(完整版)导数单元测试题(含答案)
- 格式:doc
- 大小:1.36 MB
- 文档页数:8
导数单元测试题(实验班用)一、选择题1.曲线323y x x =-+在点(1,2)处的切线方程为( )A .31y x =-B .35y x =-+C .35y x =+D .2y x = 2.函数21()e x f x x +=⋅,[]1,2-∈x 的最大值为( ).A .14e -B . 0C .2eD . 23e 3.若函数3()3f x x x a 有3个不同的零点,则实数a 的取值范围是( )A.(2,2)B.2,2C.(,1)D.(1,)4.若函数3()63f x x bx b 在(0,1)内有极小值,则实数b 的取值范围是( )A.1(0,)2B. (,1)C. (0,)D. (0,1)5.若2a >,则函数321()13f x x ax 在区间(0,2)上恰好有( )A .0个零点B .3个零点C .2个零点D .1个零点6.曲线xy e =在点2(2)e ,处的切线与坐标轴所围三角形的面积为( )A.294eB.22eC.2eD.22e7.函数()f x 的图象如图所示,下列数值排序正确的是( ).A .(3)(2)0(2)(3)32f f f f -''<<<-B .(3)(2)0(3)(2)32f f f f -''<<<-C . (3)(2)0(3)(2)32f f f f -''<<<-D .(3)(2)0(2)(3)32f f f f -''<<<-8设(),()f x g x 分别是R 上的奇函数和偶函数, 当0x时,''()()()()0f x g x f x g x ,且(3)0g ,则不等式()()0f x g x 解集是( )A .(3,0)(3,) B .(3,0)(0,3) C .(,3)(3,) D .(,3)(0,3)9.已知函数ln ln ()a x f x x+=在1,上为减函数,则实数a 的取值范围是( )A .ae B .0a e C .a eD .10ea <<10.若函数)(x f 的导数是)1()(+-='x x x f ,则函数()(1)g x f x =--的单调减区间是( )A .(1,0)-B .(,1),(0,)-∞-+∞C .(2,1)--D .(,2),(1,)-∞--+∞11.已知二次函数2()f x ax bx c =++的导数为'()f x ,'(0)0f >,对于任意实数x 都有()0f x ≥,则(1)'(0)f f 的最小值为( ) A .3 B .52 C .2 D .3212.已知函数2()ln 22a f x x x x =--存在单调递减区间,则a 的取值范围是( )(A)[1,)-+∞ (B) (1,)-+∞ (C) (,1)-∞- (D) (,1]-∞- 二、填空题13.若函数2()2ln f x x x =-在其定义域内的一个子区间(1,1)k k -+内不是单调函数,则实数k 的取值范围是 . 14.点P 在曲线323+-=x x y 上移动,设在点P 处的切线的倾斜角为为α,则α的取值范围是15.已知函数3()128f x x x =-+在区间[3,3]-上的最大值与最小值分别为,M m ,则M m -=_________16.已知函数()f x 的定义域为[]15,-,部分对应值如下表,()f x 的导函数()y f x '=的图象如图所示. 下列关于()f x 的命题: ①函数()f x 的极大值点为0,4; ②函数()f x 在[]02,上是减函数;③如果当[]1x ,t ∈-时,()f x 的最大值是2,那么t 的最大值为4; ④当12a <<时,函数()y f x a =-有4个零点; ⑤函数()y f x a =-的零点个数可能为0,1,2,3,4个. 其中正确命题的序号是 . 三、解答题17.已知函数)0()(23≠++=a cx bx ax x f ,当1-=x 时()f x 取得极值5,且11)1(-=f .(1)求()f x 的单调区间和极小值;(2)证明对任意12,x x )3,3(-∈,不等式32|)()(|21<-x f x f 恒成立. 18.已知函数)1ln(2)(2++=x ax x f ,其中a 为实数. (1)若()f x 在1=x 处有极值,求a 的值;(2) 若()f x 在]32[,上是增函数,求a 的取值范围. 19.已知函数2()ln(1)()f x x ax a x a R =---∈. (1)当1=a 时,求函数)(x f 的最值; (2)求函数)(x f 的单调区间.-1 0 4 5122120.某食品厂进行蘑菇的深加工,每公斤蘑菇的成本20元,并且每公斤蘑菇的加工费为t 元(t 为常数,且25)t ≤≤,设该食品厂每公斤蘑菇的出厂价为x 元(2540x ≤≤),根据市场调查,日销售量q 与e x成反比,当每公斤蘑菇的出厂价为30元时,日销售量为100公斤.(1)求该工厂的每日利润y 元与每公斤蘑菇的出厂价x 元的函数关系式;(2)若5=t ,当每公斤蘑菇的出厂价x 为多少元时,该工厂的利润y 最大,求最大值. 21.已知函数1ln ()x f x x+=.(1)若函数在区间1(,)2a a +(0)a >上存在极值,求实数a 的取值范围;(2)如果当1≥x 时,不等式()1≥k f x x +恒成立,求实数k 的取值范围.22.设函数2()(1)2ln(1).f x x x =+-+ (1)求函数()f x 的单调区间;(2)当11,1xe e时,()f x m 不等式<恒成立,求实数m 的取值范围; (3)若关于x 的方程2()f x x x a =++在0,2上恰有两个相异实根,求实数a 的取值范围.导数单元测试题答案一、选择题 ACAAD DBDAA CB 二、填空题13.312k14.30,,2415.32 16. ①②⑤三、解答题17.解:(1)2()32(0)f x ax bx c a '=++≠,由题意得(1)11(1)5(1)0f f f =-⎧⎪-=⎨⎪'-=⎩ ,即115320a b c a b c a b c ++=-⎧⎪-+-=⎨⎪-+=⎩ ,解得139a b c =⎧⎪=-⎨⎪=-⎩,,.因此x x x x f 93)(23--=,2()3693(1)(3)f x x x x x '=--=+-.当 ),3()1,(+∞--∞∈ x 时,'()0f x >;当)3,1(-∈x 时,'()0f x <. 所以函数()f x 的单调增区间为)1,(--∞和),3(+∞;单调减区间为)3,1(-. 故函数()f x 在3=x 处取得极小值,()(3)27f x f ==-极小值.(2)由(Ⅰ)知32()39f x x x x =--在)1,3(--上递增,在)3,1(-上递减, 所以max ()(1)5f x f =-=;min ()(3)27f x f =±=-.所以,对任意12,x x )3,3(-∈恒有 12|()()||5(27)|32f x f x -<--=. 18.解:(1)由已知得()f x 的定义域为)1(∞+-,. 又2()2,1f x ax x '=++ 因为()f x 在1=x 处有极值,(1)210f a '∴=+=,解之得 1.2a =-(2)依题意得()0≥f x '对[23]x ∀∈,恒成立,即 201≥ax x 2++对[23]x ∀∈,恒成立. 221111()24a x x x ∴>=---++ 对[23]x ∀∈,恒成立. 41)21(12++-∴x 11[,],612∈-- 112≥a ∴-.19.解:(1)函数2()ln(1)()f x x ax a x a =---∈R 的定义域是(1,)+∞.当1a =时,32()12()2111x x f x x x x -'=--=--, 所以()f x 在3(1,)2为减函数在3(,)2+∞为增函数,所以函数()f x 的最小值为33()ln 224f =+.(2)22()2()211a x x a f x x a x x +-'=--=--, ①若0a ≤时,则22()221,()21a x x a f x x +-+=-≤>0在(1,)+∞恒成立, 所以()f x 的增区间为(1,)+∞.②若20,12a a +>>则,故当2(1)2a x +∈,,22()2()01a x x f x x +-'=-≤; 当2[,)2a x +∈+∞时,22()2()01a x x f x x +-=-≥. 所以当0a >时,()f x 的减区间为2(1,)2a +,()f x 的增区间为2(,)2a ++∞.20.解:(1)设日销量3030,100,100e e e则x k k q k ==∴=, ………………2分所以日销量30100e e xq =.30100e (20)(2540)e x x t y x --∴=≤≤.………………7分(2)当5=t 时,30100e (25)e xx y -=.………………8分30100e (26)e xx y -'∴=. ………………9分026由得y x '≥≤,026由得,y x '≤≥4max 26,100e 当时x y ∴==.………………11分当每公斤蘑菇的出厂价为26元时,该工厂的利润最大,最大值为4100e 元.……12分 21.解:(Ⅰ)因为1ln ()x f x x +=, x >0,则2ln ()x f x x'=-,当01x <<时,()0f x '>;当1x >时,()0f x '<. 所以()f x 在(0,1)上单调递增;在(1,)+∞上单调递减, 所以函数()f x 在1x =处取得极大值. 因为函数()f x 在区间1(,)2a a +(其中0a >)上存在极值,所以1,11,2a a <⎧⎪⎨+>⎪⎩ 解得112a <<. (Ⅱ)不等式(),1k f x x +≥即为(1)(1ln ),x x k x ++≥记(1)(1ln )(),x x g x x ++=则min (), 1.k g x x ≤≥所以2[(1)(1ln )](1)(1ln )()x x x x x g x x '++-++'=2ln x xx -=. 令()ln h x x x =-,则1()1h x x'=-,1x ≥,()0,h x '∴≥[()h x ∴在[1,)+∞上单调递增,min ()(1)10h x h ∴==>,从而()(1)0h x h >≥,所以()0g x '>,故()g x 在[1,)+∞上也单调递增, 所以min ()(1)2g x g ==. 所以2k ≤.22.解:(2)函数的定义域为(1,).-+∞。
高二数学导数单元测试题(有答案)(一).选择题(1)曲线3231y x x =-+在点(1,-1)处的切线方程为( )A .34y x =-B 。
32y x =-+C 。
43y x =-+D 。
45y x =- a(2) 函数y =a x 2+1的图象与直线y =x 相切,则a = ( )A .18 B .41 C .21D .1 (3) 函数13)(23+-=x x x f 是减函数的区间为( )A .),2(+∞B .)2,(-∞C .)0,(-∞D .(0,2)(4) 函数,93)(23-++=x ax x x f 已知3)(-=x x f 在时取得极值,则a = ( )A .2B .3C .4D .5(5) 在函数x x y 83-=的图象上,其切线的倾斜角小于4π的点中,坐标为整数的点的个数是 ( )A .3B .2C .1D .0(6)函数3()1f x ax x =++有极值的充要条件是 ( )A .0a >B .0a ≥C .0a <D .0a ≤ (7)函数3()34f x x x =- ([]0,1x ∈的最大值是( )A .12B . -1C .0D .1 (8)函数)(x f =x (x -1)(x -2)…(x -100)在x =0处的导数值为( )A 、0B 、1002C 、200D 、100! (9)曲线313y x x =+在点413⎛⎫⎪⎝⎭,处的切线与坐标轴围成的三角形面积为( ) A.19 B.29 C.13 D.23(二).填空题(1).垂直于直线2x+6y +1=0且与曲线y = x 3+3x -5相切的直线方程是 。
(2).设 f ( x ) = x 3-21x 2-2x +5,当]2,1[-∈x 时,f ( x ) < m 恒成立,则实数m 的取值范围为 .(3).函数y = f ( x ) = x 3+ax 2+bx +a 2,在x = 1时,有极值10,则a = ,b = 。
导数练习题(含标准答案)选择题:1.已知 $f(x)=ax+3x+2$,若 $f'(-1)=4$,则 $a$ 的值等于$\frac{19}{3}$。
2.已知直线$y=kx+1$ 与曲线$y=x+ax+b$ 切于点$(1,3)$,则 $b$ 的值为 $-3$。
3.$(x+2a)(x-a)$ 的导数为 $3x$,则函数 $y$ 可以表示为$3(x^2-a^2)$。
4.曲线 $y=\frac{1}{9}x+\sqrt{x}$ 在点$(1,\frac{4}{3})$ 处的切线与坐标轴围成的三角形的面积为$\frac{1}{2}$。
5.已知二次函数 $y=ax^2+bx+c$ 的导数为 $f'(x)$,$f'(0)>0$,对于任意实数 $x$,有 $f(x)\geq f(1)$,则最小值为$\frac{3}{2}$。
6.已知函数 $f(x)$ 在 $x=1$ 处的导数为 $3$,则 $f(x)$ 的解析式可能为 $f(x)=2(x-1)$。
7.下列求导数运算正确的是:$(x+\sqrt{x})' =1+\frac{1}{2\sqrt{x}}$。
8.曲线 $y=2x-x^2+5$ 在 $x=1$ 处的切线的倾斜角为 $-\frac{\pi}{3}$。
9.曲线 $y=x^3-3x^2+5$ 在点 $(1,3)$ 处的切线方程为 $y=-2x+5$。
10.设函数 $y=x\sin x+\cos x$ 的图像上的点 $(x,y)$ 处的切线斜率为 $k$,若 $k=g(x)$,则函数 $k=g(x)$ 的图像大致为$y=\cos x$。
11.一质点的运动方程为 $s=5-3t$,则在一段时间$[1,1+\Delta t]$ 内相应的平均速度为 $-3\Delta t+6$。
12.曲线 $f(x)=\ln(2x-1)$ 上的点到直线 $2x-y+3=0$ 的最短距离是 $5$。
导数测试试卷及答案(总5页)--本页仅作为文档封面,使用时请直接删除即可----内页可以根据需求调整合适字体及大小--导数测试试卷 第I 卷(选择题,共60分)一 、本题共12小题,每小题5分,共60分,在每小题给出的四个选项中,只有一个选项符合题目要求的。
1.函数y =2)13(1-x 的导数是 A.3)13(6-x B.2)13(6-x C.-3)13(6-x D.-2)13(6-x2.若f (x )在[a ,b ]上连续,在(a ,b )内可导,且x ∈(a ,b )时,f ′(x )>0,又f (a )<0,则(x )在[a ,b ]上单调递增,且f (b )>0 (x )在[a ,b ]上单调递增,且f (b )<0 (x )在[a ,b ]上单调递减,且f (b )<0(x )在[a ,b ]上单调递增,但f (b )的符号无法判断 3.若f (x )=sin α-cos x ,则f ′(α)等于α α α+cos α α4下列说法正确的是.A.当f ′(x 0)=0时,则f (x 0)为f (x )的极大值B.当f ′(x 0)=0时,则f (x 0)为f (x )的极小值C.当f ′(x 0)=0时,则f (x 0)为f (x )的极值D.当f (x 0)为函数f (x )的极值且f ′(x 0)存在时,则有f ′(x 0)=0 5.下列说法正确的是A.函数的极大值就是函数的最大值B.函数的极小值就是函数的最小值C.函数的最值一定是极值D.在闭区间上的连续函数一定存在最值6.物体运动方程为s =41t 4-3,则t =5时的瞬时速率为m/s m/s m/s m/s7. 下列求导运算正确的是 ( )A.211()1x x x B.21(log )ln 2x x C. 2(cos )2sin x x x x D. 3(3)3log x x e8. 函数21x y x的导数为 ( )A.2221(1)x yx B.3211x x yx C.2211x yx D.211x y x 9.下列求导数运算正确的是 A.(x +x 1)′=1+21xB.(log 2x )′=2ln 1xC. (3x )′=3x log 3eD.(x 2cos x )′=-2x sin x 10.过曲线y =11+x 上点P (1,21)且与过P 点的切线夹角最大的直线的方程为-8x +7=0+8x +7=0 +8x -9=0-8x +9=011.函数y =sin32x 的导数为 (cos32x )·32x ·ln3B.(ln3)·32x ·cos32x·cos32x12.已知函数)(()(x f x f x y ''=其中的图象如右图所示))(的导函数是函数x f ,下面四个图象中)(x f y =的图象大致是 ( )A B C D第II 卷(非选择题,共90分)二 填空题:本题共4小题,共16分,把答案填在题中的横线上13.函数y =(1+sin3x )3是由___________两个函数复合而成. 14.函数f (x )=cos 2x 的单调减区间是___________.15.与直线2x -6y +1=0垂直,且与曲线y =x 3+3x 2-1相切的直线方程是____ 16.函数y =2x 3-3x 2-12x +5在[0,3]上的最小值是___________ 三 解答题:本 大题共6小题,共74分,解答应写出文字说明,证明过程或演算步骤。
导数概念及其几何意义、导数的运算一、选择题:1 已知,若,则a 的值等于32()32f x ax x =++(1)4f '-=ABCD1931031631332 已知直线与曲线,则b 的值为1y kx =+3y x ax b =++切于点(1,3)A3B-3C5D-53 函数的导数为2y x a a =+2()(x-)ABCD 222()x a -223()x a +223()x a -222()x a +4 曲线在点处的切线与坐标轴围成的三角形的面积为313y x x =+4(1,)3A B C D192913235已知二次函数的导数为,对于任意实数x ,有,则2y ax bx c =++(),(0)0f x f ''>()0f x ≥的最小值为(1)(0)f f 'A3BC 2 D52326 已知函数在处的导数为3,则的解析式可能为()f x 1x =()f x A B2()(1)3(1)f x x x =-+-()2(1)f x x =-CD 2()2(1)f x x =-()1f x x =-7 下列求导数运算正确的是AB211(1x x x'+=+21(log )ln 2x x '=CD 3(3)3log x x e '=⋅2(cos )2sin x x x x'=-8 曲线在处的切线的倾斜角为32153y x x =-+1x =AB C D6π34π4π3π9 曲线在点处的切线方程为3231y x x =-+(1,1)-A BCD 34y x =-32y x =-+43y x =-+45y x =-10设函数的图像上的点处的切线斜率为k ,若,则函数的sin cos y x x x =+(,)x y ()k g x =()k g x =图像大致为11 一质点的运动方程为,则在一段时间内相应的平均速度为253s t =-[1,1]t +∆ABCD 36t ∆+36t -∆+36t ∆-36t -∆-12 曲线上的点到直线的最短距离是()ln(21)f x x =-230x y -+=ABCD 013 过曲线上的点的切线平行于直线,则切点的坐标为32y x x =+-0P 41y x =-0P A B(0,1)(1,0)-或(1,4)(1,0)--或CD (1,4)(0,2)---或(2,8)(1,0)或14 点P 在曲线上移动,设点P 处切线的倾斜角为,则角的取值范围是323y x x =-+ααABC D [0,]2π3[0,)[,)24πππ 3[,)4ππ3(,]24ππ二、填空题15 设是二次函数,方程有两个相等实根,且,则的表达式()y f x =()0f x =()22f x x '=+()y f x =是______________16 函数的导数为_________________________________2sin x y x=17 已知函数的图像在点处的切线方程是,则_________()y f x =(1,(1))M f 122y x =+(1)(1)f f '+=18 已知直线与曲线有公共点,则k 的最大值为___________________________y kx =ln y x =三、解答题19 求下列函数的导数(1)(2) (3)(4) 1sin 1cos xy x-=+y =y =+tan y x x =⋅20 已知曲线与,直线与都相切,求直线的方程21:C y x =22:(2)C y x =--l 12,C C l 21 设函数,曲线在点处的切线方程为()bf x ax x=-()y f x =(2,(2))f74120x y --=(1)求的解析式()f x(2)证明:曲线上任一点处的切线与直线和直线所围成的三角形面积为定值,并()y f x =0x =y x =求此定值。
导数单元测试【检测试题】 一、选择题1. 设函数()y f x =可导,则0(1)(1)lim 3x f x f x∆→+∆-∆等于( ).A .'(1)fB .3'(1)fC .1'(1)3f D .以上都不对2. 已知函数f (x )=ax 2+c ,且(1)f '=2,则a 的值为( )B.2C.-1D. 03 .()f x 与()g x 是定义在R 上的两个可导函数,若()f x ,()g x 满足''()()f x g x =,则()f x 与()g x 满足( )A ()f x =2()g xB ()f x -()g x 为常数函数)C ()f x =()0g x =D ()f x +()g x 为常数函数4.三次函数x ax y +=3在()+∞∞-∈,x 内是增函数,则 ( )A . 0>aB .0<aC .1=aD .31=a 5.已知函数y =x 3-3x+c 的图像与x 恰有两个公共点,则c =( ) (A )-2或2 (B )-9或3 (C )-1或1 (D )-3或1 6.0'()f x =0是可导函数y =f(x)在点x =x 0处有极值的 ( )A .充分不必要条件B .必要不充分条件C .充要条件D .非充分非必要条件 7.曲线3()2f x x x在0p 处的切线平行于直线41y x ,则0p 点的坐标为( )A (1,0)B (2,8)C (1,0)和(1,4)--D (2,8)和(1,4)--·8.设函数()f x 在R 上可导,其导函数为,()f x ,且函数)(')1(x f x y -=的图像如题(8)图所示,则下列结论中一定成立的是( ) (A )函数()f x 有极大值(2)f 和极小值(1)f (B )函数()f x 有极大值(2)f -和极小值(1)f (C )函数()f x 有极大值(2)f 和极小值(2)f - (D )函数()f x 有极大值(2)f -和极小值(2)f9.已知函数()y f x =, ()y g x =的导函数的图象如下左图,那么()y f x =, ()y g x =的图象可能是( )10 . 抛物线22x y =上两点),(11y x A 、),(22y x B 关于直线m x y +=对称,且2121-=⋅x x ,则m 等于( )A .23 B .2 C .25D .3 [11. 设点P 在曲线12xy e =上,点Q 在曲线ln(2)y x =上,则PQ 最小值为( )()A 1ln 2- ()B2(1ln 2)- ()C 1ln 2+ ()D 2(1ln 2)+12. 已知函数()f x =3231ax x -+,若()f x 存在唯一的零点0x ,且0x >0,则a 的取值范围为( )A .(2,+∞)B .(-∞,-2)C .(1,+∞)D .(-∞,-1)二、填空题13.函数32y x x x =--的单调区间为_____________________________.14.已知函数3()f x x ax =+在R 上有两个极值点,则实数a 的取值范围是 .15.已知函数()ln f x ax x =-,若()1f x >在区间(1,)+∞内恒成立,则实数a 的范围为______________. 16. f (x )=ax 3-3x +1对x ∈[-1,1]总有f (x )≥0成立,则a = . [三、解答题:17.如图,一矩形铁皮的长为8cm ,宽为5cm ,在四个角上截去 四个相同的小正方形,制成一个无盖的小盒子,问小正方形的边长 为多少时,盒子容积最大[18.已知函数323()(2)632f x ax a x x =-++-(1)当2a >时,求函数()f x 极小值; (2)试讨论曲线()y f x =与x 轴公共点的个数。
高二数学下册(必修三)导数 单元测试卷及答案解析一 、单选题(本大题共8小题,共40分)1.(5分)函数f(x)在x =4处的切线方程为y =3x +5,则f(4)+f ′(4)=( )A. 10B. 20C. 30D. 402.(5分)设a 为实数,函数f (x )=x 3+ax 2+(a −2)x 的导函数是f ′(x),且f ′(x)是偶函数,则曲线y =f (x )在原点处的切线方程为( )A. y =−2xB. y =3xC. y =−3xD. y =−4x3.(5分)若函数f(x)=x 2+lnx 的图像在(a,f(a))处的切线与直线2x +6y −5=0垂直,则a 的值为( )A. 1B. 2或14C. 2D. 1或124.(5分)已知函数f (x )={&ln (x +1),−1<x ⩽14 x 2+14,x >14 ,且关于x 的方程f (x )−kx =0恰有2个实数解,则实数k 的取值范围是( )A. [1,54] B. [54,+∞)C. [4ln 54,1]D. [4ln 54,1]⋃[54,+∞)5.(5分)曲线y =13x 3 在x =1处切线的倾斜角为( )A. 1B. −π4C. π4D.5π46.(5分) 若曲线f(x)=x 4−4x 在点A 处的切线平行于x 轴,则点A 的坐标为( )A. (-1,2)B. (1,-3)C. (1,0)D. (1,5)7.(5分)曲线f(x)=e x lnx 在x =1处的切线与坐标轴围成的三角形面积为( )A. e4B. e2C. eD. 2e8.(5分)曲线f(x)=x 2+3x 在点A(1,4)处的切线斜率为( )A. 2B. 5C. 6D. 11二 、多选题(本大题共5小题,共25分) 9.(5分)下列命题中是真命题有()A. 若f′(x0)=0,则x0是函数f(x)的极值点B. 函数y=f(x)的切线与函数可以有两个公共点C. 函数y=f(x)在x=1处的切线方程为2x−y=0,则f′(1)=2D. 若函数f(x)的导数f′(x)<1,且f(1)=2,则不等式f(x)>x+1的解集是(−∞,1)10.(5分)若函数y=f(x)的图象上存在两点,使得函数图象在这两点处的切线互相垂直,则称函数y=f(x)具有“T性质”.则下列函数中具有“T性质”的是()A. y=xe x B. y=cosx+1 C. y=1x3D. y=ln2log2x11.(5分)已知函数f(x)=x+√2x图象上的一条切线与g(x)=x的图象交于点M,与直线x=0交于点N,则下列结论不正确的有()A. 函数f(x)的最小值为2√2B. 函数的值域为(−∞,−2√24]C. |MN|2的最小值为16−8√2D. 函数f(x)图象上任一点的切线倾斜角的所在范围为[0,π4]12.(5分)已知曲线上存在两条斜率为3的不同切线,且切点的横坐标都大于零,则实数a可能的取值()A. 196B. 3 C. 103D. 9213.(5分)设函数f(x)=x−ln|x|x,则下列选项中正确的是()A. f(x)为奇函数B. 函数y=f(x)−1有两个零点C. 函数y=f(x)+f(2x)的图象关于点(0,2)对称D. 过原点与函数f(x)相切的直线有且只有一条三、填空题(本大题共5小题,共25分)14.(5分)已知倾斜角为45°的直线l与曲线y=lnx−2x+1相切,则直线l的方程是 ______.15.(5分)已知曲线C:y=x3−3x2+2x,直线l过(0,0)与曲线C相切,则直线l的方程是______ .16.(5分)函数f(x)={1−2x,x⩾012x2+2x,x<0,函数g(x)=k(x−2),若方程f(x)=g(x)恰有三个实数解,则实数k的取值范围为__________.17.(5分)函数f(x)=√4x+1,则函数f(x)在x=2处切线的斜率为 ______.18.(5分)某物体作直线运动,其位移S与时间t的运动规律为S=t+2√t(t的单位为秒,S的单位为米),则它在第4秒末的瞬时速度应该为______米/秒.四、解答题(本大题共5小题,共60分)19.(12分)已知函数f(x)=x3+x−16.(1)求曲线y=f(x)在点(2,−6)处的切线方程;(2)直线l为曲线y=f(x)的切线,且经过原点,求直线l的方程及切点坐标.20.(12分)在抛物线C:y=ax2(a>0)上取两点A(m1,n1),B(m2,n2),且m2−m1=4,过点A,B分别作抛物线C的切线,两切线交于点P(1,−3).(1)求抛物线C的方程;(2)设直线l交抛物线C于M,N两点,记直线OM,ON(其中O为坐标原点)的斜率分别为k OM,k ON,且k OM.k ON=−2,若ΔOMN的面积为2√3,求直线l的方程.21.(12分)已知函数f(x)=(x+a)lnx,g(x)=x 2e x.已知曲线y=f(x)在点(1,f(1))处的切线与直线2x−y=0平行.(1)求a的值;(2)证明:方程f(x)=g(x)在(1,2)内有且只有一个实根.22.(12分)设f(x)=ae x+1ae x+b(a>0)(I)设曲线y=f(x)在点(2,f(2))的切线方程为y=32x;求a,b的值.(II)求f(x)在[0,+∞)上的最小值.23.(12分)已知曲线y=13x3+43,(1)求曲线在点P(2,4)处的切线方程;(2)求曲线过点P(2,4)的切线方程;(3)求斜率为4的曲线的切线方程.参考答案与解析1.【答案】B;【解析】解:∵函数f(x)在x=4处的切线方程为y=3x+5,∴f′(4)=3,又f(4)=3×4+5=17,∴f(4)+f′(4)=17+3=20.故选:B.由已知可得f′(4),在切线方程中取x=4求得f(4),则答案可求.此题主要考查对数的几何意义及其应用,是基础题.2.【答案】A;【解析】此题主要考查导数的几何意义,函数的奇偶性,直线的点斜式方程,属于基础题.求导函数f′(x),由f′(x)是偶函数求出a的值,然后根据导数的几何意义求切线方程.解:由f(x)=x3+ax2+(a−2)x,得,f′(x)=3x2+2ax+(a−2),又∵f′(x)是偶函数,∴2a=0,即a=0,∴f′(x)=3x2−2,∴曲线y=f(x)在原点处的切线斜率为−2,曲线y=f(x)在原点处的切线方程为y=−2x,故选A.3.【答案】D;【解析】解:函数f(x)=x2+lnx的导数为f′(x)=2x+1x,在(a,f(a))处的切线的斜率为2a+1a,由切线与直线2x+6y−5=0垂直,可得−13(2a+1a)=−1,解得a=1或12,故选:D.求得f(x)的导数,由导数的几何意义可得切线的斜率,再由两直线垂直的条件,解方程可得所求值.此题主要考查导数的运用:求切线的斜率,以及两直线垂直的条件,考查方程思想和运算能力,属于基础题.4.【答案】C;【解析】此题主要考查了方程的根与函数的图象之间的关系应用及学生的作图能力,同时考查了导数的几何意义的应用,属于中档题.方程f(x)=kx恰有两个不同实数根,等价于y=f(x)与y=kx有2个交点,又k表示直线y= kx的斜率,求出k的取值范围.解:画出函数f(x)图象,可求得函数f(x)=ln(x+1)(−1<x⩽14)图象在点O(0,0)处的切线方程为y=x,过点O(0,0)且与函数f(x)=x2+14(x>14)图象相切的直线方程也为y=x,即得直线y=x为函数f(x)图象的切线,且有两个切点,切点为O(0,0)和A(12,12 ),关于x的方程f(x)−kx=0恰有2个实数解当且仅当直线y=kx函数f(x)图象有两个公共点,由图可知当且仅当k OB⩽k⩽k OA时符合题意,又k OA=1,k OB=ln(14+1)14=4ln54,则求得4ln54⩽k⩽1.故选C.5.【答案】C;【解析】解:∵y =13x 3,∴y ′=x 2,设曲线y =13x 3 在x =1处切线的倾斜角为α,根据导数的几何意义可知,切线的斜率k =y ′|x=1=12=1=tan α, ∴α=π4,即倾斜角为π4. 故选C .欲求在x =1处的切线倾斜角,先根据导数的几何意义可知k =y ′|x=1,再结合正切函数的值求出角α的值即可.该题考查了导数的几何意义,以及利用正切函数的性质可求倾斜角,本题属于容易题.6.【答案】B;【解析】解:f(x)=x 4−4x 的导数为f ′(x)=4x 3−4, 设切点为A(m,n),则n =m 4−4m , 可得切线的斜率为k =4m 3−4=0, 解得m =1,n =−3.即A(1,−3). 故选:B .求得函数的导数,设出切点A(m,n),代入函数式,求得切线的斜率,令它为0,解得m ,n ,进而得到切点A 的坐标.该题考查导数的运用:求切线的斜率,考查导数的几何意义,设出切点和正确求导是解答该题的关键,属于基础题.7.【答案】B; 【解析】此题主要考查导数的几何意义及三角形面积公式,属于基础题,先求出曲线f(x)=e x lnx 在x =1处的切线方程,再其求与坐标轴的交点即可求得三角形面积;解:f ′(x)=e xlnx +e x x,则f ′(1)=e ,f(1)=0,∴曲线f(x)=e x lnx 在x =1处的切线方程为y =e(x −1),令x=0,得y=−e,令y=0,得x=1,∴切线与坐标轴围成的三角形面积为S=12×e×1=e2.故选B.8.【答案】B;【解析】解:函数的导数为f′(x)=2x+3,所以函数在A(1,4)处的切线斜率k=f′(1)=2+3=5.故选:B.求曲线在点处得切线的斜率,就是求曲线在该点处得导数值.该题考查了导数的几何意义.导数的几何意义是指函数y=f(x)在点x0处的导数是曲线y= f(x)在点P(x0,y0)处的切线的斜率.它把函数的导数与曲线的切线联系在一起,使导数成为函数知识与解析几何知识交汇的一个重要载体.9.【答案】BCD;【解析】此题主要考查极值的概念,导数的几何意义,利用导数研究函数的单调性,利用单调性求解不等式,属于中档题.由题意结合知识点,逐个选项分析即可.解:选项A,若f′(x0)=0,x0不一定是函数f(x)的极值点,例如函数f(x)=x3,f′(0)=0,但x=0不是极值点,故错误;选项B,函数y=f(x)的切线与函数可以有两个公共点,例如函数f(x)=x3−3x,在x=1处的切线为y=−2与函数还有一个公共点为(−2,−2),故正确;选项C,因为函数y=f(x)在x=1处的切线方程为2x−y=0,所以f′(1)=2,故正确. 选项D,令g(x)=f(x)−x−1,因为函数f(x)的导数f′(x)<1,则g′(x)=f′(x)−1<0,所以函数g(x)=f(x)−x−1在R上单调递减,又g(1)=f(1)−2=0,由不等式f(x) > x+1得g(x) > 0=g(1),得x 1,所以不等式f(x) > x+1的解集是(−∞,1),故正确.故选BCD.10.【答案】AB;【解析】解:由题意,可知若函数y =f(x)具有“T 性质”,则存在两点, 使得函数在这两点处的导数值的乘积为−1, 对于A ,(xe x )′=1−x e x,满足条件;对于B ,(cosx +1)′=−sinx ,满足条件;对于C ,(1x 3)′=−3x 4<0恒成立,负数乘以负数不可能得到−1,不满足条件;对于D ,(ln2log 2x)′=ln2.1xln2=1x >0恒成立,正数乘以正数不可能得到−1,不满足条件. 故选:AB.分别求出四个选项中函数的导函数,看是否满足存在两点,使得函数在这两点处的导数值的乘积为−1即可.此题主要考查导数的几何意义及应用,考查化归与转化思想,关键是熟记基本初等函数的导函数,是中档题.11.【答案】ABD; 【解析】此题主要考查导数的运算和几何意义以及基本不等式求最值,属于中档题. 由题意和导数的运算结合基本不等式,逐个选项验证正误即可. 解:已知f(x)=x +√2x,当x >0时,f(x)=x +√2x⩾2√24,当x <0时,f(x)=x +√2x⩽−2√24,故选项A 、B 不正确;设直线l 与函数f(x)的图象相切于点(x 0,x 02+√2x 0),函数f(x)的导函数为f ′(x)=1−√2x 2=x 2−√2x 2,则直线l 的方程为y −x 02+√2x 0=x 02−√2x 02(x −x 0),即y =x 02−√2x 02x +2√2x 0,直线l 与g(x)=x 的交点为M(2x 0,2x 0),与x =0的交点为N(0,2√2x 0), 所以|MN|2=4x 02+(2x 0−2√2x 0)2=8x 02+8x 02−8√2⩾16−8√2,当且仅当x 02=1时取等号,故选项C 正确; f ′(x)=1−√2x 2=x 2−√2x 2⩽1,可知切线斜率可为负值,即倾斜角可以为钝角,故选项D 不正确.故选ABD.12.【答案】AC;【解析】此题主要考查导数的几何意义和二次方程的实根的分布,考查运算能力,属于中档题.求出导数,由题意可得2x2−2x+a=3有两个不相等的正根,由此列出不等式组即可得到a 的取值范围,进而可得a的可能取值.解:f(x)=23x3−x2+ax−1的导数为f′(x)=2x2−2x+a,由题意可得2x2−2x+a=3有两个不相等的正根,则{Δ=28−8a>0a−32>0,解得3<a<72,故选:AC.13.【答案】BCD;【解析】解:函数f(x)=x−ln|x|x的定义域为{ x|x≠0},f(−x)+f(x)=1−ln|−x|−x +1−ln|x|x=2≠0,所以f(x)不为奇函数,故A错误;由f(x)=1,可得ln|x|x=0,解得x=±1,故y=f(x)−1有两个零点,故B正确;由f(−x)+f(−2x)+f(x)+f(2x)=[f(−x)+f(x)]+[f(−2x)+f(2x)]=2+2=4,则函数y=f(x)+f(2x)的图象关于点(0,2)对称,故C正确;当x>0时,f(x)=1−lnxx ,f′(x)=−1−lnxx2,设过原点与f(x)相切的切点为(m,n),则切线的方程为y−n=lnm−1m2(x−m),即y−1+lnmm =lnm−1m2(x−m),代入(0,0),可得1+m=2lnm,设g(m)=2lnm−1−m,g′(m)=2m−1,当0<m<2时,g(m)递增,m>2时,g(m)递减,则g(m)的最大值为g(2)=2ln2−3<0,所以x>0时,不存在过原点的切线;当x<0时,f(x)=1−ln(−x)x ,f′(x)=−1−ln(−x)x2,设过原点与f(x)相切的切点为(s,t)(s<0),则切线的方程为y−t=ln(−s)−1s2(x−s),即y−1+ln(−s)s =ln(−s)−1s2(x−s),代入(0,0),可得1+s=2ln(−s),设g(s)=2ln(−s)−1−s,g′(m)=2s−1<0,所以g(s)递减,则g(s)只有一个零点,所以x<0时,只存在一条过原点的切线.综上可得存在一条过原点的切线,故D正确.故选:BCD.由函数的奇偶性和零点、对称性、导数的几何意义,可得结论.此题主要考查导数的运用:求切线的方程,考查方程思想和运算能力、推理能力,属于中档题.14.【答案】x−y+ln2−2=0;【解析】由直线的倾斜角求得直线的斜率,求出原函数的导函数,由导函数值为1求解切点坐标,再由直线方程的点斜式得答案.此题主要考查利用导数研究过曲线上某点处的切线方程,熟记基本初等函数的导函数是关键,是基础题.解:直线的倾斜角为45°,则直线的斜率为tan45°=1,由y=lnx−2x +1,得y′=1x+2x2,由y′=1x +2x2=1,解得x=−1(舍去)或x=2.∴切点坐标为(2,ln2),则直线l的方程为y−ln2=1×(x−2),即x−y+ln2−2=0.故答案为:x−y+ln2−2=0.15.【答案】y=−x或y=−14x或y=2x;【解析】求出函数的导数,结合直线关系即可得到结论.这道题主要考查函数的切线的求解,根据函数导数的几何意义是解决本题的关键.注意要进行分类讨论.解:函数的导数为f ′(x)=3x 2−6x +2, 设切点为(a,b),则k =f ′(a)=3a 2−6a +2,b =a 3−3a 2+2a , 则切线的方程y −b =(3a 2−6a +2)(x −a), 即y =(3a 2−6a +2)x −2a 3+9a 2−4a , ∵直线l 过点(0,0), ∴−2a 3+9a 2−4a =0, 即2a 3−9a 2+4a =0, 则a(a −4)(2a −1)=0, 解得a =0或a =4或a =12,当a =1时,对应的直线方程为y =−x , 当a =12时,对应的直线方程为y =−14x , 当a =0时,对应的直线方程为y =2x , 故答案为:y =−x 或y =−14x 或y =2x16.【答案】(0,4-2√3) ; 【解析】此题主要考查函数的零点与方程的根之间的关系,函数的导数求解切线方程,考查数形结合以及计算能力,是难题.画f(x)={1−2x ,x ⩾012x 2+2x,x <0,的图象,结合直线g(x)=k(x −2)过定点(2,0),函数g(x)的图象与f(x)=12x 2+2x ,x <0的图象相切时,函数f(x),g(x)的图象恰有两个交点.设切点为P(x 0,y 0),由f ˈ(x)=x +2,x <0,求出切线的斜率,利用函数的图象的交点个数与函数的零点个数,推出k 的范围即可.解:依题意,画出f(x)={1−2x,x⩾012x2+2x,x<0的图象如图:因为直线g(x)=k(x−2)过定点(2,0),由图象可知,当函数g(x)的图象与f(x)=12x2+2x,x<0的图象相切时,函数f(x),g(x)的图象恰有两个交点.下面利用导数法求该切线的斜率.设切点为P(x0,y0),由fˈ(x)=x+2,x<0,则k=f′(x0)=x0+2=12x02+2x0x0-2,解得x0=2+2√3(舍去)或x0=2-2√3,则k=4−2√3,要使方程f(x)=g(x)恰有三个实数解,则函数f(x),g(x)的图象恰有三个交点,结合图象可的实数k的取值范围为(0,4-2√3),故答案为(0,4-2√3).17.【答案】23;【解析】解:由f(x)=√4x+1,得f′(x)=2(4x+1)−1 2,所以函数f(x)在x=2处切线的斜率k=f′(2)=23.故答案为:23.对f(x)求导,根据导数的几何意义,得到f(x)在x=2处的切线斜率.此题主要考查了利用导数研究函数的切线方程和导数的几何意义,属基础题.18.【答案】32;【解析】解:S=t+2√t,∴S′=1+√t,∴它在4秒末的瞬时速度为1+√4=32,故答案为:32.物理中的瞬时速度常用导数来求,故求出S的导数,代入4求值.该题考查变化的快慢与变化率,解答本题关键是理解导数的物理意义,由此转化为求导数的问题.19.【答案】解:(1)∵f′(x)=(x3+x−16)′=3x2+1,∴在点(2,−6)处的切线的斜率k=f′(2)=3×22+1=13,∴切线的方程为y=13x−32.(2)设切点为(x0,y0),则直线l的斜率为f′(x0)=3x02+1,∴直线l的方程为y=(3x02+1)(x−x0)+x03+x0−16.又∵直线l过点(0,0),∴0=(3x02+1)(−x0)+x03+x0−16,整理,得x03=−8,∴x0=−2,∴y0=(−2)3+(−2)−16=−26,直线l的斜率k=3×(−2)2+1=13,∴直线l的方程为y=13x,切点坐标为(−2,−26).;【解析】(1)先求出函数的导函数,再求出函数在(2,−6)处的导数即斜率,易求切线方程.(2)设切点为(x0,y0),则直线l的斜率为f′(x0)=3x02+1,从而求得直线l的方程,有条件直线1过原点可求解切点坐标,进而可得直线1的方程.此题主要考查直线的点斜式方程,属基础题型,较为简单.20.【答案】解:(1)由y=ax2(a>0)得y′=2ax(a>0),则曲线在点A处的切线斜率为2am1,曲线在点A处的切线方程为y−am12=2am1(x−m1),曲线在点A处的切线过点P(1,−3),故am12−2am1−3=0①,同理可得曲线y=ax2(a>0)在点B处的切线方程为y−am22=2am2(x−m2),∴am12−2am1−3=0②,①−②得m1+m2=2,m2−m1=4,∵m2−m1=4,∴m1=−1,m2=3,将m1=−1代入①,可得a=1,故抛物线方程为x2=y;(2)由题意知直线l的斜率存在,设直线l的方程为y=kx+b,与抛物线C的交点为M(x1,x12),N(x2,x22),联立得{y=kx+bx2=y,得x2−kx−b=0,∴x1+x2=k,x1.x2=−b,∴k OM.k ON=x12x1.x22x2=x1x2=−2,可得b=2,∴直线l经过点(0,2),∴SΔ=12×|OP|×|x1−x2|=2√3,∴|x1−x2|=2√3,∴k2=4,∴k=±2,经检验k=±2,b=2符合题意,∴直线l的方程为y=2x+2或y=2x−2.;【解析】此题主要考查了直线与抛物线涉及到利用导数求曲线的切线方程、抛物线的几何性质、直线方程的求法等知识,综合性较强.(1)利用导数,可以求出曲线在点A,B处的切线斜率为2am1,2am2,从而求出切线方程,得到关于m1,m2的关系式,可以求出m的值,从而求出切线方程;(2)设直线l的方程为y=kx+b,与抛物线C的交点为M(x1,x12),N(x2,x22),联立得{y=kx+bx2=y,得x1+x2=k,x1.x2=−b,求出b=2,根据题意列方程求出k的值,从而求出直线方程.21.【答案】(本题满分为12分)解:(1)f′(x)=lnx+ax+1,由题意知,曲线y=f(x)在点(1,f(1))处的切线斜率为2,则f'(1)=2,所以a+1=2,解得a=1.…(4分)(2)令ˈ(x)=f(x)−g(x)=(x+1)lnx−x 2e x,x∈(1,2),则ˈ(1)=−1e <0,ˈ(2)=3ln2−4e2>0,所以h(1)h(2)<0,所以函数h(x)在(1,2)内一定有零点,…(8分)可得ˈ′(x)=lnx+x+1x −2x−x2e x(e x)2=lnx+1x+1−−(x−1)2+1e x>1−1e>0,∴h(x)在(1,2)上单调递增,所以函数h(x)在(1,2)内有且只有一个零点,即方程f(x)=g(x)在(1,2)内有且只有一个实根.…(12分);【解析】(1)求得f(x)的导数,可得x=1处切线的斜率,由两直线平行的条件:斜率相等,解方程即可得到所求值.(2)令ˈ(x)=f(x)−g(x)=(x+1)lnx−x2e x ,x∈(1,2),由ˈ(1)=−1e<0,ˈ(2)=3ln2−4e2>0,可得函数ˈ(x)在(1,2)内一定有零点,进而证明ˈ′(x)>0,可得ˈ(x)在(1,2)上单调递增,即可得证.此题主要考查导数的运用:求切线的斜率,考查两直线平行的条件:斜率相等,考查函数的零点判定定理,正确求导是解答该题的关键,属于中档题.22.【答案】解:(I )由题意得,f(x)=ae x +1aex+b ,则f ′(x)=ae x −1ae x,因为在点(2,f (2))的切线方程为y=32x ,所以{(f(2)=3f ′(2)=32), 即{(ae 2+1ae 2+b =3ae 2−1ae 2=32),解得{(a =2e 2b =12)…(6分)(Ⅱ)设t=e x (t ≥1),则原函数化为:y =at +1at +b , 所以y ′=a −1at 2=a 2t 2−1at 2,令y ′=0,解得t=±1a ,(1)当a ≥1时,则y ′>0在[1,+∞)上成立, 所以函数y =at +1at +b 在[1,+∞)上是增函数, 则当t=1(x=0)时,函数f (x )取到最小值是a +1a +b ; (2)当0<a <1时,y =at +1at +b ≥2+b ,当且仅当at=1(t=e x =1a >1,则x=-lna )时,取等号, 此时函数f (x )取到最小值是b+2,综上可得,当a ≥1时,函数f (x )的最小值是a +1a +b ; 当0<a <1时,函数f (x )的最小值是b+2.…(12分); 【解析】(Ⅰ)由求导公式和法则求出f ′(x),根据导数的几何意义和条件列出方程组,求出a 、b 的值; (Ⅱ)设t =e x (t ⩾1),代入原函数化简并求出导数,根据临界点和区间对a 进行分类讨论,利用导数与单调性、基本不等式求出函数的最小值.此题主要考查求导公式和法则,导数的几何意义,以及导数与函数单调性、基本不等式求函数的最值问题,属于中档题.23.【答案】解:(1)∵P(2,4)在曲线y =13x 3+43上,且y ′=x 2 ∴在点P(2,4)处的切线的斜率k =y ′|x=2=4;∴曲线在点P(2,4)处的切线方程为y −4=4(x −2),即4x −y −4=0.(2)设曲线y =13x 3+43与过点P(2,4)的切线相切于点A(x 0,13x 03+43),则切线的斜率k=y′|x=x=x02,∴切线方程为y−(13x03+43)=x02(x−x0),即y=x02.x−23x03+43∵点P(2,4)在切线上,∴4=2x02−23x03+43,即x03−3x02+4=0,∴x03+x02−4x02+4=0,∴(x0+1)(x0−2)2=0解得x0=−1或x0=2故所求的切线方程为4x−y−4=0或x−y+2=0.(3)设切点为(x0,y0)则切线的斜率为k=x02=4,x0=±2.切点为(2,4),(−2,−43)∴切线方程为y−4=4(x−2)和y+43=4(x+2)即4x−y−4=0和12x−3y+20=0.;【解析】该题考查学生会利用导数研究曲线上某点的切线方程,是一道综合题.学生在解决此类问题一定要分清“在某点处的切线”,还是“过某点的切线”;同时解决“过某点的切线”问题,一般是设出切点坐标解决.(1)根据曲线的解析式求出导函数,把P的横坐标代入导函数中即可求出切线的斜率,根据P的坐标和求出的斜率写出切线的方程即可;(2)设出曲线过点P切线方程的切点坐标,把切点的横坐标代入到(1)求出的导函数中即可表示出切线的斜率,根据切点坐标和表示出的斜率,写出切线的方程,把P的坐标代入切线方程即可得到关于切点横坐标的方程,求出方程的解即可得到切点横坐标的值,分别代入所设的切线方程即可;(3)设出切点坐标,由切线的斜率为4,把切点的横坐标代入导函数中求出的函数值等于4列出关于切点横坐标的方程,求出方程的解即可得到切点的横坐标,代入曲线方程即可求出相应的纵坐标,根据切点坐标和斜率分别写出切线方程即可.。
导数单元测试题班级姓名一、选择题1.已知函数y=f(x)=x2+1,则在x=2,Δx=0.1时,Δy的值为( ) A.0.40 B.0.41 C.0.43 D.0.442.函数f(x)=2x2-1在区间(1,1+Δx)上的平均变化率ΔyΔx等于( )A.4 B.4+2Δx C.4+2(Δx)2D.4x3.设f′(x0)=0,则曲线y=f(x)在点(x0,f(x0))处的切线( ) A.不存在B.与x轴平行或重合C.与x轴垂直D.与x轴相交但不垂直4.曲线y=-1x在点(1,-1)处的切线方程为( )A.y=x-2 B.y=x C.y=x+2 D.y=-x-25.下列点中,在曲线y=x2上,且在该点处的切线倾斜角为π4的是( )A.(0,0) B.(2,4) C.(14,116) D.(12,14)6.已知函数f(x)=1x,则f′(-3)=( )A.4 B.19C.-14D.-197.函数f(x)=(x-3)e x的单调递增区间是( )A.(-∞,2) B.(0,3) C.(1,4) D.(2,+∞) 8.“函数y=f(x)在一点的导数值为0”是“函数y=f(x)在这点取极值”的( ) A.充分不必要条件 B.必要不充分条件C.充要条件 D.既不充分也不必要条件9.函数f(x)的定义域为开区间(a,b),导函数f′(x)在(a,b)内的图象如图所示,则函数f(x)在开区间(a,b)内的极小值点有( )A.1个B.2个C.3个D.4个10.函数f(x)=-x2+4x+7,在x∈[3,5]上的最大值和最小值分别是( )A.f(2),f(3) B.f(3),f(5) C.f(2),f(5) D.f(5),f(3)11.函数f(x)=x3-3x2-9x+k在区间[-4,4]上的最大值为10,则其最小值为( )A.-10 B.-71 C.-15 D.-2212.一点沿直线运动,如果由始点起经过t秒运动的距离为s=14t4-53t3+2t2,那么速度为零的时刻是( )A.1秒末 B.0秒 C.4秒末 D.0,1,4秒末二、填空题13.设函数y=f(x)=ax2+2x,若f′(1)=4,则a=________.14.已知函数y=ax2+b在点(1,3)处的切线斜率为2,则ba=________.15.函数y=x e x的最小值为________.16.有一长为16 m的篱笆,要围成一个矩形场地,则矩形场地的最大面积是________m2.三、解答题17.求下列函数的导数:(1)y=3x2+x cos x; (2)y=x1+x; (3)y=lg x-e x.18.已知抛物线y=x2+4与直线y=x+10,求:(1)它们的交点; (2)抛物线在交点处的切线方程.19.已知函数f(x)=13x3-4x+4.(1)求函数的极值;(2)求函数在区间[-3,4]上的最大值和最小值.导数单元测试题答案班级 姓名一、选择题1.已知函数y =f (x )=x 2+1,则在x =2,Δx =0.1时,Δy 的值为( ) A .0.40 B .0.41 C .0.43 D .0.44解析:选B.Δy =f (2.1)-f (2)=2.12-22=0.41.2.函数f (x )=2x 2-1在区间(1,1+Δx )上的平均变化率Δy Δx等于( )A .4B .4+2ΔxC .4+2(Δx )2D .4x解析:选B.因为Δy =[2(1+Δx )2-1]-(2×12-1)=4Δx +2(Δx )2,所以Δy Δx=4+2Δx ,故选B.3.设f ′(x 0)=0,则曲线y =f (x )在点(x 0,f (x 0))处的切线( ) A .不存在 B .与x 轴平行或重合 C .与x 轴垂直 D .与x 轴相交但不垂直解析:选B.函数在某点处的导数为零,说明相应曲线在该点处的切线的斜率为零.4.曲线y =-1x在点(1,-1)处的切线方程为( )A .y =x -2B .y =xC .y =x +2D .y =-x -2解析:选A.f ′(1)=li m Δx →0 -11+Δx +11Δx =li mΔx →0 11+Δx =1,则在(1,-1)处的切线方程为y +1=x -1,即y =x -2.5.下列点中,在曲线y =x 2上,且在该点处的切线倾斜角为π4的是( )A .(0,0)B .(2,4)C .(14,116)D .(12,14)故选D.6.已知函数f (x )=1x,则f ′(-3)=( )A .4 B.19C .-14D .-19解析:选D.∵f ′(x )=-1x 2,∴f ′(-3)=-19.7.函数f (x )=(x -3)e x的单调递增区间是( )A .(-∞,2)B .(0,3)C .(1,4)D .(2,+∞)解析:选D.f ′(x )=(x -3)′e x +(x -3)(e x )′=(x -2)e x, 令f ′(x )>0,解得x >2,故选D.8.“函数y =f (x )在一点的导数值为0”是“函数y =f (x )在这点取极值”的( )A .充分不必要条件B .必要不充分条件C .充要条件D .既不充分也不必要条件解析:选B.对于f (x )=x 3,f ′(x )=3x 2,f ′(0)=0,不能推出f (x )在x =0处取极值,反之成立.故选B.9.函数f (x )的定义域为开区间(a ,b ),导函数f ′(x )在(a ,b )内的图象如图所示,则函数f (x )在开区间(a ,b )内的极小值点有( )A .1个B .2个C .3个D .4个解析:选A.函数f (x )的定义域为开区间(a ,b ),导函数f ′(x )在(a ,b )内的图象如题图所示,函数f (x )在开区间(a ,b )内有极小值点即函数由减函数变为增函数的点,其导数值为由负到正的点,只有1个.10.函数f (x )=-x 2+4x +7,在x ∈[3,5]上的最大值和最小值分别是( )A .f (2),f (3)B .f (3),f (5)C .f (2),f (5)D .f (5),f (3) 解析:选B.∵f ′(x )=-2x +4, ∴当x ∈[3,5]时,f ′(x )<0, 故f (x )在[3,5]上单调递减,故f (x )的最大值和最小值分别是f (3),f (5).11.函数f (x )=x 3-3x 2-9x +k 在区间[-4,4]上的最大值为10,则其最小值为( )A .-10B .-71C .-15D .-22解析:选B.f ′(x )=3x 2-6x -9=3(x -3)(x +1). 由f ′(x )=0得x =3,-1.又f (-4)=k -76,f (3)=k -27, f (-1)=k +5,f (4)=k -20. 由f (x )max =k +5=10,得k =5, ∴f (x )min =k -76=-71.12.一点沿直线运动,如果由始点起经过t 秒运动的距离为s =14t 4-53t 3+2t 2,那么速度为零的时刻是( ) A .1秒末 B .0秒 C .4秒末 D .0,1,4秒末解析:选D.∵s ′=t 3-5t 2+4t ,令s ′=0,得t 1=0,t 2=1,t 3=4,此时的函数值最大,故选D. 二、填空题13.设函数y =f (x )=ax 2+2x ,若f ′(1)=4,则a =________. 答案:1 14.已知函数y =ax 2+b 在点(1,3)处的切线斜率为2,则b a=________.答案:215.函数y =x e x的最小值为________.解析:令y ′=(x +1)e x=0,得x =-1. 当x <-1时,y ′<0;当x >-1时,y ′>0.∴y min =f (-1)=-1e.答案:-1e16.有一长为16 m 的篱笆,要围成一个矩形场地,则矩形场地的最大面积是________m 2. 解析:设矩形的长为x m ,则宽为16-2x 2=(8-x ) m(0<x <8),∴S (x )=x (8-x )=-x 2+8x∴S ′(x )=-2x +8,令S ′(x )=0, 则x =4,又在(0,8)上只有一个极值点, 且x ∈(0,4)时,S (x )单调递增, x ∈(4,8)时,S(x )单调递减, 故S (x )max =S(4)=16. 答案:16 三、解答题17.求下列函数的导数: (1)y =3x 2+x cos x ;(2)y =x1+x;(3)y =lg x -e x.解:(1)y ′=6x +cos x -x sin x .(2)y ′=1+x -x 1+x 2=11+x2.(3)y ′=(lg x )′-(e x)′=1x ln10-e x. 18.已知抛物线y =x 2+4与直线y =x +10,求: (1)它们的交点;(2)抛物线在交点处的切线方程.解:(1)由⎩⎪⎨⎪⎧y =x 2+4,y =x +10,得x 2+4=10+x ,即x 2-x -6=0,∴x =-2或x =3.代入直线的方程得y =8或13. ∴抛物线与直线的交点坐标为(-2,8)或(3,13).(2)∵y =x 2+4,∴y ′=lim Δx →0 x +Δx 2+4-x 2+4Δx=lim Δx →0 Δx 2+2x ·ΔxΔx=lim Δx →0 (Δx +2x )=2x . ∴y ′|x =-2=-4,y ′|x =3=6,即在点(-2,8)处的切线斜率为-4,在点(3,13)处的切线斜率为6. ∴在点(-2,8)处的切线方程为4x +y =0; 在点(3,13)处的切线方程为6x -y -5=0.19.已知函数f (x )=13x 3-4x +4.(1)求函数的极值;(2)求函数在区间[-3,4]上的最大值和最小值.解:(1)f ′(x )=x 2-4,解方程x 2-4=0, 得x 1=-2,x 2=2.当x (-∞,-2) -2 (-2,2) 2 (2,+∞)f ′(x ) + 0 - 0+ f (x )283-43从上表可看出,当x =-2时,函数有极大值,且极大值为3;而当x =2时,函数有极小值,且极小值为-43.(2)f (-3)=13×(-3)3-4×(-3)+4=7,f (4)=13×43-4×4+4=283,与极值比较,得函数在区间[-3,4]上的最大值是283,最小值是-43.。
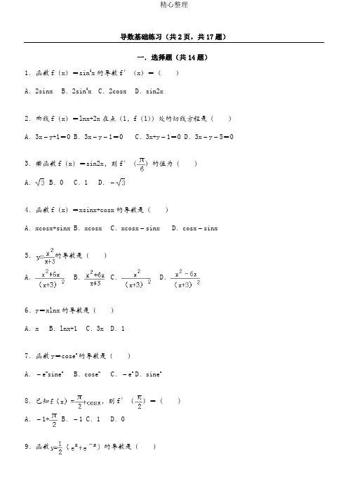
导数基础练习(共2页,共17题)一.选择题(共14题)1.函数f(x)=sin2x的导数f′(x)=()A.2sinx B.2sin2x C.2cosx D.sin2x2.曲线f(x)=lnx+2x在点(1,f(1))处的切线方程是()A.3x﹣y+1=0 B.3x﹣y﹣1=0 C.3x+y﹣1=0 D.3x﹣y﹣5=0 3.若函数f(x)=sin2x,则f′()的值为()A.B.0 C.1 D.﹣4.函数f(x)=xsinx+cosx的导数是()A.xcosx+sinx B.xcosx C.xcosx﹣sinx D.cosx﹣sinx 5.的导数是()A.B.C.D.6.y=xlnx的导数是()A.x B.lnx+1 C.3x D.17.函数y=cose xA.﹣e x sine x B.cose x C.﹣e x D.sine x8.已知,则f′()=()A.﹣1+ B.﹣1 C.1 D.09.函数的导数是()A.B.C.e x﹣e﹣x D.e x+e﹣x10.函数y=x2﹣2x在﹣2处的导数是()A.﹣2 B.﹣4 C.﹣6 D.﹣811.设y=ln(2x+3),则y′=()A.B.C.D.12.已知函数,则f′(x)等于()A.B.C.0 D.13.曲线y=x2+3x在点A(2,10)处的切线的斜率k是()A.4 B.5 C.6 D.714.曲线y=4x﹣x2上两点A(4,0),B(2,4),若曲线上一点P处的切线恰好平行于弦AB,则点P的坐标为()A.(1,3)B.(3,3)C.(6,﹣12) D.(2,4)二.填空题(共2题)15.求导:()′=_________.16.函数y=的导数是_________.三.解答题(共1题)17.求函数y=e x5 +2的导数.导数基础练习(试题解析)一.选择题(共14题)1.函数f(x)=sin2x的导数f′(x)=()A.2sinx B.2sin2x C.2cosx D.sin2x考点:简单复合函数的导数.考查学生对复合函数的认识,要求学生会对简单复合函数求导.分析:将f(x)=sin2x看成外函数和内函数,分别求导即可.解答:将y=sin2x写成,y=u2,u=sinx的形式.对外函数求导为y′=2u,对内函数求导为u′=cosx,∴可以得到y=sin2x的导数为y′=2ucosx=2sinxcosx=sin2x.∴选D.红色sin2x、蓝色sin2x2.曲线f(x)=lnx+2x在点(1,f(1))处的切线方程是()A.3x﹣y+1=0 B.3x﹣y﹣1=0 C.3x+y﹣1=0 D.3x﹣y﹣5=0考点:简单复合函数的导数;直线的点斜式方程.考查学生对切线方程的理解,要求写生能够熟练掌握.分析:先要求出在给定点的函数值,然后再求出给定点的导数值.将所求代入点斜式方程即可.解答:对f(x)=lnx+2x求导,得f′(x)=+2.∴在点(1,f(1))处可以得到f(1)=ln1+2=2,f′(1)=1+2=3.∴在点(1,f(1))处的切线方程是:y﹣f(1)=f′(1)(x﹣1),代入化简可得,3x﹣y﹣1=0.∴选B.3.若函数f(x)=sin2x,则f′()的值为()A.B.0 C.1 D.﹣考点:简单复合函数的导数.计算题.求函数在某点处的导数值,应该先利用导数的运算法则及初等函数的导数公式求出导函数,再求导函数值.分析:先利用复合函数的导数运算法则求出f(x)的导函数,将x=代入求出值.解答:解:f′(x)=cos2x(2x)′=2cos2x,∴f′()=2cos=1,∴选C.红色sin2x、蓝色2cos2x4.函数f(x)=xsinx+cosx的导数是()A.xcosx+sinx B.xcosx C.x cosx﹣sinx D.c osx﹣sinx考点:导数的乘法与除法法则;导数的加法与减法法则.计算题.本题考查导数的运算法则、基本初等函数的导数公式.属于基础试题.分析:利用和及积的导数运算法则及基本初等函数的导数公式求出函数的导数.解答:解:∵f(x)=xsinx+cosx,∴f′(x)=(xsinx+cosx)′=(xsinx)′+(cosx)′=x′sinx+x(sinx)′﹣sinx=sinx+xcosx﹣sinx=xcosx,∴选B.红色xsinx+cosx、蓝色xcosx5.的导数是()A.B.C.D.考点:导数的乘法与除法法则.计算题.本题考查导数的除法运算法则,解题时认真计算即可,属于基础题.分析:利用导数的四则运算法则,按规则认真求导即可解答:解:y′===∴选A.红色、绿色y′=6.y=xlnx的导数是()A.x B.lnx+1 C.3x D.1考点:导数的乘法与除法法则.导数的综合应用.本题考查导数的乘法法则,考查了基本初等函数的导数公式,属于基础题.分析:直接由导数的乘法法则结合基本初等函数的导数公式求解.解答:解:∵y=xlnx,∴y′=(xlnx)′=x′lnx+x(lnx)′=.∴选B.红色xlnx、绿色lnx+17.函数y=cose x的导数是()A.﹣e x sine x B.cose x C.﹣e x D.sine x考点:导数的乘法与除法法则.导数的概念及应用.本题主要考查导数的基本运算,要求熟练掌握常见函数的导数公式以及导数的运算法则.分析:根据导数的运算法则即可得到结论.解答:解:函数的导数为f′(x)=﹣sine x(e x)′=﹣e x sine x,∴选A.红色cose x、绿色﹣e x sine x8.已知,则f′()=()A.﹣1+B.﹣1 C.1 D.0考点:导数的加法与减法法则.计算题.本题主要考查了导数的运算,以及求函数值,解题的关键是正确求解导函数,属于基础题.分析:本题先对已知函数进行求导,再将代入导函数解之即可.解答:解:∴选B.红色、绿色-sinx9.函数的导数是()A.B.C.e x﹣e﹣x D.e x+e﹣x考点:导数的加法与减法法则.计算题.本题考查导数的运算,牢记求导公式是解本题的关键.分析:根据求导公式(u+v)′=u′+v′及(e x)′=e x即可求出函数的导数.解答:解:∵,∴y′==.∴选A.红色、蓝色10.函数y=x2﹣2x在﹣2处的导数是()A.﹣2 B.﹣4 C.﹣6 D.﹣8考点:导数的加法与减法法则.计算题;导数的概念及应用.本题考查导数的加法与减法法则,考查基本初等函数的导数公式,是基础的计算题.分析:求出原函数的导函数,在导函数解析中取x=﹣2计算即可得到答案.解答:解:由y=x2﹣2x,得y′=2x﹣2.∴y′|x=﹣2=2×(﹣2)﹣2=﹣6.∴选C.红色y=x2﹣2x、蓝色y′=2x﹣211.设y=ln(2x+3),则y′=()A.B.C.D.考点:导数的运算.导数的概念及应用.本题主要考查导数的计算,要求熟练掌握复合函数的导数公式,属于基础题.分析:根据复合函数的导数公式即可得到结论.解答:解:∵y=ln(2x+3),∴,∴选:D红色ln(2x+3)、蓝色12.已知函数,则f′(x)等于()A.B.C.0 D.考点:导数的运算.导数的概念及应用.本题考查了常数的导数,只要理解常数c′=0即可解决此问题.分析:我们知道:若函数f(x)=c为常数,则f′(x)=0,∴可得出答案.解答:解:∵函数,∴f′(x)=0.∴选C.13.曲线y=x2+3x在点A(2,10)处的切线的斜率k是()A.4 B.5 C.6 D.7考点:导数的几何意义.计算题.本题考查函数在某点导数的几何意义的应用.分析:曲线y=x2+3x在点A(2,10)处的切线的斜率k就等于函数y=x2+3x在点A(2,10)处的导数值.解答:解:曲线y=x2+3x在点A(2,10)处的切线的斜率,k=y′=2x+3=2×2+3=7,∴答案为7.红色x2+3x、蓝色2x+314.曲线y=4x﹣x2上两点A(4,0),B(2,4),若曲线上一点P处的切线恰好平行于弦AB,则点P的坐标为()A.(1,3)B.(3,3)C.(6,﹣12)D.(2,4)考点:导数的几何意义.考核导数的几何意义及两条直线平行斜率的关系.分析:首先求出弦AB的斜率,再利用导数的几何意义求出P点坐标.解答:解:设点P(x0,y0),∵A(4,0),B(2,4),∴kAB==﹣2.∵过点P的切线l平行于弦AB,∴kl=﹣2,∴根据导数的几何意义得知,曲线在点P的导数y′=4﹣2x=4﹣2x=﹣2,即x0=3,∵点P(x0,y)在曲线y=4x﹣x2上,∴y0=4x0﹣x02=3.∴选B.红色4x ﹣x 2、蓝色4﹣2x二.填空题(共2题)15.求导:()′=, .考点: 简单复合函数的导数.导数的概念及应用.本题主要考查导数的计算,根据复合函数的导数公式是解决本题的关键.分析: 根据复合函数的导数公式进行求解即可. 解答: 解:=(x 2+1)21,则函数的导数为y′=(x 2+1)21-(x 2+1)′=(x 2+1)21-×2x =,∴答案为:红色、蓝色精心整理16.函数y=的导数是.考点:简单复合函数的导数.导数的概念及应用.本题主要考查导数的计算,根据复合函数的导数公式进行计算是解决本题的关键.分析:根据复合函数的导数公式进行计算即可.解答:解:函数的导数为y′==,∴答案为:红色、蓝色三.解答题(共1题)17.求函数y=e x5-+2的导数.考点:简单复合函数的导数.导数的概念及应用.本题考查导数的运算,以及导数基本知识的考查.分析:直接利用复合函数的导数求解运算法则求解即可.解答:解:函数y=e x5-+2的导数:y′=﹣5e x5-.∴答案为:y′=﹣5e x5-.红色e x5-+2、蓝色﹣5e x5-。
导数部分强化训练姓名: 组别:1.已知二次函数f (x )的图象如图所示,则其导函数f ′(x )的 图象大致形状是( )2.已知函数f (x )的导函数f ′(x )=ax 2+bx +c 的图象 如图所示,则f (x )的图象可能是( )3.如果函数y =f (x )的图象如图所示,那么导函数y =f ′(x )的图象可能是( )4.(设函数f (x )在R 上可导,其导函数为f ′(x ),且函数f (x )在x =-2处取得极小值,则函数y =xf ′(x )的图象可能是( )5. 函数f (x )在定义域⎝ ⎛⎭⎪⎫-32,3内的图象如图所示,记f (x )的导函数为f ′(x ),则不等式f ′(x )≤0的解集为( )A.⎣⎢⎡⎦⎥⎤-32,12∪[1,2)B.⎣⎢⎡⎦⎥⎤-1,12∪⎣⎢⎡⎦⎥⎤43,83C.⎣⎢⎡⎦⎥⎤-13,1∪[2,3)D.⎝ ⎛⎦⎥⎤-32,-13∪⎣⎢⎡⎦⎥⎤12,43∪⎣⎢⎡⎭⎪⎫43,36.已知曲线y =18x 2的一条切线的斜率为12,则切点的横坐标为( )A .4B .3C .2D.127.若函数f (x )=ax 4+bx 2+c 满足f ′(1)=2,则f ′(-1)等于( ) A .-1 B .-2 C .2 D .08.曲线y =x 3-2x +1在点(1,0)处的切线方程为( )A .y =x -1B .y =-x +1C .y =2x -2D .y =-2x +2 9.若对任意x ∈R ,f ′(x )=4x 3,f (1)=-1,则( )A .f (x )=x 4B .f (x )=x 4-2C .f (x )=4x 3-5D .f (x )=x 4+210.若曲线y =x 2的一条切线l 的斜率是4,则切线l 的方程为( )A .4x -y -4=0B .2x -y -3=0C .4x -y +4=0D .2x -y +3=0 11.若曲线y =x 2+ax +b 在点(0,b )处的切线方程是x -y +1=0,则( )A .a =1,b =1B .a =-1,b =1C .a =1,b =-1D .a =-1,b =-1 12.已知直线y =kx +1与曲线y =x 3+ax +b 相切于点(1,3),则b 的值为( )A .3B .-3C .5D .-5 13.函数f (x )=x 33+x 2-3x -4在[0,2]上的最小值是( ) A .-173B .-103C .-4D .-643 14.函数y =x 3-2ax +a 在(0,1)内有极小值,则实数a 的取值范围是( )A .(0,3) B.⎝⎛⎭⎪⎫0,32 C .(0,+∞)D .(-∞,3)15.已知函数f (x )=12x 3-x 2-72x ,则f (-a 2)与f (-1)的大小关系为( )A .f (-a 2)≤f (-1)B .f (-a 2)<f (-1)C .f (-a 2)≥f (-1)D .f (-a 2)与f (-1)的大小关系不确定16.函数f (x )=x 3+ax 2+bx +a 2在x =1处有极值10,则( )A .a =-11,b =4B .a =-4,b =11C .a =11,b =-4D .a =4,b =-11 17.已知函数f (x )=x 3-12x +8在区间[-3,3]上的最大值与最小值分别为M ,m ,则M -m 的值为 ( )A .16B .12C .32D .618.设p :f (x )=x 3+2x 2+mx +1在(-∞,+∞)内单调递增,q :m ≥43,则p 是q 的( ) A .充分不必要条 B .必要不充分条件C .充分必要条件D .既不充分也不必要条件19.曲线y =x 3-2x +4在点(1,3)处的切线的倾斜角为( )A .30°B .45°C .60°D .120°20.用边长为48 cm 的正方形铁皮做一个无盖的铁盒时,在铁皮的四角各截去一个面积相等的小正方形,然后把四边形折起,就能焊成铁盒,所做铁盒容积最大时,在四角截去的正方形的边长为( )A .6 cmB .8 cmC .10 cmD .12 cm21.对于R 上可导的任意函数f (x ),满足(x -1)f ′(x )≥0,则必有( )A .f (0)+f (2)<2f (1)B .f (0)+f (2)≤2f (1)C .f (0)+f (2)≥2f (1)D .f (0)+f (2)>2f (1)22.已知对任意x ∈R ,恒有f (-x )=-f (x ),g (-x )=g (x ),且当x >0时,f ′(x )>0,g ′(x )>0,则当x <0时有 ( )A .f ′(x )>0,g ′(x )>0B .f ′(x )>0,g ′(x )<0C .f ′(x )<0,g ′(x )>0D .f ′(x )<0,g ′(x )<023.与直线2x -6y +1=0垂直,且与曲线f (x )=x 3+3x 2-1相切的直线方程是( )A .3x +y +2=0B .3x -y +2=0C .x +3y +2=0D .x -3y -2=0 24.设f (x ),g (x )在[a ,b ]上可导,且f ′(x )>g ′(x ),则当a <x <b 时,有 ( )A .f (x )>g (x )B .f (x )<g (x )C .f (x )+g (a )>g (x )+f (a )D .f (x )+g (b )>g (x )+f (b )25.三次函数f (x )=mx 3-x 在(-∞,+∞)上是减函数,则m 的取值范围是( )A .m <0B .m <1C .m ≤0D .m ≤126.已知函数f (x )=x 3+bx 2+cx 的图象如图所示,则x 21+x 22等于( )A.23 B.43 C.83 D.16327. 已知函数f (x )=13-8x +2x 2,且f ′(x 0)=4,则x 0的值为________. 28.曲线y =2x 2在点(-1,2)处的切线方程为____________. 29.已知f (x )=x 2+3xf ′(2),则f ′(2)=________.30.已知f (x )=ax 3+3x 2+2,若f ′(-1)=4,则a 的值为______. 31.曲线y =x 3在点(1,1)处的切线方程为________________.32.若f (x )=x 3+kx 2在[0,2]上是减函数,则k 的取值范围为__________.33.已知函数f (x )=-x 3+ax 在区间(-1,1)上是增函数,则实数a 的取值范围_____. 34.已知函数f (x )=x 3+ax 2+(a +6)x +1有极大值和极小值,则a 的取值范围__ __. 35.函数f (x )=x 3-15x 2-33x +6的单调减区间为________.36.直线y =a 与函数f (x )=x 3-3x 的图象有相异的三个公共点,则a 的取值范围___. 37.若函数f (x )=kx 3+3(k -1)x 2-k 2+1在区间(0,4)上是减函数,则k 的取值范围是____.38.把一个周长为12 cm 的长方形围成一个圆柱,当圆柱的体积最大时,该圆柱的底面周长与高的比为________.39.已知函数f(x)=14x4+13ax3-a2x2+a4 (a>0).(1)求函数y =f(x)的单调区间;(2)若函数y =f(x)的图象与直线y =1恰有两个交点,求a 的取值范围.1.答案 B解析 设二次函数为y =ax 2+b (a <0,b >0), 则y ′=2ax ,又∵a <0,故选B. 2.答案 D解析 当x <0时,由导函数f ′(x )=ax 2+bx +c <0,知相应的函数f (x )在该区间上单调递减;当x >0时,由导函数f ′(x )=ax 2+bx +c 的图象可知,导数在区间(0,x 1)内的值是大于0的,则在此区间内函数f (x )单调递增.只有D 选项满足题意. 3.答案 A解析 由y =f (x )的图象可知其单调性从左向右依次为增减增减,所以其导数y =f ′(x )的函数值依次为正负正负.由此可排除B 、C 、D. 4.答案 C解析 利用导函数与原函数的图象关系求解. ∵f (x )在x =-2处取得极小值, ∴当x <-2时,f (x )单调递减,即f ′(x )<0;当x >-2时,f (x )单调递增,即f ′(x )>0. ∴当x <-2时,y =xf ′(x )>0; 当x =-2时,y =xf ′(x )=0; 当-2<x <0时,y =xf ′(x )<0; 当x =0时,y =xf ′(x )=0; 当x >0时,y =xf ′(x )>0. 结合选项中图象知选C. 5.答案 C解析 不等式f ′(x )≤0的解集即为函数f (x )的单调递减区间,从图象中可以看出函数f (x )在⎣⎡⎦⎤-13,1和[2,3)上是单调递减的,所以不等式f ′(x )≤0的解集为⎣⎡⎦⎤-13,1∪[2,3),答案C.6.答案 C解析 y =18x 2,得y ′=14x =12,∴x =2.7.答案 B解析 由题意知f ′(x )=4ax 3+2bx ,可知f ′(x )为奇函数,若f ′(1)=2,即f ′(1)=4a +2b =2,故f ′(-1)=-f ′(1)=-4a -2b =-2.点评 注意到f (x )的导函数是一个奇函数.f ′(-1)=-f ′(1). 8.答案 A解析 ∵点(1,0)在曲线y =x 3-2x +1上,且y ′=3x 2-2,∴过点(1,0)的切线斜率k =y ′|x =1=3×12-2=1,由点斜式得切线方程为y -0=1×(x -1),即y =x -1. 9.答案 B解析 设f (x )=x 4+b ,∵f (1)=1+b =-1,∴b =-2. ∴f (x )=x 4-2. 10.答案 A解析 设切点为P (x 0,y 0). y ′=(x 2)′=2x ,∵切线l 的斜率是4,∴2x 0=4.∴x 0=2,y 0=4,则l 的方程为y -4=4(x -2),即4x -y -4=0. 11.答案 A解析 ∵点(0,b )在直线x -y +1=0上,∴b =1.又y ′=2x +a ,∴在点(0,b )处的切线的斜率为y ′|x =0=a =1. 12.答案 A解析 ∵点(1,3)在直线y =kx +1上,∴k =2. ∴2=f ′(1)=3×12+a ,∴a =-1.∴y =x 3-x +b . 又∵点(1,3)在曲线上,∴b =3.点评 曲线与直线切于点(1,3),(1,3)即为切点,既在曲线上,又在直线上. 13.答案 A解析 f ′(x )=x 2+2x -3,f ′(x )=0,x ∈[0,2]只有x =1.比较f (0)=-4,f (1)=-173,f (2)=-103.可知最小值为-173.14.答案 B解析 令y ′=3x 2-2a =0,得x =± 2a3(a >0,否则函数y 为单调增函数).若函数y =x 3-2ax +a 在(0,1)内有极小值,则 2a 3<1,∴0<a <32. 15.答案 A解析 由题意可得f ′(x )=32x 2-2x -72.由f ′(x )=12(3x -7)(x +1)=0,得x =-1或x =73.当x <-1时,f (x )为增函数; 当-1<x <73时,f (x )为减函数.所以f (-1)是函数f (x )在(-∞,0]上的最大值, 又因为-a 2≤0,故f (-a 2)≤f (-1). 16.答案 D解析 由f (x )=x 3+ax 2+bx +a 2,得f ′(x )=3x 2+2ax +b ,根据已知条件⎩⎪⎨⎪⎧ f ′(1)=0,f (1)=10,即⎩⎪⎨⎪⎧2a +b +3=0,a 2+a +b +1=10.解得⎩⎪⎨⎪⎧ a =4,b =-11,或⎩⎪⎨⎪⎧a =-3,b =3.(经检验应舍去)17.答案 C解析 令f ′(x )=3x 2-12=0,得x =±2, 比较f (-3),f (-2),f (2),f (3)的大小可知: M =f (-2)=24,m =f (2)=-8.∴M -m =32. 18.答案 C解析 ∵f (x )=x 3+2x 2+mx +1, ∴f ′(x )=3x 2+4x +m .由f (x )为增函数⇔f ′(x )≥0在R 上恒成立⇔Δ≤0⇔16-12m ≤0⇔m ≥43.故p 是q 的充分必要条件. 19.答案 B解析 ∵y =x 3-2x +4,∴y ′=3x 2-2. ∵y ′|x =1=3×1-2=1,∴y =x 3-2x +4在点(1,3)处的切线的斜率为1, 即其倾斜角为45°. 20.答案 B解析 设截去小正方形的边长为x ,则铁盒容积为V =(48-2x )2x (0<x <24),V ′=(48-2x )(48-6x ).令V ′=0,则x 1=24(舍去),x 2=8,当0<x <8时,V ′>0.当8<x <24时,V ′<0.可知x =8时,容积最大,故选B. 21.答案 C解析 由(x -1)f ′(x )≥0,得⎩⎪⎨⎪⎧ x ≥1,f ′(x )≥0,或⎩⎪⎨⎪⎧x ≤1,f ′(x )≤0.①函数y =f (x )在(-∞,1]上单调递减,f (0)>f (1);在[1,+∞)上单调递增,f (2)>f (1),∴f (0)+f (2)>2f (1).②函数y =f (x )可为常数函数,f (0)+f (2)=2f (1). 22.答案 B解析 由f (-x )=-f (x ),g (-x )=g (x ),知f (x )为奇函数,g (x )为偶函数. 又x >0时,f ′(x )>0,g ′(x )>0,由奇、偶函数的性质知,当x <0时,f ′(x )>0,g ′(x )<0. 23.答案 A解析 设切点的坐标为(x 0,x 30+3x 20-1), 则由切线与直线2x -6y +1=0垂直,可得切线的斜率为-3,又f ′(x )=3x 2+6x ,故3x 20+6x 0=-3, 解得x 0=-1,于是切点坐标为(-1,1), 从而得切线的方程为3x +y +2=0. 24.答案 C解析 ∵f ′(x )-g ′(x )>0,∴(f (x )-g (x ))′>0, ∴f (x )-g (x )在[a ,b ]上是增函数, ∴当a <x <b 时f (x )-g (x )>f (a )-g (a ), ∴f (x )+g (a )>g (x )+f (a ). 25.答案 A解析 f ′(x )=3mx 2-1,依题可得m <0. 26.答案 C解析 由图可知f (1)=0,f (2)=0,∴⎩⎪⎨⎪⎧ 1+b +c =0,8+4b +2c =0,解得⎩⎪⎨⎪⎧b =-3,c =2.∴f (x )=x 3-3x 2+2x ,∴f ′(x )=3x 2-6x +2. 由图可知x 1,x 2为f (x )的极值点, ∴x 1+x 2=2,x 1x 2=23.∴x 21+x 22=(x 1+x 2)2-2x 1x 2=4-43=83. 27.答案 3 2解析 f ′(x )=-8+22x ,f ′(x 0)=-8+22x 0=4, ∴x 0=3 2.28.答案 4x +y +2=0解析 ∵y =2x 2,∴y ′=4x ,y ′|x =-1=-4.故在点(-1,2)处的切线方程为y -2=-4(x +1),.29.答案 -2解析 由题意得f ′(x )=2x +3f ′(2), ∴f ′(2)=2×2+3f ′(2), ∴f ′(2)=-2. 30.答案103解析 ∵f ′(x )=3ax 2+6x , ∴f ′(-1)=3a -6=4, ∴a =103.31.答案 3x -y -2=0 解析 ∵y ′=3x 2,k =y ′|x =1=3. ∴y -1=3(x -1),即3x -y -2=0. 则y ′=2ax ,又∵a <0,故选B. 32.答案 (-∞,-3]解析 f ′(x )=3x 2+2kx =x (3x +2k ), 由题意知⎝⎛⎭⎫0,-2k3是函数的单调减区间, 因此-2k3≥2,即k ≤-3.33.答案 a ≥3 34.答案 a <-3或a >6解析 本题考查函数的极值概念及二次函数的图象应用,数形结合解答可减少错误; 若函数有极值需f ′(x )=3x 2+2ax +a +6的取值有负有正,故由二次函数图象可知只需Δ=(2a )2-12(a +6)>0即可,解得a <-3或a >6. 35.答案 (-1,11)解析 ∵f ′(x )=3x 2-30x -33=3(x -11)(x +1),令f ′(x )<0得-1<x <11,∴函数f (x )=x 3-15x 2-33x +6的单调减区间为(-1,11). 36.答案 (-2,2)解析 令f ′(x )=3x 2-3=0, 得x =±1,可得极大值为f (-1)=2,极小值为f (1)=-2,如图,观察得-2<a <2时恰有三个不同的公共点. 37.答案 k ≤13解析 f ′(x )=3kx 2+6(k -1)x .由题意,知⎩⎪⎨⎪⎧k ≥0,f ′(4)≤0或⎩⎨⎧k <0,-6(k -1)2×3k <0,解得k ≤13.38.答案 2∶1解析 设圆柱高为x ,底面半径为r ,则r =6-x 2π,圆柱体积V =π⎝ ⎛⎭⎪⎫6-x 2π2x =14π(x 3-12x 2+36x )(0<x <6), V ′=34π(x -2)(x -6).当x =2时,V 最大.此时底面周长为6-x =4,4∶2=2∶1.39.思维启迪:(1)求导数f ′(x )→判断f ′(x )>0或f ′(x )<0→确定单调区间;(2)根据单调性→求f (x )的极大、极小值→用数形结合.解 (1)因为f ′(x )=x 3+ax 2-2a 2x =x (x +2a )(x -a ), 令f ′(x )=0得x 1=-2a ,x 2=0,x 3=a ,由a >0,可知f ′(x )在f ′(x )=0处根的左右的符号如下表所示:x (-∞,-2a ) -2a(-2a ,0) 0 (0,a ) a (a ,+∞) f ′(x ) - 0 + 0 - 0 + f (x )减函数极小值 增函数极大值减函数极小值增函数f (x )的递减区间为(-∞,-2a )与(0,a ).(2)由(1)得到f (x )极小值=f (-2a )=-53a 4,f (x )极小值=f (a )=712a 4,f (x )极大值=f (0)=a 4. 要使f (x )的图象与直线y =1恰有两个交点, 只要-53a 4<1<712a 4或a 4<1,即a > 4127或0<a <1.探究提高 解本题若采用研究初等函数的方法来讨论函数的单调性、最值是十分繁杂的,而采用导数来求函数的单调区间,通过“求导”、“解不等式”、“写单调区间”这三步,简明有效.。
高二导数单元测试题、选择题3、函数y =(x+1)2(x —1)在x=1处的导数等于()A. 1B. 2C. 3D. 4 4、与直线2x -y+4=0的平行的抛物线 y=x 2的切线方程是()5、函数f (x )=x3_3xy 在闭区间[-3, 0]上的最大值、最小值分别是 ()A. 1 , - 1B. 1 , -17 C, 3, -17 D , 9, -193 _ 2 6、曲线y=x -3x +1在点(1, —1)处的切线方程为()A. y=3x —4B. y = —3x+2C. y = —4x+3D. y = 4x —5 7、函数f (x) =x 3 -3x 2 +1是减函数的区间为()A . (2尸)B. (-°°,2)C. (-00,0)D. (0, 2) 8、函数f (x) =x 3 +4x+5的图象在x=1处的切线与圆x 2 + y 2 =50的位置关系是()A 相切 B.相交但不过圆心C.过圆心D.相离3 2 9、函数f(x)=x +ax +3x —9,已知f(x)在x = —3时取得极值,则 a=()A. 2B. 3C. 4D. 510、设f (x )是函数f (x )的导函数,y = f'(x )的图象如右图所示,则 y= f (x )的图象最有可能 的是() 3 . 11、曲线y = x 在点(1,1)处的切线与x 轴、直线x = 2所围成的三角形的面积为............ 1 4 . 一 ...... 1、物体运动的方程为 s= — t -3 ,则当t =5的瞬时速率为() 4A. 5B. 25C. 1252、已知函数f (x )在x=1处的导数为1,则 (1)A. 2B. 1C.一2 D. 625 l l m D. f (1 x )-f (1)=(2x A. 2x —y +3 =0 B. 2x —y —3 =0C. 2x — y+1=0D. 2x — y —1 = 012、已知f(x)=(x-1) 2+2 ,g(x)=x2-1,则f[g(x)]的单调递增区间是13、设y = f (x)是二次函数,方程f (x)=0有两个相等的实根,且f (x)=2x +2,则y = f (x)的表达式为。
导数单元测试题〔实验班用〕一、选择题1.曲线323y x x =-+在点(1,2)处的切线方程为( )A .31y x =-B .35y x =-+C .35y x =+D .2y x = 2.函数21()e x f x x +=⋅,[]1,2-∈x 的最大值为( ).A .14e -B . 0C .2eD . 23e 3.假设函数3()3f x x x a 有3个不同的零点,那么实数a 的取值范围是〔 〕A.(2,2)B.2,2C.(,1)D.(1,)4.假设函数3()63f x x bxb 在(0,1)内有极小值,那么实数b 的取值范围是〔 〕A.1(0,)2B. (,1)C. (0,)D. (0,1)5.假设2a >,那么函数321()13f x x ax 在区间(0,2)上恰好有( )A .0个零点B .3个零点C .2个零点D .1个零点6.曲线x y e =在点2(2)e ,处的切线与坐标轴所围三角形的面积为〔 〕A.294eB.22eC.2eD.22e7.函数()f x 的图象如下图,以下数值排序正确的选项是( ).A .(3)(2)0(2)(3)32f f f f -''<<<-B .(3)(2)0(3)(2)32f f f f -''<<<-C . (3)(2)0(3)(2)32f f f f -''<<<-D .(3)(2)0(2)(3)32f f f f -''<<<-8设(),()f x g x 分别是R 上的奇函数和偶函数, 当0x时,''()()()()0f x g x f x g x ,且(3)0g ,那么不等式()()0f x g x 解集是( )A .(3,0)(3,) B .(3,0)(0,3) C .(,3)(3,) D .(,3)(0,3)9.函数ln ln ()a x f x x+=在1,上为减函数,那么实数a 的取值范围是( )A .a eB .0a eC .a eD .10ea <<10.假设函数)(x f 的导数是)1()(+-='x x x f ,那么函数()(1)g x f x =--的单调减区间是( )A .(1,0)-B .(,1),(0,)-∞-+∞C .(2,1)--D .(,2),(1,)-∞--+∞ 11.二次函数2()f x ax bx c =++的导数为'()f x ,'(0)0f >,对于任意实数x 都有()0f x ≥,那么(1)'(0)f f 的最小值为〔 〕 A .3 B .52 C .2 D .3212.函数2()ln 22a f x x x x =--存在单调递减区间,那么a 的取值范围是〔 〕(A)[1,)-+∞ (B) (1,)-+∞ (C) (,1)-∞- (D) (,1]-∞- 二、填空题13.假设函数2()2ln f x x x =-在其定义域内的一个子区间(1,1)k k -+内不是单调函数,那么实数k 的取值范围是 . 14.点P 在曲线323+-=x x y 上移动,设在点P 处的切线的倾斜角为为α,那么α的取值范围是15.函数3()128f x x x =-+在区间[3,3]-上的最大值与最小值分别为,M m ,那么M m -=_________16.函数()f x 的定义域为[]15,-,局部对应值如下表,()f x 的导函数()y f x '=的图象如下图. 以下关于()f x 的命题: ①函数()f x 的极大值点为0,4; ②函数()f x 在[]02,上是减函数;③如果当[]1x ,t ∈-时,()f x 的最大值是2,那么t 的最大值为4; ④当12a <<时,函数()y f x a =-有4个零点; ⑤函数()y f x a =-的零点个数可能为0,1,2,3,4个. 其中正确命题的序号是 . 三、解答题17.函数)0()(23≠++=a cx bx ax x f ,当1-=x 时()f x 取得极值5,且11)1(-=f .〔1〕求()f x 的单调区间和极小值;〔2〕证明对任意12,x x )3,3(-∈,不等式32|)()(|21<-x f x f 恒成立. 18.函数)1ln(2)(2++=x ax x f ,其中a 为实数. 〔1〕假设()f x 在1=x 处有极值,求a 的值;(2) 假设()f x 在]32[,上是增函数,求a 的取值范围. 19.函数2()ln(1)()f x x ax a x a R =---∈. 〔1〕当1=a 时,求函数)(x f 的最值; 〔2〕求函数)(x f 的单调区间.20.某食品厂进行蘑菇的深加工,每公斤蘑菇的本钱20元,并且每公斤蘑菇的加工费为x -1 0 4 5 ()f x1221t 元〔t 为常数,且25)t ≤≤,设该食品厂每公斤蘑菇的出厂价为x 元〔2540x ≤≤〕,根据市场调查,日销售量q 与e x成反比,当每公斤蘑菇的出厂价为30元时,日销售量为100公斤.〔1〕求该工厂的每日利润y 元与每公斤蘑菇的出厂价x 元的函数关系式;〔2〕假设5=t ,当每公斤蘑菇的出厂价x 为多少元时,该工厂的利润y 最大,求最大值.21.函数1ln ()x f x x+=.〔1〕假设函数在区间1(,)2a a +(0)a >上存在极值,求实数a 的取值范围;〔2〕如果当1≥x 时,不等式()1≥k f x x +恒成立,求实数k 的取值范围.22.设函数2()(1)2ln(1).f x x x =+-+ 〔1〕求函数()f x 的单调区间;〔2〕当11,1xe e时,()f x m 不等式<恒成立,求实数m 的取值范围; 〔3〕假设关于x 的方程2()f x x x a =++在0,2上恰有两个相异实根,求实数a 的取值范围.导数单元测试题答案一、选择题 ACAAD DBDAA CB 二、填空题13.312k14.30,,2415.32 16. ①②⑤三、解答题17.解:〔1〕2()32(0)f x ax bx c a '=++≠,由题意得(1)11(1)5(1)0f f f =-⎧⎪-=⎨⎪'-=⎩ ,即115320a b c a b c a b c ++=-⎧⎪-+-=⎨⎪-+=⎩ ,解得139a b c =⎧⎪=-⎨⎪=-⎩,,.因此x x x x f 93)(23--=,2()3693(1)(3)f x x x x x '=--=+-.当 ),3()1,(+∞--∞∈ x 时,'()0f x >;当)3,1(-∈x 时,'()0f x <. 所以函数()f x 的单调增区间为)1,(--∞和),3(+∞;单调减区间为)3,1(-. 故函数()f x 在3=x 处取得极小值,()(3)27f x f ==-极小值.〔2〕由〔Ⅰ〕知32()39f x x x x =--在)1,3(--上递增,在)3,1(-上递减, 所以max ()(1)5f x f =-=;min ()(3)27f x f =±=-.所以,对任意12,x x )3,3(-∈恒有 12|()()||5(27)|32f x f x -<--=.18.解:〔1〕由得()f x 的定义域为)1(∞+-,. 又2()2,1f x ax x '=++ 因为()f x 在1=x 处有极值,(1)210f a '∴=+=,解之得 1.2a =-〔2〕依题意得()0≥f x '对[23]x ∀∈,恒成立, 即 201≥ax x 2++对[23]x ∀∈,恒成立. 221111()24a x x x ∴>=---++ 对[23]x ∀∈,恒成立.211[23]()24x x ∈∴-++,, [12,6],∈-- 41)21(12++-∴x 11[,],612∈-- 112≥a ∴-.19.解:〔1〕函数2()ln(1)()f x x ax a x a =---∈R 的定义域是(1,)+∞.当1a =时,32()12()2111x x f x x x x -'=--=--, 所以()f x 在3(1,)2为减函数在3(,)2+∞为增函数,所以函数()f x 的最小值为33()ln 224f =+.〔2〕22()2()211a x x a f x x a x x +-'=--=--, ①假设0a ≤时,那么22()221,()21a x x a f x x +-+=-≤>0在(1,)+∞恒成立, 所以()f x 的增区间为(1,)+∞.②假设20,12a a +>>则,故当2(1)2a x +∈,,22()2()01a x x f x x +-'=-≤; 当2[,)2a x +∈+∞时,22()2()01a x x f x x +-=-≥. 所以当0a >时,()f x 的减区间为2(1,)2a +,()f x 的增区间为2(,)2a ++∞.20.解:〔1〕设日销量3030,100,100e e e则x k k q k ==∴=, ………………2分所以日销量30100e e xq =.30100e (20)(2540)e x x t y x --∴=≤≤.………………7分〔2〕当5=t 时,30100e (25)exx y -=. ………………8分30100e (26)e xx y -'∴=. ………………9分026由得y x '≥≤,026由得,y x '≤≥[2526][2640]在,上单调递增,在,上单调递减.y ∴4max 26,100e 当时x y ∴==.………………11分当每公斤蘑菇的出厂价为26元时,该工厂的利润最大,最大值为4100e 元.……12分 21.解:〔Ⅰ〕因为1ln ()x f x x +=, x >0,那么2ln ()x f x x'=-,当01x <<时,()0f x '>;当1x >时,()0f x '<. 所以()f x 在〔0,1〕上单调递增;在(1,)+∞上单调递减, 所以函数()f x 在1x =处取得极大值. 因为函数()f x 在区间1(,)2a a +〔其中0a >〕上存在极值,所以1,11,2a a <⎧⎪⎨+>⎪⎩ 解得112a <<. 〔Ⅱ〕不等式(),1k f x x +≥即为(1)(1ln ),x x k x ++≥记(1)(1ln )(),x x g x x ++=那么min (), 1.k g x x ≤≥所以2[(1)(1ln )](1)(1ln )()x x x x x g x x '++-++'=2ln x xx-=. 令()ln h x x x =-,那么1()1h x x'=-,1x ≥,()0,h x '∴≥[()h x ∴在[1,)+∞上单调递增,min ()(1)10h x h ∴==>,从而()(1)0h x h >≥,所以()0g x '>,故()g x 在[1,)+∞上也单调递增, 所以min ()(1)2g x g ==. 所以2k ≤.22.解:〔2〕函数的定义域为。
高中数学(文科)选修1-1第三章导数单元测试题一、选择题(本大题共10小题.每题只有一个正确答案,请把正确答案的选项填在括号内) 1.已知f (x )在x =x 0处可导,则0lim x x →[][]0202)()(x x x f x f --等于A.f ′(x 0)B.f (x 0)C.f (x 0)·f ′(x 0)D.2f (x 0)·f ′(x 0)2.物体运动的方程为s =41t 4-3,则t =5的瞬时速度为A.5B.25C.125D.6253. (2006.安徽高考.理7)若曲线4y x =的一条切线l 与直线480x y +-=垂直,则l 的方程为 A .430x y --= B .450x y +-= C .430x y -+= D .430x y ++=4.对于函数f (x )=x 3-3x 2,给出命题:①f (x )是增函数;②f (x )为减函数,无极值;③f (x )是增函数的区间为(-∞,0)∪(2,+∞),是减函数的区间为(0,2);④f (0)是极大值,f (2)=-4是极小值.其中正确的命题有 A.1个 B.2个 C.3个D.4个5.若曲线y =x 2-1与y =1-x 3在x =x 0处的切线互相垂直,则x 0等于A.6363B.-6363C.32D.32或06.已知函数f (x )=x 3-3x 2-9x ,x ∈(-2,2),则f (x ) A.极大值为5,极小值为-27 B.极大值为5,极小值为-11 C.极大值为5,无极小值D.极小值为-27,无极大值7. (2006.江西高考.理5)对于R 上可导的任意函数f (x ),若满足(x -1)f x '()≥0,则必有( ) A 、f (0)+f (2)<2f (1) B. f (0)+f (2)≤2f (1) C. f (0)+f (2)≥2f (1) D. f (0)+f (2)>2f (1) 8.函数f (x )=x (1-x 2)在[0,1]上的最大值为A.932 B.922C.923 D.839.已知f (x )=xx x cos sin sin +,则f ′(4π)等于A.21 B.221C.21 D.-2110.已知函数f (1)=x 2+2xf ′(1),则f (-1)与f (1)的大小关系是 A.f (-1)=f (1) B.f (-1)<f (1) C.f (-1)>f (1)D.无法确定二、填空题(本大题共4小题.把答案填在题中横线上)11.曲线y =x 3+3x 2+6x -10的切线中,斜率最小的切线方程为__________.12.已知函数y =x 3+ax 2+bx +27在x =-1处有极大值,在x =3处有极小值,则a =__________,b =__________.13.函数f (x )=x 3-x 的单调增区间为__________.14. (2006·全国高考I ·理16)设函数())()cos 0f x ϕϕπ=+<<。
高二数学选修1-1《导数及其应用》单元测试卷班级: 姓名: 座号: 成绩:一、选择题(共7个小题,每小题6分)1、一个物体的运动方程为21s t t =-+,其中s 的单位是米,t 的单位是秒,那么物体在3秒末的瞬时速度是 ( )A .5米/秒B .6米/秒C .7米/秒D .8米/秒2、函数()3f x x x =+的单调递增区间是 ( )A .()0,+∞B .(),1-∞C .(),-∞+∞D .()1,+∞3、已知()3232f x ax x =++且()14f '-=,则实数a 的值等于 ( )A .193B .163C .133D .1034、函数()()22f x x π=的导数是 ( )A .()4f x x π'=B .()24f x x π'=C .()28f x x π'=D .()16f x x π'=5、“函数()00f x '=”是“可导函数()f x 在点0x x =处取到极值”的 条件。
( )A .充分不必要B .必要不充分C .充要D .既不充分也不必要6、已知曲线24x y =的一条切线的斜率为12,则切点的横坐标为 ( ) A .1 B .2 C .3 D .47、设()0sin f x x =,()()10f x f x '=,()()21f x f x '=,,()()1n n f x f x +'=,n ∈N ,则()2005f x = ( )A .sin xB .sin x -C .cos xD .cos x -二、填空题(共3个小题,每小题6分)8、曲线31y x x =++在点()1,3处的切线方程是 .9、已知直线10x y --=与抛物线2y ax =相切,则a = .10、三次函数()3f x ax x =+在(),-∞+∞内是增函数,则a 的取值范围是 .三、解答题(共2个小题,每题20分)11、已知函数()32f x x ax bx c =+++,当1x =-时,取得极大值7;当3x =时,取得极小值.试求a 、b 、c 的值及这个极小值.12、设函数3()3(0)f x x ax b a =-+>.(Ⅰ)若曲线()y f x =在点(2,())f x 处与直线8y =相切,求,a b 的值;(Ⅱ)求函数()f x 的单调区间与极值点.高二数学选修1-1《导数及其应用》单元测试卷参考答案1-5 ACDCB 6-7 AC 8. 410x y --= 9. 1410. 0a > 11、解:()32f x x ax bx c =+++,∴()232f x x ax b '=++由题意知,1-和3是方程2320x ax b ++=的两个实数根 ∴2133133a b ⎧-=-+⎪⎪⎨⎪=-⨯⎪⎩,解得:39a b =-⎧⎨=-⎩()17f -=∴()()()()3211319157f c c -=--⨯--⨯-+=+=∴2c =∴极小值()32333393225f =-⨯-⨯+=-12、(Ⅰ)()'233f x x a =-,∵曲线()y f x =在点(2,())f x 处与直线8y =相切,∴()()()'203404,24.86828f a a b a b f ⎧=-=⎧=⎧⎪⎪⇒⇒⎨⎨⎨=-+==⎪⎩⎪⎩⎩(Ⅱ)∵3()3(0)f x x ax b a =-+>,由()'0f x x =⇒=当(,x ∈-∞时,()'0f x >,函数()f x 单调递增,当(x ∈时,()'0f x <,函数()f x 单调递减,当)x ∈+∞时,()'0f x >,函数()f x 单调递增,∴此时x =()f x 的极大值点,x =()f x 的极小值点.知识改变命运。
导数单元测试题(实验班用)一、选择题1.曲线323y x x =-+在点(1,2)处的切线方程为( )A .31y x =-B .35y x =-+C .35y x =+D .2y x = 2.函数21()e x f x x +=⋅,[]1,2-∈x 的最大值为( ).A .14e -B . 0C .2eD . 23e 3.若函数3()3f x x x a 有3个不同的零点,则实数a 的取值范围是( )A.(2,2)B.2,2C.(,1)D.(1,)4.若函数3()63f x x bx b 在(0,1)内有极小值,则实数b 的取值范围是( )A.1(0,)2B. (,1)C. (0,)D. (0,1)5.若2a >,则函数321()13f x x ax 在区间(0,2)上恰好有( )A .0个零点B .3个零点C .2个零点D .1个零点6.曲线xy e =在点2(2)e ,处的切线与坐标轴所围三角形的面积为( )A.294eB.22eC.2eD.22e7.函数()f x 的图象如图所示,下列数值排序正确的是( ).A .(3)(2)0(2)(3)32f f f f -''<<<-B .(3)(2)0(3)(2)32f f f f -''<<<-C . (3)(2)0(3)(2)32f f f f -''<<<-D .(3)(2)0(2)(3)32f f f f -''<<<-8设(),()f x g x 分别是R 上的奇函数和偶函数, 当0x时,''()()()()0f x g x f x g x ,且(3)0g ,则不等式()()0f x g x 解集是( )A .(3,0)(3,) B .(3,0)(0,3) C .(,3)(3,) D .(,3)(0,3)9.已知函数ln ln ()a x f x x+=在1,上为减函数,则实数a 的取值范围是( )A .ae B .0a e C .a eD .10ea <<10.若函数)(x f 的导数是)1()(+-='x x x f ,则函数()(1)g x f x =--的单调减区间是( )A .(1,0)-B .(,1),(0,)-∞-+∞C .(2,1)--D .(,2),(1,)-∞--+∞11.已知二次函数2()f x ax bx c =++的导数为'()f x ,'(0)0f >,对于任意实数x 都有()0f x ≥,则(1)'(0)f f 的最小值为( ) A .3 B .52 C .2 D .3212.已知函数2()ln 22a f x x x x =--存在单调递减区间,则a 的取值范围是( )(A)[1,)-+∞ (B) (1,)-+∞ (C) (,1)-∞- (D) (,1]-∞- 二、填空题13.若函数2()2ln f x x x =-在其定义域内的一个子区间(1,1)k k -+内不是单调函数,则实数k 的取值范围是 . 14.点P 在曲线323+-=x x y 上移动,设在点P 处的切线的倾斜角为为α,则α的取值范围是15.已知函数3()128f x x x =-+在区间[3,3]-上的最大值与最小值分别为,M m ,则M m -=_________16.已知函数()f x 的定义域为[]15,-,部分对应值如下表,()f x 的导函数()y f x '=的图象如图所示. 下列关于()f x 的命题: ①函数()f x 的极大值点为0,4; ②函数()f x 在[]02,上是减函数;③如果当[]1x ,t ∈-时,()f x 的最大值是2,那么t 的最大值为4; ④当12a <<时,函数()y f x a =-有4个零点; ⑤函数()y f x a =-的零点个数可能为0,1,2,3,4个. 其中正确命题的序号是 . 三、解答题17.已知函数)0()(23≠++=a cx bx ax x f ,当1-=x 时()f x 取得极值5,且11)1(-=f .(1)求()f x 的单调区间和极小值;(2)证明对任意12,x x )3,3(-∈,不等式32|)()(|21<-x f x f 恒成立.18.已知函数)1ln(2)(2++=x ax x f ,其中a 为实数. (1)若()f x 在1=x 处有极值,求a 的值; (2) 若()f x 在]32[,上是增函数,求a 的取值范围. 19.已知函数2()ln(1)()f x x ax a x a R =---∈. (1)当1=a 时,求函数)(x f 的最值; (2)求函数)(x f 的单调区间.x-1 0 4 5 ()f x122120.某食品厂进行蘑菇的深加工,每公斤蘑菇的成本20元,并且每公斤蘑菇的加工费为t 元(t 为常数,且25)t ≤≤,设该食品厂每公斤蘑菇的出厂价为x 元(2540x ≤≤),根据市场调查,日销售量q 与e x成反比,当每公斤蘑菇的出厂价为30元时,日销售量为100公斤.(1)求该工厂的每日利润y 元与每公斤蘑菇的出厂价x 元的函数关系式;(2)若5=t ,当每公斤蘑菇的出厂价x 为多少元时,该工厂的利润y 最大,求最大值.21.已知函数1ln ()x f x x+=.(1)若函数在区间1(,)2a a +(0)a >上存在极值,求实数a 的取值范围;(2)如果当1≥x 时,不等式()1≥k f x x +恒成立,求实数k 的取值范围.22.设函数2()(1)2ln(1).f x x x =+-+ (1)求函数()f x 的单调区间;(2)当11,1xe e时,()f x m 不等式<恒成立,求实数m 的取值范围; (3)若关于x 的方程2()f x x x a =++在0,2上恰有两个相异实根,求实数a 的取值范围.导数单元测试题答案一、选择题 ACAAD DBDAA CB 二、填空题13.312k14.30,,2415.32 16. ①②⑤三、解答题17.解:(1)2()32(0)f x ax bx c a '=++≠,由题意得(1)11(1)5(1)0f f f =-⎧⎪-=⎨⎪'-=⎩ ,即115320a b c a b c a b c ++=-⎧⎪-+-=⎨⎪-+=⎩ ,解得139a b c =⎧⎪=-⎨⎪=-⎩,,.因此x x x x f 93)(23--=,2()3693(1)(3)f x x x x x '=--=+-.当 ),3()1,(+∞--∞∈ x 时,'()0f x >;当)3,1(-∈x 时,'()0f x <. 所以函数()f x 的单调增区间为)1,(--∞和),3(+∞;单调减区间为)3,1(-. 故函数()f x 在3=x 处取得极小值,()(3)27f x f ==-极小值.(2)由(Ⅰ)知32()39f x x x x =--在)1,3(--上递增,在)3,1(-上递减, 所以max ()(1)5f x f =-=;min ()(3)27f x f =±=-.所以,对任意12,x x )3,3(-∈恒有 12|()()||5(27)|32f x f x -<--=.18.解:(1)由已知得()f x 的定义域为)1(∞+-,. 又2()2,1f x ax x '=++ 因为()f x 在1=x 处有极值,(1)210f a '∴=+=,解之得 1.2a =-(2)依题意得()0≥f x '对[23]x ∀∈,恒成立,即 201≥ax x 2++对[23]x ∀∈,恒成立.221111()24a x x x ∴>=---++对[23]x ∀∈,恒成立.211[23]()24x x ∈∴-++,, [12,6],∈-- 41)21(12++-∴x 11[,],612∈-- 112≥a ∴-. 19.解:(1)函数2()ln(1)()f x x ax a x a =---∈R 的定义域是(1,)+∞.当1a =时,32()12()2111x x f x x x x -'=--=--, 所以()f x 在3(1,)2为减函数在3(,)2+∞为增函数,所以函数()f x 的最小值为33()ln 224f =+.(2)22()2()211a x x a f x x a x x +-'=--=--, ①若0a ≤时,则22()221,()21a x x a f x x +-+=-≤>0在(1,)+∞恒成立, 所以()f x 的增区间为(1,)+∞.②若20,12a a +>>则,故当2(1)2a x +∈,,22()2()01a x x f x x +-'=-≤; 当2[,)2a x +∈+∞时,22()2()01a x x f x x +-=-≥. 所以当0a >时,()f x 的减区间为2(1,)2a +,()f x 的增区间为2(,)2a ++∞.20.解:(1)设日销量3030,100,100e e e则x k k q k ==∴=, ………………2分所以日销量30100e exq =.30100e (20)(2540)e x x t y x --∴=≤≤.………………7分(2)当5=t 时,30100e (25)e xx y -=.………………8分30100e (26)exx y -'∴=. ………………9分026由得y x '≥≤,026由得,y x '≤≥[2526][2640]在,上单调递增,在,上单调递减.y ∴4max 26,100e 当时x y ∴==.………………11分当每公斤蘑菇的出厂价为26元时,该工厂的利润最大,最大值为4100e 元.……12分 21.解:(Ⅰ)因为1ln ()x f x x +=, x >0,则2ln ()x f x x'=-,当01x <<时,()0f x '>;当1x >时,()0f x '<. 所以()f x 在(0,1)上单调递增;在(1,)+∞上单调递减, 所以函数()f x 在1x =处取得极大值. 因为函数()f x 在区间1(,)2a a +(其中0a >)上存在极值,所以1,11,2a a <⎧⎪⎨+>⎪⎩ 解得112a <<. (Ⅱ)不等式(),1k f x x +≥即为(1)(1ln ),x x k x ++≥记(1)(1ln )(),x x g x x ++=则min (), 1.k g x x ≤≥所以2[(1)(1ln )](1)(1ln )()x x x x x g x x '++-++'=2ln x xx -=. 令()ln h x x x =-,则1()1h x x'=-,1x ≥,()0,h x '∴≥[()h x ∴在[1,)+∞上单调递增,min ()(1)10h x h ∴==>,从而()(1)0h x h >≥,所以()0g x '>,故()g x 在[1,)+∞上也单调递增, 所以min ()(1)2g x g ==. 所以2k ≤.22.解:(2)函数的定义域为(1,).-+∞。