高等数学A(下)期末复习题
- 格式:doc
- 大小:2.42 MB
- 文档页数:27
虞山学院《高等数学(A)》(下)期末复习题一、选择题1.设向量},34,2{},1,2,3{k b a == ,已知b a ⊥,则k =(D )A. 32B. 326C. 32- D. 326-2.设向量(2,3,6)a =-,则与a 同向的单位向量为( D ).A. (2,3,6)-B. 1(2,3,6)7-- C. 1(2,3,6)7±- D.1(2,3,6)7- 3.设32,2a i j k b i j k =--=+-,则a b ⋅= ( B ).A. 2B. 3C. 4D. 54.当k =( )时,向量}{a k , 1, -1 =r与向量 }{b 1 , 2, 3 =r 垂直。
( B )A. 0B. 1C. 2D. 35.向量112a {,,}=-在304b {,,}=上的投影为 ( A )A. 115B. 8C. 72D. 06.设211a {,,}=,001b {,,}=,则(,)a b ∧= ( C )A. 2πB. 3π C. 66arccos D. 66arccos π-7.设向量{4,3,4}a =-,{2,2,1}b =,则(,)a b ∧=( C )A.2arcsin41B. 0C.2arccos41D. 4π 8. 在空间直角坐标系中,点(1,3,1)P -关于y 轴对称的点的坐标是( D )A. (1,3,1)B. (-1,3,-1)C. (-1,-3,1)D. (-1,3,1)9. 直线⎩⎨⎧=+-=+-082053z y z x 化成点向式方程为( B )A. 112135+=+=-z y x B. 12835z y x =+=+ C.112235-=+=-z y x D. 122335+=-=+z y x10. 设向量a 与}2,1,2{-=b 平行,18-=⋅b a ,则a=( C )A.{4,2,4}-- B.{4,2,4}- C. {4,2,4}-- D.{4,2,4}-11. 直线22112z y x =-+=-与平面2342=+-z y x 的位置关系是( D )A. 平行B. 重合C. 垂直D. 斜交 12.xoy 平面内抛物线2y x =绕y 轴旋转一周,所得旋转曲面的方程是( D ) A.22y x z z ⎧=+⎨=⎩ B.20y z x z ⎧+=⎨=⎩ C.222x y z =+ D.22y x z =+13. 平面A xB y C zD +++=0过x 轴,则 ( A ) A.AD ==0B. B C =≠00,C.B C ≠=00, D.BC ==014. 平面032=+y z 是 ( C )A. 与x 轴平行但无公共点的平面B. 与yOz 平面平行的平面C. 通过x 轴的平面D. 与x 轴垂直的平面15.在空间直角坐标系中,点(1,-2,3)关于原点对称的点的坐标是( B )A. (1,-2,-3)B. (-1,2,-3)C. (-1,-2,-3)D. (1,-2,-3)16. 平面3510x z -+= ( B ) A.平行于z o x 平面 B.平行于y 轴 C.垂直于y 轴 D.垂直于x 轴 17.221(,)sin 1f x y xx y=+--的定义域为( D ) A. {(,)|||1,||1}x y x y << B.{(,)|||1,1}x y x y << C.{(,)|||1}x y x <D.22{(,)|1}x y xy +<18.函数1412222-++--=y x y x z 的定义域是( C )A. }41|),{(22≤+≤y x y x B. }41|),{(22≤+<y x y x C. }41|),{(22<+≤y x y x D. }41|),{(22<+<y x y x19.2(,)ln()1f x y xy x y =+--的定义域是( D ).A. {(,)|1}x y x y +≤B. {(,)|01}x y x y <+≤C. {(,)|0,1}x y x x y <+≤D. {(,)|0,0,1}x y x y x y <≠+≤ 20.设)ln(),(22y x x y x f --=,其中0>>y x ,则=-+),(y x y x f ( A )A. )ln(2y x - B. )ln(y x - C. )ln (ln 21y x - D. )ln(2y x -21.设22),(y xy x xy f +=-,则 (,)f x y = ( B )A.2x y +B. 22x y + C. y x 22+ D. 22x y -22.设函数22(,)xyz f x y x y ==+,则下列各式中正确的是 ( C )A.(,)(,)y f x f x y x= B.(,)(,)f x y x y f x y +-=C.(,)(,)f y x f x y =D.(,)(,)f x y f x y -= 23. 二元函数⎪⎩⎪⎨⎧=≠+=)0,0(),(,0)0,0(),(,),(22y x y x y x xyy x f 在点(0,0)处 ( C )A. 连续,偏导数存在B. 连续,偏导数不存在C. 不连续,偏导数存在D. 不连续,偏导数不存在 24.函数)y ,x (f z =在点(x 0,y 0)处具有偏导数是它在该点连续的( D ).A.必要而非充分条件B.充分而非必要条件C.充分必要条件D.既非充分又非必要条件25.201sin limx y x xy →→=( A ) A.0 B. 1 C. 不存在 D. 存在,既不是0,也不是126.322(,)(0,0)lim x y xy x y →=( D ) A. 1 B.-1 C. 0 D. 不存在 27.22limx y xy x y→→=+( A ).A. 0B. 1C. 21 D. 不存在28.()()2222,0,0lim 1x y x y x y→+==-+( D )A. 2- B.2 C.不存在D. 029.设xy )y ,x (f =,则f(x,y)在(0,0)点处一阶偏导数( B ).A.不存在B.存在C.可能存在也可能不存在D. 以上都不对 30. 设22),(y xy x xy f +=-,则 =+),('),('y x f y x f y x( A )A.y 22+B. y 22-C. y x 22+D. y x 22-31.设)32ln(),(xy x y x f += ,则=')0,1(yf ( A )A.32B.23C.1D.032.设xy e y x z +=2,则=∂∂)2,1(yz( B )A. e +1B. 21e + C. 221e + D. e 21+33.设)cos(2y x z =,则=∂∂yz ( B ).A. )sin(2y x -B.)sin(22y x x- C. )sin(2y x D. )sin(22y x x34. 设2()z f x y =,则 z x∂=∂( A )A.()22xyf x y ' B.()2yf x y ' C.()22x f x y ' D.()2xyf x y '35.设22(,)x f x y xy x y =++,则'(0,1)xf=( A )A . 2 B. 2- C. 12D. 12-36.设fxy x yx y x y (,)=+-+-32231,则f x'(,)32=( B )A. 59B. 56C. 58D. 55 37.设xyz e =,则dz =( B ) A.xyedx B. ()xyeydx xdy + C. ydx xdy + D.()xy e dx dy +38.设yz e sin x=,则2zx y∂=∂∂( D ) A. yecos x- B.y y e e sin x+ C. yesin x- D. ye cos x39.设ln()z xy =,则dz =( C ) A.11dx dy y x+ B.11xy xy dx dy+ C.11dx dy x y+ D. xdx ydy + 40. 22(,)2f x y xy =--的极值点是( C )A.(1,-1)B.(1,1)C.(0,0)D. (0,2) 41.函数222y xz +=在点)1,1(P 处沿方向{2,1}l =的方向导数等于( C )A. 5B. 5-C. 52D. 52-42.函数xy z y x u 3422-++=在点)1,1,1(M 处沿}2,2,1{=l方向的方向导数Mlu∂∂为( A ) A.35 B. 53 C.}2,2,1{31D. }2,4,1{-43.222),,(z y x z y x f ++=,则梯度)3,1,1(grad -f 为( C ).A. 111-; B. {}2,2,1-; C. ⎭⎬⎫⎩⎨⎧-113,111,111; D. 044.下列命题错误的是( B )A. 偏导数存在是可微的必要条件B. 偏导数存在是连续的充分条件C. 偏导数连续是可微的充分条件D. 连续是可微的必要条件 45. 若0),(00=y x fx,0),(00=y x f y ,则),(y x f 在),(00y x 处有 ( D )A. 连续;B.可微;C.),(00y x 为极值点;D. ),(0y x 可能是极值点,也可能不是极值点46.设函数),(y x f z =在点),(0y x 处可微,且0(,)0, (,)0xyf x y f x y ''==,0000(,)0, (,)0xx yy f x y f x y ''''>>,则函数),(y x f 在),(00y x 处( B ).A. 必有极值,可能是极大,也可能是极小B. 可能有极值,也可能无极值C. 必有极大值D. 必有极小值47.二元函数22)1()1(y x z -+-=的极值点是( D ) A.)0 , 0( ; B. )1 , 0( ; C. )0 , 1(; D. )1 , 1(48.设),(y x f 是连续函数,交换二次积分⎰⎰>a xa dy y x f dx 0 0 )0(),(的积分次序的结果为( A ) A. ⎰⎰a a y dx y x f dy 0),( B. ⎰⎰aadxy x f dy 0),(C. ⎰⎰ay dx y x f dy 0),( D. ⎰⎰ay adx y x f dy 0),(49.交换二次积分顺序后,⎰⎰x-1 0 10 y)dy f(x, dx =( D ) A.⎰⎰11 0y)dx f(x, dy B.⎰⎰x-1 0 1y)dx f(x, dy C.⎰⎰1x-1 0y)dx f(x, dy D.⎰⎰y-1 01y)dx f(x, dy设),(y x f 在0,1:22≥≤+y y x D 连续,则=⎰⎰Dd y x f σ),((C )A.⎰⎰πθθθ2 01)sin ,cos (rdr r r f d B. ⎰⎰1x -1 02),(dy y x f dxC. ⎰⎰πθθθ 01 0 )sin ,cos (rdr r r f dD. ⎰⎰----11x 1 1 22),(x dy y x f dx50.设f (x ,y )为连续函数,则积分⎰⎰⎰⎰-+121202),(),(x xdy y x f dx dy y x f dx 可交换积分次序为 ( C ) A. 1y 22y1dy f (x,y)dx dy f (x,y)dx -+⎰⎰⎰⎰B. 21x 22x1dy f (x,y)dx dy f (x,y)dx -+⎰⎰⎰⎰C. 12y 0y dy f (x,y)dx -⎰⎰D. 212xx dy f (x,y)dx -⎰⎰51. 设D 由x y y x ===,1,0围成,则=⎰⎰Ddxdy y x f ),(( D )A.⎰⎰11 0 ),(dx y x f dyB.⎰⎰10 0),(x dy y x f dxC.⎰⎰11 ),(y dx y x f dyD.⎰⎰1),(y dx y x f dy52.设22:1,D xy +≤则Dxdxdy ⎰⎰=( C ).A.πB.1C.0D. π2 53.设dxdy e ,1y x:D D)y x(2222⎰⎰+-≤+则=( B ).A. )e 1(-πB. )e11(-π C. )1e (-π D. )e11(+π54. 若区域D 为221xy +≤,则二重积分⎰⎰Ddxdy y x f ),(化为累次积分为( B ) A. 1 00(,)d F r dr πθθ⎰⎰B. 1 0(,)d F r dr ππθθ-⎰⎰C.122(,)d F r drππθθ-⎰⎰ D.120 02(,)d F r drπθθ⎰⎰ 其中r r r f r F )sin ,cos (),(θθθ=55. 设22:1,D xy +≤f是D 上的连续函数,则22()Df x y dxdy +⎰⎰=( A ).A.⎰π10dr )r (rf 2 B. ⎰π10dr )r (rf 4 C. ⎰π102dr )r(f 2 D. ⎰πr 0dr )r (rf 456.设积分区域}0,0,1|),{(22≥≥≤+=y x y xy x D ,则⎰⎰Dd σ=( D )。
高等数学A(下册)期末考试试题大题 一 二 三 四 五 六 七 小题1 234 5得分一、填空题:(本题共5小题,每小题4分,满分20分,把答案直接填在题中横线上)1、已知向量a r 、b r满足0a b +=r r r ,2a =r ,2b =r ,则a b ⋅=r r .2、设ln()z x xy =,则32zx y∂=∂∂ . 3、曲面229x y z ++=在点(1,2,4)处的切平面方程为 .4、设()f x 是周期为2π的周期函数,它在[,)ππ-上的表达式为()f x x =,则()f x 的傅里叶级数 在3x =处收敛于 ,在x π=处收敛于 .5、设L 为连接(1,0)与(0,1)两点的直线段,则()Lx y ds +=⎰ .※以下各题在答题纸上作答,答题时必须写出详细的解答过程,并在每张答题纸写上:姓名、学号、班级. 二、解下列各题:(本题共5小题,每小题7分,满分35分)1、求曲线2222222393x y z z x y⎧++=⎪⎨=+⎪⎩在点0M (1,1,2)-处的切线及法平面方程. 2、求由曲面2222z x y =+及226z x y =--所围成的立体体积.3、判定级数11(1)lnn n n n∞=+-∑是否收敛?如果是收敛的,是绝对收敛还是条件收敛? 4、设(,)sin x z f xy y y =+,其中f 具有二阶连续偏导数,求2,z zx x y∂∂∂∂∂. 5、计算曲面积分,dS z ∑⎰⎰其中∑是球面2222x y z a ++=被平面(0)z h h a =<<截出的顶部. 三、(本题满分9分) 抛物面22z x y =+被平面1x y z ++=截成一椭圆,求这椭圆上的点到原点的距离的最大值与最小值.(本题满分10分)计算曲线积分(sin )(cos )x x Le y m dx e y mx dy -+-⎰,其中m 为常数,L 为由点(,0)A a 至原点(0,0)O 的上半圆周22(0)x y ax a +=>.四、(本题满分10分)求幂级数13nn n x n∞=⋅∑的收敛域及和函数.五、(本题满分10分)计算曲面积分332223(1)I x dydz y dzdx zdxdy ∑=++-⎰⎰,其中∑为曲面221(0)z x y z =--≥的上侧.六、(本题满分6分)设()f x 为连续函数,(0)f a =,222()[()]t F t z f xy z dv Ω=+++⎰⎰⎰,其中t Ω是由曲面z =与z =所围成的闭区域,求 3()lim t F t t +→.-------------------------------------备注:①考试时间为2小时;②考试结束时,请每位考生按卷面→答题纸→草稿纸由表及里依序对折上交; 不得带走试卷。
⾼等数学A(⼆)期末复习题⾼等数学A (⼆)期末复习题⼀、填空题1、设(1,2,1),(2,3,1)a b =-=r r ,则a br r .2、过点()3,4,1-且与直线5123--==-z y x 平⾏的直线⽅程为。
3、⽅程b az y x =+-2224,当0=a ,2=b ;4-=a ,2-=b ;0=a ,0=b 时依次表⽰的曲⾯是,,。
4、曲线222212z x y z x y ì?=+?í?=--??在xoy ⾯内的投影曲线的⽅程是。
5、设22y xy x u +-=,()1,10P ,()=0P u grad , du = 。
6、设,3ln sin 2=-z y y x 则=??xz ,=??y z 。
7、交换积分次序 ()1,dxf x y dy -=蝌。
8、=--??≤+dxdy y x y x 122221 。
9、设D 是xoy 平⾯内的⼀块密度为()y x ,µ的薄板,质量M = 。
10、()=++?ydy e dx my y ex L其中L 为沿上半圆周()0222>=+a ax y x 从点()0,2a A 到点()0,0O 的⼀段弧。
⼆、选择题1、直线37423zy x =-+=-+与平⾯3224=--z y x 的关系是()(A )平⾏,但直线不在平⾯上(B )直线在平⾯上(C )垂直相交(D )相交但不垂直 2、下列曲⾯中是旋转抛物⾯的是()(A )0422=-+z y x(B )04222=-+z y x (C )042222=-+z y x(D )04222=-+z y x3、()xyz f u =,f 可微,则=??xu ()(A )dx df (B )()xyz f ' (C )()xyz f yz ' (D )dxdf yz 4、设22z xy u -=,u 在点()1,1,2-处的⽅向导数的最⼤值为()(A )62 (B )4 (C )()1,1,2-u grad (D )6 5、设4:22≤+y x D ,f 在D 上连续,则()=+??dxdy y x f D22()(A )()ρρρπ?d f 22 (B )()ρρρπ?ρρπd f 2022 (D )()ρρρπ?d f 146、⽤格林公式计算()dy xy dx y x c22+-?,其中:c 沿圆222R y x =+逆时针⽅向绕⼀周,则得()(A )24203R d d R π-=ρρθ-π(B )??=D dxdy 00 (C )2)(422R dxdy y x D π=+?? (D )3232R d d D π=θρρ??7、若级数()nn n x a 20-∑∞=在2-=x 处收敛,则此级数在5=x 处()(A )必发散(B )必条件收敛(C )必绝对收敛(D )敛散性不能确定第⼋章:向量代数与空间解析⼏何1、求过点A (0,1,2)且与直线L :21111zy x =--=-垂直相交的直线⽅程。
南京邮电大学2010/2011学年第二学期《高等数学A 》(下)期末试卷A 答案及评分标准 一、选择题(本大题分5小题,每题3分,共15分)1、交换二次积分⎰⎰x e dy y x f dx ln 01),(的积分次序为(c )(A ) ⎰⎰x e dx y x f dy ln 01),( (B )⎰⎰1),(dx y x f dy e e y(C )⎰⎰eeydx y x f dy ),(10(D )⎰⎰ex dx y x f dy 1ln 0),(2、锥面22y x z +=在柱面x y x 222≤+内的那部分面积为 (D )(A )⎰⎰-θππρρθcos 2022d d (B )⎰⎰-θππρρθcos 20222d d(C )⎰⎰-θππρρθcos 202222d d (D )⎰⎰-θππρρθcos 20222d d3、若级数∑∞=-1)2(n nn x a 在2-=x 处收敛,则级数∑∞=--11)2(n n n x na 在5=x (B ) (A ) 条件收敛 (B ) 绝对收敛 (C ) 发散(D ) 收敛性不确定 4、下列级数中收敛的级数为 (A )(A ) ∑∞=-1)13(n nn n (B )∑∞=+121n n n (C ) ∑∞=+111sin n n (D )∑∞=13!n n n 5、若函数)()2()(2222x axy y i xy y x z f -+++-=在复平面上处处解析,则实常数a 的值 为 (c )(A ) 0 (B ) 1 (C ) 2 (D ) -2二、填空题(本大题分5小题,每题4分,共20分)1、曲面122-+=y x z 在点)4,1,2(处的切平面方程为624=-+z y x2、已知)0(:222>=+a a y x L ,则=-+⎰Lds xy y x )]sin([22 32 a π 3、Ω是由曲面22y x z +=及平面)0(>=R R z 所围成的闭区域,在柱面坐标下化三重积分⎰⎰⎰+Ωdxdydz y x f )(22为三次积分为⎰⎰⎰RR dz f d d ρπρρρθ)(20204、函数x x f =)()0(π≤≤x 展开成以2π为周期的正弦级数为nx nx n n sin )1(211+∞=-=∑,收敛区间为π<≤x 05、=+-)1(i Ln2,1,0),243(2ln ±±=++k k i ππ=-]0,[Re 2zz e s z1-三、(本题8分)设),()(22xy y xg y x f z ++=,其中函数)(t f 二阶可导,),(v u g 具有二阶连续偏导数,求y x z x z ∂∂∂∂∂2,解:2112yg g y f x x z ++'=∂∂ … 3分=∂∂∂yx z2f xy ''4113122221g y x g y xyg g --++ 5分四、(本题8分)在已知的椭球面134222=++z y x 内一切内接的长方体(各边分别平行坐标轴)中,求最大的内接长方体体积。
高等数学(下)复习试题一、填空题1.已知 a = (1,1-4) , b = (1-2,2),则 PlJ ; = ________________ . (-3)x -f* v 3? 03.它线 7~与平而x + 2y —z + 1二0的夹角为 ___________x-y-z=O5. 求曲面e' -z + xy = 3在点(2,1,0)处的切平血方程 ______________6. 函数u=xy 2+^-xyz 在点(((),一1,2)沿方向Z(1,V2,1)的方向导数—\ =az P°7. 设 f(x 9y,z) = x 2+2y 2+3才 +xy +3x-2y-6z,贝ij gs 力(0,0,0) = _________________8. 求函数《 =兀+ y + z 在点(0,0,1)处沿球面x 2+ + z 2- 1在这点的外法线方向的方向导数= ____________ O 19. 已知场w (x , V z )= £_+21+£_,贝喩沿场的梯度方向的方向导数是 _______________ .CT A L10. 平面2x + 3y-z = 2是曲面z = 2x 2+3y 2在点(处的切平面,则2=—。
" 2 2 4Aa &2ax11. 设/二I dx L --------(Q >0),改变积分次序 __________12. 若曲线积分£(x 4+4xy A)dx + (6x A ~}y 2-5y 4)dy 在XQV 平面内与路径无关,则2= _____________ 。
22 213. 设厶为平面上的椭圆冷+卡=1,边界为正向,则曲线积分«3xdx + cosydy =—。
08 (兀_2卩+1 14.幕级数工(T)"— 的收敛域为 ______________ 0 [1,3] 紅2〃 +1兀一3,—兀 vx<01C,则它的傅里叶级数在点I + 2兀,0<X<7T{2已知向量“的夹角等于环且求 2a-3b =4.设z = 0‘,则餐二 oxdyx y~' (1 +yin 兀) =2,(C)【dx"(兀刃dy;fl rJx-x2(D) [dx] f(x,y)dy5.设R为正常数,则级数£匕孕工是n=\ n~-JnA)发散;B)绝对收敛;C)条件收敛;D)收敛性与k冇关答:A)当P>~时,绝対收敛;C)当0“冷时,绝对收敛; B)当p > —时,条件收敛;D)当0 <p5丄时,发散。
高等数学A (下册)期末考试试题【A 卷】院(系)别 班级学号姓名成绩一、填空题:(本题共5小题,每小题4分,满分20分,把答案直接填在题中横线上)1、已知向量a r 、b r满足0a b +=r r r ,2a =r ,2b =r ,则a b ⋅=r r.2、设ln()z x xy =,则32zx y∂=∂∂ . 3、曲面229x y z ++=在点(1,2,4)处的切平面方程为.4、设()f x 是周期为2π的周期函数,它在[,)ππ-上的表达式为()f x x =,则()f x 的傅里叶级数在3x =处收敛于 ,在x π=处收敛于.5、设L 为连接(1,0)与(0,1)两点的直线段,则()Lx y ds +=⎰ .※以下各题在答题纸上作答,答题时必须写出详细的解答过程,并在每张答题纸写上:姓名、学号、班级.二、解下列各题:(本题共5小题,每小题7分,满分35分)1、求曲线2222222393x y z z x y⎧++=⎪⎨=+⎪⎩在点0M (1,1,2)-处的切线及法平面方程.2、求由曲面2222z x y =+及226z x y =--所围成的立体体积.3、判定级数11(1)lnn n n n∞=+-∑是否收敛?如果是收敛的,是绝对收敛还是条件收敛? 4、设(,)sin x z f xy y y =+,其中f 具有二阶连续偏导数,求2,z zx x y∂∂∂∂∂.5、计算曲面积分,dSz∑⎰⎰其中∑是球面2222x y z a ++=被平面(0)z h h a =<<截出的顶部.三、(本题满分9分)抛物面22z x y =+被平面1x y z ++=截成一椭圆,求这椭圆上的点到原点的距离的最大值与最小值.四、 (本题满分10分)计算曲线积分(sin )(cos )x x Le y m dx e y mx dy -+-⎰,其中m 为常数,L 为由点(,0)A a 至原点(0,0)O 的上半圆周22(0)x y ax a +=>.五、(本题满分10分)求幂级数13nn n x n∞=⋅∑的收敛域及和函数.六、(本题满分10分)计算曲面积分332223(1)I x dydz y dzdx z dxdy ∑=++-⎰⎰,其中∑为曲面221(0)z x y z =--≥的上侧.七、(本题满分6分)设()f x 为连续函数,(0)f a =,222()[()]tF t z f x y z dv Ω=+++⎰⎰⎰,其中t Ω是由曲面z =与z =所围成的闭区域,求3()lim t F t t +→. -------------------------------------备注:①考试时间为2小时;②考试结束时,请每位考生按卷面→答题纸→草稿纸由表及里依序对折上交;不得带走试卷。
《高等数学》期末考试A卷(附答案)【编号】ZSWD2023B0089一、填空题(每小题2分,共20分)1.设 是正整数, 为非零实数,若20001lim ()x x x x,则 _________________,______________________。
【答案】120012001,2.设)(x f 的定义域是]1,0[,且102a ,则()()f x a f x a 的定义域是____________________________ .【答案】1[,]a a3.2211sin()lim x x x x ______________________。
【答案】04.设1111010,(),x x x x e e x f x e e x,0 x 是)(x f 的___________间断点. 【答案】跳跃5.设24cos y x ,则dy ________________________. 【答案】3448sin cos x x x dx6.203sin limxx t dt x _________________________________.【答案】137. 函数2412()()x f x x的渐近线有______________________________.【答案】20,x y8.函数()x f x x e 的单调递增区间为____________________________.【答案】(,0)9.若 C x dx xx f sin )(ln ',则 )(x f .【答案】C e x )sin( 10.[()()]aaf x f x dx ______________________________________.【答案】0二、单项选择题(每小题2分,共10分) 1.若下列极限存在,则成立的是( ) .A. 0()()lim '()x f a x f a f a x B. 0000()()lim '() x f x f x x f x xC. 0(12)(1)lim '(1)t f t f f tD. 4(8)(4)lim '(4)4x f x f f x【答案】B2.当0 x 时,与x 等价的无穷小量是( )A. x x 1sinsin B. xx sin C. x x 22 D. )1ln(x【答案】D3. 当0x x 时,0'()f x ,当0x x 时,0'()f x ,则0x 必定是函数()f x 的( )A. 驻点B. 最大值点C.极小值点D. 以上都不对 【答案】D4.设'()f x 存在且连续,则()'df x ( )A. ()f xB. '()f xC. '()f x cD. ()f x c 【答案】B 5.设4()2xx f t dt,则40 f dx ( )A. 16B. 8C. 4D. 2【答案】A三、计算下列各题(每小题5分,共35分)1. 求极限)sin 11(cot lim 0xx x x解: )sin 11(cot lim 0x x x x xx x xx x tan sin sin lim 030sin lim x xx x (0 x 时x sin ~x ,x tan ~x )2031cos lim x x x 616sin lim 0 x x x2. 设3sin 2,0()9arctan 2(1),0xx ae x f x x b x x ,确定,a b 的值,使函数在0 x 处可导。
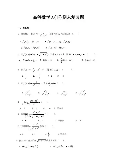
高等数学A(下)期末复习题一、 选择题1. 设函数22(,)xyz f x y x y==+,则下列各式中正确的是 ( ) A.(,)(,)yf x f x y x= B.(,)(,)f x y x y f x y +-= C.(,)(,)f y x f x y = D.(,)(,)f x y f x y -= 2.设)ln(),(22y x x y x f --=,其中0>>y x ,则=-+),(y x y x f ( )。
A. )ln(2y x -B. )ln(y x -C. )ln (ln 21y x - D. )ln(2y x -3. 若=--=+)2 , 1( , ) , (22f y x xy y x f 则 ( )。
A.31 B. 31- C. 3 D. 3- 4.设22),(y x x y x f +=,则=)1,1(y x f ( ) A.222y x xy + B. 222y x y x + C. 22y x xy + D. 2222yx y x + 5. 2(,)(0,0)(1)x y xy Limx→+=( ). A. 0 B. 1 C. ∞ D. 不存在 6.极限11lim22220++-+→→y x y x y x =( )。
A. -2B. 2C. 不存在D. 07.二重极限442200lim y x y x y x +→→的值( ).A.0B.1C.21D.不存在8.2(,)ln()f x y xy =的定义域是( ).A. {(,)|1}x y x y +≤B. {(,)|01}x y x y <+≤C. {(,)|0,1}x y x x y <+≤D. {(,)|0,0,1}x y x y x y <≠+≤ 9.函数1412222-++--=y x y x z 的定义域是( )A. }41|),{(22≤+≤y x y x B. }41|),{(22≤+<y x y x C. }41|),{(22<+≤y x y x D. }41|),{(22<+<y x y x10. 设132),(23-+-+=y x xy y x y x f ,则=') 2 3, (y f ( )A.39B.40C.41D.42 11.设xye y x z +=2,则=∂∂)2,1(yz ( )A. e +1B. 21e + C. 221e + D. e 21+ 12.设2x yz e=,则(1,2)|zx∂=∂( ) A. 24e B. 4e C. 2e D. 22e 13. 222),,(z y x z y x f ++=,则梯度)3,1,1(grad -f 的值为( ). A. 111-; B. {}2,2,1-; C. ⎭⎬⎫⎩⎨⎧-113,111,111; D. 0 14.22(,)2f x y x y =--的极值点是( )A.(1,-1)B. (1,1)C.(0,0)D. (0,2)15.函数在点处具有偏导数是它在该点存在全微分的 ( )。
华侨大学高等数学A(下册)期末考试试题【A 卷】考试日期:2012年6月22日上午08:30-10:30院(系)别班级 学号姓名 成绩一、填空题:(本题共5小题,每小题4分,满分20分,把答案直接填在题中横线上,答在其它地方不给分!)1、已知()222,,f x y z xy yz zx =++,则(0,0,1)xx f = .2、过点(3,1,2)-且通过直线43521x y z-+==的平面方程为 . 3、旋转椭球面222316x y z ++=上点(1,2,3)--处的切平面方程为 .4、设曲面∑为锥面z =介于平面0z =与1z =的部分,则22()x y dS ∑+=⎰⎰ .5、已知(,)f x y 连续,交换积分次序:10(,)ydy f x y dx =⎰⎰.※以下各题在答题纸上作答,答题时必须写出详细的解答过程,并在每张答题纸写上:班级、姓名、学号. 二、解下列各题:(本题共4小题,每小题8分,满分32分)1、 设()y y x =,()z z x =为由方程22201x y z x y z ++=⎧⎨++=⎩所确定的隐函数,求dy dx 与dzdx . 2、 求微分方程325y y y '''-+=满足初始条件01x y ==,02x y ='=的特解. 3、 求直线234112x y z ---==与平面26x y z ++=的交点. 4、 计算曲线积分(24)(536)Lx y dx y x dy -+++-⎰ ,其中L 为三顶点分别为(0,0)、(3,0)、(3,2)的三角形正向边界.三、 (本题满分10分)在xOy 面上求一点,使它到0x =,0y =及2160x y +-=三直线的距离平方之和为最小.四、 (本题满分12分)利用高斯公式,求曲面积分222x dydz y dzdx z dxdy ∑++⎰⎰,其中∑是锥面z =介于平面0z =与z h =(0h >)之间部分的下侧.五、 (本题满分10分)将函数21()32f x x x =++展开成(1)x -的幂级数,并求展开式成立的范围. 六、 (本题满分10分)(1) 验证函数20()(2)!nn x y x n ∞==∑满足微分方程0y y ''-=;(2) 通过解方程0y y ''-=,求幂级数20(2)!nn x n ∞=∑的和函数.七、 (本题满分6分)设()f x 是区间[0,1]上单调减少的正值连续函数,证明:111122()()()().xf x dx f x dx f x dx xf x dx ≤⎰⎰⎰⎰-------------------------------------备注:①考试时间为2小时;②考试结束时,请每位考生按卷面→答题纸→草稿纸由表及里依序对折上交; 不得带走试卷。
河海大学2020—2021学年第二学期 《高等数学》 期末试卷(A )一.填空题 (本题共5小题,每小题3分,满分15分) 1. 设xy e z sin =,则=dz _______。
2. 母线平行于x 轴且通过曲线⎪⎩⎪⎨⎧=+-=++0162222222z y x z y x 的柱面方程是 3.⎰=++-12222y x y x xdyydx =4. 函数y=x1在x=3处的幂级数展开式为: 5. 微分方程02=+'-''y y y 的通解是:二. 选择题 (本题共5小题,每小题3分,满分15分)1.已知a ϖ=(0, 3, 4), b ϖ=(2, 1, -2),则=b j a ϖPr [ ]A. 3B.31- C. -1 D.1 2. 函数yx xy z 2050++= (x>0,y>0)[ ] A. 在点(2, 5)处取极大值 B. 在点(2, 5)处取极小值C. 在点(5, 2)处取极大值 D . 在点(5, 2)处取极小值3.I=1:,)(222222=++Ω++⎰⎰⎰Ωz y x dv z y x 球面内部, 则I= [ ]A. ⎰⎰⎰ΩΩ=dv 的体积B.⎰⎰⎰1042020sin dr r d d θϕθππ C. ⎰⎰⎰104020sin dr r d d ϕϕθππ D. ⎰⎰⎰104020sin dr r d d θϕθππ4. I=⎰+Ly dy xe dx x 22 其中L 是由y=x-1, y=1, x=1所围区域的正向边界曲线, 则I=[ ]A. 21B. )1(21-e C. 2eD. e5. 若级数∑∞=--11)1(n nn x n 的收敛域是 [ ]A. (-1, 1)B. [-1, 1]C. [)1,1-D. (]1,1-三.解答下列各题 (本题共5小题,每小题6分,满分30分)1. 计算I=⎰⎰Ddxdy x D={(x, y)x y x ≤+22}。
来源于网络南京邮电大学2010/2011学年第二学期《高等数学A 》(下)期末试卷A 答案及评分标准 一、选择题(本大题分5小题,每题3分,共15分) 1、交换二次积分⎰⎰x e dy y x f dx ln 01),(的积分次序为 (c )x e ln 1e (2积为 ((35=x(4、下列级数中收敛的级数为 (A )(A ) ∑∞=-113(n nn n (B )∑∞=+121n n n (C ) ∑∞=+111sin n n (D )∑∞=13!n n n来源于网络5、若函数)()2()(2222x axy y i xy y x z f -+++-=在复平面上处处解析,则实常数a 的值 为 (c)(A ) 0 (B ) 1 (C ) 2 (D ) -2来源于网络二、填空题(本大题分5小题,每题4分,共20分)1、曲面122-+=y x z 在点)4,1,2(处的切平面=+-)1(i Ln2,1,0),243(2ln ±±=++k k i ππ=-]0,[Re 2zz e s z1-来源于网络三、(本题8分)设),()(22xy y xg y x f z ++=,其中函数)(t f 二阶可导,),(v u g 具有二阶连续偏导2028),,(=+=x yz z y x F x λ,来源于网络028),,(=+=y xz z y x F y λ,解得:1,31,32===z y x , (3)分,证明:yx ∂∂,所以曲线积分与路径无关….3分….5分装 订 线内 不 要 答 题自觉遵 守 考 试规 则,诚 信 考 试,绝 不 作 弊七、(本题8分)计算⎰⎰++∑dxdy z dzdx y dydz x 333,其中?为上半球面221y x z --=的上侧。
来源于网络设,ln )(xxx f =2ln 1)(x x x f -='当e x >时单调递减,2、沿指定曲线的正向计算下列复积分⎰=-2||2)1(z zdz z z e来源于网络解:原式 =)]1),((Re )0),(([Re 2z f s z f s i +π…2分zz 解:++220)1)(1(y n y x 1)4(11++=n n π……2 分来源于网络∑∑∞=+∞=+=010)4(11n n n n nn x n x a π,,4π=R 收敛域:)4,4[-……2 分,0)0()0(='=f f 又)(x f 的二阶导数)(x f ''在]1,1[-内连续,所以K x f ≤''|)(|,!2)()0()0()(2x f x f f x f ξ''+'+= ξ在0与x 之间来源于网络|1(|n f ,22n K ≤ 所以∑∞=1n |)1(|n f 收敛,同理∑∞=1n |11(|+n f 也收敛……5 分 由于|1)11(|||||n f b b +≤|1)11(||1)1(|||n f n f b +≤|1)11(|||+≤n f b。
《高等数学 A 》( 下)期末试卷 A 答案及评分标准 得 一、选择题(本大题分 5 小题,每题 3 分,共 15 分分)e dxln x f ( x, y)dy 的积分序次为1、互换二次积分1(c )e ln xf ( x, y)dxe1 (A)dy(B)e ydyf ( x, y)dx11 eln xe(C)dy e y f ( x, y)dx(D)dy1f ( x, y)dx2、锥面zx2y 2在柱面 x2y22x 内的那部分面积为( D )d2 cos2d2 cos 2d(A)2d2(B)222cos 2d22 cosd(C)2 d(D)2 d2 023、若级数a n ( x 2) n在 x2 处收敛,则级数n 1na n ( x 2)n 1( B )在 x 5n 1(A)条件收敛 (B) 绝对收敛 (C) 发散 (D) 收敛性不确立4、以下级数中收敛的级数为( A )(A)( n ) n(B)n2 3n 1 n 1 n 1 n 1(C)sin1(D)n!n 1 3 n n 1 n 15、若函数f ( z)( x 2 y 2 2 xy) i( y 2 axy x2 ) 在复平面上到处分析,则实常数 a 的值为(c )(A) 0 (B) 1 (C) 2 (D) -2得 二、填空题(本大题分 5 小题,每题 4 分,共 20 分分)、曲面 z x2y21 在点 (2,1,4) 处的切平面1方程为 4x 2 y z62 、已知L : x2y2a 2(a 0) , 则L [ x 2y2sin( xy)]ds2 a33、 是由曲面zx2y 2及平面 zR(R0) 所围成的闭地区,在柱面坐标下化三重积分f ( x2y 2)dxdydz 为2 RR2)dz三次积分为ddf (4、函数 f (x) x (0 x) 睁开成以 2 为周期的正弦级 数 为x2 ( 1) n 1 sin nx,收敛区间为n 1n0 x5、Ln( 1 i)ln 2 i(32k ), k 0, 1, 24Re s[e z,0]12得 三、 (此题 8 分)设zf ( x2y 2) g( x, xy) ,分y此中函数 f (t) 二阶可导, g(u, v) 拥有二阶连续偏导数,求 z ,2zx x y解: z 2xf1g 1yg23 分xy2z4xyfg 2xyg 221 g 1 x g 11 5 分x yy 2 y 3得x 2y 2z 21内分四、(此题 8 分)在已知的椭球面43全部内接的长方体(各边分别平行坐标轴)中,求最大的内接长方体体积。
《高等数学A》(第二学期)期末总复习一、微分方程(一)一阶微分方程:形如(,,)0F x y y ,(,)y f x y 或(.)(,)0M x y dx N x y dy初值问题:00(,),x x y f x y yy 注:一阶方程的通解必须且只能含有一个任意常数1. 可分离变量方程:()()f x dx g y dy ,两边同时积分可得通解 2.齐次方程:dy y dx x,令y u x ,y xu ,dy du u x dx dx ()du dx u u x ,可分离变量形式 3.一阶线性微分方程: 形如()()dyP x y Q x dx,()0Q x :齐次;()0Q x :非齐次. (1)齐次:()0()||()dy dy P x y P x dx ln y P x dx lnC dx y通解:()P x dxy Ce(2)非齐次①常数变易法:先求相应齐次形式的通解,令其任意常数为变量,再代入原方程以确定该变量②公式解:()()()P x dxP x dx y e Q x e dx C(二)可降阶的高阶微分方程(1)()()n y f x 型:连续积分;(2)(,)y f x y 型(不显含y 的方程):设y p ,则(,)y p p f x p (3)(,)y f y y 型(不显含x 的方程):设y p ,则dp y p dy (,)dyp f y p dy(三)二阶线性微分方程的解的结构 1.齐次:()()0y P x y Q x y ,通解:1122()()y C y x C y x ,其中12(),()y x y x 为该方程两个线性无关的特解. 2.非齐次:()()()y P x y Q x y f x通解:()*()y Y x y x ,其中()Y x 为对应的齐次方程的通解,*()y x 为原方程的一个特解.3.设**12(),()y x y x 分别为1()()()y P x y Q x y f x 与2()()()y P x y Q x y f x 的特解, 则***12()()y y x y x 为12()()()()y P x y Q x y f x f x +的特解.(四)二阶常系数线性微分方程1.齐次:0y py qy ,其中,p q 都为常数(1)特征方程20r pr q 特征根12,?r r(2)通解:12112121212121,2()(cos sin )r x r x r x x C e C e r r y C C x e r r e C x C x r i2.非齐次:()y py qy f x ,其中,p q 都为常数(1)先求出对应的齐次方程0y py qy 的通解:()Y Y x ; (2)后求原非齐次方程的特解:A、()()x m f x e P x 型:令*()k x m y x e Q x ,其中k 是特征方程的根 的重数B、()[()cos ()sin ]x l n f x e P x x P x x 型:令*[()cos ()sin ]k x m m y x e Q x x R x x ,其中max{,}m l n ,k 是特征根i 的重数.注意事项1) 积分法主要方程类型:可分离变量方程(分离变量后直接积分)、齐次方程(令u y x )、一阶线性方程(公式法)、伯努利方程1()n zy 、可降阶方程(不显含x :,p y p y 与不显含y :,p y y p dp dy ) 2) 碰到一个方程都是从可分离变量方程开始判断形式,认清形式最关键3) 二阶常系数非齐次线性微分方程的求解利用解的结构结论:非齐次通解(两线性无关特解的线性组合)=齐次通解+非齐次解;求解步骤为:齐次方程 特征方程 特征根 齐次通解;设非齐次特解形式 代入原方程 求得非齐次特解 非齐次通解二、向量代数与空间解析几何(一)向量代数1.点(,,)M x y z 向量(,,)OM x y z xi yj zk;2.点111222(,,),(,,)A x y z B x y z 向量212121(,,)AB x x y y z z; 3.向量运算及其坐标形式:设(,,),(,,)x y z x y z a a a a b b b b,则(,,)x x y y z z a b a b a b a b;(,,)x y z a a a a ( 为数);||||cos(,)x x y y z z a b a b a b a b a b a b ;x y z x y zi j ka b a a a b b b ,(||||||sin(,),,)a b a b a b a b b a b a ;以向量a 和b为邻边的平行四边形面积公式:||S a b//y x z x y z b b b a b a a a(对应坐标成比例,一向量某个坐标为零,另一向量相应坐标亦为零); 0a b a b ;//0a b a b ; cos(,)||||a b a b a b ; ||cos(,)a b b a b Prj . (二)曲面、空间曲线及其方程1.曲面及其方程:(,,)0F x y z ,旋转曲面【绕谁不换谁, 正负根号里没有谁;作图时先画母线然后绕其轴旋转之】,柱面【柱面三缺一,缺谁母线就平行于谁;作图时先画准线结合母线特点得柱面】;要熟悉常见的二次曲面及其方程并会作图(重点:球面,圆柱面,锥面,抛物面)2.空间曲线及其方程:一般方程(面交式)、参数方程(只有一个参数);3.曲线(曲面或空间立体)在坐标面上的投影:投xOy 便两两联立消去z ,其余类推. (三)平面方程与直线方程 1.平面方程(1)一般方程:0Ax By Cz D ,其中(,,)n A B C为其一法向量.(2)点法式方程:法向量(,,)n A B C,点000(,,)M x y z ,则000()()()0A x x B y y C z z .(3)截距式方程:1x y za b c,主要用于画图. (4)平面束方程:过直线111122220A xB yC zD A x B y C z D 的平面束方程为:11112222()()0A x B y C z D A x B y C z D :过该直线的除第2个平面外的所有平面.2.直线方程(1)点向式方程:方向向量(,,)s m n p,点0000(,,)M x y z L ,则000x x y y z z m n p; (2)参数式方程:000x x mty y nt z z pt(注:主要用于求交点坐标);(3)一般式方程:1111222200A x B y C z D A x B y C z D3.面面、线线、线面关系:确定了相应的方向向量或法向量之后,其夹角便转化为向量之间的夹角4.距离:点0000(,,)M x y z 到平面0Ax By Cz D 的距离:d主要题型(1)向量数量积的运算或求夹角;(2)计算三角形面积(3)求解直线方程和平面方程.注意事项1) 本章的向量是自由向量,与起点无关,可任意平移2) 空间直角坐标系利用右手准则建立,xyz 要满足这样的循环关系x y z x 3) 数量积是个数量,向量积是个向量,重点掌握它们的坐标形式4) 数量积可用于求向量夹角(介于0到 之间),向量积可用于确定方向及计算三角形或平行四边形面积 5) 一个方程(一个等号)是一个面,两个方程(两个等号)是条曲线 6) 平面主要抓住法向量,直线主要抓住方向向量三、多元函数的微分学及其应用(一)极限与连续二重极限常用求法:夹逼准则、等价无穷小、有理化,不可用洛必达法则;注:特殊方向法只能证极限不存在 连续性①一切多元初等函数在其定义区域内都是连续的;②有界闭区域上的连续函数必有最值. (二)偏导数1.显函数:(,)z f x y a.定义:0000000(,)(,)(,)limx x f x x y f x y f x y x,00(,)y f x y 定义类似;要掌握定义法求偏导b.求导法则:对x 求偏导,暂时视y 为常量;对y 求偏导,暂时视x 为常量c.高阶偏导数:22(,)xx z z f x y x x x ;2(,)xy z z f x y x y y x定理:二阶混合偏导在其连续时相同.d.复合函数的求导法则(链式法则):若(,)z f u v 具有连续偏导数,而(,)u g x y 与(,)v h x y 都具有偏导数,则复合函数[(,),(,)]z f g x y h x y 的偏导数为:12u x v x x x z z u z vf u f v fg fh x u x v x ,12u y v y y yz z u z v f u f v f g f h y u y v y注①解题时,要注意偏导数以及导数的写法,并按顺序遍历每一个中间变量;②111,,f f f 等都具有相同的中间变量.2.隐函数(要诀:方程两边同时对自变量求导;一个方程确定一个因变量,剩下的全为自变量)(1)一个方程的情形:二元方程可确定一个一元隐函数:(,)0F x y :x ydy F dx F 公式法 三元方程可确定一个二元隐函数:(,)(,)0,z z x y y x z zF z F zF x y z x F y F 公式法:,(2)方程组的情形:三元方程组确定两个一元隐函数:()()(,,)0,(,,)0y y x z z x x F x y z dy dz G x y z dx dx对求导四元方程组可确定两个二元隐函数:(,)(,)(,,,)0(,,,)0u u x y v v x y F x y u v G x y u v对x (或y )求偏导得,u vx x(或,u v y y ) (三)全微分:可微函数(,)z f x y 的全微分为:z zdz dx dy x y. 定义为:0000[(,)(,)]()z f x x y y f x y A x B y o,其中全微分存在之证明:计算 z A x B y ,证明是否趋近于0,其中,A B 为该点处的两个偏导数. (四)几何应用(重点把握切向量和法向量) 1. 曲线的切线与法平面a、 若曲线 的参数方程为:()()()x x t y y t z z t,点0000(,,)M x y z t t ,则切向量为000((),(),())T x t y t z t ,切线方程为000000()()()x x y y z z x t y t z t;法平面方程为000000()()()()()()0x t x x y t y y z t z z b、 若曲线 的方程为:()()y f x z g x ,点000(,,)M x y z ,则切向量为00(1,(),())T y x z xc、 若曲线 的方程为一般方程:(,,)0(,,)0F x y z G x y z,点000(,,)M x y z ,则切向量为00(1,(),())T y x z x (利用隐函数求导法,方程两边对x 求导,解方程组可得,dy dzdx dx).(注:该法若无解,需改换其它自变量求导) 【另解:利用三阶行列式计算 x y z x y zij k T F F F G G G】2. 曲面的切平面与法线a、 若曲面 的方程为(,,)0F x y z ,点000(,,)M x y z ,则法向量为:((),(),())x y z n F M F M F M,切平面方程为:000000000000(,,)()(,,)()(,,)()0x y z F x y z x x F x y z y y F x y z z z ; 法线方程为:000000000000(,,)(,,)(,,)x y z x x y y z z F x y z F x y z F x y zb、 若曲面 的方程为(,)z f x y ,点000(,,)M x y z ,则法向量为:0000((,),(,),1)x y n f x y f x y,切平面方程为:0000000(,)()(,)()()0x y f x y x x f x y y y z z ; 法线方程为:0000000(,)(,)1x y x x y y z z f x y f x y(五)方向导数与梯度 (以二元函数为例)(1)方向导数:设(,)z f x y 可微分,(cos ,cos )l e,则000000(,)(,)cos (,)cos x y x y f f x y f x y l(2)梯度:(,)((,),(,))x y f x y f x y f x y grad ,沿梯度方向,方向导数取得最大值,该值即为梯度的模.(六)极值 (1)无条件极值:设(,)z f x y ,由(,)0(,)0x y f x y f x y解得驻点00(,)x y ,令000000(,),(,),(,)xx xy yy A f x y B f x y C f x y ,然后利用,,A B C 判定驻点是否极值:20AC B 有极值,0A 极小,0A 极大;20AC B 无极值;20AC B 用此法无法判定.(2)条件极值:(,)z f x y 在条件(,)0x y 下的极值:构造拉格朗日函数,令(,)(,)(,)L x y f x y x y ,联立方程(,)0(,)0(,)0x y L x y L x y x y,其解00(,)x y 为可能的极值点.是否为真正的极值点,一般可由问题的本身性质来判定.(3)闭区域上最值问题:内部区域令一阶偏导为零得驻点;边界通过代入法或拉格朗日乘数法求可疑点.注意事项1) 二重极限与一元函数极限的本质区别在于前者趋近方向有无数多个,而后者只有左右两个 2) 特殊方向法只能用于证明二重极限不存在,绝对不能用于求二重极限3) 掌握右边的关系图4) 求切线和法平面主要抓住曲线切向量,求切平面和法线主要抓住曲面法向量 5) 沿梯度方向,方向导数取得最大值,最大值为梯度模长四、积分的计算与应用(一)二重积分1.直角坐标:(,)D I f x y dxdy 2121():()()()12():()()()12(,),(,),b y x a x b D a y x y x y y x dx y c y d D cx y x y x x y dx f x y dy dy f x y dx若若注(1)利用可任意平移的穿线来确定积分顺序及积分上下限;要先对x 求积分,则画平行于x 轴的穿线 (2)若积分区域不只一条穿线,则适当分割之;(3)常考题型:交换二次积分的积分顺序.2.极坐标: cos ,sin (cos ,sin )x y d d d DI f d d, 注(1)被积函数或积分区域中含有22xy 的都可以考虑极坐标法(2)积分顺序: ;(3)先确定 的范围,后固定 ,选取从极点出发的穿线来确定 .(注:此处的穿线为一条由极点出发的射线,可绕极点任意旋转) 3.对称性(1)奇偶对称性:若积分区域D 关于x 轴对称, 1(,),0D x y D y ,则①当(,)f x y 是关于y 的奇函数,有(,)0Df x y dxdy ;②当(,)f x y 是关于y 的偶函数,有1(,)2(,)DD f x y dxdy f x y dxdy .(2)轮换对称性:若积分区域D 关于直线y x 对称,则(,)(,)DDf x y dxdy f y x dxdy .4.应用: 平面面积DA dxdy ;曲顶柱体体积DV d 上顶下底; a注:求立体体积,不一定要画出立体的准确图形,但一定要会求出坐标面上的投影区域,并知道立体的底和顶的方程.曲面面积xyD A dS(yzD或zxD )(二)三重积分1.投影法(先一后二法) 1221(,,)|(,)(,),(,)(,)(,)(,,)xy xyx y z z x y z z x y x y Dz x y z x y D I dxdy f x y z dz确定区域:先将立体区域 投影到xOy 平面上,选取平行于z 轴的穿越线确定z 的上下限.2.截面法(先二后一法)(,,)|,(,)(,,)z zx y z c z d x y D dc D I dz f x y z dxdy主要适用于(1)被积函数(,,)f x y z 仅含一种或不含自变量,比如只含z (2)截面应易计算其面积3.柱面坐标 cos ,sin ,x y z zdv d d dzI (cos ,sin ,)f z d d dz; 积分顺序:z ;确定积分上下限同上述投影法,取平行于z 轴的穿线;, 同极坐标.4.球面坐标 2sin cos ,sin sin ,cos sin x r y r z r dv r drd d I2(sin cos ,sin sin ,cos )sin f r r r r drd d积分顺序:r ;(1)将闭区域 投影至xOy 平面,以确定 的范围(2)在半平面c 内确定 的范围(3)固定, ,画一条从原点出发的穿越线,以确定r 的范围.5.对称性(1)奇偶对称性:设积分区域 关于xOy 平面对称①若(,,)f x y z 关于z 为奇函数,则(,,)0f x y z dv;②若(,,)f x y z 关于z 为偶函数, 1(,,),0x y z z ,1(,,)2(,,)f x y z dv f x y z dv.(2)轮换对称性:区域轮换对称即可.(三)曲线积分1.第一类曲线积分(对弧长)a、平面曲线:(,)L f x y ds :(),()L x x t y y t t[(),()]()f x t y tb、空间曲线:(,,)f x y z ds :(),(),()x x t y y t z z t t[(),(),()]()f x t y t z t 2.第二类曲线积分(对坐标),主要考虑平面曲线:(,)(,)L I P x y dx Q x y dyi)参数法::(),()L x x t y y t ,:t (或t 由 变化到 ){[(),()]()[(),()]()}I P x t y t x t Q x t y t y t dtii)格林(Green)公式:(,)(,)()L D Q PP x y dx Q x y dy dxdy x y;不闭则补之(常取折线). 注意条件:偏导数处处连续,L 为D 的正向边界曲线.定理:设函数(,),(,)P x y Q x y 在单连通区域D 内处处具有连续的偏导数,则下列命题相互等价: (1)沿D 内任意闭曲线C ,(,)(,)C P x y dx Q x y dy 0 ;(2)(,)(,)L P x y dx Q x y dy 在D 内与路径无关;(3)(,)(,)P x y dx Q x y dy 在D 内为某函数(,)u x y 的全微分,即存在函数(,)u x y ,使得du Pdx Qdy ; (4)在D 内恒有:P Qy x. 这里(,)u x y 可由下列两种方法求得:①线积分法:00(,)(,)(,)(,)(,)x y x y u x y P x y dx Q x y dy C ;选取特殊路径,一般是折线路径. ②偏积分法:由du Pdx Qdy ,得(,)uP x y x; 两边对x 求偏积分可得(,)(,)(,)()u x y P x y dx f x y C y两边对y 求偏导可得(,)()y u f x y C y y ,再由(,)uQ x y y,可解得()C y ,从而得(,)u x y . (四)曲面积分1.第一类曲面积分(对面积)设:(,)z z x y ,(,)xy x y D,则(,,)[,,(,)]xyD I f x y z dS f x y z x y2.第二类曲面积分(对坐标):(,,)(,,)(,,)I P x y z dydz Q x y z dzdx R x y z dxdy(1)高斯(Gauss)公式:(P Q RPdydz Qdzdx Rdxdy dxdydz x y z若不闭则补之,一般补平面.注意条件:偏导数处处连续及方向性: 为 的整个边界曲面的外侧. (2)投影法:注意垂直性, 垂直于被投影面,则积分为零.若不垂直,则(,,):(,)[(,),,]yzD P x y z dydz x x y z P x y z y z dydz【前正后负】(,,):(,)[,(,),]zxD Q x y z dzdx y y z x Q x y z x z dzdx【右正左负】(,,):(,)[,,(,)]xyD R x y z dxdy z z x y R x y z x y dxdy【上正下负】(2)化为第一类曲面积分:(cos cos cos )Pdydz Qdzdx Rdxdy P Q R dS注意事项1) 线和面积分的第一类的与方向无关,第二类的与方向有关2) 曲线与曲面积分可以将曲线或曲面方程代入被积函数,重积分一定不能代入3) 非封闭曲线上的第二类曲线积分的计算常用格林公式:先补辅助线,注意曲线方向与已知曲线一致;一般补折线4) 非封闭曲面上的第二类曲面积分的计算常用高斯公式:先补辅助面,辅助面的设定要有三个元素,分别是方程、侧和范围(即投影区域);注意侧要保证一致对外或一致对内 5) 积分的实际意义1. 定积分:曲边梯形的面积、旋转体的体积、曲线长度、直线质量、恒力沿直线作功2. 二重积分:曲顶柱体的体积、平面质量3. 三重积分:立体质量4.第一类曲线积分:曲线质量5. 第二类曲线积分:变力沿曲线作功6. 第一类曲面积分:曲面质量7.第二类曲面积分:变速度流体流过曲面的流量五、级数(一)常数项级数及其收敛性1.定义:1n n u收敛(发散) lim n n s 存在(不存在)【部分和12n n s u u u 】2.基本性质:(1)1(0)n n ku k 与1n n u具有相同的敛散性;(2)1n n u 与1n n v 都收敛 1()n n n u v收敛;(3)改变有限项的值不影响级数的敛散性; (4)收敛的级数可以任意加括号; (5)若1n n u收敛,则lim 0n n u ;反之未必; (6)若lim 0n n u,则1n n u发散.3.特殊级数的收敛性【必须牢记之】:①调和级数11n n发散; 1111n n n 条件收敛;②p 级数11p n n :当1p 时收敛,当1p 时发散; 1111n pn n:1p 时绝对收敛,当1p 时条件收敛. ③等比级数(几何级数)0n n aq,当||1q 时发散,当||1q 时收敛,且0(||1)1n n aaq q q. 4.正项级数审敛法:1n n u,其中0(1,2,)n u nI、1n n u收敛 部分和n s 有界;II、比较审敛法:(1)()n n u v n N ,若1n n v 收敛,则1n n u收敛;(2)极限形式:lim(0)nn nu l l v ,1n n u 和1n n v 具有相同的敛散性; 若0l ,则1n n v收敛,1n n u也收敛;若l , 1n n v发散,1n n u也发散. 【可利用无穷小的比较记忆】III、比值(根值)审敛法:1lim)n n n nu u ,当1 时收敛;当1() 时发散;而当1时用此法不能判定其收敛性,转而用II 或I.5.交错级数 1(1)(0,1,2,)n n n n u u n:一般项绝对值{}n u 单调递减趋于零.6.任意项级数 1n n u(n u 为任意常数):综合以上各方法来判断发散或收敛(绝对收敛,条件收敛)(二)幂级数 0()nn n n n u x a x或00()n n n a x x1.收敛半径: (1)若0n a 【不缺项】:1lim (lim n n n n a a ,,01,00,R (2)若缺项:如200()n n n n n u x a x ,由1()lim1()n n n u x u x ,解得收敛区间. 2.收敛域:先求收敛半径R ,可得收敛区间(,)R R ,再讨论端点x R 处的收敛性可得所求的收敛域3.幂级数和函数的求法:先求收敛域,再利用幂级数的运算性质(加减乘除四则运算,逐项求导,逐项积分,和函数的连续性)以及换元法,然后代已知的展开式,可得所求的和函数. 注:主要参照等比级数4.函数展开成幂级数 00()()n n n f x a x x()x I1)直接展开法:【利用泰勒展开定理】求导数得系数,写出泰勒级数,求其收敛域,最后记得判定余项趋于零,便可得到所求的展开式.2)间接展开法:利用幂级数的运算性质(加减乘除四则运算,逐项求导,逐项积分)以及换元法,然后代已知的展开式,可得所求的展开式.注:了解以下6个常用的展开式(重点是前两个): ①01(||1)1n n x x x 、01(1)(||1)1n n n x x x ; ②0(||)!n x n x e x n ③210sin (1)(||)(21)!n n n x x x n ; ④20cos (1)(||)(2)!nn n x x x n⑤10ln(1)(1)(11)1n nn x x x n ⑥1222(1)(1)(1)(1)112!!m n n n m m m m m m m m n x C x C x C x mx x x n (三)傅里叶级数:只列举2T 情形,一般周期2T l 类似.1.傅里叶级数展开式:01()(cos sin )2n n n a f x a nx b nx 2.傅里叶系数: 1()cos (0,1,2,)n a f x nxdx n ,1()sin (1,2,)n b f x nxdx n(1)当()f x 为奇函数时,00(0,1,22()(1,2,3)n n a n b f x sinnxdx n) 此时级数变为1n n b sinnx ,称为正弦级数 (2)当()f x 为偶函数时,02()(0,1,20(1,2,3)n n a f x cosnxdx n b n ) 此时级数变为01cos 2n n a a nx ,称为余弦级数 3、收敛性条件:在一个周期内(1)处处连续或只有有限个第一类间断点;(2)只有有限个极值点.4、和(函数): 01(cos sin )2n n n a a nx b nx ()()()()()2f x x f x f x f x x f x 为的连续点为的间断点 5.函数展开成傅里叶级数的题型(1)若()f x 为2T 的周期函数,则对()f x 验证收敛定理的条件,求出()f x 的间断点,利用收敛定理,写出()f x 的傅里叶级数的收敛性,再求出傅里叶系数,最后写出所求的傅里叶级数展开式.注意:必须写出展开式成立的范围,在展开式不成立的点(必为间断点)必须指明傅里叶级数的收敛性.(2)若()f x 只在[,] 上有定义,则必须对()f x 进行周期延拓,然后对周期延拓后所得的函数()F x 的傅里叶级数展开式限制在[,] 上讨论.(3)若()f x 只在[0,] 上有定义,对()f x 进行奇(偶)周期延拓,可得正弦(余弦)级数.。
高等数学A(下)期末复习题一、 选择题1. 设函数22(,)xyz f x y x y==+,则下列各式中正确的是 ( ) A.(,)(,)y f x f x y x= B.(,)(,)f x y x y f x y +-= C.(,)(,)f y x f x y = D.(,)(,)f x y f x y -= 2.设)ln(),(22y x x y x f --=,其中0>>y x ,则=-+),(y x y x f ( )。
A. )ln(2y x -B. )ln(y x -C. )ln (ln 21y x - D. )ln(2y x -3. 若=--=+)2 , 1( , ) , (22f y x xy y x f 则 ( )。
A.31 B. 31- C. 3 D. 3- 4.设22),(yx xy x f +=,则=)1,1(y x f ( ) A.222y x xy + B. 222y x y x + C. 22y x xy + D. 2222yx y x + 5. 2(,)(0,0)(1)x y xy Limx→+=( ). A. 0 B. 1 C. ∞ D. 不存在 6.极限11lim22220++-+→→y x y x y x =( )。
A. -2B. 2C. 不存在D. 07.二重极限442200lim y x y x y x +→→的值( ).A.0B.1C.21D.不存在 8.2(,)ln()1f x y xy x y =+--的定义域是( ).A. {(,)|1}x y x y +≤B. {(,)|01}x y x y <+≤C. {(,)|0,1}x y x x y <+≤D. {(,)|0,0,1}x y x y x y <≠+≤ 9.函数1412222-++--=y x y x z 的定义域是( )A. }41|),{(22≤+≤y x y xB. }41|),{(22≤+<y x y xC. }41|),{(22<+≤y x y xD. }41|),{(22<+<y x y x 10. 设132),(23-+-+=y x xy y x y x f ,则=') 2 3, (y f ( )A.39B.40C.41D.42 11.设xy e y x z +=2,则=∂∂)2,1(yz ( )A. e +1B. 21e + C. 221e + D. e 21+12.设2x y z e =,则(1,2)|zx∂=∂( ) A. 24e B. 4e C. 2e D. 22e 13. 222),,(z y x z y x f ++=,则梯度)3,1,1(grad -f 的值为( ).A. 111-; B. {}2,2,1-; C. ⎭⎬⎫⎩⎨⎧-113,111,111; D. 0 14.22(,)2f x y x y =--的极值点是( ) A.(1,-1) B. (1,1) C.(0,0) D. (0,2)15.函数z f x y =(,)在点(,)x y 00处具有偏导数是它在该点存在全微分的 ( )。
2020-2021《高等数学》(下)期末课程考试试卷A4适用专业: 考试日期:试卷类型:闭卷 考试时间:120分钟 试卷总分:100分一. 填空题:(共5小题,每小题3分,共15分)1. 方程7100y y y '''++=的通解为2. 求Lds ⎰= 其中22:9L x y +=3.改变积分顺序220(,)xxdx f x y dy ⎰⎰= .4.级数013nn ∞=⎛⎫⎪⎝⎭∑的和为5.()()(),0,0sin lim→=x y xy xy. 二.单项选择. (共5小题,每小题3分,共15分)1. 设D 为圆域: 224x y +≤,曲面1D 是D 在第一象限中的部分.则有( ). (A) 14DD xd xd σσ=⎰⎰⎰⎰ (B) 14DD yd yd σσ=⎰⎰⎰⎰(C) 14DD xyd xyd σσ=⎰⎰⎰⎰ (D) 122224DD x y d x y d σσ=⎰⎰⎰⎰.2. lim 0n n u →∞=是级数∑∞=1n n u 收敛的( )(A)充分条件 (B)必要条件 (C)充要条件 (D)无关条件. 3.积分 ()(),,LP x y dx Q x y dy +⎰与路径无关的充要条件是( )(A)P Q y x ∂∂=∂∂ (B) P Q y x∂∂=-∂∂ (C) P Q x y ∂∂=∂∂ (D)P Q y y ∂∂=∂∂ 4. 函数223246ux y y x z 在原点沿(2,3,1)l 方向的方向导数u l( )(A).(B).(C).(D). 5. 级数111(1)n n n ∞-=-∑为( )级数(A).收敛 (B). 发散 (C).既不收敛也不发散 (D)既收敛也发散 三、解下列各题。
(共4小题,每小题10分,共40分)1. 设2sin =z x y ,求全微分dz 。
2.证明曲线积分()()()()2,02,0sin cos xx ey y dx e y x dy -+++⎰在整个平面内与路径无关,并计算积分值3.求过点12,1,3⎛⎫ ⎪⎝⎭的平面,使它与三个坐标面在第一象限内所围成的立体体积最小。
南京邮电大学2010/2011学年第二学期《高等数学A》(下)期末试卷A答案及评分标准得分一、选择题(本大题分5小题,每题3分,共15分)1、交换二次积分的积分次序为()(A) (B)(C) (D)2、锥面在柱面内的那部分面积为()(A) (B)(C) (D)3、若级数在处收敛,则级数在()(A) 条件收敛 (B) 绝对收敛 (C) 发散(D) 收敛性不确定4、下列级数中收敛的级数为()(A) (B)(C) (D)5、若函数在复平面上处处解析,则实常数a的值为()(A) 0 (B) 1 (C) 2 (D) -2二、填空题(本大题分5小题,每题4分,共20分)1、曲面在点处的切平面方程为2、已知,则3、Ω是由曲面及平面所围成的闭区域,在柱面坐标下化三重积分为三次积分为4、函数展开成以2π为周期的正弦级数为,收敛区间为5、得分得分三、(本题8分)设,其中函数二阶可导,具有二阶连续偏导数,求解:… 3分5分得分四、(本题8分)在已知的椭球面内一切内接的长方体(各边分别平行坐标轴)中,求最大的内接长方体体积。
解:设顶点坐标为,….2分令….2分,,解得:,….3分,….1分五、(本题7分),其中.解: 原式= (5)分….2分六、(本题8分)计算,其中L 为抛物线上由点(0,0)到的一段弧。
得 分得 分装订 线内不要 答 题自 觉 遵守 考 试 规 则,诚信 考 试,绝 不 作证明:,所以曲线积分与路径无关….3分….5分七、(本题8分)计算,其中 为上半球面的上侧。
解:补面下侧原式=……5分=得分=………3分八、(本题8分)讨论级数的敛散性,若收敛则说明是绝对收敛还是条件收敛。
解:原级数不绝对收敛 ……3分又 为交错级数,……2分设当时单调递减,所以当时单调递减,……2分原级数条件收敛。
…1分九、(本题共12分,每题6分) 1、将在区域内展开成洛朗级数。
得 分得 分解:…..3分…..3分2、沿指定曲线的正向计算下列复积分解:原式=…2分……2 分……2 分十、(本题6分)设,其中,(1)求出;(2)求出幂级数的收敛域及和函数。
高等数学A(下)期末复习题一、 选择题1. 设函数22(,)xyz f x y x y==+,则下列各式中正确的是 ( ) A.(,)(,)yf x f x y x= B.(,)(,)f x y x y f x y +-= C.(,)(,)f y x f x y = D.(,)(,)f x y f x y -= 2.设)ln(),(22y x x y x f --=,其中0>>y x ,则=-+),(y x y x f ( )。
A. )ln(2y x -B. )ln(y x -C.)ln (ln 21y x - D. )ln(2y x - 3. 若=--=+)2 , 1( , ) , (22f y x xy y x f 则 ( )。
A.31 B. 31- C. 3 D. 3- 4.设22),(y x x y x f +=,则=)1,1(y x f ( ) A.222y x xy + B. 222y x y x + C. 22y x xy + D. 2222yx y x + 5. 2(,)(0,0)(1)x y xy Limx→+=( ). A. 0 B. 1 C. ∞ D. 不存在 6.极限11lim22220++-+→→y x y x y x =( )。
A. -2B. 2C. 不存在D. 07.二重极限442200lim y x y x y x +→→的值( ).A.0B.1C.21D.不存在8.2(,)ln()f x y xy =的定义域是( ).A. {(,)|1}x y x y +≤B. {(,)|01}x y x y <+≤C. {(,)|0,1}x y x x y <+≤D. {(,)|0,0,1}x y x y x y <≠+≤ 9.函数1412222-++--=y x y x z 的定义域是( )A. }41|),{(22≤+≤y x y x B. }41|),{(22≤+<y x y x C. }41|),{(22<+≤y x y x D. }41|),{(22<+<y x y x10. 设132),(23-+-+=y x xy y x y x f ,则=') 2 3, (y f ( )A.39B.40C.41D.42 11.设xye y x z +=2,则=∂∂)2,1(yz ( )A. e +1B. 21e + C. 221e + D. e 21+ 12.设2x yz e=,则(1,2)|zx∂=∂( ) A. 24e B. 4e C. 2e D. 22e 13. 222),,(z y x z y x f ++=,则梯度)3,1,1(grad -f 的值为( ). A. 111-; B. {}2,2,1-; C. ⎭⎬⎫⎩⎨⎧-113,111,111; D. 0 14.22(,)2f x y x y =--的极值点是( ) A.(1,-1) B. (1,1) C.(0,0) D. (0,2)15.函数z f x y =(,)在点(,)x y 00处具有偏导数是它在该点存在全微分的 ( )。
A. 必要而非充分条件 B. 充分而非必要条件 C. 充分必要条件 D. 既非充分又非必要条件16、函数z f x y =(,)在点(,)x y 00处连续是它在该点偏导数存在的: A.必要而非充分条件; B.充分而非必要条件; C.充分必要条件; D.既非充分又非必要条件。
17.设函数),(y x f z =在点),(00y x 处可微,且0000(,)0, (,)0x y f x y f x y ''==,0000(,)0, (,)0xx yy f x y f x y ''''>>,则函数),(y x f 在),(00y x 处( ).A. 必有极值,可能是极大,也可能是极小B. 可能有极值,也可能无极值C. 必有极大值D. 必有极小值 18.设xy )y ,x (f =,则f(x,y)在(0,0)点处( ).A. 连续但偏导数不存在B. 不连续也不存在偏导数C. 连续且偏导数存在D. 不连续但偏导数存在19. 二元函数⎪⎩⎪⎨⎧=≠+=)0,0(),(,0)0,0(),(,),(22y x y x y x xyy x f 在点(0,0)处 ( )A. 连续,偏导数存在B. 连续,偏导数不存在C. 不连续,偏导数存在D. 不连续,偏导数不存在20. 设2(,)cos()z f x y x y ==,则''(1,)2xx f π=( )A.2πB.2π-C.πD.π-21.设xye z =,则dz = ( )。
A. dx e xyB. )(xdy ydx e xy+ C. xdy ydx + D. )(dy dx e xy+22. 设二元函数cos xz e y =,则2zx y∂=∂∂( ) A. sin x e y B. sin x x e e y + C. cos x e y - D. sin xe y -23.设)cos(2y x z =,则22yz∂∂=( )A.)sin(22y x xB.)sin(22y x x -C.)cos(24y x xD.)cos(24y x x - 24.下列说法正确的是 ( ) A.偏导数存在是该点连续的充分条件 B.偏导数存在是该点可微的充要条件 C.偏导数存在是该点可微的必要条件D.偏导数连续是该点可微的充要条件25.函数z x y y x u 642822++-=在原点沿向量=a {2,3,1}方向的方向导数为( )。
A.148-B.148 C.143 D. 143-26.函数xy z y x u 3422-++=在点)1,1,1(M 处沿}2,2,1{=l ρ方向的方向导数Mlu ∂∂为( ) A.35 B. 53 C. }2,2,1{31D. }2,4,1{-27.函数z x y y x u 642822++-=在原点沿向量{2,3,1}a =r方向的方向导数为( )A.148-B.148 C.143 D.143-28.函数222y x z +=在点)1,1(P 处的梯度方向的方向导数等于( ) A.5 B. 5- C. 52 D. 52-29.设32,sin ,t y t x e z yx ===-,则=dtdz( )。
A. )6(cos 22sin 3t t et t -- B. )3(cos 22sin 3t t ez t t -=-C. )6cos (22sin 3t t e t t ---;D. )3(cos 22sin 3t t e z t t +=-。
30.设22),(y x y x xy f +=-,则 =+),('),('y x f y x f y x ( )A. y 22+B. y 22-C. y x 22+D. y x 22- 31. 设(,,),x z f x y f y =可微,则()z y∂=∂A. 2f 'B. 32x f y '-C. 232x f f y ''-D. 232x f f y ''+ 32. 设xye z =,则yx z∂∂∂2=( )。
A. )1(xy e xy +B. )1(y e xy+ C. )1(x e xy + D. xy exy⋅33.设f r ()具有二阶连续导函数,而r x y u f r =+=22,(),则∂∂∂∂2222u x uy+=( )。
A. ''f r ()B. ''-'f r r f r ()()1 C. ''+'f r rf r ()()1D. r f r 2''() 34. 设)32ln(),(xyx y x f += ,则=')0,1(y f ( ) A.32 B.23C.1D.0 35. 设22:1,D x y +≤则Dxdxdy ⎰⎰=( ).A.πB.1C.0D. π2 36.设域D :x 2+y 2≤1,f 是域D 上的连续函数,则=+⎰⎰Ddxdy y x f )(22( )A.⎰10)(2dr r rf πB. ⎰10)(4dr r rf π C. ⎰12)(2dr r f π D. ⎰rdr r rf 0)(4π37.设积分区域}0,0,1|),{(22≥≥≤+=y x y x y x D ,则⎰⎰Dd σ=( )。
A. π2B. πC. 2πD. 4π 38.设D 是矩形域 4π0≤≤x ,11≤≤-y ,则Dx cos(2xy)dxdy ⎰⎰的值为( ). A. 0 B. -12 C. 41 D. 21 39、设积分区域D 是圆环4122≤+≤y x ,则二重积分=+⎰⎰dxdy y x D22( )A.⎰⎰πθ2 0 4 12r dr d B.⎰⎰πθ2 0 41r dr dC.⎰⎰πθ2 0212r dr d D.⎰⎰πθ2 021r dr d40.设⎰⎰⎰⎰+=+=DDd y x I d y x I σσ3221)(,)(,其中}1)1()2(|),{(22≤-+-=y x y x D ,则( )A.21I I =B.21I I >C. 21I I <D. 无法比较 41. 设dxdy x e ,1y x :D Dy222⎰⎰-≤+则=( ). A. )e 1(-π B. )e 11(-π C. 0 D. )e11(+π 42.设D 由x y y x ===,1,0围成,则=⎰⎰Ddxdy y x f ),(( )A.⎰⎰10 10 ),(dx y x f dy B.⎰⎰10 0 ),(xdy y x f dx C.⎰⎰1 01 ),(ydx y x f dy D.⎰⎰1 0 0 ),(ydx y x f dy43. 交换二次积分顺序后,⎰⎰-xdy y x f dx 1 01),( =( )。
A.⎰⎰11y)dx f(x , dy B.⎰⎰-xdx y x f dy 1 0 10 ),( C.⎰⎰1x-1 0y)dx f(x , dy D.⎰⎰-ydx y x f dy 1 01),(44. 设Ω是平面1=z 与旋转抛物面z y x =+22所围区域,则⎰⎰⎰Ω++122y x dxdydz化为三次积分等于( )A.⎰⎰⎰+1 2 0 10 221r dz r d r r d πθ B.⎰⎰⎰+1 02 0 1 221dz r d r r d r πθ C.⎰⎰⎰+1 0 1 0 221r dz r d r r d πθ D.⎰⎰⎰-+1 0 1 221dz r d r rd r ππθ45.设),(y x f 连续,且 ⎰⎰+=Ddudv v u f xy y x f ),(),(,其中D 是由1,,02===x x y y 所围区域,则),(y x f = ( )A. xyB. xy 2C. 81+xy D. 1+xy 46.设),(y x f 在0,1:22≥≤+y y x D 连续,则=⎰⎰Dd y x f σ),(( )A.⎰⎰πθθθ2 01)sin ,cos (rdr r r f d B.⎰⎰10 x -1 0 2),(dy y x f dx C.⎰⎰πθθθ 01)sin ,cos (rdr r r f d D.⎰⎰----11x 1 1 22),(x dy y x f dx47.若区域D 为{}1,1|),(≤≤y x y x ,则⎰⎰D xy dxdy xy xe)sin()cos(=( )。