13第8章4卷积拉氏变换的应用.
- 格式:ppt
- 大小:1.77 MB
- 文档页数:8
拉氏变换卷积定理拉氏变换是一种重要的数学工具,可以将一个时间域上的连续信号转换为一个复平面上的函数。
通过拉氏变换,我们可以更好地了解信号的频率特性和系统的稳定性。
在信号处理中,经常会用到拉氏变换卷积定理,下面我们就来详细介绍一下。
首先,我们先回顾一下卷积的定义。
对于两个函数f(t)和g(t),它们的卷积可以表示为:$h(t) = f(t) * g(t) = int_{-infty}^{infty} f(tau)g(t-tau) dtau$其中,$h(t)$表示f(t)和g(t)的卷积函数,符号*$表示卷积运算。
上式的积分区间是$(-infty, infty)$,表示整个时间轴上的积分。
接下来,我们考虑拉氏变换下的卷积定理。
设f(t)和g(t)的拉氏变换分别为F(s)和G(s),则有:$H(s) = F(s)G(s)$其中,H(s)表示f(t)和g(t)的卷积函数的拉氏变换。
这个定理表明:在拉氏变换下,卷积运算等于两个函数的拉氏变换之积。
证明如下:$h(t) = f(t) * g(t) = int_{-infty}^{infty} f(tau)g(t-tau) dtau$两边同时进行拉氏变换得到:$H(s) = mathcal{L}{f(t) * g(t)} = int_{-infty}^{infty}int_{-infty}^{infty} f(tau)g(t-tau) e^{-st} dtau dt$ 将积分顺序交换,得到:$H(s) = int_{-infty}^{infty} int_{-infty}^{infty}f(tau)g(t-tau) e^{-st} dt dtau$对内层积分进行变量代换t = t' + tau,得到:$H(s) = int_{-infty}^{infty} int_{-infty}^{infty}f(tau)g(t') e^{-s(t'+tau)} dt' dtau$对t'进行积分,得到:$H(s) = int_{-infty}^{infty} f(tau) int_{-infty}^{infty} g(t') e^{-st'} e^{-stau} dt' dtau$将$F(s) = mathcal{L}{f(t)}$和$G(s) = mathcal{L}{g(t)}$代入,得到:$H(s) = F(s)G(s)$这就是拉氏变换下的卷积定理的证明过程。
毕业设计(论文)题目:拉普拉斯变换的应用院(系)数学科学学院专业信息与计算科学届别学号姓名指导老师摘要拉普拉斯变换是重要的定理.本文首先叙述拉普拉斯变换的相关定理及其推广,然后通过了举例子的方法来列举了拉普拉斯变换在广义积分、微分方程求解中应用, 以及拉普拉斯变换的延迟性质的应用关键词:拉普拉斯变换; 拉普拉斯变换应用;拉普拉斯变换的推广.ABSTRACTThe theorem of Laplace transform is important.This paper described the related theorem and its extension of the Laplace transformation, then an example through the way of enumerating the Laplace transformation applied in the generalized integral, differential equation, and delay the nature of the application of Laplace transformKeywords:Laplace transform; Laplace transform application; A generalization of Laplace transform.目录第一章拉普拉斯变换的概念及存在定理 (4)引言 (4)1.拉普拉斯变换的定义 (4)2.拉普拉斯变换的存在定理 (4)3.拉普拉斯变换的基本性质 (6)第二章拉普拉斯变换的推广及其逆变换 (7)1.拉普拉斯变换的推广 (7)2.拉普拉斯逆变换 (7)第三章拉普拉斯变换的应用 (9)1.利用拉普拉斯变换解微分方程(组) (9)2.用拉普拉斯变换解积分方程 (12)第四章利用拉普拉斯变换求解广义积分 (13)1.主要方法及证明 (13)2.计算⎰∞0)(dtttf型积分 (15)3.计算⎰∞>)0(),(tdxxtf型积分 (16)第五章延迟性质在拉普拉斯变换中的应用 (18)结语 (20)参考文献 (21)后记 (22)第一章 拉普拉斯变换的概念及存在定理引 言复变函数论产生于18世纪,它是数论、代数、方程等理论研究中的重要方法之一,以其完美的理论与精湛的技巧成为数学的一个重要组成部分.在数学中为了把较复杂的运算转化为较简单的运算,常常采取一种变换手法,如数量乘积或商通过对数变换变成和或者差然后再作指数变换即得原来数量的乘积和商.所谓积分变换,就是通过积分运算,把一个函数变成另一个函数的变换,一般是化为含参数的积分.积分变换理论和方法不仅在数学许多分支中,而且在其他自然科学和各种工程技术领域中有广泛应用,已经成为不可缺少的运算工具 ,本论文主要总结归纳了拉普拉斯的变换几个重要方面的应用.通过本论文,不仅能使你对拉普拉斯的变换有更加深入的了解,而且能掌握其运用,增强自身的实际运用能力,使得自己对于拉普拉斯的变换有了真正意义上的掌握,而不是仅仅是停留在课本上的认识.1.拉普拉斯变换的定义:设函数ƒ(t)在[0,∞]上有定义,如果对于复参变量jw s +=β,积分dt e t f s F st -+∞⎰=0)()(在复平面s 的某一个区域内收敛,则称)(s F 为函数)(t f 的拉普拉斯变换,记为)]([£)(s f s F =;对应地,称函数)(s f 为)(s F 的拉普拉斯逆变换,记为)]([£)(-1s F t f =.同时,)(s F 和)(s f 分别被称为像函数和原函数.2.拉普拉斯变换的存在定理:若函数)(t f )满足下列条件:(1)在0≥t 的任一有限区间上连续或者分段连续;(2)当∞→t 时,)(t f 具有有限的增长性,即存在常数0>M 及0≥c ,使得 ct Me t f ≤)( )0(∞<≤x (1) 成立(其中c 称为)(t f 的增长指数,或者称)(t f 的增长是不超过指数级的).则)(t f 的拉普拉斯变换F(s)在半平面c s >)Re(上一定存在,拉普拉斯积分在c c >≥1Re 上绝对收敛而且一致收敛,并且)(s F 在c s >)Re(的半平面内解析.证 设jw s +=β,则t st e e β--=,由不等式(1),可得dt e M dt e t f s F t c st ⎰⎰+∞--+∞-≤=0)(0)()(β 又由c s >=β)Re(,即0>-c β,可知上式右端积分收敛,因此)(s F 在半平面c s >)Re(上存在.注1 上述拉普拉斯变换存在定理证明表明,一个函数即使它的绝对值随着t 的增大而增大,但只要不比某个指数函数增长得快,则它的拉普拉斯变换就存在,这一点可以从拉普拉斯的变换与傅里叶变换的关系中得到一种直观的解释.大多数物理和工程技术中常见的函数都满足存在定理的条件,因而拉普拉斯变换的应用范围较傅里叶更广泛.注2 存在定理中的条件是充分而非必要条件.例如,对于函数m t t f =)(来说,当1->m 时,拉普拉斯变换是存在的;但当21=m 时,t t f 1)(=却不满足存在定理中的条件(1),因为这时)(t f 在0=t 时为无穷大,不满足在0≥t 的任一有限区间上连续或者分段连续的要求.同理,单位脉冲函数)(t δ也不满足定理中的条件,但)(t δ的拉普拉斯变换是存在的.注3 当满足拉普拉斯变换存在定理条件的函数)(t f 在0=t 处有界时,积分dt e t f t f st ⎰+∞-=0)()]([ψ中的下限取+0或者-0不会影响其结果。
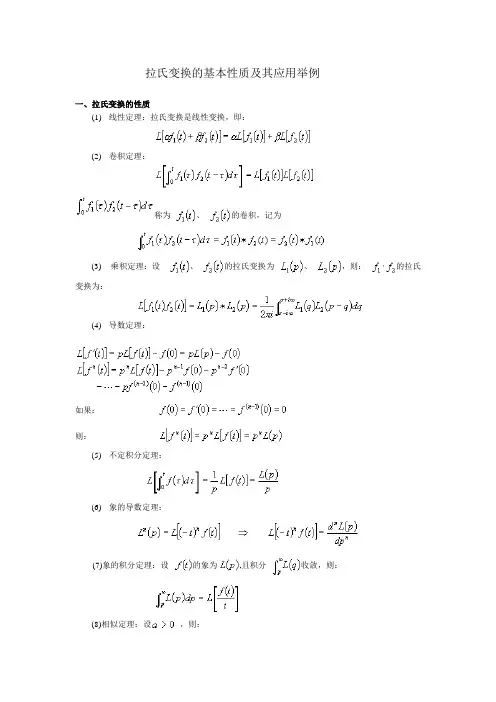
拉氏变换的基本性质及其应用举例
一、拉氏变换的性质
(1)线性定理:拉氏变换是线性变换,即:
(2)卷积定理:
称为、的卷积,记为
(3)乘积定理:设、的拉氏变换为、,则:的拉氏变换为:
(4)导数定理:
如果:
则:
(5)不定积分定理:
(6)象的导数定理:
(7)象的积分定理:设的象为,且积分收敛,则:
(8)相似定理:设,则:
(9)位移定理:
(10)延迟定理:设,则:
二、用拉氏变换求解常微分方程及积分方程举例
例1、求解初值问题:
解:对方程两端作拉普拉斯变换:
即:
将上式两端反演,即:
从例1中可得出运用拉普拉斯变换求解微分方程,积分方程的步骤可归纳为:
(1)对方程施行拉普拉斯变换,这变换把初始条件一同考虑。
(2)从变换后的方程中解出象函数。
(3)对求出的象函数进行反演,原函数就是原方程的解。
例2 求解交流RL电路的方程:
解:对方程两边作拉普拉斯变换
将上式两端反演得:
由卷积定理得:
所得结果第一部分代表一个稳定的(幅度不变的)振荡,第二部分则是随时间而衰减的.例3 求解
解:对该方程施行拉普拉斯变换后得:
记
将上式反演,设:
则
则由卷积定理得:
而:
例4 求解方程组:
解:对方程组施行拉氏变换得:
记:
两式相加减得:
将上方程组反演:
例5 求解积分方程
解:对方程两端施行拉氏变换
即:
进行反演:
例6 用拉普拉斯变换求积分:
解:当
进:对积分进行拉普拉斯变换
反演得:
当
时,作变换。
§2-3拉普拉斯变换及其应用时域的函数可以通过线性变换的方法在变换域中表示,变换域的表示有时更为简捷、方便。
例如控制理论中常用的拉普拉斯变换,简称拉氏变换,就是其中的一种。
一、拉氏变换的定义已知时域函数,如果满足相应的收敛条件,可以定义其拉氏变换为(2-45)式中,称为原函数,称为象函数,变量为复变量,表示为(2-46)因为是复自变量的函数,所以是复变函数。
有时,拉氏变换还经常写为(2-47)拉氏变换有其逆运算,称为拉氏反变换,表示为(2-48)上式为复变函数积分,积分围线为由到的闭曲线。
二、常用信号的拉氏变换系统分析中常用的时域信号有脉冲信号、阶跃信号、正弦信号等。
现复习一些基本时域信号拉氏变换的求取。
(1)单位脉冲信号理想单位脉冲信号的数学表达式为(2-49)且(2-50)所以(2-51)说明:单位脉冲函数可以通过极限方法得到。
设单个方波脉冲如图2-13所示,脉冲的宽度为,脉冲的高度为,面积为1。
当保持面积不变,方波脉冲的宽度趋于无穷小时,高度趋于无穷大,单个方波脉冲演变成理想的单位脉冲函数。
在坐标图上经常将单位脉冲函数表示成单位高度的带有箭头的线段。
由单位脉冲函数的定义可知,其面积积分的上下限是从到的。
因此在求它的拉氏变换时,拉氏变换的积分下限也必须是。
由此,特别指明拉氏变换定义式中的积分下限是,是有实际意义的。
所以,关于拉氏变换的积分下限根据应用的实际情况有,,三种情况。
为不丢掉信号中位于处可能存在的脉冲函数,积分下限应该为。
(2)单位阶跃信号单位阶跃信号的数学表示为(2-52)又经常写为(2-53)由拉氏变换的定义式,求得拉氏变换为(2-54)因为阶跃信号的导数在处有脉冲函数存在,所以单位阶跃信号的拉氏变换,其积分下限规定为。
(3)单位斜坡信号单位斜坡信号的数学表示为(2-55)图2-15单位斜坡信号另外,为了表示信号的起始时刻,有时也经常写为(2-56)为了得到单位斜坡信号的拉氏变换,利用分部积分公式得(2-57)(4)指数信号指数信号的数学表示为(2-58)拉氏变换为(2-59)(5)正弦、余弦信号正弦、余弦信号的拉氏变换可以利用指数信号的拉氏变换求得。
第八章拉普拉斯变换(10学时)教学目的:掌握拉普拉斯变换的定义、性质和反变换的应用,主要掌握运算电路图的画法,熟练掌握用拉普拉斯变换分析电路;掌握跃变的概念,了解卷积和网络函数的应用。
教学重点:拉普拉斯变换的定义、性质和反变换的应用;运算电路图的画法;用拉普拉斯变换分析线性电路;网络函数(加冲激函数)和卷积的概念。
教学难点:拉普拉斯反变换(单根、复根、重根);运算电路图;复频域分析法;卷积。
8-1拉普拉斯变换定义和性质(2学时)(教材第215页)教学目的:拉普拉斯变换的定义,基本性质及9个性质的应用。
教学重点:拉普拉斯正变换,拉普拉斯变换存在的条件,拉普拉斯反变换,9个性质的证明及应用。
教学难点:线性性质,微分性质。
积分性质,延时性质的证明及应用。
教学方法:1、板书讲述拉普拉斯变换的定义,交代复频域的概念。
2、拉普拉斯变换存在的条件。
3、拉普拉斯反变换。
4、9个性质的推导、证明及应用举例。
5、例题和练习题,见备课笔记。
教具:《电路》CAI课件,网络课件中的拉普拉斯变换部分,邱关源第四版教材及其他参考书。
教学过程:基本性质,拉普拉斯正变换,拉普拉斯变换存在的条件,拉普拉斯反变换,9个性质的证明及应用,部分举例、练习题见备课笔记。
拉普拉斯拉斯变换的基本性质引言拉普拉斯拉斯变换可用于求解常系数线性微分方程,是研究线性系统的一种有效而重要的工具。
拉普拉斯拉斯变换是一种积分变换,它把时域中的常系数线性微分方程变换为复频域中的常系数线性代数方程。
因此,进行计算比较简单,这正是拉普拉斯拉斯变换(简称:拉氏变换)法的优点所在。
拉普拉斯拉斯变换的定义一个定义在区间的函数,其拉氏变换定义为L[f(t)]=F(s)=式中:s=б+jω为复数,有时称变量S为复频域。
应用拉普拉斯拉斯变换进行电路分析有称为电路的复频域分析,有时称为运算法F(s)又称为f(t)的象函数,而f(t)称为F(s)的原函数。
通常用“L[ ]”表示对方括号内的函数作拉氏变换。
拉氏变换什么是拉氏变换拉氏变换(Laplace Transform)是一种将函数从时间域转换到复频域的数学工具。
它在工程学科和物理学中有广泛的应用,特别是在控制系统分析和信号处理领域。
拉氏变换通过积分运算将一个函数从时间域(t-domain)变换到频域(s-domain),其中s是一个复变量。
拉氏变换的定义给定一个函数f(t),其拉氏变换F(s)定义为:F(s) = L{f(t)} = ∫[0, ∞] e^(-st) f(t) dt这里,s是复变量,e是自然对数的底数,t表示时间。
拉氏变换的性质拉氏变换具有许多有用的性质,以下是一些常见的性质:1.线性性质:L{af(t) + bg(t)} = aF(s) + bG(s),其中a和b是常数。
2.移位性质:L{f(t - a)} = e^(-as)F(s),其中a是常数。
3.初值定理:lim_[s→∞] sF(s) = f(0),其中f(0)是函数f(t)在t=0时的初值。
4.终值定理:lim_[s→0] sF(s) = lim_[t→∞] f(t),即函数f(t)在t→∞时的极限等于F(s)在s=0时的极限。
这些性质使得拉氏变换成为了解决微分方程问题以及计算复杂电路的有效工具。
拉氏变换的应用1. 信号处理在信号处理领域,拉氏变换用于分析和处理连续时间信号。
通过将信号从时间域转换到频域,可以更好地理解信号的频谱特性,并进行滤波、降噪、调制等处理。
2. 控制系统在控制系统分析中,拉氏变换被广泛用于研究和设计控制系统的性能和稳定性。
通过将控制系统表示为拉氏域的传输函数,可以方便地进行频率响应、稳定性分析和控制器设计。
3. 电路分析在电路分析中,拉氏变换用于求解电路的幅频特性、相频特性和传输函数。
通过将电路中的电压和电流转换到拉氏域,可以更方便地进行复杂电路的分析和计算。
4. 信号传输拉氏变换在信号传输中的应用非常广泛。
信号的拉氏变换可以帮助我们理解信号在传输过程中的衰减、失真和干扰等问题,从而优化信号传输的方案。
控制原理补充讲义——拉氏变换拉氏变换是控制工程中的一个基本数学方法,其优点是能将时间函数的导数经拉氏变换后,变成复变量S的乘积,将时间表示的微分方程,变成以S表示的代数方程。
一、拉氏变换与拉氏及变换的定义1、拉氏变换:设有时间函数,其中,则f(t)的拉氏变换记作:称L—拉氏变换符号;s-复变量; F(s)—为f(t)的拉氏变换函数,称为象函数。
f(t)—原函数拉氏变换存在,f(t)必须满足两个条件(狄里赫利条件):1)在任何一有限区间内,f(t)分断连续,只有有限个间断点。
2)当时,,M,a为实常数。
2、拉氏反变换:将象函数F(s)变换成与之相对应的原函数f(t)的过程。
—拉氏反变换符号关于拉氏及变换的计算方法,常用的有:①查拉氏变换表;②部分分式展开法。
二、典型时间函数的拉氏变换在控制系统分析中,对系统进行分析所需的输入信号常可化简成一个或几个简单的信号,这些信号可用一些典型时间函数来表示,本节要介绍一些典型函数的拉氏变换。
注意:六大性质一定要记住1.单位阶跃函数2.单位脉冲函数3.单位斜坡函数4.指数函数5.正弦函数sinwt由欧拉公式:所以,6.余弦函数coswt其它的可见下表:拉氏变换对照表三、拉氏变换的性质1、线性性质若有常数k1,k2,函数f1(t),f2(t),且f1(t),f2(t)的拉氏变换为F1(s),F2(s),则有:,此式可由定义证明。
2、位移定理(1)实数域的位移定理若f(t)的拉氏变换为F(s),则对任一正实数a有,其中,当t<0时,f(t)=0,f(t-a)表示f(t)延迟时间a.证明:,令t-a=τ,则有上式=例:求其拉氏变换(2)复数域的位移定理若f(t)的拉氏变换为F(s),对于任一常数a,有证:例:求的拉氏变换3、微分定理设f(t)的拉氏变换为F(s),则其中f(0+)是由正向使的f(t)值。
证:同理可推广到n阶:当初始条件为0时,即则有4、积分定理设f(t)的拉氏变换为F(s),则,其中时的值。
拉普拉斯变换的应用-拉普拉斯变换的应用拉普拉斯变换在许多领域中都有着重要的作用,在工程学上应用拉普拉斯变换解常变量齐次微分方程,可以将微分方程化为代数方程,使问题得以解决。
在工程学上,拉普拉斯变换的重大意义在于:将一个信号从时域上,转换为复频域(s域)上来表示;在线性系统,控制自动化上都有广泛的应用。
在计算机图像处理方面,拉普拉斯变换在Matlab 上的拉普拉斯算子在图像处理上有很强的应用性,例如:在图像的边缘检测、对图像进行拉普拉斯锐化、对图像进行滤波等。
二•拉普拉斯变换在图像处理方面的应用计算机进行图像处理一般有两个目的:(1)产生更适合人观察和识别的图像。
⑵ 希望能由计算机自动识别和理解图像。
数字图像的边缘检测是图像分害IJ、目标区域的识别、区域形状提取等图像分析领域的重要基础,图像处理和分析的第一步往往就是边缘检测。
物体的边缘是以图像的局部特征不连续的形式出现的,也就是指图像局部亮度变化最显著的部分,例如灰度值的突变、颜色的突变、纹理结构的突变等,同时物体的边缘也是不同区域的分界处。
图像边缘有方向和幅度两个特性,通常沿边缘的走向灰度变化平缓,垂直于边缘走向的像素灰度变化剧烈。
根据灰度变化的特点,图像边缘可分为阶跃型、房顶型和凸缘型。
首先要研究图像边缘检测,就要先研究图像去噪和图像锐化。
前者是为了得到飞更真实的图像,排除外界的干扰,后者则是为我们的边缘检测提供图像特征更加明显的图片,即加大图像特征。
早期的经典算法有边缘算子法、曲面拟合法、模版匹配法等。
经典的边缘检测算法是对原始图像中像素的某小领域米构造边缘检测算子,常用的边缘检测算子有Roberts算子、Sobel算子、Laplacian算子、Canny 算子等。
三•应用步骤用拉普拉斯变换进行数字图像处理,需要借用计算机上的Matlab软件去进行程序编码和运行来实现。
下边是应用步骤:(一)、选好需要进行处理的照片,用拉普拉斯算子实现数字图像的边缘检测。