空气动力学第二章习题
- 格式:doc
- 大小:554.50 KB
- 文档页数:5
空气动力学大题(2)1什么是定常流以及什么是非常流?答:在流场中的任何一点处,流体微团的流动参数(速度、压力、温度、密度)随时间变化为非定常流。
在流场中的任何一点处,流体微团的流动参数(速度、压力、温度、密度)不随时间变化为定常流。
2同一流管:截面积大,流速小,压力大。
截面积小,流速大,压力小.。
3结合连续方程和伯努利方程可以得出结论:不可压缩、理想流体定常流动时,在管道剖面面积减小的地方,流速增大,流体的动压增大,静压减小。
在管道剖面面积增大的地方,流速减小,流体的动压减小,静压增大。
4附面层的特点附面层分为层流附面层和紊流附面层,层流在前,紊流在后。
层流与紊流之间的过渡区称为转捩点。
5摩擦阻力由于紧贴飞机表面的空气受到阻碍作用而流速降低到零,根据作用力与反作用力定律,飞机必然受到空气的反作用。
这个反作用力与飞行方向相反,称为摩擦阻力。
摩擦阻力是由于空气有粘性而产生的阻力,存在于附面层内。
6减小摩擦阻力的措施采用层流翼型;附面层控制;保持机体表面的光滑清洁。
尽可能减小飞机暴露在气流中的表面面积,也有助于减小摩擦阻力。
7压差阻力是由处于流动空气中的物体的前后的压力差,导致气流附面层分离,从而产生的阻力减小飞机上的压差阻力的措施尽量减小飞机及各部件的迎风面积。
应尽可能把暴露在气流中的所有部件都做成流线型飞行时,除了气动部件外其他部件的轴线应尽量与气流方向平行。
8飞机的各个部件,如机翼、机身、尾翼的单独阻力之和小于把它们组合成一个整体所产生的阻力,这种由于各部件气流之间的相互干扰而产生的额外阻力,称为干扰阻力减小干扰阻力的措施适当安排各部件之间的相对位置。
在部件结合处安装整流罩。
使结合部位光滑,减小流管的收缩和扩张。
9由于翼尖涡的诱导,导致气流下洗,在平行于相对气流方向出现阻碍飞机前进的力,这就是诱导阻力。
增大机翼的展弦比;增设翼尖小翼采用梯形的机翼平面形状10结论总阻力随着速度增大,先增大后减小。
《空气动力学基础及飞行原理》1、绝对温度的零度是(C)A、-273℉B、-273KC、-273℃D、32℉2、空气的组成为(C)A、78%氮,20%氢和2%其他气体B、90%氧,6%氮和4%其他气体C、78%氮,21%氧和1%其他气体D、21%氮,78%氧和1%其他气体3、流体的粘性系数与温度之间的关系是?(B)A、液体的粘性系数随温度的升高而增大。
B、气体的粘性系数随温度的升高而增大。
C、液体的粘性系数与温度无关。
D、气体的粘性系数随温度的升高而降低。
4、空气的物理性质主要包括(C)A、空气的粘性B、空气的压缩性C、空气的粘性和压缩性D、空气的可朔性5、下列不是影响空气粘性的因素是(A)A、空气的流动位置B、气流的流速C、空气的粘性系数D、与空气的接触面积6、气体的压力<P>、密度<ρ>、温度<T>三者之间的变化关系是(D)A、ρ=PRTB、T=PRρC、P=Rρ/ TD、P=RρT7、在大气层内,大气密度(C)A、在同温层内随高度增加保持不变。
B、随高度增加而增加。
C、随高度增加而减小。
D、随高度增加可能增加,也可能减小。
8、在大气层内,大气压强(B)A、随高度增加而增加。
B、随高度增加而减小。
C、在同温层内随高度增加保持不变。
D、随高度增加可能增加,也可能减小。
9、空气的密度(A)A、与压力成正比B、与压力成反比C、与压力无关。
D、与温度成正比。
10、影响空气粘性力的主要因素: (BC)A、空气清洁度B速度剃度C空气温度D、相对湿度11、对于空气密度如下说法正确的是(B)A、空气密度正比于压力和绝对温度B、空气密度正比于压力,反比于绝对温度C、空气密度反比于压力,正比于绝对温度D、空气密度反比于压力和绝对温度12、对于音速.如下说法正确的是: (C)A、只要空气密度大,音速就大B、只要空气压力大,音速就大C、只要空气温度高.音速就大D、只要空气密度小.音速就大13、假设其他条件不变,空气湿度大(B)A、空气密度大,起飞滑跑距离长B、空气密度小,起飞滑跑距离长C、空气密度大,起飞滑跑距离短D、空气密度小,起飞滑跑距离短14、一定体积的容器中,空气压力(D)A、与空气密度和空气温度乘积成正比B、与空气密度和空气温度乘积成反比C、与空气密度和空气绝对湿度乘积成反比D、与空气密度和空气绝对温度乘积成正比15、一定体积的容器中.空气压力(D)A、与空气密度和摄氏温度乘积成正比B、与空气密度和华氏温度乘积成反比C、与空气密度和空气摄氏温度乘积成反比D、与空气密度和空气绝对温度乘积成正比16、对于露点温度如下说法正确的是: (BC)A、温度升高,露点温度也升高B、相对湿度达到100%时的温度是露点温度C、露点温度下降,绝对湿度下降D、露点温度下降,绝对湿度升高17对于音速,如下说法正确的是(AB)A、音速是空气可压缩性的标志B、空气音速高,粘性就越大C、音速是空气压力大小的标志D、空气速度是空气可压缩性的标志18、国际标准大气的物理参数的相互关系是(B)A、温度不变时,压力与体积成正比B、体积不变时,压力和温度成正比C、压力不变时,体积和温度成反比D、密度不变时.压力和温度成反比19、国际标准大气规定海平面的大气参数是(B)A、P=1013 psi T=15℃ρ=1、225kg/m3B、P=1013 hPA、T=15℃ρ=1、225 kg /m3C、P=1013 psi T=25℃ρ=1、225 kg/m3D、P=1013 hPA、T=25℃ρ=0、6601 kg/m320、在温度不变情况下,空气的密度与压力的关系? (A)A、与压力成正比。
空⽓动⼒学期末复习题(2)第⼀章⼀:绪论;1.1⼤⽓的重要物理参数 1、最早的飞⾏器是什么?——风筝2、绝对温度、摄⽒温度和华⽒温度之间的关系。
——95)32(?-T =T F C15.273+T =T C K6、摄⽒温度、华⽒温度和绝对温度的单位分别是什么?——C ο F ο K ο⼆:1.1⼤⽓的重要物理参数1、海平⾯温度为15C ο时的⼤⽓压⼒为多少?——29.92inHg 、760mmHg 、1013.25hPa 。
3、下列不是影响空⽓粘性的因素是(A)A 、空⽓的流动位置B 、⽓流的流速C 、空⽓的粘性系数D 、与空⽓的接触⾯积4、假设其他条件不变,空⽓湿度⼤(B)A 、空⽓密度⼤,起飞滑跑距离长B 、空⽓密度⼩,起飞滑跑距离长C 、空⽓密度⼤,起飞滑跑距离短D 、空⽓密度⼩,起飞滑跑距离短 5、对于⾳速.如下说法正确的是: (C)A 、只要空⽓密度⼤,⾳速就⼤B 、只要空⽓压⼒⼤,⾳速就⼤C、只要空⽓温度⾼.⾳速就⼤D、只要空⽓密度⼩.⾳速就⼤6、⼤⽓相对湿度达到(100%)时的温度称为露点温度。
三:1.2 ⼤⽓层的构造;1.3 国际标准⼤⽓1、⼤⽓层由内向外依次分为哪⼏层?——对流层、平流层、中间层、电离层和散逸层。
2、对流层的⾼度.在地球中纬度地区约为(D)A、8公⾥。
B、16公⾥。
C、10公⾥。
D、11公⾥3、现代民航客机⼀般巡航的⼤⽓层是(对流层顶层和平流层底层)。
4、云、⾬、雪、霜等天⽓现象集中出现于(对流层)。
5、国际标准⼤⽓指定的依据是什么?——国际民航组织以北半球中纬度地区⼤⽓物理性质的平均值修正建⽴的。
6、国际标准⼤⽓规定海平⾯的⼤⽓参数是(B)A、P=1013 psi T=15℃ρ=1、225kg/m3B、P=1013 hPA、T=15℃ρ=1、225 kg/m3C、P=1013 psi T=25℃ρ=1、225 kg/m3D、P=1013 hPA、T=25℃ρ=0、6601 kg/m37. 马赫数-飞机飞⾏速度与当地⾳速之⽐。
动力气象学第二章习题答案动力气象学第二章习题答案动力气象学是研究大气运动的科学,它探讨了大气中的力学过程和气象现象之间的相互关系。
在学习动力气象学的过程中,习题是检验我们对知识理解和应用的重要方式。
下面是对动力气象学第二章习题的详细解答。
问题1:什么是大气的垂直平衡?答:大气的垂直平衡是指在垂直方向上,大气中的各种力量之间达到平衡状态。
这种平衡是由重力、压强梯度力、离心力和科里奥利力等因素共同作用所形成的。
当这些力量之间的平衡达到一定状态时,大气就呈现出稳定或不稳定的状态。
问题2:什么是静力平衡?答:静力平衡是指在水平方向上,大气中的压强梯度力与离心力之间达到平衡状态。
在静力平衡下,气体分子受到重力的作用而向下运动,同时受到压强梯度力的作用而向上运动,最终形成一个平衡状态。
问题3:为什么大气的垂直平衡是稳定的?答:大气的垂直平衡是稳定的,因为当大气中出现扰动时,系统会自动调整以恢复平衡状态。
例如,当大气中某一区域的压强较高时,周围的气体会受到压强梯度力的作用而向该区域流动,从而减小压强差。
这种调整过程会持续进行,直到压强差减小到一定程度,大气再次达到平衡状态。
问题4:什么是大气的不稳定?答:大气的不稳定是指当大气中出现扰动时,系统无法自动调整以恢复平衡状态。
在不稳定的情况下,扰动会导致气体产生剧烈的运动,从而形成对流现象和气象灾害。
例如,当大气中某一区域的温度较高时,周围的气体会受到浮力的作用而向上升腾,形成对流运动。
问题5:什么是绝热过程?答:绝热过程是指在没有热量交换的情况下,气体的温度和压强发生变化。
在绝热过程中,气体的内部能量发生改变,但没有热量的输入或输出。
绝热过程可以用来描述大气中的垂直运动和气象现象,例如对流运动和气旋的形成。
问题6:什么是绝热抬升?答:绝热抬升是指当气体上升时,由于没有热量的输入或输出,气体的温度和压强发生变化。
在绝热抬升过程中,气体上升时受到外界压强的减小而膨胀,从而导致温度的降低。
飞行原理空气动力学复习思考题第一章低速气流特性1.何谓连续介质为什么要作这样的假设连续介质——把空气看成是由空气微团组成的没有间隙的连续体。
作用——把空气压强(P)、密度(ρ)、温度(T)和速度(V)等状态参数看作是空间坐标及时间的连续函数,便于用数学工具研究流体力学问题。
2.何谓流场举例说明定常流动与非定常流动有什么区别。
流场——流体所占居的空间。
定常流动——流体状态参数不随时间变化;非定常流动——流体状态参数随时间变化;3.何谓流管、流谱、流线谱低速气流中,二维流谱有些什么特点流线谱——由许多流线及涡流组成的反映流体流动全貌的图形。
流线——某一瞬间,凡处于该曲线上的流体微团的速度方向都与该曲线相应点的切线相重合。
流管——通过流场中任一闭合曲线上各点作流线,由这些流线所围成的管子。
二维流谱——1.在低速气流中,流谱形状由两个因素决定:物体剖面形状,物体在气流中的位置关系。
2.流线的间距小,流管细,气流受阻的地方流管变粗。
3.涡流大小决定于剖面形状和物体在气流中的关系位置。
4.写出不可压缩流体和可压缩流体一维定常流动的连续方程,这两个方程有什么不同有什么联系连续方程是质量守恒定律应用于运动流体所得到的数学关系式。
在一维定常流动中,单位时间内通过同一流管任一截面的流体质量都相同。
方程表达式:m=ρVA不可压流中,ρ≈常数,方程可变为:VA=C(常数)气流速度与流管切面积成反比例。
可压流中,ρ≠常数,方程可变为:m=ρVA图1-7一翼剖面流谱适用于理想流体和粘性流体5. 说明气体伯努利方程的物理意义和使用条件。
方程表达式:常量=++gh V P ρρ221高度变化不大时,可略去重力影响,上式变为:常量==+0221p V p ρ 即:静压+动压=全压(P 0相当于V=0时的静压)方程物理意义:空气在低速一维定常流动中,同一流管的各个截面上,静压与动压之和(全压)都相等。
由此可知,在同一流管中,流速快的地方,压力(P )小;流速慢的地方,压力(P )大。
空气动力学课后答案【篇一:空气动力学复习题】txt>第一章低速气流特性1.何谓连续介质?为什么要作这样的假设?2.何谓流场?举例说明定常流动与非定常流动有什么区别。
流场——流体所占居的空间。
定常流动——流体状态参数不随时间变化;非定常流动——流体状态参数随时间变化;3.何谓流管、流谱、流线谱?低速气流中,二维流谱有些什么特点?流线谱——由许多流线及涡流组成的反映流体流动全貌的图形。
流线——某一瞬间,凡处于该曲线上的流体微团的速度方向都与该曲线相应点的切线相重合。
流管——通过流场中任一闭合曲线上各点作流线,由这些流线所围成的管子。
二维流谱——1.在低速气流中,流谱形状由两个因素决定:物体剖面形状,物体在气流中的位置关系。
2.流线的间距小,流管细,气流受阻的地方流管变粗。
3.涡流大小决定于剖面形状和物体在气流中的关系位置。
4.写出不可压缩流体和可压缩流体一维定常流动的连续方程,这两个方程有什么不同?有什么联系?方程可变为:va=c(常数)气流速度与流管切面积成反比例。
方程可变为:适用于理想流体和粘性流体5.说明气体伯努利方程的物理意义和使用条件。
方程表达式: p?1?v2??gh?常量 21?v2?p0?常量2高度变化不大时,可略去重力影响,上式变为:p?即:静压+动压=全压 (p0相当于v=0时的静压)方程物理意义:空气在低速一维定常流动中,同一流管的各个截面上,静压与动压之和(全压)都相等。
由此可知,在同一流管中,流速快的地方,压力(p)小;流速慢的地方,压力(p)大。
方程应用条件1.气流是连续的、稳定的气流(一维定常流);2.在流动中空气与外界没有能量交换;3.空气在流动中与接触物体没有摩擦或摩擦很小,可以忽略不计(理想流体);4.空气密度随流速的变化可忽略不计(不可压流)。
图1-7 一翼剖面流谱p1+?v12=p2+?v22=p3+?v32v1a1=v2a2=v3a3v2=200米/秒p2=-3273675帕斯卡v3=83米/秒p3=445075帕斯卡7.何谓空气的粘性?空气为什么具有粘性?空气粘性——空气内部发生相对运动时,相邻两个运动速度不同的空气层相互牵扯的特性。
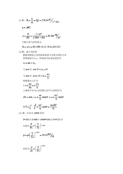
1.1解:)(k s m 84.259mk R 22328315∙===-RT p ρ=36m kg 63.5063032.5984105RT P =⨯⨯==ρ气瓶中氧气的重量为354.938.915.0506.63G =⨯⨯==vg ρ 1.2解:建立坐标系根据两圆盘之间的液体速度分布量呈线性分布 则离圆盘中心r ,距底面为h 处的速度为0u kn u +=当n=0时 u=0推出0u 0= 当n=h 时 u=wr 推出hwr k = 则摩擦应力τ为hwr u dn du u==τ 上圆盘半径为r 处的微元对中心的转矩为θθτdrd hwr u r rdrd h wr u r dA d 3=⋅=⋅=T则⎰⎰==T 2D 0332032D u drd hr uωπθωπ1.4 解:在高为10000米处T=288.15-0.0065⨯10000=288.15-65=223.15压强为⎪⎭⎫ ⎝⎛=T a T Pa P 5.2588MKN43.26Ta T pa p 2588.5=⎪⎭⎫ ⎝⎛=密度为2588.5T a T a ⎪⎭⎫⎝⎛=ρρmkg4127.0Ta T a 2588.5=⎪⎭⎫⎝⎛=∴ρρ1-7解:2M KG 24.464RTPRT p ==∴=ρρ空气的质量为kg 98.662v m ==ρ 2-3解:将y 2+2xy=常数两边微分2ydy+2xdx+2ydx=0整理得ydx+(x+y )dy=0 (1) 将曲线的微分方程yx V dyV dy =代入上式得 yVx+(x+y )V y =0 由22y 2xy 2x V ++=得V x 2+V y 2=x 2+2xy+y 2 ((2)由(1)(2)得()y v y x v y x =+±=, 习题二2-2解:流线的微分方程为yx v dyv dx =将v x 和v y 的表达式代入得ydy xdx yx 2dyxy 2dx 22==, 将上式积分得y 2-x 2=c ,将(1,7)点代入得c=7 因此过点(1,7)的流线方程为y 2-x 2=482-5解:直角坐标系与柱坐标系的转换关系如图所示 速度之间的转换关系为{θθθθθθcos v sin v v sin v cos v v r y r x +=-=由θθθθθθcos r1y v sin yrsin r 1xvcos x rrsin y rcos x =∂∂=∂∂⎪⎩⎪⎨⎧-=∂∂=∂∂⇒⎭⎬⎫==()()⎪⎭⎫⎝⎛--∂∂+-∂∂=∂∂∂∂+∂∂⋅∂∂=∂∂θθθθθθθθθsin r 1sin V cos V cos sin V cos V r x v v x r r v x v r r x x xθθθθθθθθθθθθθs i n c o s V s i n V s i n V c o s V r 1c o s s i n r V c o s r V r r r ⎪⎭⎫ ⎝⎛-∂∂--∂∂-⎪⎭⎫ ⎝⎛∂∂-∂∂=θθθθθθθθθθθθθθcos sin V r1sin V r 1sin V r 1cos sin V r 1cos sin r V cos r V 22r r 2r +∂∂++∂∂-∂∂-∂∂=()()θθθθθθθθθcos r1cos V sin V sin cos V sin V r y v v V y r V V V V r r y x y xy +∂∂++∂∂=∂∂⋅∂∂+∂∂⋅∂∂=∂∂θθθθθθθθθθθθθcos r1sin V cos V cos V sin V sin cos r V sin r V r r r ⎪⎭⎫ ⎝⎛-∂∂++∂∂+⎪⎭⎫ ⎝⎛∂∂+∂∂=θθθθθθθθθθθθθcos sin V r1cos V r 1cos V r 1cos sin v V r 1cos sin r V sin r V 22r r 2r -∂∂++∂∂+∂∂+∂∂=zV V V r 1r V z V y V x V div z r r z y x ∂∂+⎪⎭⎫ ⎝⎛∂∂++∂∂=∂∂+∂∂+∂∂=∴θυθ 2-6解:(1)siny x 3x V 2x -=∂∂ s i n y x 3y V 2y =∂∂ 0yV x V y x =∂∂+∂∂ ∴此流动满足质量守恒定律(2)siny x 3x V 2x =∂∂ s i n y x 3y V 2y =∂∂ 0siny x 6yV x V 2y x ≠=∂∂+∂∂ ∴此流动不满足质量守恒定律(3)V x =2rsin rxy2=θ V y =-2rsin 2ry 22-=θ33ry 2x Vx =∂∂332yr 2y y x 4y V +-=∂∂0ryx 4y V x V 32y x ≠-=∂∂+∂∂∴此流动不满足质量守恒方程(4)对方程x 2+y 2=常数取微分,得xdy dy dx -= 由流线方程yx v dy v dx =(1) 由)(得2r k v v r k v 422y 2x =+= 由(1)(2)得方程3x r ky v ±= 3y rkx v = 25x r kxy3x V =∂∂∴ 25y rkxy 3yV ±∂∂ 0yV x V yx =∂∂+∂∂∴此流动满足质量守恒方程2—7解:0xVz V 0r yz 23r yz 23z V y V z x 2727y z =∂∂-∂∂=⋅+⋅-=∂∂-∂∂同样 0y V x V x y =∂∂-∂∂∴该流场无旋()()()2322222223222z y x z y x z y x d 21zy x z d z y d y x d x dz v dy v dx v d ++++⋅=++++=++=Φ c zy x 1222+++-=Φ∴2—8解:(1)a x V x x =∂∂=θ a yV y y =∂∂=θ a z Vz z -=∂∂=θ 021v ;021v ;021v z y x =⎪⎪⎭⎫⎝⎛∂∂+∂∂==⎪⎭⎫ ⎝⎛∂∂+∂∂==⎪⎪⎭⎫ ⎝⎛∂∂+∂∂=y V x V x V z V z V x V x x z x y z (2)0y V x V 210x V z V 210z V y V 21x y z z x y y z x =⎪⎪⎭⎫⎝⎛∂∂-∂∂==⎪⎭⎫ ⎝⎛∂∂-∂∂==⎪⎪⎭⎫ ⎝⎛∂∂-∂∂=ωωω;; 位该流线无旋,存在速度∴ (3)azdz 2aydy axdx dz v dy v dx v d z y x -+=++=ϕc az ay 21ax 21222+-+=∴ϕ 2—9解:曲线x 2y=-4,()04y x y x f 2=+=, 切向单位向量22422422y2x 2y2x yx 4x xy 2i yx 4x x j f f fx i f f fy t +-+=+-+=t t v v v t ⋅∇=⋅=∇=ϕϕ切向速度分量 把x=2,y=-1代入得()()j x 2x i y x 2x j yi x v 2+-+--=∂∂+∂∂=∇=ϕϕϕ j 21i 21j y x 4x 2xy i y x 4x x t 2242242+=⎪⎪⎭⎫ ⎝⎛+-+= 23t v v t -=⋅= j 23i 23j 21i 2123t v v t t --=⎪⎭⎫⎝⎛+-== 2—14解:v=180hkm =50sm根据伯努利方程22V 21V 21p ρρρ+=+∞∞ pa p =∞ 驻点处v=0,表示为1531.25pa 501.22521V 21pa p 22=⨯⨯==-∞ρ相对流速为60sm 处得表示为75.63760225.12125.1531V 21V 21pa p 222-=⨯⨯-=-=-∞ρρ 习题三3—1解:根据叠加原理,流动的流函数为()xyarctg 2Q y V y x πϕ+=∞, 速度分量是22y 22x yx y2Q x V y x x 2Q V y V +⋅=∂∂-=+⋅+=∂∂=∞πϕπϕ; 驻点A 的位置由V AX =0 V Ay =0求得 0y V 2Qx A A =-=∞;π 过驻点的流线方程为2x y arctg 2y x y arctg 2y y Q V Q V A A A =+=+∞πθπ θθππθππsin 2r x y arctg 2y -⋅=⎪⎭⎫ ⎝⎛-=∞∞V V Q 或即 在半无限体上,垂直方向的速度为θπθθππ-sin v r sin 2y x y 2v 222y ∞==+=Q Q 线面求极值()0-sin v -cos sin v 2d dv 22y=+=∞∞θπθθπθθθ 当0sin =θ 0v v miny y ==2-tg -=θπθmaxyy v v =用迭代法求解2-tg -=θπθ得 取最小值时,y 1v 2183.1139760315.1==θ 取最大值时,y 2v 7817.2463071538.4 ==θ由θπθθππ-sin v r sin 2y x y 2v 222y ∞==+=Q Q θπθθθππ-cos sin v r cos 2v y x x 2v v 22x +=+=++=∞∞∞Q Q 可计算出当∞∞===v 6891574.0v v 724611.0v x y 1,时,θθ 6891514.0v v 724611.0v x y 2=-==∞,时,θθ合速度∞=+=v v v 2y 2x V3—3解:设点源强度为Q ,根据叠加原理,流动的函数为xa3-y a r c t g2a x y a r c t g 2a x y a r c t g 2πθπθπθϕ+++-=两个速度分量为()()()⎥⎥⎦⎤⎢⎢⎣⎡+++++++--=222222a 3-y x xy a x a x y a x a x 2x πθ()()()⎥⎥⎦⎤⎢⎢⎣⎡++++++-=222222y a 3-y x a3-y y a x y y a x y 2v πθ 对于驻点,0v v y x ==,解得a 33y 0x ==A A , 3—4解:设点源的强度为Q ,点涡的强度为T ,根据叠加原理得合成流动的位函数为Q ππθϕ2l n r 2Γ+=πθϕπθϕθ2r 1r 12r 1r r Γ=∂∂==∂∂=V V ; 速度与极半径的夹角为Qarctg arctgr Γ==V V θθ 3—5根据叠加原理得合成流动的流函数为⎪⎪⎭⎫ ⎝⎛+--+=∞y a y yaarctg a y y aarctgV ϕ 两个速度分量为()()()()⎥⎦⎤⎢⎣⎡++---+++=∂∂=∞1y v 2222x y a x a x a y a x a x a V ϕ ()()⎥⎦⎤⎢⎣⎡+--++=∂∂-=∞2222y y v y a x yy a x y a V ϕ 由驻点()0a 30,得驻点位置为±==y x v v 零流线方程为0ay yaarctg a y y xaarctgy =--++∞∞V V 对上式进行改变,得⎪⎭⎫ ⎝⎛-=-+a y tan ay2a y x 222当0x =时,数值求解得a 03065.1y ±= 3—9解:根据叠加原理,得合成流动的流函数为a y y a r c t g 2a y y a r c t g 2y v -++-=∞ππϕQ Q速度分量为()()2222x y a x ax 2y a x a x 2y v v +-+++++-=∞ππQ Q ()()2222y ya x ax 2y a x a x 2v +-+++++-=ππQ Q 由0v v y x ==得驻点位置为⎪⎪⎭⎫ ⎝⎛+±∞0v a a 2,πQ 过驻点的流线方程为ay y arctg 2a y y arctg 2y v =-++--∞ππQ Q 上面的流线方程可改写为ay y arctga y y arctg y v 2--+=∞Q π 222a y x ay2a y y arctg a y y arctg tan y v 2tan -+=⎪⎪⎭⎫ ⎝⎛--+=⎪⎪⎭⎫ ⎝⎛∴∞Qπ 容易看出y=0满足上面方程当0y ≠时,包含驻点的流线方程可写为⎪⎭⎫ ⎝⎛-=-+∞Q y v 2tan ay2a y x 222π当12v a ===∞πQ 时,包含驻点的流线方程为tanyy21y x 22--=-+ 3—10解:偶极子位于原点,正指向和负x 轴夹角为α,其流函数为 22yx x s i n y c o s 2+--=ααπϕM 当45=α时22yx xy 222+--=πϕM 3—11解:圆柱表面上的速度为a2sin v 2v πθΓ--=∞ 222222a4a 2s i n v 4v ππθΓ+Γ=∞ 222222v a 4av 2sin 4sin 4v v ∞∞∞Γ+Γ+=⎪⎪⎭⎫ ⎝⎛ππθθ压强分布函数为222p v asin 41sin 41v v 1⎪⎪⎭⎫ ⎝⎛Γ+-=⎪⎪⎭⎫ ⎝⎛-=∞∞θπθC习题四4—1解:查表得标准大气的粘性系数为nkg 1078.1u 5-⨯= 65el 1023876.11078.16.030225.1u⨯=⨯⨯⨯==-∞LV R ρ 平板上下两面所受的总得摩擦阻力为N S V L R F 789.021e 664.0222=⨯⨯=∞ρ 4—2解:沿边阶层的外边界,伯努利方程成立代表逆压梯度代表顺压梯度,时;当时当0m 0m 00m 00m m v v v 21p 12201002〈〉∴〉∂∂〈〈∂∂〉-=-=∂∂-=∂∂=+--xpx p x v x v x v xx p c m m m ρρρρδδδ 4—4解:(a )将2x y 21y 23v v ⎪⎭⎫ ⎝⎛-⎪⎭⎫ ⎝⎛=δδδ带入(4—90)中的第二式得δδδδδ28039dy vv 1v v 0x x =⎪⎪⎭⎫ ⎝⎛-=⎰** 由牛顿粘性定律δτδuu 23y v u 0y xw =⎪⎪⎭⎫⎝⎛∂∂==下面求动量积分关系式,因为是平板附面层 0dx dv =∴δ积分关系式可表示为dxd v 2w **=δρτδ 将上述关系式代入积分关系式,得δρδδv dxud 14013=边界条件为x=0时,0=δ 积分上式,得平板边界层的厚度沿板长的变化规律()64.428039646.0x x x64.4ll ⨯==∴=**R R δδ(b )()74.164.483x x 83dy v v 1lx =⨯=∴=⎪⎪⎭⎫ ⎝⎛-=*∞*⎰R δδδδ(c )由(a )知()64.4x x l =R δ(d )646.0x x646.0v 21324xx 64.4u23l f l 2wf l w =∴====R C R C R δρτδδδτ)得—由(; (e )单面平板的摩擦阻力为()292.1x x 292.1s v 21b bdx v 21l f l 2f l02f=∴===⎰R C R X C C X F F δδρρ摩阻系数为假设版宽为4—6解:全部为层流时的附面层流厚度由式(4—92)得 ()01918.048.5L e ==LR Lδ 全部为湍流时的附面层流厚度由式(4—10)得()0817.037.0L 51e ==-LLR δ第五章5—3证明(1)将r (θ)表示为下列三角级数()⎪⎭⎫⎝⎛+=∑∞=∞1n 0n s i n n s i n c o s v 2r θθθθA A 将其代入(5—35)得()∑∞==+-1n f10dxdy n ncos θαA A 可得⎰⎰=-=ππθθπθπα011fn 01f 0d cosn dxdy 2d dx dy 1A A ;对于平板,0dx dy f =,故有α=0A ,()θθαθsin cos v 2r 0n 21∞=∴===A A A 当πθ→时,()0r ≠π,不满足后缘条件(2)将()⎪⎭⎫⎝⎛++=∑∞=∞1n 0nsins sin cos 1v 2r θθθθA A 将其带入(5—35)积分得()αθθθθθθθθθπππ-=⎥⎥⎥⎥⎦⎤⎢⎢⎢⎢⎣⎡-+-+-⎰⎰∑∞=∞dxdy d cos cos sin nsinn cos cos d cos 1v 1f 0021n 2A()∑∞==+-1n 1f10s i n dy n ncos θθαA A⎰-=1f 0d dx dy 1θπαA ⎰=πθθπ011fn d c o s n dx dy 2A 对于平板0dxdyf =,0n 210====∴A A A A ;α()θθαθsin cos 1v 2r +=∴∞当πθ→时,()0r =θ,满足后缘条件5—2解:设在41弦线处布涡的强度为Γ,则该涡在43弦线处产生的诱导速度为c2c 2v yi ππΓ=Γ=若取43弦点为控制点,在改点满足边界条件⎪⎭⎫ ⎝⎛-=Γ∴⎪⎭⎫ ⎝⎛-=Γ∞∞απαπdx dy cv dx dy v c f f 因此开力为⎪⎭⎫⎝⎛-=Γ-=∞∞dx dy cv v f 2αρπρL 开力系数为⎪⎭⎫ ⎝⎛-==∞dx dy 2c v 21f 2απρLC L 对于平板0dx dy f =ππαα22==∴L L C C ;5—4解对于薄翼型,πα2=LC 对于2412翼型,()()1x 4.0x 28.00555.0dxdy 4.0x 0x 28.081dx dy ff ≤≤-=≤≤-=;; 令()1cos 121x θ-=,则当x=0.4时,2.0arccos 1=θ ()()π≤≤-=≤≤-=x 2.0a r c c o s 0.28.00555.0dxdy 2.0arccos x 00.28.081dx dy ff ;;()()()112.0a r c c o s1101f 0d c o s 12.0c o s 811d c o s 1dx dy 1θθθπθθπαπ--=-=∴⎰⎰()()112.0a r c c o s1d c o s 12.0c o s 0555.01θθθππ--+⎰101fn d c o s n dxdy 2θθππ⎰=A()()()()⎥⎦⎤⎢⎣⎡--+--=⎰⎰12.0arccos 1112.0arccos 011cos 12.0cos 0555.02d cos 12.0cos 812θθπθθθππA ()()⎥⎦⎤⎢⎣⎡-+-=⎰⎰πθθθθθθπ2.0arccos 111112.0arccos 012d cos22.0cos 0555.0d cos22.0cos 812A ()214mp 4A A C -=π5—5解:根据余弦定理9924.0c 9849.0abcosc 2b a c 222=∴=-+=9962.0cb c o s ca ac 2b abcosc 2b a a 2ac b c a cos 2222222=-=--++=-+=B 059878.4==∠∴B折算后的迎角为010,()()1x 32170tan dx dy 32x 05tan dx dy d cos 1dxdy 120f 0f 101f00≤≤=≤≤=-=-=⎰;;;θθπαααππL C令()弧度时当9106.131arccos 32x cos 121x 11=⎪⎭⎫⎝⎛-==-=θθ ()()119106.1019106.10100d cos 1tan1701d cos 15tan 1θθπθθπαπ-+-=∴⎰⎰()()⎰⎰-=-+-=9106.10119106.101101253.0d cos 1tan170d cos 15tan θθπθθπ()8837.11253.018010220=⎥⎦⎤⎢⎣⎡+⨯=-=∴ππααπL C 5—7解:()()()x 2x 3x k 2x 1-x kx y 23f +-=-=()2x 6x 3k dx dy 2f +-= 令0dx dy f =得()正号舍去331±=x ()6x 6k dx y d 2f 2-=将331-=x 代入,得0dx y d 2f2〈 因此f y 在331-=x 处取得极大值,2f =%将331-=x 代入f y 得k=0.052 令()1cos 121x θ-=代入(1)得k 41cos 23cos 43dx dy 112f ⎪⎭⎫ ⎝⎛-+=θθ ()110f0d cos 1dxdy 1θθπαπ-=∴⎰()()0235.11105.00524.0220=-=-=∴πααπL C 07794.0d cos dx dy 2110f1==⎰θθππA 04587.0d dxdy 110f0=-=⎰θπαπA0186.0d cos2dx dy 2110f 2=⎪⎭⎫⎝⎛=⎰θθππA ()533.0210=+=πA A C L ()1798.041412-=--=L L C A A C π6—5解:根据开力线理论()()ζζδζπδd d d 41v 22yi Γ-=⎰-LL已知()2122021202112d d 21⎥⎥⎦⎤⎢⎢⎣⎡⎪⎭⎫ ⎝⎛-Γ-=Γ⎥⎥⎦⎤⎢⎢⎣⎡⎪⎭⎫ ⎝⎛-Γ=ΓL L L ζζζζδ; ()11122220yi d sin 2d cos 2cos 2d 213v 21θθζθζθζζζδζζπδL L L L L L L =-=-=-⎥⎥⎦⎤⎢⎢⎣⎡⎪⎭⎫⎝⎛-Γ=∴⎰-;;;令 则⎪⎭⎫ ⎝⎛-Γ-=-Γ-=⎰θθθθθθθππsin 3sin 183d cos cos cos sin 3v 01011122yi L L当LLL L 43v 283v 3240yi 0yi Γ-===Γ-===,时,时πθζπθζ6—6解(1)有叠加原理可知,a 处的下洗速度为⎥⎥⎥⎥⎥⎦⎤⎢⎢⎢⎢⎢⎣⎡+⎪⎭⎫ ⎝⎛+Γ-=⎥⎥⎥⎥⎥⎦⎤⎢⎢⎢⎢⎢⎣⎡+⎪⎭⎫ ⎝⎛+Γ-⎥⎥⎥⎥⎥⎦⎤⎢⎢⎢⎢⎢⎣⎡+⎪⎭⎫ ⎝⎛++⎪⎭⎫ ⎝⎛Γ-=a a 21a 2a 1242a 22a 22a 4v 22222222yi L L L L L L L L πππa 处的下洗角α为L V V L C L LV V L ∞∞∞∞Γ==⎥⎥⎥⎥⎥⎦⎤⎢⎢⎢⎢⎢⎣⎡+⎪⎭⎫ ⎝⎛+Γ=-=λρπα221a a 21v 222yi ; 因此a 2L V C L ∞=Γ代入下洗角中得⎥⎥⎥⎥⎥⎦⎤⎢⎢⎢⎢⎢⎣⎡+⎪⎭⎫ ⎝⎛+=a a 21222L C L πλα (2)对于椭圆翼()()00222121ααλπλπλππααπλαα-+=+=-+=∞∞L L L C C C()02222i 1aa 2211a a 22d ααλπλ-⎥⎥⎥⎥⎥⎦⎤⎢⎢⎢⎢⎢⎣⎡++⎪⎭⎫ ⎝⎛+=⎥⎥⎥⎥⎥⎦⎤⎢⎢⎢⎢⎢⎣⎡++⎪⎭⎫ ⎝⎛=L L C L ⎥⎥⎥⎥⎥⎦⎤⎢⎢⎢⎢⎢⎣⎡++⎪⎭⎫ ⎝⎛+=∴1aa 221d dd 22i L λα当4.0a 8==,λ时26.0d dd i=α6—9解:1268.41;274.0s 21-∞∞∞=+===rad C C C V L C L L LL αααρ00013.22.1354.3;354.3=-===-ααααLLC C00385.02==πλLDi C C 6—11解:()09985.01;846.0s 2122=+===∞δπλρLDi L C C V L C71.41017N;s 212===∞Lx V C x i Di i ρ% 第七章7—1解状态方程RT ρ=p3212312123121321300v v w v v 21a 25.1019a 62.506a 62.506T T K T KP P KP P KP P ;;;;;;;;========ρρρρρ(1)由状态1等压膨胀到2的过程中,根据质量守恒方程12v 2v =所以1221ρρ=等压变化K T T T T T T 600221221122211====∴=;ρρρρ 由32→等容变化,根据质量方程23ρρ= 等容变化2323223322T T T T T P T P ==∴=; (2)介质只在21→过程中膨胀做功KJ 53.21v p w =∇= (3)()996.182m v p =+=T C T C Q δ(4)161.466KJ pdv -q du pdv du q ==∴+=δδ(5)k kj 298.0ln s r 2112v =∆∴⎥⎥⎦⎤⎢⎢⎣⎡⎪⎪⎭⎫ ⎝⎛=δρρδP P C 7—3解根据质量守恒小截面与2A 截面的流量相等即()()()()25.0388.0q q q c q c2211220201010=∴==∴=λλλλλA A T A P T A P7—4解:气流从Ma=1加速到Ma1=1.5需要的外折角度为091.11='δ总的外折角度091.2615=+'=δδ 查表得Ma2=2.02456.010********=⎪⎪⎭⎫ ⎝⎛⎪⎪⎭⎫⎝⎛=⋅=P P P P P P P P P P 7—5解:经过正激波时绝热,总温度0T 不变根据总静温之比1r 2a 21r 1020+=*∴-+=T T M T T 1r r 2r 1r 200+=*=+=*∴*RT RT C T T ;波后的速度系数为1r r 2v v 0222+==*RT C λ根据波前波后的速度关系121=λλ 1r r 2v 1021+=∴RT λ 根据马赫数与速度系数的关系,得得波德马赫数2121211r 1r 11r 2a λλ+--+=M 总压损失系数δ为()()1r 121211r 1212a 1r a 1r 1r 1r a 1r r 2---⎥⎦⎤⎢⎣⎡+-+⎪⎭⎫⎝⎛+--+=M M M δ。
空气动力学考试试题及答案一、选择题1. 下列哪个公式描述了升力的计算方法?A. F=maB. F=mgC. F=ρv^2SCL/2D. F=ρgSCL/2答案:C2. 当飞机在飞行中受到升力作用,则下列哪个物理量为0?A. 飞机的重力B. 飞机的升力C. 飞机的推力D. 飞机的阻力答案:A3. 在低速条件下,升力系数CL的计算公式是?A. CL=2παB. CL=2πα/βC. CL=πα^2D. CL=α^2答案:C4. 空气动力学中,哪个公式表示了阻力的计算方法?A. F=maB. F=mgC. F=ρv^2CD/2D. F=ρgCD/2答案:C二、填空题1. 升力的计算公式是F=______。
答案:ρv^2SCL/22. 阻力的计算公式是F=______。
答案:ρv^2CD/2三、简答题说明升力和阻力对飞机飞行的重要性及影响。
答案:升力是飞机飞行中维持在空中的力量,能够使飞机克服重力向上飞行。
阻力则是飞机运动中的阻碍力量,会使飞机减速,影响飞行速度和效率。
升力和阻力是飞机空气动力学中两个重要的力量,对飞机飞行状态有着重要的影响。
四、计算题某架飞机在速度为200m/s时,其机翼参考面积为100平方米,升力系数为1.5,阻力系数为0.01,请计算该飞机在这个速度下的升力和阻力大小。
答案:升力F=ρv^2SCL/2=1.225*200^2*100*1.5/2=36,750N;阻力F=ρv^2CD/2=1.225*200^2*100*0.01/2=612.5N。
通过以上空气动力学考试试题及答案,希朇您对空气动力学有了更加深入的了解。
祝您学业有成!。
空气动力学复习题飞行原理空气动力学复习思考题第一章低速气流特性1.何谓连续介质?为什么要作这样的假设?连续介质——把空气看成是由空气微团组成的没有间隙的连续体。
作用——把空气压强(P)、密度(ρ)、温度(T)和速度(V)等状态参数看作是空间坐标及时间的连续函数,便于用数学工具研究流体力学问题。
2.何谓流场?举例说明定常流动与非定常流动有什么区别。
流场——流体所占居的空间。
定常流动——流体状态参数不随时间变化;非定常流动——流体状态参数随时间变化;3.何谓流管、流谱、流线谱?低速气流中,二维流谱有些什么特点?流线谱——由许多流线及涡流组成的反映流体流动全貌的图形。
流线——某一瞬间,凡处于该曲线上的流体微团的速度方向都与该曲线相应点的切线相重合。
流管——通过流场中任一闭合曲线上各点作流线,由这些流线所围成的管子。
二维流谱——1.在低速气流中,流谱形状由两个因素决定:物体剖面形状,物体在气流中的位置关系。
2.流线的间距小,流管细,气流受阻的地方流管变粗。
3.涡流大小决定于剖面形状和物体在气流中的关系位置。
4.写出不可压缩流体和可压缩流体一维定常流动的连续方程,这两个方程有什么不同?有什么联系?连续方程是质量守恒定律应用于运动流体所得到的数学关系式。
在一维定常流动中,单位时间内通过同一流管任一截面的流体质量都相同。
方程表达式:m=ρVA不可压流中,ρ≈常数, 方程可变为:VA=C (常数)气流速度与流管切面积成反比例。
可压流中,ρ≠常数, 方程可变为:m=ρVA适用于理想流体和粘性流体5. 说明气体伯努利方程的物理意义和使用条件。
方程表达式:常量=++gh V P ρρ221高度变化不大时,可略去重力影响,上式变为:常量==+0221p V p ρ 即:静压+动压=全压(P 0相当于V=0时的静压)方程物理意义:空气在低速一维定常流动中,同一流管的各个截面上,静压与动压之和(全压)都相等。
由此可知,在同一流管中,流速快的地方,压力(P )小;流速慢的地方,压力(P )大。
^u ^drd^ 1 h3■u D32气瓶中氧气的重量为G 」vg =63.506 0.15 9.8=93.3 5 41.2解:建立坐标系根据两圆盘之间的液体速度分布量呈线性分布 则离圆盘中心r ,距底面为h 处的速度为u = k n u 0当n=0时u=0推出u 0 =0 当 n=h 时 u=wr 推出 k =竺h则摩擦应力•为du wr=u u - dn h上圆盘半径为r 处的微元对中心的转矩为 3d - = dA u Wr rdrd 二 r = u W^ drd - h h第 1.1 解: RT5 1062.5984 303= 63.506 kg ^31.4解:在高为10000米处T=288.15-0.006510000=288.15-65=223.15空气的质量为 m = v = 662.98kg第二章2- 2解流线的微分方程为dX =3V x V y将V x 和V y 的表达式代入得 dx 2dy^,xdx2xy 22x 2y将上式积分得y 2-x 2=c ,将(1,7)点代入得 因此过点(1,7)的流线方程为y 2-x 2=482-3解将y 2+2xy=常数两边微分2ydy+2xdx+2ydx=0T[5.2588------ I压强为旦=Pa <Ta 丿P =paTx5.2588Ta= 26.43Kp密度为 二护 Tx.5.2588Pa <Ta 丿梓 ,5.2588T 、 ;P = Pa ——I =0.4127 iTa 丿1-7 解:p 」RT-RH 4.464KG M 2= ydyc=7整理得 ydx+ (x+y ) dy=O (1) 将曲线的微分方程也二也代入上式得V x V y yVx+ ( x+y ) V y =O 由 V = Jx? +2xy +2y 2 得 V x 2+V y 2=x 2+2xy+y 2(( 2)由(1)( 2)得 V x 二 x y ,V y = -y2-5解:直角坐标系与柱坐标系的转换关系如图所示速度之间的转换关系为v x = v r cos 仔血 v y=v r s in ) vvcosr=cos -' si nv -:v 1 「cos -.:y r呂二虽 二 必mV r COS —V 书ind cos V r COSJ —V 羊inr;;;acos-Msi" cos-1 ?V:r:丁r : v^^cos -V r sinv - Msinv -Jcos sin=Mcos“ -^^sinhcos cr rco .rl^^sin -cos 」V r Si n~ ^-^sin 2 - - Vs inc o s r r 胡 rVy■:Vy ;:r :Vy : v .V x y v y rr\▲1'V r sin^ Vqcos^ sin ' V r sin^ Vcos cos- .r -r廿寺沖sin -.r:V r 2 V 1 :V r1 21 ;V2 1 -sin ' sinrcos' -sinrcos-V r cos' cos —V^sinrcosr rr £日 rdiv — 乂巴旦=必.:z此流动不满足质量守恒方程■此流动满足质量守恒方程•该流场无旋;r-:V X 2-6 解:(1)ex=-3X 2S iny .Vy-V =3x 2sin y:x此流动满足质量守恒定律 .:V y(2) 乂 =3x 2siny泌=3x 2sin y 巴 &&yexcy= 6X 2S iny = 0 此流动不满足质量守恒定律 (3) V x =2rsin v - V y =-2rsin 2" 2y 2-Vx2y 3 ■Vy4x 2y 2y 3-:V Xr 34x 2y=o-y(4)对方程x 2+y 2=常数取微分得空dy dy x由流线方程型=dyV x V yk(1)由v =—得V x 2 V y 2 占⑵r由(1) ( 2)得方程v ,_kyr 3 -kx v y = _r 3-:V x _ - 3kxy'V y3kxy r 52± 7 - 5-y r 2■Vx .x亠。
空气动力学复习题Company Document number:WUUT-WUUY-WBBGB-BWYTT-1982GT飞行原理空气动力学复习思考题第一章低速气流特性1.何谓连续介质为什么要作这样的假设连续介质——把空气看成是由空气微团组成的没有间隙的连续体。
作用——把空气压强(P)、密度(ρ)、温度(T)和速度(V)等状态参数看作是空间坐标及时间的连续函数,便于用数学工具研究流体力学问题。
2.何谓流场举例说明定常流动与非定常流动有什么区别。
流场——流体所占居的空间。
定常流动——流体状态参数不随时间变化;非定常流动——流体状态参数随时间变化;3.何谓流管、流谱、流线谱低速气流中,二维流谱有些什么特点流线谱——由许多流线及涡流组成的反映流体流动全貌的图形。
流线——某一瞬间,凡处于该曲线上的流体微团的速度方向都与该曲线相应点的切线相重合。
流管——通过流场中任一闭合曲线上各点作流线,由这些流线所围成的管子。
二维流谱——1.在低速气流中,流谱形状由两个因素决定:物体剖面形状,物体在气流中的位置关系。
2.流线的间距小,流管细,气流受阻的地方流管变粗。
3.涡流大小决定于剖面形状和物体在气流中的关系位置。
4. 写出不可压缩流体和可压缩流体一维定常流动的连续方程,这两个方程有什么不同有什么联系连续方程是质量守恒定律应用于运动流体所得到的数学关系式。
在一维定常流动中,单位时间内通过同一流管任一截面的流体质量都相同。
方程表达式:m=ρVA不可压流中,ρ≈常数,方程可变为:VA=C (常数)气流速度与流管切面积成反比例。
可压流中,ρ≠常数,方程可变为:m=ρVA适用于理想流体和粘性流体5. 说明气体伯努利方程的物理意义和使用条件。
方程表达式:常量=++gh V P ρρ221 高度变化不大时,可略去重力影响,上式变为:常量==+0221p V p ρ 即:静压+动压=全压(P 0相当于V=0时的静压)方程物理意义:图1-7一翼剖面流谱空气在低速一维定常流动中,同一流管的各个截面上,静压与动压之和(全压)都相等。
第一章 流体介质习题:1-1.气瓶容积为315.0m ,在K 303时,瓶中氧气的压强是26/105m N ⨯,求气瓶中氧气的重量。
解:由完全气体状态方程RT p ρ=……………………①和质量体积关系Vm=ρ……………………………② 得:N KK s m s m m m N RT pVg mg G 50.84303)/(053.287/8.915.0/105222326≈⨯⋅⨯⨯⨯=== 所以气瓶中氧气的重量为N 50.84。
1-2.两平行圆盘,直径都为D ,两者相距h ,下盘固定,上盘以匀角速度ω旋转。
盘间有一种粘性系数为μ的液体。
假设与直径D 相比两盘的距离h 为小量,两盘之间液体的速度分布呈线性关系。
试推导粘性系数μ与转矩T 及角速度ω之间的关系式。
解:如右图建立平面直角坐标系xy o -,上盘的轴向速度设为:()r n r ωυ=,,因为两盘之间液体速度呈线性分布,所以两盘之间液体的周向速度为:()r h yn r ωυ=,……………………………①摩擦应力为:dyd υμτ=………………………② 取上盘dr 微段圆环为研究对象,其转矩为:r ds dT ⋅⋅=τ ……………………………③ ∵θrdrd ds =……………………………④ ∴①、②、④代入③得:θμωτdrd hr dr ds dT 3=⋅⋅=两边积分得:hD drd hr T D 3242023πμωθμωπ==⎰⎰,即为粘性系数μ与转矩T 及角速度ω之间的关系。
1-3.用容积为31000m 的金属罐作水压试验。
先在容器内注满一个大气压的水,然后加压注水,使容积内压强增加到25/107m N ⨯,问需再注入多少水?解:有水的体积弹性模数公式可知水压试验后容器内的液体密度增量为:ρρE =∆,则多注入水的体积为:3293225285.0/101.21000)/101325/107(m mN m m N m N E V p V E p VmV ≈⨯⨯-⨯=⋅∆=⋅⋅∆=⋅∆=∆=∆ρρρρρ。
空气动力学考试试题及答案第一节:选择题1. 下面哪个选项正确地描述了空气动力学?A. 空气动力学是研究飞行器在空气中受力和运动的科学。
B. 空气动力学是研究空气污染对环境的影响的科学。
C. 空气动力学是研究飞机内部空气流动的科学。
D. 空气动力学是研究空气质量和大气层的科学。
答案:A2. 飞行器在空气中运动时,会受到哪些力的影响?A. 重力和推力B. 重力和浮力C. 电磁力和重力D. 电磁力和浮力答案:B3. 以下哪个参数最直接地影响了飞机的升力产生?A. 气压差B. 空气密度C. 飞机速度D. 飞机重量答案:A4. 当飞机在高速飞行时,气流在翼上的流动情况如何?A. 在翼上表面形成高气压区,翼下表面形成低气压区。
B. 在翼下表面形成高气压区,翼上表面形成低气压区。
C. 在翼上和翼下表面都形成高气压区。
D. 在翼上和翼下表面都形成低气压区。
答案:A第二节:填空题1. 飞机在静止状态时,其升力和重力相等,这种状态被称为________。
答案:平衡状态2. 以下哪个公式可以用来计算升力?答案:升力 = 0.5 * 空气密度 * 风速^2 * 翼展 * 升力系数3. 当飞机速度增加时,其升力会________。
答案:增加4. 空气动力学中,________是指飞机受到的阻力。
答案:阻力第三节:解答题1. 简述气动中心的概念,并描述其在飞行器设计中的重要性。
答案:气动中心是指在飞行器翼面上产生的升力、阻力和力矩的合力所通过的一个点。
在飞行器设计中,定位气动中心十分重要。
通过精确计算气动中心的位置,可以确保飞行器的稳定性和操纵性。
在飞行器的设计过程中,需要根据飞行器的结构和参数,确定气动中心的位置,并将重心与气动中心进行合理的配位,从而实现飞行器的平衡和稳定。
2. 解释升力系数的概念,并说明其与飞机翼型和攻角之间的关系。
答案:升力系数是一个无量纲的指标,用来描述飞机产生的升力与飞机自身特性的关系。
升力系数与飞机翼型和攻角之间有密切的关系。
练习题
1、升力产生的原理
空气流到机翼前缘,分成上下两股,分别沿机翼上下表面流过,由于受机翼迎角和翼型的影响,机翼上表面的流线弯曲大,流管变细,流速加快,压力减小;下表面流管变粗,流速减慢,压力变大。
于是机翼上下表面出现压力差,产生升力。
2、说明低速气流绕翼型流动时,升力系数随迎角α的变化关系
在中小迎角范围内,升力系数与迎角呈线性关系;迎角增大到一定程度,升力系数随迎角变化随之变缓;迎角增至临界迎角,升力系数增至最大;超过临界迎角,再增大迎角,升力系数减小。
3、什么是飞机的翼尖涡流,它是如何引起气流下洗的
机翼左右翼尖后缘出现的漩涡叫翼尖涡流,也叫自由涡流
由于翼尖涡流的作用,在机翼范围内诱导出一个向下的速度,叫下洗速度,流过机翼的速度沿着相对气流速度和下洗速度的合速度方向流动,并向下倾斜,这种向下倾斜的气流叫做下洗流。
4、升力系数和阻力系数的公式,并说出各参数的物理意义
升力系数S
V Y
C y 22∞∞=ρ 阻力系数S V X
C x 22ρ=
式中: Y ——升力 X ——阻力
S ——机翼面积 22
1V ρ——相对气流动压 5、名词解释
零升迎角:升力系数为零的迎角
临界迎角:升力系数曲线最高点对应的迎角
最小阻力迎角(有利迎角):升阻比最大的迎角
相对气流:空气相对物体的运动(流动)。
2-1考虑形状任意的物体。
如果沿着物体表面的压力分布为常值,是证明压力在屋面上的合 力为零。
2-2考虑如下速度场,其程。
2-3考虑如下速度场,其程。
2-5习题2-2中的流场被称为点源。
对于点源,试计算:(a ) 单位体积的微元其体积随时间的变化率;(b ) 流场的旋度。
2-6习题2-3中的流场被称为点涡,试对点涡计算:(a ) 单位体积的微元其体积随时间的变化率;(b ) 流场的旋度。
提示:2-5、2-6两题在极坐标下求解更方便。
u =4z- 3y2-7已知一速度场为;V 二 3X ,试问这一运动是否是刚体运动?w= -4x(a ) 该流场是否可压缩?(b ) 试求通过(0, 0)点和(L , L )之间的体积流量。
2-9阐述流线和流管的概念。
并解释流线和迹线的区别。
流线方程、线变形率、角变形率、旋转角速度,画出流线图和相应的流体运动分解示意图。
2-12已知在拉格朗日观点下和欧拉观点下分别有速度函数u = a : + b :+t :试说明各自的物理意义和他们的差异。
2-4考虑如下流场,其x , y 向的速度分量分别为 fU= CX -, 其中c 为常数。
试求流线方程。
2-10现有二维定常不可压流动的速度场 (护一鬥(k 为正的常数)试分析求解流场的以下运动特性:x ,y 向的速度分量分别为 其中c 为常数。
试求流线方x , y 向的速度分量分别为 c 为常数。
试求流线方 2-8现有二维定常流场分布2-11现有平面流场和2-13试推导一维定常无粘的动量方程(不及质量力)2-15设流场中速度的大小及流线的表达式为二 ' ,恋巒二了忌一©过咗处[宜求速度分量的表达式。
2-16求2-15中x 方向速度分量u 的最大变化率及方向。
2-17试证在柱坐标下,速度散度的表达式为2-18在不可压流动中,下列哪些流动满足质量守恒定律?(a ):二■: J..'. ■- ■' 二二■-(b) 工二[二■- ■- J'.二■-af nf(c) 「二 / -二 f …二(d )|y|=£ 二伽讪2-19流体运动具有速度(x 2 +y 2 4-z 2)3^ y v = 芥(尹+护+巧% zW= ------------------- 厂L (x 2+y 2 + z 2) 问该流场是否有旋?若无旋,求出其速度势函数。
2-1考虑形状任意的物体。
如果沿着物体表面的压力分布为常值,是证明压力在屋面上的合力为零。
2-2 考虑如下速度场,其x,y向的速度分量分别为,其中c为常数。
试求流线方程。
2-3考虑如下速度场,其x,y向的速度分量分别为,其中c为常数。
试求流线方程。
2-4 考虑如下流场,其x,y向的速度分量分别为,其中c为常数。
试求流线方程。
2-5 习题2-2中的流场被称为点源。
对于点源,试计算:
(a)单位体积的微元其体积随时间的变化率;
(b)流场的旋度。
2-6 习题2-3中的流场被称为点涡,试对点涡计算:
(a)单位体积的微元其体积随时间的变化率;
(b)流场的旋度。
提示:2-5、2-6两题在极坐标下求解更方便。
2-7已知一速度场为,试问这一运动是否是刚体运动?
2-8 现有二维定常流场分布。
那么
(a)该流场是否可压缩?
(b)试求通过(0,0)点和(L,L)之间的体积流量。
2-9阐述流线和流管的概念。
并解释流线和迹线的区别。
2-10 现有二维定常不可压流动的速度场试求其势函数并画出流谱。
2-11 现有平面流场(k为正的常数)试分析求解流场的以下运动特性:
流线方程、线变形率、角变形率、旋转角速度,画出流线图和相应的流体运动分解示意图。
2-12已知在拉格朗日观点下和欧拉观点下分别有速度函数
和
试说明各自的物理意义和他们的差异。
2-13试推导一维定常无粘的动量方程(不及质量力)。
2-14 直角坐标系下流畅的速度分布为:,试证过电(1,7)的流线方程为
2-15 设流场中速度的大小及流线的表达式为
,
求速度分量的表达式。
2-16 求2-15中x方向速度分量u的最大变化率及方向。
2-17 试证在柱坐标下,速度散度的表达式为
2-18 在不可压流动中,下列哪些流动满足质量守恒定律?
(a)
(b)
(c)
(d)
2-19 流体运动具有速度
问该流场是否有旋?若无旋,求出其速度势函数。
2-20 不可压缩流体做定常运动,其速度场为
其中a为常数。
试求:
(a)线变形率、角变形率;
(b)流场是否有旋;
(c)是否有势函数?有的话求出。
2-21 二维流场的势函数为,求曲线上的点(2,-1)的切向速
度分量。
2-22 设下面的几组函数代表流动的三个分量:
(a);
(b);
(c);
(d);
(e)。
其中k是常数,问哪一组速度分量能代表不可压流动?
2-23 某一流场可描述为。
问应具有什么样的形式,流场
才能满足连续条件?为什么?
2-24 某二维流动可描述为
,
使用两种方法求解下图的面积上中面积分。
2-25一速度场可用描述,
(a)求其加速的欧拉描述
(b)求流线。
2-26考虑一个简单的烟囱模型。
烟囱外的空气密度是常数,烟囱内的空气密度也是常数,且。
试用、、重力加速度g和烟囱高度h表达出口速度。
2-27有一水枪喷管如下。
入口直径D=10cm,喷口直径d=3cm。
水以1.5m3/min的流量射入空气。
设外界空气为标准大气。
试求连接软管和喷头的接缝处需要施加多大的固紧力才能满
足要求。
2-28一架小型飞机在海平面以180km/h的速度飞行,求驻点处的表压以及相对流速为60m/s 处的表压。
(表压是指大于大气压的部分)
2-29 一个U形管,其内径是0.5m。
气体以100m/s的速度从管的一端进入,从管的另一端流出,流出的速度和流入速度大小相等,但是方向相反。
入口和出口的压强都等于外界大气压。
试计算气流对管的作用力。
取空气密度为1.23Kg/m3。
2-30有一灭火机的管道如下图,出水口直径7.5cm,入水口直径30cm,流量为3640L/min,
进水口水压2×105N/m2。
出水口与水平面的夹角为30°。
求灭火机管道受的水的反作用力。