有理数的混合运算(一)
- 格式:ppt
- 大小:944.50 KB
- 文档页数:19
有理数的混合运算练习题(含答案)(共17套)有理数混合运算练习题及答案 第1套同步练习(满分100分)1.计算题:(10′×5=50′)(1)3.28-4.76+121-43;(2)2.75-261-343+132;(3)42÷(-121)-143÷(-0.125);(4)(-48) ÷82-(-25) ÷(-6)2;(5)-52+(1276185+-)×(-2.4).2.计算题:(10′×5=50′)(1)-23÷153×(-131)2÷(132)2;(2)-14-(2-0.5)×31×[(21)2-(21)3];(3)-121×[1-3×(-32)2]-( 41)2×(-2)3÷(-43)3(4)(0.12+0.32) ÷101[-22+(-3)2-321×78];(5)-6.24×32+31.2×(-2)3+(-0.51) ×624.【素质优化训练】1.填空题:(1)如是0,0>>c b b a ,那么ac 0;如果0,0<<cbb a ,那么ac0;(2)若042=-++++c c b a ,则abc= ; -a 2b 2c 2=;(3)已知a ,b 互为相反数,c ,d 互为倒数,x 的绝对值等于2,那么x 2-(a+b)+cdx=.2.计算:(1)-32-;)3(18)52()5(223--÷--⨯-(2){1+[3)43(41--]×(-2)4}÷(-5.043101--);(3)5-3×{-2+4×[-3×(-2)2-(-4) ÷(-1)3]-7}.【生活实际运用】甲用1000元人民币购买了一手股票,随即他将这手股票转卖给乙,获利10%,而后乙又将这手股票反卖给甲,但乙损失了10%.最后甲按乙卖给甲的价格的九折将这手股票卖给了乙,在上述股票交易中( )A .甲刚好亏盈平衡;B .甲盈利1元;C .甲盈利9元;D .甲亏本1.1元.参考答案【同步达纲练习】1.(1)-0.73 (2)-121; (3)-14; (4)-181; (5)-2.92.(1)-351 (2)-1161; (3)- 5437; (4)1; (5)-624.【素质优化训练】1.(1)>,>; (2)24,-576; (3)2或6.[提示:∵x =2 ∴x 2=4,x=±2].2.(1)-31;(2)-8;2719(3)224 【生活实际运用】 B有理数的四则混合运算练习 第2套◆warmup知识点 有理数的混合运算(一)1.计算:(1)(-8)×5-40=_____;(2)(-1.2)÷(-13)-(-2)=______.2.计算:(1)-4÷4×14=_____;(2)-212÷114×(-4)=______.3.当||a a=1,则a____0;若||a a =-1,则a______0.4.(教材变式题)若a<b<0,那么下列式子成立的是( ) A .1a <1b B .ab<1 C .a b <1 D .ab>1 5.下列各数互为倒数的是( )A .-0.13和-13100B .-525和-275C .-111和-11D .-414和4116.(体验探究题)完成下列计算过程:(-25)÷113-(-112+15)解:原式=(-25)÷43-(-1-12+15)=(-25)×()+1+12-15=____+1+52 10 -=_______.◆Exersising7.(1)若-1<a<0,则a______1a;(2)当a>1,则a_______1a;(3)若0<a≤1,则a______1a.8.a,b互为相反数,c,d互为倒数,m的绝对值为2,则||4a bm++2m2-3cd值是()A.1 B.5 C.11 D.与a,b,c,d值无关9.下列运算正确的个数为()(1)(+34)+(-434)+(-6)=-10 (2)(-56)+1+(-16)=0(3)0.25+(-0.75)+(-314)+34=-3(4)1+(-3)+5+(-7)+9+(-1)=4 A.3个 B.4个 C.2个 D.1个10.a,b为有理数,在数轴上的位置如右上图所示,则()A.1a>1b>1 B.1a>1>-1bC.1>-1a>1bD.1>1a>1b11.计算:(1)-20÷5×14+5×(-3)÷15 (2)-3[-5+(1-0.2÷35)÷(-2)](3)[124÷(-114)]×(-56)÷(-316)-0.25÷14ob a◆Updating 12.(经典题)对1,2,3,4可作运算(1+2+3)×4=24,现有有理数3,4,-6,10,请运用加,减,乘,除法则写出三种不同的计算算式,使其结果为24. (1)____________ (2)____________ (3)____________ 答案: 课堂测控1.(1)-80 (2)535 2.(1)-14(2)83.>,< 4.D 5.C 6.34,-310,1[总结反思]先乘除,后加减,有括号先算括号内的. 课后测控 7.(1)> (2)> (3)≤ 8.B 9.B 10.B11.解:(1)原式=-20×15×14+5×(-3)×115=-1-1=-2(2)原式=124×(-45)×(-56)×(-619)-14÷14=124×(-419)-1=-1114-1=-11114(3)原式=-3[-5+(1-15×53)÷(-2)]=-3[-5+23×(-12)]=-3[-5-13]=15+1=16[解题技巧]除法转化为乘法,先乘除,后加减,有括号先算括号内的. 拓展测控 12.解:(1)4-(-6)÷3×10 (2)(10-6+4)×3 (3)(10-4)×3-(-6)[解题思路]运用加,减,乘除四种运算拼凑得24点.有理数的混合运算习题 第3套一.选择题1. 计算3(25)-⨯=( ) A.1000 B.-1000 C.30 D.-302. 计算2223(23)-⨯--⨯=( )A.0B.-54C.-72D.-183. 计算11(5)()555⨯-÷-⨯=A.1B.25C.-5D.354. 下列式子中正确的是( ) A.4232(2)(2)-<-<- B. 342(2)2(2)-<-<- C. 4322(2)(2)-<-<-D. 234(2)(3)2-<-<-5. 422(2)-÷-的结果是( ) A.4B.-4C.2D.-26. 如果210,(3)0a b -=+=,那么1ba +的值是( )A.-2B.-3C.-4D.4二.填空题1.有理数的运算顺序是先算 ,再算 ,最算 ;如果有括号,那么先算 。
有理数的混合运算(一)填空4.23-17-(+23)=______.5.-7-9+(-13)=______.6.-11+|12-(39-8)|=______.7.-9-|5-(9-45)|=______.8.-5.6+4.7-|-3.8-3.8|=______.9.-|-0.2|+[0.6-(0.8-5.4)]=______.12.9.53-8-(2-|-11.64+1.53-1.36|)=______.13.73.17-(812.03-|219.83+518|)=______.36.38×(-7)+5[(-2)3(-32)-(-22)]-38×339÷(-3)38=______.48.(-2)×{(-3)×[(-5)+2×(0.3-0.3)÷83-3]+4}=______.112.413-74-(-5+26).116.-84-(16-3)+7.118.-0.182+3.105-(0.318-6.065).119.-2.9+[1.7-(7+3.7-2.1)].121.34.23-[194.6-(5.77-5.4)].125.23.6+[3.9-(17.8-4.8+15.4)].134.(-3)2÷2.5.135.(-2.52)×(-4).136.(-32)÷(-2)2.173.(-1)2×5+(-1)×52-12×5+(-1×5)2.174.(-2)(-3)(-36)+(-1)20×63.178.(-32)÷(3×2)×(-3-2).180.3×(-2)2+(-2×3)2+(-2+3)2.188.2+42×(-8)×16÷32.190.[5.78+3.51-(0.7)2]÷(0.2)3×11.191.(1.25)4÷(0.125)4×0.0036-(0.6)2.194.(-42×26+132×2)÷(-3)7×(-3)5.195.(3-9)4×23×(-0.125)2.201.741×[(-30)2-(-402)]3÷(1250)2.211.[(-5)3+3.4×2-2×4+53]2.213.(24-5.1×3-3×5+33)2.234.(-5)×(-3)×(-4)2+(-2)3×(-8)×(-3)-(-12)×3÷24.240.-18-23×[(-4)3÷(-43)+0.2×8+(-3)2÷(-32)].(四)用符号“>”,“<”,“≥”,“≤”,“=”之一填空241.当两个数和的绝对值______这两个数差的绝对值时,这两个数同号.242.一个正数与一个负数差的绝对值______这两个数绝对值的和.243.一个正数与一个负数和的绝对值______这两个数绝对值的差.244.一个正数与一个负数差的绝对值______这两个数绝对值的差.245.一个正数与一个负数和的绝对值______这两个数绝对值的和.246.当两个数和的绝对值______这两个数差的绝对值时,这两个数异号.247.当两数和的绝对值______这两个数差的绝对值时,这两个数至少有一个是零.248.当两数和的绝对值______这两个数的绝对值之和时,这两个数可以是任意的有理数.249.当两数差的绝对值______这两个数的绝对值之和时,这两个数可以是任意的有理数.250.当两个数和的绝对值______这两个数绝对值的差时,这两个数可以是任意的有理数.251.当两个数差的绝对值______这两个数绝对值的差时,这两个数可以是任意的有理数.252.欲使两个数的绝对值的和等于这两个数的和的绝对值,这两个数必须是怎样的数?253.欲使两个数和的绝对值不小于这两个数的差的绝对值,这两个数必须是怎样的数?254.欲使两数和的绝对值不大于这两数差的绝对值,这两个数必须是怎样的数?255.欲使两数和的绝对值不小于这两个数的绝对值的和,这两个数必须是怎样的数?256.一个盛有水的圆柱形水桶,其底面半径为1.6分米①.现将一个半径为1.2分米的铁球沉没在桶内水面下,问桶内水面升高多少分米?(列综合算式计算,球的体积公式为,其中V表示体积,R表示球的半径)257.一个盛有水的长方体状容器,它的底面是边长为2.4分米的正方形,现将一个半径是1.2分米的铁球放在容器内,正好铁球体积的1/3在水面下,问放入铁球后,水面升高了多少分米?(列综合算式计算,球的体积公式为V表示体积,R表示球的半径,π取3.14。
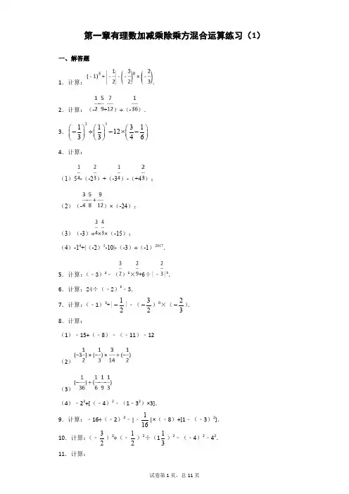
第一章有理数加减乘除乘方混合运算练习(1)一、解答题1.计算:.2.计算:(-+)÷(-).3.231131123346⎛⎫⎛⎫⎛⎫-÷-⨯-⎪ ⎪ ⎪⎝⎭⎝⎭⎝⎭4.计算:(1)5-(-2)+(-3)-(+4);(2)(-)×(-24);(3)(-3)÷××(-15);(4)-14+|(-2)3-10|-(-3)÷(-1)2017.5.计算:(﹣3)2﹣()2×+6÷|﹣|3.6.计算:24÷(﹣2)3﹣3.7.计算:(﹣1)3+|12-|﹣(32-)0×(23-).8.计算:(1)﹣15+(﹣8)﹣(﹣11)﹣12 (2)(3)(4)﹣23+[(﹣4)2﹣(1﹣32)×3].9.计算:﹣16÷(﹣2)3﹣|﹣116|×(﹣8)+[1﹣(﹣3)2].10.计算:(﹣32)2÷(﹣12)2÷(113)2﹣(﹣4)2﹣42.(1)()2718732-+--; (2)()2411236⎡⎤--⨯--⎣⎦.12.计算:(1)﹣5﹣16×(﹣12)3; (2)﹣22+|5﹣8|+24÷(﹣3)×13;13.(1)()()()()2316-+--+-- (2) ()()()233131682234⎡⎤⨯-+--⨯-⨯÷-⎢⎥⎣⎦14.计算:(1)-18×; (2)(-1)3-÷3×[2-(-3)2].15.计算:(1)﹣14﹣(﹣512)×411+(﹣2)3÷|﹣32+1|; (2)﹣10+8÷(﹣2)2﹣(﹣2)3×(﹣3) 16.计算:(1)(﹣16+34﹣512)×36; (2)﹣0.52+14﹣|﹣22﹣4|﹣(﹣112)3×1627.17.计算:(1)4+(﹣2)2×2﹣(﹣36)÷4 (2)﹣72+2×(﹣3)2+(﹣6)÷(﹣13)218.计算:(1)10﹣(﹣5)+(﹣9)+6 (2)(﹣2)3÷49+6×(1﹣13)+|﹣2| 19.计算: (1)(﹣16+34﹣512)×(﹣12);(2)﹣|﹣5|×(﹣12)﹣4÷(﹣12)2. 20.计算:(1)12+(﹣7)﹣(﹣15)(2)4+(﹣2)3×5﹣(﹣0.28)÷4.21.计算:(1)(﹣34+16﹣38)×(﹣24); (2)﹣14+2×(﹣3)2﹣5÷12×2(1)|﹣4|+23+3×(﹣5)(2)﹣12016﹣ ×[4﹣(﹣3)2].23.我们定义一种新运算:a *b =a 2﹣b +ab .例如:1*3=12﹣3+1×3=1. (1)求2*(﹣3)的值.(2)求(﹣2)*[2*(﹣3)]的值. 24.计算:(1)3﹣6×(2)﹣13﹣(1﹣)÷3×[3﹣(﹣3)2]. 25.计算: 135202463⎛⎫-++-+ ⎪⎝⎭. 26.计算:−23−17×[2−(−3)2] 27.计算:3-2×(-5)2 28.21131146824⎛⎫⎛⎫---+-÷- ⎪ ⎪⎝⎭⎝⎭ 29.计算: (1) (-58-16+712)×24+5; (2)-32-(1-12)÷3×|3-(-3)2|.30.计算:(1)(2119418--)×36(2)(﹣1)4﹣36÷(﹣6)+3×(﹣13) 31.-12 012-(1-0.5)×12+( -12+23-14)×24.32.-15-(-8)+(-11)-12. 33.|-5|-(-2)×12+(-6). 34.100÷(﹣2)2﹣(﹣2)÷(﹣12). 35.(1)计算1114125522-+---();(2)计算()()321123211⎛⎫-+⨯-⨯-÷-.36.12﹣(﹣18)+(﹣7)﹣15;37.100÷(﹣2)2﹣(﹣2)÷(﹣2) 38.﹣2﹣1+(﹣16)﹣(﹣13); 39.计算: 15218263⎛⎫-⨯-+⎪⎝⎭. 40.计算: ()15324368⎛⎫-+-⨯- ⎪⎝⎭. 41.计算:(1)()225339⎡⎤⎛⎫-⨯-+- ⎪⎢⎥⎝⎭⎣⎦;(2)()()2361110.5235⎡⎤---⨯⨯+-⎣⎦ 42.计算:-22÷(-14)×(34-58)-19×(-3)3; 43.计算:(-1)3-14×[2-(-3) 2] .44.计算:(−1)2013×| −3 |−(−2)3+4÷(−23)245.计算:(1) ()374--+-- (2) ()2116532⎛⎫⎛⎫-⨯-+÷- ⎪ ⎪⎝⎭⎝⎭46.()8182188233÷+⎪⎭⎫⎝⎛⨯-⨯-47.计算:﹣(π﹣2016)02|+2sin60°.48.计算:()12013201746-⎛⎫--⨯-+ ⎪⎝⎭49.计算:(-3)4÷(1.5)2﹣6×(-)+|﹣32﹣9|50.﹣22÷(﹣1)2﹣×[4﹣(﹣5)2] 51.()()[]()[]628543-⨯--⨯--⨯- 52.()()2395.02921-⨯+⎪⎭⎫ ⎝⎛-÷- 53.计算题:(1)()()()4593-÷-⨯- ;(2)()43312424-⨯+-÷- . 54.计算①②55.计算(每小题5分,共10分)(1) -︱-2︱(2) —1×—(0.5—1) ×3÷(—32—1)56.计算:(1) ;(2)()×(-24)57.计算:(1)(-71)+(+64);(2)(-16)-(-7);(3);(4)58.计算:(1) 16÷(﹣2)3﹣()×(﹣4)(2)59.计算:(1)25×﹣(﹣25)×+25÷(﹣);(2)2﹣23÷[()2﹣(﹣3+0.75)]×5. 60.耐心算一算(1)(﹣3)+(﹣4)﹣(+11)﹣(﹣19)(2)﹣23﹣(1﹣0.5)×13×[2﹣(﹣3)2] (3)﹣3.5÷78×(﹣87)×|﹣364|(4)(23﹣112﹣415)×(﹣60)61.(1)﹣3+4﹣5;(3)16÷(﹣2)3﹣(﹣18)×(﹣4)62.计算:﹣32+2×(-2)3﹣(﹣+). 63.计算(1)()()()125884----++. (2)()512.54168⎛⎫-÷⨯-÷- ⎪⎝⎭. (3)()125366312⎛⎫-+⨯-⎪⎝⎭. (4)()()241110.543--+⨯÷-. 64.计算: (1)()()()77713176888⎛⎫⨯-+-⨯--⨯- ⎪⎝⎭. (2)()223321125⎡⎤⎛⎫--⨯---+⨯ ⎪⎢⎥⎝⎭⎣⎦.65.计算:(1)34177536411411⎛⎫⎛⎫+---+ ⎪ ⎪⎝⎭⎝⎭; (2)()3421415231211⎛⎫⎡⎤---⨯+-÷-+ ⎪⎣⎦⎝⎭; (3)()2461131311124842834⎛⎫⎛⎫⎛⎫-÷-⨯--+-⨯ ⎪ ⎪ ⎪⎝⎭⎝⎭⎝⎭66.计算(1)(﹣8)+10+2+(﹣1); (2)|152-|×(1132-)×0.6÷(﹣1.75); (3)(﹣10)3+[(﹣4)2﹣(1﹣32)×2]; (4)﹣32×(﹣13)2+(313468++)×(﹣24). 67.计算下列各题:(1)(+16)-(-34)+(-11); (2)()948149-÷⨯ ;(3)(1316412-+-)×(-48);(4)()245150.813⎛⎫-÷-⨯-+- ⎪⎝⎭.68.计算:69.计算题: (1)﹣5﹣65;(2)(﹣0.02)×(﹣20)×(﹣5)÷29; (3)4+(﹣2)2×2﹣(﹣36)÷4; (4)﹣2﹣|﹣3|+(﹣2)2. 70.计算: (1)11313252442⎛⎫⎛⎫⎛⎫⎛⎫---++-+ ⎪ ⎪ ⎪ ⎪⎝⎭⎝⎭⎝⎭⎝⎭. (2)()()94811649-÷⨯÷-. (3)()271112669126⎛⎫--+⨯-⎪⎝⎭. (4)()()()3200821223|23|----⨯-+--. 71.计算:(1)12﹣(﹣18)+(﹣12)﹣15;(2)(﹣38+712)×(﹣24) (3)(﹣34)×113÷(﹣112);(4)(﹣2)3×(﹣12)﹣(﹣3) 72.计算:(1)(﹣3)2﹣9÷(﹣3)×(﹣13) (2)﹣14+(0.5﹣1)×[﹣2﹣(﹣2)3]. 73.计算:(﹣2)4÷(﹣223)2+512×(﹣16)﹣0.25. 74.计算: (1) ()()2414 4.53⎛⎫-÷-⨯- ⎪⎝⎭; (2) 5191631442⎛⎫⎛⎫+-÷-⎪ ⎪⎝⎭⎝⎭;(3) ()32114321133⎛⎫⎛⎫-+⨯-⨯-÷- ⎪ ⎪⎝⎭⎝⎭; (4) ()2215130.34130.343737-⨯-⨯+⨯--⨯ (用简便方法计其) 75.计算:(23﹣16+34)×(﹣24)76.计算(1)(﹣3)+(﹣4)﹣(+11)﹣(﹣9);(2)﹣0.5﹣(﹣314)+2.75﹣712;(3)(1572612+-)×(﹣36);(4)﹣14﹣(512)×411+(﹣2)3+|32-1|77.计算: 10.53 2.757.54⎛⎫---+- ⎪⎝⎭.78.计算: ()121223--+-+-; 79.计算:(1)(+ 3.4)+(-549)-(-435)-(+259);(2)-4+(-335)×53-(- 24)÷4; (3)(-134+2712-159)÷(-136);(4)-12018-(1-0.5)×13×[2-(-3)3].80.计算下列各题(1)(-25)-9-(-6)+(-3);(2)-22-24×(-+);(3)(-3)3+[10-(-5)2×2]÷(-2)2. 81.计算题(1)(﹣49)﹣(+91)﹣(﹣5)+(﹣9) (2)3×(﹣4)+(﹣28)÷7. (3)﹣14﹣(﹣2)3×(﹣135)+|0.8﹣1|. (4)(﹣25)÷54×45÷(﹣16) 82.计算:(1)3﹣6﹣(﹣7)+(﹣14);(2)﹣(﹣1)﹣|0.5﹣1|×13. 231(2)﹣22+3×(﹣1)3﹣(﹣4)×5. 84.计算:(1)(-612)×413-8÷|-4+2|; (2)(-2)4÷(-223)2+512×(-16)-0.25.85.计算:(1)-28-(-19)+(-24); (2)()157122612⎛⎫-+-⨯- ⎪⎝⎭; (3)()()24112376⎡⎤--⨯--÷-⎣⎦.86.(95-)×2353113824⎡⎤⎛⎫⎛⎫⎛⎫-+-÷--⎢⎥ ⎪ ⎪ ⎪⎝⎭⎝⎭⎝⎭⎢⎥⎣⎦.87.计算:(1)3×(﹣4)+18÷(﹣6) (2)(﹣2)2×5+(﹣3)3÷4. 88.计算:①8+(-10)+(-2)-(-5) ②()1002-1-5-4-3-4⨯⨯89.计算:(本题10分)(1) ()1218-- (2) ()241110.5233⎡⎤⨯⨯--⎣⎦--(-)90.计算 (1)()317542⎛⎫---+- ⎪⎝⎭; (2)111369618⎛⎫-++⨯- ⎪⎝⎭() (3)1122311+--⨯-()() (4)0-23÷(-4)3-1891.计算:(1)()()12187--+- (2)31112424⎛⎫⎛⎫⎛⎫-⨯-÷- ⎪ ⎪ ⎪⎝⎭⎝⎭⎝⎭(4)213132123482834⎛⎫⎛⎫-÷--+-⨯ ⎪ ⎪⎝⎭⎝⎭92.计算 (1)()1731160312415⎛⎫-+-⨯-⎪⎝⎭ (2)()()432411221382⎛⎫⎛⎫⎡⎤-÷-+-÷---- ⎪ ⎪⎣⎦⎝⎭⎝⎭.93.计算题 (1) 8+(﹣14)﹣5﹣(﹣0.25) (2) ()12724834⎛⎫--+⨯- ⎪⎝⎭(3) ﹣14﹣16×[2﹣(﹣3)2] (4)、()22015211222721343⎛⎫⎛⎫-⨯--÷⨯--- ⎪ ⎪⎝⎭⎝⎭94.计算:(1)(+23)+(—17)+(+6)+(—22) (2)—12017—(1—0.5)×13(3)—3×(—13)2 (4)(—32)÷(—2)3×33495.计算:(1) (+12)+(-23)-(-32); (2)()()232524-⨯--÷ 96.计算: (1)()()33517.521.753488⎛⎫+-++--- ⎪⎝⎭(2)352178248208⎛⎫⎛⎫--÷- ⎪ ⎪⎝⎭⎝⎭(3)()()()2322183263⎛⎫-+-⨯-+-÷- ⎪⎝⎭97.331530.75524828⎛⎫⎛⎫-++-+-+-⎪ ⎪⎝⎭⎝⎭.98.计算题(1)12﹣(﹣16)+(﹣4)﹣5(2)(﹣10)+8×(﹣2)﹣(﹣4)×(﹣3)(3)-- [22﹣()]×12(4)()99.(1)计算:11112462⎛⎫+-⨯⎪⎝⎭(2)25×34-(-25)×12+25×(14-)(3)()32-+()3-×[()24-+2]-()23-÷()2-. 100.计算与化简:(1)-10-(-16)+(-24);(2)5÷(-35)×53(3)4×(-725)+(-2)2×5-4÷(-512);约214道小题参考答案1.【解析】分析:原式利用乘方的意义,绝对值的代数意义,零指数幂法则计算即可得到结果.详解:原式===.点睛:此题考查了有理数的混合运算,熟练掌握运算法则是解本题的关键.2.17【解析】分析:将除法变为乘法,再根据乘法分配律计算即可求解. 详解:原式点睛:考查有理数的混合运算,掌握运算法则是解题的关键.3.-4【解析】分析:根据有理数的混合运算的顺序进行运算即可. 详解:原式1131121292746⎛⎫=÷-⨯-⨯ ⎪⎝⎭ ()127929=⨯-- 37=-4.=-点睛:考查有理数的混合运算,掌握有理数的混合运算的顺序是解题的关键.4.(1)0;(2)15;(3)80;(4)14【解析】分析:(1)将减法转化为加法,再利用加法的交换律和结合律简便计算可得;(2)运用乘法的分配律计算可得;(3)将除法转化为乘法,再计算乘法即可得;(4)根据有理数的混合运算顺序和法则计算可得.详解:解:(1)原式=5+2﹣3﹣4=5﹣3+2﹣4=2﹣2=0;(2)原式=×24+×24﹣×24=18+15﹣18=15;(3)原式=(﹣3)×××(﹣15)=4×4×5=80;(4)原式=﹣1+|﹣8﹣10|﹣(﹣3)÷(﹣1)=﹣1+18﹣3=14.点睛:本题考查的是有理数的运算能力.注意:(1)要正确掌握运算顺序,在混合运算中要特别注意运算顺序:先三级,后二级,再一级;有括号的先算括号里面的;同级运算按从左到右的顺序;(2)去括号法则:−−得+,−+得−,++得+,+−得−,能利用运算定律的利用运算定律更加简便.5.28【解析】【分析】按运算顺序先分别进行平方运算、立方运算,然后再进行乘除法运算,最后进行加减法运算即可得.【详解】原式=9﹣===.【点睛】本题考查了有理数的混合运算,掌握运算法则,确定好运算顺序是解题的关键. 6.-6【解析】试题分析:根据有理数的混合运算,先算乘方,再算乘除,最后算加减,依次计算即可.试题解析:24÷(﹣2)3﹣3=24÷(﹣8)﹣3=﹣3﹣3=﹣67.1 6【解析】试题分析:原式利用乘方的意义,绝对值的代数意义,零指数幂法则计算即可得到结果.试题解析:解:原式=﹣1+12﹣1×(﹣23)=﹣1+12+23=16.点睛:本题考查了有理数的混合运算,熟练掌握运算法则是解答本题的关键.8.(1)-24(2)-(3)(4)32【解析】试题分析:按照有理数的混合运算顺序进行运算即可.试题解析:原式(2)原式(3)原式(4)原式=32.9.152- 【解析】试题分析:原式先计算乘方运算,再计算乘除运算,最后算加减运算即可得到结果. 试题解析:原式()()()1111688192851622=-÷--⨯-+-=+-=-. 点睛:先乘方,再乘除,最后加减.有括号先算括号里面的.10.-16【解析】试题分析:根据有理数的混合运算的运算顺序,求出算式的值即可. 试题解析:原式91161616,449=÷⨯-- 91641616,49=⨯⨯-- 161616,=--16.=-11.(1)-30;(2)16【解析】试题分析:(1)直接计算.(2)按照有理数混合运算法则计算.试题解析:(1)原式=27+(-18)+(-7)+(-32)= -30.(2)原式=()11296--⨯- =()1176--⨯- =716-+=16. 12.(1)﹣3;(2)﹣113; 【解析】试题分析:(1)原式先计算乘方运算,再计算乘法运算,最后算加减运算即可得到结果;(2)原式先计算乘方运算,再计算乘除运算,最后算加减运算即可得到结果.试题解析:(1)原式=﹣5﹣16×(﹣18)=﹣5+2=﹣3; (2)原式=﹣4+3﹣83=﹣113; 13.(1)0;(2)-7【解析】试题分析:(1)根据有理数加减法法则计算即可;(2)根据有理数混合运算法则计算即可.试题解析:解:(1)原式=-5-1+6=0;(2)原式=()1356416274⎡⎤⨯-++⨯÷-⎢⎥⎣⎦=[]()3564427⨯-++÷-=()36327⨯÷-=-714.(1)-6;(2) .【解析】分析:(1)运用乘法分配律计算可得;(2)根据有理数混合运算顺序和运算法则计算可得.详解:(1)原式=-9-12+15=-6.(2)原式=-1-××(-7)=-1+=.点睛:本题主要考查有理数的混合运算,熟练掌握有理数的混合运算的顺序和法则是解题的关键.15.(1)0;(2)-32【解析】试题分析:(1)根据有理数的运算法则和顺序计算.注意同级运算中的先后顺序;(2)原式先计算乘方运算,再计算乘除运算,最后算加减运算即可得到结果.试题解析:(1)原式=﹣1+112×411﹣8÷|﹣9+1|=﹣1+2﹣8÷8=1﹣8÷8=0.(2)原式=﹣10+2﹣24=﹣34+2=﹣32.16.(1)6;(2)﹣6.【解析】试题分析:(1)原式利用乘法分配律计算即可求出值;(2)原式先计算乘方运算,再计算乘法运算,最后算加减运算即可求出值.试题解析:解:(1)原式=﹣6+27﹣15=6;(2)原式=﹣14+14﹣8+278×1627=-8+2=﹣6.17.(1)21;(2)﹣85.【解析】试题分析:(1)根据有理数混合运算顺序和运算法则计算可得;(2)根据有理数混合运算顺序和运算法则计算可得.试题解析:解:(1)原式=4+4×2+9=4+8+9=21;(2)原式=﹣49+2×9+(﹣6)×9=﹣49+18﹣54=﹣85.点睛:本题主要考查有理数的混合运算,熟练掌握有理数的混合运算的顺序和法则是解题的关键.18.(1)12 (2)-12【解析】试题分析:(1)原式利用减法法则变形,计算即可;(2)原式先计算乘方及绝对值运算,再计算乘除运算,最后算加减运算即可.试题解析:解:(1)原式=10+5﹣9+6=12;(2)原式=9286243-⨯+⨯+=﹣18+4+2=﹣12.19.(1)﹣2;(2)﹣11.【解析】试题分析:(1)用乘法分配率计算即可;(2)根据有理数混合运算法则计算即可.试题解析:解:(1)原式=(﹣16)×(﹣12)+34×(﹣12)+(﹣512)×(﹣12)=2﹣9+5=﹣2;(2)原式=﹣5×(﹣1)﹣4×4=5﹣16=﹣11.20.(1)20;(2)﹣35.3.【解析】试题分析:根据有理数的混合运算的顺序进行运算即可.试题解析:(1)原式1271527720=-+=-=;(2)原式=4+(-40)-(-0.07) =-35.9321.(1)23 (2)-3【解析】试题分析:按照有理数的混合运算顺序进行运算即可.试题解析:(1)原式()()()313242424184923468=-⨯-+⨯--⨯-=-+=; (2)原式11820 3.=-+-=-22.(1)-3;(2)0;【解析】试题分析:按照有理数的运算顺序进行运算即可. 试题解析:点睛:有乘方先算乘方,再算乘除,最后算加减.23.(1)1;(2)1.【解析】试题分析:(1)根据新运算的定义式a *b =a 2-b +ab ,代入数据即可算出结论;(2)根据(1)可知2*(-3)=1,再根据新运算的定义式a *b =a 2-b +ab ,代入数据即可算出结论.试题解析:解:(1)2*(﹣3)=22﹣(﹣3)+2×(﹣3)=4+3﹣6=1;(2)(﹣2)*[2*(﹣3)]=(﹣2)*1=(﹣2)2﹣1+(﹣2)×1=4﹣1﹣2=1.点睛:本题考查了有理数的混合运算,读懂题意并理解新运算的定义式a *b =a 2-b +ab 是解题的关键.24.(1)2(2)0【解析】试题分析:(1)根据有理数的混合运算的顺序和法则,依次计算即可;(2)先算括号里面的,再根据顺序,先算乘方,再算乘除,最后算加减,注意解题时符号的变化.试题解析:(1)3﹣6×=3﹣3+2=2;(2)﹣13﹣(1﹣)÷3×[3﹣(﹣3)2]=﹣1﹣ [3﹣9] =﹣1﹣×(﹣6)=﹣1+1=0.25.112【解析】试题分析:去掉括号后,通分化为同分母分数,再相加减. 试题解析:原式6910812121212=-+-+ 610981617112121212121212=--++=-+=. 26.-7.【解析】试题分析:按照有理数的混合运算顺序进行运算即可. 试题解析:原式()()()118298781817.77=---=--⨯-=---=-+=- 27.-47【解析】试题分析:先计算乘方,然后计算乘法,最后进行减法计算即可. 试题解析:原式=3-2×25=3-50=-47.28.-12【解析】试题分析:按照有理数的运算顺序进行运算即可. 试题解析:原式()113124,468⎛⎫=---+-⨯- ⎪⎝⎭ ()()()1131242424,468⎡⎤=---⨯-+⨯--⨯-⎢⎥⎣⎦()1649,=---+111,=--12.=-29.(1)0;(2)-10【解析】试题分析:按照有理数的运算顺序进行运算即可.试题解析:(1) 5172458612⎛⎫--+⨯+ ⎪⎝⎭=()154145550--++=-+=, (2) ()221313332⎛⎫---÷⨯-- ⎪⎝⎭=1196911023=--⨯⨯=--=-. 30.(1)-3;(2)6【解析】试题分析:(1)根据乘法分配律可以解答本题;(2)根据幂的乘方、有理数的乘除法和加减法可以解答本题.试题解析:解:(1)原式=2113636369418⨯-⨯-⨯=8﹣9﹣2=﹣3; (2)原式=1+6+(﹣1)=6.31.-314【解析】试题分析:先算乘方,再算乘除,最后算加减;同级运算,应按从左到右的顺序进行计算;如果有括号,要先做括号内的运算;注意乘法分配律的运用.试题解析:原式=−1−12×12−12×24+23×24−14×24=−1−14−12+16−6=−1914+16=−314. 32.-30【解析】试题分析:先写成省略加号的形式,再根据有理数的加减运算法则进行计算即可得解.试题解析:原式=-15+8-11-12=-7-11-12=-18-12=-30.33.0【解析】试题分析:(1)先算绝对值,再算乘法,最后算加减;同级运算,应按从左到右的顺序进行计算;如果有括号,要先做括号内的运算.试题解析:原式=5-(-1)+(-6)=5+1-6=0.34.21【解析】试题分析:按有理数和混合运算的顺序,先乘方,后乘除,最后算加减即可. 试题解析:原式=100÷4﹣(﹣2)×(﹣2)=25﹣4=21.35.(1)-2;(2)-14.【解析】试题分析:(1)根据有理数的混合运算顺序,求出每个算式的值是多少即可.(2)根据有理数的混合运算顺序,先乘方后乘除最后加减即可.试题解析:(1)原式=−2+152−152=−2; (2)原式=−8+3×4×(−23)÷43=−8+12×(−23)÷43=−8−8÷43=−8−6=−14. 36.8【解析】试题分析:有理数的加减混合运算,一般应统一成加法运算,再运用运算律进行简化计算.试题解析:原式=12+18−7−15=30−22=8.37.21【解析】试题分析:原式先计算乘方运算,再计算乘除运算,最后算加减运算即可得到结果. 试题解析:原式=100÷4﹣(﹣2)÷(﹣2)=25﹣1=24.38.﹣6【解析】试题分析:有理数的加减混合运算,一般应统一成加法运算,再运用运算律进行简化计算.试题解析:原式=﹣2﹣1﹣16+13=﹣6.39.– 6.【解析】试题分析:本题我们利用乘法分配律来进行简便计算,从而得出答案.试题解析:原式=()()()152181818915126263-⨯--⨯+-⨯=-++-=-. 40.-3【解析】试题分析:利用分配律进行计算即可.试题解析:原式=()()()153242424368⎛⎫-⨯-+⨯--⨯- ⎪⎝⎭ = 8 – 20 + 9 = - 3 . 41.(1)-11(2)0.25.【解析】试题分析:按照有理数的混合运算顺序进行运算即可.试题解析: ()1原式()2525999=6+5=11.3939⎡⎤⎛⎫⎛⎫⎛⎫=⨯-+-=⨯-+⨯---- ⎪ ⎪ ⎪⎢⎥⎝⎭⎝⎭⎝⎭⎣⎦ ()2原式()211511251.2544⎛⎫=--⨯⨯-=-+= ⎪⎝⎭ 42.5【解析】试题分析:利用有理数混合运算法则计算.试题解析:原式=﹣4×(﹣4)×18﹣19×(﹣27)=2+3 =5.43.3 4 .【解析】试题分析:先计算乘方,然后计算括号里的,再计算乘法,最后进行减法运算即可.试题解析:原式=-1-14×(2-9)=-1+74=34.44.14【解析】试题分析:原式利用有理数的乘方及绝对值的意义计算,即可得到结果.试题解析:原式=−1×3 −(−8)+4÷49=−3+8+4×94=−3+8+9=1445.(1)6;(2)22.【解析】试题分析:(1)先去括号,化简绝对值,然后再进行有理数的加减法计算,(2)先进行有理数的乘除法计算,再进行有理数的加法计算.试题解析:(1)原式=3+7-4=6,(2)原式=2+20=22.46.-147.3【解析】试题分析:直接利用绝对值的性质以及特殊角的三角函数值和零指数幂的性质分别化简求出答案.【解答】解:原式+2×2=3.48.13.【解析】试题分析:原式利用乘方的意义,绝对值的代数意义,算术平方根、零指数幂、负整数指数幂法则计算即可得到结果.试题解析:原式=2+9-1×4+6 =13视频49.55【解析】试题分析:先算乘方,再算乘除法和去绝对值称号,最后算加法.试题解析:原式=81÷2.25+1+18=36+1+18=55.50.3【解析】试题分析:先算乘方,再算括号里面的减法,再算乘除法,最后算加法.试题解析:原式==-4+7=3.51.2852.6.5【解析】试题分析:分别计算有理数的乘方、算术平方根和负整数指数幂,然后再进行加减运算即可.试题解析:原式=9-2+2=9.53.(1)-15;(2)2【解析】试题分析:(1)有理数的乘除运算.(2)有理数的混合运算.试题解析: (1)原式=-5×3=-15;(2)原式=-8×14+64÷16=-2+4=254.①; ②【解析】试题分析:(1)先算乘除,然后算加减;(2)先算乘方,再算乘除,最后算加减.试题解析:①原式=−×−8÷2=−2−4=−6,②原式=16÷−×−=−−=.55.(1)-4 (2)【解析】试题分析:(1)原式利用减法法则变形,相加即可得到结果;(2)按照有理数混合运算的顺序,先乘方后乘除最后算加减,有括号的先算括号里面的.试题解析:解:(1)原式=(2)原式56.(1);(2)4【解析】试题分析:根据有理数加减乘除的运算方法,求出每个算式的值各是多少即可.试题解析:(1)原式===;(2)原式==2+20+(-18)=4 57.(1)-7;(2)-9;(3)-42;(4)-10【解析】试题分析:根据有理数加减乘除的运算方法,求出每个算式的值各是多少即可.试题解析:(1)(-71)+(+64)=-(71-64)=-7(2)(-16)-(-7)=-16+7=-9(3)==-42(4)==-1058.(1)﹣2;(2).【解析】根据有理数的混合运算的法则分别进行运算,求出每个算式的值各是多少即可.解:(1)16÷(﹣2)3﹣()×(﹣4)=16÷(﹣8)﹣=﹣2﹣=﹣2(2)﹣12﹣(﹣)÷×[﹣2+(﹣3)2]=﹣1+÷×[﹣2+9]=﹣1+×7 =.59.(1);(2).【解析】分析:(1)、利用乘法分配律的逆运算进行简便计算;(2)、根据有理数的混合运算的法则进行计算即可得出答案.详解:解:(1)25×﹣(﹣25)×+25÷(﹣)=25×+25×+25×(﹣4)=25×()=25×(﹣)=﹣;(2)2﹣23÷[()2﹣(﹣3+0.75)]×5=====﹣13. 点睛:本题主要考查的是有理数的混合运算,属于基础题型.理解混合运算的计算法则和顺序是解题的关键.60.(1)1;(2)﹣416;(3)314;(4)﹣19. 【解析】试题分析:按照有理数的混合运算的顺序进行运算即可.试题解析:(1)原式34111918191=---+=-+=;(2)原式()11741878.2366=--⨯⨯-=-+=- (3)原式788332776414=⨯⨯⨯=; (4)原式4051619=-++=-.61.(1)﹣4(2)﹣8(3)-212【解析】试题分析:(1)根据有理数加减法法则按顺序进行计算即可;(2)先进行乘除法运算,再进行加法运算即可;(3)先进行乘方运算,再进行乘除法运算,最后进行减法运算即可.试题解析:(1)﹣3+4﹣5=﹣8+4=﹣4;(2)3×(﹣2)+(﹣14)÷|+7|=﹣6+(﹣2)=﹣8;(3)16÷(﹣2)3﹣(﹣18)×(﹣4)=16÷(﹣8)﹣(﹣18)×(﹣4)=﹣2﹣12=-212. 62.﹣24. 【解析】根据幂的乘方、有理数的乘法和加减法可以解答即可.解:﹣32+2×(﹣2)3﹣(﹣) =﹣9+2×(﹣8)﹣(﹣1)=﹣9+(﹣16)+1=﹣24.63.(1)-91(2)14-(3)3(4)3332- 【解析】试题分析:(1)根据有理数的加减混合运算顺序依次计算即可;(2)根据有理数的乘除运算法则依次计算即可;(2)利用分配律计算即可;(4)根据有理数的混合运算顺序依次计算即可.试题解析:(1)()()()125884----++125884=-+-+()()128854=--++1009=-+91=-.(2)()512.54168⎛⎫-÷⨯-÷- ⎪⎝⎭ 516112584⎛⎫⎛⎫=-⨯⨯-⨯- ⎪ ⎪⎝⎭⎝⎭ 14=-. (3)()125366312⎛⎫-+⨯- ⎪⎝⎭ ()()()12536 3.6366312=⨯--⨯-+⨯- 62415=-+-3=.(4)()()241110.543--+⨯÷- 31112316=--⨯⨯ 1132=-- 3332=-. 64.(1)354.(2)535- 【解析】试题分析:按照有理数的混合运算顺序进行运算即可.试题解析:()1 ()()()77713176,888⎛⎫⨯-+-⨯--⨯- ⎪⎝⎭ 77713176,888=-⨯+⨯+⨯ ()713176,8=-++ 710,8=⨯ 35.4= ()()223232112,5⎡⎤⎛⎫--⨯---+⨯ ⎪⎢⎥⎝⎭⎣⎦ 69211,5⎡⎤⎛⎫=--⨯--+⎪⎢⎥⎝⎭⎣⎦ 69211,5⎛⎫=--⨯+- ⎪⎝⎭ 492,5=--⨯ 89,5=-- 535=-. 65.(1)31211;(2)0;(3)3 【解析】试题分析:(1) 先运用加法交换律计算, 再依据加法法则即可;(2)按照有理数混合运算的顺序,先乘方后乘除最后算加减,有括号的先算括号里面的;(3) 进行有理数加、减、乘、除、乘方的混合运算时,关键是确定正确的运算顺序,在运算中还要特别注意符号和括号,避免出错.试题解析:(1) 34177536411411⎛⎫⎛⎫+---+ ⎪ ⎪⎝⎭⎝⎭ =31477356441111⎛⎫⎛⎫++-+ ⎪ ⎪⎝⎭⎝⎭ =11+3111 =31211(2)-14-(-512)×411+(-2)3÷[-32+1] =-1+2+(-8)÷(-8)=-1+2+1=2;(3) ()2461131311124842834⎛⎫⎛⎫⎛⎫-÷-⨯--+-⨯ ⎪ ⎪ ⎪⎝⎭⎝⎭⎝⎭ =116×16×1−(118×48+43×48−114×48) =1−(66+64−132)=1−(−2)=366.(1)3;(2)1135;(3)-968;(4)-32. 【解析】试题分析:(1)根据有理数加法法则计算即可;(2)先算绝对值与括号,再将除法转化为乘法,然后计算乘法即可;(3)先算乘方与括号,再算乘法,最后算加减;(4)先算乘方,再算乘法,最后算加减.试题解析:(1)(﹣8)+10+2+(﹣1)=3;(2)|﹣512|×(1132-)×0.6÷(﹣1.75)=112×(﹣16)×35×(﹣47) =1135; (3)(﹣10)3+[(﹣4)2﹣(1﹣32)×2]=﹣1000+[16﹣(1﹣9)×2]=﹣1000+[16+16]=﹣1000+32=﹣968;(4)﹣32×(﹣13)2+(313468++)×(﹣24) =﹣9×19+(﹣18﹣4﹣9) =﹣1﹣31=﹣32.67.(1)39 (2)-16 (3)-24 (4)415 【解析】试题分析:对于这组有理数的混合运算题,首先要确定好每个小题的运算顺序,再按顺序依照每种运算的法则进行计算,计算时,要特别注意每一步运算结果的符号,不要和前面的运算符号混淆了.试题解析:(1)原式=16+3411-=5011-=39.(2)原式=448199-⨯⨯ =16-.(3)原式=()()()1314848486412-⨯-+⨯--⨯- =8364-+=24-.(4)原式=15112535⎛⎫-⨯⨯-+ ⎪⎝⎭=13+1515=415. 68.-2【解析】试题分析:根据有理数的运算法则依次运算即可.试题解析:原式=()71122932673⨯⨯⨯⨯÷- =-2. 69.(1)-70;(2)-9;(3)21;(4)-1.【解析】试题分析:(1)根据减法法则计算可得;(2)根据乘除混合运算顺序和运算法则计算可得;(3)先计算乘方,再计算乘除,最后计算加减可得;(4)先计算乘方和绝对值,再计算加减可得.试题解析:(1)原式=﹣(5+65)=﹣70;(2)原式=0.4×(﹣5)×92=﹣9; (3)原式=4+4×2﹣(﹣9)=4+8+9=21;(4)原式=﹣2﹣3+4=﹣1.70.(1)0.(2)1.(3)25.(4)38.【解析】试题分析:(1)根据加法交换律和结合律简便计算即可求解;(2)按照从左到右的顺序依次把除法转化为乘法运算,然后根据有理数的乘法运算法则进行计算即可得解;(3)先算乘方,再利用乘法分配律算乘法,最后算减法;(4)先算乘方、绝对值,再算乘法,最后算加减.试题解析:(1)原式11311116602442=-++-=-=; (2)原式4418119916⎛⎫=-⨯⨯⨯-= ⎪⎝⎭; (3)原式126362536=-⨯=; (4)原式=38. 71.(1)3;(2)﹣5;(3)23;(4)7【解析】试题分析:按照有理数的混合运算顺序进行运算即可.试题解析:(1)12﹣(﹣18)+(﹣12)﹣15=12+18﹣12﹣15=30﹣27=3.(2)()()()3737242424914 5.812812⎛⎫-+⨯-=-⨯-+⨯-=-=- ⎪⎝⎭(3)311342211.4324333⎛⎫⎛⎫⎛⎫⎛⎫-⨯÷-=-⨯⨯-= ⎪ ⎪ ⎪ ⎪⎝⎭⎝⎭⎝⎭⎝⎭ (4)()()3112383437.22⎛⎫⎛⎫-⨯---=-⨯-+=+= ⎪ ⎪⎝⎭⎝⎭72.(1)8;(2)-4.【解析】试题分析:按照有理数混合运算顺序进行运算即可.试题解析:(1)原式1199918.33⎛⎫⎛⎫=-⨯-⨯-=-= ⎪ ⎪⎝⎭⎝⎭(2)原式=-473.1312【解析】试题分析:根据有理数混合运算的法则:先乘方,后乘除,有括号的先计算括号进行计算即可.试题解析:(﹣2)4÷(﹣223)2+512×(﹣16)﹣0.25 =16×964+112×(﹣16)﹣14=94﹣14﹣1112=2﹣1112=1312. 74.⑴32-;(2)-22;(3)-28;(4)-13.34. 【解析】试题分析:(1)先把除法运算转化为乘法运算,再根据有理数的乘法法则计算即可;(2)利用分配律计算即可;(3)根据有理数的混合运算顺序依次计算即可;(4)逆用乘法的分配律计算即可.试题解析:⑴原式=14193142-⨯⨯=32-; (2)原式=()519426314⎛⎫+-⨯-⎪⎝⎭ =()()()5194242426314⨯-+⨯--⨯- =-35-14+27=-22;(3) 原式=23162434⎛⎫⎛⎫--⨯-⨯- ⎪ ⎪⎝⎭⎝⎭= -16-12= -28; (4)原式=()2125130.343377⎛⎫⎛⎫-⨯+-⨯+⎪ ⎪⎝⎭⎝⎭= -13.34. 75.﹣30. 【解析】试题分析:直接通分计算或者利用乘法分配律计算.试题解析:解:法一:原式=(1624﹣424+1824)×(﹣24) =3024×(﹣24) =﹣30; 法二:原式=23×(﹣24)﹣16×(﹣24)+34×(﹣24) =﹣16+4﹣18=﹣30.76.(1)﹣9;(2)﹣2;(3)﹣27;(4)﹣3.【解析】试题分析:(1)利用加法结合律计算.(2)先化成分数,再利用加法结合律计算.(3)利用乘法分配律计算.(4)先算乘方,再算乘除,最后算加减.试题解析:解:(1)原式=(﹣3)+(﹣4)+(﹣11)+9=[(﹣3)+(﹣4)+(﹣11)]+9=﹣18+9=﹣9;(2)原式=﹣12+314+234+(﹣712)=[﹣12+(﹣712)]+(314+234)=﹣8+6=﹣2;(3)原式=12×(﹣36)+56×(﹣36)﹣712×(﹣36)=﹣18﹣30+21=﹣27;(4)原式=﹣1﹣112×411+(﹣8)+8=﹣1﹣2+[(﹣8)+8]=﹣3.77.-2【解析】试题分析:把分数化成小数,直接计算.试题解析:原式=-0.5+(3.25+2.75)-7.5=6-8=-2.点睛:熟练掌握常用分数和小数的互化: 10.52=, 10.254=, 10.25=,10.1258=, 10.110=,20.45=,30.65=,340.3750.885==,.78.176-【解析】试题分析:利用绝对值直接计算.试题解析:原式=-1+16+2 =176-.79.(1)原式=0;(2)原式=-4;(3)原式=26;(4)原式=-356.【解析】试题分析:(1)利用加法结合律即可求解;(2)先计算乘除运算,再计算加减即可得到结果.(3)原式利用除法法则变形,再利用乘法分配律计算即可得到结果;(6)原式先计算乘方运算,再计算乘法运算,最后计算减法即可得到结果.试题解析:(1)原式=(+ 3.4)+(-549)+(+435)+(-259)=[(+325)+(+435)]+[(-549)+(-259)]=(+8)+(-8)=0;(2)原式=-4+(-185)×53-(-6)=-4+(-6)+(+ 6)=-4;(3)原式=(-74+3112-149)×(-36)=(-74)×(-36)+3112×(-36)-149×(-36)=(+63)+(-93)-(-56)=63-93+56=26;(4)原式=-1-12×13×(2+27)=-1-16×29=-1-296=-356.80.(1)-31;(2)5;(3)-37【解析】(1)原式=-25-9+6-3=-25-9-3+6=-37+6=-31(2)原式=-4-24×+24×-24×=-4-2+20-9=-15+20=5(3)原式=-27+(10-50)÷4 =-27-10=-3781.(1)-144;(2)-16;(3)-12;(4)1.【解析】试题分析:(1)原式利用减法法则变形,计算即可得到结果;(2)原式先计算乘除运算,再计算加减运算即可得到结果;(3)原式先计算乘方运算,再计算乘法运算,最后算加减运算即可得到结果;(4)原式从左到右依次计算即可得到结果.试题解析:解:(1)原式=-49-91+5-9=-144;(2)原式=-12-4=-16;(3)原式=8180.25--⨯+=6410.25--+=-13.6;(4)原式=25×45×45×116=1.82.(1)-10;(2)56.【解析】试题分析:按照有理数的运算顺序进行运算即可.试题解析: ()1原式3671410.=-+-=-()2原式111511.2366=-⨯=-= 83.(1)-18.5;(2)13【解析】试题分析:根据有理数的运算顺序进行运算即可.可以结合运算律简化运算. 试题解析:(1)原式2132130.2522 3.518.5334=--+-=-+=-; (2)原式432013=--+=. 84. (1) -6; (2)1312. 【解析】试题分析:(1)先进行绝对值的运算,然后进行乘除法运算,最后进行减法运算即可;(2)先进行乘方运算,然后进行乘除法运算,再按运算顺序进行运算即可.试题解析:(1)原式=13482=24213-⨯-÷--=-6; (2)原式=641119*********==2=912441241212÷-----. 85.(1)-33;(2)3;(3) -76 【解析】试题分析:(1)原式利用减法法则变形,计算即可得出答案;(2)根据乘法分配律可以解答本题;(34)根据幂的乘方、有理数的乘除法和减法可以解答本题.试题解析:(1)原式=-28+19-24=-33;(2)原式=()()()1571212122612⎛⎫-⨯-+-⨯--⨯ ⎪⎝⎭=3; (3)原式=()11717676⎛⎫--⨯-⨯-=- ⎪⎝⎭. 86.-4. 【解析】试题分析:先进行乘方运算,再进行括号内的运算,然后按运算顺序进行计算即可. 试题解析:(-95)×(-53)2+(-38)÷[(-12)3-14]=-95×259-38÷(-18-14)=-5-38÷(-38)=-5+1=-4.87.(1)-15;(2)53 4.【解析】试题分析:(1)先分别计算乘法、除法,然后再进行加法计算即可;(2)先分别计算平方与立方运算,然后再进行乘除法运算,最后进行加减法运算即可.试题解析:(1)3×(-4)+18÷(-16)=-12+(-3)=-15;(2)(-2)2×5+(-3)3÷4=4×5+(-27)÷4=20+(-274)=534.88.①1;②−9【解析】试题解析:①.首先去括号,遵循去括号法则:括号前面是加号时,去掉括号,括号内的算式不变;括号前面是减号时,去掉括号,括号内加号变减号,减号变加号,然后再化简计算结果.②先计算−1100=-1,|−5|=5,4×(−3)=-12,42=16,然后再化简计算结果.试题解析:①8+(−10)+(−2)−(−5)=8−10−2+5=1.②−1100×|−5|−4×(−3)−42=−1×5−(−12)−16=−5+12−16=−9.点睛:本题考查有理数运算,去括号是易错点,要遵循去括号法则:括号前面是加号时,去掉括号,括号内的算式不变;括号前面是减号时,去掉括号,括号内加号变减号,减号变加号.89.(1)30;(2)4 3【解析】试题分析:(1)原式利用减法法则变形,计算即可得到结果;(2)原式先计算乘方运算,再计算乘法运算,最后算加减运算即可得到结果.试题解析:(1)原式=12+18=30;(2)原式=−1−12×13×(−7)=−1+76=16.90.(1)74(2)-4(3)22(4)0【解析】试题分析:(1)把式子写成代数和的形式后,利用有理数的加法和和减法法则计算即可;(2)利用分配律计算即可;(3)先计算乘法,再算加减即可;(4)根据有理数的混合运算法则依次计算即可.试题解析:(1)原式=()31775424-++-=-; (2)原式=1113636364629618-⨯-+⨯-+⨯-=--=-4; (3)原式=112233112233+---=-+=22;(4)原式=0-8÷(-64)-18=18-18=0. 91.(1)23(2)12-(3)52-(4)10 【解析】试题分析:(1)把式子写成代数和的形式后,利用有理数的加法和和减法法则计算即可;(2)利用有理数的除法法则把除法转化为乘法,利用有理数的乘法法则计算即可;(3)根据有理数的混合运算法则依次计算即可;(4)根据有理数的混合运算法则依次计算即可. 试题解析:(1)原式=12+18-7=23;(2)原式=334429⎛⎫⎛⎫⎛⎫-⨯-⨯- ⎪ ⎪ ⎪⎝⎭⎝⎭⎝⎭ =12-; (3)原式=16÷(-8)-12 =-2-12=52-; (4)原式=()1171542484848834⎛⎫-⨯--⨯+⨯-⨯ ⎪⎝⎭=8-(66+112-180)=8-(-2)=10.92.(1)14;(2)8.【解析】试题分析:(1) 观察算式形式不难看出,在该算式中各分数的分母均是60的约数. 因此,可以利用乘法分配律对该算式进行变形,然后利用相应的运算法则进行运算.(2) 先完成算式中的乘方运算,再将算式中的除法运算转化为乘法运算,然后利用有理数的相关运算法则进行运算.试题解析: (1) ()1731160312415⎛⎫-+-⨯- ⎪⎝⎭=()()()()1731160606060312415⨯--⨯-+⨯--⨯- =()()()()20354544---+---=20354544-+-+=14(2) ()()432411221382⎛⎫⎛⎫⎡⎤-÷-+-÷---- ⎪ ⎪⎣⎦⎝⎭⎝⎭ =()()1116819816⎛⎫-÷-+-÷-- ⎪⎝⎭=()111616888⎛⎫⎛⎫-⨯-+-⨯-- ⎪ ⎪⎝⎭⎝⎭=2-2+8=893.(1)3;(2)-23 ;(3) 16;(4)-3. 【解析】试题分析:根据有理数混合运算法则计算即可.试题解:解:(1)原式=8-0.25-5+0.25=3;(2)原式=127242424834⨯+⨯-⨯=3+16-42=-23; (3)原式=()11296--⨯- =716-+=16; (4)原式=1444271399⨯-⨯⨯+ =416133-+=-3 94.(1)-10;(2)—76;(3)—13;(4)15. 【解析】试题分析:按照有理数的混合运算顺序进行运算即可.(1)原式()()()()()()2361722293910.⎡⎤⎡⎤=++++-+-=++-=-⎣⎦⎣⎦(2)原式111711.2366=--⨯=--=- (3)原式 211133.393⎛⎫=-⨯-=-⨯=- ⎪⎝⎭(4)原式()()()()3151515322328415.444=-÷-⨯=-÷-⨯=⨯= 95.(1)21(2)22【解析】试题分析:(1)利用减法法则变形,计算即可得到结果;(2)(2)先算乘方、再算乘除,最后算减法即可.试题解析:(1)原式=12-23+32=21;(2)原式=4×5+8÷4=20+2=22.96.(1)-1.5(2)455-(3)-46 【解析】试题分析:本题考查了有理数的混合运算,(1)运用加法的交换律和结合律,把相反数的结合,凑整的结合即可;()2把除法转化为乘法,再根据乘法的分配律求解;(3)先算乘方,后算乘除,最后算加减,算乘方时注意区分好底数.(1)原式=()()3351 1.757.523488⎡⎤⎛⎫+-+-++ ⎪⎢⎥⎣⎦⎝⎭…………………………2分 =0-7.5+6 …………………………………………………………4分=-1.5.………………………………………………………………5分(2)解:原式=3582182184787207-⨯+⨯+⨯……………………………………2分 =110315-++………………………………………………………4分 =455-.……………………………………………………………5分 (3)解:原式=()()()1649869-+-⨯-+-÷…………………………………2分 =647254-+-……………………………………………………4分=-46.97.12【解析】试题分析:按照有理数的运算顺序进行运算即可,可以结合加法结合律. 试题解析:原式33315352,48428⎛⎫=-+++--++ ⎪⎝⎭ 33351325,44882⎛⎫=-+++++-- ⎪⎝⎭ 11,2=- 1.2= 98.(1)19;(2)-38;(3)-41;(4)-18.【解析】试题分析:(1)先去括号,再把正数与负数分别相加,然后进行减法运算;(2)混合运算,先算乘法再算加减法;(3)按照有理数混合运算的顺序,先乘方后乘除最后算加减,有括号的先算括号里面的;(4)由于除以一个数等于乘以这个数的倒数,所以本题利用乘法的分配律进行简便计算.试题解析:(1)原式=12+16-4-5 =28-9 =19;(2)原式=-10+(-16)-12=-10-16-12=-38;(3)原式=-4×-[4-(1-)]×12 =-3-(4-)×12=-3-4×12+×12=-3-48+10=-41;(4)原式=(-+-+)×60=-×60+×60-×60+×60=-45+50-35+12=-18.99.(1)-1;(2)25;(3)-57.5【解析】【试题分析】(1)利用分配律直接展开,即(14+16-12)×12=14×12+16×12-1 2×12=3+2-6=-1;(2)逆向运用分配律,即25×34―(―25)×12+25×(―14)=25×(34+12―14)=25×1=25;(3)先计算乘方,再计算中括号,(―2)3+(―3) ×[(―4)2+2]―(―3)2÷(―2)=―8+(―3) ×(16+2)―9÷(―2)=―8+(―54)+4.5=―57.5.【试题解析】⑴(14+16-12)×12=14×12+16×12-12×12=3+2-6=-1⑵ 25×34―(―25)×12+25×(―14)=25×(34+12―14)=25×1=25⑶(―2)3+(―3) ×[(―4)2+2]―(―3)2÷(―2)=―8+(―3) ×(16+2)―9÷(―2)=―8+(―54)+4.5=―57.5【方法点睛】本题目是一道有理数的计算题,涉及到分配律的灵活运用,乘方的计算,难度中等.100.(1)﹣18;(2)﹣1259(3)0【解析】试题分析:根据有理数的四则运算法则计算即可.试题解析:解:(1)原式=﹣10+16﹣24=﹣18;(2)原式=55533-⨯⨯=﹣1259.。
2.8 有理数的混合运算(1)【学习目标】1.理解有理数的混合运算顺序,准确熟练地实行有理数的混合运算;2.培养学生在计算前认真审题,确定运算顺序,计算中按步骤审慎实行,最后要验算的好习惯;3.在观察、实践的过程中,获得有理数混合运算的初步经验。
【先学先知】1、 指出以下各题的运算顺序:(1)6÷3×2;此题含有 种运算,应先算 ,再算 ;(2)6÷(3×2);此题含有 种运算,还含有 ,应先算 ,再算 ; 比较(1)(2)的运算顺序,你能得到什么结论?(3)17-8÷(-2)+4×(-3);此题含有 种运算,应先算 ,再算 ;(4)32-50÷22×101+1;此题含有 种运算,应先算 ,再算 ; 然后再算 。
2、 以下计算有无错误?若有错,应怎样改正?(1)74-22÷70=70÷70=1;(2)2×32=(2×3)2=62=36;(3)6÷(2×3)=6÷2×3 =3×3 =9对于有理数的混合运算,准确的运算顺序是:先 ,再 ,最后 。
假如有括号,先算 。
对于同一级运算,应按 顺序依次运算。
【典型例题】例1:计算9+5×(-3)-(-2)2÷4 8-23÷()-4×()-7+5注意:有理数的混合运算,应注意以下运算顺序:①先算乘方,再算乘除,最后算加减;②同级运算,按照从左到右的顺序实行;③假如有括号,先算括号里的。
例2:计算 (1)(-5)3×[2-(-6)]-300÷5 (2)()-32×[-23+⎝ ⎛⎭⎪⎫-59]-()-62÷4;(3)-1-[-2-()1-0.5×43]; (4)⎝ ⎛⎭⎪⎫-12-13÷⎝ ⎛⎭⎪⎫-16+()-22×()-14;(5)-215×13-⎝ ⎛⎭⎪⎫+345÷3+⎝ ⎛⎭⎪⎫+2212÷3-212×13 (6)-22―()―1100-12÷⎝ ⎛⎭⎪⎫-1221+||-1-32×2【课堂检测】1、计算:(4)-31×32+(-18)÷(-3)2;; (5)-14-31×[2-(-2)2];【课后练习】〖基础巩固题〗1、-16÷(-2)3-22×(-21)的值是( ) A .0 B. -4 C.-3 D.42、改错,把准确的解答写在横线上:(1)-24-322+94=-16-94+94=-16;(2)-(-2)3÷94×(-23)2=-8÷94×49=-8;3、计算:(1)2×(-3)3-4×(-3)+15; (2)[12-4×(3-10)] ÷4;3)-3-[-5+(1-0.2×53)÷(-2)] (4)-12-61×[(-2)3+(-3)2];(5)-123×⎝ ⎛⎭⎪⎫1-23÷119(6)[12-4×()3-10]÷4(7)-3-[-5+⎝ ⎛⎭⎪⎫1-0.2×35÷()-2] (8)-24÷169×⎝ ⎛⎭⎪⎫-342(9)()-12004×1-0.22+||-22-()-32 ×()-12003-⎝ ⎛⎭⎪⎫232÷⎝ ⎛⎭⎪⎫-432。
有理数的混合运算(1)教学目标1.知道有理数混合运算的运算顺序,能正确进行有理数的混合运算;2.会用计算器进行较繁杂的有理数混合运算.教学重点 1.有理数的混合运算;2.运用运算律进行有理数的混合运算的简便计算.教学难点 运用运算律进行有理数的混合运算的简便计算 教学过程问题引入在算式8-23÷(-4)×(-7+5)=?中,有几种运算?小学里,我们在进行含有加、减、乘、除的混合运算时,是按照怎样的顺序进行的?8-23÷(-4)×(-7+5)=8-23÷(-4)×(-2)=8-8÷(-4)×(-2)=8-(-2)×(-2)=8-4=4.有理数的混合运算的运算顺序也就是说,在进行含有加、减、乘、除的混合运算时,应按照运算级别从高到低进行,因为乘方是比乘除高一级的运算,所以像这样的有理数的混合运算,有以下运算顺序:.你会根据有理数的运算顺序计算上面的算式吗?例题讲解例1 判断下列计算是否正确.(1)3-3×110 =0×110 =0;(2)-120÷20×12 =-120÷10=-12;(3)9-4×(12 )3=9-23=1;(4)(-3)2-4×(-2)=9+8=17.例2 计算:(1)9+5×(-3)-(-2)2÷4;(2)(-5)3×[2-(-6)]-300÷5;(3)(-13 )×3÷3×(-13 ).解答:(1)错误,3-3×110 =3-310 =2710 ;(2)错误,-120÷20×12 =-6×12 =-3;(3)错误,9-4×(12 )3=9-4×18 =812 ;(4)正确.解答:(1)9+5×(-3)-(-2)2÷4 =9+5×(-3)-4÷4=9-15-1=-7;(2)(-5)3×[2-(-6)]-300÷5 =(-5)3×8-300÷5=(-125)×8-300÷5=-1000-60=-1060;(3)(-13 )×3÷3×(-13 )=(-1)×13 ×(-13 )=(-13 )×(-13 )=19 .练一练 计算:(1)18-6÷(-3)×(-2);(2)24+16÷(-2)2÷(-10);(3)(-3)3÷(6-32);(4)(5+3÷13 )÷(-2)+(-3)2.小结:先乘方,再乘除,最后加减.如果有括号,先进行括号内的运算。
有理数混合运算(6种题型)会进行有理数的混合运算,合理应用运算律,进行简便运算.一.有理数的混合运算(1)有理数混合运算顺序:先算乘方,再算乘除,最后算加减;同级运算,应按从左到右的顺序进行计算;如果有括号,要先做括号内的运算.(2)进行有理数的混合运算时,注意各个运算律的运用,使运算过程得到简化.【规律方法】有理数混合运算的四种运算技巧1.转化法:一是将除法转化为乘法,二是将乘方转化为乘法,三是在乘除混合运算中,通常将小数转化为分数进行约分计算.2.凑整法:在加减混合运算中,通常将和为零的两个数,分母相同的两个数,和为整数的两个数,乘积为整数的两个数分别结合为一组求解.3.分拆法:先将带分数分拆成一个整数与一个真分数的和的形式,然后进行计算.4.巧用运算律:在计算中巧妙运用加法运算律或乘法运算律往往使计算更简便.二.计算器—基础知识(1)计算器的面板是由键盘和显示器组成.(2)开机键和关机键各是AC/ON,OFF,在使用计算器时要按AC/ON键,停止使用时要按OFF键.(3)显示器是用来显示计算时输入的数据和计算结果的装置.键上的功能是第一功能,直接输入,下面对应的是第二功能,需要切换成才能使用.(4)开方运算按用到乘方运算键x2的第二功能键”和的第二功能键“”.(5)对于开平方运算的按键顺序是:2ndfx2被开方数ENTE.(6)对于开立方运算的按键顺序是:32ndf∧被开方数ENTE.(7)部分标准型具备数字存储功能,它包括四个按键:MRC、M﹣、M+、MU.键入数字后,按M+将数字读入内存,此后无论进行多少步运算,只要按一次MRC即可读取先前存储的数字,按下M﹣则把该数字从内存中删除,或者按二次MRC.注意:由于计算器的类型不一样操作方式也不尽相同,可以参考说明书进行操作.三.计算器—有理数计算器包括标准型和科学型两种,其中科学型使用方法如下: (1)键入数字时,按下相应的数字键,如果按错可用(DEL )键消去一次数值,再重新输入正确的数字. (2)直接输入数字后,按下对应的功能键,进行第一功能相应的计算.(3)按下(﹣)键可输入负数,即先输入(﹣)号再输入数值.(4)开方运算按用到乘方运算键x 2的第二功能键”和的第二功能键“”.(5)对于开平方运算的按键顺序是:2ndfx 2被开方数ENTE 或直接按键,再输入数字后按“=”即可.(6)对于开立方运算的按键顺序是:32ndf ∧被开方数ENTE 或直接按x 3,再输入数字后按“=”即可 注意:由于计算器的类型不一样操作方式也不尽相同,可以参考说明书进行操作.题型一:有理数四则混合运算一、填空题1.(2022秋·江苏无锡·七年级统考期中)定义一种新运算:x y x y xy =+−★,则计算()32−=★___________.【答案】5【详解】解:∵x y x y xy =+−★,∴()()3232323265−=−+−−⨯=−++=★,故答案为:5【点睛】本题考查了新运算和有理数的混合运算,理解新运算的定义是解题的关键.二、解答题 2.(2022秋·江苏徐州·七年级校考阶段练习)计算(1)13251216−+−(2)()()()0510037÷−⨯+−÷−(3)()()()25549−⨯−÷−+【答案】(1)16− (2)37(3)47(4)1−【分析】(1)原式结合后,相加即可求出值;(2)原式先算乘除运算,再算加减运算即可求出值;(3)原式先算乘除运算,再算加法运算即可求出值;(4)原式利用减法法则变形,结合后相加即可求出值.【详解】(1)原式()1312251616=+−−=−; (2)原式33077=+=;(3)原式24947=−+=;(4)原式223331212113344=−++−=−+=−.【点睛】此题考查了有理数的混合运算,熟练掌握运算法则是解本题的关键.【答案】(1)24−(2)14 【分析】(1)利用乘法分配律进行计算即可;(2)先计算乘除法,再计算加减法即可.【详解】(1)解:1336124⎛⎫⨯− ⎪⎝⎭ 133636124⎛⎫=⨯+⨯− ⎪⎝⎭327=−24=−(2)()()18632−÷−⨯−()118623⎛⎫=−⨯−⨯− ⎪⎝⎭184=−14=【点睛】此题考查了有理数的混合运算,熟练掌握运算法则和运算律是解题的关键.【答案】(1)5−(2)11−(3)1179919− (4)6−(5)81(6)75=【分析】(1)根据有理数加法的运算律,同分母的相结合,能凑整的相结合,再进行计算.(2)运用乘法分配律进行计算即可.(3)将原式写成1(100)(18)19−⨯−,再根据乘法分配律进行计算即可. (4)倒用乘法分配律+ab ac ad a b c d +=++()进行计算即可.(5)先根据“除以一个数等于乘以它的倒数”,将除法运算变为乘法运算,再运用乘法分配律进行计算即可.(6)按照有理数混合运算法则:先乘方,再乘除,最后再加减,有括号的先算括号里边的,进行计算即可.【详解】(1)34(3)12.5(16)( 2.5)77−++−−−34(3)12.5(16) 2.577=−++−+34[(3)(16)](12.5 2.5)77=−+−++2015=−+=5−;(2)7537()(36)96418−+−⨯−75373636363696418=−⨯+⨯−⨯+⨯28302714=−+−+22714=−+2514=−+11=−;(3)18991819−⨯1(100)(18)19=−⨯−1100181819=−⨯+⨯ 18180019=−+ 1179919=−;(4)22218()134333⨯−+⨯−⨯ 22218134333=−⨯+⨯−⨯2(18134)3=−+−⨯2(9)3=−⨯ 6=−;(5)1571(3)()261236−+−÷−157(3)(36)2612=−+−⨯−1573633636362612=−⨯+⨯−⨯+⨯181083021=−+−+903021=−+6021=+81=;(6)211[(4)(0.4)]3(2)343÷−−⨯−÷⨯−−21[()0.1]33234=⨯−+⨯⨯+11()332610=−+⨯⨯+133215=−⨯⨯+325=−+75=【点睛】本题主要考查了有理数的四则混合运算,熟练掌握运算律和运算法则是解题的关键.【答案】(1)6(2)5 【详解】(1)解:()()745−−+−745=+−6=;(2)解:113(60)234⎛⎫−−+⨯− ⎪⎝⎭113(60)(60)(60)234=−⨯−−⨯−+⨯−302045=+−5=. 【点睛】本题考查有理数的加减混合运算,有理数的四则混合运算.掌握有理数的混合运算法则是解题关键.注意在解(2)时利用乘法分配律更简便.6.(2020秋·江苏徐州·七年级校考阶段练习)计算:(1)()()2317716−−−+−112019++−【答案】(1)3−(2)45.08−(3)19 30(4)1 3(5)7 4−(6)7(7)54−(8)17 60【详解】(1)解:()() 2317716−−−+−2317716 =−+−710=−3=−;(2)()()26.54 6.418.54 6.4−+−−+26.5418.54 6.4 6.4 =−−−+45.08=−;(3)3111253⎛⎫+−−+ ⎪⎝⎭ 3111253=−−+ 456301*********=−−+1930=;(4)531245⎛⎫⎛⎫−⨯− ⎪ ⎪⎝⎭⎝⎭58245=⨯ 13=;(5)172.5(8)516⎛⎫⎛⎫−⨯⨯−⨯− ⎪ ⎪⎝⎭⎝⎭15785216=−⨯⨯⨯74=−;(6)251(18)(3)29115⎛⎫⎛⎫−⨯−+−⨯−⨯ ⎪ ⎪⎝⎭⎝⎭ 15114115=+⨯43=+7=;(7)12(45)35⎡⎤⎛⎫⎛⎫−÷−÷− ⎪ ⎪⎢⎥⎝⎭⎝⎭⎣⎦ 15(45)32⎛⎫=−÷⨯ ⎪⎝⎭5(45)6=−÷ 6(45)5=−⨯54=−;(8)111111114354652019−+−+−++−111111113445561920=−+−+−++−11320=− 2036060=−1760=.【点睛】此题考查了有理数的四则混合运算,正确掌握有理数混合运算的法则及运算顺序是解题的关键.【答案】25【分析】根据题意的算法进行运算,即可求得结果.【详解】解:原式的倒数是129314510220⎛⎫⎛⎫−−+−÷− ⎪ ⎪⎝⎭⎝⎭()12932045102⎛⎫=−−+−⨯− ⎪⎝⎭581830=+−+25=故原式125=.【点睛】本题考查了有理数的混合运算,理解题意,正确运算是解决本题的关键.8.(2022秋·江苏扬州·七年级校联考期中)定义一种新运算:观察下列各式,并解决问题.131538=⨯+=,3135116=⨯+=,5455429=⨯+=,请你想一想:43= a b = ab b a (填入()543−. 【答案】(1)23,5a b +(2)≠(3)42−【分析】(1)根据题目所给新运算的运算顺序和运算法则进行计算即可;(2)先根据题目所给新运算的运算顺序和运算法则将a b 和b a 计算出来,再用作差法比较即可;(3)根据题目所给新运算的运算顺序和运算法则进行计算即可.【详解】(1)解:4345323=⨯+=;5a b a b =+;故答案为:23,5a b +.(2)∵5a b a b =+,5b a b a =+,∴()()()()5544a b b a a b b a a b −=+−+=−,∵a b ¹,∴440a b −≠∴a b b a ≠.故答案为:≠.(3)()543−−()5453=−−⨯+ ()517=−−()5517=−⨯+− 42=−.【点睛】本题主要考查了新定义下的有理数的混合运算,解题的关键是正确理解题意,明白题中所给新定义的运算顺序和运算法则,熟练掌握有理数的混合运算顺序和运算法则.题型二:有理数四则混合运算的应用一、填空题1.(2022秋·江苏·七年级开学考试)园林公司在林州大道旁种植了120棵树,有116棵成活,后来又补栽4棵,全部成活,这124棵树苗的成活率为_____【答案】97%【分析】根据成活率等于成活数除以总数再乘以100%计算即可.【详解】解:1164100%97% 1204+⨯≈+.答:成活率是97%.故答案为:97%.【点睛】此题属于百分率问题,明确成活率是指成活的棵数占总棵数的百分之几;要注意题中的“全部成活”,是指后来又补种的4棵全部成活,而不是种的120棵全部成活.二、解答题(1)接送完第5批客人后,该驾驶员在邗江路和文昌路十字路口什么方向,距离十字路口多少千米?(2)后来他开车回到出发地,途中没有带到客人,若该出租车每千米耗油0.09升,那么在整个过程中共耗油多少升?(3)若该出租车的计价标准为:行驶路程不超过3km收费9元,超过3km的部分按每千米加1.8元收费,在整个行驶过程中,该出租车驾驶员共收到车费多少元?【答案】(1)东3千米处(2)2.16升(3)57.6元【分析】(1)求出行驶路程的代数和,利用结果的符号和数值作出判断即可;(2)求出行驶路程的绝对值的和,利用路程和乘以每千米耗油量即可得出结论;(3)分别计算接送每批客人的收费数额再相加即可得出结论.【详解】(1)∵()()347253km ++−+−+=,∴出租车在解放路和青年路十字路口东边,距离十字路口3千米;(2)∵34725324km ++−+−++=,∴240.09 2.16⨯=(升).∴在这过程中共耗油2.16升.(3)∵接送第一批客人的收费为:9元,接送第二批客人的收费为:()9 1.84310.8+⨯−=(元),接送第三批客人的收费为:()9 1.87316.2+⨯−=(元),送第四批客人的收费为:9元,接送第五批客人的收费为:()9 1.85312.6+⨯−=(元),∴910.816.2912.657.6++++=(元).所以在这过程中该出租车驾驶员共收到车费57.6元.【点睛】本题考查了正负数的意义和有理数的运算,解题关键是明确正负数的意义,能熟练运用有理数运算法则进行计算.【答案】(1)小明家这10天轿车行驶的路程为240km(2)估计小明家一个月耗电费用为162元【分析】(1)记录数字的和再加上10个25即可得到结果;(2)用(1)的结论乘以3即可得到总路程,再根据“该轿车每行驶100km耗电15度,且轿车充电的价格为每度1.5元,”列式解答即可;【详解】(1)解:()314182623210km +−+−+−+−+=−,()251010240km ⨯−=,答:小明家这10天轿车行驶的路程为240km . (2)240310015 1.5162⨯÷⨯⨯=(元),答:估计小明家一个月(按30天算)的电动轿车耗电费用为162元.【点睛】本题考查正数与负数以及有理数的加减乘除混合运算,正确列出算式并掌握相关运算法则是解答本题的关键.4.(2022秋·江苏泰州·七年级泰州市第二中学附属初中校考期中)小刚坐公交车去参加志愿者活动,他从南站上车,上车后发现车上连自己共有12人,经过A 、B 、C 、D 4个站点时,他观察到上下车情况如下(记上车为正,下车为负):()3,2A +−,()5,3B +−,()3,4C +−,()7,4D +−. (1)经过4个站点后车上还有 人;(2)小刚发现在A 、B 、C 、D 这四站上车的人中,有一半投币付费(每人2元),还有一半刷卡付费(每人1.4元),求这四站公交公司共收入多少元? 【答案】(1)17(2)这四站公交公司共收入30.6元【分析】(1(2)先求出4个站一共上车的人数,再根据这四站上车的人中,有一半投币付费(每人2元),还有一半刷卡付费(每人1.4元),进行求解即可. 【详解】(1)解:()()()()()()()()1232533474+++−+++−+++−+++−1232533474=+−+−+−+−125=+ 17=人,∴经过4个站点后车上还有17人; (2)解:353718+++=人,11218 1.41830.622⨯⨯+⨯⨯=元,∴这四站公交公司共收入30.6元,答:这四站公交公司共收入30.6元.【点睛】本题主要考查了有理数的加法的应用,有理数混合计算的应用,正确理解题意是解题的关键.(1)这20筐苹果中,最重的一筐比最轻的一筐多重千克.(2)与标准重量比较,这20筐苹果总计超过或不足多少千克?(3)若苹果每千克售价85元,则出售这20筐苹果可卖多少元?【答案】(1)5.5(2)超过8千克(3)43180元【分析】(1)根据正负数的意义确定最重的一筐和最轻的一筐,然后利用有理数减法计算法则求解即可;(2)把所给的记录相加,如果结果为正则超过标准重量,如果结果为负则不足;(3)先求出这20筐苹果的总重量,然后根据可卖的钱数=单价×重量进行求解即可.【详解】(1)解:由表格可知,最重的一筐比最轻的一筐重:()2.53 5.5−−=(千克).答:最重的一筐比最轻的一筐多重5.5千克.(2)解:由表格可得,()()()3124 1.520321 2.58−⨯+−⨯+−⨯+⨯+⨯+⨯()()()3830220=−+−+−+++8=(千克).答:与标准重量比较,20筐苹果总计超过8千克.(3)解:由题意可得,()202588543180⨯+⨯=(元),∴出售这20筐苹果可卖43180元.【点睛】本题主要考查了有理数减法的应用,有理数四则混合运算的应用,正确理解题意是解题的关键.6.(2022秋·江苏扬州·七年级校考阶段练习)思考下列问题并在横线上填上答案.(1)已知数轴上有M ,N 两点,点M 与原点的距离为2,M ,N 两点的距离为1.5,则满足条件的点N 所表示的数是__________;(2)在纸上画了一条数轴后,折叠纸面,使数轴上表示2的点与表示4−的点重合,若数轴上E ,F 两点之间的距离是10(E 在F 的左侧),且E 、F 两点经过上述折叠后重合,则点E 表示的数是__________,点F 表示的数是__________;(3)数轴上点A 表示数8,点B 表示数8−,点C 在点A 与点B 之间,点A 以每秒0.5个单位的速度向左运动,点B 以每秒1.5个单位的速度向右运动,点C 以每秒3个单位的速度先向右运动碰到点A 后立即返回向左运动,碰到点B 后又立即返回向右运动,碰到点A 后又立即返回向左运动…,三个点同时开始运动,当三个点聚于一个点时,这一点表示的数是多少?点C 在整个运动过程中,移动了多少单位? 【答案】(1)3.5或0.5或 3.5−或0.5− (2)6−,4 (3)8,4,24【分析】(1)先求出点M 所表示的数,进而即可求解; (2)先求出折痕对应的数为:-1,进而即可求解; (3)先求出A 、B 相遇时所花的时间,进而即可求解. 【详解】(1)解:∵点M 2, ∴点M 表示的数为:2±, ∵,M N 两点的距离为1.5,∴N 表示的数为:2 1.5 3.5±=或0.5;2 1.5 3.5−±=−或0.5−, 故答案是:3.5或0.5或 3.5−或0.5−;(2)∵折叠纸面,使数轴上表示2的点与表示4−的点重合, ∴折痕对应的数为:1−,∵数轴上,E F 两点之间的距离是10(E 在F 的左侧),且,E F 两点经过上述折叠后重合, ∴点E 表示的数是:156−−=−,点F 表示的数是:154−+=, 故答案是:6−,4;(3)当三个点聚于一个点时,则A 、B 相遇,运动的时间为:()()880.5 1.58+÷+=(秒),此时,这一点表示的数是:8 1.584−+⨯=,点C 在整个运动过程中,移动了:2483=⨯个单位.【点睛】本题主要考查数轴上的点所表示的数,两点间的距离,折叠的性质,掌握数轴上两点的距离等于对应的两数之差的绝对值,是解题的关键.【答案】(1)3(2)a 的值为8,点A 表示的数为2−,点B 表示的数为6 (3)72【分析】(1)根据数轴的性质列出运算式子,再计算有理数的加法即可得;(2)先根据3根木条的长度等于14与10−之间的距离可求出a 的值,再根据数轴的性质列出运算式子,计算有理数的加减法即可得;(3)先参照(2)的思路求出爷爷比小红大52岁,再利用124减去52即可得. 【详解】(1)解:由题意得:点B 表示的数为253−+=,故答案为:3.(2)解:由题意得:a 的值为()141038−−÷=⎡⎤⎣⎦, 则点A 表示的数为1082−+=−, 点B 表示的数为1486−=,即a 的值为8,点A 表示的数为2−,点B 表示的数为6.(3)解:由题意得:爷爷比小红大()12432352−−÷=⎡⎤⎣⎦(岁), 则爷爷现在的年龄为1245272−=(岁), 故答案为:72.【点睛】本题考查了数轴、有理数的加减法与除法的应用,熟练掌握数轴的性质是解题关键. 题型三:程序流程图与有理数计算一、单选题【答案】B【分析】分别将三组数据代入程序流程图运算求解即可. 【详解】解:①当7x =,2y =时x y >, 222()(72)525x y ∴−=−==;②当2x =−,=3y −时x y >,[]222()2(3)11x y ∴−=−−−==;③当4,1x y =−=−时x y <,[]222()4(1)(5)25x y ∴+=−+−=−=,∴能使输出的结果为25的有①③,故选:B .【点睛】本题主要考查了与程序流程图有关的有理数计算,有理数比较大小,正确读懂程序流程图是解题的关键.二、填空题2.(2022秋·江苏盐城·七年级校考阶段练习)如图所示是计算机某计算型序,若开始输入2x =−,则最后输出的结果是__________.【答案】14−【分析】直接利用运算程序,进而计算得出答案. 【详解】解:当2x =−时,()231615−⨯−−=−+=−,则5x =−时,()53115114−⨯−−=−+=−,故答案为:14−.【点睛】本题考查了有理数的混合运算,掌握有理数的运算法则,理解本题的运算程序是解决本题的关键. 3.(2020秋·江苏扬州·七年级校考期中)根据如图所示的程序计算,若输入x 的数值为2−,则输出的数值为______.【答案】 3.625−/538−/298−【分析】把x 的值代入程序中计算,再根据结果3<−输出即可. 【详解】解:把2x =−代入程序中计算得:()()2212⎡⎤⎣+⎦−÷−()()412=+÷−()52=÷−2.53=−>−,把 2.5x =−代入程序中计算得:()()22.512⎡+⎤⎣⎦−÷−()()6.2512=+÷−()7.252=÷−3.6253=−<−.故输出的数值为 3.625−. 故答案为: 3.625−.【点睛】此题考查了有理数的混合运算,代数式求值,熟练掌握运算法则是解本题的关键.【答案】4【分析】根据程序流程图的流程,列出算式,进行计算即可.【详解】解:输入的值为1时,由图可得:212420⨯−=−<;输入2−可得:()222440−⨯−=>;∴输出的值应为4; 故答案为:4.【点睛】本题考查程序流程图.按照流程图的流程准确的列出算式,是解题的关键.5.(2022秋·江苏淮安·七年级统考期中)如图所示是计算机程序计算,若开始输入1x =−,则最后输出的结果是___.【答案】-11【分析】读懂计算程序,把1x =−,代入,按计算程序计算,直到结果小于5−即可. 【详解】解:当输入x ,若()41x ⨯−−小于5−,即为输出的数,当1x =−时,()()()414113x ⨯−−=⨯−−−=−,3−不小于5−,因此,把3x =−再输入得,()()()4143111x ⨯−−=⨯−−−=−,11−小于5−,故答案为:11−.【点睛】本题考查实数的混合运算,掌握计算法则是关键.6.(2022秋·江苏无锡·七年级校考期中)如图是一个对于正整数x 的循环迭代的计算机程序.根据该程序指令,如果第一次输入x 的值是3时,那么第一次输出的值是10;把第一次输出的值再次输入,那么第二次输出的值是5;把第二次输出的值再次输入,那么第三次输出的值是16;以此类推得到一列输出的数为10,5,16,8,4,2,1,4,…若第五次输出的结果为1,则第一次输入的x 为 _____.【答案】32、5、4【详解】解:若第五次输出的结果为1, 则第5次输入为:2, 第4次输出为:2, 第4次输入为:4, 第3次输出为:4, 第3次输入为:8或1, 第2次输出为:8或1, 第2次输入为:16或2, 第1次输出为:16或2, 第1次输入为:32、5或4, 故答案为:32、5、4.【点睛】本题考查了有理数的混合运算,解题关键是读懂题意,寻找到数字变化的规律,利用规律解决问题.三、解答题 7.(2023秋·江苏扬州·七年级统考期末)如图,按图中的程序进行计算.(1)当输入的30x =时,输出的数为______;当输入的16x =−时,输出的数为______;(2)若输出的数为52-时,求输入的整数x 的值.【答案】(1)60−,64−;(2)26x =±或13±【分析】(1)根据图中的程进行列式计算,即可求解;(2)当输出的数为52-时,分两种情况进行讨论.【详解】(1)解:根据运算程序可知:当输入的30x =时,得:()3026045⨯−=−−<, ∴输入的30x =时,输出的数为60−;根据运算程序可知:当输入的16x =−时,得:()1623245−⨯−=−−>; 再输入32x =−,得:()3226445−⨯−=−−<,∴输入的32x =−时,输出的数为64−;故答案为:60−,64−;(2)解:当输出的数为52-时,分两种情况: 第一种情况:()252x ⨯−=−,解得:26x =±;第二种情况:当第一次计算结果为26−时,再循环一次输入的结果为52-,则()226x ⨯−=−,解得:13x =±,综上所述,输出的数为52-时,求输入的整数x 的值为:26x =±或13±. 【点睛】本题考查程序流程图与有理数的计算、绝对值,解题的关键是掌握有理数的运算法则和解绝对值方程.题型四:算“24”点一、填空题1.(2022秋·七年级单元测试)用一组数3,4,﹣4,﹣6算24点(每个数只能用一次):________.【答案】3×4×[﹣4﹣(﹣6)]=24(答案不唯一)【分析】此题只要符合题的要求,得数等于24即可,答案不唯一.【详解】解:3×4×[﹣4﹣(﹣6)]=12×(﹣4+6)=12×2=24,故答案为:3×4×[﹣4﹣(﹣6)]=24(答案不唯一).【点睛】本题主要考查有理数的混合运算,此题要注意要求的得数为24,而且每个数字只能用一次. 2.(2022秋·江苏镇江·七年级校联考阶段练习)“24点游戏”指的是将一副扑克牌中任意抽出四张,根据牌面上的数字进行混合运算(每张牌只能使用一次),使得运算结果是24或者是24−,现抽出的牌所对的数字是4,5−,3,1−,请你写出刚好凑成24的算式__________.【答案】[]34(5)1⨯−−−【分析】利用“24点游戏”的游戏规则写出算式即可.【详解】解:根据题意得:[]34(5)1⨯−−−38=⨯=24.故答案为:[]34(5)1⨯−−−(答案不唯一).【点睛】此题考查了有理数的混合运算,熟练掌握运算法则是解本题的关键.3.(2022秋·江苏南京·七年级南京钟英中学校考阶段练习)已知4个有理数:1,2,3,4−−−−,在这4个有理数之间用“,,,+−⨯÷”连接进行四则运算,每个数只用一次,使其结果等于24,你的算法是___________.【答案】(1)(2)(3)(4)24−⨯−⨯−⨯−=(答案不唯一)【分析】根据“24点”游戏规则列出算式即可.【详解】解:(1)(2)(3)(4)24−⨯−⨯−⨯−=故答案为:(1)(2)(3)(4)24−⨯−⨯−⨯−=(答案不唯一)【点睛】此题考查了有理数的混合运算,弄清“24点”游戏规则是解题的关键 4.(2022秋·江苏南京·七年级阶段练习)算“24点”是一种数学游戏:把所给的四个数字用运算符号(可以有括号)连接起来,使得运算结果为24,注意:每个数字只能用一次,请你用“5、5、5、1”这4个数字算“24点”,列出的算式是____.【答案】555124⨯−=(答案不唯一)【分析】解答此题应根据数的特点,四则混合运算的运算顺序,进行尝试凑数即可解决问题。
有理数加减混合计算题100道【含答案】(七年级数学)92267(总4页)--本页仅作为文档封面,使用时请直接删除即可----内页可以根据需求调整合适字体及大小--有理数运算练习(一) 【加减混合运算】一、有理数加法.1、【基础题】计算:(1) 2+(-3); (2)(-5)+(-8); (3)6+(-4); (4)5+(-5); (5)0+(-2); (6)(-10)+(-1); (7)180+(-10); (8)(-23)+9;(9)(-25)+(-7); (10)(-13)+5; (11)(-23)+0; (12)45+(-45).2、【基础题】计算:(1)(-8)+(-9); (2)(-17)+21; (3)(-12)+25; (4)45+(-23);(5)(-45)+23; (6)(-29)+(-31); (7)(-39)+(-45); (8)(-28)+37.3、【基础题】计算,能简便的要用简便算法:(1)(-25)+34+156+(-65); (2)(-64)+17+(-23)+68; (3)(-42)+57+(-84)+(-23); (4)63+72+(-96)+(-37); (5)(-301)+125+301+(-75); (6)(-52)+24+(-74)+12; (7)41+(-23)+(-31)+0; (8)(-26)+52+16+(-72).4、【综合Ⅰ】计算:(1))43(31-+; (2)⎪⎭⎫ ⎝⎛-+⎪⎭⎫ ⎝⎛-3121; (3)()⎪⎭⎫⎝⎛++-5112.1; (4))432()413(-+-;(5))752()723(-+; (6)(—152)+8.0; (7)(—561)+0; (8)314+(—561).5、【综合Ⅰ】计算:(1))127()65()411()310(-++-+; (2)75.9)219()29()5.0(+-++-;(3))539()518()23()52()21(++++-+-; (4))37(75.0)27()43()34()5.3(-++++-+-+-二、有理数减法.6、【基础题】计算:(1)9-(-5); (2)(-3)-1; (3)0-8; (4)(-5)-0; (5)3-5; (6)3-(-5);(7)(-3)-5 (8)(-3)-(-5); (9)(-6)-(-6); (10)(-6)-6.、【综合Ⅰ】计算:(1)(-52)-(-53); (2)(-1)-211; (3)(-32)-52; (4)521-(-7.2);(5)0-(-74); (6)(-21)-(-21); (7)525413- ; (8)-64-丨-64丨7、【基础题】填空:(1)(-7)+( )=21; (2)31+( )=-85;(3)( )-(-21)=37; (4)( )-56=-408、【基础题】计算:(1)(-72)-(-37)-(-22)-17; (2)(-16)-(-12)-24-(-18); (3)23-(-76)-36-(-105); (4)(-32)-(-27)-(-72)-87.(5)(-32)-21-(-65)-(-31); (6)(-2112)-[ --(-)-516 ] .三、有理数加减混合运算9、【综合Ⅰ】计算(1)-7+13-6+20; (2)-+-+10; (3)(-53)+51-54;(4)(-5)-(-21)+7-37; (5)31+(-65)-(-21)-32; (6)-41+65+32-21;10、【综合Ⅰ】计算,能简便的要用简便算法:(1)-+(-); (2)(-)-21+(-51); (3)21-(-)-61; (4)(-31)-15+(-32); (5)32+(-51)-1+31; (6)(-12)-(-56)+(-8)-10711、【综合Ⅰ】计算:(1)-(-)+(-); (2)(-8)-(-15)+(-9)-(-12);(3)+(-41)-(-)+21; (4)(-32)+(-61)-(-41)-21;(5)21+(-32)-(-54)+(-21); (6)310+(-411)-(-65)+(-127)12、【综合Ⅰ】计算:(1)7+(-2)-; (2)(-)+3-+(-52); (3)31+(-45)+; (4)7-(-21)+; (5)49-(-)-53; (6)(-56)-7-(-)+(-1);(7)11512+丨-11611丨-(-53)+丨212丨; (8)(- )+ 1098 + +(- 1098)13、【综合Ⅰ】计算:(1)()()()()-+-+++-+-++12345678; (2)-+++(-)(3)-⎛⎝ ⎫⎭⎪--⎛⎝ ⎫⎭⎪++-⎛⎝ ⎫⎭⎪13123423; (4)5146162341456+-⎛⎝ ⎫⎭⎪++-⎛⎝ ⎫⎭⎪;(5)--(-413)+-(+217); (6)3745124139257526+-+有理数运算练习(一) 答案1、【答案】 (1)-1; (2)-13; (3)2; (4)0; (5)-2; (6)-11; (7)170;(8)-14; (9)-32; (10)-8; (11)-23; (12)0.2、【答案】 (1)-17; (2)4; (3)13; (4)22; (5)-22;(6)-60; (7)-84; (8)9.3、【答案】(1)100; (2)-2; (3)-92; (4)2; (5)50; (6)-90; (7)-13; (8)-30.4、【答案】 (1)125-; (2)65-; (3)0; (4)-6; (5)74; (6)32; (7)615-; (8)65-.5、【答案】 (1)65 (2) (3)12 (4)311-6、【答案】 (1)14; (2)-4; (3)-8; (4)-5; (5)-2; (6)8; (7)-8;(8)2; (9)0; (10)-12、【答案】 (1)51; (2)-25; (3)-1516; (4); (5)74; (6)0;(7)-2043(8)-1287、【答案】 (1)28; (2)-116; (3)16; (4)168、【答案】 (1)-30; (2)-10; (3)168; (4)-20; (5)0; (6)-或-1016 9、【答案】 (1)20; (2); (3)-56; (4)61; (5)-32; (6)4310、【答案】 (1)-7; (2)-; (3)127; (4)-16; (5)-51; (6)-23911、【答案】 (1); (2)10; (3)27; (4)-1213; (5)152; (6)65;12、【答案】 (1); (2)-; (3)30; (4)9; (5)69; (6)-6; (7); (8)013、【答案】 (1)8; (2)-3; (3)41; (4)-13; (5)-2; (6)902313。
有理数混合运算练习题第1套同步练习(满分100分)1.计算题:(10′×5=50′) (1)3.28-4.76+121-43; (2)2.75-261-343+132;(3)42÷(-121)-143÷(-0.125); (4)(-48) ÷82-(-25) ÷(-6)2; (5)-52+(1276185+-)×(-2.4).2.计算题:(10′×5=50′) (1)-23÷153×(-131)2÷(132)2;(2)-14-(2-0.5)×31×[(21)2-(21)3]; (3)-121×[1-3×(-32)2]-( 41)2×(-2)3÷(-43)3(4)(0.12+0.32) ÷101[-22+(-3)2-321×78];(5)-6.24×32+31.2×(-2)3+(-0.51) ×624.【素质优化训练】1.填空题:(1)如是0,0>>cbb a ,那么ac 0;如果0,0<<cbb a ,那么ac0;(2)若042=-++++c c b a ,则abc= ; -a 2b 2c 2= ;(3)已知a ,b 互为相反数,c ,d 互为倒数,x 的绝对值等于2,那么x 2-(a+b)+cdx= .2.计算:(1)-32-;)3(18)52()5(223--÷--⨯-(2){1+[3)43(41--]×(-2)4}÷(-5.043101--);(3)5-3×{-2+4×[-3×(-2)2-(-4) ÷(-1)3]-7}.【生活实际运用】甲用1000元人民币购买了一手股票,随即他将这手股票转卖给乙,获利10%,而后乙又将这手股票反卖给甲,但乙损失了10%.最后甲按乙卖给甲的价格的九折将这手股票卖给了乙,在上述股票交易中( )A .甲刚好亏盈平衡;B .甲盈利1元;C .甲盈利9元;D .甲亏本1.1元.参考答案【同步达纲练习】1.(1)-0.73 (2)-121; (3)-14; (4)-181; (5)-2.9 2.(1)-351 (2)-1161; (3)- 5437; (4)1; (5)-624.【素质优化训练】1.(1)>,>; (2)24,-576; (3)2或6.[提示:∵x =2 ∴x 2=4,x=±2].2.(1)-31; (2)-8;2719(3)224 【生活实际运用】 B有理数的四则混合运算练习 第2套知识点 有理数的混合运算(一)1.计算:(1)(-8)×5-40=_____;(2)(-1.2)÷(-13)-(-2)=______. 2.计算:(1)-4÷4×14=_____;(2)-212÷114×(-4)=______. 3.当||a a=1,则a____0;若||a a =-1,则a______0.4.(教材变式题)若a<b<0,那么下列式子成立的是( ) A .1a <1b B .ab<1 C .a b <1 D .ab>1 5.下列各数互为倒数的是( ) A .-0.13和-13100 B .-525和-275 C .-111和-11 D .-414和4116.(体验探究题)完成下列计算过程:(-25)÷113-(-112+15)解:原式=(-25)÷43-(-1-12+15)=(-25)×()+1+12-15=____+1+52 10 -=_______.7.(1)若-1<a<0,则a______1a;(2)当a>1,则a_______1a;(3)若0<a≤1,则a______1a.8.a,b互为相反数,c,d互为倒数,m的绝对值为2,则||4a bm++2m2-3cd值是()A.1 B.5 C.11 D.与a,b,c,d值无关9.下列运算正确的个数为()(1)(+34)+(-434)+(-6)=-10 (2)(-56)+1+(-16)=0(3)0.25+(-0.75)+(-314)+34=-3(4)1+(-3)+5+(-7)+9+(-1)=4A.3个 B.4个 C.2个 D.1个10.a,b为有理数,在数轴上的位置如右上图所示,则()A.1a>1b>1 B.1a>1>-1bC.1>-1a>1bD.1>1a>1b11.计算:(1)-20÷5×14+5×(-3)÷15 (2)-3[-5+(1-0.2÷35)÷(-2)]ob a(3)[124÷(-114)]×(-56)÷(-316)-0.25÷1412.(经典题)对1,2,3,4可作运算(1+2+3)×4=24,现有有理数3,4,-6,10,请运用加,减,乘,除法则写出三种不同的计算算式,使其结果为24.(1)____________ (2)____________ (3)____________ 答案:课堂测控1.(1)-80 (2)5352.(1)-14(2)83.>,< 4.D 5.C 6.34,-310,1[总结反思]先乘除,后加减,有括号先算括号内的.课后测控7.(1)> (2)> (3)≤ 8.B 9.B 10.B11.解:(1)原式=-20×15×14+5×(-3)×115=-1-1=-2(2)原式=124×(-45)×(-56)×(-619)-14÷14=124×(-419)-1=-1114-1=-11114(3)原式=-3[-5+(1-15×53)÷(-2)]=-3[-5+23×(-12)]=-3[-5-13]=15+1=16[解题技巧]除法转化为乘法,先乘除,后加减,有括号先算括号内的.拓展测控12.解:(1)4-(-6)÷3×10 (2)(10-6+4)×3 (3)(10-4)×3-(-6)[解题思路]运用加,减,乘除四种运算拼凑得24点.有理数的混合运算习题 第3套一.选择题1. 计算3(25)-⨯=( ) A.1000B.-1000C.30D.-302. 计算2223(23)-⨯--⨯=( ) A.0B.-54C.-72D.-183. 计算11(5)()555⨯-÷-⨯= A.1B.25C.-5D.354. 下列式子中正确的是( )A.4232(2)(2)-<-<- B. 342(2)2(2)-<-<- C. 4322(2)(2)-<-<-D. 234(2)(3)2-<-<-5. 422(2)-÷-的结果是( ) A.4B.-4C.2D.-26. 如果210,(3)0a b -=+=,那么1ba+的值是( ) A.-2B.-3C.-4D.4二.填空题1.有理数的运算顺序是先算 ,再算 ,最算 ;如果有括号,那么先算 。
有理数的混合运算经典例题例 1 计算:_ ,1■ 1:分析:此算式以加、减分段,应分为三段:-7,'■ - I宁这三段可以同时进行计算,先算乘方,再算乘除•式中— 0.2化为1匚参加计算较为方便.= -17 + 17- (-1)- 25xf-—)解:原式= -17 + (-门)_(_*)说明:做有理数混合运算时,如果算式中不含有中括号、大括号,那么计算 时一般用“加”、“减”号分段,使每段只含二、三级运算,这样各段可同时进 行计算,有利于提高计算的速度和正确率.64 =——XS1计算:畤(1F 亠[(1-护(-訶分析:此题运算顺序是:第一步计算 三步做乘方运算;第四步做除法. '9和‘ /;第二步做乘法;第解:原式=-21-3说明:由此例题可以看出,括号在确定运算顺序上的作用,所以计算题也需认真审题.计算:严「5叶3 啓+6x3L9p7+1999x(-1)^分析:要求J" 、丿’的值,用笔算在短时间内是不可能的,必须另辟途径.观察题目发现,::严’门牝,逆用乘法分配律, 前三项可以凑成含有0的乘法运算,此题即可求出.解:原式- -■ : - 3 J"-=3^(9-15+ 6) -1999=0-1999=-1999说明:“0”乘以任何数等于0.因为运用这一结论必能简化数的计算,所以运算中,能够凑成含“ 0”因数时,一般都凑成含有0的因数进行计算.当算式中的数字很大或很繁杂时,要注意使用这种“凑0法”.1 1例4计算:]分析:I 是」」的倒数,应当先把它化成分数后再求倒数;右边两项含绝对值号,应当先计算出绝对值的算式的结果再求绝对值.解:原式一二厂二;= -1000-(-25)+11-13=-1013 十36-937说明:对于有理数的混合运算,一定要按运算顺序进行运算,注意不要跳步, 每一步的运算结果都应在算式中体现出来,此题(1)要注意区别小括号与绝对值的运算;⑵要熟练掌握乘方运算,注意(-0.1) 3,-0.2 2,(-2) 3, -32在意义上的 不同.分析:含有括号的混合运算,一般按小、中、大括号的顺序进行运算,括号 里面仍然是先进行第三级运算,再进行第二级运算,最后进行第一级运算.解:原式有理数的混合运算习题精选例5计算:3一+(+0.4)x(5]-20.x(-l)= [-15+25]- -- -20I 3J = -12.5*=7 5-20 = -12.5例6 计算一 13+4+10-15-19 . 7解法一:原式12解法二:原式12带分数可以化为假分数, 日 说明:加减混合运算时,与分数部分分别加减,这是因为带分数是一个整数和一个分数的和 也可把带分数的整数部分丄二一 1-1.例如:〜■、选择题1•若;,「,;「,则有()A.必 B .號+ 吃>0 C .烧'+ 胸'>0 D .宛'十/ > D2. 已知一「I :,当z 一时,| -,当-=3时,"的值是().A. 一1; B . 44C. 28 D. 173. 如果厂=厂卜?「:「—,那么「」■的值为()A . OB. 4C. —4D. 24 .代数式一取最小值时,二值为()A . = :B . ■'= :C . ; = --D .无法确定a'乩c'丛肛/互不相等,则A . 0B . 4C. 6D. 8(界Ml .(小2QQ26 .计算'所得结果为()A^^001 一*2001 r .-,2002A . 2B. - C . - D .-二、填空题1 .有理数混合运算的顺序是 ___________________________________ .2. 已知陀为有理数,贝卩加_____________ 0,豹?+1 _________ 0,-宀2_______ 0.(填或“》”=)3. _____________________________ 平方得16的有理数是,■勺立方等于—8.4(1-2)(3-4)(5-6)-(99-100)=75•—个负数减去它的相反数后,再除以这个负数的绝对值,所得商为三、判断题若二为任意有理数,则(3)(4)(5)5x一-■;7匸2 A 1狛x2.J1L 门\3 6 12丿a.(2. 卜144)亠[(-叩-(-叹=卜 144卜 9一 [144)76 二 73.4. -Hi ()5.四、解答题1.计算下列各题: (1)4-3.8- [(-2.5-1.2 + 4)-6.< ;'°7(2)1 r 1 ] 卜— -7+ —--x43I 2丿(6)=-35x- + 35x=-61.((1}3 527x -1 (8)1 9 丿-3.527X-+3 527X9 3 .2 .若有理数怎、J ‘、忑满足等式⑵-》)+2 卜o ,试求(x+对于的值.0-窈4.已知如图2-11-1,横行和竖列的和相等,试求二 的值.1 2 3 2000 ------- + -------- + ------- + ■ ■ ■+ -----6.计算 20馆 2003 2003 20033MP -5X |-3 嘗 + 6 x 31W +1999x(-1)隣3.的值.当& 二一二 ,:=C 工 时,求代数式二s 701“西図+他)-护+0计算:5.求-i_ - ■-…、1. C 2 . C 3 . C 4 . B 5.A 6 . B二二二、1. 略;2.>, >,v;3.±4-2 •4. 1; 5.-2.^三、1. X 2 . X3.V 4.X5.V111195四、1. (1)门:(2) 1 (3)125(4)-(5) 30 (6)二(7)16H;1阡丁),= 飞1 1325(8) 2 .T ■■- 1 :y =2r f::;3. 0.M J-11+3.5 + tf =- 1 丄+4,9+30 984. 22一—, 2J5. 设〔---: ,则戈十尸+ 2-'十―丹°£二2砂」.J有理数的混合运算参考答案:1+2 +3+…+ 2000_ 20010002003 20036.原式。
3.4有理数的混合运算一、教材分析1、教材背景本节课是青岛版七年级上第三章有理数混合运算的第一课时,是在学习有理数加减乘除及乘方的基础上,进一步加深学生对有理数的各运算的认识,同时起到复习全章的作用。
2、本课的地位和作用有理数混合运算是一种特殊的数学模型,也是一种最基本的运算模型,在数式的计算中占有相当重要的地位。
学好有理数的混合运算可以为数式运算、解方程、函数等有关内容的学习奠定基础,同时有利于培养和发展学生的运算能力,帮助学生更好地解决现实生活中的一些相关问题。
二、目标分析根据新课程标准,结合学生心理发展的需求,以及人格、情感、价值观的具体要求制订如下目标。
这对激发学生学好数学概念,养成数学习惯,感受数学思想,提高数学能力起到了积极的作用。
1、知识技能目标掌握有理数混合运算的法则,并能熟练地进行有理数的混合运算。
2、过程性目标根据本节课的内容和学生的实际水平,通过分组讨论的形式让学生体验并理解有理数混合运算的确定顺序。
3、情感与价值观目标有理数混合运算教学的核心问题是让学生正确熟练地进行有理数的加、减、乘、除、乘方的混合运算,培养学生的观察能力和运算能力,同时适当地增加学生合作学习交流的机会,尽量让学生参与到小组当中,感受与他人合作的重要性以及初步形成实事求是地科学态度和锲而不舍的求学精神。
三、重难点分析根据本节课的地位和作用以及新课程标准的具体要求,制订了教学重点。
重点:掌握有理数混合运算的法则,并能熟练地进行有理数的混合运算。
根据本节课的内容,以及学生的心理特点和认知水平,制定了教学难点。
难点:是如何按有理数的运算顺序,正确而合理地进行有理数混合计算。
四、学情分析1、有利因素学生刚刚学习了有理数的加减乘除及乘方的基本运算,已经掌握了研究有理数运算的一般思路,对于本节课的学习会有很大帮助。
2、不利因素本节课混合运算综合性强,灵活性大,计算繁,对学生思维的灵活性和反应等能力有较高要求,学生学习起来还是有一定难度。
有理数的加减混合运算精选训练题(1)一.选择题(共14小题)1.下列各式可以写成a﹣b+c的是()A.a﹣(+b)﹣(+c)B.a﹣(+b)﹣(﹣c)C.a+(﹣b)+(﹣c)D.a+(﹣b)﹣(+c)2.将式子(﹣20)+(+3)﹣(﹣5)﹣(+7)省略括号和加号后变形正确的是()A.20﹣3+5﹣7B.﹣20﹣3+5+7C.﹣20+3+5﹣7D.﹣20﹣3+5﹣7 3.把算式:(﹣5)﹣(﹣4)+(﹣7)﹣(+2)写成省略括号的形式,结果正确的是()A.﹣5﹣4+7﹣2B.5+4﹣7﹣2C.﹣5+4﹣7﹣2D.﹣5+4+7﹣2 4.设a为最小的正整数,b为最大的负整数,c是绝对值最小的有理数,则a﹣b+c的值为()A.2B.﹣2C.2或﹣2D.以上都不对5.设a是最小的自然数,b是最大的负整数,c是绝对值最小的有理数,则a﹣b+c=()A.﹣1B.0C.1D.26.能与﹣(﹣)相加得0的是()A.﹣﹣B.+C.﹣+D.﹣+7.一天早晨的气温是﹣7℃,中午上升了11℃,半夜又下降了9℃,则半夜的气温是()A.4℃B.﹣5℃C.13℃D.﹣13℃8.把(+5)﹣(+3)﹣(﹣1)+(﹣5)写成省略括号的和的形式是()A.﹣5﹣3+1﹣5B.5﹣3﹣1﹣5C.5+3+1﹣5D.5﹣3+1﹣5 9.为计算简便,把(﹣1.4)﹣(﹣3.7)﹣(+0.5)+(+2.4)+(﹣3.5)写成省略括号和加号的和的形式,并按要求交换加数的位置正确的是()A.﹣1.4+2.4+3.7﹣0.5﹣3.5B.﹣1.4+2.4+3.7+0.5﹣3.5C.﹣1.4+2.4﹣3.7﹣0.5﹣3.5D.﹣1.4+2.4﹣3.7﹣0.5+3.510.下列计算正确的是()A.﹣5+(﹣3)=﹣(5﹣3)=﹣2B.2﹣(﹣5)=﹣(5﹣2)=﹣3C.(﹣3)﹣(﹣4)=﹣(3+4)=﹣7D.(﹣3)+(+2)=﹣(3﹣2)=﹣1 11.某地一天早晨的气温是﹣2℃,中午温度上升了12℃,半夜又下降了8℃,则半夜的气温是()A.﹣16℃B.2℃C.﹣5℃D.9℃12.在防治新型冠状病毒的例行体温检查中,检查人员将高出37℃的部分记作正数,将低于37℃的部分记作负数,体温正好是37℃时记作“0”.记录一被测人员在一周内的体温测量结果分别为+0.1,﹣0.3,﹣0.5,+0.1,﹣0.6,+0.2,﹣0.4,那么,该被测者这一周中测量体温的平均值是()A.37.1℃B.37.31℃C.36.8℃D.36.69℃13.将(+5)﹣(+2)﹣(﹣3)+(﹣9)写成省略加号的和的形式,正确的是()A.﹣5﹣2+3﹣9B.5﹣2﹣3﹣9C.5﹣2+3﹣9D.(+5)(+2)(﹣3)(﹣9)14.下列式子可读作:“负1,负3,正6,负8的和”的是()A.﹣1+(﹣3)+(+6)﹣(﹣8)B.﹣1﹣3+6﹣8C.﹣1﹣(﹣3)﹣(﹣6)﹣(﹣8)D.﹣1﹣(﹣3)﹣6﹣(﹣8)二.填空题15.已知:[x]表示不超过x的最大整数.例:[4.8]=4,[﹣0.8]=﹣1.现定义:{x}=x﹣[x],例:{1.5}=1.5﹣[1.5]=0.5,则{3.9}+{﹣1.8}﹣{1}=.16.计算:3﹣(﹣5)+7=.17.某地某天早晨的气温是﹣2℃,到中午升高了6℃,晚上又降低了7℃.那么晚上的温度是℃.18.小宇计划在某外卖网站点如下表所示的菜品,已知每份订单的配送费为3元,商家为了促销,对每份订单的总价(不含配送费)提供满减优惠:满30元减12元,满60元减30元,满100元减45元,如果小宇在购买下表中所有菜品时,采取适当的下订单方式,那么他点餐总费用最低可为元.菜品单价(含包装费)数量水煮牛肉(小)30元1醋溜土豆丝(小)12元1豉汁排骨(小)30元1手撕包菜(小)12元1米饭3元219.南通市某天上午的温度是5℃,中午又上升了3℃,下午由于冷空气南下,到夜间又下降了9℃,则这天夜间的温度是℃.20.某地某天早上气温为22℃,中午上升了4℃,夜间又下降了10℃,那么这天夜间的气温是℃.21.我们规定“※”是一种数学运算符号,A※B=(A+B)﹣(A﹣B),那么3※(﹣5)=.22.把(+5)﹣(﹣7)+(﹣23)﹣(+6)写成省略括号的和的形式为.23.计算=.24.已知|a|=4且a<0,b是绝对值最小的数,c是最大的负整数,则a+b﹣c=.25.一天早晨的气温是﹣7℃,中午上升了11℃,半夜又下降了9℃,则半夜的气温是℃.26.若a的相反数等于它本身,b是到原点的距离等于2的负数,c是最大的负整数,则a ﹣b+c的值为.27.小明近期几次数学测试成绩如下:第一次85分,第二次比第一次高8分,第三次比第二次低12分,第四次又比第三次高10分.那么小明第四次测验的成绩是.28.已知|a|=2,|b|=3,|c|=4,且a>b>c,那么﹣a﹣b+c=.29.已知a是最大的负整数,b是最小的正整数,c是绝对值最小的数,则a+c﹣b=.30.计算:1﹣2﹣3+4+5﹣6﹣7+8+……+2020+2021=.31.计算:﹣(﹣1)+2﹣(+5)=.三.解答题(共6小题)32.一名足球守门员练习折返跑,从球门的位置出发,向前记作正数,返回记作负数,他的记录如下(单位:米):+5,﹣3,+10,﹣8,﹣6,+12,﹣10.(1)守门员是否回到了原来的位置?(2)守门员离开球门的位置最远是多少?(3)守门员一共走了多少路程?33.某出租车驾驶员从公司出发,在南北向的人民路上连续接送5批客人,行驶路程记录如下(规定向南为正,向北为负,单位:km):第1批第2批第3批第4批第5批5km2km﹣4km﹣3km10km(1)接送完第5批客人后,该驾驶员在公司什么方向,距离公司多少千米?(2)若该出租车每千米耗油0.2升,那么在这过程中共耗油多少升?(3)若该出租车的计价标准为:行驶路程不超过3km收费10元,超过3km的部分按每千米加1.8元收费,在这过程中该驾驶员共收到车费多少元?34.在抗洪抢险中,解放军战士的冲锋舟加满油沿东西方向的河流抢救灾民,早晨从A地出发,晚上到达B地,约定向东为正方向,当天的航行路程记录如下(单位:千米):+14,﹣9,+8,﹣7,+13,﹣6,+12,﹣5.(1)请你帮忙确定B地相对于A地的方位?(2)救灾过程中,冲锋舟离出发点A最远处有多远?(3)若冲锋舟每千米耗油0.5升,油箱容量为28升,求冲锋舟当天救灾过程中至少还需补充多少升油?。