三角函数综合测试题(含答案)(1)
- 格式:doc
- 大小:661.50 KB
- 文档页数:8
三角函数综合测试题(含答案)三角函数综合测试题一、选择题(共18小题,每小题3分,共54分)1.(08全国一6)函数y=(sinx-cosx)-1的最小正周期为π的奇函数。
2.(08全国一9)为得到函数y=cos(x+π/3)的图象,只需将函数y=sinx的图像向左平移π/3个长度单位。
3.(08全国二1)若sinα0,则α是第二象限角。
4.(08全国二10)函数f(x)=sinx-cosx的最大值为2.5.(08安徽卷8)函数y=sin(2x+π/3)图像的对称轴方程可能是x=-π/6.6.(08福建卷7)函数y=cosx(x∈R)的图象向左平移π/2个单位后,得到函数y=g(x)的图象,则g(x)的解析式为-sinx。
7.(08广东卷5)已知函数f(x)=(1+cos2x)sinx,则f(x)是以π为最小正周期的奇函数。
8.(08海南卷11)函数f(x)=cos2x+2sinx的最小值为-2,最大值为3/3π。
9.(08湖北卷7)将函数y=sin(x-θ)的图象F向右平移π/3个单位长度得到图象F′,若F′的一条对称轴是直线x=5π/12,则θ=π/4.10.(08江西卷6)函数f(x)=(sinx+2sin2x)/x的最小正周期为2π的偶函数。
11.若动直线x=a与函数f(x)=sinx和g(x)=cosx的图像分别交于M,N两点,则MN的斜率为tan(a-π/4)。
19.若角 $\alpha$ 的终边经过点 $P(1,-2)$,则$\tan2\alpha$ 的值为 ________。
20.函数 $f(x)=\cos(\omega x-\frac{\pi}{6})$ 的最小正周期为 $\frac{\pi}{5}$,其中 $\omega>0$,则 $\omega=$ ________。
21.设 $x\in\left(0,\frac{\pi}{2}\right)$,则函数$y=\frac{2\sin2x+1}{\cos x}$ 的最小值为 ________。
必修四三角函数与解三角形综合测试题(本试卷满分150分,考试时间120分)第Ⅰ卷(选择题 共40分)一.选择题(本大题共12小题,每小题5分,共60分。
在每小题给出的四个选项中,只有一项是符合题目要求的) 1.若点P 在32π的终边上,且OP=2,则点P 的坐标( ) A .)3,1( B .)1,3(- C .)3,1(-- D .)3,1(-2.已知=-=-ααααcos sin ,45cos sin 则( )A .47 B .169- C .329- D .3293.下列函数中,最小正周期为2π的是( ) A .)32sin(π-=x y B .)32tan(π-=x y C .)62cos(π+=x y D .)64tan(π+=x y4.等于则)2cos(),,0(,31cos θππθθ+∈=( )A .924-B .924C .97- D .97 5.函数y =sin (π4 -2x )的单调增区间是 ( )A.[kπ-3π8 ,kπ+π8 ](k ∈Z )B.[kπ+π8 ,kπ+5π8 ](k ∈Z )C.[kπ-π8 ,kπ+3π8 ](k ∈Z )D.[kπ+3π8 ,kπ+7π8 ](k ∈Z )6.将函数x y 4sin =的图象向左平移12π个单位,得到)4sin(ϕ+=x y 的图象,则ϕ等于( )A .12π-B .3π-C .3πD .12π7. 50tan 70tan 350tan 70tan -+的值等于( )A .3B .33C .33-D .3-8.在△ABC 中,sinA >sinB 是A >B 的( )A .充分不必要条件B .必要不充分条件C .充要条件D .既不充分也不必要条件 9.ABC ∆中,π=A ,BC =3,则ABC ∆的周长为( )A .33sin 34+⎪⎭⎫ ⎝⎛+πB B .36sin 34+⎪⎭⎫ ⎝⎛+πBC .33sin 6+⎪⎭⎫ ⎝⎛+πBD .36sin 6+⎪⎭⎫ ⎝⎛+πB10.已知0≤x ≤π,且-12 <a <0,那么函数f (x )=cos 2x -2a sin x -1的最小值是 ( )A.2a +1B.2a -1C.-2a -1D.2a11.已知函数)sin(φϖ+=x A y 在同一周期内,当3π=x 时有最大值2,当x=0时有最小值-2,那么函数的解析式为 ( )A .x y 23sin 2=B .)23sin(2π+=x y C .)23sin(2π-=x y D .x y 3sin 21=12.求使函数y =sin(2x +θ)+ 3 cos(2x +θ)为奇函数,且在[0,π4 ]上是增函数的θ的一个值为 ( ) A. 5π3B. 4π3C. 2π3D. π3第Ⅱ卷(非选择题 共110分)二.填空题(本大题共4小题,每小题5分,共20分,把答案填在题中横线上) 13.在ABC ∆中,若120A ∠=,5AB =,7BC =,则ABC ∆的面积S =_________14.已知,1)cos(,31sin -=+=βαα则=+)2sin(βα _______.15.ΔABC 的三内角,,A B C 所对边的长分别为,,a b c 设向量(,)p a c b =+,(,)q b a c a =--,若//p q ,则角C 的大小为 _.16.函数x x y 2cos )23cos(--=π的最小值为_____.三.解答题(本大题共6小题,共70分。
高一数学三角函数测试题命题人:谢远净一、选择题(每小题5分,共50分.在每小题给出的四个选项中,仅有一个选项是正确的) 1.角α的终边上有一点P (a ,a ),a ∈R 且a ≠0,则sinα值为 ( )A .22-B .22 C .1 D .22或22-2.函数x sin y 2=是( )A .最小正周期为2π的偶函数B .最小正周期为2π的奇函数C .最小正周期为π的偶函数D .最小正周期为π的奇函数 3.若f (cos x )=cos3x ,则f (sin30°) 的值( )A .1B .-1C .0D .214.“y x ≠”是“y x sin sin ≠”的( )A .充分不必要条件B .必要不充分条件C .充要条件D .既不充分也不必要条件5.设M 和m 分别表示函数1cos 31-=x y 的最大值和最小值,则M+m 等于 ( )A .32B .32-C .34-D .-2 6.αααα2cos cos 2cos 12sin 22⋅+=( )A .tan αB .tan 2αC .1D .127.sinαcosα=81,且4π<α<2π,则cosα-sinα的值为 ( )A .23 B .23- C .43 D .43-8.函数),2,0)(sin(R x x A y ∈π<ϕ>ωϕ+ω=的部分图象如图所示,则函数表达式为()A .)48sin(4π+π-=x yB .)48sin(4π-π=x yC .)48sin(4π-π-=x yD .)48sin(4π+π=x y9.若tan(α+β)=3, tan(α-β)=5, 则tan2α= ( )A .74 B .-74 C .21 D .-2110.把函数)20(cos 2π≤≤=x x y 的图象和直线2=y 围成一个封闭的图形,则这个封闭图形的面积为 ( )A .4B .8C .2πD .4π11.9.设)4tan(,41)4tan(,52)tan(παπββα+=-=+则的值是 ( )A .1813B .2213 C .223 D .6112.已知α+ β =3π, 则cos αcos β –3sin αcos β –3cos αsin β – sin αsin β 的值为 ( )A .–22B .–1C .1D .–2二、填空题(每小题4分,共16分。
三角函数数列综合试题————————————————————————————————作者:————————————————————————————————日期:23 一.选择题(共12个小题,每题5分,满分60分)1.已知△ABC 中,a =4,b =43,∠A =30°,则∠B 等于( )A .30°B .30°或150°C .60°D .60°或1202.在ABC ∆中,角,,A B C 的对边分别是,,a b c ,若52a b =,2A B =,则cos B =( )A.53B.54C.55D.563.在ABC ∆中,6=a ,ο30=B ,ο120=C ,则ABC ∆的面积是( )A .9B .18C .39D .318 4.ABC V 在中,若c=a b =cosA cosB cosC,则ABC V 是 ( )A .直角三角形B .等边三角形C .钝角三角形D .等腰直角三角形5. 已知等差数列{}a n 中,a a 7916+=,a 41=,则a 12的值是 A. 15B. 30C. 31D. 646. 等比数列{}n a 中, ,243,952==a a 则{}n a 的前4项和为 A.81 B.120 C.168 D.1927. 在实数等比数列{}n a 中,263534,64a a a a +==,则4a = A.8 B.16 C.8± D.16±8. 在△ABC 中,若2lg sin lg cos lg sin lg =--C B A ,则△ABC的形状是( )A 直角三角形B 等边三角形C 不能确定D 等腰三角形9 在△ABC 中,A =60°,b =1,其面积为3,则CB A cb a sin sin sin ++++等于 ( ) A .33B .33924 C .338 D .239 10、等差数列{}n a 中,10120S =,那么110a a +=( )A. 12B. 24C. 36D. 48 11、已知等差数列{}n a 的公差12d =,8010042=+++a a a Λ,那么=100SA .80B .55C .135D .160.12、已知等差数列{}n a 中,6012952=+++a a a a ,那么=13S (A .390B .195C .180D .120一、选择题答案1 2 3 4 5 6 7 8 9 10 11 12二.填空题(共6个小题,每题4分,满分24分)13、从前180个正偶数的和中减去前180个正奇数的和,其差为( )14.已知等比数列{a n }的公比是q =21,且a 1+a 3+a 5+…+a 99=60,则a 1+a 2+a 3+…+a 100.等于( )15.ABC ∆中,若b=2a , B=A+60°,则A= . 16.、方程)2)(2(22n x x m x x +-+-=0的四个根组成一个首项为41的等差数列,则|m -n|=…( )17. 已知等差数列{}n a 的前n 项和为n S ,若1221S =,则25811a a a a +++=___________18. 已知等差数列{a n }的公差为2,若a 1,a 3,a 4成等比数列,则a 2=___________三 计算题 (本题共六小题,总共76分)19.(本小题满分12分) 在ABC V 中,角,,A B C 所对的边分别为,,a b c5 且满足sin cos .c A a C = (I )求角C 的大小; (II )求3sin cos()4A B π-+的最大值,并求取得最大值时角,A B 的大小.20.(本小题满分12分)(本小题满分12分)在ABC ∆中,cos cos AC BAB C=. (Ⅰ)证明:B C =. (Ⅱ)若1cos 3A =-.求sin 43B π⎛⎫+ ⎪⎝⎭的值.21. (本小题满分12分)在ABC ∆中,内角A 、B 、C 的对边长分别为a 、b 、c ,已知222a c b -=,且sin cos 3cos sin ,A C A C = 求b22.(本小题满分12分)设{}n a 是一个公差为(0)d d ≠的等差数列,它的6 前10项和10110S =,且124,,a a a 成等比数列.(Ⅰ)证明:1a d =; (Ⅱ)求公差d 的值和数列{}n a 的通项公式.23.(本小题满分14分)已知数列{}n a 的前项和为n S ,且*1111,,3n n a a S n N +==∈.(Ⅰ)求234,,a a a 的值及数列{}n a 的通项公式; (Ⅱ) 求2462...n a a a a ++++的和.24.(本小题满分14分) 已知等差数列{an}的公差是正数,且a3·a7=-12,a4+a6=-4,求它的前20项的和S20的值.参考答案:7 选择题1-5 DBCBA 6-10BCBBB 11-12 CB 填空题 13 180 14 90 15 30 16 1/2 17 7 18 -6 计算题19. 解析:(I )由正弦定理得sin sin sin cos .C A A C =因为0,A π<<所以sin 0.sin cos .cos 0,tan 1,4A C C C C C π>=≠==从而又所以则(II )由(I )知3.4B A π=-于是3sin cos()3sin cos()43sin cos 2sin().63110,,,,46612623A B A A A A A A A A A ππππππππππ-+=--=+=+<<∴<+<+==Q 从而当即时2sin()6A π+取最大值2. 综上所述,3sin cos()4A B π-+的最大值为2,此时5,.312A B ππ==20. 【解】(Ⅰ)在ABC ∆中,由cos cos AC BAB C=及正弦定理得sin cos sin cos B BC C=,8 于是sin cos cos sin 0B C B C -=,即()sin 0B C -=,因为0B π<<,0C π<<,则B C ππ-<-<, 因此0B C -=,所以B C =.(Ⅱ)由A B C π++=和(Ⅰ)得2A B π=-,所以()1cos 2cos 2cos 3B B A π=--=-=, 又由B C=知02B π<<,所以22sin 23B =.42sin 42sin 2cos 29B B B ==. 227cos 4cos 2sin 29B B B =-=-.所以4273sin 4sin 4cos cos 4sin 33318B B B πππ-⎛⎫+=+= ⎪⎝⎭.21解法一:在ABC ∆中sin cos 3cos sin ,A C A C =Q 则由正弦定理及余弦定理有:2222223,22a b c b c a a c ab bc +-+-=gg 化简并整理得:2222()a c b -=.又由已知222a c b -=24b b ∴=.解得40(b b ==或舍).解法二:由余弦定理得: 2222cos a c b bc A -=-.又222a c b -=,0b ≠.所以2cos 2b c A =+①又sin cos 3cos sin A C A C =,sin cos cos sin 4cos sin A C A C A C ∴+=9 sin()4cos sin A C A C +=,即sin 4cos sin B A C =由正弦定理得sin sin bB C c=,故4cos b c A = ②由①,②解得4b =.22.(Ⅰ)证明:∵124,,a a a 成等比数列,∴2214a a a =.而{}n a 是等差数列,有2141,3a a d a a d =+=+,于是2111()(3)a d a a d +=+即222111123a a d d a a d ++=+,化简得1a d =.(Ⅱ)解:由条件10110S =和10110910,2S a d ⨯=+得到11045110a d +=由(Ⅰ)知1,a d =代入上式得55110,d =故12,(1)2.n d a a n d n ==+-=23.解: (Ⅰ)*1111,,3,3,23n n n n n n a S n N a S a S n ++-=∈∴=∴=≥Q 当时,1n n n a S S -=-=133n n a a +-⇒143n n a a +=,22214433n n n n a a ---⎛⎫=⋅= ⎪⎝⎭. 所以214133a a ==,324439a a ==,43416327a a ==. 211(1)4(2)3n n n n a n --=⎧⎪∴=⎨≥⎪⎩.(Ⅱ)2462...n a a a a ++++242116[1]114141439 (16333333319)nn⎛⎫- ⎪⎛⎫⎛⎫⎛⎫⎝⎭=++++=⎪ ⎪ ⎪⎝⎭⎝⎭⎝⎭-10 316[1]79n⎛⎫=- ⎪⎝⎭24、 解法一 设等差数列{a n }的公差为d ,则d >0,由已知可得(a 2d)(a bd)12 a 3d a 5d = 41111++=-①+++-②⎧⎨⎩由②,有a 1=-2-4d ,代入①,有d 2=4 再由d >0,得d =2 ∴a 1=-10最后由等差数列的前n 项和公式,可求得S 20=180。
第五章 专题46 《三角函数》综合测试卷(B )第I 卷 选择题部分(共60分)一、选择题:本大题共8小题,每小题5分,共40分.在每小题给出的四个选项中,只有一项是符合题目要求的.1.(2022·湖北·3) A .2sin15cos15︒︒ B .22sin 15cos 15︒+︒ C .22sin 151︒- D .22cos 15sin 15︒-︒【答案】D【分析】运用倍角公式逐项计算即可. 【详解】1A.2sin15cos15sin302︒︒=︒=,不成立; B. 22sin 15cos 151︒+︒=,不成立 C. 232sin 151cos302︒-=-︒=-,不成立; D. 223cos 15sin 15cos302︒-︒=︒=,成立 故选:D.2.(2022·安徽省宿州市苐三中学高一期中)已知sin 63α⎛⎫+= ⎪⎝⎭,则cos 2+3α⎛⎫= ⎪⎝⎭( )A .79-B .23-C .23D .79【答案】D【分析】利用倍角公式2cos 212s πin 36παα⎛⎫⎛⎫+=-+ ⎪ ⎪⎝⎭⎝⎭,即得. 【详解】因为π1sin 63α⎛⎫+= ⎪⎝⎭,所以2ππcos 212sin 36171299αα⎛⎫⎛⎫+=-+=-⨯ ⎪ ⎭⎝⎭=⎪⎝.故选:D.3.(2021·上海市光明中学高一期中)已知180360α<<,cos 2的值等于( ) A 1cos 2α+B 1cos 2α-C .1cos 2α+D .1cos 2α--【答案】C 【分析】求出2α的取值范围,结合二倍角的余弦公式可得结果. 【详解】因为180360α<<,则901802α<<,所以,cos 02α<,又因为2cos 2cos12αα=-,解得1cos cos22αα+=-. 故选:C.A 21m-B 21m-C 21m -D 21m -【答案】D【分析】根据二倍角的余弦公式结合平方关系及商数关系化弦为切,计算即可得解.【详解】解:222222cos 50sin 501tan 50cos100cos 50sin 501tan 50m ︒-︒-︒︒===︒+︒+︒,即()221tan 501tan 50m -︒=+︒,解得21tan501m m-︒=+(211m m --+舍去).故选:D.5.(2022·江苏·滨海县五汛中学高一阶段练习)已知cos(),cos()33αβαβ+=-=,则cos cos αβ的值为( )A .0B .12-C .12D .0或±12【答案】C【分析】利用两角和差的余弦公式结合条件即得. 【详解】因为()1cos cos cos sin sin 3αβαβαβ+=-= ()2cos cos cos sin sin 3αβαβαβ-=+=两式相加可得2cos cos 1αβ=,即1cos cos 2αβ=.故选:C.6.(2022·上海市向明中学高一期末)要得到函数2)4y x π+的图象,只需将函数2y x =的图象上所有的点的( )A .横坐标缩短到原来的12倍(纵坐标不变),再向右平行移动8π个单位长度 B .横坐标缩短到原来的12倍(纵坐标不变),再向左平行移动8π个单位长度 C .横坐标伸长到原来的2倍(纵坐标不变),再向左平行移动8π个单位长度 D .横坐标伸长到原来的2倍(纵坐标不变),再向右平行移动8π个单位长度 【答案】A【分析】先将函数2sin(2)4y x π=+化为2sin(2)2cos 244y x x ππ⎛⎫=+=- ⎪⎝⎭,再根据三角函数图象的平移变换即可得到答案.【详解】根据题意得2sin(2)2cos 244y x x ππ⎛⎫=+=- ⎪⎝⎭,所以要得到函数2sin(2)4y x π=+的图象,只需将函数2cos y x =的图象上所有的 点横坐标缩短到原来的12倍(纵坐标不变)得到2cos 2y x =,再向右平行移动8π个单位长度即可得到函数2cos 22cos 284y x x ππ⎛⎫⎛⎫=-=- ⎪ ⎪⎝⎭⎝⎭的图象.故选:A.7.(2022·辽宁·沈阳市第四十中学高一阶段练习)函数()()2sin 04f x x ωω⎛⎫=+> ⎪⎝⎭的图象在[0,2]上恰有两个最大值点,则ω的取值范围为( ) A .[π,2π) B .9,2ππ⎡⎫⎪⎢⎣⎭C .139,122ππ⎡⎫⎪⎢⎣⎭D .917,88ππ⎡⎫⎪⎢⎣⎭【答案】D【分析】首先代入求4x πω+的取值范围,再根据三角函数的图象,列式求ω的取值范围.【详解】当[]0,2x ∈时,,2444x πππωω⎡⎤+∈+⎢⎥⎣⎦,若函数在此区间恰取得两个最大值,则592242πππω≤+<,解得:91788ππω≤<. 故选:D8.(2022·江苏省灌云高级中学高一期末)定义:正割1sec cos αα=,余割1csc sin αα=.已知m 为正实数,且22csc tan 15m x x +≥对任意的实数,2x x k k Z ππ∈⎛⎫≠+ ⎪⎝⎭均成立,则m 的最小值为( ) A .1 B .4 C .8 D .9【答案】D【分析】利用已知条件先化简,分离参数,转化恒成立求最值问题 【详解】由已知可得22222sin csc tan 15sin cos xx x xm m x +=+≥,即422sin 15sin cos xx xm ≥-. 因为()2x k k Z ππ≠+∈,所以2cos (0,1]x ∈,则422sin 15sin cos x x x -()222222(1-cos )1=151cos =17+16cos cos cos x x x x x ---⎛⎫ ⎪⎝⎭ 22117216cos 9cos x x≤-=, 当且仅当21cos 4x =时等号成立,故9m ≥,故选:D.选项中,有多项符合题目要求.全部选对得5分,部分选对得3分,有选错的得0分.9.(2022·全国·高一课时练习)下列函数中,既为偶函数又在,02π⎛⎫- ⎪⎝⎭上单调递增的是( )A .cos y x =B .cos y x =C .sin 2y x π⎛⎫=- ⎪⎝⎭D .tan cos y x x =-【答案】AB【分析】逐一研究函数的奇偶性与单调性即可.【详解】对于A ,∵cos cos x x -=,且函数cos y x =的定义域为R ,∴函数cos y x =为偶函数,又0x >时,cos cos x x =,且函数cos y x =在0,2π⎛⎫⎪⎝⎭上单调递减,∴函数cos y x =在,02π⎛⎫- ⎪⎝⎭上单调递增,故A 符合题意;对于B ,∵()cos cos x x -=,且函数cos y x =定义域为R ,∴函数cos y x =为偶函数,当,02x π⎛⎫∈- ⎪⎝⎭时,cos cos y x x ==,且函数cos y x =在,02π⎛⎫- ⎪⎝⎭上单调递增,∴函数cos y x =在,02π⎛⎫- ⎪⎝⎭上单调递增,故B 符合题意;对于C ,∵sin cos 2y x x π⎛⎫=-=- ⎪⎝⎭,∴函数sin 2y x π⎛⎫=- ⎪⎝⎭在,02π⎛⎫- ⎪⎝⎭上单调递减,故C 不符合题意;对于D ,记()tan cos y f x x x ==-,则()()()tan cos tan cos f x x x x x -=---=--,∴()()f x f x -≠, ∴函数tan cos y x x =-不是偶函数,故D 不符合题意. 故选:AB.αx 过点(1,2)-,则下列式子正确的是( ) A .sin cos 1sin 7cos 9αααα+=--B .5cos(5)πα-=C .2232sin sin cos 3cos 5αααα+-=D .若α为钝角,则223ππα<<【答案】CD【分析】根据终边上的点求出三角函数值进行计算,诱导公式,余弦函数在第二象限单调递减即可解决.【详解】解:因为角α终边经过点(1,2)-, 则222222515sin ,cos ,55(1)2(1)2αα-====--+-+对于A :255sin cos 155sin 7cos 9257555αααα-+==-+,故A 错误; 对于B :5cos(5)cos 5παα-=-=,故B 错误; 对于C :224255132sin sin cos 3cos 2()355555αααα+-=⨯+⨯--⨯=,故C 正确;对于D :因为当[,]2παπ∈,cos y α=单调递减,而15cos 025α-<=-<,即2coscos cos 32ππα<<,所以223ππα<<,故D 正确. 故选:CD.11.(2022·辽宁·沈阳市第四十中学高一阶段练习)已知函数())222sin cos 3sin cos f x x x x x =-,判断下列给出的四个命题,其中正确的命题有( ) A .对任意的x ∈R ,都有()23f x f x π⎛⎫-= ⎪⎝⎭B .将函数()y f x =的图象向左平移12π个单位,可以得到偶函数 C .函数()y f x =在区间7,1212ππ⎛⎫⎪⎝⎭上是减函数D .“函数()y f x =取得最大值”的一个充分条件是“12x π=”【答案】BCD【分析】首先利用二倍角公式,辅助角公式化简函数,再根据函数的性质,采用代入法,判断选项.【详解】()()222sin cos 3sin cos f x x x x x =--sin 23cos 22sin 23x x x π⎛⎫=+=+ ⎪⎝⎭,当3x π=时,013f π⎛⎫=≠± ⎪⎝⎭,所以不关于3x π=对称,故A 错误; 函数()f x 图象向左平移12π个单位,得函数2sin 22sin 22cos 21232y x x x πππ⎡⎤⎛⎫⎛⎫=++=+= ⎪ ⎪⎢⎥⎝⎭⎝⎭⎣⎦,是偶函数,故B 正确;当71212x ππ<<,则32232x πππ<+<,函数()f x 单调递减,故C 正确; 当12x π=时,12232πππ⨯+=,所以212f π⎛⎫= ⎪⎝⎭,函数取得最大值,故D 正确. 故选:BCD12.(2022·江苏·连云港市赣马高级中学高一期末)将函数()sin f x x =的图象向左平移3个单位长度,再将图象上所有点的横坐标变为原来的12倍(纵坐标不变),得到()g x 的图象,则( )A .函数π3g x ⎛⎫- ⎪⎝⎭是偶函数B .π6x =-是函数()g x 的一个零点C .函数()g x 在区间5,1212ππ⎡⎤-⎢⎥⎣⎦上单调递增D .函数()g x 的图象关于直线π12x =对称 【答案】BCD【分析】根据三角函数图象变换可得π()sin 23g x x ⎛⎫=+ ⎪⎝⎭,根据函数()g x 图象性质逐项判断即可.【详解】解:将函数()sin f x x =的图象向左平移π3个单位长度,可得πsin 3y x ⎛⎫=+ ⎪⎝⎭,再将图象上所有点的横坐标变为原来的12倍(纵坐标不变),可得π()sin 23g x x ⎛⎫=+ ⎪⎝⎭,对于A 选项,令()ππππsin 2sin 23333h x g x x x ⎡⎤⎛⎫⎛⎫⎛⎫=-=-+=- ⎪ ⎪ ⎪⎢⎥⎝⎭⎝⎭⎝⎭⎣⎦,则π06h ⎛⎫= ⎪⎝⎭,π2πsin 063h ⎛⎫⎛⎫-=-≠ ⎪ ⎪⎝⎭⎝⎭,故函数π3g x ⎛⎫- ⎪⎝⎭不是偶函数,A 不正确;对于B 选项,因为πsin 006g ⎛⎫-== ⎪⎝⎭,故π6x =-是函数()g x 的一个零点,B 正确;对于C 选项,当5,1212x ππ⎡⎤∈-⎢⎥⎣⎦时,2,322x πππ⎡⎤+∈-⎢⎥⎣⎦,所以函数()g x 在区间5,1212ππ⎡⎤-⎢⎥⎣⎦上单调递增,C 正确;对于D 选项,因为对称轴满足2π,Z 32x k k ππ+=+∈,解得ππ,Z 122k x k =+∈, 则0k =时,π12x =,所以函数()g x 的图象关于直线π12x =对称,D 正确. 故选:BCD .第II 卷 非选择题部分(共分)三、填空题:本大题共4小题,每小题5分,共20分.13.(2022·上海市曹杨中学高一期末)已知函数π()sin 23f x x ⎛⎫=+ ⎪⎝⎭,若存在12,x x ∈R ,有()()122f x f x -=,则12x x -的最小值为______. 【答案】π2【分析】由三角函数的性质可得()()122f x f x -=时12min 2T x x -=. 【详解】∵()f x 的周期2ππ2T ==,由()()122f x f x -=得12minπ22T x x -==. 故答案为:π2.14.(2021·上海市光明中学高一期中)已知0πα<<,sin cos 2αα+=,则cos α=____________.【答案】174- 【分析】将1sin cos 2αα+=两边平方,结合平方关系可求得sin cos αα,从而可得cos α的符号,再利用平方关系即可得解. 【详解】解:因为1sin cos 2αα+=, 所以221sin cos 2sin cos 4αααα++=,则3sin cos 8αα=-, 又0πα<<,所以sin 0,cos 0αα><,则22221sin cos cos cos 12αααα⎛⎫+=-+= ⎪⎝⎭,解得17cos 4α-=或174+(舍去). 故答案为:174-. 15.(2022·全国·高一课时练习)已知()()()()sin cos tan π22tan πsin πf θθθθθθ⎛⎫⎛⎫-+- ⎪ ⎪⎝⎭⎝⎭=---. (1)若()13f θ=,则tan θ的值为______;(2)若π163f θ⎛⎫-= ⎪⎝⎭,则5π6f θ⎛⎫+ ⎪⎝⎭的值为______. 【答案】 22或22- 13-【分析】利用诱导公式化简得出()cos f θθ=.(1)对角θ的终边位置进行分类讨论,结合同角三角函数的基本关系可求得tan θ的值; (2)利用诱导公式可求得5π6f θ⎛⎫+ ⎪⎝⎭的值.【详解】解:()()()()()()3π3πsin cos tan πcos sin tan 22cos tan πsin πtan sin f θθθθθθθθθθθθ⎛⎫⎛⎫++- ⎪ ⎪-⋅⋅-⎝⎭⎝⎭===-+-⋅-. (1)()1cos 3f θθ==,当θ为第一象限角时,222sin 1cos 3θθ=-=,tan θsin 22cos θθ==; 当θ为第四象限角时,222sin 1cos 3θθ=--=-,sin tan 22cos θθθ==-.综上所述,tan 22θ=±. (2)π5ππ66θθ⎛⎫⎛⎫-++= ⎪ ⎪⎝⎭⎝⎭,且ππ1cos 663f θθ⎛⎫⎛⎫-=-= ⎪ ⎪⎝⎭⎝⎭, 所以,5π5πππ1cos cos πcos 66663f θθθθ⎡⎤⎛⎫⎛⎫⎛⎫⎛⎫+=+=--=--=- ⎪ ⎪ ⎪ ⎪⎢⎥⎝⎭⎝⎭⎝⎭⎝⎭⎣⎦.故答案为:(1)22±;(2)13-.16.(2022·辽宁·东北育才学校高一期中)若α,0,2β⎛⎫∈ ⎪⎝⎭,且()21sin sin sin cos cos αβααβ+=,则tan β的最大值为______.【答案】24【分析】由题意结合商数关系及平方关系可得2tan tan 2tan 1=+αβα,再利用基本不等式即可得出答案.【详解】解:由()21sin sin sin cos cos αβααβ+=,得2222sin cos sin cos tan tan 1sin 2sin cos 2tan 1αααααβαααα===+++,因为π0,2α⎛⎫∈ ⎪⎝⎭,所以()tan 0,α∈+∞,则2tan 112tan 12tan 1412tan 22tan tan tan αβααααα==≤=++⋅,当且仅当12tan tan αα=,即2tan 2α=时,取等号, 所以tan β的最大值为24. 故答案为:24. 步骤.17.(2022·福建漳州·高一期末)已知,A B 是单位圆O 上的点,点A 是单位圆与x 轴正半轴的交点,点B 在第二象限,记AOB α∠=且3sin 5α=. (1)求点B 的坐标;(2)求()()sin sin 24tan ππααπα⎛⎫++- ⎪⎝⎭-的值.【答案】(1)43,55B ⎛⎫- ⎪⎝⎭(2)715-【分析】(1)根据角α的终边与单位交点为()cos ,sin αα,结合同角三角函数关系和3sin 5α=,可得B 点坐标;(2)利用诱导公式化简()()sinsin 24tan ππααπα⎛⎫++- ⎪⎝⎭-,将(1)中结果代入,即可得到答案.(1)解:设点B 坐标为(),B x y ,则3sin 5y α==, 因为点B 在第二象限,所以2234cos 1sin 155x αα⎛⎫==--=--=- ⎪⎝⎭,点B 坐标为43,55B ⎛⎫- ⎪⎝⎭.(2)解:由诱导公式可得()()sin sin sin cos 24tan 4tan ππααααπαα⎛⎫++- ⎪-+⎝⎭=--由(1)知34sin ,cos 55αα==-,所以sin 3tan cos 4ααα==-, 所以()()7sin sin sin cos 72534tan 4tan 1544ππααααπαα⎛⎫++--⎪-+⎝⎭===---⨯. 18.(2022·上海市金汇高级中学高一期末)函数()3sin(2)6f x x π=+的部分图象如图所示.(1)写出()f x 的最小正周期及图中0x 、0y 的值;(2)求()f x 在区间[,]122ππ上的最大值和最小值.【答案】(1)周期为π,076x π=,03y = (2)最大值是3,最小值是32-【分析】(1)根据周期公式求周期,结合图象求00,x y ; (2)首先求26x π+的范围,再求函数的最值. 【详解】(1)222T πππω===, 令2262x k πππ+=+,Z k ∈,解得:,Z 6x k k ππ=+∈,由图可知,当1k =时,076x π=,此时函数取得最大值03y =; (2)当,122x ππ⎡⎤∈⎢⎥⎣⎦时,72,636x πππ⎡⎤+∈⎢⎥⎣⎦,此时1sin 2,162x π⎛⎫⎡⎤+∈- ⎪⎢⎥⎝⎭⎣⎦所以函数()3sin(2)6f x x π=+的最大值是3,最小值是32-19.(2022·江苏·滨海县五汛中学高一阶段练习)已知(0,),(,0)22αβ∈∈-,32cos(),sin 5αββ-== (1)求α;(2)若角γ的终边落在点(1,2)P -,求cos()γα+的值. 【答案】(1)π4α= (2)31010-【分析】(1)推导出(0,π)αβ-∈,4sin()5αβ-=,72cos 10β=,由正弦两角和公式求解sin α,即可求解角α;(2)根据三角函数的定义得cos ,sin γγ,在根据余弦两角和公式求解cos()γα+的值即可. 【详解】(1)解:π(0,)2α∈,π(,0)2β∈-,且3cos()5αβ-=,2sin 10β=-,(0,π)αβ∴-∈,则24sin()1cos ()5αβαβ-=--=,272cos 1sin 10ββ=-=, sin sin[()]sin()cos cos()sin ααββαββαββ∴=-+=-+-472322()5105102. π(0,)2α∈,π4α∴=. (2)解:角γ的终边落在点(1,2)P -,则()()222215225cos ,sin 551212γγ-==-==-+-+则()52252310cos cos cos sin sin 525210γαγαγα+=-=-⨯-⨯=-. (1)求函数()(π)y f x f x =⋅-的单调递增区间;(2)求函数2π()(2)4y f x f x =+-的值域.【答案】(1)ππ,π2k k ⎡⎤+⎢⎥⎣⎦()k Z ∈(2)13,13⎡⎤-+⎣⎦【分析】(1)利用诱导公式及其余弦的二倍角公式化简,即为cos2y x =-,然后利用余弦函数的性质求其单调递增区间即可;(2)利用正弦的二倍角公式及其辅助角公式化简,即为13sin(2+)y x ϕ=-,利用正弦函数的性质求值域即可. (1)∵()()(sin cos )sin πcos π(sin cos )(sin cos )y x x x x x x x x =---=-+⎡⎤⎣⎦-22sin cos cos2x x x =-=-∴π2π22ππππ2k x k k x k ≤≤+⇒≤≤+()k Z ∈, 即所求单调递增区间为:()ππ,π2k k k ⎡⎤+∈⎢⎥⎣⎦Z ;(2)2ππ(sin cos )sin 2cos 244y x x x x ⎡⎤⎛⎫⎛⎫-+-- ⎪ ⎪⎢⎥⎝⎭⎝⎭⎣=⎦-π1sin 22sin(2)2x x =-+-1sin 22cos 2x x =--13sin(2+)x ϕ=-,其中tan 2ϕ= ,即13,13y ⎡⎤∈-+⎣⎦.21.(2021·江苏苏州·高一期末)已知2sin 4sin22αα=-.(1)求()()()cos 1sin 223sin sin 2παπαπαπα⎛⎫-++ ⎪⎝⎭⎛⎫-++ ⎪⎝⎭的值;(2)若()0,απ∈,0,2πβ⎛⎫∈ ⎪⎝⎭,2tan 6tan 10ββ+-=,求2αβ+的值.【答案】(1)65(2)34π 【分析】(1)先根据二倍角公式和诱导公式化简,再根据同角的平方关系构造“齐次分式”,即可求解.(2)根据题目条件,求出tan 2β,根据1tan 203β=>,精确2β的范围,再根据正切的和差公式,即可求解. (1)∵2sin 4sin22αα=-,∴1cos sin 422cos 2ααα-⎛⎫=-=-⎪⎝⎭,∴tan 2α,∴cos (1sin(2))sin (1sin 2)23sin cos sin()sin 2παπαααααπαπα⎛⎫-++ ⎪-⎝⎭=-⎛⎫-++ ⎪⎝⎭ 2sin (sin cos )sin (sin cos )sin cos αααααααα-==--22222sin sin cos tan tan 6sin cos tan 15αααααααα--===++.(2)∵2tan 6tan 10ββ+-=,∴22tan 1tan 21tan 3βββ==-, ∴152tan tan 233tan(2)1151tan tan 21(2)33αβαβαβ-+-++====----⨯, 又∵(0,)απ∈,0,2πβ⎛⎫∈ ⎪⎝⎭,1tan 203β=>,∴20,2πβ⎛⎫∈ ⎪⎝⎭,320,2παβ⎛⎫+∈ ⎪⎝⎭,∴324παβ+=. 22.(2020·重庆·巫山县官渡中学高一阶段练习)已知函数()6sin()62cos f x x x =-+.(1)求()f x 的最小正周期和单调增区间;(2)若函数()y f x a =-在π5π[,]1212x ∈存在零点,求实数a 的取值范围.【答案】(1)π,()πππ,πZ 63k k k ⎡⎤-++∈⎢⎥⎣⎦(2)[]0,3【分析】(1)化简函数()π3sin 26f x x ⎛⎫=- ⎪⎝⎭,结合三角函数的图象与性质,即可求解;(2)根据题意转化为方程πsin 263a x ⎛⎫-= ⎪⎝⎭在π5π,1212x ⎡⎤∈⎢⎥⎣⎦上有解,以π26x -为整体,结合正弦函数图象运算求解.【详解】(1)对于函数π3313()6cos sin 6cos sin cos 62222f x x x x x x ⎛⎫⎛⎫=-+=-+ ⎪ ⎪ ⎪⎝⎭⎝⎭()23331cos 2331π3sin cos 3cos sin 233sin 2cos 23sin 22222226x f x x x x x x x x ⎛⎫+⎛⎫=-+=-⨯+=-=- ⎪ ⎪ ⎪⎝⎭⎝⎭,所以函数()f x 的最小正周期为2ππ2T ==,令πππ2π22π,Z 262k xk k ,则ππππ,Z 63k xk k ,∴函数()f x 的单调递增区间为()πππ,πZ 63k k k ⎡⎤-++∈⎢⎥⎣⎦.(2)令()0y f x a =-=,即π3sin 206x a ⎛⎫--= ⎪⎝⎭,则πsin 263a x ⎛⎫-= ⎪⎝⎭,∵()y f x a =-在π5π,1212x ⎡⎤∈⎢⎥⎣⎦存在零点,则方程πsin 263a x ⎛⎫-= ⎪⎝⎭在π5π,1212x ⎡⎤∈⎢⎥⎣⎦上有解,若π5π,1212x ⎡⎤∈⎢⎥⎣⎦时,则π2π20,63x ⎡⎤-∈⎢⎥⎣⎦,可得πsin 2[0,1]6x ⎛⎫-∈ ⎪⎝⎭, ∴013a≤≤,得03a ≤≤ 故实数a 的取值范围是[].。
第五章 三角函数单元测试卷一、单选题(每题只有一个选项为正确答案,每题5分,共40分) 1.已知角α的终边经过点(,3)P x -,且3tan 4α=-,则cos α=( ) A .35±B .45±C .45-D .452.已知3cos 4x =,则cos2x =( ) A .14-B .14C .18-D .183.如果函数y =3cos (2x +φ)的图象关于点(43π,0)中心对称,那么|φ|的最小值为( ) A .6πB .4π C .3π D .2π4.已知函数()sin 3f x x x =,则在下列区间使函数()f x 单调递减的是( )A .3,24ππ⎛⎫⎪⎝⎭B .0,4π⎛⎫⎪⎝⎭C .5,4ππ⎛⎫ ⎪⎝⎭D .,24ππ⎛⎫-- ⎪⎝⎭5.若,αβ为锐角,45sin ,cos()513ααβ=+=,则sin β等于( ) A .1665B .5665C .865D .47656.函数()sin()(0,0)f x A x A ωϕω=+>>的部分图象如图所示,则下列说法中错误的是( )A .()f x 的最小正周期是2πB .()f x 在1931,1212ππ⎡⎤⎢⎥⎣⎦上单调递增 C .()f x 在175,1212ππ⎡⎤--⎢⎥⎣⎦上单调递增D .直线1712x π=-是曲线()y f x =的一条对称轴7.已知7sin 6πα⎛⎫+=⎪⎝⎭2cos 23πα⎛⎫- ⎪⎝⎭=( ) A .23-B .13-C .23D .138.将函数()2sin 2cos 2cos sin sin 22f x x x ππθθθθ⎛⎫=+--<< ⎪⎝⎭的图象向右平移()0ϕϕ>个单位长度后得到函数()g x 的图象,若()f x ,()g x 的图象都经过点P ⎛ ⎝⎭,则ϕ的值可以是( ) A .53πB .56π C .2π D .6π 二、多选题(每题有多个选项为正确答案,每题5分,共20分) 9.设函数()sin 23f x x π⎛⎫=+⎪⎝⎭,给出下列命题,不正确的是( ). A .()f x 的图象关于直线3x π=对称B .()f x 的图象关于点,012π⎛⎫⎪⎝⎭对称 C .把()f x 的图象向左平移12π个单位长度,得到一个偶函数的图象D .()f x 的最小正周期为π,且在06,π⎡⎤⎢⎥⎣⎦上为增函数10.设函数()sin 2cos 244f x x x ππ⎛⎫⎛⎫=+++ ⎪ ⎪⎝⎭⎝⎭,则()f x ( ) A .是偶函数 B .在区间0,2π⎛⎫⎪⎝⎭上单调递增 C .最大值为2 D .其图象关于点,04π⎛⎫⎪⎝⎭对称 11.如图是函数sin()()y A x x R ωϕ=+∈在区间5,66ππ⎡⎤-⎢⎥⎣⎦上的图象.为了得到这个函数的图象,只要将sin ()y x x R =∈的图象上所有的点( ).A .向左平移3π个单位长度,再把所得各点的横坐标缩短到原来的12,纵坐标不变 B .向左平移6π个单位长度,再把所得各点的横坐标仲长到原来的12,纵坐标不变C .把所得各点的横坐标缩短到原来的12,纵坐标不变,再向左平移6π个单位长度D .向左平移3π个单位长度,再把所得各点的横坐标伸长到原来的2倍,纵坐标不变12.函数()sin()0,0,||2f x A x A πωϕωϕ⎛⎫=+>>< ⎪⎝⎭的部分图像如图所示,将函数()f x 的图像向左平移3π个单位长度后得到()y g x =的图像,则下列说法正确的是( )A .函数()g x 为奇函数B .函数()g x 的最小正周期为πC .函数()g x 的图像的对称轴为直线()6x k k ππ=+∈ZD .函数()g x 的单调递增区间为5,()1212k k k ππππ⎡⎤-++∈⎢⎥⎣⎦Z三、填空题(每题5分,共20分)13.已知点P(tan α,cos α)在第三象限,则角α的终边在第________象限. 14.函数()f x =sin 6x π⎛⎫-⎪⎝⎭cos x 的最小值为_________.15.已知1sin 34πα⎛⎫+=⎪⎝⎭,则cos 6πα⎛⎫-= ⎪⎝⎭______.16.已知函数()tan(),(0,0)2f x x πωϕωϕ=+><<的相邻两个对称中心距离为32π,且()f π=,将其上所有点的再向右平移3π个单位,纵坐标不变,横坐标变为原来的13,得()g x 的图像,则()g x 的表达式为_______四、解答题(17题10分,其余每题12分,共70分) 17.已知1tan 42πα⎛⎫+=⎪⎝⎭. (Ⅰ)求tan α的值;(Ⅱ)求()()22sin 22sin 21cos 2sin παπαπαα⎛⎫+-- ⎪⎝⎭--+的值.18.已知函数()24f x x π⎛⎫- ⎝=⎪⎭.(1)求函数()f x 的最小值和最大值及相应自变量x 的集合; (2)求函数()f x 的单调递增区间;(3)画出函数()y f x =区间[]0,π内的图象.19.已知()2sin cos cos 44f x x x x x ππ⎛⎫⎛⎫=+-+ ⎪ ⎪⎝⎭⎝⎭ (1)求函数()f x 的单调递减区间;(2)若关于x 的函数()()()22sin 2g x f x k x =-+在区间,122ππ⎡⎤⎢⎥⎣⎦上有唯一零点,求实数k 的取值范围.20.一半径为2米的水轮如图所示,水轮圆心O 距离水面1米;已知水轮按逆时针做匀速转动,每3秒转一圈,如果当水轮上点P 从水中浮现时(图中点0P )开始计算时间. (1)以水轮所在平面与水面的交线为x 轴,以过点O 且与水面垂直的直线为y 轴,建立如图所示的直角坐标系,试将点P 距离水面的高度h (单位:米)表示为时间t (单位:秒)的函数;(2)在水轮转动的任意一圈内,有多长时间点P 距水面的高度超过2米?21.已知函数()()sin 0,0,2f x A x A πωϕωϕ⎛⎫=+>>< ⎪⎝⎭的图象在y 轴右侧的第一个最高点和第一个最低点的坐标分别为()02x ,和()0,2x +π-.若将函数()f x 的图象向左平移3π个单位长度后得到的图象关于原点对称. (1)求函数()f x 的解析式;(2)若函数()()10y f kx k =+>的周期为23π,当0,3x π⎡⎤∈⎢⎥⎣⎦时,方程()1f kx m +=恰有两个不同的解,求实数m 的取值范围.22.已知函数()()sin 0,0,2f x A x A πωϕωϕ⎛⎫=+>>≤⎪⎝⎭的图象如图所示.(1)求函数()f x 的单调递增区间; (2)将函数()y f x =的图象向右平移6π个单位长度得到曲线C ,把C 上各点的横坐标伸长到原来的2倍,纵坐标不变,得到的曲线对应的函数记作()y g x =. (i )求函数()()2x h x f g x ⎛⎫=⎪⎝⎭的最大值; (ii )若函数()2()()2F x g x mg x m R π⎛⎫=-+∈ ⎪⎝⎭在()()0,n n N π+∈内恰有2015个零点,求m 、n 的值.参考答案: 一、单选题 1.【答案】D【解析】角α的终边经过点(),3P x -,由3tan 4α=-,可得334x -=-,所以4x =. 所以4cos 5α==.故选D.2.【答案】D【解析】由3cos 4x =得2231cos 22cos 12148x x ⎛⎫=-=⨯-= ⎪⎝⎭,故选D .. 3.【答案】A【解析】∵函数y =3cos (2x +φ)的图象关于点4,03π⎛⎫⎪⎝⎭中心对称. ∴4232k ππϕπ⋅+=+∴13()6πϕπ=-∈k k Z 当2k =时,有min ||6πϕ=.故选:A. 4.【答案】C【解析】依题意,函数()2sin(3)3f x x π=-,令3232,232k x k k Z πππππ+≤-≤+∈, 解得52211,183318k k x k Z ππππ+≤≤+∈, 所以函数 在3,24ππ⎛⎫⎪⎝⎭ 上先增后减,在0,4π⎛⎫ ⎪⎝⎭ 上单调递增,在5,4ππ⎛⎫⎪⎝⎭上单调递减, 在,24ππ⎛⎫-- ⎪⎝⎭ 上先增后减.故选C . 5.【答案】A【解析】由角的关系可知根据同角三角函数关系式,可得()312cos ,sin 513ααβ=+= ()sin sin βαβα=+-⎡⎤⎣⎦ ()()sin cos cos sin αβααβα=+-+ 12354135135=⨯-⨯ 1665=所以选A 6.【答案】C【解析】由图可知,2A =,该三角函数的最小正周期7233T πππ=-=,故A 项正确; 所以21Tπω==,则()2sin()f x x ϕ=+. 因为563f f ππ⎛⎫⎛⎫= ⎪⎝ ⎝⎭⎭⎪,所以该函数的一条对称轴为5736212x πππ+==, 将7,212π⎛⎫⎪⎝⎭代入2sin()y x ϕ=+,则72()122k k ππϕπ+=+∈Z ,解得2()12k k πϕπ=-+∈Z ,故()2sin 22sin 1212f x x k x πππ⎛⎫⎛⎫=-+=- ⎪ ⎪⎝⎭⎝⎭.令22()2122k x k k πππππ--+∈Z ,得5722()1212k x k k ππππ-≤≤+∈Z , 令1k =,则1931,1212x ππ⎡⎤∈⎢⎥⎣⎦故函数()f x 在1931,1212ππ⎡⎤⎢⎥⎣⎦上单调递增.故B 项正确; 令322()2122k x k k πππππ+≤-≤+∈Z , 得71922()1212k x k k ππππ+≤≤+∈Z , 令1k =-,175,1212x ππ⎡⎤∈--⎢⎥⎣⎦ 故函数()f x 在175,1212ππ⎡⎤--⎢⎥⎣⎦上单调递减.故C 项错误; 令()122x k k πππ-=+∈Z ,得7()12x k k ππ=+∈Z ,令2k =-,1712x π=-故直线1712x π=-是()f x 的一条对称轴.故D 项正确.故选C. 7.【答案】B【解析】由题意7sin sin sin 666πππαπαα⎛⎫⎛⎫⎛⎫+=++=-+⎪ ⎪ ⎪⎝⎭⎝⎭⎝⎭,所以sin 63πα⎛⎫+=⎪⎝⎭, 所以2cos 2cos 2cos 2cos 23336ππππαπααα⎡⎤⎡⎤⎛⎫⎛⎫⎛⎫⎛⎫-=-+=-+=-+⎪ ⎪ ⎪ ⎪⎢⎥⎢⎥⎝⎭⎝⎭⎝⎭⎝⎭⎣⎦⎣⎦ 2212sin 121633πα⎛⎛⎫=+-=⨯--=- ⎪ ⎝⎭⎝⎭. 故选B . 8.【答案】B 【解析】易得()()2sin 2cos 2cos sin sin sin 2cos cos2sin sin 2f x x x x x x θθθθθθ=+-=+=+.因为函数()f x 的图象过点P ⎛ ⎝⎭,22ππθ-<<,所以代入函数解析式得3πθ=. 所以()sin 23f x x π⎛⎫=+⎪⎝⎭.根据题意,得()()sin 23g x x πϕ⎡⎤=-+⎢⎥⎣⎦,又因为()g x 的图象也经过点P ⎛ ⎝⎭,所以代入得sin 23πϕ⎛⎫-=⎪⎝⎭将53πϕ=、56π、2π或6π代入sin 23πϕ⎛⎫-=⎪⎝⎭只有56π成立. 故选B. 二、多选题 9.【答案】ABD【解析】因为sin 03f ππ⎛⎫== ⎪⎝⎭,所以A 不正确; 因为sin 1122f ππ⎛⎫==⎪⎝⎭,所以B 不正确;因为函数()f x 的最小正周期为π,但sin 112226f f πππ⎛⎫⎛⎫==>=⎪ ⎪⎝⎭⎝⎭,所以D 不正确;把函数()f x 的图象向左平移12π个单位长度,得到函数sin 2sin 2cos21232y x x x πππ⎡⎤⎛⎫⎛⎫=++=+= ⎪ ⎪⎢⎥⎝⎭⎝⎭⎣⎦的图象,函数cos 2y x =为偶函数,所以C 正确. 故选:ABD. 10.【答案】AD【解析】()sin 2cos 2224444f x x x x x ππππ⎛⎫⎛⎫⎛⎫=+++=++= ⎪ ⎪ ⎪⎝⎭⎝⎭⎝⎭ .选项A :()2))()f x x x f x -=-== ,它是偶函数,正确;选项B :0,2x π⎛⎫∈ ⎪⎝⎭,所以()20,x π∈,因此()f x 是单调递减,错误;选项C :()2f x x =,错误;选项D :函数的对称中心为(,0)24k ππ+ ,k Z ∈,当0k =,图象关于点,04π⎛⎫⎪⎝⎭对称, 错误. 故选:AD 11.【答案】AC【解析】由图象知,A=1,T=π,所以ω=2,y=sin (2x+ϕ),将(6π-,0)代入得:sin(ϕ3π-)=0,所以ϕ3π-=kπ,k z ∈,取ϕ=3π,得y=sin (2x+3π),sin y x =向左平移3π,得sin 3y x π⎛⎫=+ ⎪⎝⎭.然后各点的横坐标缩短到原来的12,得sin 23y x π⎛⎫=+ ⎪⎝⎭.故A 正确.sin y x =各点的横坐标缩短到原来的12,得sin 2y x =.然后向左平移6π个单位,得sin 26y x π⎛⎫=+ ⎪⎝⎭sin 23x π⎛⎫=+ ⎪⎝⎭.故C 正确.故选:AC 12.【答案】BD 【解析】由图象可知3A =,33253441234ππππω⎛⎫=⋅=--= ⎪⎝⎭T , ∴2ω=,则()3sin(2)f x x ϕ=+.将点5,312π⎛⎫ ⎪⎝⎭的坐标代入()3sin(2)f x x ϕ=+中,整理得5sin 2112πϕ⎛⎫⨯+= ⎪⎝⎭, ∴522,Z 122k k ππϕπ⨯+=+∈,即2,Z 3k k πϕπ=-∈.||2ϕπ<,∴3πϕ=-,∴()3sin 23f x x π⎛⎫=-⎪⎝⎭. ∵将函数()f x 的图象向左平移3π个单位长度后得到()y g x =的图象, ∴()3sin 23sin 2,333πππ⎡⎤⎛⎫⎛⎫=+-=+∈ ⎪ ⎪⎢⎥⎝⎭⎝⎭⎣⎦g x x x x R . ∴()g x 既不是奇函数也不是偶函数,故A 错误; ∴()g x 的最小正周期22T ππ==,故B 正确. 令2,32x k k πππ+=+∈Z ,解得,122k x k ππ=+∈Z .则函数()g x 图像的对称轴为直线,122k x k ππ=+∈Z .故C 错误; 由222,232k x k k πππππ-++∈Z ,可得5,1212k x k k ππππ-+∈Z ,∴函数()g x 的单调递增区间为5,,1212k k k Z ππππ⎡⎤-+∈⎢⎥⎣⎦.故D 正确. 故选:BD.三、填空题 13.【答案】二【解析】因为点P (tanα,cosα)在第三象限,所以tanα<0,cosα<0, 则角α的终边在第二象限,故答案为二. 14.【答案】34-【解析】由函数()211sin()cos (sin cos )cos cos cos 62222f x x x x x x x x x π=-=-=-1112(1cos 2)sin(2)44264x x x π=-+=--, 当sin(2)16x π-=-时,即,6x k k Z ππ=-+∈时,函数取得最小值34-. 15.【答案】14【解析】因为1sin()34πα+=,则1cos()sin(())sin()62634ππππααα-=--=+=. 16.【答案】2()tan()9g x x π=+. 【解析】由题意,函数()tan()f x x ωϕ=+的相邻两个对称中心距离为1322w ππ⋅=,解得13w =,且()f π=,即tan()3πϕ+=,因为02πϕ<<,解得3πϕ=,所以1()tan()33f x x π=+,将()f x 图象上的点向右平移3π个单位,可得112()tan[()]tan()33339f x x x πππ=-+=+, 再把所得图象的纵坐标不变,横坐标变为原来的13,可得2()tan()9f x x π=+的图象, 即函数()g x 的解析式为2()tan()9f x x π=+. 故答案为:2()tan()9f x x π=+. 四、解答题17.【答案】(Ⅰ)1tan =-3α;(Ⅱ)15-19.【解析】解:(Ⅰ)tantan 1tan 14tan()41tan 21tantan 4παπααπαα+++===--,解得;(Ⅱ)22sin(22)sin ()21cos(2)sin παπαπαα+----+=22sin 2cos 1cos 2sin αααα-++ 2222sin cos cos 2cos sin ααααα-=+22tan 1152tan 19αα-==-+. 18.【答案】(1,取得最大值时相应x 的集合为3,8x x k k Z ππ⎧⎫=+∈⎨⎬⎩⎭; 最小值为,取得最小值时相应x 的集合为,8x x k k Z ππ⎧⎫=-+∈⎨⎬⎩⎭; (2)3,88k k ππππ⎡⎤-++⎢⎥⎣⎦,k Z ∈;(3)图象见解析. 【解析】(1)()f x ,当2242x k πππ-=+,即38x k ππ=+时,等号成立, ∴()f x 取得最大值时相应x 的集合为3,8x x k k Z ππ⎧⎫=+∈⎨⎬⎩⎭()f x 的最小值为,当2242x k πππ-=-+,即8x k ππ=-+时,等号成立,∴()f x 取得最大值时相应x 的集合为,8x x k k Z ππ⎧⎫=-+∈⎨⎬⎩⎭(2)由222242k x k πππππ-+≤-≤+求得388k x k ππππ-+≤≤+, ∴()f x 的单调递增区间是3,88k k ππππ⎡⎤-++⎢⎥⎣⎦,k Z ∈(3)列表:()f x 图像如图所示:19.【答案】(1)()7,1212k k k Z ππππ⎡⎤++∈⎢⎥⎣⎦;(2)14k k ⎧⎪<≤⎨⎪⎩或12k ⎫=-⎬⎭. 【解析】(1)()2sin cos cos 44f x x x x x ππ⎛⎫⎛⎫=+-+ ⎪ ⎪⎝⎭⎝⎭sin 222sin 23x x x π⎛⎫=+=+ ⎪⎝⎭令3222232k x k πππππ+++,k Z ∈,解得71212k xk ππππ++,k Z ∈, ∴()f x 的单调递减区间()7,1212k k k Z ππππ⎡⎤++∈⎢⎥⎣⎦(2)由(1)知,函数()2sin 23f x x π⎛⎫=+⎪⎝⎭()g x 在,122ππ⎡⎤⎢⎥⎣⎦有零点等价于()()2sin 2f x k x =+在,122ππ⎡⎤⎢⎥⎣⎦有唯一根,∴可得2sin 2sin 23k x x π⎛⎫=+- ⎪⎝⎭1sin 22cos 226x x x π⎛⎫=-+=+ ⎪⎝⎭设()cos 26h x x π⎛⎫=+⎪⎝⎭,,122x ππ⎡⎤∈⎢⎥⎣⎦则72,636x πππ⎡⎤+∈⎢⎥⎣⎦ 根据函数()h x 在,122x ππ⎡⎤∈⎢⎥⎣⎦上的图象, ∵2y k =与()y h x =有唯一交点,∴实数k 应满足1222k -<≤或21k =- ∴144k -<≤或12k =-.故实数k 的取值范围1{|4k k<或1}2k =-.20.【答案】(1)()22sin 1036t h t ππ⎛⎫=-+≥⎪⎝⎭;(2)有1s 时间点P 距水面的高度超过2米. 【解析】(1)设水轮上圆心O 正右侧点为A ,y 轴与水面交点为B ,如图所示:设()sin h a t b ωϕ=++,由1OB =,2OP =,可得03BOP π∠=,所以06AOP π∠=.2a ∴=,1b =,6πϕ=-,由题意可知,函数2sin 16h t πω⎛⎫=-+ ⎪⎝⎭的最小正周期为3T =,223T ππω∴==, 所以点P 距离水面的高度h 关于时间t 的函数为()22sin 1036t h t ππ⎛⎫=-+≥⎪⎝⎭;(2)由22sin 1236t h ππ⎛⎫=-+>⎪⎝⎭,得21sin 362t ππ⎛⎫->⎪⎝⎭, 令[]0,3t ∈,则211,3666t ππππ⎡⎤-∈-⎢⎥⎣⎦, 由256366t ππππ<-<,解得1322<<t ,又31122-=, 所以在水轮转动的任意一圈内,有1s 时间点P 距水面的高度超过2米. 21.【答案】(1)()2sin 3f x x π⎛⎫=-⎪⎝⎭;(2))1,3 【解析】(1)由题意可知函数()f x 的周期2T π=,且2A =,所以21Tπω==,故()()2sin f x x ϕ=+.将函数()f x 的图象向左平移3π个单位长度后得到的图象对应的函数解析式为2sin 3y x ϕπ⎛⎫=++ ⎪⎝⎭,因为函数2sin 3y x ϕπ⎛⎫=++ ⎪⎝⎭的图象关于原点对称,所以()3k k ϕπ+=π∈Z ,即()3k k ϕπ=π-∈Z . 又2πϕ<,所以3πϕ=-,故()2sin 3f x x π⎛⎫=- ⎪⎝⎭.(2)由(1)得函数()12sin 13y f kx kx π⎛⎫=+=-+ ⎪⎝⎭,其周期为23π, 又0k >,所以2323k π==π.令33t x π=-,因为0,3x π⎡⎤∈⎢⎥⎣⎦,所以2,33t ππ⎡⎤∈-⎢⎥⎣⎦, 若sin t s =在2,33ππ⎡⎤⎢⎥⎣⎦-上有两个不同的解,则s ⎫∈⎪⎪⎣⎭,所以当)1,3m ∈时,方程()1f kx m +=在0,3x π⎡⎤∈⎢⎥⎣⎦上恰有两个不同的解,即实数m的取值范围是)1,3.22.【答案】(1)5,1212k k ππππ⎡⎤-++⎢⎥⎣⎦,k Z ∈;(2)(i )34;(ii )1m =-,1343n =. 【解析】(1)由图象可得1A =,最小正周期721212T πππ⎛⎫=⨯-=⎪⎝⎭,则22T πω==,由77sin 211212f ππϕ⎛⎫⎛⎫=⨯+=-⎪ ⎪⎝⎭⎝⎭,所以523k πϕπ=-+,k Z ∈,又2πϕ≤,则易求得3πϕ=,所以()sin 23f x x π⎛⎫=+ ⎪⎝⎭,由222232k x k πππππ-+≤+≤+,k Z ∈,得51212k x k ππππ-+≤≤+,k Z ∈, 所以单调递增区间为5,1212k k ππππ⎡⎤-++⎢⎥⎣⎦,k Z ∈.(2)(i )由题意得()sin g x x =,()()sin sin 23x h x f g x x x π⎛⎫⎛⎫==+ ⎪ ⎪⎝⎭⎝⎭112cos 2444x x =-+ 11sin 2264x π⎛⎫=-+ ⎪⎝⎭, 所以()()2x h x f g x ⎛⎫=⎪⎝⎭的最大值为34; (ii )令()0F x =,可得22sin sin 10x m x --=,令[]sin 1,1t x =∈-, 得2210t mt --=,易知>0∆,方程必有两个不同的实数根1t 、2t , 由1212t t =-,则1t 、2t 异号, ①当11t >且210t -<<或者101t <<且21t <-时,则方程1sin x t =和2sin x t =在区间()0,n π均有偶数个根,不合题意,舍去;②当101t <<且0201t <<时,则方程1sin x t =和2sin x t =在区间()0,n π均有偶数个根,不合题意,舍去; ③当11t =且212t =-,当()0,2x π∈时,1sin x t =,只有一根,2sin x t =有两根, 所以,关于x 的方程22sin sin 1x m x --在()0,2x π∈上有三个根,由于201536712=⨯+,则方程22sin sin 10x m x --=在()0,1342π上有2013个根,由于方程1sin x t =在区间()1342,1343ππ上只有一个根,方程2sin x t =在区间()1343,1344ππ上两个根,因此,不合题意,舍去;④当11t =-时,则212t =,当()0,2x π∈时,1sin x t =只有一根,2sin x t =有两根, 所以,关于x 的方程22sin sin 10x m x --=在()0,2x π∈上有三个根,由于201536712=⨯+,则方程22sin sin 10x m x --=在()0,1342π上有2013个根,由于方程2sin x t =在区间()1342,1343ππ上有两个根,方程1sin x t =在区间()1343,1344ππ上有一个根,此时,满足题意;因此,1343n =,21121022m ⎛⎫⎛⎫⨯-⨯-= ⎪ ⎪⎝⎭⎝⎭, 得1m =-,综上,1m =-,1343n =.。
三角函数综合测试题一、选择题(每小题5分,共70分)1. sin2100 =A .23 B . -23 C .21 D . -21 2.α是第四象限角,5tan 12α=-,则sin α= A .15 B .15- C .513 D .513-3. )12sin12(cos ππ- )12sin12(cosππ+=A .-23 B .-21 C . 21 D .234. 已知sinθ=53,sin2θ<0,则tanθ等于A .-43 B .43 C .-43或43 D .545.将函数sin()3y x π=-的图象上所有点的横坐标伸长到原来的2倍(纵坐标不变),再将所得的图象向左平移3π个单位,得到的图象对应的僻析式是 A .1sin 2y x = B .1sin()22y x π=-C .1sin()26y x π=-D .sin(2)6y x π=-6. ()2tan cot cos x x x +=A .tan xB . sin xC . c o s xD . cot x7.函数y =x x sin sin -的值域是A. { 0 }B. [ -2 , 2 ]C. [ 0 , 2 ]D.[ -2 , 0 ] 8.已知sin αcos 81=α,且)2,0(πα∈,则sin α+cos α的值为A. 25B. -25C. ±25D. 239. 2(sin cos )1y x x =--是 A .最小正周期为2π的偶函数 B .最小正周期为2π的奇函数 C .最小正周期为π的偶函数D .最小正周期为π的奇函数10.在)2,0(π内,使x x cos sin >成立的x 取值范围为 A .)45,()2,4(ππππ B .),4(ππ C .)45,4(ππ D .)23,45(),4(ππππ 11.已知,函数y =2sin(ωx +θ)为偶函数(0<θ<π) 其图象与直线y =2的交点的横坐标为x 1,x 2,若| x 1-x 2|的最小值为π,则 A .ω=2,θ=2πB .ω=21,θ=2π C .ω=21,θ=4π D .ω=2,θ=4π12. 设5sin7a π=,2cos 7b π=,2tan 7c π=,则 A .a b c << B .a c b << C .b c a << D .b a c <<13.已知函数()sin(2)f x x ϕ=+的图象关于直线8x π=对称,则ϕ可能是A .2π B .4π- C .4π D .34π14. 函数f (x )=xxcos 2cos 1-A .在⎪⎭⎫⎢⎣⎡20π, 、⎥⎦⎤ ⎝⎛ππ,2上递增,在⎪⎭⎫⎢⎣⎡23,ππ、⎥⎦⎤ ⎝⎛ππ2,23上递减 B .在⎪⎭⎫⎢⎣⎡20π,、⎥⎦⎤ ⎝⎛23ππ,上递增,在⎥⎦⎤ ⎝⎛ππ,2、⎥⎦⎤ ⎝⎛ππ223,上递减 C .在⎪⎭⎫⎢⎣⎡ππ,2、⎥⎦⎤ ⎝⎛ππ223,上递增,在⎪⎭⎫⎢⎣⎡20π,、⎥⎦⎤ ⎝⎛23ππ, 上递减D .在⎪⎭⎫⎢⎣⎡23,ππ、⎥⎦⎤ ⎝⎛ππ2,23上递增,在⎪⎭⎫⎢⎣⎡20π,、⎥⎦⎤ ⎝⎛ππ,2上递减 二.填空题(每小题5分,共20分,) 15. 已知⎪⎭⎫⎝⎛-∈2,2ππα,求使sin α=32成立的α=16.sin15°cos75°+cos15°sin105°=_________17.函数y=Asin(ωx+ϕ)(ω>0,|ϕ|<2π,x ∈R )的部分图象如图,则函数表达式为18.已知βα,为锐角,且cos α=71 cos )(βα+= 1411-, 则cos β=_________ 19.给出下列命题:(1)存在实数α,使1cos sin =αα (2)存在实数α,使23cos sin =+αα (3)函数)23sin(x y +=π是偶函数 (4)若βα、是第一象限的角,且βα>,则βαsin sin >.其中正确命题的序号是________________________________三.解答题(每小题12分,共60分,) 20.已知函数y =3sin )421(π-x (1)用五点法在给定的坐标系中作出函数一个周期的图象;(2)求此函数的振幅、周期和初相;(3)求此函数图象的对称轴方程、对称中心.21.已知)cos(2-)sin(πθπθk k +=+Z k ∈ 求:(1)θθθθsin 3cos 5cos 2sin 4+-; (2)θθ22cos 52sin 41+22.设0≥a ,若b x a x y +-=sin cos 2的最大值为0,最小值为-4,试求a 与b 的值,并求y 的最大、最小值及相应的x 值.23.已知21)tan(=-βα,71tan -=β,且),0(,πβα∈,求βα-2的值.24.设函数a x x x x f ++=ωωωcos sin cos 3)(2(其中ω>0,R a ∈),且f (x )的图象在y 轴右侧的第一个最高点的横坐标为6π. (1)求ω的值; (2)如果)(x f 在区间]65,3[ππ-的最小值为3,求a 的值.。
三角函数与解三角形 测试题(有解析、答案)(时间120分钟,满分150分) 第Ⅰ卷(选择题,共50分)一、选择题(本大题共10小题,每小题5分,共50分.在每小题给出的四个选项中,只有一 项是符合题目要求的)1.已知α∈(π2,π),sin α=35,则tan(α+π4)等于 ( )A.17 B .7 C .-17 D .-7 解析:由α∈(π2,π),sin α=35,得tan α=-34,tan(α+π4)=1+tan α1-tan α=17.答案:A2.sin45°·cos15°+cos225°·sin15°的值为 ( )A .-32 B .-12 C.12 D.32解析:sin45°cos15°+cos225°sin15°=sin45°cos15°-cos45°sin15°=sin(45°-15°)=sin30° =12. 答案:C3.要得到y =sin(2x -π3)的图像,只要将y =sin2x 的图像 ( )A .向左平移π3个单位B .向右平移π3个单位C .向左平移π6个单位D .向右平移π6个单位解析:∵y =sin(2x -π3)=sin2(x -π6),∴只要将y =sin2x 的图像向右平移π6个单位便得到y =sin(2x -π3)的图像.答案:D4.在△ABC 中,若sin 2A +sin 2B -sin A sin B =sin 2C ,且满足ab =4,则该三角形的面积为( )A .1B .2 C. 2 D. 3 解析:∵sin 2A +sin 2B -sin A sin B =sin 2C , ∴a 2+b 2-ab =c 2,∴cos C =a 2+b 2-c 22ab =12,∴C =60°,∴S △ABC =12ab sin C =12×4×32= 3.答案:D5.有一种波,其波形为函数y =sin(π2x )的图像,若在区间[0,t ]上至少有2个波峰(图像的最高点),则正整数t 的最小值是 ( ) A .3 B .4 C .5 D .6 解析:由T =2πω=2ππ2=4,可知此波形的函数周期为4,显然当0≤x ≤1时函数单调递增, x =0时y =0,x =1时y =1,因此自0开始向右的第一个波峰所对的x 值为1,第二个 波峰对应的x 值为5,所以要区间[0,t ]上至少两个波峰,则t 至少为5. 答案:C6.若函数f (x )=(1+3tan x )cos x,0≤x <π2,则f (x )的最大值为 ( )A .1B .2 C.3+1 D.3+2 解析:f (x )=(1+3tan x )cos x =cos x +3sin x =2sin(x +π6),∵0≤x <π2,∴f (x )max =2.答案:B7.使奇函数f (x )=sin(2x +θ)+3cos(2x +θ)在[-π4,0]上为减函数的θ 值为 ( )A .-π3B .-π6 C.5π6 D.2π3解析:由已知得:f (x )=2sin(2x +θ+π3),由于函数为奇函数,故有θ+π3=kπ⇒θ=kπ-π3(k ∈Z),可淘汰BC 选项,然后分别将A和D 选项代入检验,易知当θ=2π3时,f (x )=-2sin2x 其在区间[-π4,0]上递减. 答案:D8.若向量a =(sin(α+π6),1),b =(4,4cos α-3),若a ⊥b ,则sin(α+4π3)等于 ( )A .-34 B.34 C .-14 D.14解析:∵a ⊥b ,∴a ·b =0, ∴4sin(α+π6)+4cos α-3=0,∴sin αcos π6+cos αsin π6+cos α=34,∴12sin α+32cos α=14,∴sin(α+π3)=14,∴sin(α+4π3)=-sin(α+π3)=-14.答案:C9.函数y =sin(ωx +φ)(x ∈R ,ω>0,0≤φ<2π)的部分图像如图,则 ( )A .ω=π2,φ=π4B .ω=π3,φ=π6C .ω=π4,φ=π4D .ω=π2,φ=5π4解析:T 4=3-1=2,∴T =8,ω=2πT =π4令π4×1+φ=π2,得φ=π4. 答案:C10.设函数f (x )=A sin(ωx +φ),(A ≠0,ω>0,-π2<φ<π2)的图像关于直线x =2π3对称,它的周期是π,则 ( ) A .f (x )的图像过点(0,12)B .f (x )的图像在[5π12,2π3]上递减C .f (x )的最大值为AD .f (x )的一个对称中心是点(5π12,0)解析:T =π,∴ω=2.∵图像关于直线x =2π3对称,∴sin(2π3ω+φ)=±1即2π3×2+φ=π2+kπ,k ∈Z 又∵-π2<φ<π2∴φ=π6∴f (x )=A sin(2x +π6).再用检验法.答案:D第Ⅱ卷(非选择题,共100分)二、填空题(本大题共5小题,每小题5分,共25分.请把正确答案填在题中横线上)11.已知α是第二象限角,sin α=12,则sin2a 等于________解析:由已知得cos α=-32,则sin2α=2sin αcos α=2×12×(-32)=-32.答案:-3212.已知函数f (x )=2sin(ωx +φ)的图像如下图所示,则f (7π12)=________.解析:由图像知,函数的周期为32×T =π,∴T =2π3.∵f (π4)=0,∴f (7π12)=f (π4+π3)=f (π4+T 2)=-f (π4)=0.答案:013.计算:cos10°+3sin10°1-cos80°=________.解析:cos10°+3sin10°1-cos80°=2cos(10°-60°)2sin 240°=2cos50°2sin40°= 2. 答案: 214.设函数y =2sin(2x +π3)的图像关于点P (x 0,0)成中心对称,若x 0∈[-π2,0],则x 0=________.解析:因为图像的对称中心是与x 轴的交点,所以由y =2sin(2x +π3)=0,x 0∈[-π2,0]得x 0=-π6.答案:-π615.设△ABC 的内角A ,B ,C 所对的边长分别为a ,b ,c 且a cos B -b cos A =35c .则tan A tan B的值为________.解析:由a cos B -b cos A =35c 及正弦定理可得sin A cos B -sin B cos A =35sin C ,即sin A cos B-sin B cos A =35sin(A +B ),即5(sin A cos B -sin B cos A )=3(sin A cos B +sin B cos A ),即sin A cos B =4sin B cos A ,因此tan A =4tan B ,所以tan Atan B=4. 答案:4三、解答题(本大题共6小题,共75分.解答时应写出必要的文字说明、证明过程或演算步骤)16.(本小题满分12分)已知:0<α<π2<β<π,cos(β-π4)=13,sin(α+β)=45.(1)求sin2β的值;(2)设函数f (x )=cos x -sin x ,试求f (α)的值.解:(1)∵cos(β-π4)=13,∴cos(2β-π2)=2cos 2(β-π4)-1=2×19-1=-79,即sin2β=-79.(2)∵0<α<π2<β<π,∴π4<β-π4<3π4,π2<α+β<3π2,∴sin(β-π4)>0,cos(α+β)<0,∴sin(β-π4)=223,cos(α+β)=-35.∴f (α)=cos α-sin α=2cos(α+π4) =2cos[(α+β)-(β-π4)]=2[cos(α+β)cos(β-π4)+sin(α+β)sin(β-π4)]=2(-35×13+45×223)=16-3215.17.(本小题满分12分)如图,点A ,B 是单位圆上的两点,A ,B点分别在第一、二象限,点C 是圆与x 轴正半轴的交点,△AOB 是正三角形,若点A 的坐标为(35,45),记∠COA =α.(1)求1+sin2α1+cos2α的值;(2)求|BC |2的值.解:(1)∵A 的坐标为(35,45),根据三角函数的定义可知,sin α=45,cos α=35,∴1+sin2α1+cos2α=1+2sin αcos α2cos 2α=4918.(2)∵△AOB 为正三角形,∴∠AOB =60°.∴cos ∠COB =cos(α+60°)=cos αcos60°-sin αsin60°=35×12-45×32=3-4310, ∴|BC |2=|OC |2+|OB |2-2|OC |·|OB |cos ∠COB =1+1-2×3-4310=7+435. 18.(本题满分13分)(2010·黄冈模拟)△ABC 中,角A 、B 、C 的对边分别为a 、b 、c ,且lg a-lg b =lgcos B -lgcos A ≠0. (1)判断△ABC 的形状;(2)设向量m =(2a ,b ),n =(a ,-3b ),且m ⊥n ,(m +n )·(-m +n )=14,求a ,b ,c . 解:由题lg a +lgcos A =lg b +lgcos B ,故a cos A =b cos B . 由正弦定理sin A cos A =sin B cos B ,即sin2A =sin2B . 又cos A >0,cos B >0,故A ,B ∈(0,π2),2A,2B ∈(0,π)因a ≠b ⇒A ≠B ,故2A =π-2B . 即A +B =π2,故△ABC 为直角三角形.(2)由于m ⊥n ,所以2a 2-3b 2=0 ① 且(m +n )·(-m +n )=n 2-m 2=14,即8b 2-3a 2=14 ② 联立①②解得a 2=6,b 2=4,故在直角△ABC 中,a =6,b =2,c =10.19.(本小题满分12分)已知a =(sin x ,32),b =(cos x ,-1).(1)当a 与b 共线时,求2cos 2x -sin2x 的值; (2)求f (x )=(a +b )·b 在[-π2,0]上的值域.解:(1)∵a 与b 共线, ∴32cos x +sin x =0.∴tan x =-32. 故2cos 2x -sin2x =2cos 2x -2sin x cos x sin 2x +cos 2x=2-2tan x 1+tan 2x =2013. (2)∵a +b =(sin x +cos x ,12),∴f (x )=(a +b )·b =(sin x +cos x ,12)·(cos x ,-1).∴sin x cos x +cos 2x -12=12(sin2x +cos2x )=22sin(2x +π4). ∵-π2≤x ≤0,∴-3π4≤2x +π4≤π4, ∴-1≤sin(2x +π4)≤22,∴f (x )的值域为[-22,12]. 20.(本小题满分13分)已知函数f (x )=A sin(ωx +φ)+B (A >0,ω>0)的一系列对应值如下表:(1)根据表格提供的数据求函数f (x )的一个解析式; (2)根据(1)的结果,若函数y =f (kx )(k >0)周期为2π3,当x ∈[0,π3]时,方程f (kx )=m 恰 有两个不同的解,求实数m 的取值范围. 解:(1)设f (x )的最小正周期为T ,得 T =11π6 -(-π6)=2π, 由T =2πω,得ω=1.又⎩⎪⎨⎪⎧ B +A =3B -A =-1,解得⎩⎪⎨⎪⎧A =2B =1. 令ω·5π6+φ=π2,即5π6+φ=π2,解得φ=-π3,∴f (x )=2sin(x -π3)+1.(2)∵函数y =f (kx )=2sin(kx -π3)+1的周期为2π3,又k >0,∴k =3. 令t =3x -π3,∵x ∈[0,π3],∴t ∈[-π3,2π3]如图sin t =s 在[-π3,2π3]上有两个不同的解的充要条件是s ∈[32,1),∴方程f (kx )=m 在x ∈[0,π3]时恰好有两个不同的解的充要条件是m ∈[3+1,3),即实数m 的取值范围是[3+1,3). 21.(本小题满分13分)已知函数y =|cos x +sin x |.(1)画出函数在x ∈[-π4,7π4]上的简图;(2)写出函数的最小正周期和在[-π4,3π4]上的单调递增区间;试问:当x 在R 上取何值时,函数有最大值?最大值是多少?(3)若x 是△ABC 的一个内角,且y 2=1,试判断△ABC 的形状. 解:(1)∵y =|cos x +sin x |=2|sin(x +π4)|,∴当x ∈[-π4,7π4]时,其图像如图所示.(2)函数的最小正周期是π,在[-π4,3π4]上的单调递增区间是[-π4,π4];由图像可以看出,当x =kπ+π4(k ∈Z)时,该函数有最大值,最大值是 2.(3)若x 是△ABC 的一个内角,则有0<x <π, ∴0<2x <2π.由y 2=1,得|cos x +sin x |2=1⇒1+sin2x =1. ∴sin2x =0,∴2x =π,x =π2,故△ABC 为直角三角形.。
⾼中数学必修⼀第五章三⾓函数单元测试(1)(含答案解析)⾼中数学必修⼀第五章三⾓函数单元测试 (1)⼀、选择题(本⼤题共9⼩题,共45.0分)1.以罗尔中值定理、拉格朗⽇中值定理、柯西中值定理为主体的“中值定理”反映了函数与导数之间的重要联系,是微积分学重要的理论基础,其中拉格朗⽇中值定理是“中值定理”的核⼼内容,其定理陈述如下:如果函数y=f(x)在闭区间[a,b]上连续,在开区间(a,b)内可导,则在区间(a,b)内⾄少存在⼀个点x0∈(a,b),使得f(b)?f(a)=f?(x0)(b?a),x=x0称为函数y= f(x)在闭区间[a,b]上的中值点,则函数f(x)=sinx+√3cosx在区间[0,π]上的“中值点”的个数为参考数据:√2≈1.41,√3≈1.73,π≈3.14.A. 1B. 2C. 3D. 42.若α∈(π2,π),cos?2α=?13,则tan?α=()A. ?√33B. ?√3 C. ?√2 D. ?√223.cos20o cos40°?sin20°sin40°=()A. 1B. 12C. ?12D. √324.为了得到函数f(x)=sin(2x+3π4)的图象,可以将函数g(x)=cos2x的图象()A. 向右平移π4个单位 B. 向左平移π4个单位5.在△ABC中,⾓A,B,C的对边分别为a,b,c,若2c?ba =cosBcosA,a=2√3,则△ABC⾯积的最⼤值为()A. √3B. 2√3C. 3√3D. 4√36.已知sinα?cosα=13,则cos2(π4α)=()A. 1718B. 19C. √29D. 1187.若将函数f(x)=sin(2x+φ)+√3cos(2x+φ)(0<φ<π)的图象向左平移π4个单位长度,平移后的图象关于点(π2,0)对称,则函数g(x)=cos(x+φ)在[?π2,π6]上的最⼩值()A. ?12B. ?√3228.若函数f(cos x)=cos2x+1,则f(cos30°)的值为()A. 12B. 32C. 72D. 49.3?sin110°8?4cos210°=()A. 2B. √22C. 12D. √32⼆、填空题(本⼤题共5⼩题,共25.0分)10.已知cos?(α+π4)=13,α∈(0,π4),则cos2α=________.11.已知△ABC的内⾓A,B,C所对的边分别为a,b,c,B=π4,tan(π4A)=12,且△ABC的⾯积为25,则a+b=_________.12.函数y=√3sin2x?cos2x的图象向右平移φ(0<φ<π)个长度单位后,得到函数g(x)的图象,若函数g(x)为偶函数,则φ的值为___________.13.在ΔABC中,cosB+√3sinB=2,且cosBb +cosCc=2√3sinA3sinC,则a+c的取值范围是________.14.已知函数f(x)=sinxcos(x+π3)+√34,x∈[?π3,π6],则函数的单调减区间为___________,函数的值域为____________.三、解答题(本⼤题共6⼩题,共72.0分)15.如图,在四边形ABCD中,已知∠DAB=π3,AD︰AB=2︰3,BD=√7,AB⊥BC.(1)求sin∠ABD的值;(2)若∠BCD=2π3,求CD的长.16.已知函数f(x)=Asin(ωx+φ)(A>0,ω>0,|φ|<π2)的最⼩值为?3,若f(x)图象相邻的最⾼点与最低点的横坐标之差为2π,且f(x)的图象经过点(0,32).(2)若⽅程f(x)?k=0在x∈[0,11π3]上有两个零点x1,x2,求k的取值范围,并求出x1+x2的值.17.在△ABC中,⾓A,B,C的对边分别为a,b,c.已知向量m =(b,a?2c),n?=(cosA?2cosC,cosB),且n?⊥m .(1)求sinCsinA的值;(2)若a=2,|m |=3√5,求△ABC的⾯积S.18.化简,求值:(1)已知tanα=34,求tan(α+π4)的值;(2)sin20°sin40°?cos20°cos40°.19.在△ABC中,内⾓A,B,C对边的边长分别是a、b、c,△ABC的⾯积为S⑴若c=2,C=π3,S=√3,求a+b;)=a,求⾓A;⑴若√3(bsinC?ccosBtanC20.如图,某住宅⼩区的平⾯图呈圆⼼⾓为120°的扇形AOB,⼩区的两个出⼊⼝设置在点A及点C处,且⼩区⾥有⼀条平⾏于BO的⼩路CD.(1)已知某⼈从C沿CD⾛到D⽤了10分钟,从D沿DA⾛到A⽤了6分钟,若此⼈步⾏的速度为每分钟50⽶,求该扇形的半径OA的长(精确到1⽶);(2)若该扇形的半径为OA=a,已知某⽼⼈散步,从C沿CD⾛到D,再从D沿DO⾛到O,试确定C的位置,使⽼⼈散步路线最长.-------- 答案与解析 --------本题考查导数运算、余弦函数性质,属于中档题.求出f(x)的导数,利⽤f′(x0)=f(b)?f(a)b?a,可得结合余弦函数性质易知⽅程在区间(0,π)内有2解,【解答】解:由知由拉格朗⽇中值定理:令f′(x0)=f(b)?f(a)b?a,即,由?√3π∈(?1,?12),结合余弦函数性质易知⽅程在区间(0,π)内有2解,故在区间[0,π]上的“中值点”有2个,故选B.2.答案:C解析:【分析】本题考查三⾓函数的化简求值,考查同⾓三⾓函数基本关系式和⼆倍⾓公式,是基础题.由已知可得tanα<0,再由⼆倍⾓公式和同⾓三⾓函数基本关系可得tanα的⽅程,解之可得答案.【解答】解:∵α∈(π2,π),且cos2α=?13,∴tanα<0,且cos2α=cos2α?sin2α=cos2α?sin2αcos2α+sin2α=1?tan2α1+tan2α=?13,解得tanα=?√2.故选C.3.答案:B本题考查两⾓和与差的三⾓函数公式,属于基础题.由题直接计算求解即可得到答案.【解答】解:cos20o cos40°?sin20°sin40°=cos(20°+40°) =cos60°=12.故选B . 4.答案:D解析:【分析】本题考查三⾓函数的图象变换规律,是基础题.根据题意,进⾏求解即可.【解答】解:,,⼜,∴只需将函数g(x)=cos2x 的图象向左平移π8个单位即可得到函数f(x)=sin?(2x +3π4)的图象.故选D . 5.答案:C解析:【分析】本题考查正余弦定理、三⾓形⾯积公式,两⾓和的正弦公式和基本不等式,属于中档题.先由正弦定理和两⾓和的正弦公式得出cosA =12,再由余弦定理和基本不等式解得bc ≤12,最后由三⾓形⾯积公式求得△ABC ⾯积的最⼤值.【解答】解:由已知可得(2c ?b)cosA =acosB ,由正弦定理可得(2sinC ?sinB)cosA =sinAcosB ,所以2sinCcosA =sinBcosA +sinAcosB =sin(A +B)=sinC ,由sinC ≠0可得cosA =12,则,由余弦定理可得12=b 2+c 2?2bc ×12=b 2+c 2?bc ,由基本不等式可得12=b 2+c 2?bc ≥2bc ?bc =bc ,解得bc ≤12,当且仅当b =c =2√3时,取等号,故△ABC ⾯积S =12bcsinA =√34bc ≤√34×12=3√3.故选C .6.答案:A解析:【分析】本题主要考查⼆倍⾓公式、诱导公式以及同⾓三⾓函数基本关系的应⽤,属于基础题.由条件利⽤⼆倍⾓公式可得sin2α=81+cos(π22α)2=12+sin2α2,计算求得结果.【解答】解:∵sinα?cosα=13,∴1?2sinαcosα=1?sin2α=19,∴sin2α=89,则cos2(π4?α)=1+cos(π22α)2=12+sin2α2=1718,故选A.7.答案:D解析:【分析】本题主要考查函数y=Asin(ωx+φ)的图像变换规律、诱导公式和三⾓函数的性质.3]=2cos(2x+φ+π3),再根据图像关于点(π2,0)对称,得到φ=π6,得到g(x)=cos(x+π6),进⽽求出g(x)的最⼩值.【解答】解:∵f(x)=sin?(2x+φ)+√3cos?(2x+φ)=2sin?(2x+φ+π3),∴将函数f(x)的图像向左平移π4个单位长度后,得到图像的函数解析式为y=2sin?[2(x+π4)+φ+π3]=2cos?(2x+φ+π3).∵函数y=2cos(2x+φ+π3)的图像关于点(π2,0)对称,∴2cos(2×π2+φ+π3)=0,所以π+φ+π3=kπ+π2解得φ=kπ?5π6,k∈Z.∵0<φ<π,∴φ=π6,∴g(x)=cos(x+π6).∵x∈[?π2,π6],∴x+π6∈[?π3,π3],∴cos(x+π6)∈[12,1],则函数g(x)=cos(x+φ)在[?π2,π6]上的最⼩值是12.故选D.8.答案:B解析:【分析】本题主要考查⼆倍⾓公式的应⽤,属于基础题.利⽤⼆倍⾓公式,然后求出函数值即可.【解答】解:∵f(cos x)=cos 2x +1=2cos 2x ,∴f(cos?30°)=2cos 230°32)2=32.故选B . 9.答案:C解析:【分析】本题考查三⾓函数的化简求值问题,属于基础题.根据诱导公式与⼆倍⾓的余弦公式即可求出结果.【解答】解:原式=3?sin110°8?4cos 210°=3?cos20°8?2(1+cos20°)=3?cos20°6?2cos20°=12.故选C .10.答案:4√29解析:解:因为cos(α+π4)=13,α∈(0,π4),所以sin(α+π4)=2√23,所以cos2α=cos[2(α+π4)?π2]=sin2(α+π4) =2sin(α+π4)cos(α+π4)=2×2√23×13=4√29.答案:4√29由诱导公式可知cos2α=cos[2(α+π4)?π2]=sin2(α+π4),然后结合⼆倍⾓的正弦公式展开可求.本题主要考查函数值的计算,利⽤三⾓函数的倍⾓公式是解决本题的关键. 11.答案:5+5√5解析:【分析】本题考查两⾓和与差的三⾓公式的应⽤,考查正弦定理及三⾓形⾯积公式的应⽤,属中档题.依题意,根据两⾓和与差的三⾓公式求得tanA =13,进⽽得sin?A ,cos?A .⼜B =π4,求得sinC ,再结合三⾓形⾯积及正弦定理求解即可.【解答】解:因为tan?(π4?A)=12,所以1?tan?A1+tan?A =12,则tan?A =13,因此sinA =√1010,cosA =3√1010.所以sinC =sin (A +B )=sinAcosB +cosAsinB =√1010×√22+3√1010×√22=2√55,根据△ABC 的⾯积为25,得12absinC =12ab ×2√55=25,得ab =25√5,⼜由正弦定理得a sinA =bsinB ,得b =√5a ,联⽴{ab =25√5b =√5ab =5√5,所以a +b =5+5√5.故答案为5+5√5.12.答案:π6解析:【分析】先将y =√3sin2x ?cos2x 化为y =2sin(2x ?π6),然后再利⽤图象平移知识,求出g(x),根据g(x)是偶函数,则g(0)取得最值,求出φ.本题考查三⾓函数图象变换的⽅法以及性质,将奇偶性、对称性与函数的最值联系起来,是此类问题的常规思路,属于中档题.【解答】解:由已知得y =√3sin2x ?cos2x =2(sin2x ?√32cos2x 12)=2sin(2x π6).所以g(x)=2sin[2(x ?φ)?π6],由g(x)是偶函数得g(0)=2sin(?2φ?π6)=±2,∴?2φ?π6=π2+kπ,k ∈Z ,∴φ=?π3kπ2,k ∈Z ,当k =?1时,φ=π6即为所求.故答案为:π6.13.答案:(√32,√3]解析:【分析】本题考查正、余弦定理,三⾓函数恒等变换的应⽤,正弦函数的性质,考查了计算能⼒和转化思想,属于中档题.由题意可得⾓B和边b,然后利⽤正弦定理,三⾓函数恒等变换的应⽤可求a+c=√3sin(A+π6),66<5π6,利⽤正弦函数的性质可求其取值范围.【解答】解:∵在ΔABC中,cosB+√3sinB=2,∴2(12cos?B+√32sin?B)=2,即2sin(B+π6)=2,所以B+π6=π2,B=π3,⼜cosBb +cosCc=2√3sinA3sinC=2√3a3c,所以ccosB+bcosC=2√33ab,故c?a2+c2?b22ac +b?a2+b2?c22ab=2√3即a=2√33ab,解得b=√32,∴由正弦定理可得bsinB =√32√32=1=asinA=csinC,故a=sinA,c=sinC,所以a+c=sinA+sinC=sinA+sin(2π3A)=sinA+√32cosA+12sinA=32sinA+√32cosA=√3sin(A+π63,π66<5π6,所以sin(A+π6)∈(12,1]∴a+c=√3sin(A+π6)∈(√32,√3].故答案为(√32,√3].14.答案:;[?√34,12]解析:【分析】本题主要考查了两⾓和与差的三⾓函数公式、⼆倍⾓公式、函数的单调区间以及函数的值域,属于基础题.由题意化简可得,且,,由此即可得到函数的单调减区间以及值域.【解答】解:=sinx (12cosx ?√32sinx)+√34=14sin2x ?√32sin 2x +√34 =14sin2x +√34cos2x ,令,解得,,令k =0,可得,即函数的单调减区间为,此时,,即函数的值域为[?√34,12],故答案为;[?√34,12].15.答案:解:(1)由题意可设AD =2k ,AB =3k(k >0).∵BD =√7,∠DAB =π3,∴由余弦定理,得(√7)2=(3k)2+(2k)2?2×3k ×2kcos π3,解得k =1,∴AD =2,AB =3..(2)∵AB ⊥BC ,,,,∴CD =√7×2√77√32=4√33.解析:本题主要考查了余弦定理,⽐例的性质,正弦定理,同⾓三⾓函数之间的关系以及特殊⾓的三⾓函数值在解三⾓形中的综合应⽤,考查了计算能⼒和转化思想,属于中档题.(1)在△ABC 中,由已知及余弦定理,⽐例的性质即可解得AD =2,AB =3,由正弦定理即可解得sin∠ABD 的值;(2)由(1)可求cos∠DBC ,利⽤同⾓三⾓函数关系式可求sin∠DBC 的值,利⽤正弦定理即可计算得解.16.答案:解:(1)由题意得:A =3,T2=2π,则T =4π,即ω=2πT=12,所以f(x)=3sin(12x +φ),⼜f(x)的图象经过点(0,32),则32=3sinφ,由|φ|<π2得φ=π6,所以f(x)=3sin(12x +π6); (2)由题意得,f(x)?k =0在x ∈[0,11π3]有且仅有两个解x 1,x 2,即函数y =f(x)与y =k 在x ∈[0,11π3]且仅有两个交点,由x ∈[0,11π3]得,12x +π6∈[π6,2π],则f(x)=3sin(12x +π6)∈[?3,3],设t =12x +π6,则函数为y =3sint ,且t ∈[π6,2π],画出函数y =3sint 在t ∈[π6,2π]上的图象,如图所⽰:由图可知,k 的取值范围为:k ∈(?3,0]∪[3 2,3),当k ∈(?3,0]时,由图可知t 1,t 2关于t =3π2对称,即x =83π对称,所以x 1+x 2=16π3当k ∈[32,3)时,由图可知t 1,t 2关于t =π2对称,即x =23π对称,所以x 1+x 2=4π3,综上可得,x 1+x 2的值是16π3或4π3.解析:(1)由题意求出A 和周期T ,由周期公式求出ω的值,将点(0,32)代⼊化简后,由φ的范围和特殊⾓的三⾓函数值求出φ的值,可得函数f(x)的解析式;(2)将⽅程的根转化为函数图象交点问题,由x 的范围求出12x +π6的范围,由正弦函数的性质求出f(x)的值域,设设t =12x +π6,函数画出y =3sint ,由正弦函数的图象画出y =3sint 的图象,由图象和条件求出k 的范围,由图和正弦函数的对称性分别求出x 1+x 2的值.本题考查了形如f(x)=Asin(ωx +φ)的解析式的确定,正弦函数的性质与图象,以及⽅程根转化为函数图象的交点问题,考查分类讨论思想,数形结合思想,以及化简、变形能⼒.17.答案:解:(1)由m⊥n ? ,可得b(cosA ?2cosC)+(a ?2c)cosB =0,根据正弦定理可得,sinBcosA ?2sinBcosC +sinAcosB ?2sinCcosB =0∴(sinBcosA +sinAcosB)?2(sinBcosC +sinCcosB)=0∴sin(A +B)?2sin(B +C)=0,∵A +B +C =π,∴sinC ?2sinA =0,所以(2)由(1)得:c =2a ,因为a =2,|m |=3√5,所以c =4,b =3,所以cosA =32+42?222×3×4=78,因为A ∈(0,π),所以sinA =√1?(78)2=√158,所以△ABC 的⾯积为=12bcsinA =12×3×4×√158=3√154解析:本题考查平⾯向量的数量积、垂直的应⽤、考查两⾓和与差的三⾓函数、正弦定理、余弦定理以及三⾓形⾯积公式的运⽤,考查计算能⼒和转化能⼒,属于中档题.(1)由⊥m n?,可得b(cosA?2cosC)+(a?2c)cosB=0,根据正弦定理可得,sinBcosA?2sinBcosC+sinAcosB?2sinCcosB=0,化简即可;(2)由(1)c=2a可求c,由|m |=3√5可求b,结合余弦定理可求cos A,利⽤同⾓平⽅关系可求sin A,代⼊三⾓形的⾯积公式S=12bcsinA可求.18.答案:解:(1)∵tan?α=34,∴tan?(α+π4)=tanα+tanπ41?tanα·tanπ4=34+11?34×1=7.(2)sin?20°sin?40°?cos?20°cos?40°=?(cos?20°cos?40°?sin20°sin40°)=?cos(?20°+?40°)=?cos60°=?12.解析:本题主要考查了两⾓和差公式,三⾓函数的化简与求值,属于较易题.(1)利⽤两⾓和的正切公式直接代值求解.(2)sin?20°sin?40°?cos?20°cos?40°=?(cos?20°cos?40°?sin20°sin40°),利⽤两⾓和的余弦公式求解.19.答案:解:,∴ab=4 ①,⼜c2=a2+b2?2abcosC,c=2,∴a2+b2?2ab=4 ②,由①②得a+b=4;(2)∵√3(bsinC?ccosBtanC)=a,∴∵√3(sinBsinC?sinCcosBcosCsinC)=sinA,∴?√3cos(B+C)=sinA,∴tanA=√3,⼜,.解析:本题考查解三⾓形和三⾓恒等变换,考查推理能⼒和计算能⼒,属于⼀般题.(1)利⽤三⾓形的⾯积公式和余弦定理即可求解;(2)由正弦定理和三⾓恒等变换公式得tanA=√3,结合范围即可求出A.20.答案:解:(1)设该扇形的半径为r⽶,连接CO.由题意,得CD=500(⽶),DA=300(⽶),∠CDO=60°,在△CDO中,CD2?+OD2?2CD?OD?cos60°=OC2,即,5002+(r?300)2??2×500×(r?300)×1 2=r?2,解得r=490011≈445(⽶).(2)连接OC,设∠DOC=θ,θ∈(0,2π3),在△DOC中,由正弦定理得:CDsinθ=DOsin(2π3θ)=OCsinπ3=√3,于是CD=3,DO=3sin(2π3θ),则DC+DO=√3+sin(2π3θ)]=2asin(θ+π6),θ∈(0,2π3),所以当θ=π3时,DC+DO最⼤为 2a,此时C在弧AB的中点处.解析:本题主要考查解三⾓形在实际问题中的运⽤,属于中档题.(1)连接OC,由CD//OB知∠CDO=60°,可由余弦定理得到OC的长度.(2)连接OC,设∠DOC=θ,θ∈(0,2π3),由正弦定理,三⾓恒等变换可求DC+DO=2asin(θ+π6),θ∈(0,2π3),利⽤正弦函数的性质可求最⼤值,即可得解.。
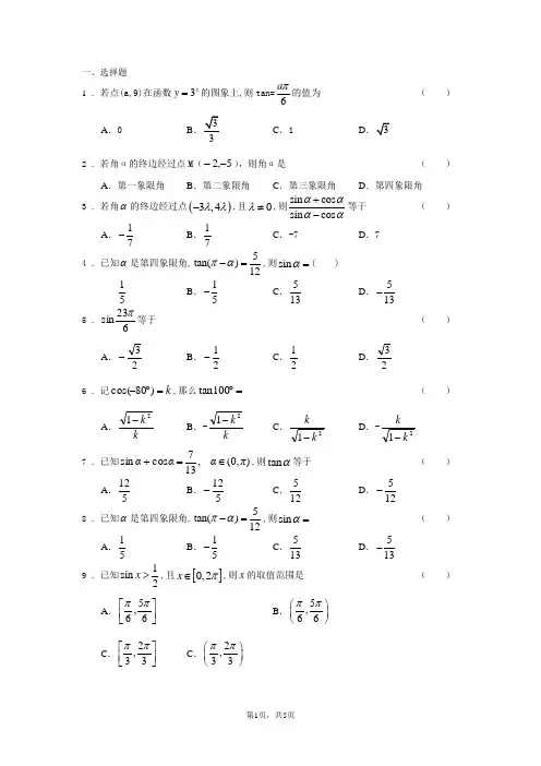
一、选择题1 .若点(a,9)在函数3xy =的图象上,则tan=6a π的值为 ( )A .0B .33C .1D .32 .若角α的终边经过点M (5,2--),则角α是( )A .第一象限角B .第二象限角C .第三象限角D .第四象限角3 .若角α的终边经过点()3,4λλ-,且0λ≠,则sin cos sin cos αααα+-等于( )A .17-B .17 C .-7D .74 .已知α是第四象限角,5tan()12πα-=,则sin α=( ).15 B .15-C .513D .513-5 .623sin π等于( )A .23-B .21-C .21 D .23 6 .记k =︒-)80cos(,那么=︒100tan( )A .kk 21-B .-kk 21- C .21kk - D .-21kk -7 .已知),0(,137cos sin πααα∈=+,则αtan 等于 ( )A .512B .512-C .125D .125-8 .已知α是第四象限角,5tan()12πα-=,则sin α=( )A .15B .15-C .513D .513-9 .已知1sin 2x >,且[]0,2x π∈,则x 的取值范围是( )A .5,66ππ⎡⎤⎢⎥⎣⎦ B .5,66ππ⎛⎫⎪⎝⎭C .2,33ππ⎡⎤⎢⎥⎣⎦ C .2,33ππ⎛⎫⎪⎝⎭10.已知函数)0)(6sin(2)(>+=ωπωx x f 的最小正周期为π4,则该函数的图象 ( )A .关于点⎪⎭⎫⎝⎛0,3π对称 B .关于点⎪⎭⎫⎝⎛0,35π对称 C .关于直线3π=x 对称D .关于直线35π=x 对称 11.函数()sin()4f x x π=-的一个单调增区间为( )A .37(,)44ππB .3(,)44ππ-C .(,)22ππ- D .3(,)44ππ-12.函数x cos 4x sin 3y 2--=的最小值为( )A .-2B .-1C .-6D .-3二、填空题13.已知扇形的周长为8cm ,则该扇形面积的最大值为________cm 2。
必修四第一章三角函数单元测试 一、选择题1.设A ={小于90°的角},B ={第一象限的角},则A ∩B 等于( ). A .{锐角}B .{小于90° 的角}C .{第一象限的角}D .{α|k ·360°<α<k ·360°+90°(k ∈Z ,k ≤0)} 2.终边在直线y =-x 上的角的集合是( ). A .{α|α=45°+k ·180°(k ∈Z )} B .{α|α=135°+k ·180°(k ∈Z )} C .{α|α=45°+k ·360°(k ∈Z )}D .{α|α=-45°+k ·360°(k ∈Z )}3. 已知sin α=54,α∈(0,π),则tan α等于( ). A .34B .43 C .34±D .43±4.已知角 α 的终边经过点P (4,-3),则2sin α+cos α的值等于( ). A .-53 B .54 C .52 D .-52 5.已知sin α=-22,2π<α<23π,则角 α 等于( ). A .3πB .32πC .34πD .45π6.已知tan 14°≈41,则tan 7°约等于( ). A .17+4B .17-4C .17+2D .17-27.α是三角形的内角,则函数y =cos 2α-3cos α+6的最值情况是( ). A .既有最大值,又有最小值 B .既有最大值10,又有最小值831 C .只有最大值10 D .只有最小值831 8.若f (x )sin x 是周期为π的奇函数,则f (x )可以是( ). A .sin xB .cos xC .sin 2xD .cos 2x9.设4π<α<2π,sin α=a ,cos α=b ,tan α=c 则a ,b ,c 的大小关系为( ). A .a <b <cB .a >b >cC .b >a >cD .b <a <c10.已知sin α>sin β,那么下列命题成立的是( ). A .若α,β是第一象限角,则cos α>cos β B .若α,β是第二象限角,则tan α>tan β C .若α,β是第三象限角,则cos α>cos β D .若α,β是第四象限角,则tan α>tan β 二、填空题11.已知扇形的半径是1,周长为π,则扇形的面积是 . 12.已知集合A ={α|2k π≤α≤(2k +1)π,k ∈Z },B ={α|-4≤α≤4}, 求A ∩B = .13.已知点P (tan α,cos α)在第三象限,则角 α 的终边在第 象限. 14.已知cos (π+α)=-53,sin αcos α<0,则sin (α-7π)的值为 . 15.函数y =x sin log 21的定义域是 .16.函数y =a +b sin x 的最大值是23,最小值是-21,则a = ,b = . 三、解答题17.设 α 是第二象限的角,sin α=53,求sin (637π-2α)的值.18.求下列函数的周期: (1)y =cos 2(πx +2),x ∈R ; (2)y =cos 4x -sin 4x ,x ∈R ; (3)y =sin x ·cos x +3cos 2x -23,x ∈R .19.已知x ∈[-3π,4π],f (x )=tan 2x +2tan x +2,求f (x )的最大值和最小值,并求出相应的x 值.20.求函数y =1tan tan 1tan tan 22+++-x x x x 的值域.第一章 三角函数参考答案一、选择题 1.D解析:A 集合中包含小于90°的正角,还有零角和负角,而B 集合表示终边落在第一象限的角.二者的交集不是A ,B ,C 三个选项.2.B解析:先在0°~360°内找终边在直线y =-x 上的角分别为135°或315°,所以终边在直线y =-x 上的所有角为k ·360°+135°,或k ·360°+315°,k ∈Z .k ·360°+135°=2k ·180°+135°,k ·360°+315°=(2k +1)180°+135°,由此得答案为B . 3.C解析:∵sin α=54,α∈(0,π),∴cos α=±53,∴tan α=±34. 4.D解析:∵r =22)3(4-+=5,∴sin α=ry =-53,cos α=r x =54.∴2sin α+cos α=2×(-53)+54=-52. 5.D 解析:∵sin 45π=sin (π+4π)=-sin 4π=-22,且2π<45π<23π,∴α=45π. 6.B解析:设tan 7°=x ,则tan 14°=2-12xx ≈41. 解得x ≈-4±17(负值舍去), ∴x ≈17-4. 7.D解析:∵y =cos 2α-3cos α+6=2cos 2α-3cos α+5=2(cos α-43)2+831,又 α 是三角形的内角,∴-1<cos α<1. 当cos α=43时,y 有最小值831.8.B解析:取f (x )=cos x ,则f (x )·sin x =21sin 2x 为奇函数,且T =π. 9.D解析:在单位圆中做出角 α 的正弦线、余弦线、正切线得b <a <c . 10.D解析:若α,β是第四象限角,且sin α>sin β,如图,利用单位圆中的三角函数线确定α,β的终边,故选D .二、填空题 11.答案:12-π. 12.答案:A ∩B ={α|-4≤α≤-π 或0≤α≤π }.解析:在集合A 中取k =…,-1,0,1,…得到无穷个区间…,[-2π,-π],[0,π],[2π,3π],…将这些区间和集合B 所表示的区间在数轴上表示如图:由图可知A ∩B ={α|-4≤α≤-π 或0≤α≤π }. 13.答案:二.解析:因为点P (tan α,cos α)在第三象限,因此有⎩⎨⎧ ,tan α<0⇒α在二、四象限,cos α<0⇒α在二、三象限(包括x 轴负半轴),所以 α 为第二象限角.即角 α 的终边在第二象限.14.答案:54. 解析:∵cos (π+α)=-cos α=-53,∴cos α=53. 又∵sin αcos α<0,∴sin α<0,α为第四象限角,∴sin α=-54=-cos 12α-,∴sin (α-7π)=sin (α+π-8π)=sin (π+α)=-sin α=54. 15.答案:(2k π,2k π+π)(k ∈Z ).解析:由x sin log 21≥0,得0<sin x ≤1,∴2k π<x <2k π+π(k ∈Z ).tan α<0cos α<0(第12题)(第10题`)16.答案:21,±1. 解析:当b >0时,得方程组⎪⎩⎪⎨⎧21=--23=+b a b a 解得⎪⎩⎪⎨⎧1=21=b a 当b <0时,得方程组⎪⎩⎪⎨⎧21=-+23=-b a b a 解得⎪⎩⎪⎨⎧1=-21=b a 三、解答题 17.答案:32512+507. 解:∵sin α=53,α是第二象限角, ∴cos α=-54,sin 2α=2sin αcos α=-2524, ∴cos 2α=1-2sin 2α=257, 故sin (637π-2α)=sin (6π-2 α)=21×257-23(-2524)=32512507+.18.答案:(1)1;(2)π;(3)π. 解:(1)y =cos 2(πx +2)=21[1+cos (2πx +4)] =21cos (2πx +4)+21. ∴T =ππ22=1. (2)y =cos 4x -sin 4x=(cos 2x +sin 2x )(cos 2x -sin 2x ) =cos 2x -sin 2x =cos 2x . ∴T =22π=π. (3)y =sin x ·cos x +3cos 2x -23 =21sin 2x +3·22cos +1x-23=21sin 2x +23cos 2x=sin (2x +3π).∴T =22π=π. 19.答案:x =-4π时y min =1,x =4π时y max =5.解析:f (x )=tan 2x +2tan x +2=(tan x +1)2+1.∵x ∈[-3π,4π],∴tan x ∈[-3,1]. ∴当tan x =-1,即x =-4π时,y 有最小值,y min =1;当tan x =1,即x =4π时,y 有最大值,y max =5.20.答案: [31,3].解析:将原函数去分母并整理得(y -1)tan 2x +(y +1)tan x +y -1=0. 当y ≠1时,∵tan x ∈R ,∴方程是关于tan x 的一元二次方程,有实根. ∴判别式△=(y +1)2-4(y -1)2≥0, 即3y 2-10y +3≤0.解之31≤y ≤3.而tan x =0时,y =1,故函数的值域为[31,3].。
三角函数练习题及答案百度文库精心选一选山岳得分1、在直角三角形中,各边都扩大2倍,则锐角A的正弦值与余弦值都A、缩小2倍B、扩大2倍C、不变D、不能确定4,BC=4,sinA=52、在Rt△ABC中,∠C=90,则AC=A、3B、C、D、61sinA=3,则3、若∠A是锐角,且A、00 13sinA?tanA4、若cosA=3,则4sinA?2tanA=411A、 B、 C、D、05、在△ABC中,∠A:∠B:∠C=1:1:2,则a:b:c=2A、1:1:B、1:1:C、1:1:3D、1:1:26、在Rt△ABC中,∠C=900,则下列式子成立的是A、sinA=sinBB、sinA=cosBC、tanA=tanBD、cosA=tanB.已知Rt△ABC中,∠C=90°,AC=2,BC=3,则下列各式中,正确的是2223A.sinB=B.cosB=C.tanB=D.tanB=28.点关于y轴对称的点的坐标是11113A.B.C.D.9.每周一学校都要举行庄严的升国旗仪式,让我们感受到了国旗的神圣.?某同学站在离旗杆12米远的地方,当国旗升起到旗杆顶时,他测得视线的仰角为30°,?若这位同学的目高1.6米,则旗杆的高度约为A.6.9米 B.8.5米 C.10.3米 D.12.0米10.王英同学从A地沿北偏西60o方向走100m到B地,再从B地向正南方向走200m到C地,此时王英同学离A地503m100 m150m m11、如图1,在高楼前D点测得楼顶的仰角为30?,向高楼前进60米到C点,又测得仰角为45?,则该高楼的高度大约为A.82米B.163米C.52米D.70米12、一艘轮船由海平面上A地出发向南偏西40o的方向行驶40海里到达B 地,再由B地向北偏西10o的方向行驶40海里到达C地,则A、C两地相距.30海里0海里 0海里 0海里细心填一填1.在Rt△ABC中,∠C=90°,AB=5,AC=3,则sinB=_____..在△ABC中,若AC=3,则cosA=________.3.在△ABC中,AB=,B=30°,则∠BAC的度数是______.图14.如图,如果△APB绕点B按逆时针方向旋转30°后得到△A'P'B,且BP=2,那么PP'的长为____________.5.如图,在甲、乙两地之间修一条笔直的公路,从甲地测得公路的走向是北偏东48°.甲、乙两地间同时开工,若干天后,公路准确接通,则乙地所修公路的走向是南偏西___________度.第4题图第5题图第6题图6.如图,机器人从A点,沿着西南方向,行了个2单位,到达B点后观察到原点O在它的南偏东60°的方向上,则原来A的坐标为___________结果保留根号)..求值:sin260°+cos260°=___________.8.在直角三角形ABC中,∠A=90,BC=13,AB=12,则tanB?_________..根据图中所给的数据,求得避雷针CD的长约为_______m..11.如图,太阳光线与地面成60°角,一棵倾斜的大树与地面成30°角,?这时测得大树在地面上的影子约为10米,则大树的高约为________米。
三角函数测试题及答案试题一:一、选择题1. 下列各三角函数式中,值为正数的是 ( )A. B. C. D.2. 若=,且为锐角,则的值等于 ( )A. B. C. D.3. 若=,,则的值为 ( )A. 1B. 2C.D.4. 已知,则 ( )A. B.C. D.5. a=,则成立的是 ( )A. ab>c C. a6. 函数的定义域是( )A. B.C. D.7. 下面三条结论:①存在实数,使成立;②存在实数,使成立;③若cosacosb=0,则其中正确结论的个数为( )A. 0B. 1C. 2D. 38. 函数的值域是 ( )A. [-2,2]B. [-1,2]C. [-1,1]D. [,2]9. 函数y=-x·cosx的部分图象是( )10. 函数f(x)=cos2x+sin(+x)是( )A. 非奇非偶函数B. 仅有最小值的奇函数C. 仅有最大值的偶函数D. 既有最大值又有最小值的偶函数二、填空题1、函数的最小值等于并使函数y 取最小值的x的集合为2、若函数的图象关于直线对称,则函数的值域为3、已知函数三、解答题1、已知,求的值2、在DABC中,已知三边满足,试判定三角形的形状。
试题二:1、若sinα=-5/13,且α为第四象限角,tanα=?(文.6)A.12/5B.-12/5C.5/12D.-5/12解析:主要考察基础知识。
α是第四象限角,所以cosα为正,tanα为负。
cos2α=1-sin2α,且cosα是正数,所以cosα=12/13,t anα=sinα/cosα=-5/12,选D。
2、已知函数f(x)=10√3sin(x/2)*cos(x/2)+10cos2(x/2)1)求f(x)的最小正周期2)将f(x)的函数图像向右平移π/6个单位长度,再向下平移a个单位长度后得到g(x)的函数图像,且函数g(x)的`最大值为2.i)求g(x)的解析式ii)证明存在无穷多互不相同个正整数x0,使得g(x0)>0.解析:1)函数的化简,可以看到两个式子都跟两倍角公式有关系,可以考虑先都变成两倍角。
任意角的三角函数一、选择题:1.使得函数有意义的角在()(A)第一,四象限(B)第一,三象限(C)第一、二象限(D)第二、四象限2.角α、β的终边关于У轴对称,(κ∈Ζ)。
则(A)α+β=2κπ(B)α-β=2κπ(C)α+β=2κπ-π(D)α-β=2κπ-π3.设θ为第三象限的角,则必有()(A)(B)(C)(D)4.若,则θ只可能是()(A)第一象限角(B)第二象限角(C)第三象限角(D)第四象限角5.若且,则θ的终边在()(A)第一象限(B)第二象限(C)第三象限(D)第四象限二、填空题:6.已知α是第二象限角且则2α是第▁▁▁▁象限角,是第▁▁▁象限角。
7.已知锐角α终边上一点A的坐标为(2sina3,-2cos3),则α角弧度数为▁▁▁▁。
8.设则Y的取值范围是▁▁▁▁▁▁▁。
9.已知cosx-sinx<-1,则x是第▁▁▁象限角。
三、解答题:10.已知角α的终边在直线上,求sinα及cot的值。
11.已知Cos(α+β)+1=0, 求证:sin(2α+β)+sinβ=0。
12.已知,求ƒ(1)+ƒ(2)+ƒ(3)+……+ƒ(2000)的值。
同角三角函数的基本关系式及诱导公式一、选择题:1.化简结果是()(A)0 (B)(C)22.若,且,则的值为()或3. 已知,且,则的值为()4. 已知,并且是第一象限角,则的值是()5. 化简的结果是()6. 若且,则角所在的象限是()(A)一、二象限(B)二、三象限(C)一、三象限(D)一、四象限填空题:7.化简▁▁▁▁▁▁。
8.已知,则的值为▁▁▁▁▁▁。
9.=▁▁▁▁▁。
10.若关于的方程的两根是直角三角形两锐角的正弦值,则▁▁▁▁。
解答题:11.已知:,求的值。
12.已知,求证:13.已知,且,求的值。
14.若化简:两角和与差的三角函数1.“”是“”的()(A)充分必要条件(B)必要不充分条件(C)充要条件(D)既不充分也不必要条件2.已知且为锐角,则为()或非以上答案3.设则下列各式正确的是()4.已知,且则的值是()二、填空题:5.已知则的值为6.已知且则7.已知则8.在中,是方程的两根,则三、解答题:9.求值。
三角函数、解三角形专题测试(时间120分钟,满分150分)一、选择题(本大题共12小题,每小题5分,共60分.在每小题给出的四个选项中,只有一项是符合题目要求的.) 1.cos(-17π4)-sin(-17π4)的值是 ( ) A.2 B .- 2 C .0 D.22解析:原式=cos(-4π-π4)-sin(-4π-π4)=cos(-π4)-sin(-π4)=cos π4+sin π4= 2.答案:A 2.已知sin α=2m -5m +1,cos α=-mm +1,且α为第二象限角,则m 的允许值为( ) A.52<m <6 B .-6<m <52 C .m =4 D .m =4或m =32 解析:由sin 2α+cos 2α=1得,(2m -5m +1)2+(-m m +1)2=1,∴m =4或32,又sin α>0,cos α<0,把m 的值代入检验得,m =4. 答案:C3.已知sin(x +π4)=-35,则sin2x 的值等于 ( )A .-725 B.725 C .-1825 D.1825解析:sin(x +π4)=22(sin x +cos x )=-35,所以sin x +cos x =-325,所以(sin x +cos x )2=1+sin2x =1825,故sin2x =-725.答案:A4.设a =sin15°+cos15°,b =sin17°+cos17°,则下列各式中正确的是 ( ) A .a <a 2+b 22<b B .a <b <a 2+b 22C .b <a 2+b 22<aD .b <a <a 2+b 22解析:a =2sin(15°+45°)=2sin60°, b =2sin(17°+45°)=2sin62°,b >a .a 2+b 22=sin 260°+sin 262°>2sin60°sin62°=3sin62°, ∴a 2+b 22>b >a .答案:B5.(2010·惠州模拟)将函数y =sin x 的图象向左平移φ(0≤φ<2π)个单位后,得到函数y =sin(x -π6)的图象,则φ等于 ( )A.π6B.11π6C.7π6D.5π6解析:依题意得y =sin(x -π6)=sin(x -π6+2π)=sin(x +11π6),将y =sin x 的图象向左平移11π6个单位后得到y =sin(x +11π6)的图象,即y =sin(x -π6)的图象. 答案:B6.在△ABC 中,角A ,B 均为锐角,且cos A >sin B ,则△ABC 的形状是 ( ) A .直角三角形 B .锐角三角形 C .钝角三角形 D .等腰三角形 解析:cos A =sin(π2-A )>sin B ,π2-A ,B 都是锐角,则π2-A >B ,A +B <π2,C >π2.答案:C7.给定性质:①最小正周期为π;②图象关于直线x =π3对称.则下列四个函数中,同时具有性质①②的是 ( ) A .y =sin(x 2+π6) B .y =sin(2x +π6)C .y =sin|x |D .y =sin(2x -π6)解析:∵T =2πω=π,∴ω=2.对于选项D ,又2×π3-π6=π2,所以x =π3为对称轴.答案:D8.△ABC 的两边长分别为2,3,其夹角的余弦值为13,则其外接圆的半径为( )A.922B.924C.928 D .9 2解析:由余弦定理得:三角形第三边长为22+32-2×2×3×13=3,且第三边所对角的正弦值为 211()3=223,所以2R =3223⇒R =928.答案:C9.在△ABC 中,角A ,B 所对的边长为a ,b ,则“a =b ”是“a cos A =b cos B ”的 ( ) A .充分不必要条件 B .必要不充分条件 C .充要条件 D .既不充分又不必要条件解析:a =b ⇒A =B ⇒a cos A =b cos B ,条件是充分的;a cos A =b cos B ⇒sin A cos A =sin B cos B ⇒sin2A =sin2B ⇒2A =2B 或2A +2B =π,即A =B 或A +B =π2,故条件是不必要的. 答案:A10.已知函数f (x )=a sin2x +cos2x (a ∈R)图象的一条对称轴方程为x =π12,则a 的值为( )A.12B. 3C.33 D .2 解析:函数y =sin x 的对称轴方程为x =kπ+π2,k ∈Z ,f (x )=a 2+1sin(2x +φ),其中tan φ=1a ,故函数f (x ) 的对称轴方程为2x +φ=kπ+π2,k ∈Z ,而x =π12是其一条对称轴方程,所以2×π12+φ=kπ+π2,k ∈Z ,解得φ=kπ+π3,k ∈Z ,故tan φ=1a =tan(kπ+π3)=3,所以a =33. 答案:C11.已知函数f (x )的部分图象如图所示,则f (x )的解析式可能为 ( )A .f (x )=2cos(x 2-π3)B .f (x )=2cos(4x +π4)C .f (x )=2sin(x 2-π6)D .f (x )=2sin(4x +π4)解析:设函数f (x )=A sin(ωx +φ),由函数的最大值为2知A =2,又由函数图象知该函数的周期T =4×(5π3-2π3)=4π,所以ω=12,将点(0,1)代入得φ=π6,所以f (x )=2sin(12x +π6)=2cos(12x -π3).答案:A12.(2010·抚顺模拟)当0<x <π2时,函数f (x )=1+cos2x +8sin 2x sin2x的最小值为 ( )A .2B .2 3C .4D .4 3解析:f (x )=1+cos2x +8sin 2x sin2x =2cos 2x +8sin 2x 2sin x cos x =cos x sin x +4sin xcos x ≥2cos x sin x ·4sin xcos x=4,当且仅当cos x sin x =4sin x cos x ,即tan x =12时,取“=”,∵0<x <π2,∴存在x 使tan x =12,这时f (x )min =4.答案:C二、填空题(本大题共4小题,每小题4分,共16分,将答案填写在题中的横线上) 13.在△ABC 中,角A ,B ,C 的对边分别为a ,b ,c ,已知B =60°,C =75°,a =4,则b =________.解析:易知A =45°,由正弦定理a sin A =b sin B 得4sin45°=b sin60°,解得b =2 6.答案:2 6 14.计算:cos10°+3sin10°1-cos80°=________.解析:cos10°+3sin10°1-cos80°=2cos(10°-60°)2sin 240°=2cos50°2sin40°= 2. 答案:215.在△ABC 中,已知tan A =3tan B ,则tan(A -B )的最大值为________,此时角A 的大小为________.解析:由于tan(A -B )=tan A -tan B 1+tan A tan B =3tan B -tan B1+3tan B ·tan B =2tan B 1+3tan 2B ≤33.当且仅当1=3tan B 时取“=”号,则tan B =33⇒tan A =3⇒A =60°. 答案:3360°16.如图是函数f (x )=A sin(ωx +φ)(A >0,ω>0,-π<φ<π),x ∈R 的部分图象,则下列命题中,正确命题的序号为________. ①函数f (x )的最小正周期为π2;②函数f (x )的振幅为23;③函数f (x )的一条对称轴方程为x =7π12;④函数f (x )的单调递增区间为[π12,7π12];⑤函数的解析式为f (x )=3sin(2x -2π3). 解析:由图象可知,函数f (x )的最小正周期为(5π6-π3)×2=π,故①不正确;函数f (x )的振幅为3,故②不正确;函数f (x )的一条对称轴方程为x =5π6+π32=7π12,故③正确;④不全面,函数f (x )的单调递增区间应为[π12+2kπ,7π12+2kπ],k ∈Z ;由3sin(2×7π12+φ)=3得2×7π12+φ=π2+2kπ,k ∈Z ,即φ=2kπ-2π3,k ∈Z ,∵-π<φ<π,故k 取0,从而φ=-2π3,故f (x )=3sin(2x -2π3).答案:③⑤三、解答题(本大题共6小题,共74分.解答应写出文字说明、证明过程或演算步骤) 17.(本小题满分12分)已知tan(α+π4)=-3,α∈(0,π2).(1)求tan α的值; (2)求sin(2α-π3)的值.解:(1)由tan(α+π4)=-3可得tan α+11-tan α=-3.解得tan α=2.(2)由tan α=2,α∈(0,π2),可得sin α=255,cos α=55.因此sin2α=2sin αcos α=45,cos2α=1-2sin 2α=-35,sin(2α-π3)=sin2αcos π3-cos2αsin π3=45×12+35×32=4+3310.18.(本小题满分12分)已知函数f (x )=2sin x cos x +3(2cos 2x -1).(1)将函数f (x )化为A sin(ωx +φ)(ω>0,|φ|<π2)的形式,填写下表,并画出函数f (x )在区间[-16π,56π]上的图象;x ωx +φ 0 π2 π 32π 2π f (x )(2)求函数f (x )的单调减区间. 解:(1)f (x )=2sin x cos x +3(2cos 2x -1) =sin2x +3cos2x =2sin(2x +π3).x -π6 π12 π3 7π12 5π6 ωx +φ 0 π2 π 32π 2π f (x )2-2图.(2)由2kπ+π2≤2x +π3≤2kπ+3π2(k ∈Z)得kπ+π12≤x ≤kπ+7π12(k ∈Z),故函数f (x )的单调减区间为[kπ+π12,kπ+7π12](k ∈Z).19.(本小题满分12分)已知函数f (x )=2sin x cos(π2-x )-3sin(π+x )cos x +sin(π2+x )cos x .(1)求函数y =f (x )的最小正周期和最值;(2)指出y =f (x )图象经过怎样的平移变换后得到的图象关于原点对称. 解:(1)f (x )=2sin 2x +3sin x cos x +cos 2x =1+sin 2x +3sin x cos x =1+1-cos2x 2+32sin2x=sin(2x -π6)+32,y =f (x )最小正周期T =π.y =f (x )的最大值为32+1=52,最小值为32-1=12.(2)∵y =32+sin(2x -π6)的图象1232π−−−−−→左移个单位下移个单位y =sin2x 的图象.20.(本小题满分12分)在△ABC 中,角A ,B ,C 的对边分别为a ,b ,c ,cos A +C 2=33.(1)求cos B 的值;(2)若BC BA ·BC =2,b =22,求a 和c 的值. 解:(1)∵cos A +C 2=33,∴sin B 2=sin(π2-A +C 2)=33,∴cos B =1-2sin 2B 2=13.(2)由BA ·BC =2可得a ·c ·cos B =2,又cos B =13,故ac =6,由b 2=a 2+c 2-2ac cos B 可得a 2+c 2=12, ∴(a -c )2=0,故a =c ,∴a =c = 6.21.(本小题满分12分)如图所示,甲船由A 岛出发向北偏东45°的方向做匀速直线航行,速度为152海里/小时,在甲 船从A 岛出发的同时,乙船从A 岛正南40海里处的B 岛 出发,朝北偏东θ(tan θ=12)的方向作匀速直线航行,速度为105海里/小时.(1)求出发后3小时两船相距多少海里?(2)求两船出发后多长时间距离最近?最近距离为多少海里? 解:以A 为原点,BA 所在直线为y 轴建立如图所示 的平面直角坐标系.设在t 时刻甲、乙两船分别在P (x 1,y 1),Q (x 2,y 2).则⎩⎪⎨⎪⎧x 1=152t cos45°=15t y 1=x 1=15t , 由tan θ=12可得,cos θ=255,sin θ=55, 故⎩⎪⎨⎪⎧x 2=105t sin θ=10t ,y 2=105t cos θ-40=20t -40. (1)令t =3,P 、Q 两点的坐标分别为(45,45),(30,20), |PQ |=(45-30)2+(45-20)2=850=534.即出发后3小时两船相距534海里. (2)由(1)的解法过程易知:|PQ |=(x 2-x 1)2+(y 2-y 1)2=(10t -15t )2+(20t -40-15t )2 =50t 2-400t +1 600 =50(t -4)2+800≥202,∴当且仅当t =4时,|PQ |取得最小值20 2.即两船出发后4小时时,相距202海里为两船的最近距离. 22.(本小题满分14分)已知函数f (x )=2cos x sin(x +π3)-32.(1)求函数f (x )的最小正周期T ;(2)若△ABC 的三边a ,b ,c 满足b 2=ac ,且边b 所对角为B ,试求cos B 的取值范围,并确定此时f (B )的最大值. 解:(1)f (x )=2cos x ·sin(x +π3)-32=2cos x (sin x cos π3+cos x sin π3)-32=2cos x (12sin x +32cos x )-32=sin x cos x +3·cos 2x -32=12sin2x +3· 1+cos2x 2-32 =12sin2x +32cos2x =sin(2x +π3).∴T =2π|ω|=2π2=π. (2)由余弦定理cos B =a 2+c 2-b 22ac 得,cos B =a 2+c 2-ac2ac=a 2+c 22ac -12≥2ac 2ac -12=12,∴12≤cos B <1,而0<B <π,∴0<B ≤π3.函数f (B )=sin(2B +π3),∵π3<2B +π3≤π,当2B +π3=π2,即B=π时,f(B)max=1.12。
数学三⾓函数专题测试题(附答案)三⾓函数测试题第I 卷(共50分)⼀. 选择题(每⼩题5分,共50分)1、已知sin α=54, 并且α是第⼆象限⾓, 那么tan α的值为 ( ) A -34 B -43 C 43 D 342、若θθθ则⾓且,02sin ,0cos <>的终边所在象限是 ( )A .第⼀象限B .第⼆象限C .第三象限D .第四象限3、下列函数中,周期为1的奇函数是()A .x y π2sin 21-=B .)32(sin ππ+=x yC .tan2y x π= D .x x y ππcos sin =4、函数y = sin(2x+25π)的图象的⼀条对称轴⽅程是 ( )A x = -2πB x = -4πC x = 8πD x =45π5、函数)2(3cos 2cos )(ππ-≤≤-+-=x x x x f 有()A .最⼤值3,最⼩值2B .最⼤值5,最⼩值3C .最⼤值5,最⼩值2D .最⼤值3,最⼩值815 6、函数y=asinx -bcosx 的⼀条对称轴⽅程为4π=x ,则直线ax -by+c=0的倾斜⾓是()A .45°B .135°C .60°D .120°7、若函数)sin()(?ω+=x x f 的图象(部分)如图所⽰,则?ω和的取值是 ( )A .3,1πω==B .3,1πω-==C .6,21π?ω==D .6,21π?ω-==8、若f ( x ) = tan (x +4π) ,则 A f (-1) > f ( 0 ) > f (1 ) B f (1 ) > f (0 )> f ( – 1 ) C f (0 ) > f (1 ) > f ( – 1 ) D f (0 ) > f ( – 1 ) > f ( 1 ) 9、若sin x 是减函数,且cos x 是增函数,则2x是第()象限⾓ A ⼆ B ⼀或⼆ C ⼆或三 D ⼆或四10、函数y = 12cos 2sin -+x x 的定义域是A [ 0 ,4π] B [ 42,2πππ+k k ] C [4,πππ+k k ] D [432,42ππππ++k k ]第II 卷(共100分)⼆.填空题(每⼩题5分,共25分) 11.已知=-=-ααααcos sin ,45cos sin 则 12.已知等于则)2cos(),,0(,31cos θππθθ+∈=13、函数)4sin(cos )4cos(sin ππ+++=x x x x y 的最⼩正周期T= 。
第四章 三角函数§4-1 任意角的三角函数一、选择题:1.使得函数lg(sin cos )y θθ=有意义的角在( )(A)第一,四象限 (B)第一,三象限 (C)第一、二象限 (D)第二、四象限 2.角α、β的终边关于У轴对称,(κ∈Ζ)。
则(A)α+β=2κπ (B)α-β=2κπ(C)α+β=2κπ-π (D)α-β=2κπ-π 3.设θ为第三象限的角,则必有( )(A)tan cot 22θθ(B)tan cot 22θθ (C)sin cos 22θθ(D)sin cos 22θθ4.若4sin cos 3θθ+=-,则θ只可能是( )(A)第一象限角 (B)第二象限角 (C )第三象限角 (D)第四象限角5.若tan sin 0θθ且0sin cos 1θθ+,则θ的终边在( )(A)第一象限 (B)第二象限 (C)第三象限 (D )第四象限 二、填空题:6.已知α是第二象限角且4sin 5α= 则2α是第▁▁▁▁象限角,2α是第▁▁▁象限角.7.已知锐角α终边上一点A 的坐标为(2sina3,-2cos3),则α角弧度数为▁▁▁▁。
8.设1sin ,(,)sin y x x k k Z xπ=+≠∈则Y 的取值范围是▁▁▁▁▁▁▁。
9.已知cosx-sinx<-1,则x 是第▁▁▁象限角。
三、解答题:10.已知角α的终边在直线y =上,求sin α及cot α的值。
11.已知Cos(α+β)+1=0, 求证:sin (2α+β)+sin β=0。
12.已知()()cos ,5n f n n N π+=∈,求ƒ(1)+ƒ(2)+ƒ(3)+……+ƒ(2000)的值. §4-2 同角三角函数的基本关系式及诱导公式一、选择题:1.()sin 2cos 22ππ⎛⎫--- ⎪⎝⎭化简结果是( )(A)0 (B )1- (C)2sin 2 ()2sin 2D -2.若1sin cos 5αα+=,且0απ,则tan α的值为( ) ()43A - ()34B - ()34C ()43D -或34-3. 已知1sin cos 8αα=,且42ππα,则cos sin αα-的值为( )(A ()34B ()C ()D ±4. 已知4sin 5α=,并且α是第一象限角,则tan α的值是( ) ()43A - ()34B - ()34C ()43D5.的结果是( )()0cos100A ()0cos80B ()0sin80C ()0cos10D6. 若cot ,(0)m m α=≠且cos α,则角α所在的象限是( )(A )一、二象限 (B )二、三象限 (C)一、三象限 (D )一、四象限 填空题:7.化简()()()21sin 2sin 2cos αππαα+-+--=▁▁▁▁▁▁。
三角函数综合测试题学生: 用时: 分数一、选择题:在每小题给出的四个选项中,只有一项是符合题目要求的(本大题共18小题,每小题3分,共54分)1.(08全国一6)2(sin cos )1y x x =--是 ( ) A .最小正周期为2π的偶函数 B .最小正周期为2π的奇函数 C .最小正周期为π的偶函数D .最小正周期为π的奇函数2.(08全国一9)为得到函数πcos 3y x ⎛⎫=+⎪⎝⎭的图象,只需将函数sin y x =的图像( )A .向左平移π6个长度单位 B .向右平移π6个长度单位 C .向左平移5π6个长度单位D .向右平移5π6个长度单位3.(08全国二1)若sin 0α<且tan 0α>是,则α是 ( ) A .第一象限角B . 第二象限角C . 第三象限角D . 第四象限角4.(08全国二10).函数x x x f cos sin )(-=的最大值为 ( ) A .1 B . 2 C .3 D .25.(08安徽卷8)函数sin(2)3y x π=+图像的对称轴方程可能是 ( ) A .6x π=-B .12x π=-C .6x π=D .12x π=6.(08福建卷7)函数y =cos x (x ∈R)的图象向左平移2π个单位后,得到函数y=g(x )的图象,则g(x )的解析式为 ( ) A.-sin x B.sin x C.-cos x D.cos x7.(08广东卷5)已知函数2()(1cos 2)sin ,f x x x x R =+∈,则()f x 是 ( )A 、最小正周期为π的奇函数B 、最小正周期为2π的奇函数 C 、最小正周期为π的偶函数 D 、最小正周期为2π的偶函数8.(08海南卷11)函数()cos 22sin f x x x =+的最小值和最大值分别为 ( )A. -3,1B. -2,2C. -3,32 D. -2,32 9.(08湖北卷7)将函数sin()y x θ=-的图象F 向右平移3π个单位长度得到图象F ′,若F ′的一条对称轴是直线,1x π=则θ的一个可能取值是 ( )A.512πB.512π-C.1112πD.1112π-10.(08江西卷6)函数sin ()sin 2sin2xf x xx =+是 ( )A .以4π为周期的偶函数B .以2π为周期的奇函数C .以2π为周期的偶函数D .以4π为周期的奇函数11.若动直线x a =与函数()sin f x x =和()cos g x x =的图像分别交于M N ,两点,则MN 的最大值为 ( )A .1BCD .212.(08山东卷10)已知πcos sin 6αα⎛⎫-+= ⎪⎝⎭7πsin 6α⎛⎫+ ⎪⎝⎭的值是( ) A. BC .45-D .4513.(08陕西卷1)sin330︒等于 ( ) A.-B .12-C .12D14.(08四川卷4)()2tan cot cos x x x += ( ) A.tan x B.sin x C.cos x D.cot x 15.(08天津卷6)把函数sin ()y x x =∈R 的图象上所有的点向左平行移动3π个单位长度,再把所得图象上所有点的横坐标缩短到原来的12倍(纵坐标不变),得到的图象所表示的函数是 ( ) A .sin 23y x x π⎛⎫=-∈ ⎪⎝⎭R , B .sin 26x y x π⎛⎫=+∈⎪⎝⎭R , C .sin 23y x x π⎛⎫=+∈ ⎪⎝⎭R , D .sin 23y x x 2π⎛⎫=+∈ ⎪⎝⎭R ,16.(08天津卷9)设5sin 7a π=,2cos 7b π=,2tan 7c π=,则 ( ) A .a b c <<B .a c b <<C .b c a <<D .b a c <<17.(08浙江卷2)函数2(sin cos )1y x x =++的最小正周期是 ( )A.2π B .π C.32πD.2π 18.(08浙江卷7)在同一平面直角坐标系中,函数])20[)(232cos(ππ,∈+=x x y 的图象和直线21=y 的交点个数是 ( )A.0B.1C.2D.4 1-18题答案:1.D2.C3.C4.B5.B6.A7.D8.C9.A 10.A 11.B 12.C 13.B 14.D 15.C 16.D 17.B 18.C二、填空题:把答案填在答题卡相应题号后的横线上(本大题共5小题,每小题3分,共 15分).19.(08北京卷9)若角α的终边经过点(12)P -,,则tan 2α的值为 . 20.(08江苏卷1)()cos 6f x x πω⎛⎫=-⎪⎝⎭的最小正周期为5π,其中0ω>,则ω= . 21.(08辽宁卷16)设02x π⎛⎫∈ ⎪⎝⎭,,则函数22sin 1sin 2x y x +=的最小值为 .22.(08浙江卷12)若3sin()25πθ+=,则cos2θ=_________。
23.(08上海卷6)函数f (x )=3sin x +sin(π2+x )的最大值是19-23题答案: 19.34 20. 10 21.3 22. 257- 23.2 三、解答题:解答应写出文字说明、证明过程或演算步骤(本大题共8小题,共81分) 24. (08四川卷17)求函数2474sin cos 4cos 4cos y x x x x =-+-的最大值与最小值。
24. 解:2474sin cos 4cos 4cos y x x x x =-+-()2272sin 24cos 1cos x x x =-+- 2272sin 24cos sin x x x =-+272sin 2sin 2x x =-+()21sin 26x =-+由于函数()216z u =-+在[]11-,中的最大值为()2max 11610z =--+= 最小值为()2min 1166z =-+=故当sin 21x =-时y 取得最大值10,当sin 21x =时y 取得最小值6【点评】:此题重点考察三角函数基本公式的变形,配方法,符合函数的值域及最值; 【突破】:利用倍角公式降幂,利用配方变为复合函数,重视复合函数中间变量的范围是关键;25. (08北京卷15)已知函数2π()sin sin 2f x x x x ωωω⎛⎫=+⎪⎝⎭(0ω>)的最小正周期为π.(Ⅰ)求ω的值;(Ⅱ)求函数()f x 在区间2π03⎡⎤⎢⎥⎣⎦,上的取值范围.25. 解:(Ⅰ)1cos 2()22x f x x ωω-=112cos 222x x ωω=-+π1sin 262x ω⎛⎫=-+ ⎪⎝⎭.因为函数()f x 的最小正周期为π,且0ω>, 所以2ππ2ω=,解得1ω=. (Ⅱ)由(Ⅰ)得π1()sin 262f x x ⎛⎫=-+ ⎪⎝⎭. 因为2π03x ≤≤, 所以ππ7π2666x --≤≤,所以1πsin 2126x ⎛⎫-- ⎪⎝⎭≤≤, 因此π130sin 2622x ⎛⎫-+ ⎪⎝⎭≤≤,即()f x 的取值范围为302⎡⎤⎢⎥⎣⎦,.26. (08天津卷17)已知函数22s (in cos s 1)2co f x x x x ωωω++=(,0x R ω∈>)的最小值正周期是2π. (Ⅰ)求ω的值; (Ⅱ)求函数()f x 的最大值,并且求使()f x 取得最大值的x 的集合.26. 解:()242sin 224sin 2cos 4cos 2sin 222cos 2sin 12sin 22cos 12+⎪⎭⎫ ⎝⎛+=+⎪⎭⎫ ⎝⎛+=++=+++⋅=πωπωπωωωωωx x x x x x xx f 由题设,函数()x f 的最小正周期是2π,可得222πωπ=,所以2=ω.(Ⅱ)由(Ⅰ)知,()244sin 2+⎪⎭⎫ ⎝⎛+=πx x f .当πππk x 2244+=+,即()Z k k x ∈+=216ππ时,⎪⎭⎫ ⎝⎛+44sin πx 取得最大值1,所以函数()x f 的最大值是22+,此时x 的集合为⎭⎬⎫⎩⎨⎧∈+=Z k k x x ,216|ππ27. (08安徽卷17)已知函数()cos(2)2sin()sin()344f x x x x πππ=-+-+ (Ⅰ)求函数()f x 的最小正周期和图象的对称轴方程 (Ⅱ)求函数()f x 在区间[,]122ππ-上的值域27. 解:(1)()cos(2)2sin()sin()344f x x x x πππ=-+-+1cos 22(sin cos )(sin cos )2x x x x x x =++-+221cos 22sin cos 2x x x x =++-1cos 22cos 22x x x =+-sin(2)6x π=- 2T 2ππ==周期∴ (2)5[,],2[,]122636x x πππππ∈-∴-∈- 因为()sin(2)6f x x π=-在区间[,]123ππ-上单调递增,在区间[,]32ππ上单调递减,所以当3x π=时,()f x 取最大值 1又1()()12222f f ππ-=-<=,∴当12x π=-时,()f x 取最小值2- 所以 函数 ()f x 在区间[,]122ππ-上的值域为[2-28. (08陕西卷17)已知函数2()2sin cos 444x x xf x =-. (Ⅰ)求函数()f x 的最小正周期及最值;(Ⅱ)令π()3g x f x ⎛⎫=+⎪⎝⎭,判断函数()g x 的奇偶性,并说明理由. 28. 解:(Ⅰ)()f x sin22x x =π2sin 23x ⎛⎫=+ ⎪⎝⎭. ()f x ∴的最小正周期2π4π12T ==. 当πsin 123x ⎛⎫+=-⎪⎝⎭时,()f x 取得最小值2-;当πsin 123x ⎛⎫+= ⎪⎝⎭时,()f x 取得最大值2. (Ⅱ)由(Ⅰ)知π()2sin 23x f x ⎛⎫=+⎪⎝⎭.又π()3g x f x ⎛⎫=+ ⎪⎝⎭.∴1ππ()2sin 233g x x ⎡⎤⎛⎫=++ ⎪⎢⎥⎝⎭⎣⎦π2sin 22x ⎛⎫=+ ⎪⎝⎭2cos 2x =. ()2cos 2cos ()22x x g x g x ⎛⎫-=-== ⎪⎝⎭.∴函数()g x 是偶函数.29. 在△ABC 中,内角,,A B C 所对的边分别为,,a b c ,已知sin (tan tan )tan tan B A C A C +=.(Ⅰ)求证:,,a b c 成等比数列;(Ⅱ)若1,2a c ==,求△ABC 的面积S .解:(I)由已知得:sin (sin cos cos sin )sin sin B A C A C A C +=, sin sin()sin sin B A C A C +=, 2sin sin sin B A C =,再由正弦定理可得:2b ac =, 所以,,a b c 成等比数列.(II)若1,2a c ==,则22b ac ==,∴2223cos 24a c b B ac +-==,sin C =, ∴△ABC的面积11sin 1222S ac B ==⨯⨯=. 30. 函数()sin()16f x A x πω=-+(0,0A ω>>)的最大值为3, 其图像相邻两条对称轴之间的距离为2π, (1)求函数()f x 的解析式; (2)设(0,)2πα∈,则()22f α=,求α的值 1)1322..2()2sin(2) 1.226A A T T f x x T ππππω+=∴=∴==∴==∴=-+解:(,,又函数图象相邻对称轴间的距离为半个周期,, 12()2sin()12,sin(),26620,,,.2663663f αππααπππππππαααα=-+=∴-=<<∴-<-<∴-=∴=()31.已知函数21()cossin cos 2222x x x f x =--. (Ⅰ)求函数()f x 的最小正周期和值域;(Ⅱ)若()f α=,求sin 2α的值. (1)由已知,f(x)=212x cos 2x sin 2x cos 2-- 21sinx 21cosx 121--+=)()(4x cos 22π+=所以f(x)的最小正周期为2π,值域为⎥⎥⎦⎤⎢⎣⎡-22,22,(2)由(1)知,f(α)=,)(10234cos 22=+πα 所以cos(534=+πα). 所以)()(42cos 22cos 2sin πααπα+-=+-= 257251814cos 212=-=+-=)(πα,。