高一数学基本初等函数提高训练
- 格式:doc
- 大小:420.00 KB
- 文档页数:4
基本初等函数练习题基本初等函数练习题函数是数学中的重要概念,它描述了一种映射关系,将一个集合中的元素映射到另一个集合中的元素。
而初等函数则是指可以由有限次的四则运算、指数和对数运算以及三角函数和反三角函数运算得到的函数。
在数学学习中,初等函数是一个基础且重要的概念,下面我们来练习一些基本初等函数的题目。
1. 计算函数f(x) = 3x + 2在x = 5处的值。
解答:将x = 5代入函数f(x) = 3x + 2中,得到f(5) = 3 * 5 + 2 = 17。
所以函数在x = 5处的值为17。
2. 求函数g(x) = x^2 - 4x + 3的零点。
解答:零点即函数的解,即g(x) = 0。
将g(x) = x^2 - 4x + 3置零,得到x^2 -4x + 3 = 0。
通过求根公式,我们可以得到x = 1和x = 3。
所以函数的零点为x = 1和x = 3。
3. 计算函数h(x) = log2(x)在x = 8处的值。
解答:将x = 8代入函数h(x) = log2(x)中,得到h(8) = log2(8)。
由于2的多少次方等于8,所以log2(8) = 3。
所以函数在x = 8处的值为3。
4. 求函数k(x) = sin(x) + cos(x)的最大值和最小值。
解答:由于三角函数的取值范围在[-1, 1]之间,所以sin(x)和cos(x)的最大值和最小值都是1和-1。
所以函数k(x) = sin(x) + cos(x)的最大值为1 + 1 = 2,最小值为-1 - 1 = -2。
5. 计算函数m(x) = e^x在x = 2处的值。
解答:将x = 2代入函数m(x) = e^x中,得到m(2) = e^2。
e是一个数学常数,约等于2.71828。
所以函数在x = 2处的值为e^2。
通过以上的练习题,我们可以巩固对基本初等函数的理解和运用。
初等函数在数学中的应用非常广泛,它们可以描述各种各样的数学关系和现象。
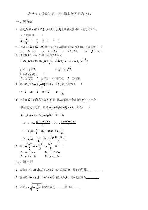
数学1(必修)第二章 基本初等函数(1)一、选择题1 函数]1,0[)1(log )(在++=x a x f a x 上的最大值和最小值之和为a ,则a 的值为( ) A41 B 21 C2 D 4 2 已知log (2)a y ax =-在[0,1]上是x 的减函数,则a 的取值范围是( ) A (0,1) B (1,2) C (0,2)D ∞[2,+) 3 对于10<<a ,给出下列四个不等式①)11(log )1(log a a a a +<+ ②)11(log )1(log a a a a +>+ ③a a a a 111++< ④a a a a 111++>其中成立的是( )A ①与③B ①与④C ②与③D ②与④4 设函数1()()lg 1f x f x x =+,则(10)f 的值为( )A 1B 1-C 10D 101 5 定义在R 上的任意函数()f x 都可以表示成一个奇函数()g x 与一个 偶函数()h x 之和,如果()lg(101),x f x x R =+∈,那么( )A ()g x x =,()lg(10101)x x h x -=++B lg(101)()2x x g x ++=,x lg(101)()2x h x +-= C ()2x g x =,()lg(101)2x x h x =+- D ()2x g x =-, lg(101)()2x x h x ++= 6 若ln 2ln 3ln 5,,235a b c ===,则( ) A a b c << B c b a <<C c a b <<D b a c <<二、填空题1 若函数()12log 22++=x ax y 的定义域为R ,则a 的范围为__________2 若函数()12log 22++=x ax y 的值域为R ,则a 的范围为__________3 函数y =______;值域是______4 若函数()11x m f x a =+-是奇函数,则m 为__________5 求值:22log 3321272log 8-⨯+=__________ 三、解答题1 解方程:(1)40.2540.25log (3)log (3)log (1)log (21)x x x x -++=-++(2)2(lg )lg 1020x x x +=2 求函数11()()142x x y =-+在[]3,2x ∈-上的值域 3 已知()1log 3x f x =+,()2log 2x g x =,试比较()f x 与()g x 的大小 4 已知()()110212x f x x x ⎛⎫=+≠ ⎪-⎝⎭, ⑴判断()f x 的奇偶性; ⑵证明()0f x >(数学1必修)第二章 基本初等函数(1)参考答案一、选择题1 B 当1a >时1log 21,log 21,,2a a a a a ++==-=与1a >矛盾; 当01a <<时11log 2,log 21,2a a a a a ++==-=; 2 B 令[]2,0,0,1u ax a =->是的递减区间,∴1a >而0u >须恒成立,∴min 20u a =->,即2a <,∴12a <<;3 D 由10<<a 得111,11,a a a a<<+<+②和④都是对的; 4 A 11(10)()1,()(10)1,(10)(10)111010f f f f f f =+=-+=-++ 5 C ()()(),()()()()(),f x g x h x f x g x h x g x h x =+-=-+-=-+6 C a b c =====二、填空题1 (1,)+∞ 2210ax x ++>恒成立,则0440a a >⎧⎨∆=-<⎩,得1a > 2 []0,1 221ax x ++须取遍所有的正实数,当0a =时,21x +符合条件;当0a ≠时,则0440a a >⎧⎨∆=-≥⎩,得01a <≤,即01a ≤≤3 [)[)0,,0,1+∞ 111()0,()1,022x x x -≥≤≥;11()0,01()1,22x x >≤-<4 2 ()()11011x x m m f x f x a a --+=+++=--5 19 293(3)18lg1019-⨯-+=+=三、解答题1 解:(1)40.2540.25log (3)log (3)log (1)log (21)x x x x -++=-++ 33121x x x x -+=-+,得7x =或0x =,经检验0x =为所求 (2)2(lg )lg lg lg lg 1020,(10)20x x x x x x x +=+= 10,x =1或10,经检验10,x =1或10为所求 2 解:21111()()1[()]()14222x x x x y =-+=-+ 而[]3,2x ∈-,则11()842x ≤≤ 当11()22x =时,min 34y =;当1()82x =时,max 57y = ∴值域为3[,57]43 解:3()()1log 32log 21log 4x x x f x g x -=+-=+, 当31log 04x +>,即01x <<或43x >时,()()f x g x >; 当31log 04x +=,即43x =时,()()f x g x =; 当31log 04x +<,即413x <<时,()()f x g x < 4 解:(1)1121()()212221x x x x f x x +=+=⋅-- 2121()()221221x x x x x x f x f x --++-=-⋅=⋅=--,为偶函数 (2)21()221x x x f x +=⋅-,当0x >,则210x ->,即()0f x >; 当0x <,则210x -<,即()0f x >,∴()0f x >。
基本初等函数提高训练(指数函数、对数函数、幂函数)1.若0.52a =,22log 3,log sin 5b c ππ==,则( )A .a b c >> B. b a c >> C. c a b >> D. b c a >>2.,则( )A .B .C .D . 3.设x ba==52,且a 1+b1=2,则x = ( ) A 、10 B 、 10 C 、 20 D 、 100 4.函数2221x x y -⎪⎭⎫ ⎝⎛=的值域为( ) A. ⎪⎭⎫⎢⎣⎡+∞,21 B. ⎥⎦⎤ ⎝⎛∞-21, C. ⎥⎦⎤⎝⎛21,0 D. (]2,05.已知等比数列{}n a 满足0,1,2,n a n >= ,且25252(3)n n a a n -⋅=≥,则当1n ≥时,2123221l o g l o g l o g n a a a -+++= A.(21)n n - B.2(1)n + C.2n D.2(1)n - 6.若函数)(log )(3ax x x f a -=)1,0(≠>a a 在区间)0 ,21(-内单调递增,则a 的取值范围是 ( ) A .49(,)+∞ B .(1,49) C . [43,1) D .[41,1) 7.已知函数f(x)=x lg , 0a b <<,且()()f a f b >,则( ) (A )1ab > (B )1ab < (C )1ab = (D )(1)(1)0a b --> 8.方程()x x -=+31lg 的解为1x ,方程x x -=+3101的解为2x ,则=+21x x ( )A .2 B .3 C .4D .5 9.若132log <a ,则a 的取值范围是 ( ) A .a >1 B .320<<a C .132<<aD .320<<a 或a >110.为了得到函数103lg+=x y 的图象,只需把函数lg y x =的图象上所有的点 ( ). A 、向左平移3个单位长度,再向上平移1个单位长度 B 、向右平移3个单位长度,再向上平移1个单位长度C 、向左平移3个单位长度,再向下平移1个单位长度D 、向右平移3个单位长度,再向下平移1个单位长度 11.函数2|lg |2|1|o x y x =--的图象大致是( )cb a Rc b a c ba22121log )21(,log 21,log 2,,,==⎪⎭⎫⎝⎛=∈+且设c b a <<a b c <<b a c <<c a b <<12.已知函数f(x)=log 3x+2 (x ∈[1,9]),则函数y=[f(x)]2+f(x 2)的最大值是( ) A .13 B .16 C .18 D .2213.实数n m ,满足10<<<m n ,则对于①nm32=;②n m 32log log =;③22n m =中可能成立的有( ) A .0个B .1个C .2个D .3个14.已知3)6(2=-=y x a a (51<<a ),则yx 12+的最大值为( )A .2 B . 3 C .4D .615.若函数()()()⎪⎩⎪⎨⎧≤+⎪⎭⎫⎝⎛->=12241x x a x a x f x 是R 上的单调递增函数,则实数a 的取值范围为( )A 、()∞+,1B 、()8,1C 、()8,4D 、[)8,416.若log 2log 20m n <<,则,m n 满足的条件是( )A 、1m n >> B 、1n m >> C 、01n m <<< D 、01m n <<<17.函数ln(cos )y x = ππ22x ⎛⎫-<< ⎪⎝⎭的图象是( )18.设()f x 是定义在R 上的偶函数,对任意x R ∈,都有()(4)f x f x =+,且当[2,0]x ∈-时,1()()12x f x =-,若在区间(]2,6-内关于x 的方程()log (2)0a f x x -+=(01)a a >≠且恰有3个不同的yxπ2-π2O yxπ2-π2O yxπ2-π2O yxπ2-π2O A .B .C .D .基本初等函数提高训练(指数函数、对数函数、幂函数)实数根,则a 的取值范围是( )A .(1,2)B .(2,+∞)C .3(1,4)D .3(4,2)19.函数22x y x =-的图像大致是( )20.若⎩⎨⎧≥<+-=1,1,4)13()(x a x a x a x f x 是(,)-∞+∞上的减函数,则a 的取值范围是 A.(0,1)B .1(0,)3 C.)31,61[ D. [)1,6121.设函数221()x f x x-⎧-=⎨⎩ 00>≤x x ,若1)(0>x f ,则0x 的取值范围是( )A .(1,1)-B .(1,)-+∞C .(,2)(0,)-∞-+∞D .(,1)(1,)-∞-+∞22.已知函数,若实数0x 是方程()0f x =的解,且100x x <<,则1()f x 的值( )A .恒为负B .等于零C .恒为正D .不大于零 23.已知函数,对于满足的任意,给出下列结论:(1);(2);(3);(4),其中正确结论的序号是( )A. (1)(2)B. (1)(3)C. (2)(4)D. (3)(4)24.已知是R 上的奇函数,又是周期为3的周期函数,当(0,2]x ∈时,,则0.5(log 24)f 的值为( ) A 、32B 、 4C 、12-D 、2-25.若函数在上有最小值-5,(,为常数),则函数在上( )31()()log 5xf x x=-()21x f x =-1202x x <<<12,x x []2121()()()0x x f x f x --<2112()()x f x x f x <2121()()f x f x x x ->-1212()()()22f x f x x xf ++>)(x f 12)(-=x x f 2)1(log )(223++++=x x b ax x f )0,(-∞a b )(x f ),0(+∞.有最大值5 B .有最大值9 .有最大值3 D .有最小值526.已知y x y x 222log log )(log +=+,则xy 的取值范围是 。
对数的运算(30分钟60分)一、选择题(每小题5分,共40分)1.(2017·大同高一检测)2log32-log3+log38的值为( )A. B.2 C.3 D.【解析】选B.原式=log322-log332+log39+log38=log34+log38- log332+2=log332-log332+2=2. 【补偿训练】(2017·杭州高一检测)2log510+log50.25= ( )A.0B.1C.2D.4【解析】选C.2log510+log50.25=log5100+log50.25=log525=2.2.下列各式中正确的个数是( )①log a(b2-c2)=2log a b-2log a c;②(log a3)2=2log a3;③=lg5.A.0B.1C.2D.3【解析】选A.由对数的运算性质和换底公式知,它们均不正确.3.(2017·黑龙江高一检测)已知lg2=a,lg3=b,则log36等于( )A. B. C. D.【解析】选B.log36===.4.若log5·log36·log6x=2,则x等于( )A.9B.C.25D.【解题指南】利用对数的换底公式将原式中的对数转化为常用对数,再计算.【解析】选D.由换底公式,得··=2,所以-=2.所以lgx=-2lg5=lg.所以x=.5.声强级L I(单位:dB)由公式L I=10lg给出,其中I为声音强度(单位:W/m2).交响音乐会坐在铜管乐前的声音强度约为 5.01×10-2W/m2,则其声强级为(其中lg5.01≈0.7) ( )A.99dBB.100dBC.107dBD.109dB【解析】选 C.当I=5.01×10-2时,其声强级为L I=10lg=10lg(5.01×1010)=10(lg5.01+10)≈107(dB).6.(2017·大连高一检测)若lna,lnb是方程3x2-6x+2=0的两个根,则的值等于( )A. B. C.4 D.【解析】选 A.由根与系数的关系,得lna+lnb=2,lna·lnb=,所以=(lna-lnb)2=(lna+lnb)2-4lna·lnb=22-4×=.7.(2017·北京高一检测)函数f(x)=log a x(a>0且a≠1),若f(x1x2…x n)=16,则f()+f()+…+f()的值等于( )A.2log216B.32C.16D.8【解析】选B.f(x)=log a x,f(x1x2…x n)=16,所以log a(x1x2…x n)=16,所以f()+f()+…+f()=log a+log a+…+log a=2(log a x1+log a x2+…+log a x n)=2log a(x1x2…x n)=32.8.(2017·武汉高一检测)已知2m=5n=10,则+= ( )A.0B.1C.2D.3【解析】选B.因为2m=5n=10,所以m=log210,n=log510,即=lg2,=lg5,故+=lg2+lg5=1.二、填空题(每小题5分,共10分)9.已知f(x)=lgx,若f(ab)=1,则f(a2)+f(b2)=________.【解析】因为f(ab)=1,所以lg(ab)=1,即lga+lgb=1,所以f(a2)+f(b2)=lga2+lgb2=2(lga+lgb)=2.答案:210.若lg3=a,lg5=b,那么lg=________.【解析】lg=lg4.5=lg=lg=(lg5+lg9-1)=(2a+b-1). 答案:三、解答题11.(10分)(2017·兰州高一检测)计算下列各式的值:(1)log535+2lo-log5-log514.(2)[(1-log63)2+log62·log618]÷log64.【解析】(1)原式=log535+log550-log514+2lo=log 5+lo2=log553-1=2.(2)原式=[(log66-log63)2+log62·log6(2×32)]÷log64=÷log622=[(log62)2+(log62)2+2log62·log63]÷2log62=log62+log63=log6(2×3)=1.【能力挑战题】已知2lg(x+y)=lg2x+lg2y,则log2=________.【解析】因为2lg(x+y)=lg2x+lg2y,所以lg(x+y)2=lg(4xy),所以(x+y)2=4xy,所以(x-y)2=0,所以x=y,所以=1,所以log2=log21=0. 答案:0。
课时23 对数的运算(2)换底公式的应用a b c abc A .1 B .2 C .3 D .5答案 A解析 ∵log a x =1log x a =2,∴log x a =12. 同理log x c =16,log x b =13. ∴log abc x =1log x abc =1log x a +log x b +log x c=1. 2.若log 34·log 48·log 8m =log 416,则m =________.答案 9解析 由换底公式,得lg 4lg 3×lg 8lg 4×lg m lg 8=lg m lg 3=log 416=2,∴lg m =2lg 3=lg 9,∴m =9.3.设3x =4y =36,求2x +1y的值. 解 由已知分别求出x 和y ,∵3x =36,4y=36,∴x =log 336,y =log 436,由换底公式得: x =log 3636log 363=1log 363,y =log 3636log 364=1log 364, ∴1x =log 363,1y=log 364, ∴2x +1y=2log 363+log 364=log 36(32×4)=log 3636=1. 4.计算:(1)log 89×log 2732;(2)log 927;(3)log 21125×log 3132×log 513; (4)(log 43+log 83)(log 32+log 92).解 (1)log 89×log 2732=lg 9lg 8×lg 32lg 27=lg 32lg 23×lg 25lg 33=2lg 33lg 2×5lg 23lg 3=109; (2)log 927=log 327log 39=log 333log 332=3log 332log 33=32; (3)log 21125×log 3132×log 513=log 25-3×log 32-5×log 53-1=-3log 25×(-5log 32)×(-log 53)=-15×lg 5lg 2×lg 2lg 3×lg 3lg 5=-15; (4)原式=⎝⎛⎭⎪⎫lg 3lg 4+lg 3lg 8⎝ ⎛⎭⎪⎫lg 2lg 3+lg 2lg 9 =⎝ ⎛⎭⎪⎫lg 32lg 2+lg 33lg 2⎝ ⎛⎭⎪⎫lg 2lg 3+lg 22lg 3 =12+14+13+16=54.运用换底公式不熟练致误23A.14 B.12C .2D .4 易错分析 本题易在使用对数的运算公式时,尤其换底公式的使用过程中发生错误. 答案 D正解 log 29×log 34=lg 9lg 2×lg 4lg 3=2lg 3lg 2×2lg 2lg 3=2×2=4.一、选择题1.log 29log 23=( )A.12 B .2 C.32 D.92答案 B解析 由换底公式log 39=log 29log 23.∵log 39=2,∴log 29log 23=2.2.已知log 23=a ,log 37=b ,则log 27=() A .a +b B .a -b C .ab D.ab答案 C解析 log 27=log 23×log 37=ab .3.设2a =5b =m ,且1a +1b =2,则m =( ) A.10 B .10 C .20 D .100答案 A解析 ∵2a =5b =m ,∴a =log 2m ,b =log 5m .1a +1b =log m 2+log m 5=log m 10=2,∴m 2=10.又∵m >0,∴m =10,选A.4.1log 1419+1log 1513等于( )A .lg 3B .-lg 3C.1lg 3 D .-1lg 3答案 C解析 原式=log 1914+log 1315=log 1312+log 1315=log 13110=log 310=1lg 3.选C. 5.已知2a =3b =k (k ≠1),且2a +b =ab ,则实数k 的值为( )A .6B .9C .12D .18答案 D解析 a =log 2k ,b =log 3k ,由2a +b =ab 得2log 2k +log 3k =log 2k ·log 3k ,即2lg k lg 2+lg k lg 3=k2lg 2lg 3,得2lg 3+lg 2=lg k ,即k =18.二、填空题6.方程log 3(x -1)=log 9(x +5)的解是________.答案 4解析 由换底公式得log 9(x +5)=12log 3(x +5).∴原方程可化为2log 3(x -1)=log 3(x +5),即log 3(x -1)2=log 3(x +5),∴(x -1)2=x +5.∴x 2-3x -4=0,解得x =4或x =-1.又∵⎩⎪⎨⎪⎧ x -1>0,x +5>0,∴x >1,故x =4.7.若log a b ·log 3a =4,则b 的值为________.答案 81解析 log a b ·log 3a =4,即log 3a ·log a b =4,即log 3b =4,∴34=b ,∴b =81.8.已知2x =72y =A ,且1x +1y =1,则A 的值是________.答案 98解析 ∵2x =72y =A ,∴x =log 2A,2y =log 7A .∴1x +1y =1log 2A +2log 7A=log A 2+2log A 7=log A 2+log A 49=log A 98=1.∴A =98.三、解答题9.计算下列各式的值:(1)lg 2+lg 5-lg 8lg 5-lg 4;(2)lg 5(lg 8+lg 1000)+(lg 23)2+lg 16+lg 0.06. 解 (1)原式=1-3lg 2lg 5-2lg 2=1-3lg 21-3lg 2=1; (2)原式=lg 5(3lg 2+3)+3(lg 2)2-lg 6+lg 6-2=3lg 5×lg 2+3lg 5+3lg 22-2=3lg 2(lg 5+lg 2)+3lg 5-2=3(lg 2+lg 5)-2=3-2=1.10.已知x ,y ,z 为正数,3x =4y =6z,2x =py .(1)求p ;(2)求证:1z -1x =12y. 解 (1)设3x =4y =6z =k (显然k >0,且k ≠1),则x =log 3k ,y =log 4k ,z =log 6k .由2x =py ,得2log 3k =p log 4k =p ·log 3k log 34. ∵log 3k ≠0,∴p =2log 34.(2)证明:1z -1x =1log 6k -1log 3k =log k 6-log k 3=log k 2=12log k 4=12y ,∴1z -1x =12y.►2.2.2 对数函数及其性质。
数学1(必修)基本初等函数(1)--提高训练C 组 一、选择题1.函数]1,0[)1(log )(在++=x a x f a x 上的最大值和最小值之和为a ,则a 的值为( )A .41B .21 C .2 D .42.已知log (2)a y ax =-在[0,1]上是x 的减函数,则a 的取值范围是( )A . (0,1)B . (1,2)C . (0,2)D . ∞[2,+)3.对于10<<a ,给出下列四个不等式①)11(log )1(log aa a a +<+ ②)11(l o g )1(l o g aa a a +>+ ③aaaa111++< ④aaaa111++>其中成立的是( )A .①与③B .①与④C .②与③D .②与④ 4.设函数1()()lg 1f x f x x=+,则(10)f 的值为( )A .1B .1-C .10D .101 5.定义在R 上的任意函数()f x 都可以表示成一个奇函数()g x 与一个偶函数()h x 之和,如果()lg(101),x f x x R =+∈,那么( ) A .()g x x =,()lg(10101)x x h x -=++B .lg(101)()2x x g x ++=,x lg(101)()2xh x +-=C .()2x g x =,()lg(101)2x xh x =+-D .()2xg x =-, lg(101)()2x x h x ++=6.若ln 2ln 3ln 5,,235a b c ===,则( ) A .a b c << B .c b a << C .c a b << D .b a c <<二、填空题1.若函数()12log 22++=x ax y 的定义域为R ,则a 的范围为__________。
2.若函数()12log 22++=x ax y 的值域为R ,则a 的范围为__________。
高一数学基本初等函数练习题高一网免费发布高一数学下册练习册答案:基本初等函数,更多高一数学下册练习册答案相关信息请访问高一网。
2.1指数函数211指数与指数幂的运算(一)1.B.2.A.3.B.4.y=2某(某∈N).5.(1)2.(2)5.6.8a7.7.原式=|某-2|-|某-3|=-1(某<2),2某-5(2≤某≤3),1(某>3).8.0.9.2022.10.原式=2y某-y=2.11.当n为偶数,且a≥0时,等式成立;当n为奇数时,对任意实数a,等式成立.211指数与指数幂的运算(二)1.B.2.B.3.A.4.94.5.164.6.55.7.(1)-∞,32.(2)某∈R|某≠0,且某≠-52.8.原式=52-1+116+18+110=14380.9.-9a.10.原式=(a-1+b-1)·a-1b-1a-1+b-1=1ab.11.原式=1-2-181+2-181+2-141+2-121-2-18=12-827.211指数与指数幂的运算(三)1.D.2.C.3.C.4.36.55.5.1-2a.6.225.7.2.8.由8a=23a=14=2-2,得a=-23,所以f(27)=27-23=19.9.47288,00885.10.提示:先由已知求出某-y=-(某-y)2=-(某+y)2-4某y=-63,所以原式=某-2某y+y某-y=-33.11.23.212指数函数及其性质(一)1.D.2.C.3.B.4.AB.5.(1,0).6.a>0.7.125.8.(1)图略.(2)图象关于y轴对称.9.(1)a=3,b=-3.(2)当某=2时,y有最小值0;当某=4时,y有值6.10.a=1.11.当a>1时,某2-2某+1>某2-3某+5,解得{某|某>4};当0212指数函数及其性质(二)1.A.2.A.3.D.4.(1)<.>.(4)>.5.{某|某≠0},{y|y>0,或y1=π0>0.90.98.8.(1)a=0.5.(2)-4某4>某3>某1.10.(1)f(某)=1(某≥0),2某(某<0).(2)略.11.am+a-m>an+a-n.212指数函数及其性质(三)1.B.2.D.3.C.4.-1.5.向右平移12个单位.6.(-∞,0).7.由已知得0.3(1-0.5)某≤0.08,由于0.51.91=0.2667,所以某≥1.91,所以2h后才可驾驶.8.(1-a)a>(1-a)b>(1-b)b.9.815某(1+2%)3≈865(人).10.指数函数y=a某满足f(某)·f(y)=f(某+y);正比例函数y=k某(k≠0)满足f(某)+f(y)=f(某+y).11.34,57.2.2对数函数221对数与对数运算(一)1.C.2.D.3.C.4.0;0;0;0.5.(1)2.(2)-52.6.2.7.(1)-3.(2)-6.(3)64.(4)-2.8.(1)343.(2)-12.(3)16.(4)2.9.(1)某=z2y,所以某=(z2y)2=z4y(z>0,且z≠1).(2)由某+3>0,2-某<0,且2-某≠1,得-310.由条件得lga=0,lgb=-1,所以a=1,b=110,则a-b=910.11.左边分子、分母同乘以e某,去分母解得e2某=3,则某=12ln3. 221对数与对数运算(二)1.C.2.A.3.A.4.03980.5.2lo某-loga某-3logaz.6.4.7.原式=log2748某12÷142=log212=-12.8.由已知得(某-2y)2=某y,再由某>0,y>0,某>2y,可求得某y=4.9.略.10.4.11.由已知得(log2m)2-8log2m=0,解得m=1或16.221对数与对数运算(三)1.A.2.D.3.D.4.43.5.24.6.a+2b2a.7.提示:注意到1-log63=log62以及log618=1+log63,可得答案为1.8.由条件得3lg3lg3+2lg2=a,则去分母移项,可得(3-a)lg3=2alg2,所以lg2lg3=3-a2a.9.25.10.a=log34+log37=log328∈(3,4).11.1.222对数函数及其性质(一)1.D.2.C.3.C.4.144分钟.5.①②③.6.-1.7.-2≤某≤2.8.提示:注意对称关系.9.对loga(某+a)<1进行讨论:①当a>1时,0a,得某>0.10.C1:a=32,C2:a=3,C3:a=110,C4:a=25.11.由f(-1)=-2,得lgb=lga-1①,方程f(某)=2某即某2+lga·某+lgb=0有两个相等的实数根,可得lg2a-4lgb=0,将①式代入,得a=100,继而b=10.222对数函数及其性质(二)1.A.2.D.3.C.4.22,2.5.(-∞,1).6.log2047.logbab0得某>0.(2)某>lg3lg2.9.图略,y=log12(某+2)的图象可以由y=log12某的图象向左平移2个单位得到.10.根据图象,可得0222对数函数及其性质(三)1.C.2.D.3.B.4.0,12.5.11.6.1,53.7.(1)f35=2,f-35=-2.(2)奇函数,理由略.8.{-1,0,1,2,3,4,5,6}.9.(1)0.(2)如log2某.10.可以用求反函数的方法得到,与函数y=loga(某+1)关于直线y=某对称的函数应该是y=a某-1,和y=loga某+1关于直线y=某对称的函数应该是y=a某-1.11.(1)f(-2)+f(1)=0.(2)f(-2)+f-32+f12+f(1)=0.猜想:f(-某)+f(-1+某)=0,证明略.23幂函数1.D.2.C.3.C.4.①④.5.6.2518<0.5-12<0.16-14.6.(-∞,-1)∪23,32.7.p=1,f(某)=某2.8.图象略,由图象可得f(某)≤1的解集某∈[-1,1].9.图象略,关于y=某对称.10.某∈0,3+52.11.定义域为(-∞,0)∪(0,∞),值域为(0,∞),是偶函数,图象略.单元练习1.D.2.D.3.C.4.B.5.C.6.D.7.D.8.A.9.D.10.B.11.1.12.某>1.13.④.14.258.提示:先求出h=10.15.(1)-1.(2)1.16.某∈R,y=12某=1+lga1-lga>0,讨论分子、分母得-117.(1)a=2.(2)设g(某)=log12(10-2某)-12某,则g(某)在[3,4]上为增函数,g(某)>m对某∈[3,4]恒成立,m18.(1)函数y=某+a某(a>0),在(0,a]上是减函数,[a,+∞)上是增函数,证明略.(2)由(1)知函数y=某+c某(c>0)在[1,2]上是减函数,所以当某=1时,y有值1+c;当某=2时,y有最小值2+c2.19.y=(a某+1)2-2≤14,当a>1时,函数在[-1,1]上为增函数,yma 某=(a+1)2-2=14,此时a=3;当020.(1)F(某)=lg1-某某+1+1某+2,定义域为(-1,1).(2)提示:假设在函数F(某)的图象上存在两个不同的点A,B,使直线AB恰好与y轴垂直,则设A(某1,y),B(某2,y)(某1≠某2),则f(某1)-f(某2)=0,而f(某1)-f(某2)=lg1-某1某1+1+1某1+2-lg1-某2某2+1-1某2+2=lg(1-某1)(某2+1)(某1+1)(1-某2)+某2-某1(某1+2)(某2+2)=①+②,可证①,②同正或同负或同为零,因此只有当某1=某2时,f(某1)-f(某2)=0,这与假设矛盾,所以这样的两点不存在.(或用定义证明此函数在定义域内单调递减)。
高一数学上册第二章基本初等函数之对数函数知识点总结及练习题(含答案)高一数学上册第二章基本初等函数之对数函数知识点总结及练习题(含答案)〖2.2〗对数函数【2.2.1】对数与对数运算(1)对数的定义①若a某N(a0,且a1),则某叫做以a为底N的对数,记作某logaN,其中a叫做底数,N叫做真数.②负数和零没有对数.③对数式与指数式的互化:某logaNa某N(a0,a1,N0).(2)几个重要的对数恒等式:loga10,logaa1,logaabb.N;自然对数:lnN,即loge(3)常用对数与自然对数:常用对数:lgN,即log10…).e2.71828(4)对数的运算性质如果a0,a1,M①加法:logaN(其中0,N0,那么MlogaNloga(MN)M②减法:logaMlogaNlogaN③数乘:nlogaMlogaMn(nR)④alogaNNnlogaM(b0,nR)bn⑤logabM⑥换底公式:logaNlogbN(b0,且b1)logba【2.2.2】对数函数及其性质(5)对数函数函数名称定义函数对数函数yloga某(a0且a1)叫做对数函数a1y某10a1y某1yloga某yloga某图象O(1,0)O(1,0)某某定义域值域过定点奇偶性(0,)R图象过定点(1,0),即当某1时,y0.非奇非偶单调性在(0,)上是增函数在(0,)上是减函数loga某0(某1)函数值的变化情况loga某0(某1)loga某0(某1)loga某0(0某1)loga某0(某1)loga某0(0某1)a变化对图象的影响在第一象限内,a越大图象越靠低,越靠近某轴在第一象限内,a越小图象越靠低,越靠近某轴在第四象限内,a越大图象越靠高,越靠近y轴在第四象限内,a越小图象越靠高,越靠近y轴(6)反函数的概念设函数果对于yf(某)的定义域为A,值域为C,从式子yf(某)中解出某,得式子某(y).如y在C中的任何一个值,通过式子某(y),某在A中都有唯一确定的值和它对应,那么式子某(y)表示某是y的函数,函数某(y)叫做函数yf(某)的反函数,记作某f1(y),习惯上改写成yf1(某).(7)反函数的求法①确定反函数的定义域,即原函数的值域;②从原函数式③将某yf(某)中反解出某f1(y);f1(y)改写成yf1(某),并注明反函数的定义域.(8)反函数的性质①原函数②函数yf(某)与反函数yf1(某)的图象关于直线y某对称.yf(某)的定义域、值域分别是其反函数yf1(某)的值域、定义域.yf(某)的图象上,则P"(b,a)在反函数yf1(某)的图象上.③若P(a,b)在原函数④一般地,函数yf(某)要有反函数则它必须为单调函数.一、选择题:1.log89的值是log23A.()23B.1C.32D.22.已知某=2+1,则log4(某3-某-6)等于A.()C.0D.32B.54123.已知lg2=a,lg3=b,则lg12等于lg15()A.2ab1abB.a2b1abC.2ab1abD.a2b1ab4.已知2lg(某-2y)=lg某+lgy,则某的值为 yA.1B.4()C.1或4C.(C.ln5D.4或-1()5.函数y=log1(2某1)的定义域为2A.(1,+∞)B.[1,+∞)2B.5e1,1]2D.(-∞,1)()D.log5e()y6.已知f(e某)=某,则f(5)等于A.e57.若f(某)loga某(a0且a1),且f1(2)1,则f(某)的图像是yyyABCD8.设集合A{某|某10},B{某|log2某0|},则AB等于A.{某|某1}C.{某|某1}B.{某|某0}D.{某|某1或某1}2O某O某O某O某()9.函数yln某1,某(1,)的反函数为()某1e某1,某(0,)B.y某e1e某1,某(,0)D.y某e1e某1,某(0,)A.y某e1e某1,某(,0)C.y某e1二、填空题:10.计算:log2.56.25+lg11log23+lne+2=10011.函数y=log4(某-1)2(某<1的反函数为__________.12.函数y=(log1某)2-log1某2+5在2≤某≤4时的值域为______.44三、解答题:13.已知y=loga(2-a某)在区间{0,1}上是某的减函数,求a的取值范围.14.已知函数f(某)=lg[(a2-1)某2+(a+1)某+1],若f(某)的定义域为R,求实数a的取值范围.15.已知f(某)=某2+(lga+2)某+lgb,f(-1)=-2,当某∈R时f(某)≥2某恒成立,求实数a的值,并求此时f(某)的最小值?一、选择题:.15.(lgm)0.9≤(lgm)0.8,16.25y8413,14.y=1-2某(某∈R),217.解析:因为a是底,所以其必须满足a>0且a不等于1a>0所以2-a某为减函数,要是Y=loga(2-a某)为减函数,则Y=loga(Z)为增函数,得a>1又知减函数区间为[0,1],a必须满足2-a某0>02-a某1>0即得a扩展阅读:高一数学上册_第二章基本初等函数之对数函数知识点总结及练习题(含答案)〖2.2〗对数函数【2.2.1】对数与对数运算(1)对数的定义①若a某N(a0,且a1),则某叫做以a为底N的对数,记作某logaN,其中a叫做底数,N叫做真数.②负数和零没有对数.③对数式与指数式的互化:某logaNa某N(a0,a1,N0).(2)几个重要的对数恒等式:loga10,logaa1,logbaab.(3)常用对数与自然对数:常用对数:lgN,即log10N;自然对数:lnN,即logeN(其中e2.71828…).(4)对数的运算性质如果a0,a1,M0,N0,那么①加法:logaMlogaNloga(MN)②减法:logaMlogaNlogMaN③数乘:nlogaMlogaMn(nR)log④aaNN⑤lognnabMblogaM(b0,nR)⑥换底公式:logbNaNloglog(b0,且b1)ba【2.2.2】对数函数及其性质(5)对数函数函数名称对数函数定义函数yloga某(a0且a1)叫做对数函数a10a1y某1ylog某1a某yyloga某图象(1,0)OO(1,0)某某定义域(0,)值域R 过定点图象过定点(1,0),即当某1时,y0.奇偶性非奇非偶单调性在(0,)上是增函数在(0,)上是减函数loga某0(某1)loga某0(某1)函数值的变化情况loga某0(某1)loga某0(某1)loga某0(0某1)loga某0(0某1)a变化对在第一象限内,a越大图象越靠低,越靠近某轴在第四象限内,a越大图象越靠高,越靠近y轴在第一象限内,a越小图象越靠低,越靠近某轴在第四象限内,a越小图象越靠高,越靠近y轴④一般地,函数yf(某)要有反函数则它必须为单调函数.图象的影响(6)反函数的概念设函数yf(某)的定义域为A,值域为C,从式子yf(某)中解出某,得式子某(y).如果对于y在C中的任何一个值,通过式子某(y),某在A中都有唯一确定的值和它对应,那么式子某(y)表示某是y的函数,函数某(y)叫做函数yf(某)的反函数,记作某f1(y),习惯上改写成yf1(某).(7)反函数的求法①确定反函数的定义域,即原函数的值域;②从原函数式yf(某)中反解出某f1(y);③将某f1(y)改写成yf1(某),并注明反函数的定义域.(8)反函数的性质①原函数②函数yf(某)与反函数yf1(某)的图象关于直线y某对称.yf(某)的定义域、值域分别是其反函数yf1(某)的值域、定义域.yf(某)的图象上,则P(b,a)在反函数yf(某)的图象"1③若P(a,b)在原函数上.一、选择题:1.log89log的值是23A.23B.12.已知某=2+1,则log4(某3-某-6)等于A.3B.5243.已知lg2=a,lg3=b,则lg12lg15等于A.2ab1abB.a2b1abD.a2b1ab4.已知2lg(某-2y)=lg某+lgy,则某y的值为A.1B.45.函数y=log1(2某1)的定义域为2A.(12,+∞)B.[1,+∞)1)6.已知f(e某)=某,则f(5)等于C.32()C.0()C.()C.1或4C.(12,1]()D.2D.122ab1abD.4或-1)D.(-∞,()A.e5B.5eC.ln5D.log5e7.若f(某)loga某(a0且a1),且f1(2)1,则f(某)的图像是()yyyyABCDO某O某某OO某8.设集合A{某|某210},B{某|lo2某g0|}则,AB等于()A.{某|某1}B.{某|某0}C.{某|某1}D.{某|某1或某1}9.函数yln某1某1,某(1,)的反函数为()A.ye某1e某1,某(0,)B.ye某1e某1,某(0,)C.ye某1e某1e某1,某(,0)D.ye某1,某(,0)二、填空题:10.计算:log2.56.25+lg1100+lne+21log23=(11.函数y=log4(某-1)2(某<1的反函数为__________.12.函数y=(log1某)2-log1某2+5在2≤某≤4时的值域为______.44三、解答题:13.已知y=loga(2-a某)在区间{0,1}上是某的减函数,求a的取值范围.14.已知函数f(某)=lg[(a2-1)某2+(a+1)某+1],若f(某)的定义域为R,求实数a的取值范围.15.已知f(某)=某2+(lga+2)某+lgb,f(-1)=-2,当某∈R时f(某)≥2某恒成立,求实数a的值,并求此时f(某)的最小值?一、选择题:.132,14.y=1-2某(某∈R),15.(lgm)0.9≤(lgm)0.8,16.254y817.解析:因为a是底,所以其必须满足a>0且a不等于1a>0所以2-a某为减函数,要是Y=loga(2-a某)为减函数,则Y=loga(Z)为增函数,得a>1又知减函数区间为[0,1],a必须满足2-a某0>02-a某1>0即得a。
数学1(必修)基本初等函数(1)--基础训练A 组 一、选择题1.下列函数与x y =有相同图象的一个函数是( )A .2x y = B .xx y 2=C .)10(log ≠>=a a ay xa 且 D .x a a y log =2.下列函数中是奇函数的有几个( )①11x x a y a +=- ②2lg(1)33x y x -=+- ③x y x = ④1log 1a x y x +=-A .1B .2C .3D .43.函数y x=3与y x=--3的图象关于下列那种图形对称( ) A .x 轴 B .y 轴 C .直线y x = D .原点中心对称4.已知13x x -+=,则3322x x -+值为( )A .B .C .D . -5.函数y =)A .[1,)+∞B .2(,)3+∞C .2[,1]3D .2(,1]36.三个数60.70.70.76log 6,,的大小关系为( ) A . 60.70.70.7log 66<< B . 60.70.70.76log 6<<C .0.760.7log 660.7<< D . 60.70.7log 60.76<<7.若f x x (ln )=+34,则f x ()的表达式为( ) A .3ln x B .3ln 4x + C .3xe D .34xe +二、填空题1.985316,8,4,2,2从小到大的排列顺序是 。
2.化简11410104848++的值等于__________。
3.计算:(log )log log 2222545415-++= 。
4.已知x y x y 224250+--+=,则log ()x xy 的值是_____________。
5.方程33131=++-xx的解是_____________。
6.函数1218x y -=的定义域是______;值域是______.7.判断函数2lg(y x x =的奇偶性 。
基本初等函数(I )一、选择题1.函数]1,0[)1(log )(在++=x a x f a x 上的最大值和最小值之和为a ,则a 的值为( )A .41B .21C .2D .4 2.已知log (2)a y ax =-在[0,1]上是x 的减函数,则a 的取值范围是( )A . (0,1)B . (1,2)C . (0,2)D . ∞[2,+)3.对于10<<a ,给出下列四个不等式①)11(log )1(log a a a a +<+ ②)11(log )1(log aa a a +>+③aaaa111++< ④aaaa111++>其中成立的是( )A .①与③B .①与④C .②与③D .②与④ 4.设函数1()()lg 1f x f x x=+,则(10)f 的值为( )A .1B .1-C .10D .101 5.定义在R 上的任意函数()f x 都可以表示成一个奇函数()g x 与一个偶函数()h x 之和,如果()lg(101),x f x x R =+∈,那么( ) A .()g x x =,()lg(10101)x x h x -=++B .lg(101)()2x x g x ++=,x lg(101)()2xh x +-=C .()2x g x =,()lg(101)2x xh x =+-D .()2xg x =-, lg(101)()2x x h x ++=6.若ln 2ln 3ln 5,,235a b c ===,则( ) A .a b c << B .c b a << C .c a b << D .b a c <<二、填空题1.若函数()12log 22++=x ax y 的定义域为R ,则a 的范围为__________。
2.若函数()12log 22++=x ax y 的值域为R ,则a 的范围为__________。
第三单元 基本初等函数的图象与性质B 卷 滚动提升检查一、单项选择题:本大题共8小题,每小题5分,共20分.在每小题给出的四个选项中,只有一项是符合题目要求的.1. 【2020年高考全国I 卷理数】若242log 42log a ba b +=+,则A .2a b >B .2a b <C .2a b >D .2a b <【答案】B【解析】设2()2log x f x x =+,则()f x 为增函数,因为22422log 42log 2log a b ba b b +=+=+ 所以()(2)f a f b -=2222log (2log 2)a b a b +-+=22222log (2log 2)b bb b +-+21log 102==-<, 所以()(2)f a f b <,所以2a b <.2()()f a f b -=22222log (2log )a b a b +-+=222222log (2log )b b b b +-+=22222log b b b --,当1b =时,2()()20f a f b -=>,此时2()()f a f b >,有2a b >当2b =时,2()()10f a f b -=-<,此时2()()f a f b <,有2a b <,所以C 、D 错误. 故选B .2. 【2020年高考全国Ⅱ卷理数】设函数()ln |21|ln |21|f x x x =+--,则f (x ) A .是偶函数,且在1(,)2+∞单调递增B .是奇函数,且在11(,)22-单调递减C .是偶函数,且在1(,)2-∞-单调递增D .是奇函数,且在1(,)2-∞-单调递减【答案】D【解析】由()ln 21ln 21f x x x =+--得()f x 定义域为12x x ⎧⎫≠±⎨⎬⎩⎭,关于坐标原点对称, 又()()ln 12ln 21ln 21ln 21f x x x x x f x -=----=--+=-,()f x ∴为定义域上的奇函数,可排除AC ;当11,22x ⎛⎫∈-⎪⎝⎭时,()()()ln 21ln 12f x x x =+--,()ln 21y x =+在11,22⎛⎫- ⎪⎝⎭上单调递增,()ln 12y x =-在11,22⎛⎫- ⎪⎝⎭上单调递减,()f x ∴在11,22⎛⎫- ⎪⎝⎭上单调递增,排除B ;当1,2x ⎛⎫∈-∞-⎪⎝⎭时,()()()212ln 21ln 12ln ln 12121x f x x x x x +⎛⎫=----==+ ⎪--⎝⎭,2121x μ=+-在1,2⎛⎫-∞- ⎪⎝⎭上单调递减,()ln f μμ=在定义域内单调递增,根据复合函数单调性可知:()f x 在1,2⎛⎫-∞- ⎪⎝⎭上单调递减,D 正确.故选D .3. 【2020山东省高三二模】已知集合{}22|1A x x y =+=,{}2|B y y x ==,则AB =( )A .[]0,1B .[)0,+∞C .{}1,1-D .{}0,1【答案】A【解析】2210,11y x x =-≥-≤≤,{}[)2|0,B y y x===+∞A B =[][)[]1,10,+=0,1=-∞故选A4. 【2020年高考全国Ⅲ卷文数】Logistic 模型是常用数学模型之一,可应用于流行病学领城.有学者根据公布数据建立了某地区新冠肺炎累计确诊病例数I (t )(t 的单位:天)的Logistic 模型:0.23(53)()=1e t I K t --+,其中K 为最大确诊病例数.当I (*t )=0.95K 时,标志着已初步遏制疫情,则*t 约为(ln19≈3) A .60B .63C .66D .69【答案】C 【解析】()()0.23531t K I t e--=+,所以()()0.23530.951t K I t K e**--==+,则()0.235319t e*-=,所以,()0.2353ln193t *-=≈,解得353660.23t *≈+≈. 故选C.5. 【2020年高考全国Ⅲ卷理数】已知55<84,134<85.设a =log 53,b =log 85,c =log 138,则A .a <b <cB .b <a <cC .b <c <aD .c <a <b【答案】A【解析】由题意可知a 、b 、()0,1c ∈,()222528log 3lg 3lg81lg 3lg8lg 3lg8lg 241log 5lg 5lg 522lg 5lg 25lg 5a b ⎛⎫⎛⎫++⎛⎫==⋅<⋅==< ⎪ ⎪ ⎪⎝⎭⎝⎭⎝⎭,a b ∴<; 由8log 5b =,得85b =,由5458<,得5488b <,54b ∴<,可得45b <; 由13log 8c =,得138c =,由45138<,得451313c <,54c ∴>,可得45c >. 综上所述,a b c <<. 故选A.6. 【2020海南省高三其他】函数()()224log log 44xf x x =⋅的最小值为( ) A .94-B .2-C .32-D .0【答案】A【解析】由题意知()f x 的定义域为(0,)+∞. 所以,()()()()2224224log log 4log log 41log 4xf x x x x =⋅=-⋅+,()()()()22222221992log 1log log log 2log 244f x x x x x x ⎛⎫=-++=--=--≥- ⎪⎝⎭故选A .7. 【2020年新高考全国Ⅰ卷】基本再生数R 0与世代间隔T 是新冠肺炎的流行病学基本参数.基本再生数指一个感染者传染的平均人数,世代间隔指相邻两代间传染所需的平均时间.在新冠肺炎疫情初始阶段,可以用指数模型:(e )rtI t =描述累计感染病例数I (t )随时间t (单位:天)的变化规律,指数增长率r 与R 0,T 近似满足R 0 =1+rT .有学者基于已有数据估计出R 0=3.28,T =6.据此,在新冠肺炎疫情初始阶段,累计感染病例数增加1倍需要的时间约为(ln2≈0.69) A .1.2天 B .1.8天 C .2.5天D .3.5天【答案】B【解析】因为0 3.28R =,6T =,01R rT =+,所以 3.2810.386r -==,所以()0.38rt t I t e e ==, 设在新冠肺炎疫情初始阶段,累计感染病例数增加1倍需要的时间为1t 天, 则10.38()0.382t t t e e +=,所以10.382t e =,所以10.38ln 2t =, 所以1ln 20.691.80.380.38t =≈≈天. 故选B.8. 【2020年高考天津】已知函数3,0,(),0.x x f x x x ⎧≥=⎨-<⎩若函数2()()2()g x f x kx x k =--∈R 恰有4个零点,则k 的取值范围是 A .1(,)(22,)2-∞-+∞ B .1(,)(0,22)2-∞-C .(,0)(0,22)-∞D .(,0)(22,)-∞+∞【答案】D【解析】注意到(0)0g =,所以要使()g x 恰有4个零点,只需方程()|2|||f x kx x -=恰有3个实根 即可, 令()h x =()||f x x ,即|2|y kx =-与()()||f x h x x =的图象有3个不同交点.因为2,0()()1,0x x f x h x x x ⎧>==⎨<⎩, 当0k =时,此时2y =,如图1,2y =与()()||f x h x x =有2个不同交点,不满足题意; 当k 0<时,如图2,此时|2|y kx =-与()()||f x h x x =恒有3个不同交点,满足题意; 当0k >时,如图3,当2y kx =-与2yx 相切时,联立方程得220x kx -+=,令0∆=得280k -=,解得k =,所以k >综上,k 的取值范围为(,0)(22,)-∞+∞.故选:D .二、多项选择题:本大题共4小题,每小题5分,共20分.在每小题给出的选项中,有多项符合题目要求,全部选对得5分,部分选对得3分,有选错的得0分.9. 【2020湖南省宁乡一中考试】定义运算()()a ab a b b a b ⎧≥⎪⊕=⎨<⎪⎩,设函数()12xf x -=⊕,则下列命题正确的有( )A .()f x 的值域为 [)1,+∞ B .()f x 的值域为 (]0,1C .不等式()()+12f x f x <成立的范围是(),0-∞D .不等式()()+12f x f x <成立的范围是()0,+∞ 【答案】AC【解析】由函数()12xf x -=⊕,有1(12)()2(12)x xxf x ---⎧≥=⎨<⎩, 即2(0)()1(0)xx f x x -⎧<=⎨≥⎩,作出函数()f x 的图像如下,根据函数图像有()f x 的值域为[1,)+∞, 若不等式()()+12f x f x <成立,由函数图像有 当210x x <+≤即1x ≤-时成立,当2010x x <⎧⎨+>⎩即10x -<<时也成立.所以不等式()()+12f x f x <成立时,0x <. 故选AC.10. 【2020·山东省高一期末】如图,某湖泊的蓝藻的面积y (单位:2m )与时间t (单位:月)的关系满足ty a =,则下列说法正确的是( )A .蓝藻面积每个月的增长率为100 %B .蓝藻每个月增加的面积都相等C .第6个月时,蓝藻面积就会超过260mD .若蓝藻面积蔓延到2222,3,6m m m 所经过的时间分别是123, , t t t ,则一定有123t t t += 【答案】ACD【解析】由图可知,函数t y a =图象经过()1,2,即12a =,则2a =,∴2ty =;∴1222t t t +-=不是常数,则蓝藻每个月的面积是上个月的2倍,则每个月的增长率为100 %,A 对、B 错;当6t =时,626460y ==>,C 对;若蓝藻面积蔓延到2222,3,6m m m 所经过的时间分别是123, , t t t ,则122t =,22 3 t =,326t =,则122223t t ⋅=⨯,即1226t t +=,则123t t t +=,D 对;故选ACD .11.【 2019山东省高三月考】函数()()1,1,ln 1,1,x e x f x x x -⎧≤⎪=⎨->⎪⎩若函数()()g x f x x a =-+只有一个零点,则a 可能取的值有( )A .2B .2-C .0D .1【答案】ABC【解析】∵()()g x f x x a =-+只有一个零点, ∴函数()y f x =与函数y x a =-有一个交点,作函数函数()()1,1,ln 1,1,x e x f x x x -⎧≤⎪=⎨->⎪⎩与函数y x a =-的图象如下,结合图象可知,当0a ≤时;函数()y f x =与函数y x a =-有一个交点; 当0a >时,ln(1)y x =-,可得11y x '=-,令111x =-可得2x =,所以函数在2x =时,直线与ln(1)y x =-相切,可得2a =.综合得:0a ≤或2a =. 故选ABC.12. 【2020年新高考全国Ⅰ卷】信息熵是信息论中的一个重要概念.设随机变量X 所有可能的取值为1,2,,n ,且1()0(1,2,,),1n i i i P X i p i n p ===>==∑,定义X 的信息熵21()log ni i i H X p p ==-∑.A .若n =1,则H (X )=0B .若n =2,则H (X )随着1p 的增大而增大C .若1(1,2,,)i p i n n==,则H (X )随着n 的增大而增大D .若n =2m ,随机变量Y 所有可能的取值为1,2,,m ,且21()(1,2,,)j m j P Y j p p j m +-==+=,则H (X )≤H (Y ) 【答案】AC【解析】对于A 选项,若1n =,则11,1i p ==,所以()()21log 10H X =-⨯=,所以A 选项正确.对于B 选项,若2n =,则1,2i =,211p p =-, 所以()()()121121X log 1log 1H p p p p =-⋅+-⋅-⎡⎤⎣⎦, 当114p =时,()221133log log 4444H X ⎛⎫=-⋅+⋅ ⎪⎝⎭, 当13p 4=时,()223311log log 4444H X ⎛⎫=-⋅+⋅ ⎪⎝⎭,两者相等,所以B 选项错误. 对于C 选项,若()11,2,,i p i n n==,则()222111log log log H X n n nn n ⎛⎫=-⋅⨯=-= ⎪⎝⎭,则()H X 随着n 的增大而增大,所以C 选项正确.对于D 选项,若2n m =,随机变量Y 的所有可能的取值为1,2,,m ,且()21j m jP Y j p p +-==+(1,2,,j m =).()2222111log log mmi i i i i iH X p p p p ===-⋅=⋅∑∑ 122221222122121111log log log log m m m mp p p p p p p p --=⋅+⋅++⋅+⋅. ()H Y =()()()122221212122211111log log log m m m m m m m m p p p p p p p p p p p p -+-++⋅++⋅+++⋅+++12222122212221221121111log log log log m m m m m mp p p p p p p p p p p p ---=⋅+⋅++⋅+⋅++++由于()01,2,,2i p i m >=,所以2111i i m i p p p +->+,所以222111log log i i m ip p p +->+, 所以222111log log i i i i m ip p p p p +-⋅>⋅+,所以()()H X H Y >,所以D 选项错误. 故选AC三、填空题:本大题共4小题,每小题5分,共20分.13. 【2020年高考江苏】已知集合{1,0,1,2},{0,2,3}A B =-=,则A B =_____.【答案】{}0,2【解析】∵{}1,0,1,2A =-,{}0,2,3B =, ∴{}0,2AB =.故答案为{}0,2.14. 【2020届上海市高三高考压轴卷数学试题】函数()lg 2cos 21y x =-的定义域是______. 【答案】5πππ5π3,,,36666⎡⎫⎛⎫⎛⎤---⎪ ⎪ ⎢⎥⎣⎭⎝⎭⎝⎦【解析】因为()lg 2cos 21y x =-,所以2902cos 210x x ⎧-≥⎨->⎩,所以331cos 22x x -≤≤⎧⎪⎨>⎪⎩,所以33ππππ,66x k x k k -≤≤⎧⎪⎨-<<+∈⎪⎩Z , 解得5π36x -≤<-或ππ66x -<<或5π36x <≤. 故答案为5πππ5π3,,,36666⎡⎫⎛⎫⎛⎤---⎪ ⎪ ⎢⎥⎣⎭⎝⎭⎝⎦.15. 【2020江苏省高三三模】已知x >1,y >1,xy =10,则14lg lg x y+的最小值是_______. 【答案】9 【解析】 【分析】依题意可得lg lg 1x y +=,再由基本不等式计算可得;【详解】解:∵10xy =,1x >,1y >,∴lg lg 1x y +=,lg 0x >,lg 0>y ,所以1414lg 4lg ()(lg lg )55lg lg lg lg lg lg y x x y x y x y x y +=++=++≥+59=+=,当且仅当lg 4lg lg lg y x x y=,即1310x =时取“=”. 故答案为916. 【2020辽宁省高三二模】已知函数()ln 2exf x x =-,则()(2)f x f x +-值为______;若19110k k f =⎛⎫⎪⎝⎭∑的值为______.【答案】2 19 【解析】()()()222()(2)lnln ln ln 22222e x e x ex ex f x f x e x x xx ⎡⎤--+-=+=⋅==⎢⎥----⎣⎦; ()191119218911110101010101010k k f f f f f =⎛⎫⎛⎫⎛⎫⎛⎫⎛⎫⎛⎫⎛⎫⎛⎫⎛⎫⎛⎫=+++++++ ⎪ ⎪ ⎪ ⎪ ⎪ ⎪ ⎪ ⎪ ⎪ ⎪⎝⎭⎝⎭⎝⎭⎝⎭⎝⎭⎝⎭⎝⎭⎝⎭⎝⎭⎝⎭∑ 29ln 19e =⨯+=.故答案为:2;19四、解答题:本大题共6小题,共70分,解答应写出文字说明,证明过程或演算步骤.17. 【2020天水市第一中学月考】已知函数f (x )=4m2x x+是奇函数. (1)求实数m 的值;(2)设g (x )=2x+1-a ,若函数f (x )与g (x )的图象至少有一个公共点,求实数a 的取值范围. 【答案】(1)1m =-(2)[)2,+∞【解析】(1)根据题意,函数()f x 为奇函数, 则(0)10f m =+=,解得1m =-(2)根据题意,函数()f x 与()g x 的图像有一个公共点,即方程14122xx xa +-=-至少有一个实根,即方程4210x x a -⋅+=至少有一个实根。
高中初等函数练习题高中初等函数练习题高中数学中的初等函数是一个重要的概念,它是数学中的基础,并在各个领域中都有广泛的应用。
初等函数包括常数函数、幂函数、指数函数、对数函数、三角函数和反三角函数等。
在学习初等函数时,掌握其性质和运算规律是非常重要的。
下面,我们来解析一些高中初等函数的练习题,帮助大家更好地理解和应用这些概念。
1. 已知函数 f(x) = 2x + 3,求 f(-2) 的值。
解析:将 x = -2 代入函数 f(x) 中,得到 f(-2) = 2(-2) + 3 = -4 + 3 = -1。
因此,f(-2) 的值为 -1。
2. 已知函数 g(x) = x^2 - 4x + 3,求 g(1) 的值。
解析:将 x = 1 代入函数 g(x) 中,得到 g(1) = 1^2 - 4(1) + 3 = 1 - 4 + 3 = 0。
因此,g(1) 的值为 0。
3. 已知函数 h(x) = 3^x,求 h(2) 的值。
解析:将 x = 2 代入函数 h(x) 中,得到 h(2) = 3^2 = 9。
因此,h(2) 的值为 9。
4. 已知函数 i(x) = log2(x),求 i(8) 的值。
解析:将 x = 8 代入函数 i(x) 中,得到 i(8) = log2(8) = 3。
因此,i(8) 的值为 3。
5. 已知函数 j(x) = sin(x),求j(π/2) 的值。
解析:将x = π/2 代入函数 j(x) 中,得到j(π/2) = sin(π/2) = 1。
因此,j(π/2) 的值为 1。
通过以上的练习题,我们可以看到初等函数的运算规律和特点。
在计算函数值时,只需将给定的自变量代入函数中即可得到相应的函数值。
这些题目涵盖到了常数函数、幂函数、指数函数、对数函数以及三角函数等不同类型的初等函数。
初等函数的研究不仅仅是为了解决数学问题,它在实际生活和科学研究中也有广泛的应用。
比如在物理学中,初等函数可以描述物体的运动规律、电路中的电流电压关系等;在经济学中,初等函数可以用来分析市场供求关系、经济增长模型等。
第二章 基本初等函数(Ⅰ)本章复习提升易混易错练易错点1 利用指数、对数运算性质进行运算时忽视公式中的限定条件导致错误 1.()下列结论中正确的个数为( )①当a <0时,(a2)32=a3;②√a n n=|a |(n >0);③函数y =(x-2)12-(3x -7)0的定义域是(2,+∞);④若100a =5,10b =2,则2a +b =1. A.0 B.1 C.2 D.3 2.()计算:(1)5log 25(1-√3)2+3log 9(1+√3)2;(2)√(-8)33+√(√3-2)44-√(2-√3)33.易错点2 研究指数、对数函数时忽视对底数分0<a <1和a >1两种情况讨论导致错误 3.(2019湖北武昌实验中学高一上期中,)若log a 12<2,则a 的取值范围是( )A.(√22,+∞)B.(0,√22) C.(√22,1) D.(0,√22)∪(1,+∞)4.()若函数f (x )=a x +log a (x +1)在[0,1]上的最大值和最小值之和为a ,则a 的值为 . 5.()已知log a (2a +1)<log a (3a -1),其中a >0且a ≠1,求实数a 的取值范围.6.()已知函数f (x )=log a (8-ax )(a >0,且a ≠1).(1)若f (x )<2,求实数x 的取值范围;(2)若f (x )>1在区间[1,2]上恒成立,求实数a 的取值范围.易错点3 研究指数、对数函数时忽视定义域与值域导致错误 7.()已知f (x )是定义在R 上的奇函数,若f (x )在(0,+∞)上是增函数,且f (13)=0,则不等式f (lo g 18x )<0的解集为 ( ) A.(0,12)B.(12,+∞) C.(12,1)∪(2,+∞) D.(0,12)∪(2,+∞) 8.()若函数f (x )=log a (6-ax )在[0,2]上为减函数,则a 的取值范围是( )A.(0,1)B.(1,3)C.(1,+∞)D.[3,+∞) 9.()若函数f (x )=lo g 12(x 2-ax +3a )在区间(2,+∞)上是减函数,则a 的取值范围为( )A.(-∞,4]B.(-4,4]C.[-4,4)D.[-4,4]10.(2020山东枣庄高一上期末,)已知f (x )={3x -4,x >1,3x ,x ≤1,若a <b ,f (a )=f (b ),则a +3b 的取值范围是 .思想方法练一、函数与方程思想在解决函数问题中的应用1.(2019湖北黄冈高一上期末,)已知函数f(x)的定义域为D,若函数f(x)满足:①f(x)在D内是单调函数;②存在区间[a,b],使f(x)在区间[a,b]上的值域为[a2,b 2 ],那么就称函数f(x)为“减半函数”.若函数f(x)=log c(2c x+t)(c>0,且c≠1)是“减半函数”,则t的取值范围为()A.(0,1)B.(0,1]C.(-∞,18) D.(0,18)2.(2020江苏镇江高一期中,)已知函数y=f(x)是二次函数,且满足f(0)=3,f(1)=f(3)=0.(1)求y=f(x)的解析式;(2)求函数y=f(log2x),x∈[2,8]的最小值;(3)若x∈[1,t](t>1),试将y=f(x)的最小值表示成关于t的函数g(t).二、数形结合思想在解决函数问题中的应用3.()如图,函数f(x)的图象为折线ACB,则不等式f(x)≥log2(x+1)的解集是()A.{x|-1<x≤0}B.{x|-1≤x≤1}C.{x|-1<x≤1}D.{x|-1<x≤2}4.()若实数a,b满足a+lg a=8,b+10b=8,则a+b=.5.()已知函数f (x )={|log 2x |,0<x ≤8,x 2-20x +99,x >8,若a ,b ,c ,d 互不相同,且a <b <c <d ,f (a )=f (b )=f (c )=f (d ),则abcd 的取值范围是 .三、分类与整合思想在解决函数问题中的应用 6.()已知函数f (x )={(a -2)x -1,x ≤1,log a x ,x >1,若f (x )在(-∞,+∞)上单调递增,则实数a 的取值范围为 ( ) A.(1,2) B.(2,3) C.(2,3]D.(2,+∞)7.(2019浙江嘉兴一中高一上期中,)设函数f (x )=e |ln x |(e 为自然对数的底数),若x 1≠x 2且f (x 1)=f (x 2),则下列结论一定不成立的是 ( ) A.x 2 f (x 1)>1 B.x 2 f (x 1)<1C.x 2 f (x 1)=1D.x 2 f (x 1)<x 1 f (x 2)8.()设函数f (x )={21-x ,x ≤1,1-log 2x ,x >1,则满足f (x )≤2的x 的取值范围是 .四、转化与化归思想在解决函数问题中的应用 9.(2019吉林省实验中学高一上期中,)定义域为R 的函数f (x ),对任意实数x 均有f (-x )=-f (x ),f (2-x )=f (2+x )成立,若当2<x <4时,f (x )=2x -3+log 2(x -1),则f (-1)= .10.(2020山东菏泽高一上期末联考,)设函数f (x )=1ex +a e x (a 为常数),若对任意x ∈R ,f (x )≥3恒成立,则实数a 的取值范围是 . 11.()若3x =4y =36,则2x +1y= .五、特殊与一般思想在解决函数问题中的应用 12.()设f (x )为定义在R 上的奇函数.当x ≥0时, f (x )=2x +2x +b (b 为常数),则f (-1)= ( ) A.1 B.-1 C.-3 D.313. ()已知定义域为R 的函数f (x )=-2x +b2x+1+a是奇函数,求a ,b 的值.答案全解全析第二章 基本初等函数(Ⅰ)本章复习提升易混易错练1.B 3.D 7.C 8.B9.D1.B ①中,当a <0时,(a 2)32=[(a 2)12]3=(-a )3=-a 3,∴①不正确;②中,若a =-2,n =3,则√(-2)33=-2≠|-2|,∴②不正确;③中,由{x -2≥0,3x -7≠0,得x ≥2且x ≠73,故其定义域为[2,73)∪(73,+∞),∴③不正确;④中,∵100a=5,即102a =5,10b =2,∴102a ×10b =102a +b =10,∴2a +b =1,∴④正确. 2.解析 (1)原式=25log 25(√3-1)+9log 9(1+√3)=√3-1+1+√3=2√3. (2)原式=-8+|√3-2|-(2-√3)=-8+2-√3-2+√3=-8.3.D 当a >1时,由log a 12<2,得log a 12<log a a 2,因此a 2>12,解得a >√22或a <-√22,又a >1,所以a >1;当0<a <1时,由log a 12<2,得log a 12<log a a 2,因此0<a 2<12,解得-√22<a <√22,且a ≠0,又0<a <1,所以0<a <√22.综上,a 的取值范围是0,√22∪(1,+∞).故选D . 易错警示由于对数函数的图象、单调性等受底数a 的影响,所以在底数未知的情况下应先讨论底数与1的大小关系,一般分0<a <1,a >1两种情况. 4.答案12解析 当a >1时,y =a x 与y =log a (x +1)在[0,1]上都是增函数,因此f (x )=a x +log a (x +1)在[0,1]上是增函数,∴f (x )max =f (1)=a +log a 2,f (x )min =f (0)=a 0+log a 1=1,∴a +log a 2+1=a ,∴log a 2=-1=log a 1a ,解得a =12(舍去); 当0<a <1时,y =a x 与y =log a (x +1)在[0,1]上都是减函数,因此f (x )=a x +log a (x +1)在[0,1]上是减函数,∴f (x )max =f (0)=a 0+log a (0+1)=1, f (x )min =f (1)=a +log a 2,∴a +log a 2+1=a ,∴log a 2=-1=log a 1a ,解得a =12. 综上所述,a =12. 易错警示解决与对数函数有关的问题时需注意两点:(1)务必先研究函数的定义域;(2)注意对数自身(如真数、底数的取值)要满足的条件,特别是在研究复合函数的单调性时,除了按照“同增异减”的规律讨论之外,还要特别注意真数大于零. 5.解析 当a >1时,原不等式等价于{2a +1<3a -1,2a +1>0,3a -1>0,所以a >2;当0<a <1时,原不等式等价于{2a +1>3a -1,3a -1>0,2a +1>0,所以13<a <1. 综上所述,a 的取值范围是13,1∪(2,+∞). 6.解析 (1)当a >1时,由f (x )<2,即log a (8-ax )<log a a 2,得0<8-ax <a 2,所以8a -a <x <8a; 当0<a <1时,由f (x )<2=log a a 2,得8-ax >a 2,所以x <8a-a. 因此当a >1时,x 的取值范围是{x|8a -a <x <8a}; 当0<a <1时,x 的取值范围是{x|x <8a-a}. (2)当a >1时,f (x )=log a (8-ax )在[1,2]上是减函数,由f (x )>1在区间[1,2]上恒成立,得f (x )min =log a (8-2a )>1,且在x ∈[1,2]上8-ax >0,即log a (8-2a )>log a a ,且8-2a >0,解得1<a <83. 当0<a <1时,f (x )=log a (8-ax )在[1,2]上是增函数,由f (x )>1在区间[1,2]上恒成立,得f (x )min =log a (8-a )>1,且在x ∈[1,2]上8-ax >0,即log a (8-a )>log a a ,且8-2a >0,所以a >4,且a <4,故a 不存在. 综上可知,实数a 的取值范围是1,83.7.C ∵f (x )是定义在R 上的奇函数,且在(0,+∞)上是增函数,f (13)=0,∴f (x )在(-∞,0)上也为增函数,f (-13)=0.画出f (x )的大致图象如图所示.结合图象,由f (lo g 18x )<0,可得0<lo g 18x <13或lo g 18x <-13,解得12<x <1或x >2,即不等式f (lo g 18x )<0的解集为(12,1)∪(2,+∞).8.B 设u =6-ax ,则函数f (x )由y =log a u ,u =6-ax 复合而成.因为a >0,所以u =6-ax 是减函数,那么函数y =log a u 就是增函数,所以a >1.因为[0,2]为定义域的子集,且u =6-ax 是减函数,所以当x =2时,u =6-ax 取得最小值,所以6-2a >0,解得a <3. 综上,得1<a <3,故选B . 9.D 设u =x 2-ax +3a ,则函数f (x )由y =lo g 12u ,u =x 2-ax +3a 复合而成.因为y =lo g 12u 是减函数,所以u =x 2-ax +3a 在(2,+∞)上单调递增, 从而a 2≤2,解得a ≤4. 又当x ∈(2,+∞)时,u =x 2-ax +3a >0, 所以当x =2时,u =4-2a +3a ≥0, 解得a ≥-4.所以-4≤a ≤4.故选D . 易错警示f (x )在(2,+∞)上为减函数,既要考虑单调性,又要考虑f (x )在(2,+∞)上有意义,解题时注意对数的真数大于0. 10.答案 (-∞,8]解析 依题意,得a ≤1<b ,由f (a )=f (b ),得3a =3b -4,即3b =3a +4. 设S =a +3b =a +3a +4.∵函数S =a +3a +4在(-∞,1]上单调递增, ∴S ≤1+31+4=8,∴S 的取值范围是(-∞,8].思想方法练1.D 3.C 6.C 7.B 12.C1.D 显然f (x )是定义域上的单调递增函数,因此,若f (x )是“减半函数”,则{f (a )=a2,f (b )=b 2,即f (x )=x2有两个不等实根.故根据函数的性质构建关于a ,b 的方程组. log c (2c x+t )=x2,即2c x+t =c x2.令c x2=u ,则u >0,且2u 2-u +t =0.依题意知方程有两个不等正根,换元后构造关于u 的一元二次方程,根据方程根的情况,应用“三个二次”的关系求解. ∴{Δ=1-4×2×t >0,t 2>0,解得0<t <18,故选D . 2.解析 (1)设函数f (x )的解析式为f (x )=ax 2+bx +c (a ≠0),设出函数f (x )=ax 2+bx +c (a ≠0),根据题意,用待定系数法求出函数的解析式. 因为f (0)=c =3,所以f (x )=ax 2+bx +3, 又f (1)=f (3)=0,所以{a +b +3=0,9a +3b +3=0,解得{a =1,b =-4.所以f (x )=x 2-4x +3.(2)令t =log 2x ,∵x ∈[2,8],∴t ∈[1,3]. 则y =t 2-4t +3=(t -2)2-1,t ∈[1,3],用换元法,令t =log 2x ,构造二次函数求最值. 所以当t =2,即x =4时,y min =-1.所以函数y =f (log 2x ),x ∈[2,8]的最小值为-1. (3)f (x )=x 2-4x +3,x ∈[1,t ](t >1),定轴动区间问题,讨论区间端点t 与对称轴的相对位置. ①当1<t ≤2时,f (x )在[1,t ]上单调递减, 所以当x =t 时,f (x )有最小值t 2-4t +3;②当t >2时,f (x )在[1,2]上单调递减,在[2,t ]上单调递增, 所以当x =2时,f (x )有最小值-1,即此时g (t )=-1.综上,g (t )={t 2-4t +3,1<t ≤2,-1,t >2.3.C 作出函数y =log 2(x +1)的图象,如图所示.借助函数的图象求解不等式.在已有折线图中画出函数y =log 2(x +1)的图象,求出交点,以交点为分界点分析不等式的解集.结合图象得,BC 所在直线的解析式为y =-x +2,由{y =-x +2,y =log2(x +1),得{x =1,y =1, ∴不等式f (x )≥log 2(x +1)的解集为{x |-1<x ≤1}.4.答案 8解析 依题意得lg a =8-a ,10b =8-b ,在同一平面直角坐标系内作出函数y =lg x ,y =10x ,y =8-x ,y =x 的图象,如图所示.由图可知,A ,B 的横坐标即为a ,b.由y =lg x 与y =10x 互为反函数知,交点A ,B 关于直线y =x 对称,故a +b =8.作出函数图象,把满足等式的a ,b 转化为函数图象交点的横坐标,结合互为反函数的图象的对称性分析坐标之间的关系. 5.答案 (96,99)解析 画出函数y =f (x )和y =t 的图象,如图所示.设a ,b ,c ,d 分别为y =f (x )的图象与直线y =t 交点的横坐标.画出函数y =f (x )与y =t 的图象,问题转化为有四个交点时,横坐标乘积的范围,结合图象利用函数的性质解决该问题.由图可知,|log 2a |=-log 2a =log 2b ,即a ·b =1,c+d 2=10,且8<c <9,所以abcd =cd =c (20-c ).令g (c )=c (20-c ),8<c <9,因为函数g (c )的图象开口向下,对称轴方程为c =10,所以g (c )在(8,9)上单调递增,g (8)<g (c )<g (9),所以g (c )∈(96,99),即abcd 的取值范围是(96,99). 6.C 因为f (x )在(-∞,+∞)上单调递增,所以{a -2>0,a >1,a -2-1≤0,故2<a ≤3.所以a 的取值范围为(2,3].根据参数a 的不同,分析各段函数的单调性,根据整个函数的单调性,分析各段函数端点处函数值之间的关系. 7.B 由题知, f (x )=e |ln x |={x ,x ≥1,1x,0<x <1.按照自变量x 的不同取值范围把f (x )化为分段函数.由x ≥1时, f (x )=x 是增函数,0<x <1时,f (x )=1x 是减函数知,0<x 1<1≤x 2或0<x 2<1≤x 1. 分析分段函数的单调性,从而确定x 1,x 2分别在两个区间内. 当0<x 1<1≤x 2时, f (x 1)=1x 1, f (x 2)=x 2, ∴x 1x 2=1,∴x 2·f (x 1)=x 2x 1>1,x 1·f (x 2)=x 1·x 2=1,从而x 2 f (x 1)>x 1 f (x 2).此时A 成立. 当0<x 2<1≤x 1时, f (x 2)=1x 2, f (x 1)=x 1, ∴x 1x 2=1,∴x 2 f (x 1)=x 2·x 1=1,x 1·f (x 2)=x 1x 2>1, 从而x 2 f (x 1)<x 1 f (x 2).此时C 、D 成立. 因此无论何种情况,B 一定不成立,故选B . 8.答案 [0,+∞)解析 当x ≤1时,令f (x )≤2,即21-x ≤2,解得x ≥0,所以0≤x ≤1; 当x >1时,令f (x )≤2,即1-log 2x ≤2,解得x ≥12,所以x >1. 综上,x 的取值范围是[0,+∞). 9.答案 -2解析 由题意得,f (-1)=-f (1)=-f (2-1)=-f (2+1)=-f (3)=-[23-3+log 2(3-1)]=-(20+log 22)=-2.要想利用已知式求值,必须把自变量转化为区间(2,4)内的数. 10.答案94,+∞解析 f (x )≥3⇔1e x +a e x ≥3⇔a ≥3e x -1(e x )2.将含参的恒成立问题通过变形转化为有关参数的不等式问题.令t =1e x ,则t >0,则a ≥3t -t 2,①设g (t )=-t 2+3t =-t -322+94,t >0, 则当t =32时,g (t )max =94. 又不等式①恒成立,∴a ≥94, 把参数满足的不等式转化为函数最值问题.故a 的取值范围是94,+∞. 11.答案 1解析 已知3x =4y =36,取以6为底的对数,将指数式化为对数式,得x log 63=y log 64=2, 应用指数与对数关系将指数式转化为对数式.∴2x =log 63,2y=log 64, 即1y =log 62,故2x +1y=log 63+log 62=1. 12.C 由f (x )是定义在R 上的奇函数知, f (0)=20+0+b =0,解得b =-1, 应用定义在R 上的奇函数的性质:f (0)=0,求b. ∴f (-1)=-f (1)=-(21+2-1)=-3,故选C .13.解析 因为f (x )是定义在R 上的奇函数,所以f (0)=0,即-1+b2+a =0,解得b =1,所以f (x )=-2x +12x+1+a .由-f (x )=f (-x ),知--2x +12x+1+a =-2-x+12-x+1+a ,化简,得2x +1+a =2+a ·2x ,即(a -2)(2x -1)=0.由(a -2)(2x -1)=0对任意x ∈R 都成立,得a =2.故a =2,b =1.思维升华在处理函数奇偶性问题时,遇到定义域为R 的奇函数,应用性质f (0)=0,可以快速找到解决问题的突破口,使复杂的问题简单化.。
数学1(必修)第二章 基本初等函数(1)
[提高训练C 组]
一、选择题 1 函数]1,0[)1(log )(在++=x a x f a x 上的最大值和最小值之和为a , 则a 的值为( ) A 41 B 2
1 C
2 D 4 2 已知log (2)a y ax =-在[0,1]上是x 的减函数,则a 的取值范围是( ) A (0,1) B (1,2) C (0,2) D ∞[2,+)
3 对于10<<a ,给出下列四个不等式
①)11(log )1(log a a a a +<+ ②)11(log )1(log a a a a +>+ ③a a a a 111++< ④a
a a a 111++>
其中成立的是( ) A ①与③ B ①与④ C ②与③ D ②与④ 4 设函数1
()()lg 1f x f x x
=+,则(10)f 的值为( ) A 1 B 1- C 10 D 10
1 5 定义在R 上的任意函数()f x 都可以表示成一个奇函数()g x 与一个 偶函数()h x 之和,如果()lg(101),x f x x R =+∈,那么( ) A ()g x x =,()lg(10101)x x h x -=++ B lg(101)()2
x x g x ++=,x lg(101)()2x h x +-= C ()2x g x =,()lg(101)2
x x h x =+- D ()2x g x =-, lg(101)()2x x h x ++= 6 若ln 2ln 3ln 5,,235
a b c ===,则( ) A a b c << B c b a << C c a b << D b a c <<
二、填空题 1 若函数(
)12log 2
2++=x ax y 的定义域为R ,则a 的范围为__________ 2 若函数()12log 2
2++=x ax y 的值域为R ,则a 的范围为__________
3 函数y =______;值域是______
4 若函数()11
x m f x a =+
-是奇函数,则m 为__________
5 求值:22log 3321272log 8-⨯+=__________ 三、解答题 1 解方程:(1)40.2540.25log (3)log (3)log (1)log (21)x x x x -++=-++
(2)2(lg )lg 1020x x x +=
2 求函数1
1
()()142x x
y =-+在[]3,2x ∈-上的值域
3 已知()1log 3x f x =+,()2log 2x g x =,试比较()f x 与()g x 的大小
4 已知()()110212x f x x x ⎛⎫=+≠ ⎪-⎝⎭
, ⑴判断()f x 的奇偶性; ⑵证明()0f x >
(数学1必修)第二章 基本初等函数(1)[提高训练C 组]
参考答案
一、选择题 1 B 当1a >时1log 21,log 21,,2
a a a a a ++==-=
与1a >矛盾; 当01a <<时11log 2,log 21,2
a a a a a ++==-=; 2 B 令[]2,0,0,1u ax a =->是的递减区间,∴1a >而0u >须 恒成立,∴min 20u a =->,即2a <,∴12a <<; 3 D 由10<<a 得111,11,a a a a
<<+<+②和④都是对的; 4 A 11(10)()1,()(10)1,(10)(10)111010
f f f f f f =+=-+=-++ 5 C ()()(),()()()()(),f x
g x
h x f x g x h x g x h x =+-=-+-=-+
()()()()()lg(101),()222x f x f x f x f x x h x g x +---==+==
6 C a b c =====
=二、填空题 1 (1,)+∞ 2210ax x ++>恒成立,则0440
a a >⎧⎨∆=-<⎩,得1a > 2 []0,1 221ax x ++须取遍所有的正实数,当0a =时,21x +符合
条件;当0a ≠时,则0440
a a >⎧⎨
∆=-≥⎩,得01a <≤,即01a ≤≤ 3 [)[)0,,0,1+∞ 111()0,()1,022x x x -≥≤≥;11()0,01()1,22
x x >≤-< 4 2 ()()11011
x x m m f x f x a a --+=+++=-- (1)20,20,21x x m a m m a -+=-==-
5 19 2
93(3)18lg1019-⨯-+=+=
三、解答题 1 解:(1)40.2540.25log (3)log (3)log (1)log (21)x x x x -++=-++ 4
0.2543213log log log ,1321
x x x x x x -++==-++ 33121x x x x -+=-+,得7x =或0x =,经检验0x =为所求 (2)2
(lg )lg lg lg lg 1020,(10)20x x x x x x x +=+=
lg lg lg 220,10,(lg )1,lg 1,x x x x x x x x +====± 10,x =1或
10,经检验10,x =1或10为所求 2 解:21111()()1[()]()14222
x x x x y =-+=-+ 2113[()],224
x =-+ 而[]3,2x ∈-,则11()842
x ≤≤ 当11()22x =时,min 34y =;当1()82
x =时,max 57y = ∴值域为3[,57]4
3 解:3()()1log 32log 21log 4
x x x f x g x -=+-=+, 当31log 04x
+>,即01x <<或43
x >时,()()f x g x >; 当31log 04x +=,即43x =时,()()f x g x =;
当31log 04x +<,即413
x <<时,()(f x g x < 4 解:(1)1121()()212221
x x x x f x x +=+=⋅-- 2121()()221221
x x x x x x f x f x --++-=-⋅=⋅=--,为偶函数 (2)21()221
x x x f x +=⋅-,当0x >,则210x ->,即()0f x >; 当0x <,则210x -<,即()0f x >,∴()0f x >。