上海海事大学办公电话表
- 格式:xls
- 大小:43.50 KB
- 文档页数:6
上海海事大学新生入学常见问题解答关于空调:学校的寝室是可以安装空调的,有的寝室之前有学长学姐申请过安装留下来的空调只需去申请解封就好了,没有的寝室需要去30号楼一楼领取申请表,需要寝室4人签名以及辅导员签名方可办理.最好在开学的时候尽快申请因为如果慢了可能要等上半个学期甚至更久.费用大概4年1600 3年1300+另外学校其他地方包括图书馆,教学区,食堂等都有空调.关于宽带:寝室的宽带需要到学校外面共享区二楼的电信营业厅办理,带宽为2M(比较坑….但是垄断没办法,玩游戏不卡),不知道新一年会不会有所改变,办理的时候电信人员会告诉你不能用路由器几人合用一个.当然只是他忽悠你而已,去年隔壁寝室就傻傻的办了4个- -.开学最好尽快办.因为同样办的人会非常多,不过最晚大概要等3,4天就能拿到账号.关于寝室:学校的寝室都是4人间,上床下桌床的大小是90*200.大概就是这个样子- -学长寝室讲究着看吧……这是楼道。
学校的寝室都没有独立卫浴没个楼层有两个洗手间包括浴室.男生寝室南苑都有,北苑一部分有。
没有热水器的寝室可到北广的公共澡堂。
寝室周日到周五晚上11点熄灯,关门(嗯…可以翻窗…..)周五周六12点放假不熄灯在寝室吹风机,充电台灯,电饭煲,水壶等算违禁电器学校会查但是用完之后放在柜子里就可以了.另外寝室会有一台饮水机,开学时到楼下拿,饮用水一桶12元~~一楼有可以打开水的地方还有洗衣机每天早上都会消毒.关于转专业:每个专业的前10%有转专业的机会。
绩点越高成功的可能性越大。
关于食堂:学校北苑有三个食堂,分别是南苑海琴楼,北广的海馨楼,以及校医院(六号门)旁的海联楼.菜不贵,味道总体还算不错,如果你不挑食的话.海联二楼还有招待餐厅,要吃什么菜需要提前预定,不然只能有什么吃什么.海琴三楼是教师食堂,可以点菜.大家都说海联二楼的自选食堂比较好吃,不过也比较贵0.0关于外卖:同学们要点外卖如果没电话可以上饿了么网站上点基本上所有的店家都有,现在还有淘点点,我没试过不知道怎样.关于交通:地铁2号线------龙阳路------龙港快线B(全程高速)直达------沪城环路共享区地铁11号线-------罗山路------地铁16号线--------临港大道----出站换乘公交1077----直达沪城环路共享区上海南站(火车)------芦潮港------龙芦专线-----沪城环路共享区龙港快线速度较快相对的价钱较高单程17关于购物:学校里北广有两个小型超市,共享区有个稍微大一丢丢的,大型超市要从3号门出去直走有个农工商,那边还有唯一的一个KTV关于学校:学校占地4000+亩绕校内一圈大概4公里左右。
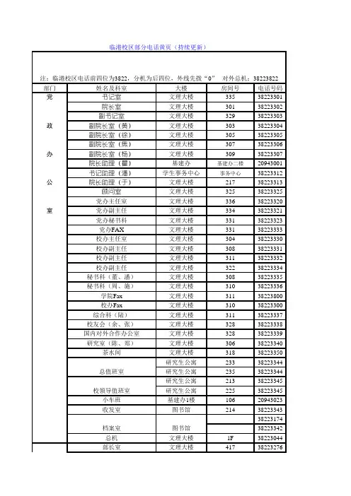
部门姓名及科室大楼房间号电话号码党书记室文理大楼33538223301院长室文理大楼30138223302副书记室文理大楼32938223303政副院长室(黄)文理大楼30338223304副院长室(徐)文理大楼30538223305副院长室(焦)文理大楼30738223306办副院长室(杨)文理大楼30938223307院长助理(瞿)基建办基建办二楼20943001书记助理(潘)学生事务中心事务中心38223312公院长助理(于)文理大楼21738223313顾问室文理大楼32538223325党办主任室文理大楼33638223320室党办副主任文理大楼33438223321党办秘书科文理大楼33138223323党办FAX 文理大楼33138223333校办主任室文理大楼30438223330校办副主任文理大楼30838223331校办副主任文理大楼31138223332校办副主任文理大楼32238223334秘书科(董、潘)文理大楼30838223335秘书科(周、施)文理大楼31038223336学院Fax 文理大楼31138223800校办Fax 文理大楼31038223300综合科(陆)文理大楼31138223337校友会(余、张)文理大楼32838223338国内对外合作办公室文理大楼32838223339研究室(陈、郑)文理大楼30638223340茶水间文理大楼31838223350研究生公寓23338223344研究生公寓23538223344研究生公寓21338223345研究生公寓22538223345小车班基建办1楼10620943023收发室图书馆214382233433822317438223342总机文理大楼1F 38223044部长室文理大楼41738223276总值班室校领导值班室档案室图书馆临港校区部分电话黄页(持续更新)注:临港校区电话前四位为3822,分机为后四位,外线先拨“0” 对外总机:38223822组织部文理大楼41838223278组织部Fax 文理大楼41838223270纪委办公室纪委办公室文理大楼51738223140处长室文理大楼20138223008副处长文理大楼20338223010师资科文理大楼20238223002人事管理科文理大楼20438223004工资福利科文理大楼20638223006人事处(卜)文理大楼20338223012处长室文理大楼10738223273副处长室文理大楼10538223049安全生产科文理大楼11138223046综合科文理大楼10938223048处长室文理大楼20938223024副处长室文理大楼20838223021学科建设与学位管理科文理大楼20838223020科研管理科文理大楼20738223013学报编辑部文理大楼20538223022处长室文理大楼21938223031副处长(贾、杨)文理大楼23438223045副处长(孙)文理大楼23438223047教学评估办公室文理大楼23238223041教学质量办公室文理大楼22138223037专业管理科文理大楼22338223030教学管理科文理大楼22538223043教学管理科文理大楼22538223050誊印室文理大楼11638223017处长室(李)学生事务中心10638223271副处长(顾)学生事务中心10738223287副处长(何)学生事务中心10738223168副处长(姚)学生事务中心10538223111副处长(邱)学生事务中心10538223289学生事务中心(倪、孔)学生事务中心11038223279学生事务中心(叶)学生事务中心10838223275学生事务中心(胡)学生事务中心10838223052学生事务中心(丁)学生事务中心10938223283学生就业指导中心(王)学生事务中心10938223285学生就业指导中心(路、宋)学生事务中心10938223223大学生德育发展中心(郭)学生事务中心30238223402大学生德育发展中心(余)学生事务中心30438223299大学生心理咨询中心(仇)学生事务中心30838223297大学生心理咨询中心(张)学生事务中心31038223295大学生心理咨询中心学生事务中心31838223158教务处组织部人事处保卫处科研处团委学生事务中心20538223291团委学生事务中心20538223293广播台学生事务中心21838223232学生干部办公中心学生事务中心21438223388研究室学生事务中心20738223406处长文理大楼22638223035发展规划处文理大楼22438223034处长室文理大楼51538223136审计处文理大楼51538223134处长室文理大楼22238223039国际合作与交流处文理大楼22038223033部长处文理大楼21838223028新闻中心文理大楼21338223026处长室文理大楼11238223009财务处副处长室文理大楼11238223011财务管理科(许)文理大楼12138223007财务管理科(李)文理大楼12138223003财务管理科(徐)文理大楼12138223005财务处文理大楼11738223015财务处文理大楼11738223019处长室文理大楼10138223018培训处文理大楼10338223016机关党总支书记室文理大楼41938223280教学党总支书记室文理大楼42038223282工 会文理大楼42138223284工 会文理大楼42238223286工 会文理大楼42238223288处长室工业中心1号楼10738223198设备科工业中心1号楼10538223225实验室管理科工业中心1号楼10538223209报修电话工业中心1号楼10538223211昂电后勤昂电后勤(范)卫生所20938223245服务中心昂电后勤(郭)卫生所20738223247昂电后勤(闵)卫生所21138223243综合办公室卫生所215B 38223241财务办公室卫生所215A 38223261物业办公室25宿10138223390物业办公室25宿10538223396物业办公室25宿10838223398电工值班室25宿11238223382处长室卫生所20538223249后保处综合科1卫生所20338223251后保处综合科2卫生所20138223253学工部发展规划处审计处工 会资产管理处国际合作与交流处 宣传部财务处培训处卫生所所长室卫生所11038223257卫生所夜值班室卫生所101、10338223259治疗室卫生所104治疗室卫生所106治疗室卫生所108挂号室卫生所11138223267电子信息电子信息学院实验办公室工业中心1号楼41138223205学院电子信息学院实验中心机房1工业中心1号楼42038223207电子信息学院实验中心机房2工业中心1号楼40538223213工主任室工业中心1号楼41338223217程副主任室工业中心1号楼41838223221技电气技术实践教学部工业中心1号楼30738223227术工程技术中心综合办公室工业中心1号楼41638223201中工程技术中心综合办公室工业中心1号楼41638223203心工业技术中心实验办公室工业中心1号楼11338223219现代制造技术实践教学部工业中心2号楼20338223234现代制造技术实践教学部工业中心2号楼20738223231电子电工实验室工业中心3号楼11338223236工程技术中心修理办公室工业中心3号楼11338223236机械技术基础实践教学部1工业中心3号楼21538223242机械技术基础实践教学部2工业中心3号楼21738223240机械技术基础实践教学部3工业中心3号楼21138223238主任室文理大楼40938223264直属党支部书记文理大楼41138223268综合办公室文理大楼40738223260数学教研室文理大楼40138223250数学教研室文理大楼40338223252数学教研室文理大楼40438223254数学办公室文理大楼40538223256数学教研室文理大楼40638223258物理教研室文理大楼40838223262物理教研室文理大楼41038223266人院长室文理大楼43538223105文直属党支部书记文理大楼43338223100社综合办公室文理大楼43138223098科教学办公室文理大楼42938223096学人文与艺术教研室文理大楼43438223102院形势与政策教研室文理大楼43638223107马克思主义理论教研室1文理大楼43238223093马克思主义理论教研室2文理大楼42738223294马克思主义理论教研室3文理大楼43038223296马克思主义理论教研室4文理大楼42538223292会议室文理大楼42438223290后勤保障处38223265数理教学部院长室(孙)文理大楼52538223157院长室(靳)文理大楼52538223155副院长(张)文理大楼52338223153副院长文理大楼52338223410综合办公室文理大楼52138223147综合办公室Fax 文理大楼52138223149教学办公室文理大楼51138223125教授工作室文理大楼50238223112教授工作室文理大楼50438223109教授工作室文理大楼50638223120财务管理教研室文理大楼50138223274财务管理教研室文理大楼50338223116财务管理教研室文理大楼50538223118社会服务办公室文理大楼50938223122国际经济与贸易教研室文理大楼51338223129国际经济与贸易教研室文理大楼51438223132国际经济与贸易教研室文理大楼51638223138合作项目办公室文理大楼51838223143工业工程教研室文理大楼52038223145产品质量工程教研室文理大楼52238223151市场营销教研室文理大楼52638223160物流管理教研室文理大楼52738223272物流管理教研室文理大楼52838223272经管学院实验办公室物理中心40338223062商务情景模拟实验室物理中心40238223065体育教书记室公共教学楼D 10638223175学综合办公室公共教学楼D 20738223177中器材室公共教学楼D 208心教师办公室公共教学楼D 204院长室语言中心40138223395党总支书记室语言中心20338223397副院长室(黎)语言中心40438223076副院长室语言中心40438223393学生工作办公室语言中心20138223400语言实验中心语言中心30338223391大学英语教学部语言中心40538223078德语系语言中心40638223087大学英语教学部语言中心40738223080教授工作室语言中心40838223082英语工作室语言中心40938223085日语系语言中心40338223073商学院主任室公共教学楼D 2093822317338223179外国语学院机械学院办公室图书馆62438223170院长室38223068院长室38223079院长室38223081电院长室38223095子院长室Fax 38223101信党总支书记38223108息党总支书记Fax 38223106学副院长(孙)图书馆72638223115院副院长(王)图书馆72638223128综合办公室图书馆71938223097综合办公室图书馆71938223172教授工作室图书馆72438223123计算机科学系图书馆72538223083计算机科学系图书馆72538223090计算机科学系图书馆73038223103计算机科学系图书馆72038223117计算机基础教学部图书馆72838223092馆长室图书馆70238223137副馆长图书馆70438223072馆长办公室图书馆70938223135技术部图书馆70638223075技术部图书馆71338223070技术部图书馆71038223121流通部图书馆71738223130期刊部图书馆71538223142采编部图书馆71138223077咨询服务部图书馆70838223144二楼服务台图书馆二楼38223176二楼阅览室图书馆20838223178电子阅览室2图书馆51238223193三楼服务台图书馆3F 38223184三楼阅览室图书馆30838223182人文社科阅览室图书馆31138223180四楼服务台图书馆4F 38223195五楼阅览室图书馆51438223167信息化主任室图书馆11938223088办公室软件系统办公室图书馆11538223186一卡通办公室图书馆12138223086网络报修电话图书馆11138223119辅电气学院辅导员办公室25宿20138223392导电气学院辅导员办公室25宿20238223380员机械学院辅导员办公室25宿20338223362图书馆电气学院图书馆图书馆图书馆723732721办机械学院辅导员办公室25宿20438223360公机械学院辅导员办公室25宿20538223369室电子信息学院辅导员办公室25宿20638223371电子信息学院辅导员办公室25宿20738223375电子信息学院辅导员办公室25宿20838223373商学院辅导员办公室25宿21038223358商学院辅导员办公室25宿21138223367商学院辅导员办公室25宿21238223378汽车学院辅导员办公室25宿21738223364辅商学院辅导员值班室15宿(女)11838223405导商学院辅导员值班室16宿(女)11838223407员辅导员值班室17宿(女)10138223171值辅导员值班室18宿(女)10138223183班辅导员值班室25宿(男)11638223255室外国语辅导员值班室27宿(女)10138223409信息学院辅导员值班室28宿(女)10138223411商学院辅导员值班室19宿(女)11738223053电气、机械辅导员值班室20宿(女)11738223056汽车学院辅导员值班室21宿(男)10138223058信息学院辅导员值班室22宿(男)10138223352商学院辅导员值班室23宿(男)11638223354商学院辅导员值班室24宿(男)11838223357电气学院辅导员值班室26宿(男)11838223359机械、外国语辅导员值班室29宿(男)11738223361机械学院辅导员值班室30宿(男)11838223363研究生楼管研究生公寓1F3822336515宿15宿1F3822316617宿17宿1F3822316919宿19宿1F3822318521宿21宿1F3822318723宿23宿1F3822319225宿25宿1F3822340127宿27宿1F3822319429宿29宿1F38223196工业中心工业中心A1F38223229语言中心语言中心1F38223089楼管公共教学楼C公共教学楼C1F38223164。
“GP超霸杯”2004年上海市大学生社团文化节之DV大赛活动方案一、活动口号:年轻放飞梦想,DV创造奇迹二、承办单位共青团上海海事大学委员会三、比赛时间2004年11月13日(星期六)四、比赛地点上海海事大学(浦东大道1550号)五、参赛对象全市普通高等院校的在校学生六、参赛要求1、参赛DV作品分剧情片、实验短片、记录片三种。
剧情片要求:情节丰富,演员到位,叙述流畅,结构完整。
实验短片要求:表现手法时尚,寓意深刻,有无演员无关。
记录片要求:选题独特,表现生动,情感真实,提炼生活原态。
2、参赛DV作品必须用数码摄象机拍摄并经过电脑剪辑制作。
3、参赛DV作品主要剧组成员必须符合参赛对象要求。
4、参赛DV作品题材不限,片长不限。
5、参赛DV作品须包括光盘或DV带,作品简介。
6、参赛DV作品光盘须刻成VCD格式,一张光盘只能放一个作品。
7、参赛者须认真填写授权书,参赛DV作品光盘将不再归还作者,DV带在比赛后将归还作者。
8、参赛DV作品不得涉及色情、暴力,不得与国家相关的法律、法规相抵触。
七、比赛方法比赛分为初评、终评两个阶段,采用学生评选和专家评选相结合的方式。
八、奖项设置最佳剧情片、最佳实验短片、最佳记录片、最佳导演、最佳摄影、最佳编剧、最佳剪辑、最佳舞美、最佳音效、最佳男/女演员、DVwonder 特殊成就奖。
九、报名方式请于2004年11月5日(星期五)之前,将报名表和参赛DV作品交至上海海事大学团委,信封上请注明“2004年上海市大学生社团文化节之DV大赛”字样。
联系人:刘征联系地址:浦东大道1550号上海海事大学团委 200135联系电话:58855200转4095(团委)、58855200转4138(社团联)传真:38820002邮箱:DVwonder@。
电子工程系朱大奇教授信息工程学院教授委员会主席、电子工程系主任﹑博士生导师;“信号与信息处理”重点学科带头人,“水下机器人与智能系统实验室”负责人;中国自动化学会故障诊断与安全性专业委员会委员,中机生产工程学会机床专业委员会委员,上海市模范教师,《船海工程》核心期刊编委;国家自然科学基金、国家863计划通信评审专家。
研究方向:水下机器人传感、控制与路径规划;港航设备故障诊断与容错控制、人工神经网络与多传感器信息融合等Email:dqzhu@谢宏教授男,1962年生,陕西汉中市人,工学博士,教授。
2002年4月华北电力大学电力系统及其自动化博士研究生毕业,获工学博士学位,2002年1月至2004年1月在上海交通大学电子信息与电气工程学院作博士后研究,2004年7月至2004年9月在悉尼科技大学信息技术学院做高级访问学者。
研究方向:智能信息处理及其应用、物流信息监控和生物信号处理等Email:hongxie@曾连荪教授男,教授。
长期从事无线接入技术和定位测控技术的应用研究,研究成功了多项导弹测控、医疗电子和汽车电子工业产品。
上海无线电行业协会副理事长,上海惯性学会理事;上海通信制造行业协会定位导航专委会副主任。
曾获全军科技进步三等奖一次。
负责过五项国防“七五”、“八五”等预研攻关和型号项目。
目前为我国无线测控网建设首席专家,建设总工程师。
研究方向:无线接入技术、定位测控技术、安全监控技术等。
Email:lszeng@安博文副教授男,1969年出生,上海市曙光学者,副教授。
2009年9月中国科学院上海技术物理研究所博士后流动站/上海广电(集团)有限公司中央研究院博士后工作站出站,2006年中国科学院研究生院获工学博士学位,2004年武汉大学获工学硕士学位。
研究方向:遥感图像的获取与处理、信号检测与信息处理。
Email:bwan@薄华副教授女,1971年生,副教授。
2006年6月,获得西安电子科技大学电路与系统专业工学博士学位。
2011年上海海事大学工程硕士专业学位研究生招生简章根据国务院学位委员会办公室《关于2011年招收在职人员攻读硕士学位工作的通知》(学位办…2011‟28号)及教育部学位与研究生教育发展中心(以下简称“学位中心”)《关于做好2011年在职人员攻读硕士学位全国联考报名工作的通知》(学位中心…2011‟23号)精神,现就做好我校报名工作的有关事宜通知如下:一、考试时间及安排2011年在职人员攻读硕士学位全国联考(工程硕士)将于10月30日进行。
二、报名工作(一)网上报名和现场确认采用全国统一网上报名与各考区现场确认相结合的方式。
具体报名工作程序及要求见附件2。
2011年7月1日至14日期间,报名考生登录学位网“在职攻读硕士学位全国联考统一网上报名系统”(以下简称“网报系统”)填写、提交考试报名信息,并上传本人近期电子照片(采用护照证件照片标准,具体要求见附件3,该电子照片将在《报名登记表》、《资格审查表》、准考证、成绩单上使用)。
2011年7月16日至18日期间,已经报名的考生到现场确认点(网上报名成功后得到的具体地点信息提示)校验身份证件,缴纳考试报名费,签字确认考试报名信息,并领取2011版《非全日制攻读硕士学位全国考试考生守则及违规处理规则》见附件4。
报考我校工程硕士研究生上海考区现场确认点为:考生现场签字确认后的信息,须由考生本人负责,一律不得更改。
所有报名考生应在规定的报名期限内进行网上报名和现场确认,认手续的,本次考试报名无效。
(二)报名证件要求与预报名根据学位办…2011‟28号文件,参加此项考试的居住在中华人民共和国境内的公民规定使用的有效身份证件为第二代居民身份证原件.根据《现役军人和人民武装警察居民身份证申领发放办法》(国务院、中央军委第510号令,2008年1月1日起施行)第十一条规定,“现役军人、人民武装警察从事有关社会活动,需要证明公民身份的,凭居民身份证证明;执行任务、办理公务、享受抚恤优待等,需要证明现役军人或者人民武装警察身份的,凭军队、武装警察部队制发的身份证件证明”。
上海海事大学港湾校区上海海事大学港湾校区2017年暑假期间校园运行安排一、放假时间:1学生放假时间为7月1日-9月8日;2教师暑假放假时间为7月4日-9月6日,9月7日上班。
3干部、职工暑假放假时间为7月5日-9月5日;9月6日上班。
二、假期值班人员、时间1人员:各职能部门值班。
2各部门在校值班时间:假期每周二上午8:30-12:00 3校保健站值班时间:每周二8:00—16:30 4假期校内安全保卫科负责,安排校卫队校内巡视。
三、后勤服务中心暑假安排1学校食堂周一至周六营业(只提供中餐),9月6号起正常运营。
2一卡通充值中心充值时间:7月4日中午11:00-12:30。
3浴室7月4日停止服务。
四、附表各职能部门值班安排办公室地点:行政楼411室日期7月11日7月18日7月25日8月1日8月8日8月15日8月22日8月29日值班人员李老师王老师王老师周老师姚老师王老师冯老师林老师办公电话58711692*3004 58711692*3007 58711692*3001 58711692*3008 58711692*3005 58711692*3002 58711692*3003 58711692*3006 教务科办公地点:行政楼303室学生科、团委、招毕办地点:学生事务中心日期7月11日7月18日7月25日8月1日8月8日8月15日8月22日8月29日值班人员胡老师胡老师葛老师陈老师张老师葛老师张老师陈老师办公电话58711772 58711772 58711692*6004 58711692*6003 58711692*6002 58711692*6004 58711692*6002 58711692*6003日期7月11日7月18日7月25日8月1日8月8日8月15日8月22日8月29日值班人员方老师赵老师赵老师兰老师方老师祝老师祝老师林老师办公电话58467740 58467740 58467740 58715978 58467740 58467740 58467740 50550058 保卫科地点:教学楼117资产管理科地点:晶港楼204 日期7月11日7月18日7月25日8月1日8月8日8月15日8月22日8月29日值班人员唐老师唐老师唐老师唐老师唐老师唐老师唐老师唐老师办公电话58711692*1801 58711692*1801 58711692*1801 58711692*1801 58711692*1801 58711692*1801 58711692*1801 58711692*1801日期7月11日7月18日7月25日8月1日8月8日8月15日8月22日8月29日值班人员王老师王老师李老师张老师张老师张老师李老师李老师办公电话58711691转1702 58711691转1702 58711691转1701 58711691转1703 58711691转1703 58711691转1703 58711691转170158711691转1701 图书馆地点:图书馆实训中心地点:实训楼日期值班人员廖老师田老师王老师钱老师黄老师廖老师田老师王老师办公电话58711692*1201 58711692*1203 58711692*1202 58711692*1205 58711692*1205 58711692*1201 58711692*1203 58711692*1202 7月11日7月18日7月25日8月1日8月8日8月15日8月22日8月29日日期7月11日7月18日7月25日8月1日8月8日8月15日8月22日8月29日值班人员宗老师张老师郑老师周老师顾老师姚老师张老师宗老师办公电话58711692*8001 58711692*8002 58711692*8007 58711692*8003 58711692*8003 58711692*8005 58711692*8002 58711692*8001电教中心地点:教学楼420室日期7月11日7月18日7月25日8月1日8月8日8月15日8月22日8月29日继续教育部办公地点:行政楼201室/教学楼119室值班人员马老师马老师马老师马老师齐老师齐老师齐老师齐老师办公电话58711692*7001 58711692*7001 58711692*7001 58711692*7001 58711692*7003 58711692*7003 58711692*7003 58711692*7003日期7月11日7月18日7月25日8月1日8月8日8月15日8月22日8月29日值班人员朱老师朱老师谢老师谢老师戴老师戴老师陆老师陆老师办公电话58711692-4303 58711692-4303 58711692-4301 58711692-4301 58711692-4305 58711692-4305 58711692-4306 58711692-4306船员培训部办公地点:行政楼205日期7月11日7月18日7月25日8月1日8月8日8月15日8月22日8月29日值班人员李老师滕老师石老师滕老师滕老师滕老师滕东明李老师办公电话58856255 58856255 58856255 58856255 58856255 58856255 58856255 58856255航海职教部港湾校区办公地点:行政楼203 日期值班人员办公电话7月11日7月18日7月25日8月1日8月8日8月15日8月22日8月29日姚老师薛老师姚老师薛老师姚老师薛老师姚老师薛老师58711692*4105 58521913 58711692*4105 58521913 58711692*4105 58521913 58711692*4105 58521913 函授夜大部办公地点:行政楼213教材资料部办公地点:图书馆1楼107室日期7月11日7月18日7月25日8月1日8月8日8月15日8月22日8月29日值班人员巫老师巫老师黄老师黄老师朱老师朱老师程老师程老师办公电话58856269 58856269 58856269 58856269 58856269 58856269 58856269 58856269日期7月11日7月18日7月25日8月1日8月8日8月15日8月22日8月29日值班人员朱老师吴老师朱老师吴老师朱老师朱老师吴老师吴老师办公电话58856152 58856152 58856152 58856152 58856152 58856152 58856152 58856152 后勤服务中心值班办公地点:晶港楼办公室日期7月11日7月18日7月25日8月1日8月8日8月15日8月22日8月29日校保健站值班人员杨老师杨老师毛老师金老师金老师金老师毛老师毛老师办公电话58711692*1601 58711692*1601 58711692*1602 58711692*1604 58711692*1604 58711692*1604 58711692*1602 58711692*1602 为学生提供就诊、转诊、开具住院或大病凭证等服务日期7月11日7月18日7月25日8月1日8月8日8月15日8月22日8月29日值班人员金老师吕老师赵老师金老师吕老师赵老师金老师吕老师办公电话58711692*1614,161558711692*1614,161558711692*1614,161558711692*1614,161558711692*1614,161558711692*1614,161558711692*1614,161558711692*1614,1615。
代号考点名称考场地址电话邮编1020101北京外国语⼤学考试中⼼海淀区西三环北路2号010 ********1000891020102清华⼤学外语系国外考试中⼼海淀区清华⼤学外语系010 ********1000841020103北京语⾔⼤学国外考试中⼼北京海淀区学院路15号010 ********1000831020104北京师范⼤学国外考试中⼼北京新街⼝外⼤街19号新主楼A104 010 ********1008751020105北京第⼆外国语学院⽇语系北京定福庄南⾥1号010 ******** 65761681 1000241020106北京⼤学国外考试中⼼北京⼤学第四教学楼东侧⼆层010 ******** 62764111 1008711020201上海外国语⼤学海外考试中⼼上海市东体育会路 410号021 ********-2584 65422002 2000831020202华东师范⼤学国外考试中⼼上海中⼭北路3663号021 ********2000621020203上海海事⼤学考试中⼼上海浦东⼤道1550号021 ********2001351020204华东理⼯⼤学考试中⼼上海市梅陇路 130号021 ********2002371020205上海交通⼤学外国语学院上海市东川路800号(闵⾏校区)021 *******2000301020206上海同济⼤学教务处四平路1239号021 ********2000921020301吉林⼤学海外考试中⼼长春市⼈民⼤街3973号0431 ******* 5654687(语⾳)1300211020401⼤连外国语学院考试中⼼中⼭区延安路94号0411 ********-63671160021020402辽宁师范⼤学教务处考试中⼼⼤连市黄河路850号0411 ********1160291020403⼤连理⼯⼤学外国语学院⼤连市凌⼯路2号0411 ********/81801797 1160241020501⼴东外语外贸⼤学国外考试中⼼⼴州市⽩云⼤道北2号020 ******** 16881081 5104201020502⼴州华南师范⼤学教务处考试中⼼⼴州⽯碑020 ********5106311020601辽宁⼤学教务处沈阳市皇姑区崇⼭中路66号024 ********1100361020701天津外国语学院海外考试中⼼天津市河西区马场道117号022 ********3002041020801⿊龙江⼤学考试中⼼哈尔滨市南岗区学府路74号0451 ********1500801020901西安交通⼤学外语部考试中⼼西安市咸宁路28号029 ********/40987100491021001重庆四川外国语学院重庆沙坪坝区烈⼠墓川外成教院考办023 ********4000311021101⼭东师范⼤学海外考试办公室⼭东济南⽂化东路88号0531 ********2500141021201华中科技⼤学外语考试中⼼武汉市武昌珞瑜路1037#027 ********4300741021202武汉⼤学师资培训中⼼武汉市武昌珞珈⼭027 ********4300721021301厦门⼤学外⽂学院(博学⼆)厦门思明南路422号0592 *******3610051021401浙江⼤学溪西校区外语学院考试中⼼杭州市天⽬⼭路34号0571 ********3100281021402杭州浙江⼯商⼤学国外考试中⼼杭州市教⼯路149号0571 ********3100121021403杭州浙江省⾃考办⽂晖路321号浙江教育⼤厦0571 ********3100141021403杭州浙江省⾃考办⽂⼆路331号0571 ********310012内蒙古中⽇友好语⾔培训中⼼呼和浩特市⾦川开发区电⼒城内0471 *******0100801021601解放军外国语学院教务处海外考试中⼼河南省洛阳市036信箱70号0379 ********4710031021701苏州⼤学外国语学院⽇语考试中⼼苏州⼗梓街1号⼤学本部7号楼235 0512 ********2150071021702苏州科技学院教务处苏州市滨河路1701号0512 ********2150111021801中国海洋⼤学外语学院考试中⼼青岛市⾹港东路23号0532 ********2660711021901湖南⼤学考试中⼼(教务处)湖南⼤学教务处考试中⼼0731 *******4100821022001川⼤出国⼈员培训部考试办公室成都市⼀环路南⼀段24号028 ********6100651022101南京东南⼤学外语系南京四牌楼2号025 ********/14742100961022102南京师范⼤学外国语学院宁海路122号025 ********2100971022201合肥中国科技⼤学东区合肥⾦寨路96号0551 *******2300261022201合肥中国科技⼤学西区合肥市黄⼭路深圳⼤学国际考试中⼼深圳解放路4008号成教学院A918 0755 ********5180081022302深圳职业技术学院深圳西丽湖0755 ********5180551022401南昌⼤学南京东路235号0791 *******330047。