数值分析期末复习资料
- 格式:docx
- 大小:413.89 KB
- 文档页数:21
[][][]0010012001,,()()n n f x x x x x x -+--参考答案一. 填空(每空3分,共30分)1. 截断误差2. )2(--x x ,2)1(-x x , 10 3. 14.)(2)(21k k k k k k x f x x f x x x '---=+ 5. 6,5,26,9二. 计算1. 构造重节点的差商表:所以,要求的Newton 插值为:3()5(1)2(1)(2)(1)(2)(3)N x x x x x x x =--+--+---3243x x =-+插值余项是:2()()(1)(2)3!f R x x x ξ'''=--或:()[,1,2,3,4](1)(2)(3)(4)R x f x x x x x =----2.(1)解:()1f x =时,左10()1f x dx ==⎰,右01A A =+,左=右得:011A A +=()f x x =时,左101()2f x dx ==⎰,右01B A =+,左=右得:0112B A += 2()f x x =时,左101()3f x dx ==⎰,右1A =,左=右得:113A =联立上述三个方程,解得:001211,,363A B A ===3()f x x =时,左101()4f x dx ==⎰,右113A ==,左≠右 所以,该求积公式的代数精度是2(2)解:过点0,1构造()f x 的Hermite 插值2()H x ,因为该求积公式代数精度为2,所以有:'212021200010(0)(0)(0)(0)(1()))(0H A H B H f A f B f H x dx A A ++++==⎰其求积余项为:1'1000()[(0)(1)(0)]()f x dx f A f f B f R A -++=⎰112201()()!))((13f H x dx x x dx f x dx η'''--==⎰⎰⎰ 120()(1)3!f x x dx ζ'''=-⎰ ()72f ζ'''=-所以,172k =-3.解:改进的Euler 公式是:1111(,)[(,)(,)]2n n n n n n n n n n y y hf x y hy y f x y f x y ++++=+⎧⎪⎨=++⎪⎩具体到本题中,求解的公式是:11110.2(32) 1.40.60.1[3232](0)1n n n n n n n n n n n n y y x y y x y y x y x y y ++++=++=+⎧⎪=++++⎨⎪=⎩代入求解得:1 1.4y =,1 1.54y =222.276, 2.4832y y ==4.解:设3()25,f x x x =+-则2()32,f x x '=+ 牛顿迭代公式为:1()()k k k k f x x x f x +=-'322532k k k k x x x x +-=-+ 322532k k x x +=+将0 1.5x =代入上式,得1 1.34286x =,2 1.37012x =,3 1.32920x =,4 1.32827x =,5 1.32826x =4540.0000110x x --=<所以,方程的近似根5 1.32826x =5.解,Jacobi 迭代公式是:11231211131521333324k k k k k k k x x x x x x x ++++⎧=--⎪⎪⎪=-⎨⎪⎪=-⎪⎩Gauss-Seidel 迭代公式是:112311211131521333324k k k k k k k x x x x x x x +++++⎧=--⎪⎪⎪=-⎨⎪⎪=-⎪⎩(2) 设其系数矩阵是A ,将A 分解为:A D L U =--,其中300020001D ⎛⎫ ⎪= ⎪ ⎪⎝⎭,000021200,000100000L U --⎛⎫⎛⎫ ⎪ ⎪=-= ⎪ ⎪ ⎪ ⎪-⎝⎭⎝⎭Jacobi 迭代矩阵是:11030211()0020********J B D L U -⎛⎫--⎛⎫ ⎪ ⎪ ⎪=+=-⎪ ⎪ ⎪- ⎪⎝⎭ ⎪⎝⎭21033100100--⎛⎫⎪ ⎪=- ⎪- ⎪⎝⎭Gauss-Seidel 迭代矩阵是:11300021()220000101000J B D L U ----⎛⎫⎛⎫⎪ ⎪=-= ⎪ ⎪ ⎪ ⎪⎝⎭⎝⎭20002112300006206000--⎛⎫⎛⎫ ⎪⎪=- ⎪⎪ ⎪⎪-⎝⎭⎝⎭021********--⎛⎫⎪= ⎪ ⎪⎝⎭二. 证明证明:00x >且11()2k k kax x x +=+0k x ⇒> 所以有:111()222k k k k ka a x x x a x x +=+≥=即:数列k x 有下界;2111()()22k k k k k k kx a x x x x x x +=+≤+=所以,迭代序列k x 是单调递减的,由单调递减且有下界的数列极限存在可知序列k x 极限存在。
数值分析复习资料一、重点公式第一章 非线性方程和方程组的数值解法 1)二分法的基本原理,误差:~12k b ax α+--<2)迭代法收敛阶:1lim0i pi ic εε+→∞=≠,若1p =则要求01c <<3)单点迭代收敛定理:定理一:若当[],x a b ∈时,[](),x a b ϕ∈且'()1x l ϕ≤<,[],x a b ∀∈,则迭代格式收敛于唯一的根;定理二:设()x ϕ满足:①[],x a b ∈时,[](),x a b ϕ∈, ②[]121212,,, ()(),01x x a b x x l x x l ϕϕ∀∈-≤-<<有 则对任意初值[]0,x a b ∈迭代收敛,且:110111i i iii x x x llx x x lαα+-≤---≤-- 定理三:设()x ϕ在α的邻域内具有连续的一阶导数,且'()1ϕα<,则迭代格式具有局部收敛性;定理四:假设()x ϕ在根α的邻域内充分可导,则迭代格式1()i i x x ϕ+=是P 阶收敛的 ()()()0,1,,1,()0j P j P ϕαϕα==-≠ (Taylor 展开证明)4)Newton 迭代法:1'()()i i i i f x x x f x +=-,平方收敛 5)Newton 迭代法收敛定理:设()f x 在有根区间[],a b 上有二阶导数,且满足: ①:()()0f a f b <; ②:[]'()0,,f x x a b ≠∈;③:[]'',,f x a b ∈不变号④:初值[]0,x a b ∈使得''()()0f x f x <;则Newton 迭代法收敛于根α。
6)多点迭代法:1111111()()()()()()()()()i i i i i i i i i i i i i i i f x f x f x x x x x f x f x f x f x f x f x x x -+-----=-=+----收敛阶:P =7)Newton 迭代法求重根(收敛仍为线性收敛),对Newton 法进行修改 ①:已知根的重数r ,1'()()i i i i f x x x rf x +=-(平方收敛) ②:未知根的重数:1''()(),()()()i i i i u x f x x x u x u x f x +=-=,α为()f x 的重根,则α为()u x 的单根。
期末数值分析重点总结第一部分:数值逼近(Approximation)数值逼近是数值分析的基础,主要研究如何利用有限的计算资源得到逼近数学问题的有效算法。
数值逼近的主要内容包括多项式逼近、插值和最小二乘等。
1. 多项式逼近多项式逼近是指用一个多项式函数来逼近给定函数的值。
通过选择合适的多项式次数和插值点,可以使得多项式逼近误差最小化。
其中最常用的方法是最小二乘法,它可以通过最小化残差来得到最佳的多项式逼近。
多项式逼近在信号处理、图像处理和计算机图形学等领域中有广泛的应用。
2. 插值插值是指通过已知数据点的函数值来估计在其他点的函数值。
常用的插值方法有拉格朗日插值和牛顿插值。
拉格朗日插值通过构造一个满足插值条件的多项式来逼近给定函数。
牛顿插值则利用差商的概念来构造插值多项式。
插值方法在数值微分和数值积分中有广泛的应用。
3. 最小二乘最小二乘是一种在一组离散数据点上拟合曲线的方法。
通过最小化数据点与拟合曲线之间的欧几里得距离,可以得到最佳拟合曲线。
最小二乘法可以用于曲线拟合、参数估计和数据关联等问题。
第二部分:数值解方程(Numerical Solution of Equations)数值解方程是数值分析的重要内容之一,研究如何通过数值计算来求解非线性方程组和线性方程组。
数值解方程的主要方法有迭代法、常微分方程数值解和偏微分方程数值解等。
1. 迭代法迭代法是求解非线性方程组的常用方法之一。
通过不断迭代逼近方程的根,可以得到方程组的数值解。
常用的迭代法有牛顿迭代法和弦截法。
迭代法在计算机辅助设计、优化和数据分析等领域中有广泛的应用。
2. 常微分方程数值解常微分方程数值解研究如何通过数值计算来求解常微分方程。
常微分方程数值解的主要方法有Euler方法、Runge-Kutta方法和线性多步法等。
常微分方程数值解在物理学、工程学和生物学等领域中有广泛的应用。
3. 偏微分方程数值解偏微分方程数值解研究如何通过数值方法来求解偏微分方程。
Chapter 1 误差误差限计算、有效数字分析•绝对课差址t洵准确俏”*为工的-个近似偵「称T —工対近似偵.T '的絶村谋差,简厳供邛*可简记为E.|g(T)|=| T —*|兰£(/)数值貞门称为T的11绐对误差限或误差限*l『*、F(x ) x —x E© ) = —=——为近似值/的担zt溟誉可简{己址•有效数字若才作加的近tilt其鲍对误差的绝对值不超过某一位数字的半个单恆,而该位数字到F的第—位非零数字共有斤位關称用F近恤时具有血有效做字'简称丫有畀位有效数字.Chapter 2插值法差值条件(唯一性)1、拉格朗日差值a) 插值基函数b) 差值余项2.2拉格朗曰抽值2.2.1基函数考虑最简单、晟舉本的骼值问起+ 求押次插值家项式『低)…肋,便加滿足播值条伸可知,除斗点外.其余都星”.巧的零点■械可诛< (A) ^.4(X 一%[…(-V址 d 為"* <A -A;)X)=A(X - J- (A- - \_, )(.Y -J)其中M为常數.由&工戶1町得』=-------------------- -----------------(閔円)心7冷K%-咖卜-a -斗)和対讼>:T^V为准确血"为玄的一个近似伉称relativeerror称之为拉厳朗LI垒曲绘都是M次帝项武.. 2.1.2拉榕朗n插佢雾项式利用拉辭朗H皋啦数/态人构造次数不趙过"的雾项式£(巧二必机朗+^( v) + •…I J;/,(.v) = £昭(曰可知其搆足7韩为拉格阴Id插说饕砂式.再由插菽牟嘶的唯亠杵“ 鲁 D I特别地*造时又叫钱件擂僮其几何童又为过两点的直级-当*匸2时又叫拋物<线)掩值•具几何鳶义为过三点的拋物线.滾丘阖淘若取人1).伸伏=札1*…飒由插痕参项式的唯一性有£址工)# =x\ k= 0」厂』特别当k-OfiL就得到£佃-1□则铉格朗U的丄抚抽值雾项式为V)= j^(j(X> + I'Jj (x> + j/2(.v) * MQO=(2)弓…仗扣讪—协-町H^)xll(A + l)(r-JX^ 4}+3x —(x H)(x-LXx-3) 8 15■裁1M T-3X V-4)+^X HX A-1M A4)+ l(.v+lX.v-lXr-3)+ 3)a 1已知$ =五,耳=4眄=S.用皴件插值f即一次插惟藝坝如历的近似值.解片=2・曲=3•菇函数付别为:t-9 1 x-4 I4(J)=——=—(x-9j, Zjx)=——= -{x -4)砂14-9 5尸门9-4 5播債孝项式为V)-片fj.i) +」'占(巧-2x^(.v 夕”:(* 4)---(.V 4 J -4)(- (X + fr))所以乔金厶⑺二空R点5使2求过啟-1,-毎川』人(乱-创*(4」)的抛物线播值(即三次插値务项式).蔦-U 斗=-t t A|二L x2=3»A3- 4以为苗点加墓函.数分别为:厶何」匸迪住1±J (.r +lXA -3}(x-4)1(1 ► 1)(1-3)(1- 4J 12心)」:十汽-1年¥二Uw心一ncz (34-1X3-1X3-4) K=⑴】心-叭7= *十叫讣7】(4 + IX4-1X4-3) 152.23極値肇项M tt'r滾^Ji n(x)=f(x)兀糾也称为"次1川甘"叱插伯赛境式的余坝。
第一章绪论1.设0x >,x 的相对误差为δ,求ln x 的误差。
解:近似值*x 的相对误差为*****r e x xe x x δ-=== 而ln x 的误差为()1ln *ln *ln **e x x x e x =-≈进而有(ln *)x εδ≈2.设x 的相对误差为2%,求n x 的相对误差。
解:设()nf x x =,则函数的条件数为'()||()p xf x C f x = 又1'()n f x nx-=Q , 1||n p x nx C n n-⋅∴== 又((*))(*)r p r x n C x εε≈⋅Q 且(*)r e x 为2((*))0.02n r x n ε∴≈3.下列各数都是经过四舍五入得到的近似数,即误差限不超过最后一位的半个单位,试指出它们是几位有效数字:*1 1.1021x =,*20.031x =, *3385.6x =, *456.430x =,*57 1.0.x =⨯解:*1 1.1021x =是五位有效数字; *20.031x =是二位有效数字; *3385.6x =是四位有效数字; *456.430x =是五位有效数字; *57 1.0.x =⨯是二位有效数字。
4.利用公式(2.3)求下列各近似值的误差限:(1) ***124x x x ++,(2) ***123x x x ,(3) **24/x x .其中****1234,,,x x x x 均为第3题所给的数。
解:*41*32*13*34*151()1021()1021()1021()1021()102x x x x x εεεεε-----=⨯=⨯=⨯=⨯=⨯***124***1244333(1)()()()()1111010102221.0510x x x x x x εεεε----++=++=⨯+⨯+⨯=⨯ ***123*********123231132143(2)()()()()1111.10210.031100.031385.610 1.1021385.6102220.215x x x x x x x x x x x x εεεε---=++=⨯⨯⨯+⨯⨯⨯+⨯⨯⨯≈**24****24422*4335(3)(/)()()110.0311056.430102256.43056.43010x x x x x x xεεε---+≈⨯⨯+⨯⨯=⨯=5计算球体积要使相对误差限为1,问度量半径R 时允许的相对误差限是多少? 解:球体体积为343V R π=则何种函数的条件数为23'4343p R V R R C V R ππ===g g(*)(*)3(*)r p r r V C R R εεε∴≈=g又(*)1r V ε=Q %1故度量半径R 时允许的相对误差限为εr (V ∗)=13∗1%=13006.设028Y =,按递推公式1n n Y Y -=n=1,2,…)计算到100Y 27.982≈(5位有效数字),试问计算100Y 将有多大误差?解:1n n Y Y -=Q10099Y Y ∴=9998Y Y =9897Y Y =……10Y Y =依次代入后,有1000100Y Y =-即1000Y Y =27.982≈, 100027.982Y Y ∴=-*310001()()(27.982)102Y Y εεε-∴=+=⨯100Y ∴的误差限为31102-⨯。
《数值分析》期末复习纲要 第一章 数值计算中的误差分析主要内容(一)误差分析 1、误差的基本概念:(1)绝对误差:设x 是精确值, *x 是其近似值,则称()E x x x*=-是近似值*x 的绝对误差,简称误差。
特点:可正可负,带量纲。
(2)相对误差:称()r x x E x x *-=是近似值*x 的相对误差,若精确值x 未知,则定义()r x x E x x **-=。
注: 由四舍五入得到的近似值,误差不超过最末位的半个单位(准确到最末位)。
2、有效数字的概念:P6;3、算法的数值稳定性:数值稳定的算法:初始数据所带有的误差在计算的过程中能得到有效控制,不至于因误差的过度增长影响计算结果的精度。
数值不稳定的算法:初始数据所带有的误差在计算的过程中得不到有效控制,以至于因误差的过度增长而使计算结果的精度大大降低。
P11:例子(二)算法设计的基本准则P11-15 应用实例:课堂练习,作业基本要求1、掌握误差、有效数字等基本概念2、熟记算法设计准则,并能依据算法设计准则构造或选择计算公式。
(参见课堂练习、作业)第二章 线性代数方程组的数值解法直接法:不计初始数据的误差和计算过程中的舍入误差,经过有限步四则运算求得方程组的精确解。
迭代法:先给出方程组解的某一初始值,然后按照一定的迭代法则(公式)进行迭代,经过有限次迭代,求得满足精度要求的方程组的近似解。
主要内容(一)直接法的基本模式:高斯顺序消去法基本思想:按照各方程的自然排列顺序(不交换方程),通过按列消去各未知元,将方程组化为同解的三角形方程组来求解求解过程:⎩⎨⎧回代过程消元过程应用实例:课堂例题;练习 (二)高斯列主元消去法基本思想:按列消元,但每次按列消元之前,先选取参与消元的 方程首列系数,选取绝对值最大者,通过交换方程,使之成为主元,再进行消元。
(每一步消元之前先按列选取主元) 应用实例:课堂例题,作业(三)迭代法基本原理:(1)将原方程组b Ax =改写成如下等价形式:f Bx x += (2)构造相应的迭代公式:f Bx x m m +=-)1()((3)任取一初始向量)0(x代入上述迭代公式,经迭代得到向量序列{}Tm n m m m x x x x ),,,()()(2)(1)( =,如果该向量序列{})(m x 收敛于某一向量Tn x x x x ),,,(21****= ,即),,2,1(lim )(n i x x i m i m ==*∞→Tn x x x x ),,,(21****= 即为原方程组的解。
1. 已知如下数据()i i x y ,,1,2,3,4i =,即(1,8),(2,7),(5,10),(10,21),试求一条形如by ax x=+的最小二乘拟合函数。
2. 考虑n 阶线性代数方程组Ax b =的扰动方程组()()A A x x b b +∆+∆=+∆设A 是非奇异矩阵,∙表示某种向量范数或从属于它的矩阵范数,且11A A -∆<,证明:(1)扰动方程有唯一解; (2)有估计()()1111A A A AA ---+∆≤-∆(3)记()1K A A A -=称为矩阵A 的条件数,则还有估计()()1x A b K A x K A AA A b ⎛⎫∆∆∆≤+ ⎪ ⎪-∆⎝⎭3. 方程组Ax b =,其中10.50.520.5,,0.51a A x a R a -⎡⎤⎢⎥=--∈⎢⎥⎢⎥--⎣⎦(1)试用迭代次数的充要条件求出使jacbi 迭代法收敛的a 的取值范围; (2)选择一种便于计算的迭代收敛的充分条件,求出G-S 迭代法收敛的a 的范围,并求出G-S 迭代公式(分量形式);4. 设矩阵210131012A ⎡⎤⎢⎥=⎢⎥⎢⎥⎣⎦,试求()()2,,A cond A A ρ. 5. 设求()0f x =的迭代格式,()()()10,1,2,3......n n n n f x x x n f x +=-='收敛到()0f x = 精确解*x ,且*x 是方程()0f x =的单根,试证牛顿迭代格式二阶收敛,即()()()*1*12lim 2n n n n n f x x x x x f x -→∞--''-=-'- 6. 设*x 为()0f x =的一个根,()f x 在*x 的某领域为三次连续可微,且()*0f x ≠,对牛顿法做如下修改:()()()()()()10,1,2,3......n n nnn n n nn f x x x D f x f x f x D n f x +⎧=-⎪⎪⎨+-⎪==⎪⎩,证明该迭代法二阶收敛。
第一章 绪论§1 绪论:数值分析的研究内容 §2 误差的来源和分类 §3 误差的表示 §4 误差的传播 §5 算法设计的若干原则一、误差的分类(绝对误差,相对误差)例1-1 设 x *=是由精确值x 经过四舍五入得到的近似值。
问 x 的绝对误差限ε和相对误差限η各是多少解:因为 x =x * ± ,所以绝对误差限为ε= 相对误差限为二、有效数字定义 设数 x 的近似值可以表示为其中 m 是整数,αi (i=1,2, …, n ) 是0到9 中的一个数字,而α1 ≠ 0. 如果其绝对误差限为则称近似数 x* 具有 n 位有效数字。
结论:通过四舍五入原则求得的近似数,其有效数字就是从末尾到第一位非零数字之间的所有数字。
例1-2 下列近似数是通过四舍五入的方法得到的,试判定它们各有几位有效数字:x 1* =87540,x 2*=8754×10, x 3*=, x 4*= ×10-2%23.018.2005.0*≈==x εηm n x 10.021*⨯±=ααα *1102m nx x --≤⨯111x x *-≤5511101-*⨯≤-x x 所以已知有5位有效数字。
同理可以写出可以得出 x 2 , x 3 , x 4 各具有4、3、4 位有效数字。
例1-3 已知 e =……, 试判断下面两个近似数各有几位有效数字解:由于而e 1有7位有效数字。
同理:e 2 只有6位有效数字。
三、算法设计的若干原则• 1:两个很接近的数字不做减法:• 2: 不用很小得数做分母(不用很大的数做分子)练习: 求方程 x 2-56x +1=0 的两个根,使它们至少具有四位有效数字•第二章 插值与拟合1、Lagrange 插值多项式,Newton 插值多项式的构造与插值余项估计,及证明过程。
2、 Hermite 插值多项式的构造与插值余项估计,带导数条件的插值多项式的构造方法,基于承袭性的算法,基函数法, 重节点差商而所以 7161102110210000005.00000001.0--⨯=⨯=≤=- e e 510.8754010x *=⨯而1221102x x *-≤⨯520.875410x *=⨯54221102x x *--≤⨯5331102x x *--≤⨯230.34510x *-=⨯-23331102x x *--≤⨯6441102x x *--≤⨯240.345010x *-=⨯24441102x x *---≤⨯718281.2,718282.221==e e 6110210000005.00000001.0-⨯=≤=- e e 11102718282.0718282.2⨯==e 615210211021000005.00000008.0--⨯=⨯=<=- e e表的构造;3、分段插值及三次样条插值的构造4、最小二乘拟合• 掌握Lagrange 插值多项式的构造方法及具体结构 • 掌握Lagrange 插值多项式误差分析方法和证明方法 • 掌握Newton 插值多项式的形式及误差 • 掌握差商表的构造过程 关于离散数据:Newton 插值多项式:例1-3 已知f (x ) 的五组数据(1,0)、(2,2)、(3,12)、(4,42)、(5,116),求 N 4 (x )。
数值分析复习题一、选择题1.3.142和3.141分别作为二的近似数具有()和()位有效数字A . 4 和 3B . 3 和 2C . 3 和 4D . 4 和 421 r 「2 11 f xdx『1 A f (-)-f (2) 2.已知求积公式6 3 6,则 A =() 11 1 2A .6B .32D . 33•通过点X 0,y 。
,x 1,y 1的拉格朗日插值基函数l ox ,h x 满足()4.设求方程f X =o的根的牛顿法收敛,则它具有( )敛速。
A .超线性B .平方C .线性D .三次X j 2x 2 x 3 = o “ 2% +2x 2 +3x 3 =35.用列主元消元法解线性方程组 厂X | — 3x 2 = 2 作第一次消元后得到的第3个方程 -X 2 X 3 =2 -2X 2 1.5X 3 二 3.5 C .—2x 2 x 3 = 3x 2 - o.5x 3 二、填空1.设-2.3149541...,取5位有效数字,则所得的近似值 x=f X 1,X 2 =2.设一阶差商 f X 2 - f X x 2 一為 1 -4 2-1 f X 1,X 2,X 3= ___________f X 2,X 3=f X 3 - f X 2X 3 -X 2().=-1.56-1 _ 5 4-2 2I 。
* )= 0, h(X 1 )=0Io (X 。
)= 0,)=1C . I o (X o )= 1 h (X 1 ) = 1Io(Xo ) = 1 h(X 1)=18、若线性代数方程组 AX=b 的系数矩阵A 为严格对角占优阵,则雅可比迭代和高斯 9、解常微分方程初值问题的欧拉(Euler )方法的局部截断误差为y=10 +丄 + 2 310、为了使计算 x-1 (x-1) (x-1)的乘除法运算次数尽量的少,应将表达式改写12•—阶均差f x ),x1-13.已知n =3时,科茨系数=8,C/心=8,那么C 33 =18.设 X=(2,一3,7)T,则 ||X|1 厂3•设 X =(2, -3,-1),则 ||X ||2 二,l|X Id4 •求方程x 2-X-仁5" 的近似根,用迭代公式 x 「x425,取初始值x=1 ,那么x1二5 •解初始值问题 y 、f(x,y)y (x0)= y °近似解的梯形公式是yk 16、 一5 1丿,则A 的谱半径Q(A)= 7、设f(x) =3x +5, X k=kh, k =0,1,2,...,则f 1人,焉 1,X n.2】 =-塞德尔迭代都11•设 X=(2,3T T ,则 ||X|"l|X||2 =14.因为方程f x =^4 2 =0在区间1,2I 上满足,所以f x =0在区间内有根。
数值分析期末复习资料数值分析期末复习题型:一、填空 二、判断 三、解答(计算) 四、证明第一章 误差与有效数字一、 有效数字1、 定义:若近似值x*的误差限是某一位的半个单位,该位到x*的第一位非零数字共有n 位,就说x*有n 位有效数字。
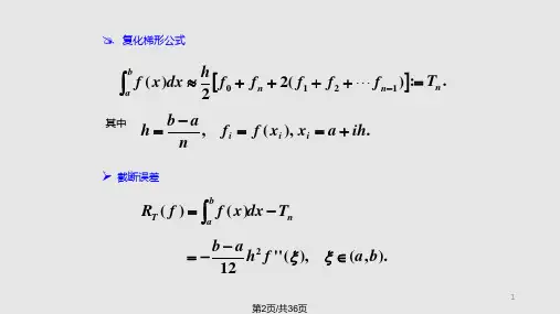
2、 两点理解:(1) 四舍五入的一定是有效数字(2) 绝对误差不会超过末位数字的半个单位eg. 3、 定理1(P6):若x*具有n 位有效数字,则其相对误差限为 4、 考点:(1)计算有效数字位数:一个根据定义理解,一个根据定理1(P7例题3)二、 避免误差危害原则 1、 原则:(1) 避免大数吃小数(方法:从小到大相加;利用韦达定理:x1*x2= c / a )(2) 避免相近数相减(方法:有理化)eg. 或 (3) 减少运算次数(方法:秦九韶算法)eg.P20习题14三、 数值运算的误差估计 1、 公式:(1) 一元函数:|ε*( f (x *))| ≈ | f ’(x *)|·|ε*(x )|或其变形公式求相对误差(两边同时除以f (x *)) eg.P19习题1、2、5(2) 多元函数(P8)eg. P8例4,P19习题4*(1)11102n r a ε--≤⨯;x εx εx εx ++=-+();1ln ln ln ⎪⎪⎭⎫ ⎝⎛+=-+x εx εx x cos 1-2sin 22x =第二章 插值法一、 插值条件1、 定义:在区间[a,b]上,给定n+1个点,a ≤x 0<x 1<…<x n ≤b 的函数值yi=f(xi),求次数不超过n 的多项式P(x),使2、 定理:满足插值条件、n+1个点、点互异、多项式次数≤n 的P(x)存在且唯一二、 拉格朗日插值及其余项1、 n 次插值基函数表达式(P26(2.8))2、 插值多项式表达式(P26(2.9))3、 插值余项(P26(2.12)):用于误差估计4、 插值基函数性质(P27(2.17及2.18))eg.P28例1三、 差商(均差)及牛顿插值多项式 1、 差商性质(P30):(1) 可表示为函数值的线性组合(2) 差商的对称性:差商与节点的排列次序无关 (3) 均差与导数的关系(P31(3.5)) 2、 均差表计算及牛顿插值多项式四、埃尔米特插值(书P36) 两种解法:(1) 用定义做:设P 3(x)=ax 3+bx 2+cx+d ,将已知条件代入求解(4个条件:节点函数值、导数值相等各2个)(2) 牛顿法(借助差商):重节点eg.P49习题14五、三次样条插值定义n i y x P i i n ,,2,1,0)( ==(1) 分段函数,每段都是三次多项式(2) 在拼接点上连续(一阶、二阶导数均连续)(3)考点:利用节点函数值、导数值相等进行解题第三章 函数逼近与曲线拟合一、 曲线拟合的最小二乘法解题思路:确定ϕi ,解法方程组,列方程组求系数(注意ϕi 应与系数一一对应)eg.P95习题17 形如y=ae bx 解题步骤: (1) 线性化(2)重新制表(3)列法方程组求解(4)回代第四章 数值积分与数值微分一、 代数精度 1、 概念:如果某个求积公式对于次数不超过m 的多项式准确成立,但对于m+1次多项式不准确成立,则称该求积公式具有m 次代数精度2、 计算方法:将f(x)=1,x,x 2,…x n 代入式子求解 eg.P100例1二、 插值型的求积公式求积系数定理:求积公式至少具有n 次代数精度的充要条件是:它是插值型的。
nj y x S j j ,,1,0,)( ==三、 牛顿-科特斯公式1、 掌握科特斯系数n=1,2的情况即可(P104表4-1),性质:和为1,对称性2、 定理:当n 为奇数时,牛顿-柯斯特公式至少有n 次代数精度;当阶n 为偶数时,牛顿-科特斯公式至少具有n+1次代数精度 3、 在插值型求积公式中求积节点取为等距节点,即,k b ax a kh h n-=+=,k=0,1,2,….n 。
则可构造牛顿-柯斯特求积公式:()()()n 00000(1)=b-a (),!()nnn k n nnn n k k k k j j j kj kb a t j I C f x C dt t j dt h k j nk n k -===≠≠---==---∑∏∏⎰⎰()! n=1时,求积公式为梯形公式:()()()()2b ab a f x dx f a f b -≈+⎡⎤⎣⎦⎰n=2时,求积公式为辛普森公式:()()()()462b ab a a b f x dx f a f f b -⎡+⎤⎛⎫≈++ ⎪⎢⎥⎝⎭⎣⎦⎰ n=4时,求积公式为柯特斯公式:()()()()()()()012347321232790b ab a f x dx f x f x f x f x f x -⎡⎤≈++++⎣⎦⎰ 4、 低阶求积公式的余项: 梯形公式:()()()[]2,,12Tb a R b a f a b ηη-''=--∈辛普森公式:()()()[]44,,1802S b a b a R f a b ηη--⎛⎫=-∈ ⎪⎝⎭柯特斯公式:()()()[]662,,9454C b a b a R f a b ηη--⎛⎫=-∈ ⎪⎝⎭5、 复合梯形公式及余项(P106)()()()1122n n k k h T f a f x f b -=⎡⎤=++⎢⎥⎣⎦∑()()()1210b-a ,12n n n k k k k k R f I T h f x x ηη-+=''=-=-∈+∑6、 复合辛普森公式及余项(P107)()()()()121101426n n n k k k k h S f a f x f x f b --+==⎡⎤=+++⎢⎥⎣⎦∑∑()()()41410b-a ,1802n n n k k k k k h R f I S f x x ηη-+=⎛⎫=-=-∈+ ⎪⎝⎭∑四、 高斯型求积公式(书P117-120)1、 定义:如果求积公式具有2n+1次代数精度,则称其节点x k 为高斯点。
求积公式:()()()()()()21201,bbnn k k k k k n k a af x x dx A f x A x dx x x x ωρρω+=+≈='-∑⎰⎰ 余项:[]()()()()222122!n b n n af R f x x dx n ηωρ++=+⎰ 2、第五章 解线性方程组的直接方法一、 高斯消去法:利用增广矩阵 二、 LU 分解 Ly=b ;Ux=y1、特点:L 对角线均为1,第一列等于A 的第一列除以a 11;U 的第一行等于A 的第一行2、LU 分解唯一性:A 的顺序主子式Di ≠0 三、 平方根法:;TLy b L x y == 例题:用平方根法解对称正定方程组解:先分解系数矩阵A⎪⎪⎪⎭⎫ ⎝⎛=⎪⎪⎪⎭⎫ ⎝⎛⎪⎪⎪⎭⎫ ⎝⎛91096858137576321x x x改进平方根法:1,,TA LDL Ly b DL x y -===四、 追赶法:A=LU ,Ly=f ,Ux=y11112222211111111n n n n nnn nn b c a b c r A a b c r a b αβαβα----⎡⎤⎡⎤⎡⎤⎢⎥⎢⎥⎢⎥⎢⎥⎢⎥⎢⎥⎢⎥==⎢⎥⎢⎥⎢⎥⎢⎥⎢⎥⎢⎥⎣⎦⎣⎦⎢⎥⎣⎦五、 范数(误差分析)1、向量范数定义及常用范数i 1i nx =max x ∞≤≤∞-范数(最大范数):ni 1i=11x =x -∑范数:1n22i 2i=12x =x ⎛⎫- ⎪⎝⎭∑范数:()1p i=1p x =x ,1NPp i P ⎛⎫-≤≤+∞ ⎪⎝⎭∑范数:2、矩阵范数定义及常用范数nij 1i nj=1=max a A ∞≤≤∞-∑范数(行范数):nij 11j ni=11=max a A ≤≤-∑范数(列范数):()max 22T A A A λ-范数:1n 22ij i,j=1=a F F A ⎛⎫- ⎪⎝⎭∑范数:其中()max TA A λ表示半正定矩阵TAA 的最大特征值,矩阵的前三种范数分别与向量的前三种范数相容3、 条件数条件数是线性方程组Ax=b 的解对b 中的误差或不确定度的敏感性的度量。
数学定义为矩阵A 的条件数等于A 的范数与A 的逆的范数的乘积,即 ()1cond A A A -= 的逆‖,对应矩阵的3种范数,相应地可以定义3种条件数。
条件数事实上表示了矩阵计算对于误差的敏感性。
对于线性方程组Ax=b ,如果A 的条件数大,b 的微小改变就能引起解x 较大的改变,数值稳定性差。
如果A 的条件数小,b 有微小的改变,x 的改变也很微小,数值稳定性好。
它也可以表示b 不变,而A 有微小改变时,x 的变化情况。
所以当cound (A )>>1时,方程组Ax=b 是病态的,否则称为良态 4、 条件数的性质:1() 1.v A cond A ≥、对任何非奇异矩阵,都有11 () 1.v v vvcond A A A A A I --=≥==由定义20()()v v A c cond cA cond A ≠=、设为非奇异矩阵且(常数),则22223()1 ()()().A cond A A R cond RA cond AR cond A ==、如果为正交矩阵,则=;如果为非奇异矩阵,为正交矩阵,则n 62361112n 1123ilbert =1n+1111n n+12n-1cound =27 cond 748 cond(H )=2.910()n cond H ∞∞∞⎡⎤⎢⎥⎢⎥⎢⎥⎢⎥⎢⎥⎢⎥⎢⎥⎢⎥⎢⎥⎣⎦≈⨯→∞例:H 阵 H (H )(H )第六章 解线性方程组的迭代法一、 迭代法:k 10x kB x f +=+ 迭代法收敛的两种判断方法:1、 若A 是n n ⨯矩阵,且满足ii ij j ia a ≠≥∑ ()ii ij j ia a ≠>∑(1,2,,i n =…),则称A 为对角占优矩阵(严格对角占优矩阵)。
2、 (非常重要)谱半径小于1收敛即:()1max 1i i nA ρλ≤≤=< (谱半径越小,收敛速度越快)3、 收敛性判别条件:1) SOR 迭代法收敛的必要条件:SOR 迭代收敛,则0〈W 〈2。
2) SOR 迭代法收敛的充要条件:A 为对称正定矩阵且0〈W 〈2,则SOR 收敛。
根据迭代法收敛性定理,SOR 法收敛的充分必要条件为()1w G ρ<,但要计算()w G ρ比 较复杂,通常都不用此结论,而直接根据方程组的系数矩阵A 判断SOR 迭代收敛性,下面先给出收敛必要条件.定理1: 设()(),01,2,....n nij ij A a R a i n ⨯=∈≠=, 则解方程Ax=b 的SOR 迭代法收敛的 必要条件是0<ω<2.定理2: 若n nA R⨯∈对称正定,且0<ω<2,则解Ax=b 的SOR 迭代法()()1k kxGx f +=+对n x R ∀∈ 迭代收敛. 对于SOR 迭代法,松弛因子的选择对收敛速度影响较大,二、雅克比迭代法11112211211222221122.....................n n n n n n nn n na x a x a xb a x a x a x b a x a x +++=⎧⎪+++=⎪⎨⎪⎪+++⎩ 0ii a ≠ ()()()112211112211222211111...1...............1...n n n n n n nn n n nn x a x a x b a x a x a x b a x a x a x b a --⎧=---+⎪⎪⎪=---+⎪⎨⎪⎪⎪=---+⎪⎩Ax=b ()()1k kxBx f +=+ (f=b )由方程Ax=b 解得:11,1,2,3.....n i i ij j j ii j i x b a x i n a =≠⎛⎫⎪=-= ⎪ ⎪⎝⎭∑对该方程应用迭代法即得解方程组Ax=b 的雅可比迭代公式(分量形式)()()1k11,1,2,3.....k=012......nk i i ij j j ii j i x b a x i n a +=≠⎛⎫ ⎪=-= ⎪ ⎪⎝⎭∑,,,1112121221,1,1000+00n n n n n n nn a a a a a A L D U a a a a --⎡⎤⎡⎤⎡⎤⎢⎥⎢⎥⎢⎥⎢⎥⎢⎥⎢⎥=++=+⎢⎥⎢⎥⎢⎥⎢⎥⎢⎥⎢⎥⎣⎦⎣⎦⎣⎦11(),f=b B D L U D --=-+三、高斯-赛德尔迭代法11112211211222221122.....................n n n n n n nn n na x a x a xb a x a x a x b a x a x a x b +++=⎧⎪+++=⎪⎨⎪⎪+++=⎩0ii a ≠ (1)(1)()()()11211331441112(1)(1)()()()22112332442222(1)(1)(1)()()33113223443333(1)1()1()1()............1(k k k k k n n k k k k k n n k k k k k n n k n nn x a x a x a x a x b a x a x a x a x a x b a x a x a x a x a x b a x a a ++++++++=-----+=-----+=-----+=-(1)(1)(1)(1)11223311)k k k k n n n nn n nx a x a x a x b ++++--⎧⎪⎪⎪⎪⎪⎪⎨⎪⎪⎪⎪----+⎪⎪⎩应用迭代法即得解方程组Ax=b 的高斯-赛德尔迭代公式(分量形式)()()()j-11k+1k 111,1,2,3.....k=012......nk ii ij j ij j j j i ii x b a x a x i n a +==+⎛⎫=--= ⎪⎝⎭∑∑,,, ()()11,f=b B D L U D L --=-++4、 逐次超松驰迭代法(SOR 法)(1)()(1)()()()111211331441112(1)()(1)()()()222112332442222(1)()(1)(1)()()3331132234433331()1()1()......k k k k k k n n k k k k k k n n k k k k k k n n x x w a x a x a x a x b a x x w a x a x a x a x b a x x w a x a x a x a x b a +++++++=+-----+=+-----+=+-----+(1)()(1)(1)(1)(1)11223311......1()k k k k k k n n n n n nn n nnn x x w a x a x a x a x b a +++++--⎧⎪⎪⎪⎪⎪⎪⎨⎪⎪⎪⎪=+-----+⎪⎪⎩()()()111,f=w b B D wL w D wU D wL --=+--+⎡⎤⎣⎦参数w 称为松弛因子,0<w<2。