有限单元法期末重要知识点
- 格式:docx
- 大小:139.29 KB
- 文档页数:6
材料力学有限元法知识点总结材料力学是一门研究物质内部结构、性质和变形行为的学科,而有限元法则是一种在工程和科学领域中广泛应用的数值计算方法。
有限元法可以将一个复杂的实体划分为无数小的单元,通过对这些小单元进行分析和计算,最终得到整个实体的力学性质和行为。
本文将对材料力学有限元法的一些核心概念和知识点进行总结。
1. 有限元法基础概念有限元法基于将实际连续的物体离散为有限数量的单元,通过计算每个单元的受力、变形等性质,再通过组合这些单元的结果来近似整个物体的行为。
它包含以下几个基础概念:1.1 单元(Element):有限元法中的基本组成单元,可以是一维的线段、二维的三角形或四边形,或三维的四面体、六面体等。
1.2 节点(Node):单元的角点或边上的点,用于定义单元之间的连接关系和边界条件。
1.3 自由度(Degree of Freedom):每个节点与力学性质相关的物理量,如位移、应力等。
根据问题的不同,在每个节点上可能有一个或多个自由度。
1.4 单元刚度矩阵(Element Stiffness Matrix):描述单元内部受力和变形关系的矩阵,在有限元法中通过组合所有单元的刚度矩阵来得到整个系统的刚度矩阵。
1.5 全局刚度矩阵(Global Stiffness Matrix):由所有单元刚度矩阵组合而成的整个系统的刚度矩阵,用于计算节点的位移和应力。
2. 有限元法的数学原理有限元法的数学原理主要基于以下两个方面:2.1 变分原理(Variational Principle):有限元法的数学基础是根据变分原理推导实现的。
它通过对结构的势能进行变分并进行最小化,得到满足结构力学行为和边界条件的位移和应力场。
2.2 加权残差法(Weighted Residuals Method):有限元法通过将变分原理中的势能函数展开为一系列基函数的线性组合,并使用权重函数对残差进行加权求和的方式进行近似。
这样可以将求解连续问题转化为离散问题,进而进行数值计算。
有限元期末复习提纲1.弹性矩阵,应变矩阵,应力矩阵的定义微分体表面上的应力可分解为一个正应力和两个切应力。
垂直于表面的应力称为正应力;平行于表面的应力称为切应力。
应力矩阵弹性矩阵应变矩阵2.节点自由度定义,写出平面应力三角形单元,刚架单元与桁架单元(平面与空间),薄板弯曲单元,实体元的节点自由度节点自由度:节点所具有的位移分量的数量平面应力三角形单元:节点自由度2,单元自由度数=2*3=6平面刚架单元:节点自由度3(2个移动自由度,1个旋转自由度),单元自由度数=3*2=6空间刚架单元:节点自由度6,单元自由度数=6*2=12平面桁架单元:节点自由度2,单元自由度数=2*2=4空间桁架单元:节点自由度3,单元自由度数=3*2=6薄板弯曲单元:实体元:4节点四面体单元:节点自由度3,单元自由度数=3*4=123.平面应力问题的定义和特点1. 平面应力问题如果空间物体满足以下两个条件,则该问题可以按平面应力问题考虑。
(1)某方向尺寸较另外两方向的尺寸小得多,即近似为一等厚的薄板;(2)受到平行于板面的沿厚度方向均匀分布的面力;根据上述条件,在上图中,图(a)所示的结构属于平面应力问题。
而图(b)中结构的载荷与板平面不平行,图(c)中结构的厚度t与截面尺寸差不多,因此不是平面应力问题。
一般地,当结构厚度t≤L/15(L为截面特征尺寸)时,结构可作为平面应力问题。
如车辆的墙板顶板等受拉压的平板,内燃机的飞轮,链传动的链片以及宽度较小的直齿圆柱齿轮等。
4.杆件结构的分类及其特点杆件结构定义:当结构长度尺寸比两个截面方向的尺寸大得多时,这类结构称为杆件曲杆直杆等截面杆(1)桁杆,和其他结构采用铰相连接,如图(a)所示,其连接处可以自由转动,因此这类结构只承受拉压作用,内部应力为拉压应力。
影响应力的几何因素主要是截面面积。
由桁杆组成的杆系称为桁架,若杆系和作用力均位于同一平面内,则称为平面桁架,否则称为空间桁架。
●有限元起源于20世纪50年代中期航空工程中飞机结构的矩阵分析。
●有限元基本思想:在力学模型上将一个原来连续的物体离散成为有限个具有一定大小的单元,这些单元仅在有限个节点上相连接,并在节点上引进等效力以代替实际作用于单元上的外力。
对于每个单元,根据分块近似的思想,选择一种简单的函数来表示单元内位移的分布规律,并按弹性理论中的能量原理(或用变分原理)建立单元节点力和节点位移之间的关系。
最后,把所有单元的这种关系式集合起来,就得到一组以节点位移为未知量的代数方程组,解这些方程组就可以求出物体上有限个离散节点上的位移。
“一分一合”,化整为零,集零为整,把复杂的结构看成由有限个单元组成的整体。
●单元、节点、边界:采用8节点四边形等参数单元把受力体划分成网格,这些网格称为单元;网格间互相连接的点称为节点;网格与网格的交界线称为边界。
节点数和单元数目是有限的。
●有限元法的优点:(1)理论基础简明,物理概念清晰,且可在不同的水平上建立起对该法的理解。
(2) 具有灵活性和适用性,应用范围极为广泛。
(3) 该法在具体推导运算中,广泛采用了矩阵方法,便于实现程序设计的自动化。
●有限单元法分为三类:位移法(以节点位移为基本未知量)、力法(以节点力为基本未知量)和混合法(一部分以节点位移,另一部分以节点力作为基本未知量)。
●有限元法分析计算的基本步骤可归纳如以下五点。
1.结构的离散化(将某个机械结构划分为由各种单元组成的计算模型)在平面问题用三角形、矩形或任意四边形单元。
在空间问题用四面体、长方体或任意六面体单元2.单元分析①选择位移模式(位移模式是表示单元内任意点的位移随位置变化的函数式,由于所采用的函数是一种近似的试函数,一般不能精确地反映单元中真实的位移分布)位移模式或位移函数:i ni i a y φ∑=②建立单元刚度方程e e e F k =δ,e 为单元编号;e δ为单元的节点位移向量;e F 为单元的节点力向量 ;ek 为单元刚度矩阵.③计算等效节点力:用等效的节点力来代替所有作用在单元上的力。
第三章一、三角形单元(常应变单元)1)三角形单元位移函数:123456u a a x a yv a a x a y =++⎧⎨=++⎩2)位移函数用形函数来表示:i i j j m mi i j j m mu N u N u N u v N v N v N v =++⎧⎨=++⎩其中1()(,,)2i i i i N a bx c y i j m A =++,,(,,)i j m m ji j m ij m a x y x y b y y i j m c x x ⎧=-⎪=-⎨⎪=-+⎩,11121i i j j mmx y A x y x y = 形函数用单元节点位移分量来描述位移函数的插值函数,反映了单元的位移形态,数学是反映了节点位移对单元内任一点位移的插值。
矩阵形式:0000i i ijm j ijm jm m u v N N N u u N NN v v u v ⎧⎫⎪⎪⎪⎪⎪⎪⎡⎤⎧⎫⎪⎪=⎨⎬⎨⎬⎢⎥⎩⎭⎣⎦⎪⎪⎪⎪⎪⎪⎪⎪⎩⎭或{}[]{}[][]{}i j m f N N N N δδ⎡⎤⎡⎤==⎣⎦⎣⎦4)单元应变:{}[]{}B εδ=(其中[]B 为常量)由x y xy u x v y u v y x εεγ⎧⎫∂⎪⎪∂⎪⎪⎧⎫⎪⎪∂⎪⎪=⎨⎬⎨⎬∂⎪⎪⎪⎪⎩⎭⎪⎪∂∂+⎪⎪∂∂⎩⎭得到[]001002ii i i i i i i i Nx b N B c y Ac b N N yx ⎡⎤∂⎢⎥∂⎢⎥⎡⎤⎢⎥∂⎢⎥==⎢⎥⎢⎥∂⎢⎥⎢⎥⎣⎦⎢⎥∂∂⎢⎥∂∂⎣⎦应变和节点位移关系式:00010002i i x i j m j y i j m j xy iijjmm m m u v b b b u c c c v A c b c b c b u v εεγ⎧⎫⎪⎪⎪⎪⎧⎫⎡⎤⎪⎪⎪⎪⎢⎥⎪⎪=⎨⎬⎨⎬⎢⎥⎪⎪⎪⎪⎢⎥⎩⎭⎣⎦⎪⎪⎪⎪⎪⎪⎩⎭5)单元应力:{}[][]{}{}[]D B S σδδ==其中36[][[][][]]i j k S S S S ⨯=平面应力问题2[],(,,)2(1)1122i i i i ii i b c ES b c i j m Ac b μμμμμ⎡⎤⎢⎥⎢⎥=⎢⎥-⎢⎥--⎢⎥⎣⎦平面应变问题将上式中的21E E μ=-6)单元平衡方程:{}{}[]d k F δ=,{}{}{}{}d V S c F F F p =++7)单元刚度矩阵:[][][][]TVk B D B dv=⎰(表示单元力和单元位移关系间的系数,代表单元的刚度特性)性质:(1)三角形单元刚度矩阵与坐标系无关,即单元刚度矩阵[]k 不随单元或坐标轴的平行移动或作n π角度的转动而改变(平面问题的单元刚度矩阵可以认为是结构坐标系中的单元刚度矩阵,没有坐标变换问题) (2)单元刚度矩阵中每个元素ij k 的物理意义表示单元第j 个自由度产生单位位移,其它自由度固定时,第i 个自由度产生的节点力。
有限元考试必备
1
有限元知识点归纳及复习题
1.、有限元解的特点、原因?
答:有限元解一般偏小,即位移解下限性原因:单元原是连续体的一部分,具有无限多个自由度。
在假定了单元的位移函数后,自由度限制为只有以节点位移表示的有限自由度,即位移函数对单元的变形进行了约束和限制,使单元的刚度较实际连续体加强了,因此,连续体的整体刚度随之增加,离散后的刚度较实际的刚度K为大,因此求得的位移近似解总体上将小于精确解。
2有限元法的基本原理
是一种工程物理问题的数值分析方法,根据近似分
割和能量极值原理,把求解区域离散为有限个单元
的组合,研究每个单元的特性,组装各单元,通过
变分原理,把问题化成线性代数方程组求解。
分析指导思想:化整为零,裁弯取直,以简驭繁,
变难为易
有限元分析的基本步骤
(1)将结构进行离散化,包括单元划分、结点编号、单元编号、结点坐标计算、位移约束条件确定(2)等效结点力的计算
(3)刚度矩阵的计算(先逐个计算单元刚度,再组装成整体刚度矩阵)
(4)建立整体平衡方程,引入约束条件,求解结点位移(5)应力计算 2。
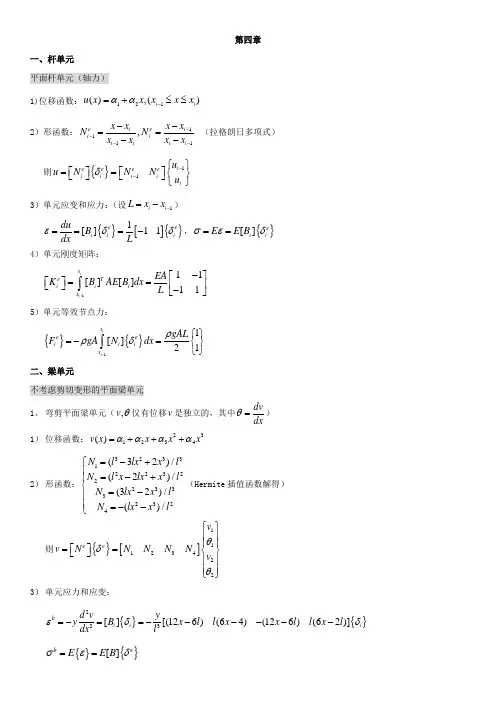
第四章一、杆单元 平面杆单元(轴力)1)位移函数:121(),()i i u x x x x x αα-=+≤≤ 2)形函数:1111,ee i i i i i i i i x x x x N N x x x x ------==-- (拉格朗日多项式) 则{}11i eeee i ii ii u u N N N u δ--⎧⎫⎡⎤⎡⎤==⎨⎬⎣⎦⎣⎦⎩⎭3)单元应变和应力:(设1i i L x x -=-) {}[]{}1[]11e e i i i du B dx Lεδδ===-,{}[]e i i E E B σεδ== 4)单元刚度矩阵:111[][]11ii x e T ii i x EA K B AE B dx L --⎡⎤⎡⎤==⎢⎥⎣⎦-⎣⎦⎰5)单元等效节点力: {}{}11[]12ii x ee ii i x gAL F gA N dx ρρδ-⎧⎫=-=⎨⎬⎩⎭⎰二、梁单元不考虑剪切变形的平面梁单元1、 弯剪平面梁单元(,v θ仅有位移v 是独立的,其中dv dxθ=) 1) 位移函数:231234()v x x x x αααα=+++2) 形函数:323312232223332324(32)/(2)/(32)/()/N l lx x l N l x lx x lN lx x l N lx x l⎧=-+⎪=-+⎪⎨=-⎪⎪=--⎩(Hermite 插值函数解得) 则{}[]11123422e ev v N N N N N v θδθ⎧⎫⎪⎪⎪⎪⎡⎤==⎨⎬⎣⎦⎪⎪⎪⎪⎩⎭3) 单元应力和应变:{}{}223[][(126)(64)(126)(62)]bi i i d v yy B x l l x x l l x l dx lεδδ=-==------{}{}[]b e E E B σεδ==4) 单元刚度矩阵:2230221261266462[][][]([][])1261266264le T T z V A l l l l l l EI k B D B dv E B B dx dA l l l l l l l -⎡⎤⎢⎥-⎢⎥⎡⎤===⎣⎦⎢⎥---⎢⎥-⎣⎦⎰⎰⎰⎰⎰⎰考虑轴向变形后:32322232322200001261260064620000012612600626400z zzz zz zz ez z zz z z zz EAEA ll EI EI EI EI l l l l EI EI EI EI l l l l k EAEA l l EIEI EI EI l l l l EI EI EI EI l lll ⎡⎤-⎢⎥⎢⎥⎢⎥-⎢⎥⎢⎥⎢⎥-⎢⎥⎡⎤=⎣⎦⎢⎥⎢⎥-⎢⎥⎢⎥---⎢⎥⎢⎥⎢⎥-⎢⎥⎣⎦ 5) 单元等效节点力:{}0[]()leTyy F N p x dx =⎰,其中{}{}Te yii jj FQM Q M =2、 弯剪扭平面梁单元(截面形心和扭心重合时,弯曲和扭转是相互独立的) 1) 基本位移未知量:{}{}Texiyii xj yj j w w δθθθθ=2) 等效节点力:{}{}Texiyizixjyizj FM M Q M M Q =3) 单元刚度矩阵:(见上册书P98) 考虑剪切变形的平面梁单元 1) 位移函数:12()u x x αα=+231234()b v x x x x ββββ=+++(弯曲变形引起的挠度) 12()s v x x γγ=+(剪切变形引起的挠度)2) 形函数:323312232223332324(32)/(2)/(32)/()/N l lx x l N l x lx x lN lx x lN lx x l⎧=-+⎪=-+⎪⎨=-⎪⎪=--⎩和56()//N l x l N x l =-⎧⎨=⎩则{}{}56123400000i b i bbbi ee j b j j u v N N v N u N N N N v θδθ⎧⎫⎪⎪⎪⎪⎪⎪⎡⎤⎪⎪⎡⎤==⎨⎬⎢⎥⎣⎦⎣⎦⎪⎪⎪⎪⎪⎪⎪⎪⎩⎭,{}[]56sss i s e e s j v v N N N v δ⎧⎫⎪⎪⎡⎤==⎨⎬⎣⎦⎪⎪⎩⎭3) 单元应力和应变:{}[]{}{}3232110000(126)(64)(126)(62)00bb bb e e ll B y x l y x y x l y x l l l l εδδ⎡⎤-⎢⎥==⎢⎥----⎢⎥---⎢⎥⎣⎦{}[][]{}[]{}00bbbb b be e EA D B B EI σδδ⎡⎤==⎢⎥⎣⎦{}{}11[]sss s e e B ll εδδ⎡⎤==-⎢⎥⎣⎦s s s sGA D kσεε==4) 单元刚度矩阵:3232223232220000126126006462000012612600626400z zzz zz zz be zz zz z z zz EAEA ll EI EI EI EI l l l l EI EI EI EI l l l l k EAEA l l EI EI EI EI l l l l EI EI EI EI l lll ⎡⎤-⎢⎥⎢⎥⎢⎥-⎢⎥⎢⎥⎢⎥-⎢⎥⎡⎤=⎣⎦⎢⎥⎢⎥-⎢⎥⎢⎥---⎢⎥⎢⎥⎢⎥-⎢⎥⎣⎦,11[]11e sGA k kl -⎡⎤=⎢⎥-⎣⎦由几何关系可得整体刚度矩阵:32322232322000012612600(1)(1)(1)(1)64)62)00(1)(1)(1)(1)000012612600(1)(1)(1)(1)6(20(1)z z z z z z z z ez zz z z EAEAll EI EI EI EI b l b l b l b l EI b EI EI b EI b l b l b l b l k EA EA l l EI EI EI EI b l b l b l b l EI b b l ----+++++--++++⎡⎤=⎣⎦---++++--+((2)6(4)0(1)(1)(1)zz z EI EI b EI b l b l b l ⎡⎤⎢⎥⎢⎥⎢⎥⎢⎥⎢⎥⎢⎥⎢⎥⎢⎥⎢⎥⎢⎥⎢⎥⎢⎥⎢⎥⎢⎥+⎢⎥-⎢⎥+++⎣⎦其中212EIkb GAl = Timoshenko 梁单元(截面转角θ与挠度w 独立变化) 1) 几何关系:,dw d dx dxθγθκ=-=- 2) 形函数:1211,22N N ξξ-+== 2211,i i i i i i v N v N θθ====∑∑1211000i i j j v N N v v N N θθθ⎧⎫⎪⎪⎡⎤⎧⎫⎪⎪=⎨⎬⎨⎬⎢⎥⎩⎭⎣⎦⎪⎪⎪⎪⎩⎭3) 单元应力与应变:b s εεε=+[]{}{}[]{}11000101bb e e edN dN B dx dx εδδδ⎡⎤==--=-⎢⎥⎣⎦[]{}{}[]{}12121111ss e e e dN dN B N N dxdxεδδδ⎡⎤==--=--⎢⎥⎣⎦4) 单元刚度矩阵:222200001/21/20101/2/3/2/600001/21/20101/2/6/2/3e e e b s l l l l l l EI GA K K K l l l kl l l l l -⎡⎤⎡⎤⎢⎥⎢⎥--⎢⎥⎢⎥=+=+⎢⎥⎢⎥---⎢⎥⎢⎥--⎣⎦⎣⎦5) 等效节点荷载:{}00[]leT FN dx q ⎧⎫=⎨⎬⎩⎭⎰,其中121200[]0N N N N N ⎡⎤=⎢⎥⎣⎦三、坐标变换1、坐标变换矩阵[]T :把单元位移从结构整体坐标转换单元坐标系的变换矩阵—{}{}[]eT δδ= 平面单元1)平面铰接杆单元与弯剪平面梁单元(连续梁)cos sin 00sin cos 00[]00cos sin 00sin cos T αααααααα⎡⎤⎢⎥-⎢⎥=⎢⎥⎢⎥⎣⎦2)轴剪弯平面梁单元(刚架)与面外弯剪扭平面梁单元cos sin 0000sin cos 0000001000[]000cos sin 0000sin cos 001T αααααααα⎡⎤⎢⎥-⎢⎥⎢⎥=⎢⎥⎢⎥⎢⎥-⎢⎥⎣⎦空间单元1) 空间杆单元(,,)u v w[][]00[]T λλ⎡⎤=⎢⎥⎣⎦,其中坐标系的旋转矩阵111213212223313233[]λλλλλλλλλλ⎡⎤⎢⎥=⎢⎥⎢⎥⎣⎦(λ代表单元坐标轴,,x y z 在整体坐标系,,X Y Z 中的方向余弦)111213,,j i j i j i X X Y Y Z Z λλλ=-=-=-(单位长度)212223λλλ===3132330,λλλ===2) 空间梁单元(,,,,,)x y z u v w θθθ[][][][][]T λλλλ⎡⎤⎢⎥⎢⎥=⎢⎥⎢⎥⎣⎦,其中坐标系的旋转矩阵111213212223313233[]λλλλλλλλλλ⎡⎤⎢⎥=⎢⎥⎢⎥⎣⎦111213,,j i j i j i X X Y Y Z Z λλλ=-=-=-213312311113112211212223()()(),,A A A A A A A A Aλλλλλλλλλ---===312313233,,A A AA A Aλλλ=== 注:在主惯性平面xy 上任取一参考点(,,)k k k k X Y Z123,,,k i k i k ik k k kX X Y Y Z Z g g g D D D D ---====111221321132113211112,,,A g g A g g A g g A λλλλλλ=-=-=-=四、梁端自由度释放原刚度矩阵eOOR RO R K K K K ⎡⎤⎢⎥⎣⎦释放自由度后的刚度矩阵1e O OR R RO K K K K K -=-五、带刚域的梁 单元刚度矩阵:[][][][]'Td d k T k T =其中10000001000001000[]000100000010000001d a T ⎡⎤⎢⎥⎢⎥⎢⎥=⎢⎥⎢⎥⎢⎥⎢⎥⎣⎦。
有限元知识点汇总有限元知识点汇总第一章1、何为有限元法?其基本思想是什么?》有限元法是一种基于变分法而发展起来的求解微分方程的数值计算方法。
》基本思想:化整为零,化零为整2、为什么说有限元法是近似的方法,体现在哪里?》有限元法的基本思想是几何离散和分片插值;》用离散单元的组合来逼近原始结构,体现了几何上的近似;用近似函数逼近未知量在单元内的真实解,体现了数学上的近似;利用与问题的等效的变分原理建立有限元基本方程,又体现了明确的物理背景。
3、单元、节点的概念?》单元:把参数单元划分成网格,这些网格就称为单元。
》节点:网格间相互连接的点称为节点。
4、有限元法分析过程可归纳为几个步骤?》3大步骤;——结构离散化;——单元分析;——整体分析。
5、有限元方法分几种?本课程讲授的是哪一种?》有限元方法分3种;——位移法、力法、混合法。
》本课程讲授的:位移法6、弹性力学的基本变量是什么?何为几何方程、物理方程及虚功方程?弹性矩阵的特点?》弹性力学的基本变量是——{外力、应力、应变、位移}》几何方程——{描述弹性体应变分量与位移分量之间关系的方程} 》物理方程——{描述应力分量与应变分量之间的关系}》虚功方程——{描述内力和外力的关系的方程}》弹性矩阵特点——{ }7、何为平面应力问题和平面应变问题?》平面应力问题——{满足(1)几何条件——所研究的是一根很薄的等厚度薄板,即一个方向上的几何尺寸远远小于其余两个面上的几何尺寸;(2)载荷条件——作用于薄板上的载荷平行于板平面且沿厚度方向均匀分布,而在两板面上无外力作用}》平面应变问题——{满足(1)几何条件——所研究的是长柱体,即长度方向的尺寸远远大于横截面的尺寸,且横截面沿长度方向不变;(2)载荷条件——作用于长柱体结构上的载荷平行于横截面且沿纵向方向均匀分布,两端面不受力}第二章7、形函数的特点?》1形函数Ni再节点i处等于1,在其他节点上的值等于0,对于Nj、Nm也有同样的性质。
有限元复习资料1.简述有限单元法的应用范围答:①工程地质现象机制的研究;②工程区岩体应力边界条件或区域构造力的反馈;③工程岩土体位移场和应力场的模拟;④岩土体稳定性模拟2.简述有限元单元法的基本原理答:有限元单元法是随着电子计算机的发展而迅速发展起来的一种现代计算方法。
它是50年代首先在连续体力学领域----飞机结构静,动态特性分析中应用的一种由此奥的数分析方法,随后很快广泛的应用于求解热传导。
电磁场、流体力学等连续性问题。
有限元分析计算的思路和做法可归纳如下:①物体离散化将整个工程结构离散为由各个单元组成的计算模型,这一步称作单元剖分。
离散散后单元与单元之间利用单元的节点相互连接起来;单元节点的设置、性质、树木等应是问题的性质,描述变形形态的需要和计算进度而定(一般情况但愿划分月息则描述变形情况月精确,及月接近实际变形,但计算两越大)。
所以有限元中分析的结构已不是原有的物体或结构物,而是同新材料的由众多单元以一定方式连接成的离散物体。
这样,用有限元分析计算所获得的结果只是近似的。
如果划分单元数目非常多而又合理,则所获得的结果就与实际情况相符合。
②单元特性分析A.选择位移模式在有限单元法中,选择节点位移为基本未知量称为位移法;选择节点力作为基本未知量时称为力法;取一部分节点力和一部分节点位移作为基本未知量时称为混合法。
位移法易于实现计算机自动化,所以,在有限单元法中位移法应用范围最广。
当采用位移法时,物体或结构离散化之后,就可把单元总的一些物理量如位移,应变和应力等由节点位移来表示。
这时可以对单元中位移的分布采用一些能逼近原原函数的近似函数予以描述。
通常,有限元法我们就将位移作为坐标变量的简单函数。
这种函数称为位移模式或位移函数,如y=a其中a 是待定系数,y是与坐标有关的某种函数。
B.分析但愿的力学性质根据单元的材料性质、形状、尺寸、节点数目、位置及其含义等,找出单元节点力和节点位移的关系式,折中单元分析中的关键一部。
1.1有限单元法中“离散”的含义是什么?有限单元法是如何将具有无限自由度的连续介质的问题转变为有限自由度问题的?位移有限单元法的标准化程式是怎样的?(1)离散的含义即将结构离散化,即用假想的线或面将连续体分割成数目有限的单元,并在其上设定有限个节点;用这些单元组成的单元集合体代替原来的连续体,而场函数的节点值将成为问题的基本未知量。
(2)给每个单元选择合适的位移函数或称位移模式来近似地表示单元内位移分布规律,即通过插值以单元节点位移表示单元内任意点的位移。
因节点位移个数是有限的,故无限自由度问题被转变成了有限自由度问题。
(3)有限元法的标准化程式:结构或区域离散,单元分析,整体分析,数值求解。
1.2单元刚度矩阵和整体刚度矩阵各有哪些性质?各自的物理意义是什么?两者有何区别?单元刚度矩阵的性质:对称性、奇异性(单元刚度矩阵的行列式为零)。
整体刚度矩阵的性质:对称性、奇异性、稀疏性。
单元刚度矩阵Kij物理意义Kij即单元节点位移向量中第j个自由度发生单位位移而其他位移分量为零时,在第i个自由度方向引起的节点力。
整体刚度矩阵K中每一列元素的物理意义是:要迫使结构的某节点位移自由度发生单位位移,而其他节点位移都保持为零的变形状态,在所有个节点上需要施加的节点荷载。
2.1 为了使计算结果能够收敛于精确解,位移函数需要满足什么条件?为什么?满足完备性和协调性。
原因:完备性包括两个条件:即刚体位移条件与常应变条件。
首先,位移函数必须包含单元的刚体位移。
结构中的单元不仅产生与该单元本身变形相应的位移,还可能因其他单元变形而通过节点位移产生单元刚体位移。
为了正确反映单元的实际位移形态,位移函数必须具有反映刚体位移的能力。
其次,由于单元位移函数采用多项式,故在单元内部协调条件总能满足,要求反映在相邻单元之间。
实质上来说,要求相邻单元间协调是为了保证单元交界面上应变有限。
3.1构造单元形函数有那些基本原则?试采用构造单元几何方法,构造T10单元的形函数,并对其收敛性进行讨论。
1有限单元法的分析过程,结构离散化,确定单元位移模式单元特性分析,建立整体刚度方程,解方程组和输出计算结果。
补充:①结构离散化:将需要分析的结构对象用一些假象的线、面进行切割。
使其成为具有选定切割形状的有限个单元体;②确定单元位移模式:在单元内只具有有限自由度的简单位移代替真实位移;③单元特性分析:;④按离散情况集成所有单元的特性,建立表示整个结构结点平衡的方程组)(k△=P+PE=P);⑤解方程组合输出计算结果。
2平面应力和平面应变问题,表示荷载作用平行于平板中面且沿厚度均匀分布,板厚远小于平面内两方向的尺寸,这类问题称为平面应力问题,长度远远大于平面内两方向的尺寸且沿长度荷载作用相同,这时可以取单位长度垻体进行分析,这类问题称为平面应变问题。
3虚功原理,任何一个处于平衡状态的变形体,当发生任意一个虚位移时,变形体所受外力所做的总虚功恒等于变形体所接受的总虚变形功。
虚位移原理,受给定外力的变形体处于平衡状态的充分,必要条件,对一切虚位移,外力所作的总虚功恒等于变形体所接受的总虚变形功。
4最小势能原理,位移状态d为真实位移状态的充分、必要条件是对应位移d的势能一阶变分为零,即对应的位移d的势能取驻值,进一步可以证明,对线性弹性问题势能为最小值。
5结构离散化问题,对用结点将结构进行划分所得到的单元体集合体,按一定顺序对结点,单元分别进行加以编号,为用数据来描述结构做准备。
6单元刚度矩阵的性质,对称性,自由式单元的奇异性。
7坐标转换,两套坐标系下对应物理量之间必然存在相互转换的关系,在进行具体整体分析之前应该将局部的量转换成整体的量,或反之将整体的量转换成局部的量。
8结构整体刚度矩阵的性质,对称性,奇异性,带状稀疏性。
9结构离散化(平面问题),人为地用假想的线或面将连续体分割成有限个部分,这每一部分即为单元,然后进行结点,单元的编码和选取坐标系等离散和数据化工作。
10面积坐标,三角形的任一点的位置都可以用量纲为一的参数Li,Lj,L k中的两个来确定,其中Li,L,L k为Ll=Al/A(具体参照书125页)11单元位移场,就是单元内的任一点的位移用结点位移来表示(d =N*结点位移)N为形函数矩阵。
有限元法及其应用考点总结简答题1.什么是有限元法?人为的将一个受力物体划分为有限个大小和有限量单元,这些结构单元在有限个节点上相互连接,组成整个受力物体,再通过几何和力学分析得到这些单元的应力、应变和位移的代数方程组。
利用计算机对代数方程组联立求解,就可求出各个单元的应力、应变和位移。
用有限元法求解结构的应力、应变和位移的步骤是什么?(1)将受力结构划分成单元,结构离散化(2)单元特性分析,单元位移模式选择(3)构造单元位移函数,建立单元的应力,应变,位移之间的关系(4)简历整体结构的平衡方程(5)利用计算机进行数值计算,求出节点的位移,应变,应力(6)输出单元,绘制应力应变的图形曲线。
2.说明弹性力学中的连续性假设?(1)物体是连续的(2)物体是线性弹性的(3)物体是均匀的各向同性的(4)物体的位移和应变微小3.解释并绘简图说明圣维南原理?在弹性体的一小部分边界上,将所作用的面力作静力等效变换只对力作用处附近的应力有影响,对离力作用处较远的应力几乎无影响。
4.说明什么情况下的受力问题,可以归结为轴对称问题?在空间问题中,如果弹性体的几何形状、约束状态,以及其他外在因素都是对称于某一根轴(过该轴的任一平面都是对称面),那么弹性体的所有应力、应变和位移也就都对称于这根轴。
这类问题通常称为空间轴对称问题。
有限元的轴对称问题,既结构轴对称,载荷轴对称,约束也是轴对称。
5.说明求解弹性力学问题的两种不同途径是什么?应力法和位移法。
应力法:应力(物理)应变(几何)位移位移法:位移(几何)应变(物理)应力6.说明单元刚度矩阵和整体刚度矩阵的含义,二者有何区别?单元:联系力分量与位移分量之间的关系。
性质:分块形式,物理意义,对称性,奇异矩阵整体:将单元刚度矩阵中的每个子块进行换码,换成对应的整体码,送到整体刚度矩阵中的对应位置上,如果有几个单元的对应子块,就进行叠加。
性质:对称性,稀疏性,带形分布,奇异矩阵。
第五章一、Lagrange 单元1、插值函数:01110111()()()()()()()()()()()n k k n k k k k k k k k n l ξξξξξξξξξξξξξξξξξξξξξ-+-+-----=----- (注:三角形单元Lagrange 插值函数用面积坐标表示)2、四边形单元形函数:1)一维:()n i I N l ξ=2)二维:()()n m i IJ I J N N l l ξη==3)三维:()()()n m p i IJK I J K N N l l l ξηζ==3、三角形单元形函数:(线性(3)、二次(6)、三次(10))123()()()I J K i I J K N l L l L l L = ——总是完备的(从低到高进行)4、简化方法——划线法(8节点以下)经过除了本节点外的其它节点的直线方程的左部的函数积来构造插值函数5、二次三棱柱Lagrange 单元:三角形平面内采用面积坐标,垂直方向采用基准坐标ζ二、Serendipity 单元1、插值函数构造方法:变节点数法(注:三角形单元插值函数用面积坐标表示)1)构造角节点的插值函数(不考虑其它节点)2)构造边节点的插值函数(不考虑内部节点)3)构造内部节点的插值函数4)修正边节点插值函数,使之在内部节点等于05)修正角节点插值函数,使之在内部节点和边节点等于02、位移函数:一个方向一次乘以另一个方向的p 次Lagrange 多项式(见书P10页Pascal 分布)3、二次三棱柱Serendipity 单元:三角形平面内采用面积坐标,垂直方向采用基准坐标ζ三、Hermite 单元1、定义:单元节点参数中,除场函数的节点值外,还包含场函数导数的节点值的C1型单元为Hermite 单元2、一维Hermite 单元中形函数的确定: 场函数:22(0)(1)11()()()()i i i i i i d HH d φφξξφξξ===+∑∑ (0)()i H ξ由条件(0)(0)()(),0ji i j ij dH H d ξξξδξ==四个方程确定为三次多项式(1)()i H ξ由条件(1)(1)()()0,ji i j ij dH H d ξξξδξ==四个方程确定为三次多项式。
有限元方法是通过求解联立代数方程组进行问题求解的,而不是求解微分方程。
数值法可以求解出连续体中多个离散点未知量的近似值。
通过将物体划分为由小物体或单元组成的等价系统而进行物体建模的过程称为离散化,多个单元通常在公共点、边界线或表面相互连接。
有限元方法并非一次性求解整个物体,而是通过为每一个有限元建立方程,并进而组合这些方程而对物体进行求解。
有限元方法的步骤:1、离散化和选择单元类型2、选择位移函数3、定义应变/位移和应力/应变的关系4、推导单元刚度矩阵和方程5、组合单元方程得出总体方程并引进边界条件6、解未知自由度7、求解单元应变和应力8、解释结果有限元方法的优点:1、便于模拟不规则形状的结构2、易于处理一般载荷条件3、因为单元方程是单个建立的,所以可以模拟由几种不同材料构成的物体4、能够处理各种数量和类型的边界条件5、单元的大小是可变的,必要时可以使用小单元6、改变有限元模型比较容易,代价不大7、可包括动力效应8、可处理大变形和非线性材料带来的非线性问题。
最小势能原理:在一个物体可能呈现的所有几何形状中,与满足该物体稳定平衡相对应的真实的形状由总势能最小值确定。
选择位移近似函数:1、考虑刚体位移和单元内的常应变状态2、杆单元内部应是连续的3、函数通常为多项式4、离散单元每节点所有自由度连续,二位三维单元公共边界和面连续 棱柱形单轴杆的弹簧常数:k=AE/L 扭转弹簧常数:k=JG/L ;J 极惯性矩G 材料剪切模量 三维桁架流程图:开始、画出几何形状并应用力和边界条件、定义单元类型和属性、令JE=1,NELE 、计算单元刚度矩阵[k]、利用直接刚度程序将[k]加入到组装刚度矩阵[K]和载荷矩阵{F}的适当位置、解[k]{d}={F}求{d}、计算杆单元的力和应力、输出结果、结束。
桁架计算机求解步骤:①几何建模②选择桁架单元③输入单元几何属性(面积A )④选择材料特性(弹性模量E )⑤固定边界条件添加约束⑥施加节点载荷⑦模型选择性检查⑧分析每个单元的应力⑨选择与具体分析相关的结果。
1有限单元法的分析过程,结构离散化,确定单元位移模式单元特性分析,建立整体刚度方程,解方程组和输出计算结果。
补充:①结构离散化:将需要分析的结构对象用一些假象的线、面进行切割。
使其成为具有选定切割形状的有限个单元体;②确定单元位移模式:在单元内只具有有限自由度的简单位移代替真实位移;③单元特性分析:;④按离散情况集成所有单元的特性,建立表示整个结构结点平衡的方程组)(k△=P+PE=P);⑤解方程组合输出计算结果。
2平面应力和平面应变问题,表示荷载作用平行于平板中面且沿厚度均匀分布,板厚远小于平面内两方向的尺寸,这类问题称为平面应力问题,长度远远大于平面内两方向的尺寸且沿长度荷载作用相同,这时可以取单位长度垻体进行分析,这类问题称为平面应变问题。
3虚功原理,任何一个处于平衡状态的变形体,当发生任意一个虚位移时,变形体所受外力所做的总虚功恒等于变形体所接受的总虚变形功。
虚位移原理,受给定外力的变形体处于平衡状态的充分,必要条件,对一切虚位移,外力所作的总虚功恒等于变形体所接受的总虚变形功。
4最小势能原理,位移状态d为真实位移状态的充分、必要条件是对应位移d的势能一阶变分为零,即对应的位移d的势能取驻值,进一步可以证明,对线性弹性问题势能为最小值。
5结构离散化问题,对用结点将结构进行划分所得到的单元体集合体,按一定顺序对结点,单元分别进行加以编号,为用数据来描述结构做准备。
6单元刚度矩阵的性质,对称性,自由式单元的奇异性。
7坐标转换,两套坐标系下对应物理量之间必然存在相互转换的关系,在进行具体整体分析之前应该将局部的量转换成整体的量,或反之将整体的量转换成局部的量。
8结构整体刚度矩阵的性质,对称性,奇异性,带状稀疏性。
9结构离散化(平面问题),人为地用假想的线或面将连续体分割成有限个部分,这每一部分即为单元,然后进行结点,单元的编码和选取坐标系等离散和数据化工作。
10面积坐标,三角形的任一点的位置都可以用量纲为一的参数Li,Lj,L k中的两个来确定,其中Li,L,L k为Ll=Al/A(具体参照书125页)11单元位移场,就是单元内的任一点的位移用结点位移来表示(d =N*结点位移)N为形函数矩阵。
精品资料《有限单元法》复习参考题........................................《有限单元法》复习参考题一、简答题:1、简述应用有限单元法解决具体问题的要点。
(1) 将一个表示结构或者连续体的求解域离散为若干个子域(单元),并通过他们边界上的结点相互结合为组合体。
(2) 用每个单元内所假设的近似函数来分片地表示全求解域内待求的未知场变量。
而每个单元内的近似函数由未知场函数(或及其导数,为了叙述方便,后面略去此加注)在单元各个节点上的数值与其对应的插值函数来表达。
(3) 通过和原问题数学模型(基本方程、边界条件)等效的变分原理或者加权余量法,建立求解基本未知量(场函数的结点值)的代数方程或者常微分方程组。
2、等效积分形式和等效积分“弱”形式的区别何在?为什么等效积分“弱”形式在数值分析中得到更多的应用?在很多情况下对微分方程的等效积分形式进行分部积分可以得到等效积分的弱形式,如下式T T C D E ()F()d 0ΩΓυΩ+υυΓ=⎰⎰()(u)d ,其中C 、D 、E 、F 是微分算子。
像这种通过适当提高对任意函数和υ 的连续性要求,以降低对微分方程场函数u 的连续性要求所建立的等效积分形式称为微分方程的等效积分“弱”形式。
值得指出的是,从形式上看“弱”形式对函数u 的连续性要求降低了,但对于实际的物理问题却常常较原始的微分方程更逼近真正的解,因为原始微分方程往往对解提出了过分的要求。
所以等效积分“弱”形式在数值分析中得到更多的应用。
3、什么是Ritz (里兹)方法?其优缺点是什么?收敛的条件是什么?基于变分原理的近似解法称为Ritz (里兹),解法如下:优缺点:一般来说,使用里兹方法求解,当试探函数族的范围扩大以及待定参数的数目增多时,近似解的精度将会提高。
局限性:(1) 在求解域比较复杂的情况下,选取满足边界条件的试探函数,往往会产生难以克服的困难。
(2) 为了提高近似解的精度,需要增加待定参数,即增加试探函数的项数,这就增加了求解的复杂性,而且由于试探函数定义于全域,因此不可能根据问题的要求在求解域的不同部位对试探函数提出不同精度的要求,往往由于局部精度的要求使整个问题求解增加许多困难。