定积分与微积分基本定理练习题及答案
- 格式:doc
- 大小:250.50 KB
- 文档页数:18
专题06 定积分与微积分基本定理1.由曲线,直线轴所围成的图形的面积为()A.B.4C.D.6【答案】A【解析】联立方程得到两曲线的交点(4,2),因此曲线y,直线y=x﹣2及y轴所围成的图形的面积为:S.故选:A.2.设f(x)=|x﹣1|,则=()A.5 B.6 C.7 D.8【答案】A【解析】画出函数的图像如下图所示,根据定积分的几何意义可知,定积分等于阴影部分的面积,故定积分为,故选A.3.曲线与直线围成的封闭图形的面积是()A.B.C.D.【答案】D【解析】令,则,所以曲线围成的封闭图形面积为,故选D4.为函数图象上一点,当直线与函数的图象围成区域的面积等于时,的值为A.B.C.1D.【答案】C【解析】直线与函数的图象围成区域的面积S dx=∴故选:C5.由直线与曲线所围成的封闭图形的面积为( )A.B.1C.D.【答案】B【解析】题目所求封闭图形的面积为定积分,故选B.6.如图,矩形中曲线的方程分别是,在矩形内随机取一点,则此点取自阴影部分的概率为( )A.B.C.D.【答案】A【解析】依题意的阴影部分的面积,根据用几何概型概率计算公式有所求概率为,故选A.7.()A.B.-1C.D.【答案】C【解析】解:.故选:C.8.,则T的值为A.B.C.D.1【答案】A【解析】由题意得表示单位圆面积的四分之一,且圆的面积为π,∴,∴.故选A.9.下列计算错误..的是()A.B.C.D.【答案】C【解析】在A中,,在B中,根据定积分的几何意义,,在C中,,根据定积分的运算法则与几何意义,易知,故选C.10.定积分的值为()A.B.C.D.【答案】A【解析】表示以为圆心,以为半径的圆,定积分等于该圆的面积的四分之一,定积分,故选A.11.如果曲线与直线所围成的封闭图形的面积为,则以下正确的一个值为()A.1 B.2 C.3 D.4【答案】D【解析】如图,如果,则所围面积为,故,代入,则,矛盾,故A错.如果,则,代入,则,矛盾,故B错.代入,则,矛盾,故C错.代入,则,符合,故D正确.综上,选D.12.一物体以速度v=3t2+2t(v的单位:m/s)做直线运动,则它在t=0 s到t=3 s时间段内的位移是() A.31 m B.36 mC.38 m D.40 m【答案】B【解析】由题意物体在t=0s到t=3s时间段内的位移是:.故选:B.13.由曲线与直线所围成图形的面积等于__________.【答案】【解析】根据定积分的几何意义得到,面积S=(e x+x)d x=故答案为:14.___________【答案】【解析】表示半圆夹在直线部分的面积S。
定积分与微积分基本定理(理)基础巩固强化1.求曲线y =x 2与y =x 所围成图形的面积,其中正确的是( )A .S =⎠⎜⎛01(x 2-x )d x B .S =⎠⎜⎛01(x -x 2)d x C .S =⎠⎜⎛01(y 2-y )d y D .S =⎠⎜⎛1(y -y )d y[答案] B[分析] 根据定积分的几何意义,确定积分上、下限和被积函数. [解析] 两函数图象的交点坐标是(0,0),(1,1),故积分上限是1,下限是0,由于在[0,1]上,x ≥x 2,故函数y =x 2与y =x 所围成图形的面积S =⎠⎜⎛01(x -x 2)d x . 2.如图,阴影部分面积等于( )A .2 3B .2-3[答案] C[解析] 图中阴影部分面积为S =⎠⎜⎛-31(3-x 2-2x )d x =(3x -13x 3-x 2)|1-3=323. 4-x 2d x =( ) A .4π B .2π C .π[答案] C[解析] 令y =4-x 2,则x 2+y 2=4(y ≥0),由定积分的几何意义知所求积分为图中阴影部分的面积,∴S=14×π×22=π.4.已知甲、乙两车由同一起点同时出发,并沿同一路线(假定为直线)行驶.甲车、乙车的速度曲线分别为v甲和v乙(如图所示).那么对于图中给定的t0和t1,下列判断中一定正确的是( )A.在t1时刻,甲车在乙车前面B.在t1时刻,甲车在乙车后面C.在t0时刻,两车的位置相同D.t0时刻后,乙车在甲车前面[答案]A[解析]判断甲、乙两车谁在前,谁在后的问题,实际上是判断在t0,t1时刻,甲、乙两车行驶路程的大小问题.根据定积分的几何意义知:车在某段时间内行驶的路程就是该时间段内速度函数的定积分,即速度函数v(t)的图象与t轴以及时间段围成区域的面积.从图象知:在t0时刻,v甲的图象与t轴和t=0,t=t0围成区域的面积大于v乙的图象与t轴和t=0,t=t0围成区域的面积,因此,在t0时刻,甲车在乙车的前面,而且此时乙车的速度刚刚赶上甲车的速度,所以选项C,D错误;同样,在t1时刻,v甲的图象与t轴和t=t1围成区域的面积,仍然大于v乙的图象与t轴和t=t1围成区域的面积,所以,可以断定:在t1时刻,甲车还是在乙车的前面.所以选A.5.向平面区域Ω={(x,y)|-π4≤x≤π4,0≤y≤1}内随机投掷一点,该点落在曲线y=cos2x下方的概率是( )-1[答案] D[解析] 平面区域Ω是矩形区域,其面积是π2,在这个区6.的值是( )A .0 C .2 D .-2 [答案] D[解析] 2(cos sin )2x x ππ---=2(cos sin )2x x ππ---=-2. 7.⎠⎜⎛2(2-|1-x |)d x =________.[答案] 3[解析] ∵y =⎩⎪⎨⎪⎧1+x 0≤x ≤13-x 1<x ≤2,∴⎠⎜⎛02(2-|1-x |)d x =⎠⎜⎛01(1+x )d x +⎠⎜⎛12(3-x )d x =(x +12x 2)|10+(3x -12x 2)|21=32+32=3.9.已知a =2(sin cos )x x dx π+⎰,则二项式(a x -1x)6的展开式中含x 2项的系数是________.[答案] -192 [解析] 由已知得a =20(sin cos )x x dx π+⎰=(-cos x +sin x )|π20=(sin π2-cos π2)-(sin0-cos0)=2,(2x -1x)6的展开式中第r +1项是T r +1=(-1)r ×C r6×26-r ×x 3-r,令3-r =2得,r =1,故其系数为(-1)1×C 16×25=-192.10.有一条直线与抛物线y =x 2相交于A 、B 两点,线段AB 与抛物线所围成图形的面积恒等于43,求线段AB 的中点P 的轨迹方程.[解析] 设直线与抛物线的两个交点分别为A (a ,a 2),B (b ,b 2),不妨设a <b ,则直线AB 的方程为y -a 2=b 2-a2b -a(x -a ),即y =(a +b )x -ab .则直线AB 与抛物线围成图形的面积为S =⎠⎜⎛ab[(a +b )x -ab -x 2]d x =(a +b 2x 2-abx -x 33)|ba =16(b -a )3,∴16(b -a )3=43, 解得b -a =2.设线段AB 的中点坐标为P (x ,y ),其中⎩⎪⎨⎪⎧x =a +b2,y =a 2+b22.将b -a =2代入得⎩⎪⎨⎪⎧x =a +1,y =a 2+2a +2.消去a 得y =x 2+1.∴线段AB 的中点P 的轨迹方程为y =x 2+1.能力拓展提升11.等比数列{a n }中,a 3=6,前三项和S 3=⎠⎜⎛34x d x ,则公比q 的值为( )A .1B .-12C .1或-12D .-1或-12[答案] C[解析] 因为S 3=⎠⎜⎛34x d x =2x 2|30=18,所以6q +6q 2+6=18,化简得2q 2-q -1=0,解得q =1或q =-12,故选C.12.已知(x ln x )′=ln x +1,则⎠⎜⎛1eln x d x =( )A .1B .eC .e -1D .e +1 [答案] A[解析] 由(x ln x )′=ln x +1,联想到(x ln x -x )′=(ln x +1)-1=ln x ,于是⎠⎜⎛1eln x d x =(x ln x -x )|e 1=(e ln e -e )-(1×ln1-1)=1.13.抛物线y 2=2x 与直线y =4-x 围成的平面图形的面积为________.[答案] 18[解析] 由方程组⎩⎪⎨⎪⎧y 2=2x ,y =4-x ,解得两交点A (2,2)、B (8,-4),选y 作为积分变量x =y 22、x =4-y ,∴S =⎠⎜⎛-42[(4-y )-y 22]dy =(4y -y 22-y 36)|2-4=18. 14.已知函数f (x )=e x -1,直线l 1:x =1,l 2:y =e t -1(t 为常数,且0≤t ≤1).直线l 1,l 2与函数f (x )的图象围成的封闭图形如图中区域Ⅱ所示,其面积用S 2表示.直线l 2,y 轴与函数f (x )的图象围成的封闭图形如图中区域Ⅰ所示,其面积用S 1表示.当t 变化时,阴影部分的面积的最小值为________.[答案] (e -1)2[解析] 由题意得S 1+S 2=⎠⎜⎛0t(e t -1-e x +1)d x +⎠⎜⎛t1(e x -1-e t +1)d x =⎠⎜⎛0t(e t -e x )d x +⎠⎜⎛t1(e x -e t )d x =(xe t -e x )|t 0+(e x -xe t )|1t =(2t -3)e t +e +1,令g (t )=(2t -3)e t +e +1(0≤t ≤1),则g ′(t )=2e t +(2t -3)e t=(2t -1)e t,令g ′(t )=0,得t =12,∴当t ∈[0,12)时,g ′(t )<0,g (t )是减函数,当t ∈(12,1]时,g ′(t )>0,g (t )是增函数,因此g (t )的最小值为g (12)=e +1-2e 12=(e -1)2.故阴影部分的面积的最小值为(e -1)2.15.求下列定积分.(1)⎠⎛1-1|x |d x; (2)⎠⎜⎛0πcos 2x2d x ; (3)∫e +121x -1d x . [解析] (1)⎠⎛1-1|x |d x =2⎠⎜⎛1x d x =2×12x 2|10=1. (2)⎠⎜⎛0πcos 2x2d x =⎠⎜⎛0π1+cos x 2d x =12x |π0+12sin x |π0=π2.(3)∫e +121x -1d x =ln(x -1)|e +12=1. 16.已知函数f (x )=-x 3+ax 2+bx (a ,b ∈R )的图象如图所示,它与x 轴在原点处相切,且x 轴与函数图象所围区域(图中阴影部分)的面积为112,求a 的值.[解析] f ′(x )=-3x 2+2ax +b ,∵f ′(0)=0,∴b =0, ∴f (x )=-x 3+ax 2,令f (x )=0,得x =0或x =a (a <0).∴S 阴影=⎠⎜⎛a[0-(-x 3+ax 2)]d x =(14x 4-13ax 3)|0a=112a 4=112, ∵a <0,∴a =-1.1.已知函数f (x )=sin 5x +1,根据函数的性质、积分的性质和积分的几何意义,探求22()f x dx ππ-⎰的值,结果是( )+π2 B .π C .1 D .0 [答案] B[解析] 22()f x dx ππ-⎰=22ππ-⎰sin 5x d x +22ππ-⎰1d x ,由于函数y =sin 5x是奇函数,所以22ππ-⎰sin 5x d x =0,而22ππ-⎰1d x =x |π2-π2=π,故选B.2.若函数f (x )=⎩⎪⎨⎪⎧-x - 1 -1≤x <0,cos x 0≤x <π2,的图象与坐标轴所围成的封闭图形的面积为a ,则a 的值为( )C .1[答案] D[解析] 由图可知a =12+⎠⎜⎜⎛0π2cos x d x =12+sin x |π20=32.3.对任意非零实数a 、b ,若a ⊗b 的运算原理如图所示,则2⊗⎠⎜⎛πsin x d x =________.[答案] 22[解析] ∵⎠⎜⎛0πsin x d x =-cos x |π0=2>2, ∴2⊗⎠⎜⎛πsin x d x =2⊗2=2-12=22. 4.设函数f (x )=ax 2+c (a ≠0),若⎠⎜⎛1f (x )d x =f (x 0),0≤x 0≤1,则x 0的值为________.[答案] 33[解析] ⎠⎜⎛01f (x )d x =⎠⎜⎛01(ax 2+c )d x =(ax 33+cx )|10=a 3+c ,故a3+c=ax 2+c ,即ax 20=a3,又a ≠0,所以x 20=13,又0≤x 0≤1,所以x 0=33.故填33. 5.设n =⎠⎜⎛12(3x 2-2)d x ,则(x -2x)n 展开式中含x 2项的系数是________.[答案] 40[解析] ∵(x 3-2x )′=3x 2-2,∴n =⎠⎜⎛12(3x 2-2)d x =(x 3-2x )|21 =(23-2×2)-(1-2)=5. ∴(x -2x)5的通项公式为T r +1=C r 5x 5-r(-2x)r=(-2)r C r 5x5-3r2 ,令5-3r 2=2,得r =2, ∴x 2项的系数是(-2)2C 25=40.。
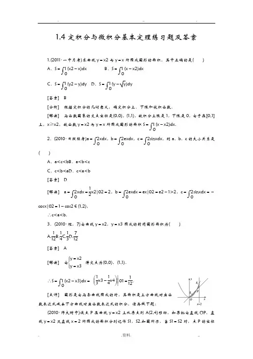
1.4定积分与微积分基本定理练习题及答案1.(2011·一中月考)求曲线y =x2与y =x 所围成图形的面积,其中正确的是( ) A .S =⎠⎛01(x2-x)dx B .S =⎠⎛01(x -x2)dxC .S =⎠⎛01(y2-y)dyD .S =⎠⎛01(y -y)dy [答案] B[分析] 根据定积分的几何意义,确定积分上、下限和被积函数.[解读] 两函数图象的交点坐标是(0,0),(1,1),故积分上限是1,下限是0,由于在[0,1]上,x ≥x2,故函数y =x2与y =x 所围成图形的面积S =⎠⎛01(x -x2)dx.2.(2010·日照模考)a =⎠⎛02xdx ,b =⎠⎛02exdx ,c =⎠⎛02sinxdx ,则a 、b 、c 的大小关系是( )A .a<c<bB .a<b<cC .c<b<aD .c<a<b [答案] D[解读] a =⎠⎛02xdx =12x2|02=2,b =⎠⎛02exdx =ex|02=e2-1>2,c =⎠⎛02sinxdx =-cosx|02=1-cos2∈(1,2),∴c<a<b.3.(2010·理,7)由曲线y =x2,y =x3围成的封闭图形面积为( ) A.112B.14C.13D.712 [答案] A[解读] 由⎩⎪⎨⎪⎧y =x2y =x3得交点为(0,0),(1,1).∴S =⎠⎛01(x2-x3)dx =⎪⎪⎪⎝ ⎛⎭⎪⎫13x3-14x401=112.[点评] 图形是由两条曲线围成的时,其面积是上方曲线对应函数表达式减去下方曲线对应函数表达式的积分,请再做下题:(2010·师大附中)设点P 在曲线y =x2上从原点到A(2,4)移动,如果把由直线OP ,直线y =x2及直线x =2所围成的面积分别记作S1,S2.如图所示,当S1=S2时,点P 的坐标是( )A.⎝ ⎛⎭⎪⎫43,169B.⎝ ⎛⎭⎪⎫45,169 C.⎝ ⎛⎭⎪⎫43,157 D.⎝ ⎛⎭⎪⎫45,137 [答案] A[解读] 设P(t ,t2)(0≤t ≤2),则直线OP :y =tx ,∴S1=⎠⎛0t (tx -x2)dx =t36;S2=⎠⎛t 2(x2-tx)dx =83-2t +t36,若S1=S2,则t =43,∴P ⎝ ⎛⎭⎪⎫43,169.4.由三条直线x =0、x =2、y =0和曲线y =x3所围成的图形的面积为( ) A .4 B.43C.185D .6[答案] A[解读] S =⎠⎛02x3dx =⎪⎪⎪x4402=4. 5.(2010·省考试院调研)⎠⎛1-1(sinx +1)dx 的值为( )A .0B .2C .2+2cos1D .2-2cos1 [答案] B[解读] ⎠⎛1-1(sinx +1)dx =(-cosx +x)|-11=(-cos1+1)-(-cos(-1)-1)=2.6.曲线y =cosx(0≤x ≤2π)与直线y =1所围成的图形面积是( ) A .2π B .3π C.3π2D .π [答案] A [解读] 如右图, S =∫02π(1-cosx)dx =(x -sinx)|02π=2π.[点评] 此题可利用余弦函数的对称性①②③④面积相等解决,但若把积分区间改为⎝ ⎛⎭⎪⎫π6,π,则对称性就无能为力了. 7.函数F(x)=⎠⎛0xt(t -4)dt 在[-1,5]上( )A .有最大值0,无最小值B .有最大值0和最小值-323C .有最小值-323,无最大值D .既无最大值也无最小值 [答案] B[解读] F ′(x)=x(x -4),令F ′(x)=0,得x1=0,x2=4, ∵F(-1)=-73,F(0)=0,F(4)=-323,F(5)=-253.∴最大值为0,最小值为-323. [点评] 一般地,F(x)=⎠⎛0x φ(t)dt 的导数F ′(x)=φ(x).8.已知等差数列{an}的前n 项和Sn =2n2+n ,函数f(x)=⎠⎛1x 1t dt ,若f(x)<a3,则x的取值围是( )A.⎝⎛⎭⎪⎫36,+∞B .(0,e21) C .(e -11,e) D .(0,e11) [答案] D[解读] f(x)=⎠⎛1x 1t dt =lnt|1x =lnx ,a3=S3-S2=21-10=11,由lnx<11得,0<x<e11.9.(2010·一中)如图所示,在一个长为π,宽为2的矩形OABC ,曲线y =sinx(0≤x ≤π)与x 轴围成如图所示的阴影部分,向矩形OABC 随机投一点(该点落在矩形OABC 任何一点是等可能的),则所投的点落在阴影部分的概率是( )A.1πB.2πC.3πD.π4 [答案] A[解读] 由图可知阴影部分是曲边图形,考虑用定积分求出其面积.由题意得S =⎠⎛0πsinxdx =-cosx|0π=-(cos π-cos0)=2,再根据几何概型的算法易知所求概率P =S S 矩形OABC =22π=1π.10.(2010·质检)函数f(x)=⎩⎪⎨⎪⎧x +2-2≤x<02cosx 0≤x ≤π2的图象与x 轴所围成的图形面积S为( )A.32B .1 C .4 D.12 [答案] C[解读] 面积S =∫π2-2f(x)dx =⎠⎛0-2(x +2)dx +∫π202cosxdx =2+2=4.11.(2010·二十中)设函数f(x)=x -[x],其中[x]表示不超过x 的最大整数,如[-1.2]=-2,[1.2]=1,[1]=1.又函数g(x)=-x3,f(x)在区间(0,2)上零点的个数记为m ,f(x)与g(x)的图象交点的个数记为n ,则⎠⎛mn g(x)dx 的值是( )A .-52B .-43C .-54D .-76[答案] A[解读] 由题意可得,当0<x<1时,[x]=0,f(x)=x ,当1≤x<2时,[x]=1,f(x)=x -1,所以当x ∈(0,2)时,函数f(x)有一个零点,由函数f(x)与g(x)的图象可知两个函数有4个交点,所以m =1,n =4,则⎠⎛m n g(x)dx =⎠⎛14⎝ ⎛⎭⎪⎫-x 3dx =⎪⎪⎪-x2614=-52.11.(2010·调研)甲、乙两人进行一项游戏比赛,比赛规则如下:甲从区间[0,1]上随机等可能地抽取一个实数记为b ,乙从区间[0,1]上随机等可能地抽取一个实数记为c(b 、c 可以相等),若关于x 的方程x2+2bx +c =0有实根,则甲获胜,否则乙获胜,则在一场比赛中甲获胜的概率为( )A.13B.23C.12D.34 [答案] A[解读] 方程x2+2bx +c =0有实根的充要条件为Δ=4b2-4c ≥0,即b2≥c ,由题意知,每场比赛中甲获胜的概率为p =⎠⎛01b2db 1×1=13.12.(2010·省调研)已知正方形四个顶点分别为O(0,0),A(1,0),B(1,1),C(0,1),曲线y =x2(x ≥0)与x 轴,直线x =1构成区域M ,现将一个质点随机地投入正方形中,则质点落在区域M 的概率是( )A.12B.14C.13D.25 [答案] C[解读] 如图,正方形面积1,区域M 的面积为S =⎠⎛01x2dx=13x3|01=13,故所求概率p =13.2.如图,阴影部分面积等于( )A .23B .2- 3 C.323D.353 [答案] C[解读] 图中阴影部分面积为S =⎠⎛-31 (3-x2-2x)dx =(3x -13x3-x2)|1-3=323.3.⎠⎛024-x2dx =( )A .4πB .2πC .π D.π2[答案] C[解读] 令y=4-x2,则x2+y2=4(y≥0),由定积分的几何意义知所求积分为图中阴影部分的面积,∴S=14×π×22=π.4.已知甲、乙两车由同一起点同时出发,并沿同一路线(假定为直线)行驶.甲车、乙车的速度曲线分别为v甲和v乙(如图所示).那么对于图中给定的t0和t1,下列判断中一定正确的是( )A.在t1时刻,甲车在乙车前面B.在t1时刻,甲车在乙车后面C.在t0时刻,两车的位置相同D.t0时刻后,乙车在甲车前面[答案] A[解读] 判断甲、乙两车谁在前,谁在后的问题,实际上是判断在t0,t1时刻,甲、乙两车行驶路程的大小问题.根据定积分的几何意义知:车在某段时间行驶的路程就是该时间段速度函数的定积分,即速度函数v(t)的图象与t轴以及时间段围成区域的面积.从图象知:在t0时刻,v 甲的图象与t 轴和t =0,t =t0围成区域的面积大于v 乙的图象与t 轴和t =0,t =t0围成区域的面积,因此,在t0时刻,甲车在乙车的前面,而且此时乙车的速度刚刚赶上甲车的速度,所以选项C ,D 错误;同样,在t1时刻,v 甲的图象与t 轴和t =t1围成区域的面积,仍然大于v 乙的图象与t 轴和t =t1围成区域的面积,所以,可以断定:在t1时刻,甲车还是在乙车的前面.所以选A.5.(2012·日照模拟)向平面区域Ω={(x ,y)|-π4≤x ≤π4,0≤y ≤1}随机投掷一点,该点落在曲线y =cos2x 下方的概率是( )A.π4B.12 C.π2-1 D.2π [答案] D [解读]平面区域Ω是矩形区域,其面积是π2,在这个区6. (sinx -cosx)dx 的值是( )A .0 B.π4 C .2 D .-2[答案] D[解读] (sinx -cosx)dx =(-cosx -sinx) =-2.7.(2010·模拟)⎠⎛02(2-|1-x|)dx =________.[答案] 3[解读] ∵y =⎩⎪⎨⎪⎧1+x 0≤x ≤13-x 1<x ≤2,∴⎠⎛02(2-|1-x|)dx =⎠⎛01(1+x)dx +⎠⎛12(3-x)dx=(x +12x2)|10+(3x -12x2)|21=32+32=3.8.(2010·十二中)已知函数f(x)=3x2+2x +1,若⎠⎛1-1f(x)dx =2f(a)成立,则a =________.[答案] -1或13[解读] ∵⎠⎛1-1f(x)dx =⎠⎛1-1(3x2+2x +1)dx =(x3+x2+x)|1-1=4,⎠⎛1-1f(x)dx =2f(a),∴6a2+4a +2=4,∴a =-1或13.9.已知a =∫π20(sinx +cosx)dx ,则二项式(a x -1x )6的展开式中含x2项的系数是________.[答案] -192[解读] 由已知得a =∫π20(sinx +cosx)dx =(-cosx +sinx)|π20=(sin π2-cos π2)-(sin0-cos0)=2,(2x -1x)6的展开式中第r +1项是Tr +1=(-1)r ×Cr 6×26-r ×x3-r ,令3-r =2得,r =1,故其系数为(-1)1×C16×25=-192.10.有一条直线与抛物线y =x2相交于A 、B 两点,线段AB 与抛物线所围成图形的面积恒等于43,求线段AB 的中点P 的轨迹方程.[解读] 设直线与抛物线的两个交点分别为A(a ,a2),B(b ,b2),不妨设a<b , 则直线AB 的方程为y -a2=b2-a2b -a(x -a), 即y =(a +b)x -ab.则直线AB 与抛物线围成图形的面积为S =⎠⎛a b[(a +b)x -ab -x2]dx =(a +b2x2-abx -x33)|b a =16(b -a)3,∴16(b -a)3=43, 解得b -a =2.设线段AB 的中点坐标为P(x ,y),其中⎩⎪⎨⎪⎧x =a +b 2,y =a2+b22.将b -a =2代入得⎩⎪⎨⎪⎧x =a +1,y =a2+2a +2.消去a 得y =x2+1.∴线段AB 的中点P 的轨迹方程为y =x2+1.能力拓展提升11.(2012·二测)等比数列{an}中,a3=6,前三项和S3=⎠⎛034xdx ,则公比q 的值为( )A .1B .-12C .1或-12D .-1或-12[答案] C[解读] 因为S3=⎠⎛034xdx =2x2|30=18,所以6q +6q2+6=18,化简得2q2-q -1=0,解得q =1或q =-12,故选C.12.(2012·模拟)已知(xlnx)′=lnx +1,则⎠⎛1elnxdx =( )A .1B .eC .e -1D .e +1 [答案] A[解读] 由(xlnx)′=lnx +1,联想到(xlnx -x)′=(lnx +1)-1=lnx ,于是⎠⎛1elnxdx =(xlnx -x)|e 1=(elne -e)-(1×ln1-1)=1.13.抛物线y2=2x 与直线y =4-x 围成的平面图形的面积为________. [答案] 18[解读] 由方程组⎩⎪⎨⎪⎧y2=2x ,y =4-x ,解得两交点A(2,2)、B(8,-4),选y 作为积分变量x =y22、x =4-y ,∴S =⎠⎛-42 [(4-y)-y22]dy =(4y -y22-y36)|2-4=18.14.已知函数f(x)=ex -1,直线l1:x =1,l2:y =et -1(t 为常数,且0≤t ≤1).直线l1,l2与函数f(x)的图象围成的封闭图形如图中区域Ⅱ所示,其面积用S2表示.直线l2,y 轴与函数f(x)的图象围成的封闭图形如图中区域Ⅰ所示,其面积用S1表示.当t 变化时,阴影部分的面积的最小值为________.[答案] (e -1)2[解读] 由题意得S1+S2=⎠⎛0t (et -1-ex +1)dx +⎠⎛t 1(ex -1-et +1)dx =⎠⎛0t (et -ex)dx+⎠⎛t 1(ex -et)dx =(xet -ex)|t 0+(ex -xet)|1t =(2t -3)et +e +1,令g(t)=(2t -3)et +e +1(0≤t ≤1),则g ′(t)=2et +(2t -3)et =(2t -1)et ,令g ′(t)=0,得t =12,∴当t ∈[0,12)时,g ′(t)<0,g(t)是减函数,当t ∈(12,1]时,g ′(t)>0,g(t)是增函数,因此g(t)的最小值为g(12)=e +1-2e 12=(e -1)2.故阴影部分的面积的最小值为(e -1)2. 15.求下列定积分.(1)⎠⎛1-1|x|dx 。
1.4定积分与微积分基本定理练习题及答案1.(2011·一中月考)求曲线y =x2与y =x 所围成图形的面积,其中正确的是()A .S =1(x2-x)dx B .S =01(x -x2)dx C .S =01(y2-y)dy D .S =01(y -y)dy[答案] B[分析] 根据定积分的几何意义,确定积分上、下限和被积函数.[解读]两函数图象的交点坐标是(0,0),(1,1),故积分上限是1,下限是0,由于在[0,1]上,x ≥x2,故函数y =x2与y =x 所围成图形的面积S =1(x -x2)dx. 2.(2010·日照模考)a =02xdx ,b =02exdx ,c =02sinxdx ,则a 、b 、c 的大小关系是()A .a<c<bB .a<b<cC .c<b<aD .c<a<b [答案] D [解读]a =2xdx =12x2|02=2,b =02exdx =ex|02=e2-1>2,c =02sinxdx =-cosx|02=1-cos2∈(1,2),∴c<a<b.3.(2010·理,7)由曲线y =x2,y =x3围成的封闭图形面积为()A.112B.14C.13D.712[答案] A[解读]由y =x2y =x3得交点为(0,0),(1,1).∴S =01(x2-x3)dx =13x3-14x401=112.[点评]图形是由两条曲线围成的时,其面积是上方曲线对应函数表达式减去下方曲线对应函数表达式的积分,请再做下题:(2010·师大附中)设点P 在曲线y =x2上从原点到A(2,4)移动,如果把由直线OP ,直线y =x2及直线x =2所围成的面积分别记作S1,S2.如图所示,当S1=S2时,点P 的坐标是( )A.43,169B.45,169C.43,157 D.45,137[答案] A[解读]设P(t ,t2)(0≤t ≤2),则直线OP :y =tx ,∴S1=t(tx -x2)dx =t36;S2=t2(x2-tx)dx =83-2t +t36,若S1=S2,则t =43,∴P 43,169.4.由三条直线x =0、x =2、y =0和曲线y =x3所围成的图形的面积为()A .4 B.43C.185D .6[答案] A [解读]S =2x3dx =x4402=4.5.(2010·省考试院调研)1-1(sinx +1)dx 的值为()A .0B .2C .2+2cos1D .2-2cos1 [答案] B[解读] 1-1(sinx +1)dx =(-cosx +x)|-11=(-cos1+1)-(-cos(-1)-1)=2.6.曲线y =cosx(0≤x ≤2π)与直线y =1所围成的图形面积是()A .2πB .3πC.3π2D .π[答案] A [解读]如右图,S =∫02π(1-cosx)dx =(x -sinx)|02π=2π.[点评] 此题可利用余弦函数的对称性①②③④面积相等解决,但若把积分区间改为π6,π,则对称性就无能为力了.7.函数F(x)=xt(t -4)dt 在[-1,5]上( )A .有最大值0,无最小值B .有最大值0和最小值-323C .有最小值-323,无最大值D .既无最大值也无最小值[答案] B[解读]F ′(x)=x(x -4),令F ′(x)=0,得x1=0,x2=4,∵F(-1)=-73,F(0)=0,F(4)=-323,F(5)=-253.∴最大值为0,最小值为-323.[点评]一般地,F(x)=x φ(t)dt 的导数F ′(x)=φ(x).8.已知等差数列{an}的前n 项和Sn =2n2+n ,函数f(x)=1x 1t dt ,若f(x)<a3,则x 的取值围是()A.36,+∞B .(0,e21) C .(e -11,e) D .(0,e11) [答案] D [解读]f(x)=1x 1t dt =lnt|1x =lnx ,a3=S3-S2=21-10=11,由lnx<11得,0<x<e11.9.(2010·一中)如图所示,在一个长为π,宽为2的矩形OABC ,曲线y =sinx(0≤x ≤π)与x 轴围成如图所示的阴影部分,向矩形OABC 随机投一点(该点落在矩形OABC 任何一点是等可能的),则所投的点落在阴影部分的概率是()A.1πB.2πC.3πD.π4[答案] A[解读]由图可知阴影部分是曲边图形,考虑用定积分求出其面积.由题意得S =0πsinxdx =-cosx|0π=-(cos π-cos0)=2,再根据几何概型的算法易知所求概率P =S S 矩形OABC =22π=1π.10.(2010·质检)函数f(x)=x +2-2≤x<02cosx0≤x ≤π2的图象与x 轴所围成的图形面积S 为( )A.32B .1 C .4 D.12[答案] C[解读]面积S =∫π2-2f(x)dx =0-2(x +2)dx +∫π202cosxdx =2+2=4.11.(2010·二十中)设函数f(x)=x -[x],其中[x]表示不超过x 的最大整数,如[-1.2]=-2,[1.2]=1,[1]=1.又函数g(x)=-x3,f(x)在区间(0,2)上零点的个数记为m ,f(x)与g(x)的图象交点的个数记为n ,则mng(x)dx 的值是()A .-52B .-43C .-54D .-76[答案] A[解读]由题意可得,当0<x<1时,[x]=0,f(x)=x ,当1≤x<2时,[x]=1,f(x)=x -1,所以当x ∈(0,2)时,函数f(x)有一个零点,由函数f(x)与g(x)的图象可知两个函数有4个交点,所以m =1,n =4,则mng(x)dx =14-x3dx =-x2614=-52. 11.(2010·调研)甲、乙两人进行一项游戏比赛,比赛规则如下:甲从区间[0,1]上随机等可能地抽取一个实数记为b ,乙从区间[0,1]上随机等可能地抽取一个实数记为c(b 、c 可以相等),若关于x 的方程x2+2bx +c =0有实根,则甲获胜,否则乙获胜,则在一场比赛中甲获胜的概率为()A.13B.23C.12D.34[答案] A[解读]方程x2+2bx +c =0有实根的充要条件为Δ=4b2-4c ≥0,即b2≥c ,由题意知,每场比赛中甲获胜的概率为p =01b2db 1×1=13. 12.(2010·省调研)已知正方形四个顶点分别为O(0,0),A(1,0),B(1,1),C(0,1),曲线y=x2(x≥0)与x轴,直线x=1构成区域M,现将一个质点随机地投入正方形中,则质点落在区域M的概率是( )A.12 B.14C.13 D.25[答案] C[解读] 如图,正方形面积1,区域M的面积为S=1x2dx=13x3|01=13,故所求概率p=13.2.如图,阴影部分面积等于( )A.23B.2- 3C.323D.353[答案] C[解读] 图中阴影部分面积为S=-31 (3-x2-2x)dx=(3x-13x3-x2)|1-3=323.3.24-x2dx=( )A.4π B.2πC.π D.π2[答案] C[解读] 令y=4-x2,则x2+y2=4(y≥0),由定积分的几何意义知所求积分为图中阴影部分的面积,∴S=14×π×22=π.4.已知甲、乙两车由同一起点同时出发,并沿同一路线(假定为直线)行驶.甲车、乙车的速度曲线分别为v甲和v乙(如图所示).那么对于图中给定的t0和t1,下列判断中一定正确的是( )A.在t1时刻,甲车在乙车前面B.在t1时刻,甲车在乙车后面C.在t0时刻,两车的位置相同D.t0时刻后,乙车在甲车前面[答案] A[解读] 判断甲、乙两车谁在前,谁在后的问题,实际上是判断在t0,t1时刻,甲、乙两车行驶路程的大小问题.根据定积分的几何意义知:车在某段时间行驶的路程就是该时间段速度函数的定积分,即速度函数v(t)的图象与t轴以及时间段围成区域的面积.从图象知:在t0时刻,v甲的图象与t轴和t=0,t=t0围成区域的面积大于v乙的图象与t轴和t=0,t=t0围成区域的面积,因此,在t0时刻,甲车在乙车的前面,而且此时乙车的速度刚刚赶上甲车的速度,所以选项C,D错误;同样,在t1时刻,v甲的图象与t轴和t=t1围成区域的面积,仍然大于v乙的图象与t轴和t=t1围成区域的面积,所以,可以断定:在t1时刻,甲车还是在乙车的前面.所以选 A.5.(2012·日照模拟)向平面区域Ω={(x,y)|-π4≤x≤π4,0≤y≤1}随机投掷一点,该点落在曲线y=cos2x下方的概率是( )A.π4B.12C.π2-1 D.2π[答案] D[解读]平面区域Ω是矩形区域,其面积是π2,在这个区6. (sinx-cosx)dx的值是( )A.0 B.π4C.2 D.-2[答案] D[解读] (sinx-cosx)dx=(-cosx-sinx) =-2. 7.(2010·模拟)2(2-|1-x|)dx=________.[答案] 3[解读] ∵y=1+x 0≤x≤13-x 1<x≤2,∴02(2-|1-x|)dx =01(1+x)dx +12(3-x)dx =(x +12x2)|10+(3x -12x2)|21=32+32=3.8.(2010·十二中)已知函数f(x)=3x2+2x +1,若1-1f(x)dx =2f(a)成立,则a =________.[答案] -1或13[解读]∵1-1f(x)dx=1-1(3x2+2x +1)dx =(x3+x2+x)|1-1=4,1-1f(x)dx =2f(a),∴6a2+4a +2=4,∴a =-1或13.9.已知a =∫π20(sinx +cosx)dx ,则二项式(ax -1x)6的展开式中含x2项的系数是________.[答案] -192 [解读]由已知得a =∫π20(sinx +cosx)dx =(-cosx +sinx)|π20=(sin π2-cos π2)-(sin0-cos0)=2,(2x -1x)6的展开式中第r +1项是Tr +1=(-1)r ×Cr 6×26-r ×x3-r ,令3-r =2得,r =1,故其系数为(-1)1×C16×25=-192. 10.有一条直线与抛物线y =x2相交于A 、B 两点,线段AB 与抛物线所围成图形的面积恒等于43,求线段AB 的中点P 的轨迹方程.[解读]设直线与抛物线的两个交点分别为A(a ,a2),B(b ,b2),不妨设a<b ,则直线AB 的方程为y -a2=b2-a2b -a (x -a),即y =(a +b)x -ab.则直线AB 与抛物线围成图形的面积为S =ab[(a +b)x -ab -x2]dx =(a +b 2x2-abx -x33)|ba =16(b -a)3,∴16(b -a)3=43,解得b -a =2.设线段AB 的中点坐标为P(x ,y),其中x =a +b 2,y =a2+b22.将b -a =2代入得x =a +1,y =a2+2a +2.消去a 得y =x2+1.∴线段AB 的中点P 的轨迹方程为y =x2+1. 能力拓展提升11.(2012·二测)等比数列{an}中,a3=6,前三项和S3=034xdx ,则公比q 的值为( )A .1B .-12C .1或-12D .-1或-12[答案] C [解读]因为S3=34xdx =2x2|30=18,所以6q +6q2+6=18,化简得2q2-q -1=0,解得q =1或q =-12,故选 C.12.(2012·模拟)已知(xlnx)′=lnx +1,则1elnxdx =( )A .1B .eC .e -1D .e +1 [答案] A[解读]由(xlnx)′=lnx +1,联想到(xlnx -x)′=(lnx +1)-1=lnx ,于是1elnxdx=(xlnx -x)|e1=(elne -e)-(1×ln1-1)=1.13.抛物线y2=2x 与直线y =4-x 围成的平面图形的面积为________.[答案] 18 [解读]由方程组y2=2x ,y =4-x ,解得两交点A(2,2)、B(8,-4),选y 作为积分变量x=y22、x =4-y ,∴S =-42 [(4-y)-y22]dy =(4y -y22-y36)|2-4=18.14.已知函数f(x)=ex -1,直线l1:x =1,l2:y =et -1(t 为常数,且0≤t ≤1).直线l1,l2与函数f(x)的图象围成的封闭图形如图中区域Ⅱ所示,其面积用S2表示.直线l2,y 轴与函数f(x)的图象围成的封闭图形如图中区域Ⅰ所示,其面积用S1表示.当t 变化时,阴影部分的面积的最小值为________.[答案] (e -1)2[解读] 由题意得S1+S2=t(et -1-ex +1)dx +t1(ex -1-et +1)dx =0t(et -ex)dx +t1(ex -et)dx =(xet -ex)|t 0+(ex -xet)|1t =(2t -3)et +e +1,令g(t)=(2t -3)et +e +1(0≤t ≤1),则g ′(t)=2et +(2t -3)et =(2t -1)et ,令g ′(t)=0,得t =12,∴当t ∈[0,12)时,g ′(t)<0,g(t)是减函数,当t ∈(12,1]时,g ′(t)>0,g(t)是增函数,因此g(t)的最小值为g(12)=e +1-2e 12=(e -1)2.故阴影部分的面积的最小值为(e -1)2.15.求下列定积分.(1)1-1|x|dx 。
定积分与微积分基本定理(理)基础巩固强化1.求曲线y =x 2与y =x 所围成图形的面积,其中正确的是( ) A .S =⎠⎛01(x 2-x )d xB .S =⎠⎛01(x -x 2)d xC .S =⎠⎛01(y 2-y )d yD .S =⎠⎛01(y -y )d y[答案] B[分析] 根据定积分的几何意义,确定积分上、下限和被积函数. [解析] 两函数图象的交点坐标是(0,0),(1,1),故积分上限是1,下限是0,由于在[0,1]上,x ≥x 2,故函数y =x 2与y =x 所围成图形的面积S =⎠⎛01(x -x 2)d x .2.如图,阴影部分面积等于()A .2 3B .2- 3 C.323 D.353[答案] C[解析] 图中阴影部分面积为S =⎠⎛-31(3-x 2-2x )d x =(3x -13x 3-x 2)|1-3=323. 3.⎠⎛024-x 2d x =( )A .4πB .2πC .π D.π2[答案] C [解析] 令y =4-x 2,则x 2+y 2=4(y ≥0),由定积分的几何意义知所求积分为图中阴影部分的面积,∴S =14×π×22=π.4.已知甲、乙两车由同一起点同时出发,并沿同一路线(假定为直线)行驶.甲车、乙车的速度曲线分别为v 甲和v 乙(如图所示).那么对于图中给定的t 0和t 1,下列判断中一定正确的是( )A .在t 1时刻,甲车在乙车前面B .在t 1时刻,甲车在乙车后面C .在t 0时刻,两车的位置相同D .t 0时刻后,乙车在甲车前面 [答案] A[解析] 判断甲、乙两车谁在前,谁在后的问题,实际上是判断在t 0,t 1时刻,甲、乙两车行驶路程的大小问题.根据定积分的几何意义知:车在某段时间内行驶的路程就是该时间段内速度函数的定积分,即速度函数v (t )的图象与t 轴以及时间段围成区域的面积.从图象知:在t 0时刻,v 甲的图象与t 轴和t =0,t =t 0围成区域的面积大于v 乙的图象与t 轴和t =0,t =t 0围成区域的面积,因此,在t 0时刻,甲车在乙车的前面,而且此时乙车的速度刚刚赶上甲车的速度,所以选项C ,D 错误;同样,在t 1时刻,v 甲的图象与t 轴和t =t 1围成区域的面积,仍然大于v 乙的图象与t 轴和t =t 1围成区域的面积,所以,可以断定:在t 1时刻,甲车还是在乙车的前面.所以选A.5.向平面区域Ω={(x ,y )|-π4≤x ≤π4,0≤y ≤1}内随机投掷一点,该点落在曲线y =cos2x 下方的概率是( )A.π4B.12C.π2-1 D.2π[答案] D[解析] 平面区域Ω是矩形区域,其面积是π2,在这个区6.的值是( )A .0 B.π4 C .2 D .-2 [答案] D[解析] 2(cos sin )2x x ππ---=2(cos sin )2x x ππ---=-2. 7.⎠⎛02(2-|1-x |)d x =________.[答案] 3 [解析]∵y =⎩⎨⎧1+x 0≤x ≤13-x 1<x ≤2,∴⎠⎛02(2-|1-x |)d x =⎠⎛01(1+x )d x +⎠⎛12(3-x )d x=(x +12x 2)|10+(3x -12x 2)|21=32+32=3. 9.已知a =20(sin cos )x x dx π+⎰,则二项式(a x -1x)6的展开式中含x 2项的系数是________.[答案] -192[解析] 由已知得a =20(sin cos )x x dx π+⎰=(-cos x +sin x )|π20=(sin π2-cos π2)-(sin0-cos0)=2,(2x -1x)6的展开式中第r +1项是T r +1=(-1)r ×C r 6×26-r×x 3-r ,令3-r =2得,r =1,故其系数为(-1)1×C 16×25=-192.10.有一条直线与抛物线y =x 2相交于A 、B 两点,线段AB 与抛物线所围成图形的面积恒等于43,求线段AB 的中点P 的轨迹方程.[解析] 设直线与抛物线的两个交点分别为A (a ,a 2),B (b ,b 2),不妨设a <b ,则直线AB 的方程为y -a 2=b 2-a2b -a(x -a ),即y =(a +b )x -ab .则直线AB 与抛物线围成图形的面积为S =⎠⎛ab [(a +b )x -ab -x 2]d x=(a +b 2x 2-abx -x 33)|b a =16(b -a )3,∴16(b -a )3=43,解得b -a =2.设线段AB 的中点坐标为P (x ,y ), 其中⎩⎪⎨⎪⎧x =a +b 2,y =a 2+b 22.将b -a =2代入得⎩⎨⎧x =a +1,y =a 2+2a +2.消去a 得y =x 2+1.∴线段AB 的中点P 的轨迹方程为y =x 2+1.能力拓展提升11.等比数列{a n }中,a 3=6,前三项和S 3=⎠⎛034x d x ,则公比q 的值为( )A .1B .-12C .1或-12 D .-1或-12[答案] C [解析] 因为S 3=⎠⎛34x d x =2x 2|30=18,所以6q +6q2+6=18,化简得2q 2-q -1=0,解得q =1或q =-12,故选C.12.已知(x ln x )′=ln x +1,则⎠⎛1e ln x d x =( )A .1B .eC .e -1D .e +1 [答案] A[解析] 由(x ln x )′=ln x +1,联想到(x ln x -x )′=(ln x +1)-1=ln x ,于是⎠⎛1e ln x d x =(x ln x -x )|e 1=(e ln e -e )-(1×ln1-1)=1.13.抛物线y 2=2x 与直线y =4-x 围成的平面图形的面积为________.[答案] 18 [解析]由方程组⎩⎨⎧y 2=2x ,y =4-x ,解得两交点A (2,2)、B (8,-4),选y 作为积分变量x =y 22、x =4-y ,∴S =⎠⎛-42 [(4-y )-y 22]dy =(4y -y 22-y 36)|2-4=18.14.已知函数f (x )=e x -1,直线l 1:x =1,l 2:y =e t -1(t 为常数,且0≤t ≤1).直线l 1,l 2与函数f (x )的图象围成的封闭图形如图中区域Ⅱ所示,其面积用S 2表示.直线l 2,y 轴与函数f (x )的图象围成的封闭图形如图中区域Ⅰ所示,其面积用S 1表示.当t 变化时,阴影部分的面积的最小值为________.[答案] (e -1)2[解析] 由题意得S 1+S 2=⎠⎛0t (e t -1-e x +1)d x +⎠⎛t1(e x -1-e t +1)d x =⎠⎛0t (e t -e x )d x +⎠⎛t1(e x -e t )d x =(xe t -e x )|t 0+(e x -xe t )|1t =(2t -3)e t +e+1,令g (t )=(2t -3)e t +e +1(0≤t ≤1),则g ′(t )=2e t +(2t -3)e t =(2t -1)e t ,令g ′(t )=0,得t =12,∴当t ∈[0,12)时,g ′(t )<0,g (t )是减函数,当t ∈(12,1]时,g ′(t )>0,g (t )是增函数,因此g (t )的最小值为g (12)=e +1-2e 12=(e -1)2.故阴影部分的面积的最小值为(e -1)2.15.求下列定积分. (1)⎠⎛1-1|x |d x;(2)⎠⎛0πcos 2x2d x ;(3)∫e +121x -1d x . [解析] (1)⎠⎛1-1|x |d x =2⎠⎛01x d x =2×12x 2|10=1.(2)⎠⎛0πcos 2x2d x =⎠⎛0π1+cos x 2d x =12x |π0+12sin x |π=π2. (3)∫e +121x -1d x =ln(x -1)|e +12=1.16.已知函数f (x )=-x 3+ax 2+bx (a ,b ∈R )的图象如图所示,它与x 轴在原点处相切,且x 轴与函数图象所围区域(图中阴影部分)的面积为112,求a 的值.[解析] f ′(x )=-3x 2+2ax +b ,∵f ′(0)=0,∴b =0, ∴f (x )=-x 3+ax 2,令f (x )=0,得x =0或x =a (a <0). ∴S 阴影=⎠⎛a0[0-(-x 3+ax 2)]d x=(14x 4-13ax 3)|0a =112a 4=112, ∵a <0,∴a =-1.1.已知函数f (x )=sin 5x +1,根据函数的性质、积分的性质和积分的几何意义,探求22()f x dx ππ-⎰的值,结果是( )A.16+π2 B .π C .1 D .0 [答案] B[解析] 22()f x dx ππ-⎰=22ππ-⎰sin 5x d x +22ππ-⎰1d x ,由于函数y =sin 5x 是奇函数,所以22ππ-⎰sin 5x d x =0,而22ππ-⎰1d x =x |π2-π2=π,故选B.2.若函数f (x )=⎩⎨⎧-x -1 (-1≤x <0),cos x (0≤x <π2),的图象与坐标轴所围成的封闭图形的面积为a ,则a 的值为( )A.2+π4B.12 C .1 D.32[答案] D[解析] 由图可知a =12+⎠⎜⎜⎛0π2cos x d x =12+sin x |π20=32.3.对任意非零实数a 、b ,若a ⊗b 的运算原理如图所示,则2⊗⎠⎛0πsin x d x =________.[答案] 22[解析] ∵⎠⎛0πsin x d x =-cos x |π0=2>2, ∴2⊗⎠⎛0πsin x d x =2⊗2=2-12=22. 4.设函数f (x )=ax 2+c (a ≠0),若⎠⎛01f (x )d x =f (x 0),0≤x 0≤1,则x 0的值为________.[答案] 33[解析] ⎠⎛01f (x )d x =⎠⎛01(ax 2+c )d x =(ax 33+cx )|10=a 3+c ,故a 3+c =ax 20+c ,即ax 20=a 3,又a ≠0,所以x 20=13,又0≤x 0≤1,所以x 0=33.故填33.5.设n =⎠⎛12(3x 2-2)d x ,则(x -2x )n 展开式中含x 2项的系数是________.[答案] 40[解析] ∵(x 3-2x )′=3x 2-2,∴n =⎠⎛12(3x 2-2)d x =(x 3-2x )|21 =(23-2×2)-(1-2)=5.∴(x -2x )5的通项公式为T r +1=C r 5x 5-r (-2x)r =(-2)r C r 5x 5-3r 2 ,令5-3r 2=2,得r =2, ∴x 2项的系数是(-2)2C 25=40.。
1.设连续函数f(x)>0,则当a<b 时,定积分∫()b a f x dx 的符号( ) A.一定是正的 B.一定是负的C.当0<a<b 时是正的,当a<b<0时是负的D.以上结论都不对 【答案】 A【解析】 由∫()b a f x dx 的几何意义及f(x)>0,可知∫()ba f x 表示x=a,x=b,y=0与y=f(x)围成的曲边梯形的面积. ∴∫()b a f x dx>0.2. ∫22ππ- (1+cosx)dx 等于( )A.πB.2C.π-2D.π+2【答案】 D【解析】 ∫22ππ-(1+cosx)dx=(x+sinx)|22ππ-2(π=+sin 22)[ππ--+sin 2()]2π-=+π. 3.用S 表示图中阴影部分的面积,则S 的值是( )A. ∫()c a f x dxB.| ∫()c a f x dx|C. ∫()b a f x dx+∫()cb f x dxD. ∫()cb f x dx-∫()b a f x dx【答案】 D【解析】 由定积分的几何意义知选项D 正确.4.(2012山东荷泽模拟)设函数()mf x x ax =+的导函数则∫21()f x -dx 的值等于( ) A.56 B.12 C.23 D.16【答案】 A【解析】 由于()m f x x ax =+的导函数为f′(x)=2x+1,所以2()f x x x =+,于是∫21()f x -dx=∫221()x x -313(x -212)x |2516=.5.直线y=2x+3与抛物线2y x =所围成的图形面积为 . 【答案】323【解析】 由 223y x y x =+,⎧⎨=,⎩得1213x x =-,=. ∴面积S=∫31(23)x -+dx-∫321x -dx 2(3)x x =+|33113x --|33213-=. 1. ∫412x dx 等于( )A.-2ln2B.2ln2C.-ln2D.ln2【答案】 D【解析】 ∫412x dx=lnx |42=ln4-ln2=ln2.2.(2011福建高考,理5) ∫10(e 2)xx +dx 等于( ) A.1B.e-1 C.e D.e+1【答案】 C【解析】 ∵被积函数e 2x x +的一个原函数为e 2xx +,∴∫10(e 2)x x +dx=(e 2)x x +|10(=e 121)(+-e 0+3.已知f(x)= 210101x x x ⎧,-≤≤,⎨,<<,⎩则∫11()f x -dx 的值为 ( )A.32B.23-C.23D.43【答案】 D【解析】 ∫11()f x -dx=∫021x -dx+∫101dx 313x=|01x -+|10 14331=+=.4.函数f(x)= 2110cosx 0x x x π+,-≤<,⎧⎨,≤≤⎩ 的图象与x 轴所围成的封闭图形的面积为( ) A.32B.1C.2D.12【答案】 A【解析】 根据定积分的几何意义结合图形可得所求的封闭图形的面积为1211S =⨯⨯+∫20πcosxdx 12=+sinx |2π12=+sin 2π-sin032=.5.函数y=∫(x x -cos 22)t t ++dt( )A.是奇函数B.是偶函数C.是非奇非偶函数D.以上都不正确【答案】 A【解析】 y=(sin 332)t t t ++|2xx -=sin 3234x x x ++,为奇函数6.(2011湖南高考,理6)由直线330x x y ππ=-,=,=与曲线y=cos x 所围成的封闭图形的面积为( ) A.12 B.1【答案】 D【解析】 结合图形可得:S=∫33ππ-cosxdx=sin x |33ππ-3π-3()π-=7.由曲线32y x y x =,=围成的封闭图形的面积为( )A.112B.14C.13D.712【答案】 A【解析】 因为2y x =与3y x =的交点为(0,0),(1,1), 故所求封闭图形的面积为∫102x dx-∫103x d 313x x =|10414x -|101113412=-=,选A.8.曲线1x y =与直线y=x,x=2所围成的图形面积为 . 【答案】32-ln2【解析】 S=∫211()x x -d 212(x x =-lnx)|2312=-ln2. 9.如果∫10()f x dx=1, ∫20()f x dx=-1,则∫21()f x dx= .【答案】 -2【解析】 ∵∫20()f x dx=∫10()f x dx+∫21()f x dx, ∴∫21()f x dx=∫20()f x dx-∫10()f x dx=-1-1=-2.10.由曲线2y x =和直线2(01)t t ,∈,所围成的图形(阴影部分)的面积的最小值为 .【答案】14【解析】 围成图形的阴影部分的面积3S t =-∫20t x dx+∫12t x dx 2324133(1)t t t t --=-+.令S′2420t t =-=,解得12t =或t=0(舍去).可判断当12t =时S 最小1min 4S ,=.11.计算下列定积分.(1) ∫2211(2)x x -dx;(2) ∫322dx;(3) ∫30π(sinx-sin2x)dx.【解】 (1) ∫2211(2)x x -d 323(x x =-lnx)|21 163=-ln 214332-=-ln2.(2) ∫322dx=∫312(2)x x ++dx212(x =+lnx+2x)|32 92(=+ln3+6)-(2+ln2+4)=ln 3922+.(3) ∫30π(sinx-sin2x)dx=(-cos 12x +cos2x)|30π11112424()(1)=----+=-.12.已知f(x)为二次函数,且f(-∫10()f x -2.(1)求f(x)的解析式;(2)求f(x)在[-1,1]上的最大值与最小值.【解】 (1)设2()(0)f x ax bx c a =++≠,则f′(x)=2ax+b. 由f(-1)=2,f′(0)=0,得 20a b c b -+=,⎧⎨=⎩即20c a b =-,⎧⎨=.⎩∴2()(2)f x ax a =+-.又∫10()f x dx=∫120[(2)]ax a +-dx 313[(2)]ax a x =+-|120322a =-=-. ∴a=6,c=-4.从而2()64f x x =-. (2)∵2()64[11]f x x x =-,∈-,, ∴当x=0时min ()4f x ,=-; 当1x =±时max()2f x =.13.如图所示,直线y=kx 分抛物线2y x x =-与x 轴所围图形为面积相等的两部分,求k 的值.【解】 抛物线2y x x =-与x 轴两交点的横坐标为1201x x =,=, 所以,抛物线与x 轴所围图形的面积S=∫120()x x -d 23123()x x x =-|1106=.又由 2y x x y kx ⎧=-,⎨=,⎩ 可得抛物线2y x x =-与y=kx 两交点的横坐标为3401x x k =,=-,所以,2S =∫120()k x x kx ---d 231123()k x x x -=-|13106(1)k k -=-.又知16S =,所以312(1)k -=,于是11k ==14.一条水渠横断面为抛物线型,如图,渠宽AB=4米,渠深CO=2米,当水面距地面0.5米时,求水的横断面的面积.【解】 如图,建立直角坐标系,设抛物线方程为22x py =,代入(2,2)得2p=2,∴22x y =.将点(x,1.5)代入22x y =得x =∴水的横断面的面积为S=(1.2125)x -dx=(1.3165)x x -|.∴水的横断面的面积为平方米.。
定积分与微积分基本定理一、选择题1、已知和式当n→+∞时,无限趋近于一个常数A,则A可用定积分表示为() A. B. C. D.2、下列定积分为1是()A.B.C.D.3、求由围成的曲边梯形的面积时,若选择x为积分变量,则积分区间为()A.[0,] B.[0,2] C.[1,2] D.[0,1]4、下列定积分值为1的是()A.B。
C。
D。
5、= ()A.0 B。
C.D。
6、设连续函数f(x)>0,则当a<b时,定积分的符号()A.一定是正的 B.当0<a<b时为正,当a<b<0时为负C.一定是负的 D.当0<a<b时为负,当a<b<0时为正提示:被积函数为奇函数,且积分区间又关于原点对称,利用定积分的几何意义知,面积的代数和为0。
7、由直线,及x轴所围成平面图形的面积为()A.B。
C.D。
8、若是上的连续偶函数,则()A. B.0 C. D.9、变速直线运动的物体的速度为v(t),初始t=0时所在位置为,则当秒末它所在的位置为()A.B.C.D.10、由直线,及x轴所围成平面图形的面积为()A. B. C.D.11、如果1kg力能拉长弹簧1cm,为了将弹簧拉长6cm,则力所作的功为()A.0.18kg·m B.0.26kg·m C.0.12kg·m D.0.28kg·m12、已知b>a,下列值:,,||的大小关系为()A.||≥≥B.≥||≥C.= ||=D.=||≥13、若与是上的两条光滑曲线,则由这两条曲线及直线x=a, x=b所围图形的面积()A.B.C.D.14、由抛物线和直线x=1所围成的图形的面积等于()A.1 B. C. D.15、如图,阴影部分的面积是()A. B. C.D.16、=() A.5B。
4 C。
3 D。
217、= ()A. B. C.D.18、=()A.B。
C。
D。
19、若,且a>1,则a的值为() A.6 B。
1.4定积分与微积分基本定理练习题及答案1.(2011·一中月考)求曲线y =x2与y =x 所围成图形的面积,其中正确的是( ) A .S =⎠⎛01(x2-x)dx B .S =⎠⎛01(x -x2)dxC .S =⎠⎛01(y2-y)dyD .S =⎠⎛01(y -y)dy [答案] B[分析] 根据定积分的几何意义,确定积分上、下限和被积函数.[解读] 两函数图象的交点坐标是(0,0),(1,1),故积分上限是1,下限是0,由于在[0,1]上,x ≥x2,故函数y =x2与y =x 所围成图形的面积S =⎠⎛01(x -x2)dx.2.(2010·日照模考)a =⎠⎛02xdx ,b =⎠⎛02exdx ,c =⎠⎛02sinxdx ,则a 、b 、c 的大小关系是( )A .a<c<bB .a<b<cC .c<b<aD .c<a<b [答案] D[解读] a =⎠⎛02xdx =12x2|02=2,b =⎠⎛02exdx =ex|02=e2-1>2,c =⎠⎛02sinxdx =-cosx|02=1-cos2∈(1,2),∴c<a<b.3.(2010·理,7)由曲线y =x2,y =x3围成的封闭图形面积为( ) A.112B.14C.13D.712 [答案] A[解读] 由⎩⎪⎨⎪⎧y =x2y =x3得交点为(0,0),(1,1).∴S =⎠⎛01(x2-x3)dx =⎪⎪⎪⎝ ⎛⎭⎪⎫13x3-14x401=112.[点评] 图形是由两条曲线围成的时,其面积是上方曲线对应函数表达式减去下方曲线对应函数表达式的积分,请再做下题:(2010·师大附中)设点P 在曲线y =x2上从原点到A(2,4)移动,如果把由直线OP ,直线y =x2及直线x =2所围成的面积分别记作S1,S2.如图所示,当S1=S2时,点P 的坐标是( )A.⎝ ⎛⎭⎪⎫43,169B.⎝ ⎛⎭⎪⎫45,169 C.⎝ ⎛⎭⎪⎫43,157 D.⎝ ⎛⎭⎪⎫45,137 [答案] A[解读] 设P(t ,t2)(0≤t ≤2),则直线OP :y =tx ,∴S1=⎠⎛0t (tx -x2)dx =t36;S2=⎠⎛t 2(x2-tx)dx =83-2t +t36,若S1=S2,则t =43,∴P ⎝ ⎛⎭⎪⎫43,169.4.由三条直线x =0、x =2、y =0和曲线y =x3所围成的图形的面积为( ) A .4 B.43C.185D .6[答案] A[解读] S =⎠⎛02x3dx =⎪⎪⎪x4402=4. 5.(2010·省考试院调研)⎠⎛1-1(sinx +1)dx 的值为( )A .0B .2C .2+2cos1D .2-2cos1 [答案] B[解读] ⎠⎛1-1(sinx +1)dx =(-cosx +x)|-11=(-cos1+1)-(-cos(-1)-1)=2.6.曲线y =cosx(0≤x ≤2π)与直线y =1所围成的图形面积是( ) A .2π B .3π C.3π2D .π [答案] A [解读] 如右图, S =∫02π(1-cosx)dx =(x -sinx)|02π=2π.[点评] 此题可利用余弦函数的对称性①②③④面积相等解决,但若把积分区间改为⎝ ⎛⎭⎪⎫π6,π,则对称性就无能为力了. 7.函数F(x)=⎠⎛0xt(t -4)dt 在[-1,5]上( )A .有最大值0,无最小值B .有最大值0和最小值-323C .有最小值-323,无最大值D .既无最大值也无最小值 [答案] B[解读] F ′(x)=x(x -4),令F ′(x)=0,得x1=0,x2=4, ∵F(-1)=-73,F(0)=0,F(4)=-323,F(5)=-253.∴最大值为0,最小值为-323. [点评] 一般地,F(x)=⎠⎛0x φ(t)dt 的导数F ′(x)=φ(x).8.已知等差数列{an}的前n 项和Sn =2n2+n ,函数f(x)=⎠⎛1x 1t dt ,若f(x)<a3,则x的取值围是( )A.⎝⎛⎭⎪⎫36,+∞B .(0,e21) C .(e -11,e) D .(0,e11) [答案] D[解读] f(x)=⎠⎛1x 1t dt =lnt|1x =lnx ,a3=S3-S2=21-10=11,由lnx<11得,0<x<e11.9.(2010·一中)如图所示,在一个长为π,宽为2的矩形OABC ,曲线y =sinx(0≤x ≤π)与x 轴围成如图所示的阴影部分,向矩形OABC 随机投一点(该点落在矩形OABC 任何一点是等可能的),则所投的点落在阴影部分的概率是( )A.1πB.2πC.3πD.π4 [答案] A[解读] 由图可知阴影部分是曲边图形,考虑用定积分求出其面积.由题意得S =⎠⎛0πsinxdx =-cosx|0π=-(cos π-cos0)=2,再根据几何概型的算法易知所求概率P =S S 矩形OABC =22π=1π.10.(2010·质检)函数f(x)=⎩⎪⎨⎪⎧x +2-2≤x<02cosx 0≤x ≤π2的图象与x 轴所围成的图形面积S为( )A.32B .1 C .4 D.12 [答案] C[解读] 面积S =∫π2-2f(x)dx =⎠⎛0-2(x +2)dx +∫π202cosxdx =2+2=4.11.(2010·二十中)设函数f(x)=x -[x],其中[x]表示不超过x 的最大整数,如[-1.2]=-2,[1.2]=1,[1]=1.又函数g(x)=-x3,f(x)在区间(0,2)上零点的个数记为m ,f(x)与g(x)的图象交点的个数记为n ,则⎠⎛mn g(x)dx 的值是( )A .-52B .-43C .-54D .-76[答案] A[解读] 由题意可得,当0<x<1时,[x]=0,f(x)=x ,当1≤x<2时,[x]=1,f(x)=x -1,所以当x ∈(0,2)时,函数f(x)有一个零点,由函数f(x)与g(x)的图象可知两个函数有4个交点,所以m =1,n =4,则⎠⎛m n g(x)dx =⎠⎛14⎝ ⎛⎭⎪⎫-x 3dx =⎪⎪⎪-x2614=-52.11.(2010·调研)甲、乙两人进行一项游戏比赛,比赛规则如下:甲从区间[0,1]上随机等可能地抽取一个实数记为b ,乙从区间[0,1]上随机等可能地抽取一个实数记为c(b 、c 可以相等),若关于x 的方程x2+2bx +c =0有实根,则甲获胜,否则乙获胜,则在一场比赛中甲获胜的概率为( )A.13B.23C.12D.34 [答案] A[解读] 方程x2+2bx +c =0有实根的充要条件为Δ=4b2-4c ≥0,即b2≥c ,由题意知,每场比赛中甲获胜的概率为p =⎠⎛01b2db 1×1=13.12.(2010·省调研)已知正方形四个顶点分别为O(0,0),A(1,0),B(1,1),C(0,1),曲线y =x2(x ≥0)与x 轴,直线x =1构成区域M ,现将一个质点随机地投入正方形中,则质点落在区域M 的概率是( )A.12B.14C.13D.25 [答案] C[解读] 如图,正方形面积1,区域M 的面积为S =⎠⎛01x2dx=13x3|01=13,故所求概率p =13.2.如图,阴影部分面积等于( )A .23B .2- 3 C.323D.353 [答案] C[解读] 图中阴影部分面积为S =⎠⎛-31 (3-x2-2x)dx =(3x -13x3-x2)|1-3=323.3.⎠⎛024-x2dx =( )A .4πB .2πC .π D.π2[答案] C[解读] 令y=4-x2,则x2+y2=4(y≥0),由定积分的几何意义知所求积分为图中阴影部分的面积,∴S=14×π×22=π.4.已知甲、乙两车由同一起点同时出发,并沿同一路线(假定为直线)行驶.甲车、乙车的速度曲线分别为v甲和v乙(如图所示).那么对于图中给定的t0和t1,下列判断中一定正确的是( )A.在t1时刻,甲车在乙车前面B.在t1时刻,甲车在乙车后面C.在t0时刻,两车的位置相同D.t0时刻后,乙车在甲车前面[答案] A[解读] 判断甲、乙两车谁在前,谁在后的问题,实际上是判断在t0,t1时刻,甲、乙两车行驶路程的大小问题.根据定积分的几何意义知:车在某段时间行驶的路程就是该时间段速度函数的定积分,即速度函数v(t)的图象与t轴以及时间段围成区域的面积.从图象知:在t0时刻,v 甲的图象与t 轴和t =0,t =t0围成区域的面积大于v 乙的图象与t 轴和t =0,t =t0围成区域的面积,因此,在t0时刻,甲车在乙车的前面,而且此时乙车的速度刚刚赶上甲车的速度,所以选项C ,D 错误;同样,在t1时刻,v 甲的图象与t 轴和t =t1围成区域的面积,仍然大于v 乙的图象与t 轴和t =t1围成区域的面积,所以,可以断定:在t1时刻,甲车还是在乙车的前面.所以选A.5.(2012·日照模拟)向平面区域Ω={(x ,y)|-π4≤x ≤π4,0≤y ≤1}随机投掷一点,该点落在曲线y =cos2x 下方的概率是( )A.π4B.12 C.π2-1 D.2π [答案] D [解读]平面区域Ω是矩形区域,其面积是π2,在这个区6. (sinx -cosx)dx 的值是( )A .0 B.π4 C .2 D .-2[答案] D[解读] (sinx -cosx)dx =(-cosx -sinx) =-2.7.(2010·模拟)⎠⎛02(2-|1-x|)dx =________.[答案] 3[解读] ∵y =⎩⎪⎨⎪⎧1+x 0≤x ≤13-x 1<x ≤2,∴⎠⎛02(2-|1-x|)dx =⎠⎛01(1+x)dx +⎠⎛12(3-x)dx=(x +12x2)|10+(3x -12x2)|21=32+32=3.8.(2010·十二中)已知函数f(x)=3x2+2x +1,若⎠⎛1-1f(x)dx =2f(a)成立,则a =________.[答案] -1或13[解读] ∵⎠⎛1-1f(x)dx =⎠⎛1-1(3x2+2x +1)dx =(x3+x2+x)|1-1=4,⎠⎛1-1f(x)dx =2f(a),∴6a2+4a +2=4,∴a =-1或13.9.已知a =∫π20(sinx +cosx)dx ,则二项式(a x -1x )6的展开式中含x2项的系数是________.[答案] -192[解读] 由已知得a =∫π20(sinx +cosx)dx =(-cosx +sinx)|π20=(sin π2-cos π2)-(sin0-cos0)=2,(2x -1x)6的展开式中第r +1项是Tr +1=(-1)r ×Cr 6×26-r ×x3-r ,令3-r =2得,r =1,故其系数为(-1)1×C16×25=-192.10.有一条直线与抛物线y =x2相交于A 、B 两点,线段AB 与抛物线所围成图形的面积恒等于43,求线段AB 的中点P 的轨迹方程.[解读] 设直线与抛物线的两个交点分别为A(a ,a2),B(b ,b2),不妨设a<b , 则直线AB 的方程为y -a2=b2-a2b -a(x -a), 即y =(a +b)x -ab.则直线AB 与抛物线围成图形的面积为S =⎠⎛a b[(a +b)x -ab -x2]dx =(a +b2x2-abx -x33)|b a =16(b -a)3,∴16(b -a)3=43, 解得b -a =2.设线段AB 的中点坐标为P(x ,y),其中⎩⎪⎨⎪⎧x =a +b 2,y =a2+b22.将b -a =2代入得⎩⎪⎨⎪⎧x =a +1,y =a2+2a +2.消去a 得y =x2+1.∴线段AB 的中点P 的轨迹方程为y =x2+1.能力拓展提升11.(2012·二测)等比数列{an}中,a3=6,前三项和S3=⎠⎛034xdx ,则公比q 的值为( )A .1B .-12C .1或-12D .-1或-12[答案] C[解读] 因为S3=⎠⎛034xdx =2x2|30=18,所以6q +6q2+6=18,化简得2q2-q -1=0,解得q =1或q =-12,故选C.12.(2012·模拟)已知(xlnx)′=lnx +1,则⎠⎛1elnxdx =( )A .1B .eC .e -1D .e +1 [答案] A[解读] 由(xlnx)′=lnx +1,联想到(xlnx -x)′=(lnx +1)-1=lnx ,于是⎠⎛1elnxdx =(xlnx -x)|e 1=(elne -e)-(1×ln1-1)=1.13.抛物线y2=2x 与直线y =4-x 围成的平面图形的面积为________. [答案] 18[解读] 由方程组⎩⎪⎨⎪⎧y2=2x ,y =4-x ,解得两交点A(2,2)、B(8,-4),选y 作为积分变量x =y22、x =4-y ,∴S =⎠⎛-42 [(4-y)-y22]dy =(4y -y22-y36)|2-4=18.14.已知函数f(x)=ex -1,直线l1:x =1,l2:y =et -1(t 为常数,且0≤t ≤1).直线l1,l2与函数f(x)的图象围成的封闭图形如图中区域Ⅱ所示,其面积用S2表示.直线l2,y 轴与函数f(x)的图象围成的封闭图形如图中区域Ⅰ所示,其面积用S1表示.当t 变化时,阴影部分的面积的最小值为________.[答案] (e -1)2[解读] 由题意得S1+S2=⎠⎛0t (et -1-ex +1)dx +⎠⎛t 1(ex -1-et +1)dx =⎠⎛0t (et -ex)dx+⎠⎛t 1(ex -et)dx =(xet -ex)|t 0+(ex -xet)|1t =(2t -3)et +e +1,令g(t)=(2t -3)et +e +1(0≤t ≤1),则g ′(t)=2et +(2t -3)et =(2t -1)et ,令g ′(t)=0,得t =12,∴当t ∈[0,12)时,g ′(t)<0,g(t)是减函数,当t ∈(12,1]时,g ′(t)>0,g(t)是增函数,因此g(t)的最小值为g(12)=e +1-2e 12=(e -1)2.故阴影部分的面积的最小值为(e -1)2. 15.求下列定积分.(1)⎠⎛1-1|x|dx 。
课时规范练17定积分与微积分基本定理课时规范练第33页一、选择题1.设函数f(x)=x m+ax的导函数f'(x)=2x+1,则f(-x)d x的值等于( )A. B. C. D.答案:A解析:由于f(x)=x m+ax的导函数为f'(x)=2x+1,所以f(x)=x2+x,于是f(-x)d x=(x2-x)d x=.2.设a=d x,b=1-d x,c=x3d x,则a,b,c的大小关系为( )A.a>b>cB.b>a>cC.a>c>bD.b>c>a答案:A解析:由题意可得a=d x=;b=1-d x=1-=1-;c=x3d x=,综上知a>b>c,故选A.3.设f(x)=f(x)d x的值是( )A.x2d xB.2x d xC.x2d x+2x d xD.2x d x+x2d x答案:D解析:由分段函数的定义及积分运算的性质知,f(x)d x=f(x)d x+f(x)d x=2x d x+x2d x.4.一质点运动时速度与时间的关系为v(t)=t2-t+2,质点做直线运动,则此质点在时间[1,2]内的位移为( )A. B. C. D.答案:A解析:s=(t2-t+2)d t=.5.如图,由函数f(x)=e x-e的图象,直线x=2及x轴所围成的阴影部分面积等于( )A.e2-2e-1B.e2-2eC.D.e2-2e+1答案:B解析:面积S=f(x)d x=(e x-e)d x=(e x-e x)=(e2-2e)-(e1-e)=e2-2e.6.如图所示,在一个边长为1的正方形AOBC内,曲线y=x2和曲线y=围成一个叶形图(阴影部分所示),向正方形AOBC内随机投一点,则所投的点落在叶形图内部的概率是( )A. B. C. D.答案:D解析:由题意知,题中的正方形区域的面积为12=1,阴影区域的面积等于-x2)d x=,因此所投的点落在叶形图内部的概率等于,故选D.二、填空题7.d x=.答案:π解析:设y=,则x2+y2=4(y≥0),由定积分的几何意义知d x的值等于半径为2的圆的面积的.∴d x=×4π=π.8.(2013湖南高考)若x2d x=9,则常数T的值为.答案:3解析:∵'=x2,∴x2d x=x3T3-0=9,∴T=3.9.已知数列{a n}的前n项和为S n,且a n=d x(n∈N*),则S100=.答案:ln101解析:由题意知a n=ln x=ln(n+1)-ln n,故S100=a1+a2+…+a100=(ln2-ln1)+(ln3-ln2)+…+(ln101-ln100)=-ln1+ln101=ln101.三、解答题10.求由曲线y=x2+2x与直线y=x所围成的封闭图形的面积.解:在平面直角坐标系内,画出曲线y=x2+2x和直线y=x围成的封闭图形,如图所示,由得曲线与直线的两个交点的坐标分别为(-1,-1)和(0,0),故封闭图形的面积为S=[x-(x2+2x)]d x==-.11.已知f(x)为二次函数,且f(-1)=2,f'(0)=0,f(x)d x=-2.(1)求f(x)的解析式;(2)求f(x)在[-1,1]上的最大值与最小值.解:(1)设f(x)=ax2+bx+c(a≠0),则f'(x)=2ax+b.因为f(-1)=2,f'(0)=0,f(x)d x=-2,所以即解得所以f(x)=6x2-4.(2)f(x)=6x2-4,x∈[-1,1],当x=0时,f(x)取得最小值-4;当x=1或x=-1,f(x)取得最大值2.12.已知二次函数f(x)=ax2+bx+c,直线l1:x=2,直线l2:y=-t2+8t(其中0≤t≤2,t为常数).若直线l1,l2与函数f(x)的图象以及l2,y轴与函数f(x)的图象所围成的封闭图形如图阴影部分所示.(1)求a,b,c的值;(2)求阴影部分面积S关于t的函数S(t)的解析式.解:(1)由图形可知二次函数的图象过点(0,0),(8,0),并且f(x)的最大值为16,则解得(2)由(1),得f(x)=-x2+8x,由得x2-8x-t(t-8)=0,∴x1=t,x2=8-t.∵0≤t≤2,∴直线l2与f(x)的图象的交点坐标为(t,-t2+8t).由定积分的几何意义知:S(t)=[(-t2+8t)-(-x2+8x)]d x+[(-x2+8x)-(-t2+8t)]d x =-(-t2+8t)x=-t3+10t2-16t+.所以S(t)=-t3+10t2-16t+(0≤t≤2).希望对大家有所帮助,多谢您的浏览!。
1.4 定积分与微积分基本定理练习题及答案1.(2011·宁夏银川一中月考) 求曲线y= x2与y= x所围成图形的面积,其中正确的是()A. S=1(x2 - x)dx0B. S=1(x -x2)dxC. S=1(y2 - y)dy D0. S=1(y -y)dy[0,1][ 答案 ]B[ 分析 ]根据定积分的几何意义,确定积分上、下限和被积函数.[ 解读 ]两函数图象的交点坐标是(0,0) , (1,1) ,故积分上限是上, x≥ x2,故函数y=x2 与 y=x 所围成图形的面积S=1(x1,下限是-x2)dx.0,由于在2.(2010 ·山东日照模考)a =2xdx,b=2exdx ,c=2sinxdx,则a、 b、c的大小关系是 ()A. a<c<bB. a<b<cC. c<b<aD. c<a<b[ 答案 ]D1[ 解读] a =2xdx =2x2|02 0= 2 , b =2exdx =ex|02 0= e2- 1>2, c=2sinxdx=-cosx|02 = 1- cos2 ∈(1,2),∴c<a<b.3.(2010 ·山东理, 7) 由曲线 y= x2, y= x3 围成的封闭图形面积为() 1117A. 12B. 4C. 3D. 12[ 答案 ]Ay= x2[ 解读 ]由得交点为 (0,0), (1,1) .y= x3111∴ S=1(x2 - x3)dx =3x3 -4x401=12.[ 点评 ]图形是由两条曲线围成的时,其面积是上方曲线对应函数表达式减去下方曲线对应函数表达式的积分,请再做下题:(2010 ·湖南师大附中 ) 设点 P 在曲线 y= x2 上从原点到A(2,4) 移动,如果把由直线OP,直线 y= x2及直线 x= 2 所围成的面积分别记作S1,S2. 如图所示,当S1=S2 时,点 P 的坐标是 ()A.416B.416 3,95,9C.415D.413 3,75,7[ 答案 ]At3 [ 解读 ]设 P(t , t2)(0≤t ≤ 2) ,则直线 OP:y= tx ,∴ S1= t(tx- x2)dx =6;S2=8t344162(x2 - tx)dx=3- 2t +6,若 S1= S2,则 t =3,∴ P 3,9 .t4.由三条直线 x= 0、 x=2、 y= 0 和曲线 y= x3所围成的图形的面积为 () 418A. 4 B.3C. 5 D.6[ 答案 ]Ax4[ 解读 ]S=2x3dx =4 02= 4.5.(2010 ·湖南省考试院调研)1-1(sinx+1)dx的值为()A. 0 B . 2C. 2+2cos1 D . 2- 2cos1[ 答案 ]B[ 解读 ]1-1(sinx+1)dx=(-cosx+x)|-11=(-cos1+1)-(-cos(-1)-1)=2.6.曲线 y= cosx(0 ≤ x≤2π) 与直线y= 1 所围成的图形面积是()A.2π B .3π3πC. 2 D.π[ 答案 ]A[ 解读 ]如右图,S=∫ 02π(1 - cosx)dx=(x -sinx)|02 π= 2π.[ 点评 ]此题可利用余弦函数的对称性①②③④ 面积相等解决,但若把积分区间改为π6 ,π ,则对称性就无能为力了.7.函数 F(x) =xt(t-4)dt在[-1,5]上()A.有最大值0,无最小值32B.有最大值0 和最小值-332C.有最小值- 3 ,无最大值D.既无最大值也无最小值[ 答案 ]B[ 解读 ] F′(x) = x(x - 4) ,令 F′(x) = 0,得 x1= 0, x2= 4,73225∵F( -1) =-3, F(0) = 0, F(4) =-3, F(5) =-3 .32∴最大值为 0,最小值为-3 .[ 点评 ] 一般地, F(x) = xφ(t)dt的导数 F′(x) =φ (x) .18.已知等差数列 {an} 的前 n 项和 Sn= 2n2+ n,函数 f(x) =x t dt ,若 f(x)<a3,则 x1的取值范围是 ()3A.6,+∞ B. (0 , e21)C. (e - 11, e) D . (0 ,e11)[ 答案 ] D1[ 解读 ]f(x)=x dt = lnt|1x=lnx,a3=S3-S2=21-10=11,由lnx<11得,t10<x<e11.9.(2010 ·福建厦门一中 ) 如图所示,在一个长为π,宽为 2 的矩形 OABC内,曲线y=sinx(0 ≤ x≤ π) 与 x 轴围成如图所示的阴影部分,向矩形OABC内随机投一点( 该点落在矩形OABC内任何一点是等可能的) ,则所投的点落在阴影部分的概率是()123πA. πB. πC. πD. 4[ 答案 ]A—[ 解读 ]由图可知阴影部分是曲边图形,考虑用定积分求出其面积.由题意得S = πsinxdx =- cosx|0 π=- (cos π- cos0) = 2 ,再根据几何概型的算法易知所求概率P =S 2=1 .=πS 矩形 OABC 2πx + 2 -2≤ x<010.(2010 ·吉林质检 ) 函数 f(x) = π的图象与 x 轴所围成的图形2cosx 0≤ x ≤ 2面积 S 为 ()31A. 2B . 1 C . 4 D. 2 [ 答案 ] C[ 解读 ]面积 S =∫ π- 2f(x)dx =-2(x + 2)dx +∫π02cosxdx = 2+ 2= 4.2 211.(2010 ·沈阳二十中 ) 设函数 f(x) = x -[x] ,其中 [x] 表示不超过 x 的最大整数, 如 [ -x1.2] =- 2, [1.2] =1, [1]=1. 又函数 g(x) =- 3, f(x) 在区间 (0,2) 上零点的个数记为 m ,f(x) 与 g(x) 的图象交点的个数记为n ,则 ng(x)dx 的值是 ()m54A .- 2B .- 357C .- 4D .- 6[ 答案 ]A[ 解读 ]由题意可得,当 0<x<1 时, [x] = 0, f(x) = x ,当 1≤ x<2 时, [x] = 1,f(x)=x - 1,所以当 x ∈ (0,2) 时,函数 f(x) 有一个零点, 由函数 f(x)与 g(x) 的图象可知两个函xx25数有 4 个交点,所以 m = 1, n = 4,则 ng(x)dx =4 - 3 dx = - 614=- 2.m111.(2010 ·江苏盐城调研 ) 甲、乙两人进行一项游戏比赛, 比赛规则如下: 甲从区间 [0,1]上随机等可能地抽取一个实数记为b ,乙从区间 [0,1] 上随机等可能地抽取一个实数记为c(b 、c 可以相等 ) ,若关于 x 的方程 x2+ 2bx +c = 0 有实根,则甲获胜,否则乙获胜,则在一场比赛中甲获胜的概率为( )1 2 13A. 3B. 3C. 2D. 4[ 答案 ]A[ 解读 ] 方程 x2+ 2bx +c = 0 有实根的充要条件为= 4b2- 4c ≥ 0,即 b2≥ c ,1b2db01由题意知,每场比赛中甲获胜的概率为p=1×1=3.12.(2010 ·吉林省调研 ) 已知正方形四个顶点分别为O(0,0) ,A(1,0) ,B(1,1) ,C(0,1) ,曲线 y= x2(x ≥ 0) 与 x 轴,直线 x=1 构成区域 M,现将一个质点随机地投入正方形中,则质点落在区域 M内的概率是 ()11A. 2B. 412C. 3D.5[ 答案 ]C[ 解读 ]如图,正方形面积1,区域 M的面积为 S= 1x2dx111=3x3|01 =3,故所求概率 p=3.2.如图,阴影部分面积等于()A. 2 3B. 2-33235C. 3D. 3[ 答案 ]C[ 解读 ]图中阴影部分面积为132.S= 1(3 - x2- 2x)dx = (3x -3x3- x2)|1- 3= 3-33. 24- x2dx = ()A.4π B .2ππC.π D.2[ 答案 ]C[ 解读 ]令 y=4- x2,则 x2+y2= 4(y ≥0) ,由定积分的几何意义知所求积分为图中阴影部分的面积,1∴ S=4×π× 22=π.4.已知甲、乙两车由同一起点同时出发,并沿同一路线( 假定为直线 ) 行驶.甲车、乙车的速度曲线分别为v 甲和 v 乙 ( 如图所示 ) .那么对于图中给定的t0 和 t1 ,下列判断中一定正确的是 ()A.在 t1 时刻,甲车在乙车前面B.在 t1 时刻,甲车在乙车后面C.在 t0 时刻,两车的位置相同D. t0 时刻后,乙车在甲车前面[ 答案 ]A[ 解读 ]判断甲、乙两车谁在前,谁在后的问题,实际上是判断在t0 , t1 时刻,甲、乙两车行驶路程的大小问题.根据定积分的几何意义知:车在某段时间内行驶的路程就是该时间段内速度函数的定积分,即速度函数 v(t)的图象与t 轴以及时间段围成区域的面积.从图象知:在 t0时刻, v 甲的图象与 t轴和 t = 0,t = t0围成区域的面积大于 v 乙的图象与 t 轴和 t = 0, t = t0围成区域的面积,因此,在t0时刻,甲车在乙车的前面,而且此时乙车的速度刚刚赶上甲车的速度,所以选项C,D 错误;同样,在t1 时刻, v 甲的图象与 t 轴和t = t1 围成区域的面积,仍然大于v 乙的图象与 t 轴和 t =t1围成区域的面积,所以,可以断定:在 t1 时刻,甲车还是在乙车的前面.所以选 A.ππ5.(2012 ·山东日照模拟 ) 向平面区域Ω= {(x ,y)| -4≤ x≤4,0≤ y≤1} 内随机投掷一点,该点落在曲线y= cos2x 下方的概率是 ()π 1A. 4B. 2π2C. 2- 1D. π[ 答案 ]D[ 解读 ]π平面区域Ω 是矩形区域,其面积是2,在这个区6.(sinx- cosx)dx的值是 ()πA. 0 B. 4C. 2D.- 2[ 答案 ]D[ 解读 ](sinx-cosx)dx=(-cosx-sinx)=-2.7.(2010 ·惠州模拟 )2(2 - |1 - x|)dx = ________.[ 答案 ]3[ 解读 ]1+ x 0≤ x≤ 1∵ y=,3- x 1<x ≤ 2∴ 2(2 - |1 - x|)dx =1(1 + x)dx + 2(3 - x)dx0011133=(x +2x2)|10+ (3x -2x2)|21=2+2= 3.8.(2010·芜湖十二中 ) 已知函数 f(x) =3x2 + 2x+ 1,若1-1f(x)dx =2f(a) 成立,则a= ________.1[ 答案 ]- 1 或3[ 解读 ]∵1- 1f(x)dx =1- 1(3x2 + 2x + 1)dx = (x3 + x2 + x)|1 - 1 = 4 ,1-1f(x)dx=2f(a),∴ 6a2+4a+2=4,1∴ a=- 1 或3.π19.已知a=∫2 0(sinx+cosx)dx,则二项式(a x-x)6 的展开式中含x2项的系数是________.[ 答案 ]-192ππππ[ 解读 ]由已知得a=∫2 0(sinx+cosx)dx=(-cosx+sinx)| 2 0=(sin2-cos2)-(sin0 - cos0) = 2,1(2 x- )6 的展开式中第 r + 1 项是 Tr + 1= ( -1)r ×C6r×26-r ×x3-r,令 3- r = 2 得,xr = 1,故其系数为( -1)1 ×C16×25=-192.10.有一条直线与抛物线y= x2 相交于 A、B 两点,线段 AB 与抛物线所围成图形的面积4恒等于3,求线段AB的中点 P 的轨迹方程.[ 解读 ]设直线与抛物线的两个交点分别为A(a, a2) , B(b , b2) ,不妨设a<b,b2- a2则直线 AB 的方程为y- a2=b-a (x - a) ,即y=(a + b)x - ab.a+ b 则直线AB 与抛物线围成图形的面积为S=b[(a +b)x - ab-x2]dx =(2x2-abx -ax313 )|ba=6(b -a)3 ,14∴6(b - a)3 =3,解得 b- a= 2. 设线段 AB的中点坐标为 P(x ,y) ,a+ b其中x=2,将 b-a= 2 代入得x=a+ 1,y= a2+ b2.y= a2+ 2a+ 2.2消去 a 得 y= x2+ 1.∴线段 AB 的中点 P 的轨迹方程为 y= x2+ 1.能力拓展提升11.(2012 ·郑州二测 ) 等比数列 {an} 中,a3= 6,前三项和 S3=34xdx ,则公比 q 的值为()1A. 1 B .-211C. 1 或-2D.- 1 或-2[ 答案 ]C66[ 解读 ]因为 S3=34xdx = 2x2|30= 18,所以q+q2+ 6= 18,化简得 2q2- q-1= 0,1解得 q= 1 或 q=-2,故选 C.12. (20 12·太原模拟 ) 已知 (xlnx) ′= lnx +1,则elnxdx= ()1A. 1 B . e C . e- 1 D . e+ 1[ 答案 ]A[ 解读 ]由(xlnx)′= lnx + 1,联想到 (xlnx-x) ′= (lnx+ 1) -1= lnx ,于是 elnxdx1=(xlnx - x)|e1= (elne- e) -(1 ×ln1 -1) = 1.13.抛物线 y2= 2x与直线 y= 4- x 围成的平面图形的面积为 ________.[ 答案 ]18[ 解读 ]y2= 2x,A(2,2) 、B(8 ,-4) ,选 y 作为积分变量 x 由方程组解得两交点y= 4- x,y2=2、 x= 4-y,2 [(4 - y) -y2y2y3∴ S=2 ]dy = (4y -2-6 )|2- 4= 18.-414.已知函数 f(x)= ex- 1,直线 l1 : x= 1, l2 : y=et - 1(t 为常数,且 0≤ t ≤ 1) .直线l1 , l2 与函数 f(x)的图象围成的封闭图形如图中区域Ⅱ所示,其面积用S2 表示.直线 l2 ,y 轴与函数 f(x) 的图象围成的封闭图形如图中区域Ⅰ所示,其面积用S1 表示.当 t 变化时,阴影部分的面积的最小值为________.[ 答案 ]( e- 1)2[ 解读 ]由题意得S1+ S2= t(et - 1- ex + 1)dx +1(ex - 1- et + 1)dx = t(et-0t0ex)dx + 1(ex - et)dx = (xet - ex)|t 0 + (ex - xet)|1 t = (2t- 3)et+ e+ 1,令 g(t) = (2t-t3)et + e+ 1(0 ≤ t ≤ 1) ,则 g′(t) = 2et + (2t -3)et = (2t- 1)et,令 g′(t) = 0,得 t =1 2,11∴当 t ∈ [0 ,2) 时, g ′(t)<0 , g(t) 是减函数,当 t ∈ ( 2,1] 时, g ′(t)>0 , g(t)是增函数,1 1因此 g(t) 的最小值为g( 2) = e + 1- 2e 2= ( e - 1)2. 故阴影部分的面积的最小值为( e -1)2.15.求下列定积分.(1)- 1|x|dx 。
(理)定积分与微积分基本定理一、选择题1.S 1=⎠⎛12x 2d x ,S 2=⎠⎛121x d x ,S 3=⎠⎛12e x d x ,则S 1,S 2,S 3的大小关系为( )A .S 1<S 2<S 3B .S 2<S 1<S 3C .S 2<S 3<S 1D .S 3<S 2<S 1解析 本题考查微积分基本定理. S 1=⎠⎛12x 2d x =x 33|21=73.S 2=⎠⎛121x d x =ln x |21=ln 2-ln 1=ln 2.S 3=⎠⎛12e x d x =e x |21=e 2-e =e (e -1).令e =2.7,∴S 3>3>S 1>S 2.故选B . 答案 BA .3B .4C .3.5D .4.5解析答案 C3.如图所示,图中曲线方程为y =x 2-1,用定积分表达围成封闭图形(阴影部分)的面积是()A .⎪⎪⎪⎪⎪⎪⎠⎛02(x 2-1)d x B .⎠⎛02(x 2-1)d xC.⎠⎛02|x 2-1|d xD .⎠⎛01(x 2-1)d x +⎠⎛02(x 2-1)d x解析 面积S =⎠⎛01(1-x 2)d x +⎠⎛12(x 2-1)d x=⎠⎛02|x 2-1|d x ,故选C.答案 C4.已知二次函数y =f (x )的图象如图所示,则它与x 轴所围图形的面积为()A.2π5B.43C.32D.π2解析答案 B5.一辆汽车在高速公路上行驶,由于遇到紧急情况而刹车,以速度v (t )=7-3t +251+t (t 的单位:s ,v 的单位:m/s)行驶至停止.在此期间汽车继续行驶的距离(单位:m)是( )A .1+25ln5B .8+25ln 113 C .4+25ln5D .4+50ln2解析 令v (t )=0,7-3t +251+t=0∴3t 2-4t -32=0,∴t =4,则汽车行驶的距离为⎠⎛04v (t )d t =⎠⎛04⎝ ⎛⎭⎪⎪⎫7-3t +251+t d t = ⎣⎢⎡⎦⎥⎤7t -32t 2+25ln (1+t )|40=7×4-32×42+25ln5-0=4+25ln5,故选C.答案 C6.如图,设D 是图中边长分别为1和2的矩形区域,E 是D 内位于函数y =1x (x >0)图象下方的区域(阴影部分),从D 内随机取一个点M ,则点M 取自E 内的概率为( )A.ln22B.1-ln22C.1+ln22D.2-ln22解析答案 C 二、填空题7.若⎠⎛0T x 2d x =9,则常数T 的值为________.解析 ∵⎠⎛0T x 2d x =x 33|T 0=T 33=9,∴T =3.答案 38.计算:⎠⎛01(x 2+1-x 2)d x =______.解析 ⎠⎛01(x 2+1-x 2)d x =⎠⎛01x 2d x +⎠⎛011-x 2d x =x 3310+14π=13+π4.答案 13+π49.已知函数y =f (x )的图象是折线段ABC ,其中A (0,0)、B ⎝ ⎛⎭⎪⎫12,5、C (1,0).函数y =xf (x )(0≤x ≤1)的图象与x 轴围成的图形的面积为________.解析 设直线为y =kx +b ,代入A ,B 两点,得y =10x . 代入B ,C 两点,则⎩⎪⎨⎪⎧5=12k +b ,0=k +b ,∴k =-10,b =10.∴f (x )=⎩⎪⎨⎪⎧10x , 0≤x ≤12,-10x +10, 12<x ≤1.∴y =xf (x )=⎩⎪⎨⎪⎧10x 2, 0≤x ≤12,-10x 2+10x , 12<x ≤1.答案 54 三、解答题10.若f (x )是一次函数,且⎠⎛01f (x )d x =5,⎠⎛01xf (x )d x =176,求⎠⎛12f (x )x d x的值.解 ∵f (x )是一次函数,∴设f (x )=ax +b (a ≠0).由⎠⎛01(ax +b )d x =5,得⎝ ⎛⎭⎪⎫12ax 2+bx |10=12a +b =5.① 由⎠⎛01xf (x )d x =176,得⎠⎛01(ax 2+bx )d x =176. 即⎝ ⎛⎭⎪⎫13ax 3+12bx 2|10=176. ∴13a +12b =176.②解①②,得a =4,b =3.∴f (x )=4x +3. 于是⎠⎛12f (x )x d x =⎠⎛124x +3x d x =⎠⎛12(4+3x )d x=(4x +3ln x )|21=8+3ln2-4 =4+3ln2.11.如图,直线y =kx 分抛物线y =x -x 2与x 轴所围图形为面积相等的两部分,求k 的值.解 抛物线y =x -x 2与x 轴两交点的横坐标x 1=0,x 2=1, 所以抛物线与x 轴所围图形的面积 S =⎠⎛01(x -x 2)d x =⎝ ⎛⎭⎪⎫x 22-x 33|10=12-13=16. 又可得抛物线y =x -x 2与y =kx 两交点的横坐标为x ′1=0,x ′2=1-k ,所以S 2=∫1-k0(x -x 2-kx )d x=⎝ ⎛⎭⎪⎫1-k 2x 2-x 33|1-k0 =16(1-k )3.又知S =16,所以(1-k )3=12. 于是k =1- 312=1-342.12.设函数f (x )=x 3+ax 2+bx 在点x =1处有极值-2. (1)求常数a ,b 的值;(2)求曲线y =f (x )与x 轴所围成的图形的面积.解 (1)由题意知,f ′(x )=3x 2+2ax +b ,f (1)=-2,且f ′(1)=0,即⎩⎨⎧1+a +b =-2,3+2a +b =0,解得⎩⎨⎧a =0,b =-3.(2)由(1)可知,f (x )=x 3-3x . 作出曲线y =x 3-3x 的草图如图,所求面积为阴影部分的面积,由x 3-3x =0得曲线y =x 3-3x 与x 轴的交点坐标是(-3,0),(0,0)和(3,0),而y =x 3-3x 是R 上的奇函数,所以函数图象关于原点成中心对称.所以所求图形的面积为。
定积分与微积分基本定理基础巩固强化1.(2011 •宁夏银川一中月考)求曲线与y=x所围成图形的面积,其中正确的是()[答案]B[分析]根据定积分的几何意义,确定积分上、下限和被积函数.[解析]两函数图象的交点坐标是(0,0), (1,1),故积分上限是1, 下限是0,由于在[0,1]上,,故函数y =疽与y = x所围成图形的面积S = C\x ~ x2)dx.[答案]C[解析]图中阴影部分面积为S =「(3 - x2 - 2x)dx = (3x %2)l-3 = ~3~- J-33.J2A/4—x2dx=( )A.4TT B. 2TIC.71 D.T[答案]c[解析]令y = .4 _ x2,则x2 + y2 = 4(y^0),由定积分的几何意义知所求积分为图中阴影部分的面积,.*.S=^X K X22= 7t.Cz ,乙 Rt4.00"1已知甲、乙两车由同一起点同时出发,并沿同一路线(假定为直线)行驶.甲车、乙车的速度曲线分别为”甲和”乙(如图所示).那么对于图中给定的姑和S下列判断中一定正确的是()A.在h时刻,甲车在乙车前面B.在4 口寸刻,甲车在乙车后面C.在而时刻,两车的位置相同D.t.时刻后,乙车在甲车前面[答案]A[解析]判断甲、乙两车谁在前,谁在后的问题,实际上是判断在如4时刻,甲、乙两车行驶路程的大小问题.根据定积分的几何意义知:车在某段时间内行驶的路程就是该时间段内速度函数的定积分,即速度函数NO的图象与,轴以及时间段围成区域的面积.从图象知:在「0时刻,"甲的图象与♦轴和t = 0, t=t Q围成区域的面积大于华的图象与♦轴和f = 0, 围成区域的面积,因此,在£。
时刻,甲车在乙车的前面,而且此时乙车的速度刚刚赶上甲车的速度,所以选项C, D错误;同样,在》时刻,"甲的图象与£轴和t=t{围成区域的面积,仍然大于"乙的图象与F轴和t=t x围成区域的面积,所以,可以断定:在4时刻,甲车还是在乙车的前面.所以选A.__ _IT 7T5.(2012-山东日照模拟)向平面区域Q={(x, y)|—云, OW)W1}内随机投掷一点,该点落在曲线y = cos2x下方的概率是B.?A-A 714D.271[答案]D[解析]平面区域。
定积分与微积分基本定理答案和解析第1题:【答案】B【解析】,二项式的通项公式为, 令可得,所以所求常数项为,故选B.第2题:【答案】C【解析】因为,而,令,故,故,常数项为.第3题:【答案】A【解析】表示半径为的圆面积的,所以面积为.第4题:【答案】A【解析】.第5题:【答案】A【解析】曲线,,交点为:,,围成图形的面积:.第6题:【答案】B【解析】阴影部分的面积:.第7题:【答案】A【解析】.第8题:【答案】D【解析】由定积分的几何意义及数形结合可知阴影部分的面积.第9题:【答案】B【解析】可表示为以原点为圆心,以为半径的半圆,则.第10题:【答案】C【解析】作出两个曲线的图象,由,解得或,则曲线与所围图形的面积为.第11题:【答案】C【解析】显然是以原点为圆心,以为半径的圆的四分之一,所以定积分为半径为的圆面积的四分之一,故选择C.第12题:【答案】A【解析】图中阴影部分的面积为,矩形面积为,∴豆子落在图中阴影部分的概率为.第13题:【答案】D【解析】定积分的几何意义是求函数与之间的阴影部分的面积,必须注意的图象要在的图象上方,对照各选项,知D中的图象不全在的图象上方.第14题:【答案】D【解析】由得,,∴,,因此曲线与直线所围成图形的面积为.第15题:【答案】见解析【解析】由曲线,,可得交点横坐标为,∴所求面积为.第16题:【答案】【解析】由,解得,,.交点为,,.所求面积为:.第17题:【答案】见解析【解析】由解得或,从而所求图形的面积.第18题:【答案】【解析】(1)分割:将区间等分成个小区间,每个小区间的长度为,过各区间端点作轴的垂线,从而得到个小曲边梯形,它们的面积分别记作(2)近似代替:对区间上的小曲边梯形,以区间左端点对应的函数值为一边的长,以为邻边的长的小矩形面积近似代替小曲边梯形的面积,即. (3)求和:(4)取极限:当时,趋近于,即。
定积分与微积分基本定理(理)基础巩固强化1.求曲线y =x 2与y =x 所围成图形的面积,其中正确的是( ) A .S =⎠⎛01(x 2-x )d xB .S =⎠⎛01(x -x 2)d xC .S =⎠⎛01(y 2-y )d yD .S =⎠⎛01(y -y )d y[答案] B[分析] 根据定积分的几何意义,确定积分上、下限和被积函数. [解析] 两函数图象的交点坐标是(0,0),(1,1),故积分上限是1,下限是0,由于在[0,1]上,x ≥x 2,故函数y =x 2与y =x 所围成图形的面积S =⎠⎛01(x -x 2)d x .2.如图,阴影部分面积等于( )A .2 3B .2-3[答案] C[解析] 图中阴影部分面积为S =⎠⎛-31 (3-x 2-2x )d x =(3x -13x 3-x 2)|1-3=323.4-x 2d x =( ) A .4π B .2π C .π[答案] C[解析] 令y =4-x 2,则x 2+y 2=4(y ≥0),由定积分的几何意义知所求积分为图中阴影部分的面积,∴S =14×π×22=π.4.已知甲、乙两车由同一起点同时出发,并沿同一路线(假定为直线)行驶.甲车、乙车的速度曲线分别为v 甲和v 乙(如图所示).那么对于图中给定的t 0和t 1,下列判断中一定正确的是( )A .在t 1时刻,甲车在乙车前面B .在t 1时刻,甲车在乙车后面C .在t 0时刻,两车的位置相同D .t 0时刻后,乙车在甲车前面 [答案] A[解析] 判断甲、乙两车谁在前,谁在后的问题,实际上是判断在t 0,t 1时刻,甲、乙两车行驶路程的大小问题.根据定积分的几何意义知:车在某段时间内行驶的路程就是该时间段内速度函数的定积分,即速度函数v (t )的图象与t 轴以及时间段围成区域的面积.从图象知:在t 0时刻,v 甲的图象与t 轴和t =0,t =t 0围成区域的面积大于v 乙的图象与t 轴和t =0,t =t 0围成区域的面积,因此,在t 0时刻,甲车在乙车的前面,而且此时乙车的速度刚刚赶上甲车的速度,所以选项C ,D 错误;同样,在t 1时刻,v 甲的图象与t 轴和t =t 1围成区域的面积,仍然大于v 乙的图象与t 轴和t =t 1围成区域的面积,所以,可以断定:在t 1时刻,甲车还是在乙车的前面.所以选A.5.向平面区域Ω={(x ,y )|-π4≤x ≤π4,0≤y ≤1}内随机投掷一点,该点落在曲线y =cos2x 下方的概率是( )-1[答案] D[解析] 平面区域Ω是矩形区域,其面积是π2,在这个区6.的值是( )A .0 C .2 D .-2 [答案] D[解析] 2(cos sin )2x x ππ---=2(cos sin )2x x ππ---=-2. 7.⎠⎛02(2-|1-x |)d x =________.[答案] 3[解析] ∵y =⎩⎪⎨⎪⎧1+x 0≤x ≤13-x 1<x ≤2,∴⎠⎛02(2-|1-x |)d x =⎠⎛01(1+x )d x +⎠⎛12(3-x )d x=(x +12x 2)|10+(3x -12x 2)|21=32+32=3. 9.已知a =20(sin cos )x x dx π+⎰,则二项式(a x -1x)6的展开式中含x 2项的系数是________.[答案] -192[解析] 由已知得a =20(sin cos )x x dx π+⎰=(-cos x +sin x )|π20=(sin π2-cos π2)-(sin0-cos0)=2,(2x -1x)6的展开式中第r +1项是T r +1=(-1)r ×C r 6×26-r ×x 3-r,令3-r =2得,r =1,故其系数为(-1)1×C 16×25=-192.10.有一条直线与抛物线y =x 2相交于A 、B 两点,线段AB 与抛物线所围成图形的面积恒等于43,求线段AB 的中点P 的轨迹方程.[解析] 设直线与抛物线的两个交点分别为A (a ,a 2),B (b ,b 2),不妨设a <b ,则直线AB 的方程为y -a 2=b 2-a2b -a(x -a ),即y =(a +b )x -ab .则直线AB 与抛物线围成图形的面积为S =⎠⎛ab [(a +b )x -ab -x 2]d x=(a +b 2x 2-abx -x 33)|b a =16(b -a )3,∴16(b -a )3=43,解得b -a =2.设线段AB 的中点坐标为P (x ,y ),其中⎩⎨⎧x =a +b 2,y =a 2+b22.将b -a =2代入得⎩⎪⎨⎪⎧x =a +1,y =a 2+2a +2. 消去a 得y =x 2+1.∴线段AB 的中点P 的轨迹方程为y =x 2+1.能力拓展提升11.等比数列{a n }中,a 3=6,前三项和S 3=⎠⎛034x d x ,则公比q 的值为( )A .1B .-12C .1或-12 D .-1或-12[答案] C[解析] 因为S 3=⎠⎛34x d x =2x 2|30=18,所以6q +6q 2+6=18,化简得2q 2-q -1=0,解得q =1或q =-12,故选C.12.已知(x ln x )′=ln x +1,则⎠⎛1e ln x d x =( )A .1B .eC .e -1D .e +1 [答案] A[解析] 由(x ln x )′=ln x +1,联想到(x ln x -x )′=(ln x +1)-1=ln x ,于是⎠⎛1e ln x d x =(x ln x -x )|e 1=(e ln e -e )-(1×ln1-1)=1.13.抛物线y 2=2x 与直线y =4-x 围成的平面图形的面积为________.[答案] 18[解析] 由方程组⎩⎪⎨⎪⎧y 2=2x ,y =4-x ,解得两交点A (2,2)、B (8,-4),选y 作为积分变量x=y 22、x =4-y ,∴S =⎠⎛-42 [(4-y )-y 22]dy =(4y -y 22-y36)|2-4=18.14.已知函数f (x )=e x -1,直线l 1:x =1,l 2:y =e t -1(t 为常数,且0≤t ≤1).直线l 1,l 2与函数f (x )的图象围成的封闭图形如图中区域Ⅱ所示,其面积用S 2表示.直线l 2,y 轴与函数f (x )的图象围成的封闭图形如图中区域Ⅰ所示,其面积用S 1表示.当t 变化时,阴影部分的面积的最小值为________.[答案] (e -1)2[解析] 由题意得S 1+S 2=⎠⎛0t (e t -1-e x +1)d x +⎠⎛t1(e x -1-e t +1)d x =⎠⎛0t (e t -e x )d x +⎠⎛t1(e x -e t )d x =(xe t -e x )|t 0+(e x -xe t )|1t =(2t -3)et+e +1,令g (t )=(2t -3)e t +e +1(0≤t ≤1),则g ′(t )=2e t +(2t -3)e t =(2t -1)e t,令g ′(t )=0,得t =12,∴当t ∈[0,12)时,g ′(t )<0,g (t )是减函数,当t ∈(12,1]时,g ′(t )>0,g (t )是增函数,因此g (t )的最小值为g (12)=e +1-2e 12=(e -1)2.故阴影部分的面积的最小值为(e -1)2.15.求下列定积分.(1)⎠⎛1-1|x |d x; (2)⎠⎛0πcos 2x2d x ; (3)∫e +121x -1d x . [解析] (1)⎠⎛1-1|x |d x =2⎠⎛01x d x =2×12x 2|10=1.(2)⎠⎛0πcos 2x 2d x =⎠⎛0π1+cos x 2d x =12x |π0+12sin x |π0=π2. (3)∫e +121x -1d x =ln(x -1)|e +12=1.16.已知函数f(x)=-x3+ax2+bx(a,b∈R)的图象如图所示,它与x轴在原点处相切,且x轴与函数图象所围区域(图中阴影部分)的面积为112,求a的值.[解析]f′(x)=-3x2+2ax+b,∵f′(0)=0,∴b=0,∴f(x)=-x3+ax2,令f(x)=0,得x=0或x=a(a<0).∴S阴影=⎠⎛a0[0-(-x3+ax2)]d x=(14x4-13ax3)|0a=112a4=112,∵a<0,∴a=-1.1.已知函数f(x)=sin5x+1,根据函数的性质、积分的性质和积分的几何意义,探求22()f x dxππ-⎰的值,结果是()+π2B.πC.1 D.0[答案]B[解析]22()f x dxππ-⎰=22ππ-⎰sin5x d x+22ππ-⎰1d x,由于函数y=sin5x是奇函数,所以22ππ-⎰sin5x d x=0,而22ππ-⎰1d x=x|π2-π2=π,故选B.2.若函数f (x )=⎩⎨⎧-x -1 -1≤x <0,cos x 0≤x <π2,的图象与坐标轴所围成的封闭图形的面积为a ,则a 的值为( )C .1[答案] D[解析] 由图可知a =12+⎠⎜⎜⎛0π2cos x d x =12+sin x |π20=32.3.对任意非零实数a 、b ,若ab 的运算原理如图所示,则2⎠⎛0πsin x d x =________.[答案] 22[解析] ∵⎠⎛0πsin x d x =-cos x |π0=2>2,∴2⎠⎛0πsin x d x =22=2-12=22.4.设函数f (x )=ax 2+c (a ≠0),若⎠⎛01f (x )d x =f (x 0),0≤x 0≤1,则x 0的值为________.[答案] 33[解析] ⎠⎛01f (x )d x =⎠⎛01(ax 2+c )d x =(ax 33+cx )|10=a 3+c ,故a 3+c =ax 20+c ,即ax 20=a 3,又a ≠0,所以x 20=13,又0≤x 0≤1,所以x 0=33.故填33. 5.设n =⎠⎛12(3x 2-2)d x ,则(x -2x )n展开式中含x 2项的系数是________.[答案] 40[解析] ∵(x 3-2x )′=3x 2-2, ∴n =⎠⎛12(3x 2-2)d x =(x 3-2x )|21 =(23-2×2)-(1-2)=5.∴(x -2x )5的通项公式为T r +1=C r 5x 5-r (-2x)r =(-2)r C r 5x 5-3r 2 ,令5-3r 2=2,得r =2, ∴x 2项的系数是(-2)2C 25=40.。
1.4定积分与微积分基本定理练习题及答案1.(2011 •宁夏银川一中月考)求曲线y = x2与y = x 所围成图形的面积,其中正确的是( )A. S = 1(x2 — x)dxB . S = 1(x — x2)dxC. S = 1(y2 — y)dy D -S = 1(y — 'y)dy0 0[答案]B[分析]根据定积分的几何意义,确定积分上、下限和被积函数.[解读]两函数图象的交点坐标是(0,0) , (1,1),故积分上限是1,下限是0,由于在[0,1]上,x >x2,故函数y = x2与y = x 所围成图形的面积 S = 1(x — x2)dx. 02xdx , b = 2exdx , c = 2sinxdx ,贝U a 、b 、c 的大小关 0 0 0 玄阜 系是A. a<c<bB . a<b<c C. c<b<aD. c<a<b [答案]D1[解读] a = 2xdx = rx2|02 = 2 , b = 2exdx = ex|02 = e2 — 1>2, c = 2sinxdx =—0 0 0 cosx|02 = 1 — cos2 € (1,2),c<a<b.3. (2010 •山东理,7)由曲线y = x2, y = x3围成的封闭图形面积为( )[答案]Ay = x2[解读]由得交点为(0,0) , (1,1)y = x3(2010 •湖南师大附中)设点P 在曲线y = x2上从原点到A (2,4)移动,如果把由直线OR2. (2010 •山东日照模考)a = 1117A讲.产于壬S = 1(x2 — x3)dx =1 1 1 3x3 —4x4 01 =[点评]图形是由两条曲线围成的时,其面积是上方曲线对应函 数表达式减去下方曲线对应函数表达式的积分,请再做下题:直线y = x2及直线x = 2所围成的面积分别记作 S1, S2.如图所示,当S1 = S2时,点P 的坐标是()4 164 16A. 3, 9B. 5, 94 154 13 C. 3, 7 D. 5, 7 [答案]A4. 由三条直线x = 0、x = 2、y = 0和曲线y = x3所围成的图形的面积为( )4 18A. 4B.C. wD. 63 5 [答案]Ax4[解读] S = 2x3dx =— 02= 4.0 5.(2010 •湖南省考试院调研)1 — 1(sinx + 1)dx 的值为()A. 0 B . 2C. 2 + 2cos1 D . 2— 2cos1 [答案]B[解读] 1 — 1(sinx + 1)dx = ( — cosx + x)| — 11 = ( — cos1 + 1) — ( — cos( — 1) — 1)= 2.6.曲线y = cosx(0 wx < 2n )与直线y = 1所围成的图形面积是()A. 2 n B . 3 n7t[答案]A [解读]如右图, S =/ 02 n (1 — cosx)dx=(x — sinx)|02 n= 2 n.[点评] 此题可利用余弦函数的对称性[解读] 设 P(t ,⑵(0 < t < 2),则直线 OP y = tx ,••• S1 =t(tx 0t3—x2)dx =~6; S2 =8t3 卄 , 2(x2 — tx)dx t =3― 2t + 百,若 S1= S2,则 t4 16 …P 3, 9①②③④ 面积相等解决,但若把积分区间改为4 3,n—,n ,则对称性就无能为力了.7. 函数F(x) = xt(t —4)dt 在[—1,5]上( )A. 有最大值0,无最小值32B. 有最大值0和最小值-㊁c.有最小值- 3,无最大值D.既无最大值也无最小值[答案]B[解读]F' (x) = x(x —4),令F' (x) = 0,得x1 = 0, x2 = 4,•- F( —1) =—3, F(0) = 0, F(4) = —32, F(5)=—学的取值范围是()C. (e —11, e) D . (0 , e11)[答案]D[解读]1f(x) = x-dt = Int|1x = Inx , a3 = S3—S2= 21 —10= 11,由Inx<11 得, 1t0<x<e11.9. (2010 •福建厦门一中)如图所示,在一个长为n,宽为2的矩形OABC内,曲线y =sinx(0 w x< n )与x轴围成如图所示的阴影部分,向矩形OAB(内随机投一点(该点落在矩形OABC内任何一点是等可能的),则所投的点落在阴影部分的概率是()1 2 3 nA. B.—C. —D.二n n n 4[答案]A•••最大值为0,最小值为—32[点评]一般地,F(x) x $ (t)dt 的导数F' (x) (x).&已知等差数列{an}的前n项和Sn= 2n2 + n,函数f(x) *dt,若f(x)<a3 ,则xA. -pmB. (0 , e21)[解读]由图可知阴影部分是曲边图形,考虑用定积分求出其面积•由题意得S = nsinxdx = — cosx|0 n=— (cos n — cosO) = 2,再根据几何概型的算法易知所求概率 P =S 2 1S 矩形 OAB CT 27=V .x + 2— 2 w x<010.(2010 •吉林质检)函数f(x) = n 的图象与x 轴所围成的图形2cosx 0w x w —面积S 为( )3 1 A. gB . 1 C .4 D. q [答案]Cnn[解读] 面积 S =/ — — 2f(x)dx =0 — 2(x + 2)dx + / —02cosxdx = 2 + 2= 4.11. (2010 •沈阳二十中)设函数f(x) = x — [x ],其中[x ]表示不超过x 的最大整数,女口[—x1.2] =— 2, [1.2] = 1, [1] = 1.又函数g(x) = — 3, f(x)在区间(0,2)上零点的个数记为 m,f(x)与g(x)的图象交点的个数记为n ,贝U ng(x)dx 的值是()m5 4 A.—尹.—3C — 5D . — 74 6[答案] A[解读] 由题意可得,当 0<x<1 时,[x] = 0, f(x) = x ,当 1w x<2 时,[x] = 1, f(x)=x — 1,所以当x € (0,2)时,函数f(x)有一个零点,由函数f(x)与g(x)的图象可知两个函11. (2010 •江苏盐城调研)甲、乙两人进行一项游戏比赛, 比赛规则如下:甲从区间[0,1] 上随机等可能地抽取一个实数记为b ,乙从区间[0,1]上随机等可能地抽取一个实数记为c(b 、c 可以相等),若关于x 的方程x2 + 2bx + c = 0有实根,则甲获胜,否则乙获胜,则在 一场比赛中甲获胜的概率为( )1213[答案]A数有4个交点,所以 m = 1, n = 4,贝U ng(x)dx =mx —3 dx =x2 6 14= — 52.[解读]方程x2+ 2bx + c= 0有实根的充要条件为△ = 4b2 —40 0,即卩b2> c,1b2db 由题意知,每场比赛中甲获胜的概率为p = 0X1 =!12. (2010 •吉林省调研)已知正方形四个顶点分别为0(0,0) , A(1,0) , B(1,1), 曲线y= x2(x > 0)与x轴,直线x = 1构成区域M现将一个质点随机地投入正方形中,点落在区域M内的概率是()A.2B.4C.3D.5[答案]C[解读]如图,正方形面积1,区域M的面积为S= 1x2dx2•如图,阴影部分面积等于()A. 2 '3B. 2 —:3[答案]C[解读]图中阴影部分面积为1 32S= 1 (3 —x2 —2x)dx = (3x —3x3 —x2)|1 —3=石.-3 3 33. 2 ;4 —x2dx =( )A. 4 n B . 2 nnC.nD. 2 C(0,1),则质= 3x3|01 = g,故所求概率p= 332 35C.yD.y[答案]C[解读]令y= .'4 —x2,则x2 + y2 = 4(y >0),由定积分的几何意义知所求积分为图中阴影部分的面积,1S=〒XnX 22=n.4—% •;0!2 xft电Jf XS*J F*4.已知甲、乙两车由同一起点同时出发,并沿同一路线(假定为直线)行驶•甲车、乙车的速度曲线分别为v甲和v乙(如图所示)•那么对于图中给定的tO和t1,下列判断中一定正确的是()A. 在t1时刻,甲车在乙车前面B. 在t1时刻,甲车在乙车后面C. 在tO时刻,两车的位置相同D. tO时刻后,乙车在甲车前面[答案]A[解读]判断甲、乙两车谁在前,谁在后的问题,实际上是判断在to, t1时刻,甲、乙两车行驶路程的大小问题. 根据定积分的几何意义知:车在某段时间内行驶的路程就是该时间段内速度函数的定积分,即速度函数v(t)的图象与t轴以及时间段围成区域的面积.从图象知:在t0时刻,v甲的图象与t轴和t = 0, t = t0围成区域的面积大于v乙的图象与t轴和t = 0, t = t0围成区域的面积,因此,在t0时刻,甲车在乙车的前面,而且此时乙车的速度刚刚赶上甲车的速度,所以选项C, D错误;同样,在域中曲线COS2T下方区域的面积長J* cos2xd.T [答案]t1时刻,v甲的图象与t轴和t = t1围成区域的面积,仍然大于v乙的图象与t轴和t = t1 围成区域的面积,所以,可以断定:在t1时刻,甲车还是在乙车的前面•所以选 A.5. (2012 •山东日照模拟)向平面区域Q= {(x,y)l 7t—才w x w —, 0 w y w 1}内随机投掷一点,该点落在曲线y= cos2x下方的概率是(D.[答案]平面区域Q 是矩形区域n 其面积是—,在这个区2,1 o4COS2^.T1T—2( 1.故所求的概率是丄7T6.A. 0 Ji 7T(sinx —cosx)dx 的值是(C. 2D.—2[解读](si nx —cosx)dx = ( —cosx —sinx) =—2.7. (2010 •惠州模拟) 2(2 —|1 —x|)dx =••• 2(2 — |1 — x|)dx = 1(1 + x)dx +2(3 — x)dx0 0 1 1 1 3 3=(x + 2X2)|1O + (3x —严)|21 = + 2= 3.& (2010 •芜湖十二中)已知函数 f(x) = 3x2 + 2x + 1,若 1 — 1f(x)dx = 2f(a)成立,则[答案]—1则直线AB 的方程为y — a2=学—乎(x — a), 即 y = (a + b)x — ab.则直线AB 与抛物线围成图形的面积为 S =a + bb[(a + b)x — ab — x2]dx = (—^ x2 — abx — a[答案]3[解读]3-x 1<xa =[解读]1 — 1f(x)dx1 — 1(3x2 + 2x + 1)dx = (x3 + x2 + x)|1 — 1 =4 ,1 —1f(x)dx = 2f(a),• 6a2 + 4a + 2= 4,• • a =— 1 1或3.9.已知 n —1a =/ y0(sinx + cosx)dx ,则二项式 (a x —)6 的展开式中含x2项的系数[答案] —192[解读] ,「.n n n n由已知得 a =/ —0(sinx + cosx)dx = ( — cosx + sinx)| —0= (sin — — cos-^) —(si n0 — cosO) = 2,(2 .x -的展开式中第 r + 1 项是 Tr + 1= ( — 1)r x (C x 26— r x x3 —,令 3— r = 2 得,r = 1,故其系数为(—1)1 XCX 25=—192.10. 有一条直线与抛物线 y = x2相交于A B 两点,线段AB 与抛物线所围成图形的面积 恒等于4,求线段AB 的中点P 的轨迹方程.[解读]设直线与抛物线的两个交点分别为A(a , a2), B(b , b2),不妨设 a<b ,1 4 ••• 6(b - a)3 = 3,解得b - a = 2.设线段AB 的中点坐标为P(x , y),a + b消去a 得y = x2 + 1.•线段AB 的中点P 的轨迹方程为y = x2 + 1. 能力拓展提升11. (2012 •郑州二测)等比数列{an }中,a3= 6,前三项和S3= 34xdx ,则公比q 的值为0 ( )1A. 1 B •-、1 、 1c. 1 或—•— 1 或—2 [答案]C6 6[解读] 因为 S3= 34xdx = 2x2|30= 18,所以-+ 迈 + 6= 18,化简得 2q2- q - 1 = 0, 1解得q = 1或q =— 2,故选C. 12.(2012 •太原模拟)已知(xlnx) ' = lnx + 1,贝U elnxdx =()1A. 1 B . e C . e — 1 D . e + 1 [答案]A[解读] 由(xlnx) ' = lnx + 1,联想到(xlnx — x) '= (lnx + 1) — 1 = lnx ,于是 elnxdx1=(xlnx — x)|e1 = (elne — e) — (1 x ln1 —1) = 1.13. _________________________________________________________ 抛物线y2= 2x 与直线y = 4— x 围成的平面图形的面积为 ___________________________________ .[答案]18y2= 2x ,[解读]由方程组解得两交点A(2,2)、B(8,— 4),选y 作为积分变量xy = 4 — x ,x = 4 — y ,其中x =a2 + b2 2将b - a = 2代入得x =a + 1, y = a2+ 2a + 2.已知函数f(x) = ex — 1,直线11 : x = 1, 12 : y = et — 1(t 为常数,且 O w t < 1).直线11 ,12与函数f(x)的图象围成的封闭图形如图中区域H 所示,其面积用 S2表示•直线12 ,y 轴与函数f(x)的图象围成的封闭图形如图中区域I 所示, 其面积用S1表示.当t 变化时,阴影部分的面积的最小值为 _________ .[答案](,e — 1)2[解读] 由题意得 S1 + S2= t(et — 1 — ex + 1)dx + 1(ex — 1 — et + 1)dx = t(et — 0 t0 ex)dx + 1(ex — et)dx = (xet — ex)|t 0 + (ex — xet)|1 t = (2t — 3)et + e + 1,令 g(t) = (2t — t13)et + e + 1(0 w t w 1),则 g ' (t) = 2et + (2t — 3)et = (2t — 1)et ,令 g ' (t) = 0,得 t = ?,s = 2 [(4 -414.=(4y - y2罟)|2— 4= 18.—y)—(t)<0 , g(t)是减函数,当 t € (2, 1]时,g ' (t)>0 , g(t)是增函数,1 1g (2)= e + 1 — 2e^ = ( :e — 1)2.故阴影部分的面积的最小值为(,:e[解读]f ' (x) =— 3x2+ 2ax + b , v f ' (0) = 0 b = 0, ••• f(x) =— x3 + ax2,令 f(x) = 0,得 x = 0 或 x = a(a<0).••• S 阴影= 0[0 — ( — x3 + ax2)]dxa1 1 1 1 =(4x4 — §ax3)|0a = ^a4=匸, -a<0,. • a = — 1.1. (2011 •龙岩质检)已知函数f (x ) = sin5x + 1,根据函数的性质、积分的性质和积分1 ••当 t € [0 , 2)时,g '因此g (t )的最小值为 1)2.15.求下列定积分. (1)1 — 1|x|dx 。
第2章第12节定积分与微积分基本定理(含答案详细解析)第2章函数、导数及其应用第12节定积分与微积分基本定理考点定积分与微积分基本定理1.(2013北京,5分)直线l 过抛物线C :x 2=4y 的焦点且与y 轴垂直,则l 与C 所围成的图形的面积等于( )A.43B .2 C.83D. 1623解析:本题考查抛物线的几何性质、定积分的几何意义、微积分基本定理等基础知识,考查数形结合思想以及考生的运算求解能力.由题意知抛物线的焦点坐标为(0,1),故直线l 的方程为y =1,该直线与抛物线在第一象限的交点坐标为(2,1),根据对称性和定积分的几何意义可得所求的面积是2∫201-x 24d x =2x -x 312|2=83.答案:C2.(2013江西,5分)若S 1=??12x 2d x ,S 2=??121x d x ,S 3=??12e xd x ,则S 1,S 2,S 3的大小关系为( )A .S 1B .S 2C .S 2D .S 3解析:本题考查定积分的计算及实数大小的比较,意在考查考生的运算能力. S 1=13x 3 21=83-13=73,S 2=ln x 21=ln 2<="" e="" p="" x="" =1,s="">21=e 2-e ≈2.72-2.7=4.59,所以S 2答案:B3.(2013福建,4分)当x ∈R ,|x |<1时,有如下表达式: 1+x +x 2+…+x n +…=11-x. 两边同时积分得:∫121d x +∫12x d x +∫120x 2d x +…+∫12x n d x +…=∫12011-x d x ,从而得到如下等式:1×12+12×122+13×123+…+1n +1×12n +1+…=ln 2. 请根据以上材料所蕴含的数学思想方法,计算:C 0n ×12+12C 1n ×122+13C 2n ×123+…+1n +1C n n ×12n +1=________.解析:本题考查定积分、二项式定理、类比推理等基础知识,意在考查考生的转化和化归能力、类比推理能力和运算求解能力.法一:设f (x )=C 0nx +12×C 1n x 2+13×C 2n x 3+…+1n +1×C n n x n +1,所以f ′(x )=C 0n +C 1n x +C 2n x 2+…+C n n x n =(1+x )n,所以f 12=∫120f ′(x )d x =∫120(1+x )n d x =1n +1(1+x )n +1120=1n +11+12n +1-1n +1(1+0)n +1=1n +132n +1-1.法二:C 0n×12+12C 1n ×122+13C 2n ×123+…+1n +1C n n ×12n +1=1×12+12×n ×122+13×n (n -1)2×123+…+1n +1×n (n -1)×…×2×1n (n -1)×…×2×1×12n +1 =1n +1(n +1)×12+(n +1)n 2×122+(n +1)n (n -1)3×2×123+…+(n +1)n (n -1)×…×2×1(n +1)n (n -1)×…×2×1×12n +1=1n +1C 1n +1×12+C 2n +1×122+…+C n +1n +1×12n +1 =1n +11+12n +1-C 0n +1 =1n +132n +1-1.答案:1n +132n +1-14.(2013湖南,5分)若∫T 0x 2d x =9,则常数T 的值为________.解析:本小题主要考查定积分的计算.∵∫T 0x 2d x =13T 3=9,T >0,∴T =3. 答案:35.(2012福建,5分)如图所示,在边长为1的正方形OABC 中任取一点P ,则点P 恰好取自阴影部分的概率为( )A.14 B.15 C.16D.17解析:阴影部分的面积为∫10(x -x )d x =(23x 32-12x 2)|10=16,故所求的概率P =阴影部分的面积正方形OABC 的面积=1 6.答案:C6.(2012湖北,5分)已知二次函数y =f (x )的图象如图所示,则它与x 轴所围图形的面积为( )A.2π5B.43C.32D.π2解析:由题中图象易知f (x )=-x 2+1,则所求面积为2∫10(-x 2+1)d x =2(-x 33+x )|10=43.答案:B7.(2011新课标全国,5分)由曲线y =x ,直线y =x -2及y 轴所围成的图形的面积为( )A.103 B .4 C.163D .6解析:由y =x 及y =x -2可得,x =4,所以由y =x 及y =x -2及y 轴所围成的封闭图形面积为?4(x -x +2)dx =(23x 32-12x 2+2x )|40=163. 答案:C8.(2011湖南,5分)由直线x =-π3,x =π3,y =0与曲线y =cos x 所围成的封闭图形的面积为( )A.12 B .1 C.32D. 3解析:结合函数图像可得所求的面积是定积分∫π3 π3cos xdx =sin x |π3 π3=32-(-32)=3.答案:D9.(2010山东,5分)由曲线y =x 2,y =x 3围成的封闭图形面积为( ) A.112 B.14 C.13D.712解析:由题可知y =x 2,y =x 3围成的封闭图形的面积为∫ 10(x 2-x 3)d x =(13x 3-14x 4)| 10=13-14=112. 答案:A10.(2010湖南,5分)∫ 421xd x 等于( )。
1.4定积分与微积分基本定理练习题及答案1.(2011·宁夏银川一中月考)求曲线y =x2与y =x 所围成图形的面积,其中正确的是( )A .S =⎠⎜⎛01(x2-x)dxB .S =⎠⎜⎛01(x -x2)dxC .S =⎠⎜⎛01(y2-y)dyD .S =⎠⎜⎛01(y -y)dy[答案] B[分析] 根据定积分的几何意义,确定积分上、下限和被积函数.[解读] 两函数图象的交点坐标是(0,0),(1,1),故积分上限是1,下限是0,由于在[0,1]上,x ≥x2,故函数y =x2与y =x 所围成图形的面积S =⎠⎜⎛01(x -x2)dx.2.(2010·山东日照模考)a =⎠⎜⎛02xdx ,b =⎠⎜⎛02exdx ,c =⎠⎜⎛02sinxdx ,则a 、b 、c 的大小关系是( )A .a<c<bB .a<b<cC .c<b<aD .c<a<b [答案] D[解读] a =⎠⎜⎛02xdx =12x2|02=2,b =⎠⎜⎛02exdx =ex|02=e2-1>2,c =⎠⎜⎛02sinxdx =-cosx|02=1-cos2∈(1,2),∴c<a<b.3.(2010·山东理,7)由曲线y =x2,y =x3围成的封闭图形面积为( ) A.112B.14C.13D.712[答案] A[解读] 由⎩⎪⎨⎪⎧y =x2y =x3得交点为(0,0),(1,1).∴S =⎠⎜⎛01(x2-x3)dx =⎪⎪⎪⎝ ⎛⎭⎪⎫13x3-14x401=112.[点评] 图形是由两条曲线围成的时,其面积是上方曲线对应函数表达式减去下方曲线对应函数表达式的积分,请再做下题:(2010·湖南师大附中)设点P 在曲线y =x2上从原点到A(2,4)移动,如果把由直线OP ,直线y =x2及直线x =2所围成的面积分别记作S1,S2.如图所示,当S1=S2时,点P 的坐标是( )A.⎝ ⎛⎭⎪⎫43,169B.⎝ ⎛⎭⎪⎫45,169C.⎝ ⎛⎭⎪⎫43,157D.⎝ ⎛⎭⎪⎫45,137 [答案] A[解读] 设P(t ,t2)(0≤t ≤2),则直线OP :y =tx ,∴S1=⎠⎜⎛0t (tx -x2)dx =t36;S2=⎠⎜⎛t2(x2-tx)dx =83-2t +t36,若S1=S2,则t =43,∴P ⎝ ⎛⎭⎪⎫43,169.4.由三条直线x =0、x =2、y =0和曲线y =x3所围成的图形的面积为( ) A .4 B.43C.185D .6[答案] A[解读] S =⎠⎜⎛02x3dx =⎪⎪⎪x4402=4.5.(2010·湖南省考试院调研)⎠⎛1-1(sinx +1)dx 的值为( )A .0B .2C .2+2cos1D .2-2cos1 [答案] B[解读] ⎠⎛1-1(sinx +1)dx =(-cosx +x)|-11=(-cos1+1)-(-cos(-1)-1)=2.6.曲线y =cosx(0≤x ≤2π)与直线y =1所围成的图形面积是( ) A .2π B .3π C.3π2D .π [答案] A[解读] 如右图, S =∫02π(1-cosx)dx =(x -sinx)|02π=2π.[点评] 此题可利用余弦函数的对称性①②③④面积相等解决,但若把积分区间改为⎝ ⎛⎭⎪⎫π6,π,则对称性就无能为力了. 7.函数F(x)=⎠⎜⎛0x t(t -4)dt 在[-1,5]上( )A .有最大值0,无最小值B .有最大值0和最小值-323C .有最小值-323,无最大值D .既无最大值也无最小值 [答案] B[解读] F ′(x)=x(x -4),令F ′(x)=0,得x1=0,x2=4,∵F(-1)=-73,F(0)=0,F(4)=-323,F(5)=-253.∴最大值为0,最小值为-323.[点评] 一般地,F(x)=⎠⎜⎛0x φ(t)dt 的导数F ′(x)=φ(x).8.已知等差数列{an}的前n 项和Sn =2n2+n ,函数f(x)=⎠⎜⎛1x 1t dt ,若f(x)<a3,则x 的取值范围是( )A.⎝ ⎛⎭⎪⎪⎫36,+∞B .(0,e21) C .(e -11,e) D .(0,e11) [答案] D[解读] f(x)=⎠⎜⎛1x 1t dt =lnt|1x =lnx ,a3=S3-S2=21-10=11,由lnx<11得,0<x<e11.9.(2010·福建厦门一中)如图所示,在一个长为π,宽为2的矩形OABC 内,曲线y =sinx(0≤x ≤π)与x 轴围成如图所示的阴影部分,向矩形OABC 内随机投一点(该点落在矩形OABC 内任何一点是等可能的),则所投的点落在阴影部分的概率是( )A.1πB.2πC.3πD.π4[答案] A[解读] 由图可知阴影部分是曲边图形,考虑用定积分求出其面积.由题意得S =⎠⎛0πsinxdx =-cosx|0π=-(cos π-cos0)=2,再根据几何概型的算法易知所求概率P =S S 矩形OABC =22π=1π.10.(2010·吉林质检)函数f(x)=⎩⎨⎧x +2-2≤x<02cosx 0≤x ≤π2的图象与x 轴所围成的图形面积S 为( )A.32B .1 C .4 D.12 [答案] C[解读] 面积S =∫π2-2f(x)dx =⎠⎛0-2(x +2)dx +∫π202cosxdx =2+2=4.11.(2010·沈阳二十中)设函数f(x)=x -[x],其中[x]表示不超过x 的最大整数,如[-1.2]=-2,[1.2]=1,[1]=1.又函数g(x)=-x3,f(x)在区间(0,2)上零点的个数记为m ,f(x)与g(x)的图象交点的个数记为n ,则⎠⎜⎛mn g(x)dx 的值是( )A .-52B .-43C .-54D .-76[答案] A[解读] 由题意可得,当0<x<1时,[x]=0,f(x)=x ,当1≤x<2时,[x]=1,f(x)=x -1,所以当x ∈(0,2)时,函数f(x)有一个零点,由函数f(x)与g(x)的图象可知两个函数有4个交点,所以m =1,n =4,则⎠⎜⎛m n g(x)dx =⎠⎜⎛14⎝ ⎛⎭⎪⎫-x 3dx =⎪⎪⎪-x2614=-52. 11.(2010·江苏盐城调研)甲、乙两人进行一项游戏比赛,比赛规则如下:甲从区间[0,1]上随机等可能地抽取一个实数记为b ,乙从区间[0,1]上随机等可能地抽取一个实数记为c(b 、c 可以相等),若关于x 的方程x2+2bx +c =0有实根,则甲获胜,否则乙获胜,则在一场比赛中甲获胜的概率为( )A.13B.23C.12D.34 [答案] A[解读] 方程x2+2bx +c =0有实根的充要条件为Δ=4b2-4c ≥0,即b2≥c ,由题意知,每场比赛中甲获胜的概率为p =⎠⎜⎛01b2db 1×1=13.12.(2010·吉林省调研)已知正方形四个顶点分别为O(0,0),A(1,0),B(1,1),C(0,1),曲线y =x2(x ≥0)与x 轴,直线x =1构成区域M ,现将一个质点随机地投入正方形中,则质点落在区域M 内的概率是( )A.12B.14C.13D.25[答案] C[解读] 如图,正方形面积1,区域M 的面积为S =⎠⎜⎛01x2dx=13x3|01=13,故所求概率p =13.2.如图,阴影部分面积等于( )A .23B .2-3C.323D.353 [答案] C[解读] 图中阴影部分面积为S =⎠⎜⎛-31 (3-x2-2x)dx =(3x -13x3-x2)|1-3=323.3.⎠⎜⎛024-x2dx =( )A .4πB .2πC .π D.π2[答案] C [解读] 令y =4-x2,则x2+y2=4(y ≥0),由定积分的几何意义知所求积分为图中阴影部分的面积,∴S =14×π×22=π.4.已知甲、乙两车由同一起点同时出发,并沿同一路线(假定为直线)行驶.甲车、乙车的速度曲线分别为v甲和v乙(如图所示).那么对于图中给定的t0和t1,下列判断中一定正确的是( )A.在t1时刻,甲车在乙车前面B.在t1时刻,甲车在乙车后面C.在t0时刻,两车的位置相同D.t0时刻后,乙车在甲车前面[答案] A[解读] 判断甲、乙两车谁在前,谁在后的问题,实际上是判断在t0,t1时刻,甲、乙两车行驶路程的大小问题.根据定积分的几何意义知:车在某段时间内行驶的路程就是该时间段内速度函数的定积分,即速度函数v(t)的图象与t轴以及时间段围成区域的面积.从图象知:在t0时刻,v甲的图象与t轴和t=0,t=t0围成区域的面积大于v乙的图象与t轴和t=0,t=t0围成区域的面积,因此,在t0时刻,甲车在乙车的前面,而且此时乙车的速度刚刚赶上甲车的速度,所以选项C,D错误;同样,在t1时刻,v甲的图象与t轴和t=t1围成区域的面积,仍然大于v乙的图象与t轴和t=t1围成区域的面积,所以,可以断定:在t1时刻,甲车还是在乙车的前面.所以选A.5.(2012·山东日照模拟)向平面区域Ω={(x,y)|-π4≤x≤π4,0≤y≤1}内随机投掷一点,该点落在曲线y=cos2x下方的概率是( )A.π4B. 1 2C.π2-1 D.2π[答案] D[解读]平面区域Ω是矩形区域,其面积是π2,在这个区6.(sinx-cosx)dx的值是( )A.0 B.π4C.2 D.-2[答案] D[解读] (sinx-cosx)dx=(-cosx-sinx) =-2.7.(2010·惠州模拟)⎠⎜⎛02(2-|1-x|)dx =________.[答案] 3[解读] ∵y =⎩⎪⎨⎪⎧1+x 0≤x ≤13-x 1<x ≤2,∴⎠⎜⎛02(2-|1-x|)dx =⎠⎜⎛01(1+x)dx +⎠⎜⎛12(3-x)dx=(x +12x2)|10+(3x -12x2)|21=32+32=3.8.(2010·芜湖十二中)已知函数f(x)=3x2+2x +1,若⎠⎛1-1f(x)dx =2f(a)成立,则a=________.[答案] -1或13[解读] ∵⎠⎛1-1f(x)dx =⎠⎛1-1(3x2+2x +1)dx =(x3+x2+x)|1-1=4,⎠⎛1-1f(x)dx =2f(a),∴6a2+4a +2=4,∴a =-1或13.9.已知a =∫π20(sinx +cosx)dx ,则二项式(ax -1x)6的展开式中含x2项的系数是________.[答案] -192[解读] 由已知得a =∫π20(sinx +cosx)dx =(-cosx +sinx)|π20=(sin π2-cos π2)-(sin0-cos0)=2,(2x -1x)6的展开式中第r +1项是Tr +1=(-1)r ×Cr 6×26-r ×x3-r ,令3-r =2得,r =1,故其系数为(-1)1×C16×25=-192.10.有一条直线与抛物线y =x2相交于A 、B 两点,线段AB 与抛物线所围成图形的面积恒等于43,求线段AB 的中点P 的轨迹方程.[解读] 设直线与抛物线的两个交点分别为A(a ,a2),B(b ,b2),不妨设a<b , 则直线AB 的方程为y -a2=b2-a2b -a (x -a),即y =(a +b)x -ab.则直线AB 与抛物线围成图形的面积为S =⎠⎜⎛a b [(a +b)x -ab -x2]dx =(a +b2x2-abx -x33)|b a =16(b -a)3, ∴16(b -a)3=43, 解得b -a =2.设线段AB 的中点坐标为P(x ,y),其中⎩⎪⎨⎪⎧x =a +b 2,y =a2+b22.将b -a =2代入得⎩⎪⎨⎪⎧x =a +1,y =a2+2a +2.消去a 得y =x2+1.∴线段AB 的中点P 的轨迹方程为y =x2+1.能力拓展提升11.(2012·郑州二测)等比数列{an}中,a3=6,前三项和S3=⎠⎜⎛034xdx ,则公比q 的值为( )A .1B .-12C .1或-12D .-1或-12[答案] C[解读] 因为S3=⎠⎜⎛034xdx =2x2|30=18,所以6q +6q2+6=18,化简得2q2-q -1=0,解得q =1或q =-12,故选C.12.(2012·太原模拟)已知(xlnx)′=lnx +1,则⎠⎜⎛1e lnxdx =( )A .1B .eC .e -1D .e +1 [答案] A[解读] 由(xlnx)′=lnx +1,联想到(xlnx -x)′=(lnx +1)-1=lnx ,于是⎠⎜⎛1e lnxdx =(xlnx-x)|e 1=(elne -e)-(1×ln1-1)=1.13.抛物线y2=2x 与直线y =4-x 围成的平面图形的面积为________. [答案] 18[解读] 由方程组⎩⎪⎨⎪⎧y2=2x ,y =4-x ,解得两交点A(2,2)、B(8,-4),选y 作为积分变量x=y22、x =4-y ,∴S =⎠⎜⎛-42 [(4-y)-y22]dy =(4y -y22-y36)|2-4=18.14.已知函数f(x)=ex -1,直线l1:x =1,l2:y =et -1(t 为常数,且0≤t ≤1).直线l1,l2与函数f(x)的图象围成的封闭图形如图中区域Ⅱ所示,其面积用S2表示.直线l2,y 轴与函数f(x)的图象围成的封闭图形如图中区域Ⅰ所示,其面积用S1表示.当t 变化时,阴影部分的面积的最小值为________.[答案] (e -1)2[解读] 由题意得S1+S2=⎠⎜⎛0t (et -1-ex +1)dx +⎠⎜⎛t 1(ex -1-et +1)dx =⎠⎜⎛0t (et -ex)dx +⎠⎜⎛t 1(ex -et)dx =(xet -ex)|t 0+(ex -xet)|1t =(2t -3)et +e +1,令g(t)=(2t -3)et +e+1(0≤t ≤1),则g ′(t)=2et +(2t -3)et =(2t -1)et ,令g ′(t)=0,得t =12,∴当t ∈[0,12)时,g ′(t)<0,g(t)是减函数,当t ∈(12,1]时,g ′(t)>0,g(t)是增函数,因此g(t)的最小值为g(12)=e +1-2e12=(e -1)2.故阴影部分的面积的最小值为(e -1)2.15.求下列定积分.(1)⎠⎛1-1|x|dx 。