一般单元在局部坐标系下的单元刚度矩阵
- 格式:doc
- 大小:248.50 KB
- 文档页数:17
单元刚度矩阵的计算-回复首先,我们需要了解刚度是什么。
刚度是指材料抵抗形变的性质。
在结构中,它表示了结构单元(如梁或柱)受到外部力作用时的形变反应。
刚度可以用它对这些力的反应程度来测量。
计算单元刚度矩阵的第一步是建立结构单元的局部坐标系。
局部坐标系是以结构单元自身为参考的坐标系,用于描述结构单元的几何特征和材料性质。
接下来,需要确定结构单元的几何特征和材料性质。
这包括结构单元的长度、截面形状、材料弹性模量等。
这些参数将用于计算结构单元的刚度。
然后,需要建立结构单元的位移-应变关系。
位移-应变关系是描述结构单元变形特征的方程。
它可以通过应变能原理或力平衡方程得到。
接下来,可以使用有限元分析方法推导出结构单元的刚度矩阵。
有限元分析方法将连续的结构分割为离散的有限单元,然后对每个单元进行力学分析。
在计算单元刚度矩阵时,可以使用单元的位移-应变关系和材料性质来推导出刚度矩阵的公式。
最后,根据结构单元的连通性和边界条件,可以将单元刚度矩阵组装成整个结构的刚度矩阵。
这样可以得到整个结构的刚度参数。
计算单元刚度矩阵的过程中,还需要注意以下几个问题:1.确保结构单元的局部坐标系的选择是合理的,以便正确描述结构单元的几何特征。
2.确保位移-应变关系的推导是准确的,可以选择适当的理论或公式来得到位移-应变关系。
3.在有限元分析方法中,需要选择适当的数值方法和积分方法来计算刚度矩阵。
4.在组装整个结构的刚度矩阵时,需要正确处理结构单元之间的连通性和边界条件。
总之,单元刚度矩阵的计算是一个繁琐而重要的任务。
它需要合理的坐标系选择、准确的位移-应变关系、适当的数值方法和正确的组装过程。
通过计算出单元的刚度矩阵,可以通过有限元分析方法分析结构的静力性能。
一.名词解释1.单元刚度矩阵eF=e k e 表示由单元杆端位移求单元杆端力的方程,成为局部坐标系中的单元刚度矩阵。
矩阵e k称为单元刚度矩阵。
一般单元刚度矩阵是6X6的方阵,其中每个元素称为单元刚度系数,表示单元杆端位移所引起的杆端力。
2.单元坐标系:在杆件上确立的坐标系x y,其中x轴与杆件重合。
整体坐标系:在复杂结构中,各个杆件的杆轴方向不同,各自的局部坐标系也不同。
为了便于整体分析,而确定的一个统一的坐标系。
用xy表示。
3影响线:当单位集中荷载沿结构移动时,表示某一指定量变化规律的图形,成为该量值的影响线。
4徐变系数:问题总结一.有限元基本原理1.有限元分析的基本步骤:结构离散-----建立单元刚度矩阵-----单元组集成平衡方程-----引起等效节点力和位移边界条件----求解节点位移-----由位移求应变-----由应变求内力。
2.单元刚度如何得到3.空间梁单元具有6个自由度,其单元刚度矩阵的阶数,其中每一刚度系数的含义4.结构的变形、位移和反力是基于整体坐标系还是单元坐标系,单元的应力、内力是基于整体坐标系还是单元坐标系。
5.在梁单元上施加的非节点荷载,如何等效为节点荷载静力等效,指原荷载于节点荷载在任何虚位移上的虚功都相等。
6.在结构分析中,需要设置节点的原则7.在结构分析中,需要设置细分单元的情况8.在单元划分时,应注意事项二.单元类型1.在结构有限元分析时,主要有哪些单元类型桁架单元只受拉单元索单元只受压单元梁单元/变截面梁单元平面应力单元板单元平面应变单元平面轴对称单元空间单元2.什么是平面应力单元,平面应力单元的单元坐标系是如何规定,平面应力单元与平面应变单元的区别平面应力单元只能承受平面方向的作用力,利用它可以建立在单元内均匀厚度的薄板。
单元坐标是由X.Y,Z 三轴构成的,是满足右手螺旋法则的空间直角坐标系系统。
而平面应变单元只能用于线性静定结构分析中,它一般作为坝,或隧道等结构的分析。
optistruct 单元刚度矩阵
在有限元分析中,单元刚度矩阵(Element Stiffness Matrix)是用于描述一个单元对应的局部坐标系下的刚度性质的矩阵。
OptiStruct是一种常用的有限元分析软件,它也根据单元的几何形状和材料特性计算出单元的刚度矩阵。
单元刚度矩阵描述了单元受力和变形之间的关系,它可以用于计算整个结构的全局刚度矩阵。
OptiStruct使用几何非线性、材料非线性和接触等特性来计算单元刚度矩阵。
根据不同的单元类型(如线性、非线性、壳单元等),OptiStruct采用不同的方法和公式来计算单元刚度矩阵。
一般来说,单元刚度矩阵的计算需要考虑以下几个方面:
1. 几何刚度:单元的形状和尺寸对刚度矩阵的计算有影响,如线性单元的刚度矩阵与单元长度有关。
2. 材料性质:材料的弹性模量和泊松比等材料特性对刚度矩阵的计算有影响。
3. 边界条件:单元所在的整体结构的边界条件对刚度矩阵的计算也有影响。
4. 单元类型:不同的单元类型具有不同的刚度矩阵计算方法。
了解单元刚度矩阵的计算对于进行有限元分析模拟和结果预测非常重要。
通过OptiStruct等有限元分析软件,可以方便地计算出各种类型的单元刚度矩阵,并进一步分析结构的强度和刚度等性能。
abaqus 单元刚度矩阵
ABAQUS中的单元刚度矩阵是一个表示单元刚度的矩阵。
在
有限元分析中,通过将结构分成许多小的单元来近似表示结构的行为。
每个单元都具有特定的形状和尺寸,其行为由其材料性质和几何特征决定。
单元刚度矩阵描述了一个单元内部应力和应变之间的关系。
它是一个方阵,大小根据单元的自由度数量而定。
每个单元刚度矩阵都是通过对单元的基础方程进行积分和数值近似得到的。
其中,基础方程表示了单元内部的应力和应变之间的关系。
在ABAQUS中,单元刚度矩阵可以在输入文件中定义,也可
以由软件根据所选的单元类型自动生成。
根据单元类型的不同,单元刚度矩阵可以有不同的形式。
要在ABAQUS中查看或输出单元刚度矩阵,可以在输入文件
中使用相应的输出控制命令。
一般情况下,可以使用POST26
或OUTPUT,FIELD命令来输出单元刚度矩阵。
需要注意的是,ABAQUS中的单元刚度矩阵通常是局部坐标
系下的。
如果需要将其转换为全局坐标系下的刚度矩阵,可以使用转换矩阵进行坐标变换。
综上所述,ABAQUS中的单元刚度矩阵是表示单元刚度的矩阵,描述了单元内应力和应变之间的关系。
它可以通过输入文件定义或由软件自动生成,并可以使用输出控制命令查看或输出。
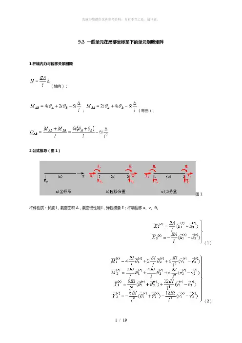
9.3 一般单元在局部坐标系下的单元刚度矩阵1.杆端内力与位移关系回顾(轴向);;(弯曲);2.公式推导(图1)图1杆件性质:长度l,截面面积A,截面惯性矩I,弹性模量E;杆端位移u、v、θ。
(1)(2)列成矩阵形式:(3)即:(4)局部坐标系下单元刚度矩阵:(5)9.4 梁单元1.简支梁简支梁单元见图1。
图1说明:(a)梁单元通常忽略轴向变形;(b)图10-3中;相应的力分量也应该为零;(c)依据刚度矩阵的物理意义,可以由一般单元的刚度矩阵生成梁单元矩阵。
即去掉位移分量为零的相应行和列。
即:单元刚度方程:单元刚度矩阵:(1)2.悬臂梁等思考:建立图2的单元刚度矩阵:(固定端位移为零;自由端有转角和竖向位移)图2图a:图b:3.桁架仅有轴向位移9.5 单元刚度系数的物理意义1.单元刚度系数的意义一般地,第j 个杆端位移分量取单位值1,其它杆端位移为0 时所引起的第i个杆端力分量的值。
例:的物理意义:当第3个杆端位移分量时引起的第5个杆端力分量。
对称性(反力互等定理)3.奇异性(,不存在逆矩阵)根据式可由杆端位移求解杆端力,且是唯一解。
但由杆端力求杆端位移,可能无解,如有解也是非唯一解。
说明:已知6个杆端力分量,(a)无法保证力状态的合法性——可能造成无解;(b)无法确定杆的支承条件——可能造成非唯一解。
9.6 单元坐标转换矩阵的物理意义1.问题的提出单元刚度矩阵——单根杆;多根根组成的复杂结构呢?(图1)图1分析(a)从数学的角度理解整体坐标系(xy)与局部坐标系()的区别;(b)力分量应向整体坐标系转换,图f给出了两种坐标系下力分量之间的数学关系:。
同理:2.公式推导矩阵形式:(1)同理:(2)其中:为单位坐标转换矩阵。
3.[T]的特性正交矩阵:其逆矩阵等于转置矩阵,即。
α=0时,(单位矩阵)。
9.7 整体坐标系单元刚度矩阵1.整体坐标系中的单元刚度矩阵两种坐标系中单元刚度矩阵的转换关系为:单元刚度矩阵的性质:同局部坐标系下。
单元刚度矩阵及其元素的特点
单元刚度矩阵是在有限元分析中使用的重要概念。
它是描述单
元内部应力和应变关系的工具,通常用于分析结构的强度和稳定性。
单元刚度矩阵的元素特点包括:
1. 对称性,单元刚度矩阵是对称的,即其(i, j)和(j, i)位置
的元素相等。
这是由于材料的弹性性质决定的,对称性简化了计算
过程。
2. 正定性,单元刚度矩阵是正定的,这意味着对于任意非零的
向量,其与单元刚度矩阵相乘后的结果仍为正数。
这一特性保证了
单元的稳定性和可靠性。
3. 局部坐标系,单元刚度矩阵的元素是相对于局部坐标系而言的,这意味着在全局坐标系下需要进行坐标变换才能得到全局刚度
矩阵。
4. 尺寸,单元刚度矩阵的尺寸取决于单元的自由度数量。
例如,对于二维单元而言,3节点三角形单元的单元刚度矩阵是6x6的,4
节点矩形单元的单元刚度矩阵是8x8的。
5. 形状函数的影响,单元刚度矩阵的元素受到所采用的形状函数的影响,不同的形状函数会导致不同的单元刚度矩阵。
总的来说,单元刚度矩阵的特点包括对称性、正定性、局部坐标系、尺寸和受形状函数影响。
这些特点对于理解和应用单元刚度矩阵在有限元分析中起着重要作用。
问题反馈【教师释疑】正确答案:【去除基础,再去除二元体后,小三角形、大三角形用三根链杆相连,故体系为无多余约束的几何不变体系。
】2、试对图示体系进行几何构造分析。
答题说明:简单给出分析过程。
最后给出结论。
问题反馈【教师释疑】正确答案:【先去掉基础在分析上部体系,上部体系为两刚片用一个铰一根杆3、对图示体系进行几何组成分析。
答题说明:简单给出分析过程。
最后给出结论。
问题反馈【教师释疑】正确答案:【依次去除二元体A、B、C、D、E、F、G后剩下大地,故该体系为无多余约束的几何不变体系。
】4、试对图示体系进行几何构造分析。
问题反馈【教师释疑】正确答案:【依次去除二元体DGF,FHE,DFE,ADC,CEB后,B点少一个约束。
该体系为有一个自由度的几何常变体系】1、找出图示桁架中的零杆。
答题说明:按你的分析结果,给出零杆总数和零杆编号(以两端结点编号表示)。
问题反馈【教师释疑】正确答案:【 23、34、49、89、59、96、65、57共8根零杆。
】2、找出图示桁架中的零杆。
答题说明:按你的分析结果,给出零杆总数和零杆编号(以两端结点编号表示)。
问题反馈【教师释疑】正确答案:【 13、12、27、25、56、64、67杆为零杆。
共7根零杆。
】答题说明:按你的分析结果,给出零杆总数和零杆编号(以两端结点编号表示)。
问题反馈【教师释疑】正确答案:【 EA、EB、AF、AC、BG、GD共有6根零杆。
】1、图乘法的应用条件是什么?问题反馈【教师释疑】正确答案:【图乘法的应用条件:1)杆轴线为直线,2)杆端的EI为常数3)MP和M图中至少有一个为直线图形。
】弯矩影响线与弯矩土有什么区别?问题反馈【教师释疑】正确答案:【①弯矩影响线的每一个竖标均表示同一个截面上弯矩的大小,不同的竖标只是反映单位荷载位置的不同而已。
②弯矩图的竖标则表示对应截面弯矩的大小,不同的竖标表示不同的截面上弯矩的大小。
③影响线对应的是单位行动荷载,而弯矩图对应的是某一固定荷载。
各单元的单元刚度矩阵一)杆件单元刚度矩阵局部坐标系中:整体坐标系中:αμαλsin ;cos ==二、)梁单元刚度矩阵剪弯梁局部坐标系下:坐标转换矩阵为:⎥⎦⎤⎢⎣⎡--=1111][l EA ke ⎥⎥⎥⎥⎥⎥⎥⎥⎦⎤⎢⎢⎢⎢⎢⎢⎢⎢⎣⎡------=l EI l EI l EI l EI l EI l EI l EI l EI l EI l EI l EI l EI l EI l EI l EI l EI k z z z z z z z z z z z z z z z z e 46612266122661246612][223223223223[]⎥⎥⎥⎥⎦⎤⎢⎢⎢⎢⎣⎡--=ααααααααcos sin 00sin cos 0000cos sin 00sin cos T轴剪弯梁局部坐标系下:坐标转化矩阵为:三、)平面三节点三角形单元刚度矩阵{}[]{}e N δδ=⎥⎥⎦⎤⎢⎢⎣⎡=m j i m j i N N N N N N N 000000][ )(21y c x b a AN i i i i ++=; ),,(m j i i = j m m j i y x y x a -=,m j i y y b -=,j m i x x c -=。
单元为等腰直角三角形,直角边长为1。
泊松比为0,弹性模量为1。
(单元节点编号为逆时针i ,j ,m ;直角顶点为m )[]⎥⎥⎥⎥⎥⎥⎥⎥⎥⎥⎥⎥⎥⎦⎤⎢⎢⎢⎢⎢⎢⎢⎢⎢⎢⎢⎢⎢⎣⎡--------=l EI l EI l EI l EI l EI l EI l EI l EI l EA l EA l EI l EI l EI l EI l EI l EI l EI l EI l EA l EA K e 460260612061200000260460612061200000222322222223[]⎥⎥⎥⎥⎥⎥⎥⎥⎦⎤⎢⎢⎢⎢⎢⎢⎢⎢⎣⎡--=1000000sin cos 0000sin cos 0000001000000cos sin 0000sin cos ααααααααT⎥⎥⎥⎥⎥⎥⎥⎥⎥⎥⎥⎥⎦⎤⎢⎢⎢⎢⎢⎢⎢⎢⎢⎢⎢⎢⎣⎡------=23211212102302121110002*********][E k e 1)集中力:}{][}{P N R T e =⎭⎬⎫⎩⎨⎧⎥⎥⎥⎥⎥⎥⎥⎥⎦⎤⎢⎢⎢⎢⎢⎢⎢⎢⎣⎡=⎪⎪⎪⎪⎭⎪⎪⎪⎪⎬⎫⎪⎪⎪⎪⎩⎪⎪⎪⎪⎨⎧y x y x m m j j i i m m j j i i P P N N N N N N Y X Y X Y X p p ),(000000 2)体力:⎰⎰=tdxdy p N R T e }{][}{3)分布面力:⎰=s T e tds P N R }{][}{例题3:在均质、等厚的三角形单元ijm 的ij 边上作用有沿x 方向按三角形分布的载荷,求移置后的结点载荷。
有限元中单元刚度矩阵和残差矩阵关系(一)有限元中单元刚度矩阵和残差矩阵关系什么是有限元分析有限元分析是一种解决连续介质力学问题的数值计算方法。
它将复杂的结构划分为许多小的单元,并对每个单元进行离散化和建模,以求解分析问题。
在有限元分析中,单元刚度矩阵和残差矩阵是两个重要的概念。
单元刚度矩阵单元刚度矩阵是对每个单元在局部坐标系下进行局部建模后的刚度矩阵。
它描述了单元内部各个节点之间的刚度关系。
单元刚度矩阵的计算通常基于材料的性质、几何形状和边界条件等。
残差矩阵残差矩阵是在有限元分析中引入的一个重要概念,用于描述节点的约束关系。
它是根据边界条件和节点位移的计算结果生成的。
在有限元分析中,为了保证整个结构的连续性和平衡,必须对节点之间的位移进行限制和约束。
残差矩阵表示这些约束关系。
单元刚度矩阵和残差矩阵的关系单元刚度矩阵和残差矩阵之间存在着紧密的关系。
这种关系可以通过有限元分析的公式推导得到。
通常来说,在线性静力学问题的有限元求解过程中,可以通过以下步骤来求解整体的刚度矩阵和残差矩阵:1.将整个结构划分为若干个单元,对每个单元进行局部建模和刚度矩阵的计算。
2.根据节点之间的约束关系,将所有单元的局部刚度矩阵进行组装,得到整个结构的总体刚度矩阵。
3.在施加边界条件的情况下,求解整体刚度矩阵和施加边界条件的节点位移,得到节点位移的解。
4.根据节点位移的解,计算整体结构的残差矩阵,即节点受到的力的不平衡情况。
因此,可以说单元刚度矩阵是构建整体刚度矩阵的基础,而残差矩阵则是在整体刚度矩阵和节点位移的解的基础上得到的。
单元刚度矩阵和残差矩阵之间的关系是有限元分析中求解问题的关键所在。
以上就是有限元中单元刚度矩阵和残差矩阵关系的简述和解释。
通过对单元刚度矩阵和残差矩阵的理解和计算,可以帮助我们更好地理解和解决连续介质力学问题。
单元刚度矩阵推导步骤单元刚度矩阵是在有限元分析中用于描述单元位移与力的关系的矩阵。
它是由单元的物理和几何性质计算得出的。
下面将详细介绍单元刚度矩阵的推导步骤。
1. 选择单元类型和材料模型首先,需要选择单元类型和材料模型。
不同的单元类型具有不同的形状和自由度,而材料模型则描述了材料的物理性质。
这些因素将影响最终的单元刚度矩阵。
2. 定义单元的几何形状和尺寸接下来,需要定义单元的几何形状和尺寸。
这通常涉及选择节点(或顶点)的位置,并确定单元的尺寸和形状。
这些信息将用于计算单元刚度矩阵。
3. 建立局部坐标系为了计算单元刚度矩阵,需要建立一个局部坐标系。
这个坐标系将用于描述单元内力和位移的关系。
通常,局部坐标系的原点设在单元的中心,x轴沿单元的长度方向,y轴沿宽度方向(对于矩形单元),z轴则垂直于xy平面。
4. 确定单元的物理性质单元刚度矩阵还取决于单元的物理性质,如弹性模量、泊松比、密度等。
这些性质将用于计算单元刚度矩阵中的元素。
5. 建立平衡方程根据弹性力学的平衡方程,可以建立单元的平衡方程。
对于一个三维单元,平衡方程可以表示为:[F] = [B] * [u]其中,[F]是作用在单元上的力向量,[u]是位移向量,[B]是应变-位移矩阵(或称为应变矩阵)。
该矩阵包含了由于位移引起的应变信息。
6. 计算应变-位移矩阵根据几何形状和尺寸,可以计算应变-位移矩阵[B]。
该矩阵描述了位移如何引起应变的变化。
对于三维单元,应变-位移矩阵通常具有以下形式:[B] = [B1 B2 B3; B4 B5 B6; B7 B8 B9]其中,B1-9是应变-位移矩阵的元素。
这些元素可以通过几何关系和物理性质计算得出。
7. 建立单元刚度矩阵使用弹性力学的公式,可以将平衡方程重写为:[K] * [u] = [F]其中,[K]是单元刚度矩阵,它描述了力和位移之间的关系。
通过将应变-位移矩阵[B]和弹性模量等物理性质代入公式中,可以计算出单元刚度矩阵[K]。
结构力学学习心得——矩阵位移法结构力学是力学的分支,它主要研究工程结构受力和传力的规律以及如何进行结构优化的学科。
所谓工程结构是指能够承受和传递外载荷的系统,包括杆、板、壳等以及它们的组合体,如飞机机身和机翼、桥梁、屋架和承力墙等。
结构力学的任务是:研究在工程结构在外载荷作用下的应力、应变和位移等的规律;分析不同形式和不同材料的工程结构,为工程设计提供分析方法和计算公式;确定工程结构承受和传递外力的能力;研究和开展新型工程结构。
结构力学中的求解方法有很多种,比方力法、位移法、力矩分配法、矩阵位移法,在结构动力学中还有刚度法、柔度法、极限荷载法等等。
在一个半学期的结构力学学习中,我对矩阵位移法犹为深刻,而且较为难理解,在结构力学书里短短的一章书,学校就安排了我们为期十周的学习,可见矩阵位移法的重要和学习的难度。
首先简单介绍一下矩阵位移法:矩阵位移法是以位移法为理论根底,以矩阵为表现形式,以计算机作为运算工具的综合分析方法。
基于该法的结构分析程序在结构设计中得到了广泛的应用。
因此,以计算机进行结构分析是本章的学习的重点。
引入矩阵运算的目的是使计算过程程序化,便于计算机自动化处理。
尽管矩阵位移法从手算的角度来看运算模式呆板,过程繁杂,但这些正是计算机所需要的和十分容易解决的。
矩阵位移法的特点是用“机算〞代替“手算〞。
因此,学习本章是既要了解它与位移法的共同点,更要了解它的一些新手法和新思想。
矩阵位移法包含两个根本环节:单元分析和整体分析,同时把整个结构看作是由假设干单个杆件〔称为单元〕所组成的集合体作为根本思路。
单元分析:首先把结构拆散成有限数目的杆件单元〔结构的离散化〕,写出各单元杆端的力与位移两者的关系式。
整体分析:将这些单元再集合一起,使其满足平衡条件和位移连续条件,也就是保证离散化了的杆件单元重新集合后仍恢复为原结构。
一般单元局部坐标下的单元刚度方程:323222323222000012612600646200000012612600626400e EA EA l l EI EI EI EI l l l l EI EI EI EI l l l l k EA EA l l EI EI EI EI l l l l EI EI EI EI l l l l ⎡⎤-⎢⎥⎢⎥⎢⎥-⎢⎥⎢⎥⎢⎥-⎢⎥⎡⎤=⎣⎦⎢⎥⎢⎥-⎢⎥⎢⎥---⎢⎥⎢⎥⎢⎥-⎢⎥⎣⎦一般单元坐标转换矩阵:整体坐标系下的单元刚度矩阵:利用公式,可将局部坐标系下的单元刚度矩阵转换成整体坐标系下的单元刚度矩阵。
9.3 一般单元在局部坐标系下的单元刚度矩阵
1.杆端内力与位移关系回顾
(轴向);
;(弯曲);
2.公式推导(图1)
图1 杆件性质:长度l,截面面积A,截面惯性矩I,弹性模量E;杆端位移u、v、θ。
(1)
(2)列成矩阵形式:
(3)
即:(4)局部坐标系下单元刚度矩阵:
(5)
9.4 梁单元
1.简支梁
简支梁单元见图1。
图1
说明:(a)梁单元通常忽略轴向变形;(b)图10-3中;相应的力分量也应该为零;(c)依据刚度矩阵的物理意义,可以由一般单元的刚度矩阵生成梁单元矩阵。
即去掉位移分量为零
的相应行和列。
即:单元刚度方程:单元刚度矩阵:
(1)
2.悬臂梁等
思考:建立图2的单元刚度矩阵:(固定端位移为零;自由端有转角和竖向位移)
图2
图a:图b:
3.桁架
仅有轴向位移
9.5 单元刚度系数的物理意义
1.单元刚度系数的意义
一般地,第j 个杆端位移分量取单位值1,其它杆端位移为0 时所引起的第i个杆端力分量的值。
例:的物理意义:当第3个杆端位移分量时引起的第5个杆端力分量。
对称性
(反力互等定理)
3.奇异性(,不存在逆矩阵)
根据式可由杆端位移求解杆端力,且是唯一解。
但由杆端力求杆端位移,可能无解,如有解也是非唯一解。
说明:已知6个杆端力分量,(a)无法保证力状态的合法性——可能造成无解;(b)无法确定杆的支承条件——可能造成非唯一解。
9.6 单元坐标转换矩阵的物理意义
1.问题的提出
单元刚度矩阵——单根杆;多根根组成的复杂结构呢?(图1)
图1 分析(a)从数学的角度理解整体坐标系(xy)与局部坐标系()的区别;
(b)力分量应向整体坐标系转换,图f给出了两种坐标系下力分量之间的数学关系:。
同理:
2.公式推导
矩阵形式:
(1)同理:(2)
其中:为单位坐标转换矩阵。
3.[T]的特性
正交矩阵:其逆矩阵等于转置矩阵,即。
α=0时,(单位矩阵)。
9.7 整体坐标系单元刚度矩阵
1.整体坐标系中的单元刚度矩阵
两种坐标系中单元刚度矩阵的转换关系为:
单元刚度矩阵的性质:同局部坐标系下。
2.实例
例10-1:图1结构,已知单元(1)、(2)在局部坐标系(杆件箭头方向)中的单元矩阵如下(单位:长度m,角度rad,力kN),求各单元在整体坐标系下的刚度矩阵。
图1
分析:→求[T]→求α→依据图形。
解:(1)单元1:α=0,(2)单元2:α=90
;
(3)单元2:α=120
;
注意:图中单元的方向,计算时宜取与整体坐标系相同(转角以逆时针为正)。
思考图2的求解。
图2
9.8 位移法建立整体刚度矩阵
1. 回顾
(1)连续梁的特点:并考虑杆件的轴向变形;一般情况下,结构仅有转角位移。
(2)两端固定的梁,在近端有一转角θ,相应产生杆端弯矩:4iθ(近端)和2iθ(远端)。
2. 公式推导
图1两跨连续梁。
图1
结点力与结点力偶的关系见表1。
表1
位移
M1 M2 M3 结点力偶
θ1 4i1θ1 2i1θ1 0
θ2 2i1θ2 (4i1+4i2)θ2 2i2θ2
θ3 0 2i2θ3 4i2θ3 矩阵形式:
记为:――整体刚度方程
其中:――整体刚度矩阵
注意:红、绿框中分别是单元(1)和(2)的单元刚度矩阵。
3.单元集成法的概念
基本思路:考虑单元独立贡献,再叠加。
如图1。
图1 基本过程:局部单元刚度矩阵→单元贡献矩阵→整体单元刚度矩阵
;
4.单元定位向量的概念
总码(整体分析):结点位移在结构中统一编码,如1,2等;
局部编码(单元分析):单元结点位移,如(1),(2)等。
单元定位向量(λ):单元结点位移的总码组成的向量。
具体见图2和表1。
图2
表10-1
单元局部码→总码单元定位向量(λ)
(1)→1
①
(2)→2
(1)→2
②
(2)→3
(i)→r
任意单元
(j)→s
5.实例分析
求图10-11连续梁的整体刚度矩阵。
图10-11
分析:固定端总码为0;总码的最后编号为n,则整体刚度矩阵为n×n阶。
解:见表10-3
单元单元刚度矩阵定位向量单元贡献矩阵整体刚度矩阵
①
②
③
6.整体刚度矩阵的性质
Kij――第j 个杆端位移分量取单位值1,其它杆端位移为0 时所引起的第i个杆端力分量的值。
[K]是对称矩阵、可逆矩阵、和带状稀疏矩阵(非零元素集中在主对角线两侧的局部带宽之内)。
9.9刚架整体刚度矩阵刚结点
1.问题的引出
(a)连续梁建立方法:单元刚度矩阵通过单元定位向量形成整体刚度矩阵。
(b)刚架与连续梁的区别:考虑轴向变形(有水平竖向位移)。
(c)必须采用整体坐标系,统一各杆的方向。
2.建立过程:编码→单元定位向量→单元集成
编码原则:
已知位移分量为零的,总码为零;
位移分量不为零的,总码(每个结点)按顺序:水平位移→竖向位移→转角位移;其方向由整体坐标系的方向确定。
一般结点顺序可按:刚结点→支座;左→右;上→下。
注意处理支座情况和刚结点。
见图1。
图1
实例分析:图1中a)和b)的单元单位向量见表1,整体刚度矩阵的集成过程见表2a和b。
表1
表10-5(图a)
表10-5(图b)
与刚性结点的区别
铰结点(两杆相交)编号有4个,两个线位移(水平和竖向)和两个铰位移,即两杆的线位移编号相同,角位移编号不同。
如图1。
图1
图2中a)、b)和c)整体刚度矩阵的集成过程见表1a、b和c。
图2 分析:图a和图b的区别在于支座变化;图c特殊:杆①为链杆,仅有轴向变形(1和4)。
表1(图a)
表1(图c)。