微积分基本定理综合测试题(有答案)
- 格式:doc
- 大小:17.88 KB
- 文档页数:3
一、选择题(每题2分)1、设x ƒ()定义域为(1,2),则lg x ƒ()的定义域为() A 、(0,lg2)B 、(0,lg2]C 、(10,100)D 、(1,2)2、x=-1是函数x ƒ()=()221x x x x --的() A 、跳跃间断点 B 、可去间断点 C 、无穷间断点 D 、不是间断点3、试求0x →A 、-14B 、0C 、1D 、∞ 4、若1y xx y+=,求y '等于() A 、22x y y x -- B 、22y x y x -- C 、22y x x y-- D 、22x yx y +-5、曲线221xy x =-的渐近线条数为() A 、0 B 、1 C 、2 D 、3 6、下列函数中,那个不是映射()A 、2y x = (,)x R y R +-∈∈ B 、221y x =-+C 、2y x = D 、ln y x = (0)x >二、填空题(每题2分) 1、__________2、、2(1))l i m ()1x n xf x f x nx →∞-=+设 (,则 的间断点为__________3、21lim51x x bx ax→++=-已知常数 a 、b,,则此函数的最大值为__________ 4、263y x k y x k =-==已知直线 是 的切线,则 __________5、ln 2111x y y x +-=求曲线 ,在点(,)的法线方程是__________ 三、判断题(每题2分)1、221x y x =+函数是有界函数 ( )2、有界函数是收敛数列的充分不必要条件 ( )3、limββαα=∞若,就说是比低阶的无穷小 ( ) 4、可导函数的极值点未必是它的驻点 ( ) 5、曲线上凹弧与凸弧的分界点称为拐点 ( ) 四、计算题(每题6分) 1、1sin xy x=求函数 的导数2、21()arctan ln(12f x x x x dy =-+已知),求 3、2326x xy y y x y -+="已知,确定是的函数,求 4、20tan sin lim sin x x xx x→-求 5、计算6、21lim (cos )x x x +→计算 五、应用题1、设某企业在生产一种商品x 件时的总收益为2)100R x x x =-(,总成本函数为2()20050C x x x=++,问政府对每件商品征收货物税为多少时,在企业获得利润最大的情况下,总税额最大?(8分) 2、描绘函数21y x x=+的图形(12分) 六、证明题(每题6分)1、用极限的定义证明:设01lim (),lim ()x x f x A f A x+→+∞→==则 2、证明方程10,1xxe =在区间()内有且仅有一个实数一、选择题1、C2、C3、A4、B5、D6、B 二、填空题1、0x =2、6,7a b ==-3、184、35、20x y +-= 三、判断题1、√2、×3、√4、×5、× 四、计算题 1、1sin1sin1sin ln 1sin ln 22))1111cos ()ln sin 1111(cos ln sin )xxx xx xy x ee x x x x x x x x x x x'='='⎡⎤=-+⎢⎥⎣⎦=-+((2、22()112(arctan )121arctan dy f x dxxx x dx x xxdx='=+-++= 3、 解:2222)2)222302323(23)(23(22)(26)(23x y xy y y x yy x y y x y x y yy y x y--'+'=-∴'=--'----'∴''=-4、解:2223000tan sin ,1cos 21tan (1cos )12lim lim sin 2x x x x x x x x x x x x x x x →→→--∴==当时,原式=5、解:65232222261)61116116(1)166arctan 6arctanx t dx t tt t t t t tt t C C===+=++-=+=-+=-+=-+⎰⎰⎰⎰令原式(6、 解:201ln cos 01limln cos 20200012lim 1lim ln cos ln cos lim 1(sin )cos lim 2tan 1lim 22x xx x xx x x x x e ex xxx x x xx x e++→++++→→→→→-===-=-==-∴= 原式其中:原式 五、应用题1、解:设每件商品征收的货物税为a ,利润为()L x222()()()100(20050)2(50)200()45050()0,,()4(50)41(502)410250225L x R x C x axx x x x ax x a x L x x aaL x x L x a a ax T a T a T a =--=--++-=-+--'=-+--'==-='=-'==''=-<∴=令得此时取得最大值税收T=令得当时,T 取得最大值2、 解:()()2300,01202201D x y x x y x y x y x =-∞⋃+∞='=-'==''=+''==-,间断点为令则令则渐进线:32lim lim 001lim x x x y y y x y y x y x x→∞→→∞=∞∴=∴=+==∞∴无水平渐近线是的铅直渐近线无斜渐近线图象六、证明题 1、 证明:lim ()0,0()11101()1lim ()x x f x AM x M f x A x M M M x f A x f A x εεξε→∞→∞=∴∀>∃>>-<><<>∴-<= 当时,有取=,则当0时,有即。
微积分试题 (A 卷)一. 填空题 (每空2分,共20分)1. 已知,)(lim 1A x f x =+→则对于0>∀ε,总存在δ>0,使得当时,恒有│ƒ(x )─A│< ε。
2. 已知2235lim2=-++∞→n bn an n ,则a = ,b = 。
3. 若当0x x →时,α与β 是等价无穷小量,则=-→ββα0limx x 。
4. 若f (x )在点x = a 处连续,则=→)(lim x f ax 。
5. )ln(arcsin )(x x f =的连续区间是 。
6. 设函数y =ƒ(x )在x 0点可导,则=-+→hx f h x f h )()3(lim000______________。
7. 曲线y = x 2+2x -5上点M 处的切线斜率为6,则点M 的坐标为 。
8. ='⎰))((dx x f x d 。
9. 设总收益函数和总成本函数分别为2224Q Q R -=,52+=Q C ,则当利润最大时产量Q 是 。
二. 单项选择题 (每小题2分,共18分)1. 若数列{x n }在a 的ε 邻域(a -ε,a +ε)内有无穷多个点,则( )。
(A) 数列{x n }必有极限,但不一定等于a (B) 数列{x n }极限存在,且一定等于a(C) 数列{x n }的极限不一定存在 (D) 数列{x n }的极限一定不存在 2. 设11)(-=x arctgx f 则1=x 为函数)(x f 的( )。
(A) 可去间断点 (B) 跳跃间断点 (C) 无穷型间断点(D) 连续点 3. =+-∞→13)11(lim x x x( )。
(A) 1 (B) ∞ (C)2e (D) 3e4. 对需求函数5p eQ -=,需求价格弹性5pE d -=。
当价格=p ( )时,需求量减少的幅度小于价格提高的幅度。
(A) 3 (B) 5 (C) 6 (D) 105. 假设)(),(0)(lim ,0)(lim 0x g x f x g x f x x x x ''==→→;在点0x 的某邻域内(0x 可以除外)存在,又a 是常数,则下列结论正确的是( )。
微积分考试试题及答案一、选择题1. 下列哪个是微积分的基本定理?A. 韦达定理B. 牛顿-莱布尼兹公式C. 洛必达法则D. 极限定义答案:B. 牛顿-莱布尼兹公式2. 对于函数$f(x) = 3x^2 - 2x + 5$,求其导数$f'(x)$。
A. $3x^2 - 2x$B. $6x - 2$C. $6x - 2x$D. $6x - 2$答案:D. $6x - 2$3. 已知函数$y = 2x^3 + 4x - 1$,求其在点$(1, 5)$处的切线斜率。
A. 6B. 8C. 10D. 12答案:B. 8二、填空题1. 函数$y = \sin x$在$x = \pi/2$处的导数是\_\_\_\_\_\_。
答案:$1$2. 函数$y = e^x$的导数是\_\_\_\_\_\_。
答案:$e^x$3. 函数$y = \ln x$的导数是\_\_\_\_\_\_。
答案:$\frac{1}{x}$三、简答题1. 请解释一下微积分中的基本概念:导数和积分的关系。
答:导数和积分是微积分的两个基本概念,导数表示函数在某一点上的变化率,而积分表示函数在某一区间上的累积效果。
导数和积分互为逆运算,导数可以用来求解函数的斜率和最值,积分可以用来求解函数的面积和定积分。
2. 为什么微积分在物理学和工程学中如此重要?答:微积分在物理学和工程学中具有重要作用,因为微积分提供了一种精确的方法来描述和分析连续变化的过程。
通过微积分,可以求解物体在运动过程中的速度、加速度、轨迹等物理量,以及工程中涉及到的曲线、曲面、体积等问题。
微积分为物理学和工程学提供了丰富的数学工具,可以更准确地描述和解决实际问题。
四、计算题1. 计算定积分$\int_{0}^{1} x^2 dx$。
答:$\frac{1}{3}$2. 求函数$f(x) = 3x^2 - 2x + 5$在区间$[1, 2]$上的定积分。
答:$\frac{19}{3}$以上就是微积分考试的试题及答案,希望对你的复习有所帮助。
可编辑修改精选全文完整版综合练习题1(函数、极限与连续部分)1.填空题 (1)函数)2ln(1)(-=x x f 的定义域是 . 答案:2>x 且3≠x .(2)函数24)2ln(1)(x x x f -++=的定义域是 .答案:]2,1()1,2(-⋃--(3)函数74)2(2++=+x x x f ,则=)(x f. 答案:3)(2+=x x f(4)若函数⎪⎩⎪⎨⎧≥<+=0,0,13sin )(x k x xx x f 在0=x 处连续,则=k .答案:1=k (5)函数x x x f 2)1(2-=-,则=)(x f .答案:1)(2-=x x f(6)函数1322+--=x x x y 的间断点是 .答案:1-=x(7)=∞→xx x 1sin lim .答案:1(8)若2sin 4sin lim 0=→kxxx ,则=k .答案:2=k2.单项选择题(1)设函数2e e xx y +=-,则该函数是( ).A .奇函数B .偶函数C .非奇非偶函数D .既奇又偶函数 答案:B(2)下列函数中为奇函数是().A .x x sinB .2e e x x +- C .)1ln(2x x ++ D .2x x +答案:C(3)函数)5ln(4+++=x x xy 的定义域为( ). A .5->x B .4-≠x C .5->x 且0≠x D .5->x 且4-≠x答案:D(4)设1)1(2-=+x x f ,则=)(x f ( )A .)1(+x xB .2x C .)2(-x x D .)1)(2(-+x x 答案:C(5)当=k ( )时,函数⎩⎨⎧=≠+=0,0,2)(x k x e x f x 在0=x 处连续.A .0B .1C .2D .3 答案:D(6)当=k ( )时,函数⎩⎨⎧=≠+=0,0,1)(2x k x x x f ,在0=x 处连续.A .0B .1C .2D .1- 答案:B (7)函数233)(2+--=x x x x f 的间断点是( ) A .2,1==x xB .3=xC .3,2,1===x x xD .无间断点 答案:A 3.计算题(1)423lim 222-+-→x x x x . 解:4121lim )2)(2()1)(2(lim 423lim 22222=+-=+---=-+-→→→x x x x x x x x x x x x (2)329lim 223---→x x x x解:234613lim )1)(3()3)(3(lim 329lim 33223==++=+-+-=---→→→x x x x x x x x x x x x (3)4586lim 224+-+-→x x x x x解:3212lim )1)(4()2)(4(lim 4586lim 44224=--=----=+-+-→→→x x x x x x x x x x x x x综合练习题2(导数与微分部分)1.填空题 (1)曲线1)(+=x x f 在)2,1(点的切斜率是 .答案:21 (2)曲线xx f e )(=在)1,0(点的切线方程是 . 答案:1+=x y(3)已知xx x f 3)(3+=,则)3(f '= . 答案:3ln 33)(2x x x f +=')3(f '=27()3ln 1+(4)已知x x f ln )(=,则)(x f ''= . 答案:x x f 1)(=',)(x f ''=21x- (5)若xx x f -=e )(,则='')0(f.答案:x xx x f --+-=''e e 2)(='')0(f 2-2.单项选择题 (1)若x x f xcos e)(-=,则)0(f '=( ).A. 2B. 1C. -1D. -2 因)(cos e cos )e ()cos e()('+'='='---x x x x f x x x)sin (cos e sin e cos e x x x x x x x +-=--=---所以)0(f '1)0sin 0(cos e 0-=+-=- 答案:C (2)设,则( ). A . B .C .D .答案:B(3)设)(x f y =是可微函数,则=)2(cos d x f ( ).A .x x f d )2(cos 2'B .x x x f d22sin )2(cos 'C .x x x f d 2sin )2(cos 2'D .x x x f d22sin )2(cos '- 答案:D(4)若3sin )(a x x f +=,其中a 是常数,则='')(x f ( ).A .23cos a x + B .a x 6sin + C .x sin - D .x cos 答案:C3.计算题(1)设xx y 12e =,求y '.解: )1(e e 22121xx x y xx -+=')12(e 1-=x x(2)设x x y 3cos 4sin +=,求y '.解:)sin (cos 34cos 42x x x y -+='x x x 2cos sin 34cos 4-=(3)设xy x 2e 1+=+,求y '. 解:2121(21exx y x -+='+ (4)设x x x y cos ln +=,求y '.解:)sin (cos 12321x x x y -+=' x x tan 2321-= 综合练习题3(导数应用部分)1.填空题 (1)函数的单调增加区间是 .答案:),1(+∞(2)函数1)(2+=ax x f 在区间),0(∞+内单调增加,则a 应满足 . 答案:0>a2.单项选择题(1)函数2)1(+=x y 在区间)2,2(-是( ) A .单调增加 B .单调减少 C .先增后减 D .先减后增 答案:D(2)满足方程0)(='x f 的点一定是函数)(x f y =的( ). A .极值点 B .最值点 C .驻点 D . 间断点 答案:C(3)下列结论中( )不正确. A .)(x f 在0x x =处连续,则一定在0x 处可微. B .)(x f 在0x x =处不连续,则一定在0x 处不可导. C .可导函数的极值点一定发生在其驻点上.D .函数的极值点一定发生在不可导点上. 答案: B(4)下列函数在指定区间上单调增加的是( ).A .x sinB .xe C .2x D .x -3答案:B3.应用题(以几何应用为主)(1)欲做一个底为正方形,容积为108m 3的长方体开口容器,怎样做法用料最省?解:设底边的边长为x m ,高为h m ,容器的表面积为y m 2。
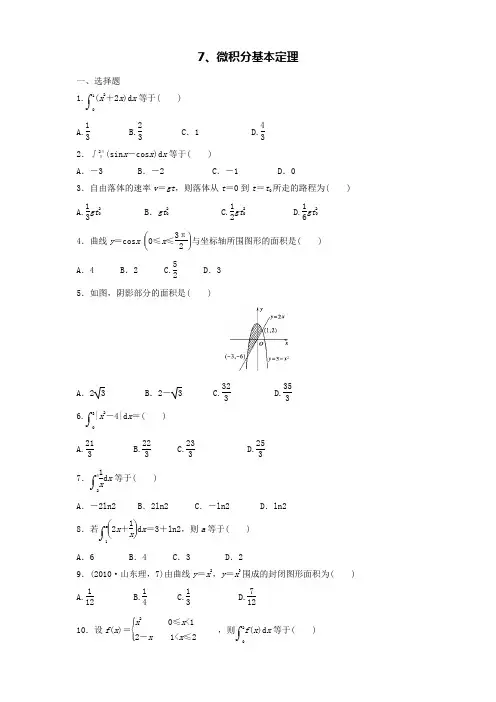
7、微积分基本定理一、选择题1.⎠⎛01(x 2+2x )d x 等于( )A.13B.23 C .1 D.43 2.∫2ππ(sin x -cos x )d x 等于( )A .-3B .-2C .-1D .03.自由落体的速率v =gt ,则落体从t =0到t =t 0所走的路程为( ) A.13gt 20 B .gt 20 C.12gt 20 D.16gt 20 4.曲线y =cos x ⎝ ⎛⎭⎪⎫0≤x ≤3π2与坐标轴所围图形的面积是( )A .4B .2 C.52 D .35.如图,阴影部分的面积是( )A .2 3B .2- 3 C.323 D.3536.⎠⎛03|x 2-4|d x =( )A.213B.223C.233D.253 7.⎠⎛241xd x 等于( )A .-2ln2B .2ln2C .-ln2D .ln2 8.若⎠⎛1a ⎝⎛⎭⎪⎫2x +1x d x =3+ln2,则a 等于( )A .6B .4C .3D .29.(2010·山东理,7)由曲线y =x 2,y =x 3围成的封闭图形面积为( ) A.112 B.14 C.13 D.71210.设f (x )=⎩⎪⎨⎪⎧x 20≤x <12-x1<x ≤2,则⎠⎛02f (x )d x 等于( )A.34B.45C.56 D .不存在 [解析] ⎠⎛02f (x )d x =⎠⎛01x 2d x +⎠⎛12(2-x )d x ,二、填空题11.从如图所示的长方形区域内任取一个点M (x ,y ),则点M 取自阴影部分的概率为________.12.一物体沿直线以v =1+t m/s 的速度运动,该物体运动开始后10s 内所经过的路程是________.13.求曲线y =sin x 与直线x =-π2,x =54π,y =0所围图形的面积为________.14.若a =⎠⎛02x 2d x ,b =⎠⎛02x 3d x ,c =⎠⎛02sin x d x ,则a 、b 、c 大小关系是________.三、解答题 15.求下列定积分:①⎠⎛02(3x 2+4x 3)d x ; ②sin 2x2d x .17.求直线y =2x +3与抛物线y =x 2所围成的图形的面积.18.(1)已知f (a )=⎠⎛01(2ax 2-a 2x )d x ,求f (a )的最大值;(2)已知f (x )=ax 2+bx +c (a ≠0),且f (-1)=2,f ′(0)=0,⎠⎛01f (x )d x =-2,求a ,b ,c的值.DBCDCCDDAC 11. 13 12. 23(1132-1) 13.4-22[解析] 所求面积为=1+2+⎝ ⎛⎭⎪⎫1-22=4-22. 14.[答案] c <a <b 三、解答题15.①⎠⎛02(3x 2+4x 3)d x ;②sin 2x2d x .[解析] ①⎠⎛02(3x 2+4x 3)d x =⎠⎛023x 2d x +⎠⎛024x 3d x =x 3| 20+x 4| 20=24.=12·⎝ ⎛⎭⎪⎫π2-0-12(1-0)=π-24. 17.求直线y =2x +3与抛物线y =x 2所围成的图形的面积.[解析] 由方程组⎩⎪⎨⎪⎧y =2x +3y =x 2得x 1=-1,x 2=3,则所求图形的面积为=(x 2+3x )| 3-1-13x 3| 3-1=323.18.(1)因为⎝ ⎛⎭⎪⎫23ax 3-12a 2x 2′=2ax 2-a 2x ,所以⎠⎛01(2ax 2-a 2x )d x =⎝ ⎛⎭⎪⎫23ax 3-12a 2x 2| 10=23a -12a 2.所以f (a )=23a -12a 2=-12⎝ ⎛⎭⎪⎫a 2-43a +49+29=-12⎝ ⎛⎭⎪⎫a -232+29.所以当a =23时,f (a )有最大值29 .(2)∵f (-1)=2,f ′(0)=0,∴⎩⎪⎨⎪⎧a -b +c =2b =0①而⎠⎛01f (x )d x =⎠⎛01(ax 2+bx +c )d x ,取F (x )=13ax 3+12bx 2+cx ,则F ′(x )=ax 2+bx +c .∴⎠⎛01f (x )d x =F (1)-F (0)=13a +12b +c =-2②解①②得a =6,b =0,c =-4.。
微积分试题及答案一、选择题1. 函数 \( f(x) = x^2 \) 在 \( x = 2 \) 处的导数是:A. 0B. 2C. 4D. 8答案:C2. 定积分 \( \int_{0}^{1} x dx \) 的值是:A. 0B. 0.5C. 1D. 2答案:B二、填空题1. 若 \( f(x) = 3x^3 - 2x^2 + x \),则 \( f'(x) \) 等于__________。
答案:\( 9x^2 - 4x + 1 \)2. 曲线 \( y = x^3 \) 与直线 \( y = 6x \) 相切的点的横坐标是__________。
答案:2三、简答题1. 请说明如何求函数 \( f(x) = \ln(x) \) 的导数。
答案:函数 \( f(x) = \ln(x) \) 的导数可以通过对数函数的导数公式求得,即 \( f'(x) = \frac{1}{x} \)。
2. 计算定积分 \( \int_{1}^{e} e^x dx \)。
答案:首先找到 \( e^x \) 的原函数,即 \( e^x \) 本身。
然后根据定积分的计算法则,代入上下限得到 \( e^e - e \)。
四、计算题1. 求曲线 \( y = x^2 + 3x - 2 \) 在 \( x = -1 \) 处的切线斜率及切点坐标。
答案:首先求导得到 \( y' = 2x + 3 \)。
将 \( x = -1 \) 代入得到切线斜率 \( m = 1 \)。
切点坐标为 \( (-1, 0) \)。
2. 计算由曲线 \( y = x^2 \),直线 \( y = 4x \) 及 \( x \) 轴所围成的平面图形的面积。
答案:首先求出两曲线的交点,然后计算定积分 \( \int_{0}^{2} (4x - x^2) dx \),结果为 \( \frac{16}{3} \)。
五、证明题1. 证明 \( \frac{d}{dx} [(x^2 + 1)^5] = 10x(x^2 + 1)^4 \)。
微积分基本定理及应用练习(含答案)班级 姓名一、填空题1.⎰-11xdx = 0 2.y=⎰+-102)13(dx x x ,则y ’= 0 3.dx e x x )(01⎰--= -e 123+ 4.⎰+20)sin 3(πdx x x = 1832+π 5.设函数y=⎰-x dt t 0)1((x>0),则该函数的极小值是 -21 6.dx xx x )32(212⎰--= 2ln 321-- 7.⎰4122cos ππxdx = 41 二、解答题8.求直线32+=x y 与抛物线2x y =所围成的图形面积。
解:332|)33)323132231=-+=--⎰x x x dx x x S (-+(= 9.设f(x)是连续函数,且f(x)=x+2⎰10)(dt t f ,求f(x)解:由题意可知f(x)=x+c (c 是一个常数)f(x)=x+2⎰10)(dt t f =x+2⎰+10)(dt c t =x+1+2c x+c=x+1+2cc=-1f(x)=x-110.A 、B 两站相距7.2km ,一辆电车从A 站B 开往站,电车开出ts 后到达途中C 点,这一段的速度为1.2t(m/s),到C 点的速度为24m/s ,从C 点到B 点前的D 点以等速行驶,从D 点开始刹车,经ts 后,速度为(24-1.2t )m/s ,在B 点恰好停车,试求(1)A 、C 间的距离;(2)B 、D 间的距离;(3)电车从A 站到B 站所需的时间。
解:(1)设A 到C 的时间为t1则1.2t=24, t1=20(s),则AC =⎰==2002002)(240|6.02.1m t tdt(2)设D 到B 的时间为t21则24-1.2t2=0, t21=20(s),则DB =⎰==2002002)(240|6.02.124m t dt t )-( (3)CD=7200-2⨯240=6720(m),则从C 到D 的时间为280(s),则所求时间为20+280+20=320(s )。
微积分基础试题及答案一、单项选择题(每题3分,共30分)1. 函数f(x)=x^2的导数是:A. 2xB. x^2C. 2D. 0答案:A2. 定积分∫(0,1) x dx的值是:A. 0B. 1C. 0.5D. 2答案:C3. 曲线y=e^x在点x=0处的切线斜率是:A. 1B. eC. 0D. -1答案:A4. 函数f(x)=sin(x)的不定积分是:A. cos(x)B. sin(x)C. -cos(x)D. ln(x)答案:A5. 函数f(x)=ln(x)的导数是:A. 1/xB. xC. ln(x)D. x^2答案:A6. 曲线y=x^3-3x^2+2x在x=1处的切线方程是:A. y=-2x+1B. y=2x-1C. y=-x+2D. y=x-1答案:A7. 函数f(x)=x^3的二阶导数是:A. 3x^2B. 6xC. 6D. 9x^2答案:B8. 函数f(x)=x^2+2x+1的极值点是:A. x=-1B. x=1C. x=0D. x=2答案:A9. 曲线y=x^2在x=2处的法线方程是:A. y=-x/4+9/2B. y=x/4+9/2C. y=-x/2+9/2D. y=x/2+9/2答案:A10. 函数f(x)=x^3-3x^2+2x的拐点是:A. x=0B. x=1C. x=2D. x=3答案:B二、填空题(每题4分,共20分)1. 函数f(x)=x^3的一阶导数是________。
答案:3x^22. 定积分∫(0,π) sin(x) dx的值是________。
答案:23. 曲线y=ln(x)在x=e处的切线斜率是________。
答案:1/e4. 曲线y=x^2-4x+4在x=2处的切线方程是________。
答案:y=-4x+85. 函数f(x)=cos(x)的不定积分是________。
答案:sin(x)三、计算题(每题10分,共50分)1. 求函数f(x)=x^2-4x+3在区间[1,3]上的定积分。
《微积分》练习100题及其解答1.求极限:.⎪⎭⎫ ⎝⎛--→x e x x 111lim 0解:∵,)0(~1→-x xe x ∴.()2121lim 1lim 11lim 111lim 02000-=-=+-=-+-=⎪⎭⎫ ⎝⎛--→→→→x e x e x e x e x x e x x x x x x x x x 2.求极限:.xx e e x x x sin lim sin 0--→解:∵,∴.)0(~1→-x xe x1sin 1lim sin lim sin sin 0sin 0=--⋅=---→→xx e e x x e e xx x x x x x 或者:记,则当时,在之间满足Lagrange 定理的条件,存x e x f =)(0≠x )(x f x x sin ,在(介于与之间),使得,从而ξξx x sin )(sin sin ξf x x e e xx '=--,所以,.1)0()(lim sin lim 0sin 0='='=--→→f f x x e e x x x x ξ1sin lim sin 0=--→xx e e x x x 3.求极限:.()x xx x e1lim+→解:;()11200lim lim 1xxe e xx xx x x x e xe e e →→⎡⎤⎛⎫⎢⎥+=⋅+= ⎪⎢⎥⎝⎭⎣⎦或者.()()12000ln 1limlim 2lim x x xx x x x x e x e e x e xe x →→→++==⇒+=+4.求极限:.01lim 1xx x +→⎛⎫+ ⎪⎝⎭解:,而,所以,.01lim ln 101lim 1x xx x x e x +→+⎛⎫+ ⎪⎝⎭→⎛⎫+= ⎪⎝⎭0ln(1)1lim ln 1lim0t x t x t x +→+∞→⎛⎫++== ⎪⎝⎭01lim 11xx x +→⎛⎫+= ⎪⎝⎭5.求极限:.())0,0,0(3ln ln lim0>>>-++→c b a xc b a x x x x解:.()00ln ln 3ln ln ln ln limlim 3x x x x x x x x x x x a b c a a b b c c abc xa b c →→++-++==++6.求极限:.()00x αα→>解:.()()112110001101lim lim 10111x x x x x x x αααααααααα--→→→->⎧==-=⎨∞<≤⎩-++7.求极限:.lim(0)x αα→>解:.()()22211000112202limlim022211x x x x x x x αααααααααα--→→→->⎧==-=⎨∞<≤⎩-++8.求极限:.(0)x αα→>解:.012x α→=-9.设函数在内,讨论的单调性.)(x f ()∞+∞-,0)0(,0)(≤>''f x f xx f y )(=解:,,⎥⎦⎤⎢⎣⎡-'=-'='⎪⎭⎫ ⎝⎛='x x f x f x x x f x f x x x f y )()(1)()()(20)0()()(--≤x f x f x x f 当时,,而,则,即,从而此时0>x )0()(f xx f '≤0)(>''x f )0()(f x f '≥'0>'y 递增;同理,当时,递增.x x f y )(=0<x xx f y )(=所以,在内单调增加.xx f y )(=()∞+∞-,10.设函数,求:(1)的极大值;(2)()220()2(0)xf x a ta dta =-+->⎰)(x f M 求极小时的值.M a 解:(1),而,所以xx f a x x f 2)(0)(=''±=⇒='0>a ;a a a f M 232)(3-=-=(2)时,,此时,0>a 102223223=⇒=-='⎪⎭⎫ ⎝⎛-='a a a a M a04>=''a M的极小值为.M 34)1(-=M 11.求极限:.22011lim sin x x x →⎛⎫-⎪⎝⎭解:()()2222224000sin sin 11sin lim lim lim sin sin x x x x x x x x x x x x xx →→→-+-⎛⎫-== ⎪⎝⎭.320000sin sin 1cos sin 1limlim 2lim 2lim 363x x x x x x x x x x x x x x →→→→-+-====12.求极限:.⎪⎭⎫ ⎝⎛-→x x x 220sin 11lim 解:2222222200011sin sin 22lim lim lim sin sin 2sin sin 2x x x x x x x x x x xx x x x →→→--⎛⎫-== ⎪+⎝⎭;222000cos 212sin 2limlimsin 2sin 2cos 22sin 26cos 22sin 22sin 212lim 2sin 234cos 2sin 22x x x x xx x x x x x x x x xx x x x x x x →→→--==+++--==-+-13.求极限:.⎪⎭⎫⎝⎛--→x x x ln 111lim 1解:;211ln 11lim ln 11lim ln 111lim ln )1(1ln lim ln 111lim 11111-=---=--+=--+=-+-=⎪⎭⎫ ⎝⎛--→→→→→x x x x x x xx xx x x x x x x x x x x 14.求极限:.1lim arcsin xx e x +→解:∵,∴.arcsin ~(0)x x x →11100lim arcsin lim lim t t xx x t x x ee x xe t ++=→+∞→→=====+∞15.求极限:.⎪⎭⎫⎝⎛-+∞→x x x arctan 2lim解:.22221arctan 21lim arctan lim lim lim 11121x x x x x x x x x x xxππ→+∞→+∞→+∞→+∞⎛⎫-- ⎪⎛⎫⎝⎭+-==== ⎪+⎝⎭-16.求极限:.2120lim x x x e→解:.22112lim lim t tx x x t e x et=→→+∞====+∞17.求极限:.lim sin ln x x x +→解:.00001ln tan sin lim sin ln lim lim lim 0csc csc cot x x x x x x x x x x x x x x++++→→→→===-=-18.求极限:.1lim x -→解:11lim x x -→→=112sec 24x x ππ--→→===19.求极限:.xx xx x sin tan lim 20-→解:.22232200000tan tan sec 11cos sin21lim lim lim lim lim sin 3363x x x x x x x x x x x x x x x x x x →→→→→----=====20.求极限:.()ln 1ln limcot x x xarc x→+∞+-解:()222222111ln 111lim lim lim 1lim 1.111cot 1111x x x x x x x x x x arc x x xx x x →+∞→+∞→+∞→+∞⎛⎫+-- ⎪+⎝⎭==+==-+⎛⎫⎛⎫++ ⎪ ⎪+⎝⎭⎝⎭21.求极限:.()2lim sec tan x x x π→-解:.()2221sin cos lim sec tan limlim 0cos sin x x x x xx x x x πππ→→→--===-22.求积分:.cos sin 1sin 2x xdx x --⎰解:()2cos sin cos sin 11sin 2cos sin cos sin x x x x dx dx dx x x x x x --==---⎰⎰⎰.1ln csc cot 2244sin 4dx x x C x πππ⎛⎫⎛⎫=-=---+ ⎪ ⎪⎛⎫⎝⎭⎝⎭- ⎪⎝⎭⎰23.求积分:.cos sin 1sin 2x xdx x -+⎰解:.()()()22cos sin 11cos sin cos sin sin cos sin cos x xdx d x x C x xx x x x -=+=-++++⎰⎰24.求积分:.cos sin 1cos 2x xdx x -+⎰解:()2cos sin cos sin 1sec tan sec 1cos22cos 2x x x x dx dx xdx xdxx x --==-+⎰⎰⎰⎰.()1sec ln sec tan 2x x x C =--++25.求积分:.dx xxx ⎰--2cos 1sin cos 解:()2cos sin cos sin 1csc cot csc 1cos 22sin 2x x x x dx dx x xdx xdxx x --==--⎰⎰⎰⎰.()1csc ln csc cot 2x x x C =-+-+26.求积分:.cos sin 1cos 2x xdx x +-⎰解:()2cos sin cos sin 1csc cot csc 1cos 22sin 2x x x x dx dx x xdx xdxx x ++==+-⎰⎰⎰⎰.()1csc ln csc cot 2x x x C =---+27.求积分:.1sin 1cos2xdx x--⎰解:()221sin 1sin 1csc csc 1cos 22sin 2x x dx dx xdx xdx x x --==--⎰⎰⎰⎰.()1cot ln csc cot 2x x x C =-+-+28.求积分:.1sin 1cos2xdx x -+⎰解:()221sin 1sin 1sec sec tan 1cos 22cos 2x x dx dx xdx x xdx x x --==-+⎰⎰⎰⎰.()1tan sec 2x x C =-+29.求积分:.1cos 1cos2xdx x-+⎰解:()221cos 1cos 1sec sec 1cos22cos 2x x dx dx xdx xdx x x --==-+⎰⎰⎰⎰.()1tan ln sec tan 2x x x C =-++30.求积分:.1cos 1cos2xdx x--⎰解:.()()221sin 1sin 1csc csc 1cos22sin 211cot ln tan cot ln csc cot 222x x dx dx xdx xdxx x x x C or x x x C--==--⎛⎫=-++-+-+ ⎪⎝⎭⎰⎰⎰⎰31.求积分:.1arctan21xedx x +⎰解:.1arctan11arctan arctan 21arctan 1xx x e dx e d e C x x=-=-++⎰⎰32.求积分:.2x dx解:222211222xe t x x e dx =⎛⎫==== ⎪⎝⎭.(2211ln ln 222x x e c e C ⎛ '=++=++ ⎝33.求积分:.211x dx e +⎰解:⎰+dx e x 211⎰⎰----++-=+=)1(112112222xx x x e d e dx e e C e x ++-=-)1ln(212或者:⎰⎰+=+=xxx x x x de e e dx e e e 222222)1(121)1(.[]C e x de e de e xx x x x ++-=⎥⎦⎤⎢⎣⎡+-=⎰⎰)1ln(221111212222234.求积分:.()21xxe dx x +⎰解:()()()2211(1)11111xxx xxxe xe xe dx d x xe d d xe x x x x x ⎛⎫=+=-=-+ ⎪+++⎝⎭++⎰⎰⎰⎰.11x x xxe e e dx C x x=-+=+++⎰35.求积分:.211dx x x -+⎰解:2221141133111422dx dx dxx x x x ==-+⎛⎫⎤⎫+-+- ⎪⎪⎥⎝⎭⎭⎦⎰⎰⎰.211122112d x x C x ⎤⎤⎫⎫=--+⎪⎪⎥⎥⎭⎭⎦⎦⎤⎫+-⎪⎥⎭⎦⎰36.求积分:.2141dx x x -+⎰解:()2221111413231dx dx dxx x x ==-+---⎰⎰⎰.21ln ln 3661d C C ⎫==+=⎪⎭⎫-⎪⎭⎰37.求积分:.dx解:22111ln 1111u u du du C u u u u -⎛⎫⎛⎫=-=+ ⎪ ⎪--++⎝⎭⎝⎭⎰⎰.))ln 2ln12ln1Cor x C or x C ⎛⎫=+-+-+ ⎝38.求积分:.解:设,则,,x e u +=1)1ln(2-=u x du u udx 122-=222112111u du du u u u ⎛⎫==+- ⎪--+⎝⎭⎰⎰12ln ln 1u u C C u ⎛⎫-⎛⎫=++=+ ⎪+⎝⎭.)2ln1orx C -+39.求积分:.21443dx x x +-⎰解:.21121ln 443823x dx C x x x -=++-+⎰40.求积分:.23222x dx x x --+⎰解:222323*********(1)x x dx dx x x x x x ⎡⎤--=+⎢⎥-+-+++⎣⎦⎰⎰.()23ln 22arctan(1)2x x x C =-++++41.求积分:.2dx x⎰解:设,则,,t x sin 2=t x cos 242=-tdt dx cos 2=.()222cot csc 1cot arcsin 2x dx tdt t dt t t C C x x ==-=--+=--+⎰⎰⎰42.求积分:.2dx x ⎰解:设,则,,θtan 2=x 2sec θ=θθd dx 2sec 2=.()Cxx x x C x x x x x x C d d d dx x x ++-++=++++--+-=++---=⎪⎭⎫⎝⎛-+=-==+⎰⎰⎰⎰22222222222244ln 44ln 2141sin 1sin ln 21csc sin sin 11sin 1sin sin )sin 1(1sin cos 14θθθθθθθθθθθθ43.求积分:.⎰++dx x x 1)2(1解:消去根号,记,t =122122+=+=-=t x tdtdx t x.()222arctan 21tdtt C C t t ==+=++⎰44.求积分:.⎰-+dx x x x21解:记,3122222+=+=+=⇒-=t x tdtdx t x x t ()()⎰⎰⎰⎰++=⎪⎭⎫ ⎝⎛++=++=-+dt t t dt t t t dt t t dx x x x 21222112232212222.C x x C tt +-+-=++=22arctan 2222arctan2245.求积分:.⎰++dx x x x21解:记,1122222-=+=-=⇒+=t x tdtdx t x x t ()()⎰⎰⎰⎰-+=⎪⎭⎫ ⎝⎛-+=--=++dt t t dt t t t dt t t dx x x x 21222112212212222.C x x x C t t t +++-+++=++-+=2222ln 222222ln 22246.求积分:.2dx x -⎰解:记,2213222t t t x dx tdt x +-=⇒==-=,.2222312212623332t dx dt dt t dt x t t t t C C⎛⎫==+=+ ⎪----⎝⎭=+=+⎰⎰⎰⎰47.求积分:.解:记,232212122+=+=-=⇒+=t x tdtdx t x x t .Cxx C t t dt t t dt t dt t t dx x x ++-+=+-=+-=⎪⎭⎫ ⎝⎛+-=+=++⎰⎰⎰⎰321arctan 322123arctan3223162331232221222248.求积分:.⎰++dx x 3111解:记,dt t dx t x x t 23323,211=-=⇒+=.22233313331ln 1212142233(1)ln 142t dx dt t dt t t t C t t x C ⎛⎫==-+=-+++ ⎪++⎝⎭=+-+++⎰⎰49.求积分:.()⎰-dx x xx 2321arcsin 解:设:,则x u arcsin =;()332222arcsin sin sin sin sec cos cos 1sec sec sec ln sec tan 1lnln 1ln 12x xu u u udx d u du ud uu u x u u udu u u u u C C x x C ===-=-=-++==-++-+⎰⎰⎰⎰⎰50.求积分:.()()2213xdx xx ++⎰解:.()()()222222211111ln 4134313xx dx d x C x x x x x ⎛⎫+⎛⎫=-=+ ⎪ ⎪+++++⎝⎭⎝⎭⎰⎰51.假设某种商品的需求量,商品的总成本是,每1200080Q P =-2500050C Q =+单位商品需要纳税2元,试求使销售利润最大时商品单价(单位:元)和最大利润额.P 解:收入,28012000)8012000(P P P P PQ R -=-==总成本,P Q C 40006250005025000-=+=总利润,649000161608022-+-=--=P P Q C R L 边际利润,16160160+-='-'='P C R L 令,得,此时,有最大利润(元).0='L 101=P 0160<-=''L 167080=Max L 52.一商家销售某种商品的价格(万元/吨),为销售量,商品的成本函数x P 2.07-=x 是(万元).(1)若每销售1吨商品,政府征税t (万元),求商家获取最大利润时13-=x C 的销售量;(2)t 为何值时,政府税收最大?解:(1)收入,总成本,22.07)2.07(x x x x Px R -=-==13-=x C 税收,总利润,tx T =1)4(2.02+-+-=--=x t x T C R L 边际利润;令,得,此时,有最t x L -+-='44.00='L t x 5.210-=04.0<-=''L 大利润;(2),,令,得,所以当时政府税25.210t t tx T -==t T 510-='0='T 2=t 2=t 收最大.53.求积分:.()322arcsin 1x xdx x -⎰解:设,则x u arcsin =;()332222arcsin sin sin sin sec cos cos 1sec sec sec ln sec tan 1ln 1ln 1.2x xu u u udx d u du ud u u ux u u udu u u u u C Cx x C ===-=-=-++==++-+⎰⎰⎰⎰⎰54.已知的一个原函数为,求积分:.()f x ()1sin ln x x +()xf x dx '⎰解:∵,()1sin ()1sin ln cos ln xf x x x x x x'+=+=+⎡⎤⎣⎦∴()()()()xf x dx xdf x xf x f x dx'==-⎰⎰⎰.()1sin cos ln 1sin ln x x x x x x C =++-++55.设是三阶可导函数,,而.求.()f t ()0f t ''≠()()()x f t y tf t f t '=⎧⎨'=-⎩33d y dx解:由已知,,,,从而;()dx f t dt ''=()dy tf t dt ''=dy dy dt t dx dx dt ==1d dy dt dx ⎛⎫= ⎪⎝⎭,.()221d y d dy dx dt dx dt dx f t ⎛⎫== ⎪''⎝⎭()()()323321()d f t d y d d y f t dx dx dx d f t f t ⎡⎤⎢'''''⎛⎫⎣⎦===- ⎪'⎡⎤''⎡⎤⎝⎭⎣⎦⎣⎦56.设,求.()22tan()sec x yx x y tdt x y ---=≠⎰22d ydx解:对等式两边求导.得,()()()()222sec 1sec 1x y y x y y ''---=--整理,得,2sin ()y x y '=-()()()222sin cos 1d yx y x y y dx '∴=---.()()()21sin 2()cos sin 22y x y x y x y '=--=--57.已知,其中二阶可微,求.()y f x y =+()f u 22d ydx 解:,.()()1y f x y y '''=++()'1()f x y y f x y '+∴='-+对两边再求导,()()1y f x y y '''=++,()()()21y f x y y y f x y ''''''''=++++.()()()211y f x y y f x y '''++''∴='-+3"()[1'()]f x y f x y +=-+58.已知,求.0sin ()xtf x dt t p =-ò0()f t dt p ò解:由已知,,或sin ()xf x xp ¢=-sin ()()x f x xf x p ¢¢=-01cos sin ()()t t tt xdx f x dx xf x dxp ¢¢-==-òòò,()(0)()()()()()t tt f t f xf x f x dx f t tf t f x dx p p p =--+=-+òò取,有,t p =021cos ()()()f f f x dx pp p p p p =-=-+ò.()2f t dt p\=ò59.求积分:.121211x x x e x +æö÷ç+-÷ç÷çèøò解:1111122222111112222221111x x x x x x x x x x I x e dx e dx x e dx e dx xd e x x +++++æöæöæö÷ç÷÷çç÷=+-=+-=+ç÷÷çç÷÷÷ççç÷çèøèøèøòòòòò.21521232x x xee +==60.求极限:.2240sin lim x x xx®-解:224300sin sin sin lim lim x x x x x x x x x x x ®®-+-=×302sin cos 222lim x x xx x®-=.3022sin cos 2lim 8t t t t t ®-=2011cos lim 2t t t ®-=2202sin 12lim 2t t t ®=20sin 12lim 42t t t ®æö÷ç÷ç÷çç=çç÷ç÷÷çèø14=而,22223200000sin sin sin 1cos 1sin 1lim lim lim 2lim 2lim sin 3323x x x x x x x x x x x x x x x x x x x ®®®®®-+--=×==´=请问以上方法错在哪里?61.计算.x ò解:记,代入,得()221ln 1x u e u x u ==+=+原式()()222ln 1121u u uduu u ++=+ò()()22222ln 12ln 121u u du u u duu =+=+-+òò.()22ln 12222u u u arctgu c c =+-++=-++62.求积分:.()12ln 11x dx x++ò解:令,,,,11t x t -=+211x t +=+()221dt dx t =-+()()22222111111t t x t t +æö-ç+=+=ççè++代入,则()12ln 11x I dx x +=+ò()()()()21122200ln 1122ln 11211x t I dx dt x t t t ++==×++++òò()()1112220001120ln 2ln 1ln 1ln 211112ln 2ln 214t x dt dt dx t t xI dt t p-++==-+++\==+òòòò.112011ln 221I dx x \=×+òln 28p =63.求积分:1ò解:记212t x t dx tdt==-=-当时,;当时,,则0x =t 1=1x =0t =原式.110202212dt arctgtt p ===-ò64.设在内有意义,且(1)可导;(2)有反函数;(3)()F x ()0,+¥()x j .求.()()5322115F x t dt x x j æö÷ç÷=-ç÷ç÷èøò()F x 解:由(3)可知,时,,0x =()()010F t dt j =ò()01F =记,则为其反函数()x F y =()y x j =且或()()F y y j =()()F x xj =对(3)的式子两边求导,有,即.()()()23321123F x F x x x j ¢=- ()23321123x F x x x ¢×=-化简有()F x ¢=()23321132F x dx x x c æö\==-+ò而,故.()01F =()233211132F x x x =-+65.求积分:1ò解:11I -==òò.112-==òò12arcsin tp ==66.求积分:1ò解:令sin 02x t t p =<<.()22202200sin cos cos 1cos 1cos 4t d t I dt arctg t tt p pp p==-=-=++òò67.证明:.()4011212n tg xdx n np<<+ò证明:记,则.14201n nn t I tg xdx dt t p==+òò()11212n I n n<<+68.求积分:.244sin 1xxdx ep p --+ò解:.224404sin 11sin 111x x x x dx xdx e e e pp p ---æö÷ç=+÷ç÷çèø+++òò2402sin 8xdx p p -==ò69.设,且,则方程0在()[],f x C a b Î()0f x >()()1xxabf x dx dx f x +=òò(),a b内有几个根.解:记,,()()()1xxabF x f t dt dt f t =+òò()()()110abbaF a dt dt f t f t ==-<òò,而.;()()0baF b f x dx =>ò()0f x >[],x a b Î()()()10F x f x f x ¢=+>在内严格单调增加.因此,在内只有一个根.()F x \(),a b ()F x (),a b 70.在上连续可微,且满足.试证存在一点.使()f x [)0,1()()1212f xf x dx =ò()0,1x Î.()()0f f x x x ¢+=证:设.则,()()F x xf x =()()0000F f =´=.()()()()112211122F f xf x dx F x dx =´==´òò由于在上可微,由积分中值定理,必存在一点,使得()F x []0,110,2h æö÷çÎ÷ç÷çèø,在上,满足Rolle 定理的三个条件,固而存在()()()1122F F F h h =´´=[],1h ()F x ,使得.即.x (),1h Î()0,1Ì()0F x ¢=()()0f f x x x ¢+=71.设求,.()11010x x xe x f x e x ìïïïï¹ï=íï+ïïï=ïî()0f -¢()0f +¢解:由知()()()000limx x f x f x f x x x ®-¢=-()0f -¢()()11000lim lim lim 0011txt t x x x f x f e e x e e --®-¥®®-====-++()0f +¢()()11000lim lim lim 1011txt t x x xf x f e e x ee ++®+¥®®-====-++另,时0x ¹()1121111xx x e e x f x e æö÷ç÷-+ç÷ç÷èø¢=æö÷ç÷+ç÷ç÷èø;()0f -¢()1121011lim lim 1xx x x xe e xf x e --®®æö÷ç÷-+ç÷ç÷èø¢==æö÷ç÷+ç÷ç÷èø()()121lim01u u u xu u e u e e =®-¥-+¾¾¾®=+()0f +¢()1121011lim lim 1xx x x xe e xf x e ++®®æö÷ç÷-+ç÷ç÷èø¢==æö÷ç÷+ç÷ç÷èø()()21lim1u u u u e u e e ®+¥-+=+()()()11lim21u u u u u uu e u e e e e e ®+¥-++-=+()22lim21u uu uu e ue e e ®+¥-=+.()221lim lim 1221u u u u u u e u e e e ®+¥®+¥--===+72.设在上连续,且,证明:必存在,使()f x []0,n ()()()0f f n n N =Î()0,n x Î.()()1f f x x +=证明:记,则在上连续,因而有最大(小)值()()()1x f x f x j =+-()x j []0,1n -,,;()M m ()m x M j ££[]0,1x n Î-而,,…,;()()()010f f j =-()()()121f f j =-()()()11n f n f n j -=--从而,()()()1110n n k k k f k f k m M nnj --==éù+-ëû£==£åå故而,必存在,使,即()0,n x Î()0j x =.()()1f f x x +=73.证明:函数在上一致连续.3)(x x f =[]1,0证明:任取两点,,不妨设,则,考虑到1x []1,02∈x 21x x ≠03231≠-x x ()321232312132232132121323121)()(x x x x x x x x x x x x x x x f x f +--≤++-=-=-;()2323121323121)()(x x x x x x x f x f --≤-=-即;2133231321)()(x x x x x f x f -≤-=-所以,对于任意小的正数,取,当时,必有0>ε3εη=η<-21x x 成立,ε<-≤-=-321323121)()(x x x x x f x f 故而函数在上一致连续.3)(x x f =[]1,074.函数在上有定义,且(1),(2)对于在,)(x f ()∞,0)1()(lim 1f x f x =→0>∀x ,则(为常数).)()(2x f x f =C x f ≡)(C 证明:任取,记,,,…,()∞+∈,0x x x =1x x x ==124123xx x x ===,….则1211-==-n x x x n n 由可知,,即)()(2x f x f =)()(x f x f =;)()()()()(321n x f x f x f x f x f ===== 而注意到,故)0(1lim >=+∞→x x n n ;)0(1lim lim 121>==-+∞→+∞→x x x n n n n 而,从而)1()(lim 1f x f x =→;)1()lim ()(lim )(11f x f x f x f n x n x ===→→所以,(为常数).C x f ≡)()1(f C =75.求极限:.21n n n tan n lim ⎪⎭⎫ ⎝⎛∞→解:注意到⎥⎦⎤⎢⎣⎡⎪⎭⎫ ⎝⎛⋅=⎪⎭⎫ ⎝⎛n tan n ln n exp n tan n n 1122,⎪⎪⎭⎪⎪⎬⎫⎪⎪⎩⎪⎪⎨⎧-⎥⎦⎤⎢⎣⎡⎪⎭⎫ ⎝⎛-+⋅⎪⎭⎫ ⎝⎛-⋅=11111112n tan n n tan n ln n tan n n exp 且,111111=-⎥⎦⎤⎢⎣⎡⎪⎭⎫ ⎝⎛-+∞→ntan n n tan n ln lim n 而22111tan lim 11tan lim n n n n n n n n -=⎪⎭⎫ ⎝⎛-∞→∞→30201tan lim1tan lim y y y y y y y y ny -=-=→→=.yy tan lim y y sec lim y y 31331220220==-=→→故.e n tan n lim n n 3121=⎪⎭⎫⎝⎛∞→76.已知,,求.12a =()11112n n n a a n a +⎛⎫=+> ⎪⎝⎭lim n n a →∞解:很明显,,,,,12a =0n a >11112n n n a a a +⎛⎫=+≥ ⎪⎝⎭()12111122n n n a n a a +⎛⎫=+≤>⎪⎝⎭所以,,单调有界,存在;1212n n a a a +≤≤≤≤= {}n a lim n n a →∞记,则由得,注意到,解得.lim n n a l →∞=1112n n n a a a +⎛⎫=+ ⎪⎝⎭112l l l ⎛⎫=+ ⎪⎝⎭21≤≤l 1l =77.设函数,求.xx y +=12()n y 解:,,11112++-=+=x x x x y 2111111⎪⎭⎫⎝⎛+-='⎥⎦⎤⎢⎣⎡⎪⎭⎫ ⎝⎛++-='x x x y ,()()322121111+-='⎪⎪⎭⎫ ⎝⎛⎪⎭⎫ ⎝⎛+-=''x x y 由数学归纳法可得:.()()())1(1!11>+-=+n x n yn n n 78.设函数在区间上连续,在内可导,且,()x f []0,1()0,1()()010==f f .试证:121=⎪⎭⎫ ⎝⎛f (1)存在,使;1,12η⎛⎫∈⎪⎝⎭()ηη=f (2)对任意实数,必存在,使得.λ()0,ξη∈()()1f f ξλξξ'--=⎡⎤⎣⎦证明:(1)设,则在区间上连续,在内可导,且()()h x x f x =-()h x []0,1()0,1,,,则存在,,即()00h =()11h =11022h ⎛⎫=-< ⎪⎝⎭1,12η⎛⎫∈ ⎪⎝⎭()()0h f ηηη=-=.()ηη=f (2)记,在区间上连续,在内可导,且,()()xF x f x x e λ-=-⎡⎤⎣⎦[]0,1()0,1()00F =,则由定理,必存在,使得,即()0F η=Rolle ()0,ξη∈()0F ξ'=.()()1f f ξλξξ'--=⎡⎤⎣⎦79.判断级数的敛散性.11nn ¥=åò提示:.220001122n xdx n n>=®<òòò80.证明:当时,.0>x ()x x xx<+<+1ln 1证明:记,则在上连续因而可积.tt f +=11)()(t f []x 0由积分第一中值定理,比存在一点,使得:()x 0∈ξ,()()x f dt t x x⋅=+=+⎰ξ0111ln 即.()x x ξ+=+111ln 而,,x <<ξ011111<+<+ξx ∴,)0(11><+<+x x x x x ξ即.()x x x x<+<+1ln 181.求在条件下,()22212312323,,2334f x x x x x x x x =+++2221231x x x ++=()123,,f x x x 的最大值和最大值点.解:利用拉格朗日乘数法,设,()()22222212312323123,,,23341L x x x x x x x x x x x λλ=++++++-,则123112233322221234206240624010x x x L x x L x x x L x x x L x x x λλλλ'=+=⎧⎪'=++=⎪⎨'=++=⎪⎪'=++-=⎩.1231222312323(1)020121(2)05x x x x Maxf x x x x x Maxf x x λ≠⇒=-⇒==→=±⇒=⎧+=⎪=⇒⇒==⇒=⎨=⎪⎩82.设随机变量,问:当取何值时,落入区间的概率最大?()2~,X N μσσX ()1,3解:因为,()212~x X f x σ⎛⎫- ⎝⎭=,{}133113()X P X P g σσσσσσ∆⎧⎫⎛⎫⎛⎫<<=<<=Φ-Φ=⎨⎬ ⎪ ⎪⎩⎭⎝⎭⎝⎭利用微积分中求极值的方法,有223311()g σσσσσ⎛⎫⎛⎫⎛⎫'''=-Φ+Φ ⎪ ⎪ ⎪⎝⎭⎝⎭⎝⎭;222222221311111422231111130e e σσσσ⎛⎫⎛⎫⎛⎫⎛⎫---- ⎪ ⎪⎝⎭⎝⎭⎝⎭⎝⎭⎡⎤⎢⎥==-=⎢⎥⎣⎦令得,则;又,故.404ln 3σ=0σ=0()0g σ''<0σ=故当落入区间的概率最大.σ=X ()1,383.设,讨论方程的实数根.x e x f x λ-=)(0=-x e x λ解:(1)显然,当时,方程没有实根;0λ=0=-x e x λ(2)当时,方程有唯一实根;0λ<0=-x e xλ(3)当时,;曲线为下凸的,0>λ0)(,)(>=''-='x x e x f e x f λx e x f x λ-=)(呈∪型;由可知,驻点,极小值,0)(=-='λx e x f λln 0=x )ln 1()(0λλ-=x f 由此可知,当时,方程没有实根;e <<λ00=-x e x λ当,极小值,方程只有一个实根;e =λ0)ln 1()(0=-=λλxf 0=-x e x λλln 0=x 当,极小值,方程有2个实根.e >λ0)ln 1()(0<-=λλxf 0=-x e xλ84.函数的单调增减区间、凹凸区间与极值.()()()211f x x x =-+解:,()()()()()()()()()22111211131f x x x ,f x x x x x x '=-+=++-+=+-由得驻点:;()0f x '=113x ,=-由上可知,函数在与内单调递增,在内递减;极()f x ()1,-∞-13,⎛⎫+∞ ⎪⎝⎭113,⎛⎫- ⎪⎝⎭大值,极小值;()10f -=132327f ⎛⎫=-⎪⎝⎭由可得,因而函数曲线在内()()()211f x x x =-+()62f x x ''=+13,⎛⎫-∞- ⎪⎝⎭,函数曲线上凸;在内下凸,如下图.()0f x ''<13,⎛⎫-+∞ ⎪⎝⎭85.已知收益函数为,其中为价格,为需求量,求需求弹性时260R=Q Q -P Q 2d ε=-的边际收益.MR 解:因为,所以需求函数,边际收益函数为,且260R=Q Q -60P Q =-602R =Q '-需求弹性函数为;60601d P dQ Q Q dP Q Qε-==-=-当需求弹性时,,此时的边际收益.2d ε=-20Q =()20604020MR R '==-=86.设函数,求其渐近线.xx exe x f y 111)(+==解:首先考虑其水平渐近线和垂直渐近线:x()1,-∞-1-113,⎛⎫- ⎪⎝⎭1313,⎛⎫+∞ ⎪⎝⎭()f x '+0-0+()f x 增加极大值递减极小值递增因为,,,所以,1lim 1=∞→x x e +∞=+→x x e 100lim 0lim 100=-→xx e ;11011lim lim lim 0(1)(1)1t x t t t t x xxee t t e t e x e+-→+∞→+∞→⎛⎫==== ⎪++⎝⎭+;11011lim lim lim 0(1)(1)1t x t t t t x xxee t t e t e x e--→-∞→-∞→⎛⎫==== ⎪++⎝⎭+;110011limlim lim (1)(1)1t x t t x t t xxee t t e t e x e-→∞→→⎛⎫===∞=⎪++⎝⎭+故而没有水平渐近线和垂直渐近线;xx exex f y 111)(+==由于,()111limlim 21xx x xf x e a x e →∞→∞===+()1111111211lim lim lim 2211x x x x x x x x xe x e xe b fx x x e e →∞→∞→∞⎡⎤⎛⎫-+⎢⎥⎡⎤ ⎪⎡⎤⎝⎭⎢⎥⎢⎥=-=-=⎢⎥⎢⎢⎥⎣⎦++⎢⎥⎢⎥⎣⎦⎢⎥⎣⎦,11011111122lim lim 2(1)41x t t x t xx xe e t t e x e→∞→-+-⎛⎫==== ⎪+⎝⎭+故而有斜渐近线:.xx exe x f y 111)(+==4121+=x y 87.求函数曲线的渐近线.()1ln 1x y e x=++解:显然,,为其垂直渐近线;()01lim ln 1x x e x→⎡⎤++=∞⎢⎥⎣⎦0x =,为其水平渐近线;()()1lim ln 1lim ln 10x xx x e e x →-∞→-∞⎡⎤++=+=⎢⎥⎣⎦0y =又,,,因而()()11ln 1ln 1x x y e x e x x -=++=+++()1lim ln 10x x e x -→+∞⎡⎤++=⎢⎥⎣⎦为其一条斜渐近线.y x=88.若,试证明:与具有相同的敛散性.lim (0)n n a a a →∞=≠∑∞=+-11n n n a a ∑∞=+-1111n nn a a 证明:问题为讨论两个正项级数的敛散性,可以用比较法的极限形式,因为不是具体的级数形式.记,则,111nn n a a V -=+0,0>>n n V U ==n n n V U ∞→limnn nn n a a a a 11lim11--=++∞→1.lim +∞→n n n a a )0(2≠a 可见,与具有相同的敛散性.∑∞=+-11n n n a a∑∞=+-1111n nn a a 89.讨论下列级数的敛散性:(1)2);(3);(4)1n ∞=11tan 2n n n ∞+=∑()3113nnn n n ∞=⎤+-⎣⎦∑()∑∞=+-+121211n n n n n(5);(6);(7).()()1111ln 1n n n ∞+=-+∑()211nn n n ∞=-+∑()()1111ln n n nn e e ∞+-=-+∑解:(1)当充分大时,比如时,有,从而n 3>n ()n n <+<1ln 1,而当时,,()n n n n <+<1ln 1∞→n 1→n n由极限的夹逼性定理知,当时,,所以,∞→n 1→1n ∞=(2)注意到,这是正项级数,当时,(等价无穷小),0→x x x ~tan 所以,而后者收敛,所以收敛.11tan ~2n n n π∞+=∑112n n n π∞+=∑11tan 2n nn π∞+=∑(3)利用柯西判别法:也是正项级数,,可见原()33113n+-=<→级数收敛;事实上,,,)())333111333nnnn nnnn nn ⎤+-+⎣⎦<<3113nnn n ∞=⎤⎣⎦∑都收敛,且同为正项级数,因而原级数收敛.3113nn n n ∞=⎤⎣⎦∑(4)因为,()()111111122221212112121→+⋅+⋅=+=+=+-+-nn nnnn n n n n n n nnnnnu 改用比较判别法:取,则21nv n =;()11lim 1lim lim 122121=⎪⎪⎭⎫⎝⎛+=+=+∞→++∞→∞→n n n n n nn n n n n nv u其中()(){}1122222lim lim exp lim 12ln ln 111n x n x x n x x x x n x ++→∞→+∞→+∞⎛⎫⎛⎫⎡⎤==+-+ ⎪ ⎪⎣⎦++⎝⎭⎝⎭,()()()()()22222222ln ln 1211exp lim exp lim exp lim 111111x x x x x x x x x x x x x →+∞→+∞→+∞⎧⎫⎧⎫⎪⎪-⎪⎪⎧⎫-++⎪⎪⎪⎪⎪⎪+===-=⎨⎬⎨⎬⎨⎬+⎪⎪⎪⎪⎪⎪-⎩⎭+⎪⎪⎪⎪+⎩⎭⎩⎭所以,与同时收敛.()∑∞=+-+121211n n n nn ∑∞=121n n(5)条件收敛.(6),发散.()()22111111nnn n n nn n n∞∞∞===-+-=+∑∑∑(7)=,()()1111ln n n n n e e ∞+-=-+∑()()12111ln 1n n n e n∞+=-+-∑,()222ln 1n n n e n e n e +-<-<()()()22222lim lim lim ln 1ln 1ln n x xn x x x n x x e e e e n e x e e -→∞→+∞→+∞==+-+-+==∞.()=+-=--+∞→x x x x xx e e e e e 22lim ()22221lim 1x x x x e e e →+∞+-x xx x ee e 2532106lim ++∞→另一方面,==,;()x x e e -+ln 1()xe x 21ln 1-++()x e xx x 1~1ln 11112-++()+∞→x 可见,原级数非绝对收敛;但是单调减少且趋于0,所以,原级数条件收敛.()x x e e -+ln 190.若正项级数与都发散,讨论与的敛散性.1nn v∞=∑1nn u∞=∑{}1max ,nnn u v ∞=∑{}1min ,nnn u v ∞=∑解:,,{}{}1max ,2n n n n n n u v u v u v =++-{}{}1min ,2n n n n n n u v u v u v =+--(1)显然,,或者,故而{}{}1max ,2n n n n n n n u v u v u v u =++-≥{}max ,n n n u v v ≥发散;{}1max ,nnn u v ∞=∑(2)而的敛散性未定.{}1min ,nnn u v ∞=∑例如,若,()222211111111123456212n n u n n ∞==+++++++++-∑ ,()222=11111111123456221n n v n n ∞=+++++++++-∑。
练习题1(函数、极限与连续部分)欧阳光明(2021.03.07)1.填空题(1)函数f (X )=1的定义域是.答案:X>2且X 丰3.ln(X -2)(2)函数f (X )=1+K F 的定义域是.答案:ln(X +2)(-2,-1)u (-1,2](3)函数f (X +2)=X 2+4X +7,则f (X )=・答案:f (X )=X 2+3(4)若函数f (X )=;X sin X +1,X <0在X =0处连续,则上=.答、k ,X >0案:k =1(5)函数f (X -1)=X 2-2X ,则f (X )=・答案:f (X )=X 2-1(6)函数>=X 2-2X -3的间断点是.答案:X =-1X +1(7)lim X sin1.答案:1X .8X(8)若limSS =2,则k=.答案:k 二2X .0sin kX2.单项选择题(1)设函数>=―匕,则该函数是().2八.奇函数8.偶函数C 非奇非偶函数D .既奇又偶函数答案:B(2)下列函数中为奇函数是().A ・x sin xB •—;e 彳C .in(x +V1+%2)D .x +x 2 答案:CA .x >-5B •x w-4C .x >-5且x 中0D .x >-5且x w-4答案:D(4)设f (x +1)=x 2-1,则f (x )=()A .x (x +1)B .x 2C .x (x-2)D .(x +2)(x-1)答案:C(5)当k =()时,函数f (x )=卜+2,x w 0在x =0处连续.[k ,x =0 A .0B .1C .2D .3答案:D(6)当k =()时,函数f (x )=卜2+1,x w 0,在x =0处连续.[k ,x =0A .0B .1C .2D .-1答案:B(7)函数f (x )=x -3的间断点是()x 2-3x +2 A .x =1,x =2B.x =3(3)函数y =,+ln (x +5)的定义域为x +4 ).C X =1,X =2,X =3D .无间断点 答案:A 3.计算题 (1)lim X 2一3X +2 X-2X 2-4 X 2一3X +2(X -2)(X -1)X -11 用牛:lim =lim =lim =一 X -2X 2-4X -2(X -2)(X +2)X ,2X +24 (2) lim X 2-9 x -3x 2-2x -3 解: X 2-9(X -3)(X +3)X +36 lim =lim =lim =一 X -3X 2-2X -3X ,3(X -3)(X +1)X ,3X +14 (3)lim X 2-6X +8 X —4X 2—5X +4 X 2-6X +8(X -4)(X -2)X -22 用牛:lim =lim =lim =一 X -4X 2-5X +4 X -4(X -4)(X -1)X -4X -13 综合练习题2 (导数与微分部 分) 1.填空题 (1)曲线f (X )二星+1在(1,2)点的切斜率是. 答案:1: 2 (2)曲线f (X )二e X 在(0,1)点的切线方程是. 答案: (3)已知/(X )=X 3+3X ,则/(3)=. 答案:f (X )=3X 2+3X ln3 f '(3)=27(1+ln3)(4)已知/(x )=ln x ,则f"(x )=.答案:f (x )=1,f 以x )=--1xx 2(5)若f (x )=x e -x ,贝U f 〃(0)=.答案:f"(x )=-2e -x +x e -x2.单项选择题(1)若f (x )=e -x cos x ,则f '(0)=().A.2B.1C.-1D.-2因f '(x )=(e -x cos x )'=(e -x )'cos x +e -x (cos x )' 所以f ,(0)=-e -o (cos0+sin0)=-1答案:C(2)设y =lg2x ,则d y =().A .—d xB •-1—d xC .^n 10-d x 2xx ln10x 答案:B(3)设y =f (x )是可微函数,则d f (cos2x )=().A .2f ,(cos2x )d xB .f ,(cos2x )sin2x d2xC .2f '(cos2x )sin2x d xD .-f '(cos2x )sin2x d2x答案:D(4)若f (x )=sin x +a 3,其中a 是常数,则f 〃(x )=().A .cos x +3a 2B .sin x +6aC .—sin xD .cos x答案:C3.计算题(1)设y =x 2e ;,求y '.解:y '=2x e x +x 2e x (—)=e x (2x-1)x 2 D .-d x x(2)设y=sin4x+cos3x,求y'.手:y'=4cos4x+3cos2x(-sin x)(3)设y=e、二+2,求y'.x单:y=e x+1_1-三2K(x+1x2(4)设y=x五+lncos x,求y,.匕r31131干:y=—x2+(-sin x)=—x2-tan xcos x综合练习题3(导数应用部分) 1.填空题(1)函数y=3(x-1)2的单调增加区间是.答案:(1,+8)(2)函数f(x户ox2+1在区间(0,+8)内单调增加,则a应满足.答案:a>02.单项选择题(1)函数y=(x+1)2在区间(-2,2)是()A.单调增加B.单调减少C先增后减D.先减后增答案:D(2)满足方程f(x)=0的点一定是函数丁=f(x)的().A.极值点8.最值点C驻点口.间断点答案:C(3)下列结论中()不正确.A .f (x )在x =x 0处连续,则一定在x 0处可微.B .f (x )在x -x n 处不连续,则一定在x n 处不可导.00C .可导函数的极值点一定发生在其驻点上.口.函数的极值点一定发生在不可导点上.答案:B(4)下列函数在指定区间(—8,+8)上单调增加的是().A .sin xB .e xC .x 2D.3-x答案:B3.应用题(以几何应用为主) (1)欲做一个底为正方形,容积为108m 3的长方体开口容器,怎样做法用料最省?解:设底边的边长为x m ,高为h m ,容器的表面积为y m 2。
(理)定积分与微积分基本定理一、选择题1.S 1=⎠⎛12x 2d x ,S 2=⎠⎛121x d x ,S 3=⎠⎛12e x d x ,则S 1,S 2,S 3的大小关系为( )A .S 1<S 2<S 3B .S 2<S 1<S 3C .S 2<S 3<S 1D .S 3<S 2<S 1解析 本题考查微积分基本定理. S 1=⎠⎛12x 2d x =x 33|21=73.S 2=⎠⎛121x d x =ln x |21=ln 2-ln 1=ln 2.S 3=⎠⎛12e x d x =e x |21=e 2-e =e (e -1).令e =2.7,∴S 3>3>S 1>S 2.故选B . 答案 BA .3B .4C .3.5D .4.5解析答案 C3.如图所示,图中曲线方程为y =x 2-1,用定积分表达围成封闭图形(阴影部分)的面积是()A .⎪⎪⎪⎪⎪⎪⎠⎛02(x 2-1)d x B .⎠⎛02(x 2-1)d xC.⎠⎛02|x 2-1|d xD .⎠⎛01(x 2-1)d x +⎠⎛02(x 2-1)d x解析 面积S =⎠⎛01(1-x 2)d x +⎠⎛12(x 2-1)d x=⎠⎛02|x 2-1|d x ,故选C.答案 C4.已知二次函数y =f (x )的图象如图所示,则它与x 轴所围图形的面积为()A.2π5B.43C.32D.π2解析答案 B5.一辆汽车在高速公路上行驶,由于遇到紧急情况而刹车,以速度v (t )=7-3t +251+t (t 的单位:s ,v 的单位:m/s)行驶至停止.在此期间汽车继续行驶的距离(单位:m)是( )A .1+25ln5B .8+25ln 113 C .4+25ln5D .4+50ln2解析 令v (t )=0,7-3t +251+t=0∴3t 2-4t -32=0,∴t =4,则汽车行驶的距离为⎠⎛04v (t )d t =⎠⎛04⎝ ⎛⎭⎪⎪⎫7-3t +251+t d t = ⎣⎢⎡⎦⎥⎤7t -32t 2+25ln (1+t )|40=7×4-32×42+25ln5-0=4+25ln5,故选C.答案 C6.如图,设D 是图中边长分别为1和2的矩形区域,E 是D 内位于函数y =1x (x >0)图象下方的区域(阴影部分),从D 内随机取一个点M ,则点M 取自E 内的概率为( )A.ln22B.1-ln22C.1+ln22D.2-ln22解析答案 C 二、填空题7.若⎠⎛0T x 2d x =9,则常数T 的值为________.解析 ∵⎠⎛0T x 2d x =x 33|T 0=T 33=9,∴T =3.答案 38.计算:⎠⎛01(x 2+1-x 2)d x =______.解析 ⎠⎛01(x 2+1-x 2)d x =⎠⎛01x 2d x +⎠⎛011-x 2d x =x 3310+14π=13+π4.答案 13+π49.已知函数y =f (x )的图象是折线段ABC ,其中A (0,0)、B ⎝ ⎛⎭⎪⎫12,5、C (1,0).函数y =xf (x )(0≤x ≤1)的图象与x 轴围成的图形的面积为________.解析 设直线为y =kx +b ,代入A ,B 两点,得y =10x . 代入B ,C 两点,则⎩⎪⎨⎪⎧5=12k +b ,0=k +b ,∴k =-10,b =10.∴f (x )=⎩⎪⎨⎪⎧10x , 0≤x ≤12,-10x +10, 12<x ≤1.∴y =xf (x )=⎩⎪⎨⎪⎧10x 2, 0≤x ≤12,-10x 2+10x , 12<x ≤1.答案 54 三、解答题10.若f (x )是一次函数,且⎠⎛01f (x )d x =5,⎠⎛01xf (x )d x =176,求⎠⎛12f (x )x d x的值.解 ∵f (x )是一次函数,∴设f (x )=ax +b (a ≠0).由⎠⎛01(ax +b )d x =5,得⎝ ⎛⎭⎪⎫12ax 2+bx |10=12a +b =5.① 由⎠⎛01xf (x )d x =176,得⎠⎛01(ax 2+bx )d x =176. 即⎝ ⎛⎭⎪⎫13ax 3+12bx 2|10=176. ∴13a +12b =176.②解①②,得a =4,b =3.∴f (x )=4x +3. 于是⎠⎛12f (x )x d x =⎠⎛124x +3x d x =⎠⎛12(4+3x )d x=(4x +3ln x )|21=8+3ln2-4 =4+3ln2.11.如图,直线y =kx 分抛物线y =x -x 2与x 轴所围图形为面积相等的两部分,求k 的值.解 抛物线y =x -x 2与x 轴两交点的横坐标x 1=0,x 2=1, 所以抛物线与x 轴所围图形的面积 S =⎠⎛01(x -x 2)d x =⎝ ⎛⎭⎪⎫x 22-x 33|10=12-13=16. 又可得抛物线y =x -x 2与y =kx 两交点的横坐标为x ′1=0,x ′2=1-k ,所以S 2=∫1-k0(x -x 2-kx )d x=⎝ ⎛⎭⎪⎫1-k 2x 2-x 33|1-k0 =16(1-k )3.又知S =16,所以(1-k )3=12. 于是k =1- 312=1-342.12.设函数f (x )=x 3+ax 2+bx 在点x =1处有极值-2. (1)求常数a ,b 的值;(2)求曲线y =f (x )与x 轴所围成的图形的面积.解 (1)由题意知,f ′(x )=3x 2+2ax +b ,f (1)=-2,且f ′(1)=0,即⎩⎨⎧1+a +b =-2,3+2a +b =0,解得⎩⎨⎧a =0,b =-3.(2)由(1)可知,f (x )=x 3-3x . 作出曲线y =x 3-3x 的草图如图,所求面积为阴影部分的面积,由x 3-3x =0得曲线y =x 3-3x 与x 轴的交点坐标是(-3,0),(0,0)和(3,0),而y =x 3-3x 是R 上的奇函数,所以函数图象关于原点成中心对称.所以所求图形的面积为。
【高二】微积分基本定理综合测试题(有答案)选修2-21.6微积分基本定理我1.下列积分正确的是( )[答:]aa.214b.54c、 338d、 218[答案] a【分析】2-2x2+1x4dx=2-2x2dx+2-21x4dx=13x32-2+-13x-32-2=13(x3-x-3)2-2=138-18-13-8+18=214.因此3.1-1xdx等于( )a、 1-1xdxb。
1-1dxc.0-1(-x)dx+01xdxd.0-1xdx+01(-x)dx[答:]C[解析] ∵x=x (x≥0)-x (x<0)∴1-1xdx=0-1xdx+01xdx=0-1(-x)dx+01xdx,故应选c.4.设f(x)=X2(0)≤ x<1)2-x(1)≤ 十、≤ 2),那么02F(x)DX等于()a.34b.45c、 56d。
不在场[答案] c[分析]02F(x)DX=01x2dx+12(2-x)DX取f1(x)=13x3,f2(x)=2x-12x2,那么f′1(x)=X2,f′2(x)=2-x∴02f(x)dx=f1(1)-f1(0)+f2(2)-f2(1)=13-0+2 × 2-12 × 22-2 × 1-12 × 12=56. 因此,C5.abf′(3x)dx=( )a、 f(b)-f(a)b.f(3b)-f(3a)c.13[f(3b)-f(3a)]d.3[f(3b)-f(3a)][答:]C[解析] ∵13f(3x)′=f′(3x)如果f(x)=13F(3x),那么abf′(3x)dx=f(b)-f(a)=13[f(3b)-f(3a)].故应选c.6.03x2-4dx=( )a.213b.223c、 233d、 253[答案] c[分析]03x2-4DX=02(4-x2)DX+23(x2-4)DX =4x-13x320+13x3-4x32=233.a、-32b.-12c.12d.32[答:]d[解析] ∵1-2sin2θ2=cosθ8.函数f(x)=0xcostdt的导数为()a.cosxb.sinxc、-cosxd.-sinx[答案] a[分析]f(x)=0xcostdt=sintx0=SiNx-sin0=SiNx所以f′(x)=cosx,故应选a.9.如果0k(2x-3x2)DX=0,则k=()a.0b.1c、 0或1D。
微积分基础试题及答案1. 求函数 \(f(x) = 3x^2 - 2x + 1\) 在 \(x = 2\) 处的导数。
2. 判断函数 \(f(x) = \ln(x)\) 是否在 \(x = 1\) 处连续,并求其在该点的导数。
3. 计算定积分 \(\int_{0}^{1} x^2 dx\)。
4. 求由曲线 \(y = x^2\) 与直线 \(x = 2\) 及 \(y = 0\) 所围成的面积。
5. 利用微积分基本定理求不定积分 \(\int x e^x dx\)。
6. 求函数 \(g(x) = \sin(x) + \cos(x)\) 在区间 \([0, 2\pi]\) 上的最大值和最小值。
7. 证明 \(\frac{d}{dx}(e^x) = e^x\)。
8. 求函数 \(f(x) = \frac{1}{x}\) 在 \(x = 1\) 处的切线方程。
9. 计算 \(\lim_{x \to 0} \frac{\sin(x)}{x}\)。
10. 求函数 \(f(x) = x^3 - 6x^2 + 11x - 6\) 的极值点。
答案1. 求导得 \(f'(x) = 6x - 2\),代入 \(x = 2\) 得 \(f'(2) =10\)。
2. 函数 \(f(x) = \ln(x)\) 在 \(x = 1\) 处连续,且 \(f'(x) = \frac{1}{x}\),代入 \(x = 1\) 得 \(f'(1) = 1\)。
3. 计算定积分得 \(\int_{0}^{1} x^2 dx = \frac{1}{3}x^3\Big|_{0}^{1} = \frac{1}{3}\)。
4. 由曲线 \(y = x^2\) 与直线 \(x = 2\) 及 \(y = 0\) 所围成的面积为 \(\int_{0}^{2} x^2 dx = \frac{1}{3}x^3 \Big|_{0}^{2} =\frac{8}{3}\)。
综合练习题1(函数、极限与连续部分)1.填空题(1)函数)2ln(1)(-=x x f 的定义域是 . 答案:2>x 且3≠x .(2)函数24)2ln(1)(x x x f -++=的定义域是 .答案:]2,1()1,2(-⋃-- (3)函数74)2(2++=+x x x f ,则=)(x f. 答案:3)(2+=x x f(4)若函数⎪⎩⎪⎨⎧≥<+=0,0,13sin )(x k x xx x f 在0=x 处连续,则=k .答案:1=k (5)函数x x x f 2)1(2-=-,则=)(x f .答案:1)(2-=x x f(6)函数1322+--=x x x y 的间断点是 .答案:1-=x(7)=∞→xx x 1sin lim .答案:1(8)若2sin 4sin lim0=→kxxx ,则=k .答案:2=k 2.单项选择题(1)设函数2e e xx y +=-,则该函数是( ).A .奇函数B .偶函数C .非奇非偶函数D .既奇又偶函数 答案:B(2)下列函数中为奇函数是().A .x x sinB .2e e x x +- C .)1ln(2x x ++ D .2x x +答案:C(3)函数)5ln(4+++=x x xy 的定义域为( ). A .5->x B .4-≠x C .5->x 且0≠x D .5->x 且4-≠x答案:D(4)设1)1(2-=+x x f ,则=)(x f ( )A .)1(+x xB .2xC .)2(-x xD .)1)(2(-+x x 答案:C(5)当=k ( )时,函数⎩⎨⎧=≠+=0,,2)(x k x e x f x 在0=x 处连续.A .0B .1C .2D .3 答案:D(6)当=k ( )时,函数⎩⎨⎧=≠+=0,,1)(2x k x x x f ,在0=x 处连续.A .0B .1C .2D .1- 答案:B (7)函数233)(2+--=x x x x f 的间断点是( ) A .2,1==x xB .3=xC .3,2,1===x x xD .无间断点 答案:A 3.计算题(1)423lim 222-+-→x x x x . 解:4121lim )2)(2()1)(2(lim 423lim 22222=+-=+---=-+-→→→x x x x x x x x x x x x(2)329lim 223---→x x x x解:234613lim )1)(3()3)(3(lim 329lim 33223==++=+-+-=---→→→x x x x x x x x x x x x(3)4586lim 224+-+-→x x x x x解:3212lim )1)(4()2)(4(lim 4586lim 44224=--=----=+-+-→→→x x x x x x x x x x x x x综合练习题2(导数与微分部分)1.填空题 (1)曲线1)(+=x x f 在)2,1(点的切斜率是 .答案:21 (2)曲线x x f e )(=在)1,0(点的切线方程是 . 答案:1+=x y(3)已知x x x f 3)(3+=,则)3(f '= . 答案:3ln 33)(2x x x f +=')3(f '=27()3ln 1+(4)已知x x f ln )(=,则)(x f ''= . 答案:x x f 1)(=',)(x f ''=21x- (5)若x x x f -=e )(,则='')0(f.答案:x x x x f --+-=''e e 2)(='')0(f 2-2.单项选择题 (1)若x x f xcos e)(-=,则)0(f '=( ). A. 2 B. 1 C. -1 D. -2因)(cos e cos )e ()cos e ()('+'='='---x x x x f xx x)sin (cos e sin e cos e x x x x x x x +-=--=---所以)0(f '1)0sin 0(cos e 0-=+-=-答案:C(2)设y x =l g 2,则d y =( ).A .12d x x B .1d x x ln10 C .ln10x x d D .1d xx 答案:B(3)设)(x f y =是可微函数,则=)2(cos d x f ( ). A .x x f d )2(cos 2' B .x x x f d22sin )2(cos 'C .x x x f d 2sin )2(cos 2'D .x x x f d22sin )2(cos '- 答案:D(4)若3sin )(a x x f +=,其中a 是常数,则='')(x f ( ).A .23cos a x +B .a x 6sin +C .x sin -D .x cos 答案:C3.计算题(1)设xx y 12e =,求y '.解: )1(e e 22121xx x y xx -+=')12(e 1-=x x(2)设x x y 3cos 4sin +=,求y '.解:)sin (cos 34cos 42x x x y -+='x x x 2c o s s i n 34c o s4-= (3)设xy x 2e 1+=+,求y '. 解:2121(21exx y x -+='+ (4)设x x x y cos ln +=,求y '.解:)sin (cos 12321x x x y -+=' x x tan 2321-= 综合练习题3(导数应用部分)1.填空题(1)函数y x =-312()的单调增加区间是 . 答案:),1(+∞(2)函数1)(2+=ax x f 在区间),0(∞+内单调增加,则a 应满足 . 答案:0>a2.单项选择题(1)函数2)1(+=x y 在区间)2,2(-是( )A .单调增加B .单调减少C .先增后减D .先减后增 答案:D(2)满足方程0)(='x f 的点一定是函数)(x f y =的( ). A .极值点 B .最值点 C .驻点 D . 间断点 答案:C(3)下列结论中( )不正确. A .)(x f 在0x x =处连续,则一定在0x 处可微. B .)(x f 在0x x =处不连续,则一定在0x 处不可导. C .可导函数的极值点一定发生在其驻点上.D .函数的极值点一定发生在不可导点上. 答案: B(4)下列函数在指定区间(,)-∞+∞上单调增加的是( ). A .x sin B .xe C .2x D .x -3答案:B3.应用题(以几何应用为主)(1)欲做一个底为正方形,容积为108m 3的长方体开口容器,怎样做法用料最省?解:设底边的边长为x m ,高为h m ,容器的表面积为y m 2。
微积分试题及答案pdf一、选择题(每题5分,共20分)1. 函数 \( f(x) = x^3 - 6x^2 + 11x - 6 \) 的导数是:A. \( 3x^2 - 12x + 11 \)B. \( 3x^2 - 12x + 6 \)C. \( x^2 - 12x + 11 \)D. \( x^2 - 6x + 11 \)答案:A2. 定积分 \( \int_{0}^{1} x^2 dx \) 的值是:A. \( \frac{1}{3} \)B. \( \frac{1}{2} \)C. \( \frac{1}{4} \)D. \( \frac{1}{6} \)答案:B3. 函数 \( y = \ln(x) \) 的不定积分是:A. \( x\ln(x) + C \)B. \( \frac{x}{\ln(x)} + C \)C. \( x\ln(x) - x + C \)D. \( x + C \)答案:A4. 曲线 \( y = x^2 \) 与直线 \( y = 2x \) 在第一象限的交点坐标是:A. \( (1, 2) \)B. \( (2, 4) \)C. \( (-1, -2) \)D. \( (-2, -4) \)答案:A二、填空题(每题5分,共20分)1. 函数 \( f(x) = \sin(x) \) 的二阶导数是 \( \_\_\_\_\_ \)。
答案:\( -\sin(x) \)2. 曲线 \( y = e^x \) 在 \( x = 0 \) 处的切线斜率是\( \_\_\_\_\_ \)。
答案:13. 函数 \( y = \ln(x) \) 的不定积分是 \( \_\_\_\_\_ \)。
答案:\( x\ln(x) - x + C \)4. 定积分 \( \int_{0}^{1} e^x dx \) 的值是 \( \_\_\_\_\_ \)。
答案:\( e - 1 \)三、解答题(每题10分,共20分)1. 求函数 \( f(x) = x^3 - 3x^2 + 4 \) 在 \( x = 2 \) 处的导数值。
微积分考试试题一、填空题(每题3分,共10题)1,=++++∞→nn n n n n 1)8642(lim 。
2、函数)(x f 的定义域为实区间 (0 , 1) , 则)1(-x f 的定义域是 。
3,曲线3)(x e x f =中的凸曲线所对应的开区间是 。
4,),31ln(2)(x xx f +=设 为使其在0=x 处连续,需补充定义=)0(f 。
5,已知2)0(='f ,则 =-→xx f x f x )()5(lim 0 。
6,)(x f 任意阶可导,且)4()3()2()1(f f f f ===,则0)(=''x f 至少有 个实根。
7,设,sin x y = 则 =)2011(y 。
8,函数22+=-x e y x 的单调递增开区间是 。
9,=+⎰dx x x 21arctan 。
10,若x x f +='1)(ln ,且,0)0(=f 则=)(x f 。
二、选择题(每题3分,共5题)1,下列各式中,正确的是( )。
)()(,22x f dx x f dxd A =⎰ )()(,x f dx x f dx d B ='⎰ )()(,x df dx x f d C =⎰ dx x f d x df D ⎰⎰=)()(, 2,当0→x 时,下列四个无穷小量中,哪一个是比其它三个更高阶的无穷小量( )。
2.x A x B cos 1.- 11.2--x C x x D sin .-3,)(x f 定义域为),(+∞-∞,且,1)(lim =∞→x f x ⎪⎩⎪⎨⎧=≠=0,10),1()(x x x f x g 。
则0=x 是)(x g 的( )。
A. 可去间断点 B. 无穷间断点 C. 连续点 D. 不一定,要看)(x f 公式 4,连续函数)(x f y =在0x x =处取得极大值,则必有( )。
0)(.0≠'x f A 0)(.0=x f B 0)(0)(.00<''='x f x f C 且 0)(.0='x f D 或不存在 5,下列说法仅有一个正确,它是( )。
微积分测试题(附答案)【编号】ZSWD2023B0088 一、选择题(每题2分)1、x=-1是函数x =221x xx x 的( ) A、跳跃间断点 B、可去间断点 C、无穷间断点 D、不是间断点2、设x 定义域为(1,2),则lg x 的定义域为( ) A、(0,lg2) B、(0,lg2C、(10,100)D、(1,2)3、试求02lim x x等于( )A、 14B、0C、1D、 4、若1y xx y,求y 等于( ) A、22x y y x B、22y x y x C、22y x x y D、22x yx y5、曲线221xy x的渐近线条数为( ) A、0 B、1 C、2 D、36、下列函数中,那个不是映射( )A、2y x (,)x R y RB、221y x C、2y x D、ln y x(0)x二、填空题(每题2分) 1、__________2、、2(1))lim()1x n xf x f x nx 设 (,则 的间断点为__________3、21lim 51x x bx ax已知常数 a、b,,则此函数的最大值为__________4、263y x k y x k 已知直线 是 的切线,则 __________ 5、ln 2111x y y x 求曲线 ,在点(,)的法线方程是__________三、判断题(每题2分)1、221x y x函数是有界函数 ( ) 2、有界函数是收敛数列的充分不必要条件 ( ) 3、lim若,就说是比低阶的无穷小( ) 4可导函数的极值点未必是它的驻点 ( ) 5、曲线上凹弧与凸弧的分界点称为拐点 ( )四、计算题(每题6分) 1、1sin xy x求函数 的导数2、21()arctan ln(12f x x x x dy已知),求 3、2326x xy y y x y 已知,确定是的函数,求 4、20tan sin lim sin x x xx x求5、计算6、21lim (cos )x x x计算五、应用题(每题6分)1、设某企业在生产一种商品x 件时的总收益为2)100R x x x (,总成本函数为2()20050C x x x ,问政府对每件商品征收货物税为多少时,在企业获得利润最大的情况下,总税额最大?(8分)2、描绘函数21y x x的图形(12分)六、证明题(每题6分)1、用极限的定义证明:设01lim (),lim (x x f x A f A x则 2、证明方程10,1xxe 在区间()内有且仅有一个实数【编号】ZSWD2023B0088参考答案 一、选择题1、C2、C3、A4、B5、D6、B二、填空题1、0x2、6,7a b3、184、35、20x y三、判断题1、√2、×3、√4、×5、×四、计算题 1、解:1sin1sin1sinln 1sinln 22))1111c o s ()ln s in 1111(c o s ln s in xxx xx xy x ee x x x x x xx x x x x((2、解:22()112(arctan 121arctan d y f x d x xx x d x x xxd x3、解:2222)2)222302323(23)(23(22)(26)(23x y x y y y x yy x y y x y x y y y y x y4、解:2223000ta n sin ,1co s 21tan (1co s )12lim lim sin 2x x x x x x x x x x x x x x xQ :::当时,原式=5、解:65232222261)61116116(1166a r c t a n 66a r c t a nx t d x t t t t t t t t t t CC令t =原式(6、解:2201ln c o s 01li mln c o s 20200012l i m 1l i m l n c o s l n c o s l i m 1(s i n )c o s l i m 2t a n 1l i m 22x xx x xx x x x x eex xxx x x xx x e原式其中:原式五、应用题1、解:设每件商品征收的货物税为a ,利润为()L x222()()()100(20050)2(50)200()45050()0,,()4(50)41(502)410250225L x R x C x axx x x x ax x a x L x x a aL x x L x a a ax T a T a T a令得此时取得最大值税收T=令得当时,T取得最大值2、解:2300,01202201D x y x x y x y x y x,间断点为令则令则渐进线:32li m li m 001li m x x x y y y x y y x y x x 无水平渐近线是的铅直渐近线无斜渐近线图象六、证明题 1、证明:lim ()0,0()11101()1lim ()x x f x AM x M f x A x M M M x f A xf A xQ 当时,有取=,则当0时,有即2、证明:()1()0,1(0)10,(1)100,1()0,1()(1)0,(0,1)()0,110,1x x x f x xe f x f f e f e f x x e x f x xe Q Q 令在()上连续由零点定理:至少存在一个(),使得即又则在上单调递增方程在()内有且仅有一个实根。
微积分基本定理综合测试题(有答案)
选修2-2 1.6 微积分基本定理
一、选择题 1.下列积分正确的是( ) [答案] A A.214
B.54
C.338
D.218 [答案] A [解析] 2-2x2+
1x4dx=2-2x2dx+2-21x4dx =13x32-2+-13x-32-2 =13(x3-x-3)2-2 =138-18-13-8+18=214. 故应选A. 3.1-1|x|dx 等于( ) A.1-1xdx B.1-1dx C.0-1(-x)dx+01xdx D.0-1xdx +01(-x)dx [答案] C [解析] ∵|x|=x (x≥0)-x (x<0) ∴1-1|x|dx=0-1|x|dx+01|x|dx =0-1(-x)dx+01xdx,故应选C. 4.设f(x)=x2 (0≤x<1)2-x (1≤x≤2),则02f(x)dx等于( ) A.34 B.45 C.56 D.不存在 [答案] C [解析] 02f(x)dx =01x2dx+12(2-x)dx 取F1(x)=13x3,F2(x)=2x-12x2,则
F′1(x)=x2,F′2(x)=2-x ∴02f(x)dx=F1(1)-F1(0)+F2(2)
-F2(1) =13-0+2×2-12×22-2×1-12×12=56.故应选C. 5.abf′(3x)dx=( ) A.f(b)-f(a) B.f(3b)-f(3a) C.13[f(3b)-f(3a)] D.3[f(3b)-f(3a)] [答案] C [解析] ∵13f(3x)′=f′(3x) ∴取F(x)=13f(3x),则abf′(3x)dx=F(b)-F(a)=
13[f(3b)-f(3a)].故应选C. 6.03|x2-4|dx=( ) A.213
B.223
C.233
D.253 [答案] C [解析] 03|x2-4|dx =02(4-x2)dx+23(x2-4)dx =4x-13x320+13x3-4x32=233. A.-32 B.-12 C.12 D.32 [答案] D [解析] ∵1-2sin2θ2=cosθ8.函数F(x)=0xcostdt的导数是( ) A.cosx B.sinx C.-cosx D.-sinx [答案] A [解析] F(x)=0xcostdt=sintx0=sinx -sin0=sinx. 所以F′(x)=cosx,故应选A. 9.若0k(2x-3x2)dx =0,则k=( ) A.0 B.1 C.0或1 D.以上都不对 [答案] C [解析] 0k(2x-3x2)dx=(x2-x3)k0=k2-k3=0,∴k=0或1. 10.函数F(x)=0xt(t-4)dt在[-1,5]上( ) A.有最大值0,无最小值 B.有最大值0和最小值-323 C.有最小值-323,无最大值 D.既无最大值也无最小值 [答案] B [解析] F(x)=0x(t2-
4t)dt=13t3-2t2x0=13x3-2x2(-1≤x≤5).F′(x)=x2-4x,由F′(x)=0得x=0或x=4,列表如下: x (-1,0) 0 (0,4) 4 (4,5)
F′(x) + 0 - 0 + F(x) ��极大值极小值��可见极大值F(0)=0,极小值F(4)=-323. 又F(-1)=-73,F(5)=-253 ∴最大值为0,最小值为-323. 二、填空题 11.计算定积分:①1-1x2dx=________ ②233x-2x2dx=________ ③02|x2-1|dx=
________ ④0-π2|sinx|dx=________ [答案] 23;436;2;1 [解析] ①1-1x2dx=13x31-1=23. ②233x-2x2dx=32x2+2x32=436. ③02|x2-1|dx=01(1-x2)dx+12(x2-1)dx =x-13x310+13x3-x21=2. [答案] 1+π2 13.(2010•陕西理,13)从如图所示的长方形区域内任取一个点M(x,y),则点M取自阴影部分的概率为________. [答案] 13 [解析] 长方形的面积为S1=3,S阴=013x2dx=x310=1,则P=S1S阴=13. 14.已知f(x)=3x2+2x+1,若1-1f(x)dx=2f(a)成立,则a=________. [答案] -1或13 [解析] 由已知F(x)=x3+x2+x,F(1)=3,F(-1)=-1,∴1-
1f(x)dx=F(1)-F(-1)=4,∴2f(a)=4,∴f(a)=2. 即3a2+2a +1=2.解得a=-1或13. 三、解答题 15.计算下列定积分:(1)052xdx;(2)01(x2-2x)dx; (3)02(4-2x)(4-x2)dx;(4)12x2+2x-3xdx. [解析] (1)052xdx=x250=25-0=25. (2)01(x2-2x)dx=01x2dx-012xdx =13x310-x210=13-1=-23. (3)02(4-2x)(4-x2)dx=02(16-8x-4x2+2x3)dx =16x-4x2-43x3+12x420 =32-16-323+8=403. (4)12x2+2x-3xdx=12x+2-
3xdx =12x2+2x-3lnx21=72-3ln2. 16.计算下列定积分: [解析] (1)取F(x)=12sin2x,则F′(x)=cos2x =121-32=14(2-3). (2)取F(x)=x22+lnx+2x,则F′(x)=x+1x+2. ∴23x+1x2dx=23x+1x+2dx =F(3)-F(2) =92+ln3+6-12×4+ln2+4 =92+ln32. (3)取F(x)=32x2-cosx,则F′(x)=3x+sinx 17.计算下列定积分: (1)0-4|x+2|dx; (2)已知f(x)=,求3-1f(x)dx的值. [解析] (1)∵f(x)=|x+2|=∴0-4|x+2|dx =--4-2(x+2)dx+0-2(x+2)dx =-12x2+2x-2-4+12x2+2x0-2 =2+2=4. (2)∵f(x)=∴3-1f(x)dx=0-1f(x)dx+
01f(x)dx+12f(x)dx+23f(x)dx=01(1-x)dx+12(x-1)dx =x-x2210+x22-x21 =12+12=1. 18.(1)已知f(a)=01(2ax2-
a2x)dx,求f(a)的最大值; (2)已知f(x)=ax2+bx+c(a≠0),且f(-1)=2,f′(0)=0,01f(x)dx=-2,求a,b,c的值. [解析] (1)取F(x)=23ax3-12a2x2 则F′(x)=2ax2-a2x ∴f(a)=
01(2ax2-a2x)dx =F(1)-F(0)=23a-12a2 =-12a-232+29 ∴当a=23时,f(a)有最大值29. (2)∵f(-1)=2,∴a-b+c=2① 又∵f′(x)=2ax+b,∴f′(0)=b=0② 而01f(x)dx=01(ax2+bx+c)dx 取F(x)=13ax3+12bx2+cx 则F′(x)=ax2+bx+c
∴01f(x)dx=F(1)-F(0)=13a+12b+c=-2③ 解①②③得a=6,b=0,c=-4.。