
三、除法变形公式除法变形公式是不等式中应用较少的一种变形方式,但在特定情况下仍然有一定的应用价值。
具体表达如下:对于不等式 a < b,如果两边同时除以一个正数 c(c > 0),不等式的方向不变,即 a/c < b/c。
例如,对于不等式4x > 12,我们可以通过除法变形公式将其变形为 4x / 4 > 12 / 4,得到 x > 3。
八年级上册数学乘法公式一、乘法公式的基本内容。
(一)平方差公式。
1. 公式内容。
- (a + b)(a - b)=a^2-b^2。
2. 公式的几何解释(以人教版教材为例)- 我们可以通过一个边长为a的大正方形,在其中一角去掉一个边长为b的小正方形来理解。
- 大正方形的面积是a^2,小正方形的面积是b^2。
- 剩下的图形可以看作是一个长为(a + b),宽为(a - b)的长方形,其面积为(a +b)(a - b),所以(a + b)(a - b)=a^2-b^2。
3. 公式的应用示例。
- 例1:计算(3x+2y)(3x - 2y)。
- 解:这里a = 3x,b=2y,根据平方差公式(a + b)(a - b)=a^2-b^2,可得(3x+2y)(3x - 2y)=(3x)^2-(2y)^2=9x^2-4y^2。
- 例2:计算( - 5m+4n)( - 5m - 4n)。
- 解:a=-5m,b = 4n,则( - 5m+4n)( - 5m - 4n)=(-5m)^2-(4n)^2=25m^2-16n^2。
(二)完全平方公式。
1. 公式内容。
- (a + b)^2=a^2+2ab + b^2;(a - b)^2=a^2-2ab + b^2。
2. 公式的几何解释(人教版)- 对于(a + b)^2,可以看作边长为(a + b)的正方形的面积。
- 这个正方形的面积可以分成四部分:边长为a的正方形面积a^2,两个长为a宽为b的长方形面积2ab,边长为b的正方形面积b^2,所以(a + b)^2=a^2+2ab +b^2。
- 对于(a - b)^2,可以看作边长为a的正方形去掉两个长为a宽为b的长方形(这两个长方形有一个边长为b的公共部分)后再加上边长为b的正方形的面积,即(a - b)^2=a^2-2ab + b^2。
3. 公式的应用示例。
- 例1:计算(2x+3y)^2。
- 解:这里a = 2x,b = 3y,根据(a + b)^2=a^2+2ab + b^2,可得(2x+3y)^2=(2x)^2+2×(2x)×(3y)+(3y)^2=4x^2+12xy + 9y^2。
乘法公式变形教案教案标题:乘法公式变形教案教学目标:1. 理解乘法公式的基本概念和用途;2. 掌握乘法公式的变形方法;3. 能够熟练应用乘法公式解决实际问题。
教学准备:1. 教师准备:黑板、白板、彩色粉笔或白板笔、教学课件;2. 学生准备:练习册、笔、纸。
教学过程:Step 1:导入新知1. 教师通过提问引导学生回忆并复习乘法公式的基本概念和用途。
2. 教师向学生提出一个实际问题,例如:“小明买了3本书,每本书的价格是5元,他一共花了多少钱?”引导学生运用乘法公式解决问题。
Step 2:乘法公式的变形方法1. 教师通过示例演示乘法公式的变形方法,例如:将乘法公式a × b = c 变形为c ÷ a = b 或c ÷ b = a。
2. 教师解释变形方法的原理,帮助学生理解变形后等式的含义和关系。
Step 3:练习与巩固1. 学生个别或小组完成练习册上的乘法公式变形练习题,教师巡回指导,及时纠正学生的错误。
2. 教师组织学生进行小组讨论,分享他们的解题思路和方法。
Step 4:拓展应用1. 教师设计一些拓展应用题,要求学生运用乘法公式的变形方法解决实际问题。
2. 学生个别或小组完成拓展应用题,教师进行评价和反馈。
Step 5:总结与归纳1. 教师与学生共同总结乘法公式的变形方法及其应用。
2. 教师提醒学生在日常生活中遇到类似问题时,可以灵活运用乘法公式进行变形解决。
Step 6:作业布置1. 教师布置相关乘法公式变形的作业,要求学生独立完成。
2. 教师提醒学生及时向老师请教和解决问题。
教学反思:教师可以根据学生的实际情况和学习进度,适当调整教学方法和步骤,确保学生能够理解和掌握乘法公式的变形方法。
同时,教师还可以通过举一反三的方式,引导学生将乘法公式的变形方法应用到其他相关问题中,提高学生的综合运用能力。
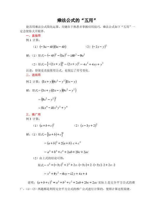
乘法公式的“五用”能否用乘法公式简化运算,关键在于熟悉并掌握应用技巧,乘法公式如下“五用”一定会使你大开眼界。
一、直接用例1 计算:(1)()()b a b a 4343--- (2)()22y x -- 解:(1)原式=()()2234a b --=22916a b - (2)原式=()[]22y x +-=()22y x +=2244y xy x ++ 注意:即使是直接使用公式,也别忘了符号变化。
二、连续用例2 计算:()()()y x y x y x --+39322解:原式=()()()22933y x y x y x --+=()2229y x - =42241881y y x x +-三、推广用例3 计算:(1)()2c b a ++ (2)()223+-y x 解:(1)原式=()[]2c b a ++ =()()222c c b a b a +⋅+++ =ac bc ab c b a 222222+++++(2)由上式的结论可得:原式=()()()222323223222⋅+⋅-⋅+-⋅++-+x y y x y x =44126922++--+x y xy y x说明:()ac bc ab c b a c b a 2222222+++++=++实际上是完全平方公式的推广,(1)(2)两题都是利用完全平方公式的推广公式进行计算的,便得计算过程简捷。
四、逆向用例4 计算:⎪⎭⎫ ⎝⎛-⎪⎭⎫ ⎝⎛-⎪⎭⎫ ⎝⎛-222411311211…⎪⎭⎫ ⎝⎛-21011 解:原式=⎪⎭⎫ ⎝⎛+⎪⎭⎫ ⎝⎛-⎪⎭⎫ ⎝⎛+⎪⎭⎫ ⎝⎛-311311211211…⎪⎭⎫ ⎝⎛+⎪⎭⎫ ⎝⎛-10111011 =⨯⨯⨯⨯34322321 (1011)109⨯ =101121⨯ =2011说明:这里逆用平方差公式,变形相约,使得计算十分简捷。
五、变形用例5 (1)已知4=-b a ,5=ab ,求22b a +的值。
乘法公式一、细说乘法公式1、平方差公式应用的条件:两个多项式相乘,一个多项式可以看作两数的和,另一个多项式正好是这两数的差,或两多项式中,一项相同,另一项互为相反数结果写成:(相同项)2-(相反项)2 2、完全平方公式:结果可看作对这两数分别平方,再加上它们乘积的2即写成:(a-b )2=a 2+b 2-2ab 试写出:(a-b-c )2=3、完全平方公式相关变形及推广: ○1()()222222a b a b ab a b ab +=+-=-+; ○2ab b a b a 4)()(22=--+; ○3()()()222a b a b a b -+=--=-⎡⎤⎣⎦; ○4()()()222a b a b a b --=-+=+⎡⎤⎣⎦;⑤(a-b+c-d )2 =二、下列能运用什么乘法公式:3、(b-a) (-a-b) 〈比较两项的关系: 〉∴=4、(-a-b )(a+b) 〈比较两项的关系: 〉∴=5、(-a+b )(-a-b) 〈比较两项的关系: 〉∴=6、(a+b) (-a+b) 〈比较两项的关系: 〉∴=7、(-a-b) (a-b) 〈比较两项的关系: 〉∴=8、(-a+b) (a-b) 〈比较两项的关系: 〉∴=平方差公式组题【典型例题】 9、 热身训练 (1)(21x+31y )(31y -21x )=(2)(2x -3y )( )=9y 2-4x 2 (3)(-a +51)(-a -51)=(-a -5)( )=25-a 2 (4)(x-1)(2x +1)( )=4x -1(5)(a+b+c)(a-b-c)= [ a + ( )] [ a - ( )]相同项 相反项用乘法公式运算:(7)1000110199⨯⨯ (8)2010200820092⨯-10.计算:(1)))(()2)(2(222x y y x y x y x x +-++--11.已知02,622=-+=-y x y x ,求5--y x 的值.12.解方程:()()2313154322365=⎪⎭⎫⎝⎛+-⎪⎭⎫ ⎝⎛---+-++x x x x x13. 已知两个连续奇数的平方差为2000,则这两个连续奇数分别是多少?14、【初试锋芒】1).1.010.99⨯= 2).2221000252248-= ;3)22(2)(2)(4)x y x y x y -++=4).在下列多项式的乘法中,不能用平方差公式计算的是( )A .()()x y x y --+B .3333()()a b a b -+C .2222()()c d d c -+D .()()m n m n ---【大展身手】 15. 填空题1).若222,10x y x y -=-=则x+y= 2).2(1)(1)(1)x x x +-+= 3).(1)(2)(3)(3)x x x x +---+= 4).=⨯10199 16、选择题1).下列多项式乘法中,可以用平方差公式计算的是( ) A .()()a b a b -+- B .(2)(2)x x ++C .1133x y y x ⎛⎫⎛⎫+-⎪ ⎪⎝⎭⎝⎭D .(2)(1)x x -+2).在下列各式中,运算结果是2236y x -的是( ) A. ()()x y x y --+-66 B. ()()x y x y -+-66 C. ()()y x y x 94-+ D. ()()x y x y ---66 17 :解答题 1 ) 计算: 2229995(2)(2)x x x-+--2) 解方程(21)(21)3(2)(2)(1)(2)12x x x x x x -+-+-=+-+完全平方公式组题【典型例题】1.课前热身训练:(1)221⎪⎭⎫ ⎝⎛+-cd (2)()23x y -+ (3)2199(4))2)(2(4)2(2y x y x y x +--- (5))12)(12(-+++y x y x2.已知()222116x m xy y -++是一个完全平方式,求m 的值.3.已知()()227,4a b a b +=-=,求22a b +和a b 的值.4. 若0132=+-a a ,求aa 1+的值.【初试锋芒】1.212a b ⎛⎫-- ⎪⎝⎭运算结果是( )A 、2214a b+B 、2214a b-C 、2214a ab b++D 、221124a ab b++2.运算结果是24221m n mn -+的是( )A 、22(1)m n -B 、22(1)m n -C 、22(1)m n --D 、22(1)m n +3.若224222)(n n m m M n m ++=+-,则M ( )A 、0B 、2m nC 、22m n -D 、24m n4.若249x Nx ++(N 为整数)是一个完全平方式,则N=( )A 、6,-6B 、12C 、6D 、12,-125.已知y x y x y x >=+=+且,7,2522,则x-y 的值等于【大展身手】 1.(35x +)2=22962525x xy y++ 2.22()()a b a b -=+3.()222a b a b +=-+ =2()a b +- 4.()2a b c -+= 4.若7,12,a b ab +==则22a ab b -+=5.要使等式()()22a b M a b -+=+成立,代数式M 应是( )A 、2abB 、4abC 、4ab -D 、2ab - 【中考真题演练】1.(2009枣庄)若3n m =+,则222426m mn n ++-的值为( )A.12B.6C.3D.02.(2009台州)若将代数式中的任意两个字母交换,代数式不变,则称这个代数式为完全对称式.....,如a b c ++就是完全对称式.下列三个代数式:①2)(b a -;②ab bc ca ++;③222a b b c c a ++.其中是完全对称式的是( )A .①② B.①③ C . ②③ D .①②③ 3.(2009北京)已知2514x x -=,求()()()212111x x x ---++的值4.(2009十堰)已知3b a =+,2=ab ,求下列各式的值: (1)22ab b a + (2)22b a +。
乘法公式变形与应用一、【和平方(差平方)、平方和、2倍积的关系如下:】1、(a+b)2=(a2+b2)+2ab (a-b)2=(a2+b2)-2ab2、(a+b)2=(a-b)2+4ab (a-b)2=(a+b)2-4ab3、a2+b2=(a+b)2-2aba2+b2=(a-b)2+2aba2+b2=()()222a b a b++-4、4ab=(a+b)2-(a-b)22ab=(a+b)2-(a2+b2)5、(a-b)2=(b-a)2(a-b)3=-(b-a)3练习题:1、a+b=7, a2+b2=29,(a-b)2=______ 。
2、(a+b)2=4, (a-b)2=36,求:a2+b2+ab=______ 。
a4+b4=______ 。
3、m+1m =3, 则m2+21m=______ 。
m-1m=______。
m2-21m=______。
4、x+1x=-3, 则x4+41x=______ 。
5、x+1x则x-1x=______。
6、(1-212)(1-213)(1-214)…(1-219)(1-2110)7、(2+1)(22+1)(24+1)(28+1)…(232+1)+18、x=12a+1,y =12a+2 ,z=12a+3,求:x2+y2+z2-xy-yz-zx值。
9、12+14+18+…+12n10、201320122014222+二、常数项=-次项系数一半的平方。
与(△=0)【方程法】11、x2+kxy+9y2是x的完全平方式,k=______ 。
12、4x2+kxy+9y2是x的完全平方式,k=______13、16x2+1添加__________________ 后,可构成整式的完全平方式。
14、x2-2(m-3)x+16是x的完全平方式,m=______ 。
15、4x2-(k+2)x+k-1是x 的完全平方式,k=______ 16、x2-6x+m2是x的完全平方式,m=______ 。
用乘法公式巧妙计算乘法公式是数学中的基本公式之一,它用于计算两个数的乘积。
乘法公式还可以通过巧妙的变形和运算,用来解决一些复杂的问题。
在本文中,我将介绍一些常见的乘法公式应用和巧妙计算方法,为你提供一些灵感和启示。
1.乘法分配律:乘法分配律是数学中最常用的乘法公式之一、它表明,两个数的积与其中一个数分别乘以另一个数再相加的结果相等。
即:a*(b+c)=a*b+a*c。
这个公式在计算中可以大大简化问题,因为我们可以先将一些因子与多个数相乘,然后再将结果相加,而不需要一个一个相乘再相加。
2. 平方公式:平方公式用于计算一个数的平方。
即:(a+b)^2 = a^2 + 2ab + b^2、这个公式可以用来计算一个数的平方和,或者将一个数的立方拆分成多个平方的和。
3. 乘方公式:乘方公式用于计算一个数的乘方。
例如,(a+b)^3 =a^3 + 3a^2b + 3ab^2 + b^3、这个公式可以用来计算一个数的立方和,或者将一个数的四次方、五次方等拆分成多个平方的和。
4.九九乘法口诀:九九乘法口诀是学习乘法的基础,它通过记忆九九乘法表的形式,帮助我们快速计算两个数的乘积。
例如,2乘以3等于6,3乘以4等于12等等。
通过熟练掌握九九乘法口诀,可以在计算中快速推算乘积。
5.快速乘法法则:快速乘法法则是一种通过巧妙的变形和运算,高效地计算乘积的方法。
例如,计算17乘以15,可以将15拆分成10和5,然后将10乘以17,在将5乘以17,最后将两个数的乘积相加。
这种方法可以在一定程度上减少手工计算的复杂度。
通过灵活运用这些乘法公式和巧妙计算方法,可以大大简化乘法计算的过程,并提高计算效率。
在以后的学习和工作中,你可以根据具体的问题和需求,选择合适的公式和方法,以便更加高效地进行乘法计算。
不断练习和应用这些方法,你会发现数学计算的乐趣,同时也提高自己的数学能力。
乘法公式的妙用作者:周萍来源:《江西教育·综合版》2008年第09期乘法公式是初中数学的重要内容,它贯穿在整个初中数学教学中,应用极为广泛,下面介绍几种常用的方法。
一、逆着用例1计算:(1-)(1-)…(1-)(1-)分析:此题若直接相乘,则难以求得结果,根据各因式的特点,逆用平方差公式,便可化难为易,迅速求解。
解:原式=(1-)(1+)(1-) (1+)…(1-)(1+)(1-)(1+)=××××…××××=。
二、凑着用例2计算:(p+2q-1)(p-2q+1)分析:乍一看,它不符合任何公式的特点,但通过添括号可把式子凑成平方差公式的“模样”,这样就可应用公式计算了。
解:原式=[p+(2q-1)][p-(2q-1)]=p2-(2q-1)2=p2-4q2+4q-1。
三、添着用例3计算:(2+1)(22+1)(24+1)(28+1)分析:注意后一个因式中的两项恰好是前一个因式中两项的平方,如果添上一个因式(2-1),反复用平方差公式即可。
解:原式=(2-1)(2+1)(22+1)(24+1)(28+1)=(22-1)(22+1)(24+1)(28+1)=216-1。
四、拆着用例4计算:(3x-2y-1)(-3x-2y+5).分析:初看两个因式不符合平方差公式的结构特征,难以动用公式求解,但若把“-1”拆成“-3+2”,把“5”拆成“3+2”,则可利用公式。
解:原式=[(2-2y)+(3x-3)][(2-2 y)-(3x-3)]=(2-2y)2-(3x-3)2=4y2-9x2-8y+18x-5。
五、变着用将有关的乘法公式进行变形,可得如下公式:a2+b2=(a+b)2-2ab=(a-b)2+2ab;(a+b)2 +(a-b)2=2(a2+b2);(a+b)2-(a-b)2=4ab;a3+b3=(a+b) [(a-b)2-3ab]=(a+b)3-3ab(a+b)。
乘法公式及其变形乘法公式是数学中常用的公式之一,用于计算两个数的乘积。
在数学中,乘法公式有很多不同的形式和变形,下面将详细介绍其中一些。
1.乘法运算法则:乘法运算法则是一种简单的乘法公式,定义了两个数相乘的结果。
它可以表示为:a×b=c其中,a和b是要相乘的两个数,c是它们的乘积。
2.乘法交换法则:乘法交换法则表示为:a×b=b×a这意味着两个数相乘的结果与它们的顺序无关,可以交换位置。
3.乘法结合法则:乘法结合法则表示为:(a×b)×c=a×(b×c)这意味着当有多个数相乘时,它们可以按照任意顺序进行组合。
4.乘法分配法则:乘法分配法则表示为:a×(b+c)=a×b+a×c这个公式说明了乘法和加法之间的分配关系。
当一个数与一对括号中的和相乘时,可以将乘法分配到每个加数中。
5.平方公式:平方公式指的是一个数的平方,表示为:(a + b)² = a² + 2ab + b²(a - b)² = a² - 2ab + b²这些公式表明,一个数的平方可以通过它与自身的乘积和两倍乘积的和来表示。
6.乘法倒数:乘法倒数是指一个数与其倒数的乘积始终等于1,表示为:a×(1/a)=1这个公式在解方程、化简分式等方面有很大的应用。
7.科学计数法:科学计数法是用于表示非常大或非常小的数的一种标准化表示方法。
它包含一个基数和一个指数,表示为:a×10^b其中,a是介于1和10之间的数,b是一个整数。
通过这种表示方法,可以方便地计算非常大或非常小的数的乘积。
8.去括号法则:去括号法则是在乘法公式中去掉括号的一种简化方法。
例如:(a + b)(c + d) = ac + ad + bc + bd这个公式可以通过对每个项进行乘法运算后相加来得到。
初二数学暑期辅导(1) 乘法公式【知识要点】1.初中阶段常用的乘法公式有:(1)平方差公式:(a +b )(a -b )=a 2-b 2;(2)完全平方公式:(a ±b )2=a 2±2ab +b 2;(3)立方和公式:(a +b )(a 2-ab +b 2)=a 3+b 3; 立方差公式:(a -b )(a 2+ab +b 2)=a 3-b 3;(4)和的立方公式:(a +b )3=a 3+3a 2b +3ab 2+b 3;差的立方公式:(a -b )3=a 3-3a 2b +3ab 2-b 3.2.乘法公式的变形:(1)(a +b +c )2=a 2+b 2+c 2+2ab +2bc +2ca ;(2)a 2+b 2+c 2-ab -bc -ca =21[(a -b )2+(b -c )2+(c -a )2]; (3)(a +b +c )(a 2+b 2+c 2-ab -bc -ca )=a 3+b 3+c 3-3abc .根据题目特点,运用乘法公式及其变形进行计算,可以使计算变得简单而准确.合理使用运算律,也可以使计算变得简单、有效。
【例题选讲】例1、计算:20052.例2、计算:(3+1)(32+1)(34+1)…(32004+1).例3、已知x +y =5,xy =-14,求(x -y )2及x 3+y 3的值.例4、已知x-y=1,x3-y3=4,求x13-y13的值.例5、设a、b、c都是有理数,且a+b+c=a3+b3+c3=0,求证:a2003+b2003+c2003=0.例6、求证:(x2-xy+y2)3+(x2+xy+y2)3能被2x2+2y2整除.【习题A】1.若a=(x+1)2(x-1)2,b=(x2+x+1)(x2-x+1),且x≠0,则()(A)a>b(B)a=b(C)a<b(D)a、b的大小不确定2.若x-y=2,x2+y2=4,则x1992+y1992的值是()(A)4 (B)19922(C)21992(D)419923.计算(21+1)(22+1)(24+1)(28+1)(216+1)(232+1)(264+1)的结果是()(A)232-1 (B)264-1 (C)2128-1 (D)2644.若正数a、b、c满足关系式a3+b3+c3-3abc=0,则()(A)a=b=c(B)a=b≠c(C)b=c≠a(D)a、b、c两两不等5.若a+b=4,a3+b3=28,则a2+b2的值是()(A )8 (B )10 (C )12 (D )146.已知a +b +c =0,a 2+b 2+c 2=1,则a (b +c )+b (c +a )+c (a +b )= .7.若a =1990,b =1991,c =1992,则a 2+b 2+c 2-ab -bc -ca = .8.已知a -2b =7,ab =3,则(a +2b )2= .9.已知x +y =1,则x 3+y 3+3xy = .10.代数式A =3x 2-x ,B =2x 2-7x -10,则A 与B 的大小关系是 .【习题B 】1.计算:(1)20042; (2)1982.2.计算:(a +b )(a -b )(a 2+b 2)(a 4+b 4)…(n n b a 22 ).3.已知x -y =xy =3,求(x +y )2及x 3-y 3的值.4.若x +y =1,x 2+y 2=2,求x 5+y 5的值.5.设a 、b 、c 、d 满足a ≤b ,c ≤d ,a +b =c +d ≠0,a 3+b 3=c 3+d 3,求证:a =c ,b =d .6、已知25200080,x y ==则11x y +的值是多少?7、已知554433222,3,5,6a b c d ====,比较a 、b 、c 、d 的大小.8、若11222,22n n n n x y +--=+=+,用等式表示x 和y 的关系。
学习乘法公式的十个层次乘法公式是初中数学中极其重要的公式,应用十分广泛.解题时,若能根据题目特点灵活运用,则能达到迅速解题的目的.下面谈谈学习乘法公式的十个层次.一、对号入座,直接套用公式分清题中哪些数或式可以看作公式中的a、b,对号入座,直接套用公式.例1 计算:(-85+13x2)(-85-13x2).分析两个因式中的-85完全相同,而13x2与-13x2互为相反数,因而可运用平方差公式计算.解原式=(-85)2-(13x2)2=7225-169 x2.二、连续运用乘法公式例2 化简:(a-1)(1+a)(1+a2)(-1-a4).分析观察式子的结构特征,若将(-1-a4)变为-(1+a4),可连续运用平方差公式.解原式=-(a2-1)(a2+1)(a4+1)=-(a4-1)(a4+1)=-(a8-1)=1-a8.三、符号变形后连续运用乘法公式例3 化简:(a-2)(-2-a)(4+a2) (16+a4).分析观察式子的结构特征,发现将(-2-a)变为-(a+2)后,连续运用平方差公式既简单又快捷.解原式=-(a+2)(a-2)(a2+4) (a4+16)=-(a2-4)(a2+4)(a4+16)=-(a4+16)(a4-16)=256-a8.四、拆项变形后运用乘法公式例4 化简:(7x-5y+3)(-7x-5y-9).分析若将本题两个因式中的项分别进行拆项变形:前一因式的“3”拆成“-3+6”,后一因式的“-9”拆成“-3-6”,再通过合理分组,即符合平方差公式的特征,从而巧用公式,简捷求解.解原式=(7x-5y-3+6)(-7x-5y-3-6)=[(-5y-3)+(7x+6)][(-5y-3)-(7x+6)]=(-5y-3)2-(7x+6)2=25 y2-49x2+30y-84x-27.五、添项变形运用乘法公式在不改变原式值的前提下,将原式添上一个因式,使得它能运用乘法公式计算.例5 计算:[3(22+1](24+1)(28+1)-216]2018.分析将“3”写成(22-1),如此变形后即可连续运用平方差公式.解原式=[(22-1) (22+1) (24+1) (28+1)-216 ) 2018=[(24-1)(24+1) (28+1)-216] 2018=[(28-1) (28+1)-216]2018=[ (216-1)-216]2018=(-1)2018=1.六、分组结合后逆用乘法公式例6 计算:20202-20192+20182-20172+…+10002-9992+…+1002-992+982-972+…+22-12.七、变形后逆用乘法公式例7 求满足方程5x2-12xy+10y2-6x-4y+13=0的x、y的值.分析观察到,通过配方并逆用完全平方公式将方程左边化成三个完全平方式和的形式,再利用非负数的性质即可.解通过拆项、配方原方程可化为(4x2-12xy+9y2)+(x2-6x+9)+(y2-4y+4)=0,即(2x -3y)2+(x-3)2+(y-2)2=0.八、正逆联用乘法公式根据题设条件和待求式的结构特征,乘法公式既可顺用,又可逆用.例8 已知14(b -c )2=(a -b)(c -a),且a ≠c ,求b c a+的值. 分析 欲求b c a +的值,则需b +c 与a 之间的等量关系,而条件等式正好是a 、b 、c 之间的关系式,因此运用完全平方公式和多项式乘法将原式变形,再逆用完全平方公式即可达到求值目的.九、综合运用乘法公式例9 正数x 、y 、z 满足xy +yz =1022,求x 2+5y 2+4z 2的最小值.十、乘法公式变式的应用乘法公式常见的变形有:a 2+b 2=(a +b)2-2ab ;a 2+b 2=(a -b )2+2ab ;a 2+b 2=()()222a b a b ++-; ()()()22222a b a b a b ++-=+;()()221144ab a b a b =+-- 2222a b a b +-⎛⎫⎛⎫=- ⎪ ⎪⎝⎭⎝⎭; ()()224ab a b a b =+--这些变形公式,在解题中有着广泛的应用.在运用公式时,不应拘泥于公式的形式需要深刻理解、灵活运用. 例10 已知a +b =70,c 2=ab -1225,求a 、b 、c 的值.分析 此题运用积化和差公式ab 2222a b a b +-⎛⎫⎛⎫=- ⎪ ⎪⎝⎭⎝⎭,解题过程极为简捷. 解 ∵ab 2222a b a b +-⎛⎫⎛⎫=- ⎪ ⎪⎝⎭⎝⎭从而a =b ,c =0.代入已知式,解得a =b =35,c =0.。
乘法分配律的变形公式乘法分配律是数学运算中的一个重要规律,而它还有一些变形公式,咱们一起来瞧瞧!先来说说乘法分配律的基本形式:a×(b + c) = a×b + a×c 。
这就好比分糖果,假如有 a 个袋子,每个袋子里都要装 b 颗红色糖果和 c 颗蓝色糖果,那么总共的糖果数就等于 a 个袋子里红色糖果的总数加上 a个袋子里蓝色糖果的总数。
那变形公式是啥样呢?比如说 a×(b - c) = a×b - a×c ,这就好像还是那些袋子,不过这次每个袋子里要装的是 b 颗红色糖果,但是要拿走 c 颗蓝色糖果,那最后袋子里糖果的总数就是 a 个袋子里红色糖果的总数减去 a 个袋子里蓝色糖果的总数。
我记得有一次给学生们讲这个知识点的时候,发生了一件特别有趣的事儿。
当时我在黑板上出了一道题:25×(40 - 4) ,让同学们用乘法分配律的变形公式来计算。
大部分同学都很快列出了式子:25×40 - 25×4 = 1000 - 100 = 900 。
但有个小调皮鬼,他非要说直接算 25×36 更简单。
我就笑着问他:“那如果数字再大一点,比如 25×(100 - 8) ,你也直接算吗?”他眨眨眼睛,想了想,然后不好意思地笑了,说还是用变形公式更方便。
还有一种变形公式:(a + b)×c = a×c + b×c ,(a - b)×c = a×c - b×c 。
这就好比一群小伙伴一起做手工,c 是每个手工需要的材料数量,a 个小伙伴和 b 个小伙伴一起做,那总共需要的材料数量就是 a 个小伙伴需要的材料加上 b 个小伙伴需要的材料;如果是 a 个小伙伴比 b 个小伙伴多做,那需要的材料就是 a 个小伙伴需要的材料减去 b 个小伙伴需要的材料。
在实际的数学运算中,熟练掌握乘法分配律的变形公式可以让计算变得又快又准。
乘法公式、整式的除法【考向解读】一、考点突破本讲考点主要包括:平方差公式、完全平方公式,同底数幂的除法、单项式除以单项式、多项式除以单项式。
通过多项式的乘法运算得到乘法公式,再运用公式计算多项式的乘法,培养从一般到特殊,再从特殊到一般的思维能力;通过乘法公式的几何背景,培养运用数形结合思想和整体思想解决问题的能力。
平方差公式是中考命题中比较重要的考点之一,单独命题的题型多为填空题,选择题和简单的计算题,这一知识点也常融入其他知识命题;完全平方公式在中考中占有重要地位,它在数的运算,代数式的化简,方程,函数等方面都有极其广泛的应用。
整式的除法在中考中出现的频率比较高,题型多见选择题与填空题,有时也会出现化简求值题,因此运算必须熟练。
二、重点、难点提示重点:平方差公式、完全平方公式,整式的除法及零指数幂的运算。
难点:乘法公式中字母的广泛含义及整式除法法则的应用。
【重点点拨】知识脉络图【典例精析】能力提升类例1 计算:(1)(-2a-b)(b-2a);(2)(2x+y-z)2.一点通:第(1)题中的b-2a=-2a+b,把-2a看成平方差公式中的“a”即可;第(2)题有多种解法,可把2x看成完全平方公式中的“a”,把y-z看成公式中的“b”,也可把2x+y看成公式中“a”,把z看成公式中的“b”。
答案:(1)(-2a-b)(b-2a)=(-2a-b)(-2a+b)=(-2a)2-b2=4a2-b2;(2)(2x+y-z)2=[(2x+y)-z]2=(2x+y)2-2z(2x+y)+z2=4x2+4xy+y2-4xz -2yz +z 2.点评:这两题都可以运用乘法公式计算,第(1)题先变形,再用平方差公式;第(2)题把三项和看成两项和,两次运用完全平方公式。
例2 计算:(1)[(-3xy )2·x 3-2x 2·(3xy 2)3·12y ]÷(9x 4y 2);(2)[(x +2y )(x -2y )+4(x -y )2]÷(6x ).一点通:本题是整式的混合运算,解题时要注意运算顺序,先乘方,再乘除,最后加减,有括号先算括号里的。
乘法公式变形及应用
1、2a b a b ab +222()=(+)+ 2a b a b ab 2
22(-)=(+)-
2、4a b a b ab +22()=(-)+ 4a b a b ab 22
(-)=(+)-
3.2a b a b ab +222+=()- 2a b a b ab 222+=(-)+
()()2
2
2
a b a b a b ++-2
2
+=
4、4ab a b a b +2
2
=()
-(-) 4
a b a b ab +2
2
()-(-)= 2ab a b a +2
2
2
=()-(+b )
2
a b a b ab +2
22()-(+)=
5、
a b b a --2
2
()=() a b b a --3
3
()=-() 练习题:
1、, ,a b a b +=22729+= ______a b 2
(-)=。
2、,,a b a b +22
436()=(-)=
求: ____________a b ab a b 2244++=。
+=。
3、22
113,______m m m
m
+=则+
=。
2211 ____________m m m m -=。
-=。
例1、若()2
15m n += ()2
5m n -=求mn ,2
2
m n +的
值。
变形1:若()2
215m n += ()2
25m n -=求
mn ,
224m n +的值。
乘法公式变形及应用
1、
2a b a b ab +222()=(+)+ 2a b a b ab 2
22(-)=(+)- 2、
4a b a b ab +22()=(-)+ 4a b a b ab 22
(-)=(+)- 3.2a b a b ab +222+=()
- 2a b a b ab 222+=(-)+ ()()2
2
2
a b a b a b ++-2
2
+=
4、4ab a b a b +2
2
=()
-(-) 4
a b a b ab +2
2
()-(-)= 2ab a b a +2
2
2
=()-(+b )
2
a b a b ab +2
22()-(+)=
5、a b b a --22()=() a b b a --33
()=-() 练习题:
1、, ,a b a b +=22729+= ______a b 2
(-)=。
2、,,a b a b +22
436()=(-)=
求: ____________a b ab a b 2244
++=。
+=。
3、22113,______m m m m
+=则+=。
2211 ____________m m m m -=。
-=。
例1、若()215m n += ()2
5m n -=求mn ,22m n +的值。
变形1:若()2
215m n += ()2
25m n -=求
mn ,
224m n +的值。
变形2、若()2
2315m n += ()2
235m n -=求mn ,
22
94
m n +
的值。
变形3、若()()35436a a --=-,求()()
2
2
3543a a -+-的值。
例2、已知32232,16
3,1ab b a b a ab b a +-=
=+求的值。
例3、已知2
441
13,x x x x ⎛
⎫+=+ ⎪⎝
⎭1求x-及x
例4、若2
2(1)0m n ++-=,则2m n +的值为________ 变形1、若2
2210,m n n ++-+=则2m n +的值为_ 变形2、若2244(1)0
m m n +++-=,
则2m n -的值为
变形3、若2
2
4250m n m n ++-+=,则2mn 的值为
例5、对于式子154622+-++b a b a 能否确定其值的正负性?若能,请说明理由.
例6、如果)122)(122-+++b a b a (=63,那么a+b 的值为多
变形2、若()2
2315m n += ()2
235m n -=求mn ,
22
94
m n +
的值。
变形3、若()()35436a a --=-,求()()
2
2
3543a a -+-的值。
例2、已知32232,16
3,1ab b a b a ab b a +-=
=+求的值。
例3、已知2
441
13,x x x x ⎛
⎫+=+ ⎪⎝
⎭1求x-及x
例4、若2
2(1)0m n ++-=,则2m n +的值为________ 变形1、若2
2210,m n n ++-+=则2m n +的值为_ 变形2、若2
2
44(1)0
m m n +++-=,
则2m n -的值为
变形3、若2
24250m n m n ++-+=,则2mn 的值为
例5、对于式子15462
2+-++b a b a 能否确定其值的正负性?若能,请说明理由.
例6、如果)122)(122-+++b a b a (=63,那么a+b 的值为多。