高中数学选修第一章导数测试题
- 格式:docx
- 大小:130.54 KB
- 文档页数:12
第一章导数及其应用1.1变化率与导数导数的观点A 级基础稳固一、选择题1. y= x2在 x= 1 处的导数为 ()A. 2x B. 2 C. 2+ x D. 1分析:由于 f(x)= x2,x= 1,因此y= f(1+x)- f (1)= (1+x)2- 1= 2x+ (x)2,所以y=(2+x)= 2.x答案: B2.一物体运动知足曲线方程s=4t2+ 2t- 3,且 s′(5)= 42(m/s),其实质意义是 () A.物体 5 秒内共走过42 米B.物体每 5 秒钟运动42 米C.物体从开始运动到第 5 秒运动的均匀速度是42 米/秒D.物体以 t= 5 秒时的刹时速度运动的话,每经过一秒,物体运动的行程为42 米分析:由导数的物理意义知,s′ (5)= 42(m/s)表示物体在t= 5 秒时的刹时速度.答案: D3.设函数 f (x)在点 x0邻近有定义,且有 f(x0+x)- f(x0 )= a x+ b(x)2,(a,b 为常数 ),则 ()A. f′ (x)= a B. f′ (x)= bC. f′ (x0)= a D. f′ (x0)= b分析:由于 f′(x=f( x0+x)-f(x)=0)xa x+ b(x)2=(a+ b x)= a,因此 f′(xx0)=a.答案: C4.已知 y=x+ 4,则 y′|x1= ________.=555A. 2B. 10C. 5 D.-10分析:由题意知y=1+x+ 4- 1+ 4=5+x-5,y+-5+-5所以=5x1=5x=. 所以 y′|xx x=xx=5x ( 5+ x +5) 10.答案: B5.假如某物体做运动方程为s = 2(1- t 2)的直线运动 (s 的单位为 m , t 的单位为 s),那么 其在 1.2 s 末的刹时速度为 ()A .- 4.8 m/sB .- 0.88 m/sC . 0.88 m/sD . 4.8 m/s解 析 : 运 动 物 体 在1.2s 末 的 瞬 时 速 度 即 为 s 在 1.2 处 的 导数 , 所 以f ( 1.2+ t )- f ( 1.2)=t222[1-( 1.2+t ) ]- 2×( 1- 1.2 )=2(- 答案: A 二、填空题6.设函数t - 2.4)=- 4.8(m/s).f(x)知足f ( 1)- f ( 1- x )=- 1,则 f ′(1)= ________.x分析: f ( 1)- f ( 1- x ) = f ( 1- x )- f ( 1)= f ′(1)=- 1.x- x答案:- 17.函数 f(x)= x 2+ 1 在 x = 1 处可导,在求 f ′(1)的过程中,设自变量的增量为x ,则函数的增量y = ________.分析:y = f(1+ x)- f(1) =- (1 2+ 1)=2 x + ( x)2.答案: 2 x + (x)28.某物体做匀速直线运动,其运动方程是 s = vt ,则该物体在运动过程中其均匀速度与任何时辰的刹时速度的大小关系是________.s ( +t )- s ( t )分析: v 0== s t 0=ttv ( t 0+ t )- v ( t 0)=v tt= v.t答案:相等三、解答题19.利用导数的定义,求函数y = x 2+ 2 在点 x = 1 处的导数. 解:由于y = 1 2+2 - 1 =( x + x ) x 2+ 2- 2x x -(x ) 2,因此y =- 2x - x ,( x + x ) 2· x 2 x ( x + x ) 2· x 2因此 y ′=y = - 2x - x2=- 23,( x +2xx ) · xx因此 y ′|x =1=- 2.10.在自行车竞赛中,运动员的位移与竞赛时间t 存在关系 s(t)= 10t + 5t 2(s 的单位是 m ,t 的单位是 s).(1)求 t = 20,t = 0.1 时的s 与s ;t(2)求 t = 20 时的速度.解: (1) 当 t = 20, t = 0.1 时,s = s(20+ t)- s(20)= 10(20+ 0.1)+ 5(20+ 0.1)2- (10 ×20+ 5× 202)= 1+ 20+ 5×0.01=21.05.因此s 21.05 = 210.5.= 0.1ts( + t)+(+ t) 2- 10t - 5t 2(2)v ==10 t 5 t =tt5(t ) 2+ 10 t + 10tt(5 t + 10+ 10t)= 10+ 10t ,t=因此 t = 20 时的速度即为10+ 10×20= 210(m/s).B 级 能力提高1.某物体运动规律是 s = t 2 - 4t + 5,若此物体的刹时速度为 0,则 t = ()A .3B .2.5C .2D .1分析: s = (t + t)2- 4(t +t) + 5- ( t 2- 4t + 5)= 2t t + ( t)2- 4 t ,由于 v =st= 2t - 4= 0,因此 t = 2.答案: C2.婴儿从出生到第24 个月的体重变化如下图,第二年婴儿体重的均匀变化率为________kg/ 月.分析:第二年婴儿体重的均匀变化率为14.25- 11.25= 0.25(kg/月 ).24- 12答案: 0.253.若一物体运动方程是 (s 的单位是 m , t 的单位是 s)3t 2+ 2( t ≥3),s =29+ 3( t - 3) 2( 0≤t < 3) .求: (1) 物体在 t ∈内的均匀速度;(2) 物体的初速度v 0;(3) 物体在 t = 1 时的刹时速度.解: (1) 由于物体在 t ∈内的时间变化量为t = 5-3= 2,物体在 t ∈内的位移变化量为:= × 2+ 2- (3 ×32+ 2)= 3×(52- 32s 3 5 )= 48,因此物体在 t ∈上的均匀速度为 s 48 = 24(m/s).= 2t (2) 求物体的初速度 v 0 即求物体在 t = 0 时的刹时速度.由于物体在 t = 0 邻近的均匀变化率为s ( +)- ( ) == ftftt29+ 3[( 0+ t )- 3]2- 29- 3( 0- 3) 2= 3t - 18.t因此物体在 t = 0 处的刹时变化率为,s (3 t - 18)=- 18,t =即物体的初速度为- 18 m/s.(3)物体在 t = 1 时的刹时速度即为函数在 t = 1 处的刹时变化率.由于物体在 t = 1 邻近的均匀变化率为:s ( + )- ( )= f 1 t f 1 = tt29+ 3[( 1+ t )- 3]2- 29- 3( 1- 3) 2t - 12,= 3t因此物体在 t = 1 处的刹时变化率为:s = (3 t - 12)=- 12.t即物体在 t = 1 时的速度为- 12 m/s.。
数学选修 2-2 第一章单元测试题一、选择题 ( 本大题共 12 小题,每小题 5 分,共 60 分,在每小题给出的四个选项中,只有一项是符合题目要求的)1.函数f ( x) 的定义域为开区间 ( a,b) ,导函数f′(x) 在( a,b) 内的图像如图所示,则函数 f ( x)在开区间( a,b)内有极小值点()A.1 个B.2 个C.3 个D.4 个1 12.在区间[ 2,2] 上,函数 f ( x)=x2+px+q 与g( x)=2x+x2在1同一点处取得相同的最小值,那么f(x)在[2,2]上的最大值是()C.8D.423.点P在曲线y=x3-x+3上移动,设点P处的切线的倾斜角为α,则α 的取值范围是( )ππ3A.[0 ,2 ] B.[0 ,2 ] ∪[ 4π,π)3 π 3C.[ 4π,π ) D.[ 2,4π]14.已知函数f ( x) =2x4-2x3+3m,x∈R,若f ( x) +9≥0恒成立,则实数 m的取值范围是()3 3A.m≥2 B.m>23 3C.m≤2 D.m<2x2 25.函数f ( x) =cos x-2cos 2的一个单调增区间是 ()f x 0+3 -f x 06.设f ( x) 在x=x0 处可导,且lim Δx=1,Δx→0则 f ′(x0)等于( )A.1 B.0C.3x+97.经过原点且与曲线y=x+5相切的切线方程为()A.x+y=0B.x+25y=0C.x+y= 0 或x+25y=0D.以上皆非8.函数f ( x) =x3+ax2+bx+c,其中a,b,c为实数,当a2-3b<0 时,f ( x) 是()A.增函数B.减函数C.常数D.既不是增函数也不是减函数13 29.若a>2,则方程3x -ax +1=0 在(0,2) 上恰好有 ()A.0 个根B.1 个根C.2 个根D.3 个根1 10.一点沿直线运动,如果由始点起经过t s 后距离为s=4t 4-53t 3+2t 2,那么速度为零的时刻是( )A.1 s 末B.0 sC.4 s 末D.0,1,4 s 末x2,x∈[0,1],2f(x) d x 等于 () 11.设f ( x) =则2-x,x∈ 1,2] ,0D.不存在sin x sin x1 sin x2 12.若函数 f(x) =x,且 0<x1<x2 <1,设 a=x1 ,b=x2 ,则 a,b 的大小关系是 ( )A.a>b B.a<bC.a=b D.a、b的大小不能确定二、填空题 ( 本大题共 4 小题,每小题 5 分,共 20 分.把答案填在题中横线上 )1 3 213.若 f(x) =3x -f ′(1)x +x+5,则 f ′(1) = ________.π π14.已知函数 f(x) 满足 f(x) =f( π-x) ,且当 x∈ -2,2 时,f(x) =x+sin x,设a=f(1) ,b=f(2) ,c=f(3) ,则a、b、c 的大小关系是 ________.15.已知函数f(x) 为一次函数,其图像经过点(2,4) ,且1f(x) d x=3,则函数f(x) 的解析式为________.16.(2010 ·江苏卷) 函数2y=x(x>0)的图像在点 2(a k,a k) 处的切线与x 轴的交点的横坐标为a k+1,其中k∈N*. 若a1=16,则a1+a3+a5的值是________.三、解答题 ( 本大题共 6 小题,共 70 分,解答应出写文字说明、证明过程或演算步骤 )17.(10 分) 如图,直线y=kx分抛物线y=x-x2与x轴所围成图形为面积相等的两部分,求k 的值.18.(12 分) 已知函数 f(x) =x4-4x3+ax2-1 在区间 [0,1] 上单调递增,在区间 [1,2) 上单调递减.(1)求 a 的值;(2)若点 A(x0,f(x0)) 在函数 f(x) 的图像上,求证:点 A关于直线x=1 的对称点 B 也在函数 f(x) 的图像上.19.(12 分) 设 x=- 2 与 x=4 是函数 f(x) =x3+ax2+bx 的两个极值点.(1)求常数 a,b;(2)试判断 x=- 2,x= 4 是函数 f(x) 的极大值还是极小值,并说明理由.20.(12 分) 已知 f(x) =ax3-6ax2+b,x∈[ -1,2] 的最大值为 3,最小值为- 29,求 a,b 的值.21.(12 分)(2010 ·重庆卷 ) 已知函数 f(x) =ax3+x2+ bx( 其中常数a,b∈R) ,g( x) =f ( x) +f′(x) 是奇函数.(1)求 f ( x)的表达式;(2)讨论 g( x)的单调性,并求 g( x)在区间[1,2]上的最大值与最小值.1-x22.(12 分) 已知函数f ( x) =ln( ax+1) +1+x,x≥0,其中a>0.(1)若 f ( x)在 x=1处取得极值,求 a 的值;(2)求 f ( x)的单调区间;(3)若 f ( x)的最小值为1,求 a 的取值范围.参考答案1.答案 A解析设极值点依次为 x1,x2,x3且 a<x1<x2<x3<b,则 f ( x) 在( a,x1) ,( x2,x3) 上递增,在 ( x1,x2) ,( x3,b) 上递减,因此,x1、x3是极大值点,只有x2是极小值点.2.答案 D3.答案 B4.答案 A1解析因为函数 f ( x)=2x4-2x3+3m,所以 f ′(x)=2x3-6x2.令 f ′(x)=0,得 x=0或 x=3,经检验知 x=3是函数的一个最27小值点,所以函数的最小值为 f (3)=3m-2.不等式 f ( x)+9≥0恒成27 3立,即 f ( x)≥-9恒成立,所以3m-2≥-9,解得 m≥2.5.答案 A解析 f ( x)=cos2x-cos x-1,∴f′(x)=-2sin x·cos x+sin x=sin x·(1-2cos x).令 f ′(x)>0,结合选项,选A.6. 答案 D7. 答案 D8. 答案 A9. 答案 B解析 1 3 2设 f ( x ) =3x -ax +1,则2f ′(x )=x -2ax =x ( x -2a ) ,当 x ∈(0,2) 时, f ′(x )<0,f ( x ) 在(0,2) 上为减函数,又 f (0) f (2) =8 111 3-4a +1 = 3 -4a <0,f ( x ) =0 在(0,2) 上恰好有一个根,故选 B.10. 答案 D11. 答案 C解析 数形结合,如图.2f(x) d x = 1x 2d x + 2(2 -x) d x0 11 3 11 22= 3x+ 2x -2x11 1= 3+(4 -2-2+2)5= 6,故选 C .12. 答案Af ′(x) =x cos x -sin x解析 x 2, 令 g(x) =x cos x -sin x ,则g ′(x) =- x sin x +cos x -cos x =- x sin x.∵0<x<1,∴ g ′(x)<0 ,即函数 g(x) 在 (0,1) 上是减函数,得 g(x)<g(0) =0,故 f ′(x)<0 ,函数 f(x) 在(0,1) 上是减函数,得 a>b ,故选A .213. 答案 32 2解析 f ′(x) = x -2f ′(1)x + 1,令 x=1,得 f ′(1) =3.14. 答案 c<a<b解析f(2) = f( π-2) , f(3) = f( π- 3) ,因为 f ′(x) = 1+π ππcos x≥0,故f(x)在-2,2上是增函数,∵2 >π-2>1>π-3>0,∴f( π-2)>f(1)>f( π-3) ,即 c<a<b.2815.答案 f(x) =3x+3解析设函数 f(x) =ax+b(a ≠0) ,因为函数 f(x) 的图像过点(2,4) ,所以有 b=4-2a.∴1 f(x) d x= 1 (ax +4-2a) d x0 01 2 1 1=[ ax +(4 -2a)x] | 0=a+4-2a=1.2 22 8 2 8∴a=3. ∴b=3. ∴f(x) =3x+3.16. 答案21解析2 2∵y′=2x,∴过点( a k,a k)处的切线方程为y-a k=2a k( x1-a k),又该切线与 x 轴的交点为( a k+1,0),所以 a k+1=2a k,即数列{ a k}1是等比数列,首项a1=16,其公比q=2,∴ a3=4,a5=1,∴ a1+a3 +a5=21.17. 解析抛物线 y =x -x 2 与 x 轴两交点的横坐标为x 1=0,x 2=1,所以,抛物线与 x 轴所围图形面积 S = 12) d x =x 2 x 3 11 (x -x 2 -3 0=2-1 13=6.y =x -x 2,又 由此可得抛物线 y =x -x 2 与 y =kx 两交点的横y =kx ,S- 2 x 3 -坐标 x 3= , 4= - ,所以 = 1-k (x - x 2 kx) d x =1 k x - 1k -0 x 1 k 2 02313=6(1 -k) .3又 S = ,所以 (1 -k) 3=1,∴ k =1- 4.622118. 解析 (1) 由函数 f(x) =x4-4x3+ax2-1 在区间 [0,1] 单调递增,在区间 [1,2) 单调递减,∴x =1 时,取得极大值,∴ f ′(1) = 0.又 f ′(x) = 4x3-12x2+2ax ,∴4-12+2a = 0? a = 4.(2) 点 A(x0,f(x0)) 关于直线 x =1 的对称点 B 的坐标为 (2 -x0, f(x0)) ,f(2 -x0) =(2 -x0)4 -4(2 -x0)3 +4(2 -x0)2 -1= (2 -x0)2[(2 -x0) -2]2 -1= x 40-4x30+ ax20- 1=f(x0) ,∴A 关于直线 x =1 的对称点 B 也在函数 f(x) 的图像上.19.解析 f ′(x) =3x2+2ax+b.(1) 由极值点的必要条件可知:12-4a+b=0,f ′( - 2) =f ′(4) = 0,即48+8a+b=0,解得 a=- 3,b=- 24.或f ′(x) = 3x2+2ax+b=3(x +2)(x -4)=3x2-6x-24,也可得 a=- 3,b=- 24.(2) 由 f ′(x) = 3(x +2)(x -4) .当 x<- 2 时, f ′(x) > 0,当- 2<x<4 时, f ′(x) < 0. ∴x=- 2 是极大值点,而当x>4 时, f ′(x) > 0,∴x=4 是极小值点.20.解析 a≠0( 否则 f(x) =b 与题设矛盾 ) ,由f ′(x) = 3ax2-12ax=0 及 x∈[ - 1,2] ,得 x=0. (1) 当 a>0 时,列表:x ( -1,0) 0 (0,2)f ′(x) +0 -f(x) 增极大值 b 减由上表知, f(x) 在[ - 1,0] 上是增函数,f(x) 在[0,2] 上是减函数.则当 x=0 时, f(x) 有最大值,从而b=3.又f( -1) =- 7a+3,f(2) =- 16a+3,∵a>0,∴ f( -1) >f(2) .从而 f(2) =- 16a+3=- 29,得a=2.(2)当 a<0 时,用类似的方法可判断当 x=0 时 f(x) 有最小值.当x=2 时, f(x) 有最大值.从而 f(0) =b=- 29, f(2)=-16a-29=3,得a=- 2.综上, a= 2,b=3 或 a=- 2,b=- 29.21.解析 (1) 由题意得f′(x) = 3ax2+2x+b. 因此g( x) =f ( x) +f′(x)=ax3+(3 a+1) x2+( b+2) x+b.因为函数 g( x)是奇函数,所以g(-x)=- g( x),即对任意实数x,有 a(- x)3+(3 a+1)(-x)2+( b +2)( -x) +b=- [ ax3+(3 a+1) x2+( b+2) x+b] ,从而 3a+1=0,b=0,解得a=-1,b=0,因此f ( x) 的解析式为f ( x) =-x3+x2. 331(2)由(1) 知g( x) =-1x3+2x,所以g′(x) =-x2+2. 3令g′(x)=0,解得x1=-2,x2=2,则当x<-2或x> 2时,g′(x)<0,从而 g( x)在区间(-∞,-2],[ 2,+∞)上是减函数;当- 2<x< 2时,g′(x)>0 ,从而g( x) 在[ - 2, 2] 上是增函数.由前面讨论知, g( x)在区间[1,2] 上的最大值与最小值只能在x=1,2,2 时取得,而g(1)5=3,g( 2) =4 23,g(2)4=3. 因此g( x)在区间 [1,2] 上的最大值为g( 2) =4 2,最小值为3g(2)4=3.22. 分析解答本题,应先正确求出函数 f ( x)的导数f ′(x),再利用导数与函数的单调性、导数与极值、导数与最值等知识求解,并注意在定义域范围内求解.a 2 ax2+a-2解析 (1) f′(x) =ax+1-1+x 2=ax+1 1+x 2,∵f ( x)在 x=1处取得极值,2∴f ′(1)=0,即 a·1+a-2=0,解得 a=1.(2) f′(x) =ax2+a-22,ax+1 1+x∵x≥0, a>0,∴ ax+1>0.①当 a≥2时,在区间[0,+∞)上, f ′(x)>0,∴f( x)的单调增区间为[0,+∞).②当 0<a<2 时,由 f ′(x)>0,解得 x> 2-a a.由 f ′(x)<0,解得 x< 2-a a.∴f ( x)的单调减区间为(0, 2-a 2-a a ) ,单调增区间为 ( a,+∞ ) .(3) 当a≥2时,由 (2) ①知,f ( x) 的最小值为f (0) =1;当 0<a<2,由 (2) ②知,f ( x) 在x=2-aa 处取得最小值,且2-af ( a )< f (0) =1.综上可知,若 f ( x)的最小值为1,则 a 的取值范围是[2,+∞).。
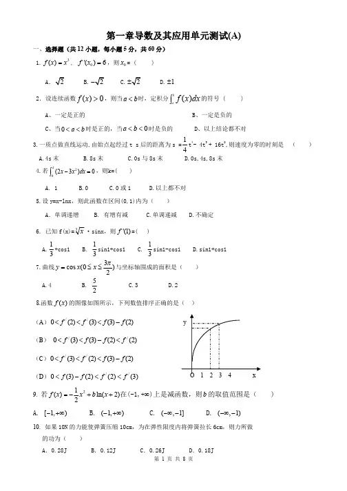
文昌中学高中数学选修2-2?第一章导数(dǎo shù)及其应用?测试题一选择题〔每一小题5分,一共60分〕1、函数,那么其单调递增区间是( )2、点P在曲线上挪动,设点P处切线的倾斜角为,那么α的取值范围是( )3、,函数在上是单调增函数,那么a的最大值是( )A. 0B. 1C. 2D. 34.函数在[0,3]上的最大值、最小值分别为( )5、设,那么( )6、设函数且为函数的极值,那么有( )C. 当0a>时,为极大值C. 当时,(0)f为极小值7、设函数,,那么在[0,1]上的最大值为( )A. 0B. 1C.D.8、曲线上一点M处的切线与垂直,那么此切线方程只能是( )9、,那么以下各命题中正确的命题是( )时,;时,时,1'()f xx=;0x<时,无意义(yìyì)时,都有1 '()f xx=D. 因为时无意义,所以对不能求导10、,那么( )A. 0B. 1C.D.11、设函数是一次函数,,那么( )12、函数在(0,1)内有极小值,那么( )二、填空题〔每一小题5分,一共20分〕13、 .14、函数,那么曲线()y f x=在处的切线方程为 .15、设,那么()f x单调增区间为_____________。
16、,那么_____________。
三、解答题〔每一小题10分,一共40分〕17、函数的图像经过点(0,1),且在1x=处的切线方程是。
(1) 求()y f x=的解析式; (2) 求()y f x=的单调区间。
18、当时,求证(qiúzhèng):。
19、,,(1) 求()f x的解析式。
(2) 求()f x的最小值,并求此时与的夹角大小。
20、函数在上是增函数,在[0,2]上是减函数,且方程(f āngch éng)有三个根,它们分别是。
(1)求c 的值; (2)求证:高中数学测试题〔四〕答案:一、DDDAB BDDCB BD 二、13.14.15.16.三、17.解:(1),又在1x =处的切线方程是2y x =-,切点坐标为且,,,。
导数及其应用综合检测时间120分钟,满分150分。
一、选择题(本大题共12个小题,每小题5分,共60分.在每小题给出的四个选项中,只有一项是符合题目要求的)1.(2010·全国Ⅱ文,7)若曲线y=x2+ax+b在点(0,b)处的切线方程是x-y+1=0,则( ) A.a=1,b=1B.a=-1,b=1C.a=1,b=-1D.a=-1,b=-1[答案] A[解析] y′=2x+a,∴y′|x=0=(2x+a)|x=0=a=1,将(0,b)代入切线方程得b=1.2.一物体的运动方程为s=2t sin t+t,则它的速度方程为( )A.v=2sin t+2t cos t+1B.v=2sin t+2t cos tC.v=2sin tD.v=2sin t+2cos t+1[答案] A[解析] 因为变速运动在t0的瞬时速度就是路程函数y=s(t)在t0的导数,S′=2sin t+2t cos t+1,故选A.3.曲线y=x2+3x在点A(2,10)处的切线的斜率是( )A.4B.5C.6D.7[答案] D[解析] 由导数的几何意义知,曲线y=x2+3x在点A(2,10)处的切线的斜率就是函数y=x2+3x在x =2时的导数,y′|x=2=7,故选D.4.函数y=x|x(x-3)|+1( )A.极大值为f(2)=5,极小值为f(0)=1B.极大值为f(2)=5,极小值为f(3)=1C.极大值为f(2)=5,极小值为f(0)=f(3)=1D.极大值为f(2)=5,极小值为f(3)=1,f(-1)=-3[答案] B[解析] y =x |x (x -3)|+1=⎩⎪⎨⎪⎧x 3-3x 2+1 (x <0或x >3)-x 3+3x 2+1 (0≤x ≤3)∴y ′=⎩⎪⎨⎪⎧3x 2-6x (x <0或x >3)-3x 2+6x (0≤x ≤3)x 变化时,f ′(x ),f (x )变化情况如下表:x (-∞,0)0 (0,2) 2 (2,3) 3 (3,+∞)f ′(x ) ++-+f (x )无极值极大值5极小值1f x 极大f f x 极小f 故应选B.5.(2009·安徽理,9)已知函数f (x )在R 上满足f (x )=2f (2-x )-x 2+8x -8,则曲线y =f (x )在点(1,f (1))处的切线方程是( )A .y =2x -1B .y =xC .y =3x -2D .y =-2x +3 [答案] A[解析] 本题考查函数解析式的求法、导数的几何意义及直线方程的点斜式. ∵f (x )=2f (2-x )-x 2+8x -8, ∴f (2-x )=2f (x )-x 2-4x +4, ∴f (x )=x 2,∴f ′(x )=2x ,∴曲线y =f (x )在点(1,f (1))处的切线斜率为2,切线方程为y -1=2(x -1),∴y =2x -1. 6.函数f (x )=x 3+ax 2+3x -9,已知f (x )在x =-3时取得极值,则a 等于( ) A .2 B .3 C .4 D .5 [答案] D[解析] f ′(x )=3x 2+2ax +3, ∵f (x )在x =-3时取得极值, ∴x =-3是方程3x 2+2ax +3=0的根, ∴a =5,故选D.7.设f(x),g(x)分别是定义在R上的奇函数和偶函数.当x<0时,f′(x)g(x)+f(x)g′(x)>0,且g(-3)=0,则不等式f(x)g(x)<0的解集是( )A.(-3,0)∪(3,+∞)B.(-3,0)∪(0,3)C.(-∞,-3)∪(3,+∞)D.(-∞,-3)∪(0,3)[答案] D[解析] 令F(x)=f(x)·g(x),易知F(x)为奇函数,又当x<0时,f′(x)g(x)+f(x)g′(x)>0,即F′(x)>0,知F(x)在(-∞,0)内单调递增,又F(x)为奇函数,所以F(x)在(0,+∞)内也单调递增,且由奇函数知f(0)=0,∴F(0)=0.又由g(-3)=0,知g(3)=0∴F(-3)=0,进而F(3)=0于是F(x)=f(x)g(x)的大致图象如图所示∴F(x)=f(x)·g(x)<0的解集为(-∞,-3)∪(0,3),故应选D.8.下面四图都是同一坐标系中某三次函数及其导函数的图象,其中一定不正确的序号是( )A.①②B.③④C.①③D.①④[答案] B[解析] ③不正确;导函数过原点,但三次函数在x =0不存在极值;④不正确;三次函数先增后减再增,而导函数先负后正再负.故应选B.9.(2010·湖南理,5)⎠⎛241xd x 等于( )A .-2ln2B .2ln2C .-ln2D .ln2 [答案] D[解析] 因为(ln x )′=1x,所以 ⎠⎛241xdx =ln x |42=ln4-ln2=ln2.10.已知三次函数f (x )=13x 3-(4m -1)x 2+(15m 2-2m -7)x +2在x ∈(-∞,+∞)是增函数,则m 的取值范围是( )A .m <2或m >4B .-4<m <-2C .2<m <4D .以上皆不正确 [答案] D[解析] f ′(x )=x 2-2(4m -1)x +15m 2-2m -7,由题意得x 2-2(4m -1)x +15m 2-2m -7≥0恒成立,∴Δ=4(4m -1)2-4(15m 2-2m -7) =64m 2-32m +4-60m 2+8m +28 =4(m 2-6m +8)≤0, ∴2≤m ≤4,故选D.11.已知f (x )=x 3+bx 2+cx +d 在区间[-1,2]上是减函数,那么b +c ( ) A .有最大值152B .有最大值-152C .有最小值152D .有最小值-152[答案] B[解析] 由题意f ′(x )=3x 2+2bx +c 在[-1,2]上,f ′(x )≤0恒成立.所以⎩⎪⎨⎪⎧f ′(-1)≤0f ′(2)≤0即⎩⎪⎨⎪⎧2b -c -3≥04b +c +12≤0令b +c =z ,b =-c +z ,如图 过A ⎝⎛⎭⎪⎫-6,-32得z 最大, 最大值为b +c =-6-32=-152.故应选B.12.设f (x )、g (x )是定义域为R 的恒大于0的可导函数,且f ′(x )g (x )-f (x )g ′(x )<0,则当a <x <b 时有( )A .f (x )g (x )>f (b )g (b )B .f (x )g (a )>f (a )g (x )C .f (x )g (b )>f (b )g (x )D .f (x )g (x )>f (a )g (x ) [答案] C [解析] 令F (x )=f (x )g (x )则F ′(x )=f ′(x )g (x )-f (x )g ′(x )g 2(x )<0f (x )、g (x )是定义域为R 恒大于零的实数∴F (x )在R 上为递减函数, 当x ∈(a ,b )时,f (x )g (x )>f (b )g (b )∴f (x )g (b )>f (b )g (x ).故应选C.二、填空题(本大题共4个小题,每小题4分,共16分.将正确答案填在题中横线上) 13.⎠⎛-2-1d x(11+5x )3=________.[答案]772[解析] 取F (x )=-110(5x +11)2,从而F ′(x )=1(11+5x )3则⎠⎛-2-1d x(11+5x )3=F (-1)-F (-2)=-110×62+110×12=110-1360=772. 14.若函数f (x )=ax 2-1x的单调增区间为(0,+∞),则实数a 的取值范围是________.[答案] a ≥0[解析] f ′(x )=⎝ ⎛⎭⎪⎫ax -1x ′=a +1x2,由题意得,a +1x2≥0,对x ∈(0,+∞)恒成立,∴a ≥-1x2,x ∈(0,+∞)恒成立,∴a ≥0.15.(2009·陕西理,16)设曲线y =xn +1(n ∈N *)在点(1,1)处的切线与x 轴的交点的横坐标为x n ,令a n=lg x n ,则a 1+a 2+…+a 99的值为________.[答案] -2[解析] 本小题主要考查导数的几何意义和对数函数的有关性质.k =y ′|x =1=n +1,∴切线l :y -1=(n +1)(x -1), 令y =0,x =n n +1,∴a n =lg nn +1, ∴原式=lg 12+lg 23+…+lg 99100=lg 12×23×…×99100=lg 1100=-2.16.如图阴影部分是由曲线y =1x,y 2=x 与直线x =2,y =0围成,则其面积为________.[答案] 23+ln2[解析] 由⎩⎪⎨⎪⎧y 2=x ,y =1x ,得交点A (1,1)由⎩⎪⎨⎪⎧x =2y =1x得交点B ⎝ ⎛⎭⎪⎫2,12.故所求面积S =⎠⎛01x d x +⎠⎛121xd x=23x 32| 10+ln x | 21=23+ln2. 三、解答题(本大题共6个小题,共74分.解答应写出文字说明、证明过程或演算步骤) 17.(本题满分12分)(2010·江西理,19)设函数f (x )=ln x +ln(2-x )+ax (a >0). (1)当a =1时,求f (x )的单调区间;(2)若f (x )在(0,1]上 的最大值为12,求a 的值.[解析] 函数f (x )的定义域为(0,2),f ′(x )=1x -12-x+a ,(1)当a =1时,f ′(x )=-x 2+2x (2-x ),所以f (x )的单调递增区间为(0,2),单调递减区间为(2,2);(2)当x ∈(0,1]时,f ′(x )=2-2xx (2-x )+a >0,即f (x )在(0,1]上单调递增,故f (x )在(0,1]上的最大值为f (1)=a ,因此a =12.18.(本题满分12分)求曲线y =2x -x 2,y =2x 2-4x 所围成图形的面积.[解析] 由⎩⎪⎨⎪⎧y =2x -x 2,y =2x 2-4x 得x 1=0,x 2=2.由图可知,所求图形的面积为S =⎠⎛02(2x -x 2)d x +|⎠⎛02(2x 2-4x )d x |=⎠⎛02(2x -x 2)d x -⎠⎛02(2x 2-4x )d x .因为⎝⎛⎭⎪⎫x 2-13x 3′=2x -x 2,⎝ ⎛⎭⎪⎫23x 3-2x 2′=2x 2-4x ,所以S =⎝⎛⎭⎪⎫x 2-13x 3⎪⎪⎪20-⎝ ⎛⎭⎪⎫23x 3-2x 2⎪⎪⎪2=4.19.(本题满分12分)设函数f (x )=x 3-3ax +b (a ≠0).(1)若曲线y =f (x )在点(2,f (2))处与直线y =8相切,求a ,b 的值; (2)求函数f (x )的单调区间与极值点.[分析] 考查利用导数研究函数的单调性,极值点的性质,以及分类讨论思想. [解析] (1)f ′(x )=3x 2-3a .因为曲线y =f (x )在点(2,f (2))处与直线y =8相切,所以⎩⎪⎨⎪⎧f ′(2)=0,f (2)=8.即⎩⎪⎨⎪⎧3(4-a )=0,8-6a +b =8.解得a =4,b =24.(2)f ′(x )=3(x 2-a )(a ≠0).当a <0时,f ′(x )>0,函数f (x )在(-∞,+∞)上单调递增,此时函数f (x )没有极值点. 当a >0时,由f ′(x )=0得x =±a .当x ∈(-∞,-a )时,f ′(x )>0,函数f (x )单调递增; 当x ∈(-a ,a )时,f ′(x )<0,函数f (x )单调递减; 当x ∈(a ,+∞)时,f ′(x )>0,函数f (x )单调递增. 此时x =-a 是f (x )的极大值点,x =a 是f (x )的极小值点. 20.(本题满分12分)已知函数f (x )=12x 2+ln x .(1)求函数f (x )的单调区间; (2)求证:当x >1时,12x 2+ln x <23x 3.[解析] (1)依题意知函数的定义域为{x |x >0}, ∵f ′(x )=x +1x,故f ′(x )>0,∴f (x )的单调增区间为(0,+∞). (2)设g (x )=23x 3-12x 2-ln x ,∴g ′(x )=2x 2-x -1x,∵当x >1时,g ′(x )=(x -1)(2x 2+x +1)x>0,∴g (x )在(1,+∞)上为增函数, ∴g (x )>g (1)=16>0,∴当x >1时,12x 2+ln x <23x 3.21.(本题满分12分)设函数f (x )=x 3-92x 2+6x -a .(1)对于任意实数x, f ′(x )≥m 恒成立,求m 的最大值; (2)若方程f (x )=0有且仅有一个实根,求a 的取值范围.[分析] 本题主要考查导数的应用及转化思想,以及求参数的范围问题. [解析] (1)f ′(x )=3x 2-9x +6=3(x -1)(x -2).因为x ∈(-∞,+∞).f ′(x )≥m ,即3x 2-9x +(6-m )≥0恒成立. 所以Δ=81-12(6-m )≤0,得m ≤-34,即m 的最大值为-34.(2)因为当x <1时,f ′(x )>0;当1<x <2时,f ′(x )<0;当x >2时f ′(x )>0. 所以当x =1时,f (x )取极大值f (1)=52-a ,当x =2时,f (x )取极小值f (2)=2-a .故当f (2)>0或f (1)<0时,方程f (x )=0仅有一个实根,解得a <2或a >52.22.(本题满分14分)已知函数f (x )=-x 3+ax 2+1(a ∈R ).(1)若函数y =f (x )在区间⎝ ⎛⎭⎪⎫0,23上递增,在区间⎣⎢⎡⎭⎪⎫23,+∞上递减,求a 的值; (2)当x ∈[0,1]时,设函数y =f (x )图象上任意一点处的切线的倾斜角为θ,若给定常数a ∈⎝ ⎛⎭⎪⎫32,+∞,求θ的取值范围;(3)在(1)的条件下,是否存在实数m ,使得函数g (x )=x 4-5x 3+(2-m )x 2+1(m ∈R )的图象与函数y =f (x )的图象恰有三个交点.若存在,请求出实数m 的值;若不存在,试说明理由.[解析] (1)依题意f ′⎝ ⎛⎭⎪⎫23=0,由f ′(x )=-3x 2+2ax ,得-3⎝ ⎛⎭⎪⎫232+2a ·23=0,即a =1.(2)当x ∈[0,1]时,tan θ=f ′(x )=-3x 2+2ax =-3⎝ ⎛⎭⎪⎫x -a 32+a23.由a ∈⎝ ⎛⎭⎪⎫32,+∞,得a 3∈⎝ ⎛⎭⎪⎫12,+∞. ①当a 3∈⎝ ⎛⎦⎥⎤12,1,即a ∈⎝ ⎛⎦⎥⎤32,3时,f ′(x )max =a 23,f (x )min =f ′(0)=0.此时0≤ta n θ≤a 23.②当a3∈(1,+∞),即a ∈(3,+∞)时,f ′(x )max =f ′(1)=2a -3,f ′(x )min =f ′(0)=0,此时,0≤tan θ≤2a -3.又∵θ∈[0,π),∴当32<a ≤3时,θ∈⎣⎢⎡⎦⎥⎤0,arctan a 23, 当a >3时,θ∈[0,arctan(2a -3)].(3)函数y =f (x )与g (x )=x 4-5x 3+(2-m )x 2+1(m ∈R )的图象恰有3个交点,等价于方程-x 3+x 2+1=x 4-5x 3+(2-m )x 2+1恰有3个不等实根,∴x 4-4x 3+(1-m )x 2=0,显然x =0是其中一个根(二重根),方程x 2-4x +(1-m )=0有两个非零不等实根,则⎩⎪⎨⎪⎧Δ=16-4(1-m )>01-m ≠0∴m >-3且m ≠1故当m >-3且m ≠1时,函数y =f (x )与y =g (x )的图象恰有3个交点.。
第一章导数练习题(第一单元)班级______姓名______组别_______2012-02-14题组A1. 一直线运动的物体,从时间t 到t t +∆时,物体的位移为s ∆,那么0lim t s t∆→∆∆为( )A .从时间t 到t t +∆时,物体的平均速度;B .在t 时刻时该物体的瞬时速度;C .当时间为t ∆时物体的速度;D .从时间t 到t t +∆时物体的平均速度2. 23y x x =+在 x =1处的导数为( )A .2xB .3C .3x +∆D .53. 在0000()()()lim x f x x f x f x x∆→+∆-'=∆中,x ∆不可能( ) A .大于0 B .小于0 C .等于0 D .大于0或小于04. 如果质点A 按规律23s t =运动,则在3t =时的瞬时速度为5. 若0()2f x '=-,则0001[]()2lim k f x k f x k →--等于 6. 一质量为3kg 的物体作直线运动,设运动距离s(单位:cm)与时间(单位:s )的关系可用函数2()1s t t =+表示,并且物体的动能212U mv =. 求物体开始运动后第5s 时的动能.题组B1. 已知曲线22y x =上一点,则点(2,8)A 处的切线斜率为( )A. 4B. 16C. 8D. 22. 曲线221y x =+在点(1,3)P -处的切线方程为( )A .41y x =--B .47y x =--C .41y x =-D .47y x =+3. 若函数()f x 在0x 处的导数存在,则它所对应的曲线在点00(,())x f x 的切线方程为4. 已知函数()y f x =在0x x =处的导数为11,则000()()lim x f x x f x x∆→-∆-∆= 5.已知曲线C:y=x 3求过曲线C 上横坐标为1的点P 的切线方程,题组C1.()0f x =的导数是( )A .0B .1C .不存在D .不确定2. 已知2()f x x =,则(3)f '=( )A .0B .2xC .6D .93. 在曲线2y x =上的切线的倾斜角为4π的点为( ) A .(0,0) B .(2,4) C .11(,)416 D .11(,)244. 物体的运动方程为3s t =,则物体在1t =时的速度为 ,在4t =时的速度为 .5.求曲线221y x =-的斜率等于4的切线方程.6.求在曲线y=x 2上过哪一点的切线平行于直线y=4x-57:求在曲线y=x2上过哪一点的切线垂直于直线2x-6y+5=08.求下列函数的导数:(1)y=3x(x2+2); (2)y=(2+x3)2;(3)y=(x-1)(2x2+1); (4)y=(2x2+3)(3x-2).9. 一质点作直线运动, 它所经过的路程S(单位: m)和时间t(单位: s)的关系是S=3t 2+t+1.(1)求[2, 2.01]这段时间内质点的平均速度; (2)当t=2时的瞬时速度.题组D1.求抛物线y=x2上的点到直线x-y-2=0 的最短距离.2.已知函数f(x)=2x3+ax与g(x)=bx2+c的图象都过点P(2, 0), 且在点P处有公共切线, 求f(x)、g(x)的表达式.3.已知曲线C: y=x3-3x2+2x, 直线l: y=kx, 且直线l与曲线C相切于点(x0, y0)(x0 0), 求直线l的方程及切点坐标.。
高中数学 第一章导数及其应用综合测试 新人教A 版选修22第Ⅰ卷(选择题 共60分)一、选择题(本大题共12小题,每小题5分,共60分,在每小题给出的四个选项中,只有一项是最符合题目要求的.)1、已知函数21y x =+的图象上一点(1,2)及邻近一点()12x,y +∆+∆,则yx∆∆等于( )A.2B.2xC.22()x +∆ D.2x +∆ 2、设1(),f x x =则()()limx a f x f a x a→--等于( ) 221211. . . .A B C D a a a a--3、曲线221y x =-+在点()0,1处的切线的斜率是( ) A.4- B.0 C.4 D.不存在4、如果曲线()y f x =在点00(,())x f x 处的切线方程为230x y +-=,那么( ) A.0()0f x '> B.0()0f x '< C.0()0f x '= D.不存在5、下列函数在点0x =处没有切线的是( ) A.23cos y x x =+ B.sin y x x = C.1cos y x =D.12y x x=+ 6、函数222y x ln x =-的的单调递增区间是 ( )A.1(0,)2 B.2(0,)4 C.1(,)2+∞ D.1(,0)2-和1(0,)27、若函数()y f x =是定义在R 上的可导函数,则0()0f x '=是0x 为函数()y f x =的极值点的( )A.充分不必要条件B.必要不充分条件C.充要条件D.既不充分也不必要条件 8、下列各式中值为1的是 ( )A.10xdx ⎰ B.()101x dx +⎰ C.101dx ⎰ D.1012dx ⎰9、若函数2()f x x bx c =++的图象的顶点在第四象限,则函数()f x '的图象是( )10、曲线()by f x ax x==-在点(2,(2))f 处的切线方程为74120x y --=,则,a b 的值分别为 ( )A.13a b =⎧⎨=⎩ B.13a b =-⎧⎨=⎩ C.13a b =⎧⎨=-⎩ D.13a b =-⎧⎨=-⎩11、设函数()y f x =在(,)a b 上的导函数为'()f x ,'()f x 在(,)a b 上的导函数为''()f x ,若在(,)a b 上,''()0f x <恒成立,则称函数函数()f x 在(,)a b 上为“凸函数”.已知当2m ≤时,3211()62f x x mx x =-+在(1,2)-上是“凸函数”.则()f x 在(1,2)-上 ( )A.既有极大值,也有极小值B.既有极大值,也有最小值C.有极大值,没有极小值D.没有极大值,也没有极小值12、如图,曲线()y f x =上任一点P 的切线PQ 交x 轴于Q ,过P 作PT 垂直于x 轴于T ,若PTQ ∆的面积为12,则y 与'y 的关系满足 ( )A.'y y =B.'y y =-C.2'y y =D.2'y y =第Ⅱ卷(非选择题 共90分)二、填空题(本大题共4小题,每小题4分,共16分.把答案填在题中的横线上.)13、函数xe x xf )3()(-=的单调递增区间是_____________ 14、曲线1y x=和2y x =在它们交点处的两条切线与x 轴所围成的三角形面积是 . 15、已知函数b ax x ax x f +-+=63)(23在x =2处取得极值9,则2a b +=16、已知函数32()(,)f x x ax bx a b =++∈R 的图象如图 所示,它与直线0y =在原点处相切,此切线与函数图象所围 区域(图中阴影部分)的面积为274,则a 的值为 . 三、解答题(本大题共6小题,共74分,解答应写出必要的文字说明、证明过程及演算步骤.)17、(12分)Oyx求由曲线2,,y x y x ==及2y x =围成的平面图形面积.18、(12分)已知函数32()(1)48(2)f x ax a x a x b =+-+-+的图象关于原点成中心对称. (1)求,a b 的值;(2)求()f x 的单调区间及极值.19、(12分)某厂生产产品x 件的总成本32()120075c x x =+(万元),已知产品单价P(万元)与产品件数x 满足:2kP x=,生产100件这样的产品单价为50万元. (1)设产量为x 件时,总利润为()L x (万元),求()L x 的解析式;(2)产量x 定为多少件时总利润()L x (万元)最大?并求最大值(精确到1万元).20、(12分) 设函数329()62f x x x x a =-+-. (1)对于任意实数x ,()f x m '≥恒成立,求m 的最大值;(2)若方程()0f x =有且仅有一个实根,求a 的取值范围.21、(12分)已知函数1()ln(1),01xf x ax x x-=++≥+,其中0a > (1)若()f x 在x =1处取得极值,求a 的值; (2)求()f x 的单调区间;(3)若()f x 的最小值为1,求a 的取值范围。
数学选修1-1导数测试题【选择题】1.已知定义在R 上的函数f (x ),其导函数f ′(x )的大致图象如图 所示,则下列叙述正确的是( ) A .f (b )>f (c )>f (d ) B .f (b )>f (a )>f (e ) C .f (c )>f (b )>f (a ) D .f (c )>f (e )>f (d )2.函数f (x )的定义域为R ,f (-1)=2,对任意x ∈R ,f ′(x )>2,则f (x )>2x +4的解集为( ) A .(-1,1) B .(-1,+∞) C .(-∞,-1) D .(-∞,+∞) 3.设函数f (x )=2x+ln x ,则( )A .x =12为f (x )的极大值点B .x =12为f (x )的极小值点C .x =2为f (x )的极大值点D .x =2为f (x )的极小值点 4.函数f (x )=x 33+x 2-3x -4在[0,2]上的最小值是( )A .-173B .-103C .-4D .-6435.已知函数y =x 3-3x +c 的图象与x 轴恰有两个公共点,则c =( )A .-2或2B .-9或3C .-1或1D .-3或16.设函数f (x )=ax 2+bx +c (a ,b ,c ∈R ).若x =-1为函数f (x )e x 的一个极值点,则下列图象不可能为y =f (x )的图象是()7.已知f (x )=x 3-ax 在[1,+∞)上是单调增函数,则a 的最大值是( )A .0B .1C .2D .38.设动直线x =m 与函数f (x )=x 3,g (x )=ln x 的图象分别交于点M ,N ,则|MN |的最小值为( )A.13(1+ln 3)B.13ln 3 C .1+ln 3 D .ln 3-19.已知a ≤1-x x+ln x 对任意x ∈⎣⎡⎦⎤12,2恒成立,则a 的最大值为( ) A .0B .1C .2D .310.球的直径为d ,其内接正四棱柱体积V 最大时的高为( )A.22d B.32d C.33d D.23d 11.已知函数f (x )=x 3-3x ,若对于区间[-3,2]上任意的x 1,x 2都有|f (x 1)-f (x 2)|≤t ,则实数t 的最小值是( ) A .0 B .10 C .18 D .2012.已知y =f (x )是奇函数,当x ∈(0,2)时,f (x )=ln x -ax ⎝⎛⎭⎫a >12,当x ∈(-2,0)时,f (x )的最小值为1,则a 的值等于( ) A.14 B.13 C.12D .1【填空题】13.若函数f (x )=x 3-3x +a 有三个不同的零点,则实数a 的取值范围为________.14.已知函数f (x )=-x 3+ax 2-4在x =2处取得极值,若m ,n ∈[-1,1],则f (m )+f ′(n )的最小值是________. 15.函数f (x )=-x 3+mx 2+1(m ≠0)在(0,2)内的极大值为最大值,则m 的取值范围是________.16.已知函数f (x )=x 2-2ln x ,若在定义域内存在x 0,使得不等式f (x 0)-m ≤0成立,则实数m 的最小值是________.【解答题】17.函数f (x )=x 3+ax 2+bx +c 在点x 0处取得极小值-5,其导函数y =f ′(x )的图象经过点(0,0),(2,0). (1)求a ,b 的值; (2)求x 0及函数f (x )的表达式.18.商场以每件20元购进一批商品,若该商品零售价为p 元,销量Q (单位:件)与零售价p (单位:元)有如下关系:Q =8 300-170p -p 2,则该商品零售价定为多少元时利润最大,利润最大值是多少? 19.函数f (x )=x ln x ,g (x )=-x 2+ax -2. (1)求函数f (x )在[t ,t +2](t >0)上的最小值; (2)若函数y =f (x )与y =g (x )的图象恰有一个公共点,求实数a 的值;20.函数f (x )=13x 3+1-a 2x 2-ax -a ,x ∈R ,其中a >0.(1)求函数f (x )的单调区间;(2)若函数f (x )在区间(-2,0)内恰有两个零点,求a 的取值范围; 21.函数f (x )=a ln x -ax -3(a ∈R ).(1)求函数f (x )的单调区间;(2)若函数y =f (x )的图象在点(2,f (2))处的切线的倾斜角为45°,对于任意的t ∈[1,2],函数g (x )=x 3+x 2·⎣⎡⎦⎤f ′(x )+m 2在区间(t,3)上不是单调函数,求m 的取值范围. 22.函数f (x )=ax -ln x ,x ∈(0,e],g (x )=ln xx ,a ∈R .(1)当a =1时,函数f (x )的单调性和极值; (2)求证:在(1)的条件下,f (x )>g (x )+12;(3)是否存在实数a ,使f (x )的最小值是3?若存在,求出a ;若不存在,说明理由.13____ 14____ 15____ 16____ 171819 2021221-5CBDAA 6-10 DDAAC 11-12DD13(-2,2) 14 -13 15 (0,3) 16 1 17.解:(1)由题设可得f ′(x )=3x 2+2ax +b . ∵f ′(x )的图象过点(0,0),(2,0), ∴⎩⎪⎨⎪⎧b =0,12+4a +b =0,解得a =-3,b =0. (2)由f ′(x )=3x 2-6x >0,得x >2或x <0,∴在(-∞,0)上f ′(x )>0,在(0,2)上f ′(x )<0,在(2,+∞)上f ′(x )>0.∴f (x )在(-∞,0),(2,+∞)上递增,在(0,2)上递减,因此f (x )在x =2处取得极小值.所以x 0=2.由f (2)=-5,得c =-1.∴f (x )=x 3-3x 2-1. 18 .30元 23000元19.解:(1)令f ′(x )=ln x +1=0得 x =1e ,①当0<t <1e 时,函数f (x )在⎝ ⎛⎭⎪⎫t ,1e 上单调递减,在⎝ ⎛⎭⎪⎫1e ,t +2上单调递增,此时函数f (x )在区间[t ,t +2]上的最小值为f ⎝ ⎛⎭⎪⎫1e =-1e ;②当t ≥1e 时,函数f (x )在[t ,t +2]上单调递增, 此时函数f (x )在区间[t ,t +2]上的最小值为f (t )=t ln t .(2)由题意得,f (x )-g (x )=x ln x +x 2-ax +2=0在(0,+∞)上有且仅有一个根,即a =ln x +x +2x 在(0,+∞)上有且仅有一个根,令h (x )=ln x +x +2x ,则h ′(x )=1x +1-2x 2=x 2+x -2x 2=1x 2(x +2)(x -1),易知h (x )在(0,1)上单调递减,在(1,+∞)上单调递增,所以a =h (x )min =h (1)=3. 20.解:(1)f ′(x )=x 2+(1-a )x -a =(x +1)(x -a ). 由f ′(x )=0,得x 1=-1,x 2=a >0. 当x 变化时f ′(x ),f (x )的变化情况如下表:故函数f (x )的单调递增区间是(-∞,-1),(a ,+∞);单调递减区间是(-1,a ). (2)由(1)知f (x )在区间(-2,-1)内单调递增,在区间(-1,0)内单调递减,从而函数f (x )在区间(-2,0)内恰有两个零点当且仅当⎩⎪⎨⎪⎧f (-2)<0,f (-1)>0,f (0)<0,解得0<a <13.所以a 的取值范围是⎝ ⎛⎭⎪⎫0,13.21.解:(1)根据题意知,f ′(x )=a (1-x )x (x >0),当a >0时,f (x )的单调递增区间为(0,1],单调递减区间为(1,+∞); 当a <0时,f (x )的单调递增区间为(1,+∞),单调递减区间为(0,1]; 当a =0时,f (x )不是单调函数, (2)∵f ′(2)=-a2=1, ∴a =-2.∴f (x )=-2ln x +2x -3. ∴g (x )=x 3+⎝ ⎛⎭⎪⎫m 2+2x 2-2x ,∴g ′(x )=3x 2+(m +4)x -2.∵g (x )在区间(t,3)上不是单调函数,且g ′(0)=-2. ∴⎩⎪⎨⎪⎧g ′(t )<0,g ′(3)>0.由题意知:对于任意的t ∈[1,2], g ′(t )<0恒成立,∴⎩⎪⎨⎪⎧g ′(1)<0,g ′(2)<0,g ′(3)>0,∴-373<m <-9.22.解:(1)∵f (x )=x -ln x ,f ′(x )=1-1x =x -1x , ∴当0<x <1时,f ′(x )<0,此时f (x )单调递减; 当1<x <e 时,f ′(x )>0,此时f (x )单调递增. ∴f (x )的极小值为f (1)=1.(2)证明:∵f (x )的极小值为1,即f (x )在(0,e]上的最小值为1, ∴f (x )min =1.又∵g ′(x )=1-ln xx 2,∴0<x <e 时,g ′(x )>0,g (x )在(0,e]上单调递增. ∴g (x )max =g (e)=1e <12.∴f (x )min -g (x )max >12. ∴在(1)的条件下,f (x )>g (x )+12.(3)假设存在实数a ,使f (x )=ax -ln x (x ∈(0,e])有最小值3,则f ′(x )=a -1x =ax -1x . ①当a ≤0时,f (x )在(0,e]上单调递减,f (x )min =f (e)=a e -1=3,a =4e (舍去),所以,此时f (x )的最小值不是3;②当0<1a <e 时,f (x )在⎝ ⎛⎭⎪⎫0,1a 上单调递减,在⎝ ⎛⎦⎥⎤1a ,e 上单调递增,f (x )min =f ⎝ ⎛⎭⎪⎫1a =1+ln a =3,a =e 2,满足条件;③当1a ≥e 时,f (x )在(0,e]上单调递减,f (x )min =f (e)=a e -1=3,a =4e (舍去),所以,此时f (x )的最小值不是3.综上,存在实数a =e 2,使得当x ∈(0,e]时,f (x )有最小值3.。
导数的几何意义学业分层测评 (建议用时:45分钟)[学业达标]一、选择题1.已知曲线y =f (x )在点(1,f (1))处的切线方程为2x -y +2=0,则f ′(1)=( ) A .4 B .-4 C .-2 D .2【解析】 由导数的几何意义知f ′(1)=2,故选D. 【答案】 D2.直线y =kx +1与曲线y =x 2+ax +b 相切于点A (1,3),则2a +b 的值等于( ) A .2 B .-1 C .1D .-2【解析】 依导数定义可求得y ′=3x 2+a ,则⎩⎪⎨⎪⎧12+a +b =3,3×12+a =k ,k +1=3,由此解得⎩⎪⎨⎪⎧a =-1,b =3,k =2,所以2a +b =1,选C.【答案】 C3.已知曲线y =x 3在点P 处的切线的斜率k =3,则点P 的坐标是( ) A .(1,1)B .(-1,1)C .(1,1)或(-1,-1)D .(2,8)或(-2,-8)【解析】 因为y =x 3,所以y ′=lim Δx →0x +Δx 3-x 3Δx =lim Δx →0[3x 2+3x ·Δx +(Δx )2]=3x 2.由题意,知切线斜率k =3,令3x 2=3,得x =1或x =-1. 当x =1时,y =1;当x =-1时,y =-1. 故点P 的坐标是(1,1)或(-1,-1). 【答案】 C4.(2016·某某高二检测)若曲线f (x )=x 2的一条切线l 与直线x +4y -8=0垂直,则l 的方程为( )A .4x -y -4=0B .x +4y -5=0C .4x -y +3=0D .x +4y +3=0【解析】 设切点为(x 0,y 0),∵f ′(x )=lim Δx →0x +Δx 2-x 2Δx =lim Δx →0(2x +Δx )=2x .由题意可知,切线斜率k =4,即f ′(x 0)=2x 0=4,∴x 0=2,∴切点坐标为(2,4),∴切线方程为y -4=4(x -2),即4x -y -4=0,故选A.【答案】 A5.曲线y =1x 在点⎝ ⎛⎭⎪⎫12,2处的切线的斜率为( )A .2B .-4C .3 D.14【解】 因为y ′=lim Δx →0Δy Δx =lim Δx →01x +Δx -1x Δx =lim Δx →0-1x 2+x ·Δx =-1x 2,所以曲线在点⎝ ⎛⎭⎪⎫12,2处的切线斜率为k =y ′|x =12=-4.【答案】 B 二、填空题6.已知函数y =f (x )的图象如图115所示,则函数y =f ′(x )的图象可能是__________(填序号).图115【解析】 由y =f (x )的图象及导数的几何意义可知,当x <0时f ′(x )>0,当x =0时f ′(x )=0,当x >0时f ′(x )<0,故②符合.【答案】②7.曲线y =x 2-2x +3在点A (-1,6)处的切线方程是 __________.【解析】 因为y =x 2-2x +3,切点为点A (-1,6),所以斜率k =y ′|x =-1=limΔx →0-1+Δx2-2-1+Δx +3-1+2+3Δx=lim Δx →0(Δx -4)=-4,所以切线方程为y -6=-4(x +1),即4x +y -2=0. 【答案】 4x +y -2=08.若曲线y =x 2+2x 在点P 处的切线垂直于直线x +2y =0,则点P 的坐标是__________. 【解析】 设P (x 0,y 0),则y ′|x =x 0=limΔx →0x 0+Δx2+2x 0+Δx -x 20-2x 0Δx=lim Δx →0(2x 0+2+Δx )=2x 0+2.因为点P 处的切线垂直于直线x +2y =0, 所以点P 处的切线的斜率为2,所以2x 0+2=2,解得x 0=0,即点P 的坐标是(0,0). 【答案】 (0,0) 三、解答题9.(2016·某某高二检测)已知抛物线y =f (x )=x 2+3与直线y =2x +2相交,求它们交点处抛物线的切线方程.【解】 由方程组⎩⎪⎨⎪⎧y =x 2+3,y =2x +2,得x 2-2x +1=0,解得x =1,y =4,所以交点坐标为(1,4),又Δx +12+3-12+3Δx=Δx +2.当Δx 趋于0时Δx +2趋于2,所以在点(1,4)处的切线斜率k =2, 所以切线方程为y -4=2(x -1),即y =2x +2. 10.试求过点P (3,5)且与曲线y =x 2相切的直线方程. 【解】y ′=lim Δx →0ΔyΔx =limΔx →0x +Δx 2-x 2Δx=2x .设所求切线的切点为A (x 0,y 0). ∵点A 在曲线y =x 2上, ∴y 0=x 20, 又∵A 是切点,∴过点A 的切线的斜率y ′|x =x 0=2x 0, ∵所求切线过P (3,5)和A (x 0,y 0)两点,∴其斜率为y 0-5x 0-3=x 20-5x 0-3.∴2x 0=x 20-5x 0-3,解得x 0=1或x 0=5.从而切点A 的坐标为(1,1)或(5,25). 当切点为(1,1)时,切线的斜率为k 1=2x 0=2; 当切点为(5,25)时,切线的斜率为k 2=2x 0=10.∴所求的切线有两条,方程分别为y -1=2(x -1)和y -25=10(x -5),即y =2x -1和y =10x -25.[能力提升]1.(2016·某某高二检测)设f (x )为可导函数,且满足lim Δx →0f 1-f 1-x2x =-1,则过曲线y =f (x )上点(1,f (1))处的切线斜率为( )A .2B .-1C .1D .-2【解析】∵limΔx →0f 1-f 1-x2x=12lim Δx →0f 1-x -f 1-x =-1, ∴limΔx →0f 1-x -f 1-x =-2,即f ′(1)=-2.由导数的几何意义知,曲线在点(1,f (1))处的切线斜率k =f ′(1)=-2,故选D. 【答案】 D2.直线y =kx +1与曲线y =x 2+ax +b 相切于点A (1,3),则2a +b 的值等于( ) A .2 B .-1 C .1D .-2【解析】 依导数定义可求得y ′=3x 2+a ,则⎩⎪⎨⎪⎧13+a +b =3,3×12+a =k ,k +1=3,由此解得⎩⎪⎨⎪⎧a =-1,b =3,k =2,所以2a +b =1,选C.【答案】 C3.(2016·某某高二检测)已知直线x -y -1=0与抛物线y =ax 2相切,则a 的值为________.【解析】 设切点为P (x 0,y 0).则f ′(x 0)=limΔx →0f x 0+Δx -f x 0Δx=limΔx →0a x 0+Δx2-ax 2Δx=lim Δx →0(2ax 0+a Δx )=2ax 0,即2ax 0=1. 又y 0=ax 20,x 0-y 0-1=0, 联立以上三式,得⎩⎪⎨⎪⎧2ax 0=1,y 0=ax 20,x 0-y 0-1=0,解得a =14.【答案】144.已知函数f (x )=ax 2+1(a >0),g (x )=x 3+bx .若曲线y =f (x )与曲线y =g (x )在它们的交点(1,c )处具有公切线,求a ,b 的值.【解】 因为f ′(x )=lim Δx →0Δy Δx=limΔx →0a x +Δx2+1-ax 2+1Δx=2ax ,所以f ′(1)=2a ,即切线斜率k 1=2a . 因为g ′(x )=lim Δx →0Δy Δx=limΔx →0x +Δx3+b x +Δx -x 3+bx Δx=3x 2+b ,所以g ′(1)=3+b ,即切线的斜率k 2=3+b . 因为在交点(1,c )处有公切线, 所以2a =3+b .①又因为c =a +1,c =1+b , 所以a +1=1+b ,即a =b , 代入①式,得⎩⎪⎨⎪⎧a =3,b =3.。
高中数学学习材料马鸣风萧萧*整理制作高二文科班选修1-1——导数及其应用单元练习卷班级 姓名 号数 成绩一、选择题(本大题共10小题,每小题4分,共40分,在每小题给出的四个选项中,只有一项是符合题目要求的)1.已知32()32f x ax x =++且(1)4f '-=,则实数a 的值等于( )A .193B .163C .133D .1032.已知曲线122+=x y 在点M 处的瞬时变化率为-4,则点M 的坐标是( ) A (1,3) B (-4,33) C (-1,3) D 不确定 3. 函数y =x 2cos x 的导数为( )A .y ′=x 2cos x -2x sin xB .y ′=2x cos x +x 2sin xC .y ′=2x cos x -x 2sin xD .y ′=x cos x -x 2sin x 4. 若曲线y =f (x )在点(x 0,f (x 0))处的切线方程为2x -y -1=0,则( )A .f ′(x 0)>0B .f ′(x 0)<0C .f ′(x 0)=0D .f ′(x 0)不存在 5.函数5224+-=x x y 的单调减区间为( )A.(]]1,0[,1,-∞-B.[)+∞-,1],0,1[C.[-1,1]D.[)+∞--∞,1),1,( 6.函数5123223+--=x x x y 在[0,3]上的最大值和最小值依次是( ) A.12, -15 B.5, -15 C.5, -4 D.-4, -15 7.若)0()(23>+++=a d cx bx ax x f 为增函数,则( )A.032>-ac bB.0,0>>c bC.0,0>=c bD. 032≤-ac b8.已知函数32()39f x x ax x =++-在3x =-时取得极值,则实数a 的值是( ) A .2 B .3 C .4 D .59.设函数f (x)在定义域内可导,y = f (x)的图象如图所示,则导函数y =f ′(x)的图象可能是( )A. B. C. D.10.函数)(x f 的定义域为开区间),(b a ,导函数)(x f '在),(b a 内的图象如图所示,则函数)(x f 在开区间),(b a 内有极小值点( )A .1个B .2个C .3个D .4个二、填空题:(本大题共6小题,每小题4分,共24分,答案写在横线上) 11.与直线2x -6y +1=0垂直,且与曲线y =x 3+3x 2-1相切的直线方程是____________ 12.函数32y x x x =--的单调区间为___________________ 13、已知函数()f x 在1x =处可导,且0(13)(1)lim12t f t f t→+-=,则(1)f '=14、设函数12)(23+++=bx ax x x f 在3-=x 处有极大值,在2=x 处有极小值,则a =____,=b ______15、已知函数 n m mx x f -=)( 的导数为 38)('x x f =, 则 =n m .16、设函数1()22(0),f x x x x=+-< 则()f x 的最大值为 .三、解答题:(本大题共4小题,共36分。
高中数学选修第一章导数测试题Document number:PBGCG-0857-BTDO-0089-PTT1998选修2-2第一章单元测试 (一)时间:120分钟 总分:150分一、选择题(每小题5分,共60分) 1.函数f (x )=x ·sin x 的导数为( )A .f ′(x )=2x ·sin x +x ·cos xB .f ′(x )=2x ·sin x -x ·cos xC .f ′(x )=sin x 2x +x ·cos xD .f ′(x )=sin x 2x -x ·cos x2.若曲线y =x 2+ax +b 在点(0,b )处的切线方程是x -y +1=0,则( )A .a =1,b =1B .a =-1,b =1C .a =1,b =-1D .a =-1,b =-13.设f (x )=x ln x ,若f ′(x 0)=2,则x 0=( ) A .e 2 B .e D .ln24.已知f (x )=x 2+2xf ′(1),则f ′(0)等于( ) A .0 B .-4 C .-2 D .2 5.图中由函数y =f (x )的图象与x 轴围成的阴影部分的面积,用定积分可表示为( )A. ⎠⎜⎛-33f (x )d x f (x )d x +⎠⎛1-3f (x )d x C. ⎠⎜⎛-31f (x )d x D. ⎠⎜⎛-31f (x )d x -⎠⎛13f (x )d x 6.如图是函数y =f (x )的导函数的图象,给出下面四个判断:①f (x )在区间[-2,-1]上是增函数; ②x =-1是f (x )的极小值点;③f (x )在区间[-1,2]上是增函数,在区间[2,4]上是减函数; ④x =2是f (x )的极小值点. 其中,所有正确判断的序号是( ) A .①② B .②③ C .③④D .①②③④7.对任意的x ∈R ,函数f (x )=x 3+ax 2+7ax 不存在极值点的充要条件是( )A .0≤a ≤21B .a =0或a =7C .a <0或a >21D .a =0或a =218.某商场从生产厂家以每件20元的价格购进一批商品,若该商品零售价定为P 元,销售量为Q ,则销量Q (单位:件)与零售价P (单位:元)有如下关系:Q =8 300-170P -P 2,则最大毛利润为(毛利润=销售收入-进货支出)( ) A .30元 B .60元 C .28 000元D .23 000元9.函数f (x )=-xe x (a <b <1),则( ) A .f (a )=f (b ) B .f (a )<f (b )C .f (a )>f (b )D .f (a ),f (b )大小关系不能确定10.函数f (x )=-x 3+x 2+x -2的零点个数及分布情况为( ) A .一个零点,在⎝⎛⎭⎪⎫-∞,-13内B .二个零点,分别在⎝ ⎛⎭⎪⎫-∞,-13,(0,+∞)内C .三个零点,分别在⎝ ⎛⎭⎪⎫-∞,-13,⎝ ⎛⎭⎪⎫-13,0,(1,+∞)内D .三个零点,分别在⎝ ⎛⎭⎪⎫-∞,-13,(0,1),(1,+∞)内 11.对于R 上可导的任意函数f (x ),若满足(x -1)f ′(x )≥0,则必有( )A .f (0)+f (2)<2f (1)B .f (0)+f (2)≤2f (1)C .f (0)+f (2)≥2f (1)D .f (0)+f (2)>2f (1)12.设f (x )是定义在R 上的可导函数,且满足f ′(x )>f (x ),对任意的正数a ,下面不等式恒成立的是( )A .f (a )<e af (0) B .f (a )>e af (0) C .f (a )<f ?0?e a D .f (a )>f ?0?e a二、填空题(每小题5分,共20分)13.过点(2,0)且与曲线y =1x 相切的直线的方程为________.14.已知M =⎠⎛011-x 2d x ,N =⎠⎜⎜⎛0π2cos x d x ,则程序框图输出的S =________.15.设函数f (x )=x m +ax 的导数为f ′(x )=2x +1,则数列⎩⎨⎧⎭⎬⎫1f ?n ?(n ∈N +)的前n 项和是________. 16.已知函数f (x )=12mx 2+ln x -2x 在定义域内是增函数,则实数m 的取值范围为________.三、解答题(写出必要的计算步骤,只写最后结果不得分,共70分)17.(10分)设函数f (x )=-x 3-2mx 2-m 2x +1-m (其中m >-2)的图象在x =2处的切线与直线y =-5x +12平行.(1)求m 的值;(2)求函数f (x )在区间[0,1]上的最小值.18.(12分)已知函数f (x )=kx 3-3(k +1)x 2-k 2+1(k >0),若f (x )的单调递减区间是(0,4),(1)求k 的值; (2)当k <x 时,求证:2x >3-1x19.(12分)已知函数f (x )=kx 3-3x 2+1(k ≥0). (1)求函数f (x )的单调区间;(2)若函数f (x )的极小值大于0,求k 的取值范围.20.(12分)湖北宜昌“三峡人家”风景区为提高经济效益,现对某一景点进行改造升级,从而扩大内需,提高旅游增加值,经过市场调查,旅游增加值y 万元与投入x (x ≥10)万元之间满足:y =f (x )=ax 2+10150x -b ln x10,a ,b 为常数,当x =10时,y =;当x =20时,y =.(参考数据:ln2=,ln3=,ln5=(1)求f (x )的解析式;(2)求该景点改造升级后旅游利润T (x )的最大值.(利润=旅游收入-投入)21.(12分)已知函数f (x )=13x 3-12x 2+cx +d 有极值. (1)求c 的取值范围;(2)若f (x )在x =2处取得极值,且当x <0时,f (x )<16d 2+2d 恒成立,求d 的取值范围.22.(12分)(2015·银川一中月考)设a 为实数,函数f (x )=e x -2x +2a ,x ∈R.(1)求f (x )的单调区间与极值;(2)求证:当a >ln2-1且x >0时,e x >x 2-2ax +1.答案1.C f ′(x )=(x )′·sin x +x ·(sin x )′=12x ·sin x +x ·cos x ,故选C.2.A ∵y ′=2x +a ,∴曲线y =x 2+ax +b 在(0,b )处的切线方程的斜率为a , 切线方程为y -b =ax ,即ax -y +b =0.∴a =1,b =1. 3.B f ′(x )=(x ln x )′=ln x +1, ∴f ′(x 0)=ln x 0+1=2,∴x 0=e.4.B f ′(x )=2x +2f ′(1),∴f ′(1)=2+2f ′(1),即f ′(1)=-2,∴f ′(x )=2x -4,∴f ′(0)=-4.5.D 由定积分的几何意义可知,函数y =f (x )的图象与x 轴围成的阴影部分的面积为⎠⎛1-3f (x )d x -⎠⎛13f (x )d x .故选D.6.B 由函数y =f (x )的导函数的图象可知:(1)f (x )在区间[-2,-1]上是减函数,在[-1,2]上是增函数,在[2,4]上是减函数;(2)f (x )在x =-1处取得极小值,在x =2处取得极大值.故②③正确.7.A f ′(x )=3x 2+2ax +7a ,当Δ=4a 2-84a ≤0,即0≤a ≤21时,f ′(x )≥0恒成立,函数不存在极值点.故选A.8.D 设毛利润为L (P ),由题意知L (P )=PQ -20Q =Q (P -20) =(8 300-170P -P 2)(P -20) =-P 3-150P 2+11 700P -166 000, 所以L ′(P )=-3P 2-300P +11 700,令L ′(P )=0,解得P =30或P =-130(舍去). 此时,L (30)=23 000.根据实际问题的意义知,L (30)是最大值,即零售价定为每件30元时,最大毛利润为23 000元.9.C f ′(x )=-e x -x e x ?e x ?2=x -1e x ,当x <1时,f ′(x )<0,即f (x )在区间(-∞,1)上单调递减, 又∵a <b <1,∴f (a )>f (b ).10.A 利用导数法易得函数f (x )在-∞,-13内单调递减,在⎝ ⎛⎭⎪⎫-13,1内单调递增,在(1,+∞)内单调递减,而f ⎝ ⎛⎭⎪⎫-13=-5927<0,f (1)=-1<0,故函数f (x )的图象与x 轴仅有一个交点,且交点横坐标在⎝ ⎛⎭⎪⎫-∞,-13内,故选A.当1≤x ≤2时,f ′(x )≥0,则f (2)≥f (1); 而当0≤x ≤1时,f ′(x )≤0,则f (1)≤f (0), 从而f (0)+f (2)≥2f (1).12.B 构造函数g (x )=f ?x ?e x ,则g ′(x )=f ′?x ?-f ?x ?e x>0,故函数g (x )=f ?x ?e x 在R 上单调递增,所以g (a )>g (0),即f ?a ?e a >f ?0?e 0,即f (a )>e a f (0).13.x +y -2=0解析:设所求切线与曲线的切点为P (x 0,y 0), ∵y ′=-1x 2,∴y ′ |x =x 0=-1x 20,所求切线的方程为y -y 0=-1x 20(x -x 0).∵点(2,0)在切线上,∴0-y 0=-1x 20(2-x 0),∴x 20y 0=2-x 0.① 又∵x 0y 0=1,②由①②解得⎩⎪⎨⎪⎧x 0=1,y 0=1, ∴所求直线方程为x +y -2=0.解析:M =⎠⎛011-x 2d x =14π×12=π4,N =∫π20cos x d x =sin x |π20=1,M <N ,不满足条件M >N ,则S =M =π4.解析:f ′(x )=mxm -1+a =2x +1,得⎩⎪⎨⎪⎧m =2,a =1.则f (x )=x 2+x ,1f ?n ?=1n ?n +1?=1n -1n +1,其和为⎝ ⎛⎭⎪⎫11-12+⎝ ⎛⎭⎪⎫12-13+⎝ ⎛⎭⎪⎫13-14+…+⎝ ⎛⎭⎪⎫1n -1n +1=1-1n +1=nn +1.16.[1,+∞)解析:根据题意,知f ′(x )=mx +1x -2≥0对一切x >0恒成立,∴m ≥-⎝ ⎛⎭⎪⎫1x 2+2x ,令g (x )=-⎝ ⎛⎭⎪⎫1x 2+2x =-⎝⎛⎭⎪⎫1x -12+1,则当1x =1时,函数g (x )取得最大值1,故m ≥1.17.解:(1)因为f ′(x )=-3x 2-4mx -m 2, 所以f ′(2)=-12-8m -m 2=-5, 解得m =-1或m =-7(舍去),即m =-1. (2)令f ′(x )=-3x 2+4x -1=0, 解得x 1=1,x 2=13.当x 变化时,f ′(x ),f (x )的变化情况如下表:所以函数f (x )在区间[0,1]上的最小值为f ⎝ ⎛⎭⎪⎫3=5027.18.解:(1)f ′(x )=3kx 2-6(k +1)x ,由f ′(x )<0得0<x <2k +2k , ∵f (x )的递减区间是(0,4), ∴2k +2k =4,∴k =1.(2)证明:设g (x )=2x +1x ,g ′(x )=1x -1x 2.当x >1时,1<x <x 2,∴1x>1x 2,∴g ′(x )>0,∴g (x )在x ∈[1,+∞)上单调递增. ∴x >1时,g (x )>g (1),即2x +1x >3, ∴2x >3-1x .19.解:(1)当k =0时,f (x )=-3x 2+1,∴f (x )的单调增区间为(-∞,0],单调减区间[0,+∞). 当k >0时,f ′(x )=3kx 2-6x =3kx ⎝ ⎛⎭⎪⎫x -2k ,∴f (x )的单调增区间为(-∞,0],⎣⎢⎡⎭⎪⎫2k ,+∞,单调减区间为⎣⎢⎡⎦⎥⎤0,2k .(2)当k =0时,函数f (x )不存在极小值,当k >0时,依题意f ⎝ ⎛⎭⎪⎫2k =8k 2-12k 2+1>0,即k 2>4,所以k 的取值范围为(2,+∞). 20.解:(1)由条件得错误!,解得a =-1100,b =1,则f (x )=-x 2100+10150x -ln x 10(x ≥10).(2)由题意知T (x )=f (x )-x =-x 2100+5150x -ln x 10(x ≥10),则T ′(x )=-x 50+5150-1x =-?x -1??x -50?50x, 令T ′(x )=0,则x =1(舍去)或x =50.当x ∈(10,50)时,T ′(x )>0,T (x )在(10,50)上是增函数;当x ∈(50,+∞)时,T ′(x )<0,T (x )在(50,+∞)上是减函数, ∴x =50为T (x )的极大值点,又T (50)=.故该景点改造升级后旅游利润T (x )的最大值为万元.21.解:(1)∵f (x )=13x 3-12x 2+cx +d ,∴f ′(x )=x 2-x +c ,要使f (x )有极值,则方程f ′(x )=x 2-x +c =0,有两个实数解,从而Δ=1-4c >0,∴c <14.(2)∵f (x )在x =2处取得极值,∴f ′(2)=4-2+c =0,∴c =-2.∴f (x )=13x 3-12x 2-2x +d .∵f ′(x )=x 2-x -2=(x -2)(x +1),∴当x ∈(-∞,-1)时,f ′(x )>0,函数单调递增,当x ∈(-1,2]时,f ′(x )<0,函数单调递减.∴x <0时,f (x )在x =-1处取得最大值76+d ,∵x <0时,f (x )<16d 2+2d 恒成立,∴76+d<16d2+2d,即(d+7)(d-1)>0,∴d<-7或d>1,即d的取值范围是(-∞,-7)∪(1,+∞).22.解:(1)f′(x)=e x-2,x∈R.令f′(x)=0,得x=ln2.于是,当x变化时,f′(x)和f(x)的变化情况如下表:故,+∞),f(x)在x=ln2处取得极小值,极小值为f(ln2)=2-2ln2+2a.(2)证明:设g(x)=e x-x2+2ax-1,x∈R,于是g′(x)=e x-2x+2a,x∈R.由(1)及a>ln2-1知,对任意x∈R,都有g′(x)≥g′(ln2)=2-2ln2+2a>0,所以g(x)在R内单调递增.于是,当a>ln2-1时,对任意x∈(0,+∞),都有g(x)>g(0),而g(0)=0,从而对任意x∈(0,+∞),都有g(x)>0,即e x-x2+2ax-1>0,故e x>x2-2ax+1.。