乳制品生产工艺流程图
- 格式:doc
- 大小:23.50 KB
- 文档页数:2
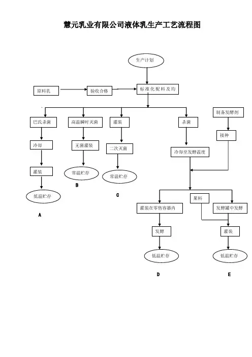
慧元乳业有限公司液体乳生产工艺流程图B CAD E生产计划原料乳标准化配料及均巴氏杀菌冷却 灌装常温贮存 验收合格杀菌冷却至发酵温度接种 灌装在零售容器内发酵罐中发酵果料灌装发酵高温瞬时灭菌灌装无菌灌装 常温贮存二次灭菌低温贮存 制备发酵剂低温贮存低温贮存备注:一.序号“A,B,C,D,E”分别代表巴氏杀菌乳生产工艺流程、超高温瞬时灭菌方式工艺流程、二次灭菌方式工艺流程、凝固型酸奶工艺流程、搅拌型酸奶工艺流程。
二.关键设备及相应参数:1.原奶验收:丹麦福斯公司MSC4000原奶检测仪,200个/h;可同时检测原料奶蛋白质、脂肪、乳糖、非脂乳固体、冰点等七个指标;2.标准化:奶油分离机,转速为5890r/min,生产能力为5000L/h;3.均质机:均质温度为60℃-70℃,压力为15-35MPa;4.巴氏杀菌:板式热交换器,杀菌参数为75℃-85℃,10s-15s;5.超高温瞬时灭菌:UHT灭菌机,灭菌参数为137℃-139℃,3s-4s;6.二次灭菌:灭菌釜,灭菌参数为85℃-121℃,15min-30min;7.发酵:42℃-43℃恒温发酵;8.冷却贮存:1℃-10℃。
车间1层原料收购,化验入库。
成品检验出库。
车间2层无菌化包装车间。
车间3层原料加工,分拣,破壳,精炼。
慧元乳业有限公司含乳饮料及植物蛋白饮料生产工艺流程图A B备注:一.序号“A ,B ”分别代表“一般杀菌工艺流程和高温高压灭菌工艺流程”。
二.关键设备及相应参数:1.均质机:均质压力为20-35Mpa ,温度为60℃—70℃; 2.一般杀菌温度:75℃-85℃,10s-15s ;3.高温高压灭菌温度:85℃-121℃,15min-30min ; 4.冷却贮存:1℃-10℃。
鲜乳或复原乳、酸牛乳 调配 均质杀菌 灌装 冷却贮存 植物果实、种子、果仁制浆、过滤灌装高温高压灭菌常温贮存生产计划慧元乳业有限公司田湖产业聚集区项目简介企业全称:洛阳慧元乳业有限公司投资金额:1500万主要产品:慧元牌中老年奶粉,学生奶粉,加锌奶粉,全脂奶粉。
乳制品生产工艺流程图 Document serial number【KK89K-LLS98YT-SS8CB-SSUT-SST108】
乳制品生产工艺流程图
一、液体乳
1.巴氏杀菌乳
原料乳验收→净乳→冷藏→标准化→均质→巴氏杀菌→冷却→灌装→冷藏
2.灭菌乳
原料乳验收→净乳→冷藏→标准化→预热→均质→超高温瞬时灭菌(或杀菌)→冷却→无菌灌装(或保持灭菌)→成品储存3.酸牛乳
凝固型:原料乳验收→净乳→冷藏→标准化→均质→杀菌→冷却→接入发酵菌种→灌装→发酵→冷却→冷藏
搅拌型:原料乳验收→净乳→冷藏→标准化→均质→杀菌→冷却→接入发酵菌种→发酵→添加辅料→冷却→灌装→冷藏
二、乳粉
1.全脂乳粉、脱脂乳粉、全脂加糖乳粉
全脂(全脂加糖)乳粉:原料乳验收→净乳→冷藏→标准化(全脂加糖乳粉)→冷藏→杀菌浓缩→喷雾干燥→筛粉晾粉或经过流化床→包装
脱脂乳粉:原料乳验收→净乳→标准化(分离脂肪)→(脱脂乳)冷藏→杀菌浓缩→喷雾干燥→筛粉晾粉或经过流化床→包装2.调味乳粉
原料乳验收→净乳→杀菌→冷藏→标准化(添加营养强化剂等其他辅料)→均质→冷藏→杀菌浓缩→喷雾干燥→筛粉晾粉(或经过流化床)→包装
三、其他乳制品
1.炼乳
原料乳验收→净乳→冷藏→标准化→预热杀菌→真空浓缩→冷却结晶→装罐→成品储存
2.奶油
原料乳→净乳→脂肪分离→稀奶油→杀菌→发酵→成熟→搅拌→排除酪乳→奶油粒→洗涤→压炼→包装
3.干酪
原料乳→净乳→冷藏→标准化→杀菌→冷却→凝乳→凝块切割→搅拌→排出乳清→成型压榨→成熟→包装
注:红色字体为关键控制环节。
消毒鲜乳的加工标准化乳→预热均质→杀菌或灭菌→冷却→灌装→封口→装箱→冷藏灭菌乳生产工艺原料乳→超高温灭菌→无菌平衡贮罐→无菌灌装超高温灭菌:原料乳(5℃)→预热至75℃→蒸汽直接加热至140℃冷却至76℃→均质(压力15~25MPa)→冷却至20℃→无菌贮罐→无菌包装。
凝固型酸乳原料乳预处理→标准化→配料→预热→均质→杀菌→冷却→加发酵剂→装瓶→发酵→冷却→后熟→冷藏搅拌型原料乳验收、过滤、配料搅拌、预热(53 ~ 60℃)、均质(25MPa)、杀菌(90℃/5min)、冷却(45℃)、发酵(3%~5%)、接种发酵(41 ~44℃/2.5 ~4.0h)、冷却、搅拌混合、冷却后熟(5 ~ 8℃)乳酸菌饮料的加工方法原料乳、、混合、杀菌、、冷却、发酵罐内发酵、、冷却、搅拌、、混合、调配(果汁、糖溶液、稳定剂、水)、、杀菌冷却、成品乳酸菌制剂的加工新鲜牛乳→离心分离→脱脂乳→杀菌→冷却→添加发酵剂→发酵→检验→干燥这个与分离提纯相关:1、利用进行浓缩与提纯的乳品成分能够保留乳品原有的风味,且加工温度较低,可防止乳品中的营养成分被高温破坏和高温环境下蛋白质的变性,节省了大量的能源,节省了大量的能源。
2、采用超滤(UF)技术后,可将低分子的水、盐和乳糖从乳清中分离,浓缩物中蛋白质、乳糖和盐的比例明显有所改善。
因为牛奶分离浓缩设备的超滤装置可以完全截留来自于牛奶或乳清中的蛋白质,而乳糖及其他物质可完全透过,因此可采用“稀释超滤”的工艺制取高蛋白的脱脂奶粉和脱盐、脱乳糖的乳清粉,用于生产冰淇淋和酸奶及软奶酪和其它发酵乳制品。
3、为了在将乳品中乳脂肪和细菌完全截留的同时使酪蛋白完全透过,可选用1.4μm孔径的微滤(MF)膜。
高温短时杀菌与微滤(MF)结合起来,可将热处理强度降低,提高无菌乳制品的质量。
生物工程下游技术,即生化分离工程,是指发酵产品的分离、纯化等游工程可分为6个阶段:◇发酵液的预处理(加热、调pH值、絮凝)◇细胞分离(过滤、离心)◇细胞的破碎分离(匀浆、研磨、离心、双水相萃取)◇初步纯化(沉淀、离子交换、萃取、超滤、蒸发)◇高度纯化(沉淀、超滤、结晶、色谱分离)◇成品加工(浓缩、无菌过滤、干燥)。
乳制品生产工艺流程图集团档案编码:[YTTR-YTPT28-YTNTL98-UYTYNN08]
乳制品生产工艺流程图
一、液体乳
1.巴氏杀菌乳
原料乳验收→净乳→冷藏→标准化→均质→巴氏杀菌→冷却→灌装→冷藏
2.灭菌乳
原料乳验收→净乳→冷藏→标准化→预热→均质→超高温瞬时灭菌(或杀菌)→冷却→无菌灌装(或保持灭菌)→成品储存3.酸牛乳
凝固型:原料乳验收→净乳→冷藏→标准化→均质→杀菌→冷却→接入发酵菌种→灌装→发酵→冷却→冷藏
搅拌型:原料乳验收→净乳→冷藏→标准化→均质→杀菌→冷却→接入发酵菌种→发酵→添加辅料→冷却→灌装→冷藏
二、乳粉
1.全脂乳粉、脱脂乳粉、全脂加糖乳粉
全脂(全脂加糖)乳粉:原料乳验收→净乳→冷藏→标准化(全脂加糖乳粉)→冷藏→杀菌浓缩→喷雾干燥→筛粉晾粉或经过流化床→包装
脱脂乳粉:原料乳验收→净乳→标准化(分离脂肪)→(脱脂乳)冷藏→杀菌浓缩→喷雾干燥→筛粉晾粉或经过流化床→包装2.调味乳粉
原料乳验收→净乳→杀菌→冷藏→标准化(添加营养强化剂等其他辅料)→均质→冷藏→杀菌浓缩→喷雾干燥→筛粉晾粉(或经过流化床)→包装
三、其他乳制品
1.炼乳
原料乳验收→净乳→冷藏→标准化→预热杀菌→真空浓缩→冷却结晶→装罐→成品储存
2.奶油
原料乳→净乳→脂肪分离→稀奶油→杀菌→发酵→成熟→搅拌→排除酪乳→奶油粒→洗涤→压炼→包装
3.干酪
原料乳→净乳→冷藏→标准化→杀菌→冷却→凝乳→凝块切割→搅拌→排出乳清→成型压榨→成熟→包装
注:红色字体为关键控制环节。
牛奶生产工艺流程图与工艺说明一、牛奶生产工艺流程图二、工艺说明(一)原奶控制系统:1、原奶检验:依据《生鲜牛乳》企业标准规定,主要针对感官、酸度、脂肪、全乳固体、掺假(添加剂、类蛋白质物质、亚硝酸盐)、酒精实验、煮沸实验、蛋白质等指标进行检测。
检验合格的牛奶才能进入生产环节。
2、过滤:原奶经过双联过滤器除去一些较大杂质。
特别是收奶过程中容器内部杂质,不小心掺入的杂质等。
3、冷却:为了防止染菌的目的,除去杂质之后的牛奶,经过板换用冰水将收来的新鲜牛乳降温到1-4℃以下,然后进入生产前贮存的系统。
4、贮存:牛奶在原奶罐中暂存,注意保证原奶罐的周边卫生,在24小时内应尽早用于生产,如超过24小时则应进行感官指标、酸度、酒精实验检测。
(二)净乳处理工艺:1、预热:预热温度约为50 ℃-55℃。
采用巴氏杀菌环节的高温奶换热。
2、标准化(净乳环节):用净乳机对原奶进行杂质分离,直到符合要求。
3、浓缩:如果全乳固体低于标准则要对其进行浓缩。
浓缩后纯牛奶全乳固体应符合《纯牛奶半成品质量标准》中的规定,方可进入下一环节进行生产。
4、巴氏杀菌:要求杀菌条件为80℃ -90℃,15秒。
巴氏杀菌的目的是在保证牛奶品质不受破坏的同时,尽可能达到牛奶灭菌的效果。
由于80℃-90℃达不到将蛋白凝固的效果,所以灭菌时间相对较长。
5、冷却:通过板换用冰水将牛奶冷却至1-8℃。
巴氏杀菌之后需要对奶品进行降温,降温过程与本工段的预热环节采用换热器换热,目的是整个系统的热量尽可能少地损失,达到节省标煤或者天然气的效果。
换热之后,牛奶大约35-40 ℃左右,需要继续用冰水将牛奶的温度降低到1-8℃贮存。
(三)贮存:暂存的牛奶,在12小时内应尽早用于生产,如超过12小时则每隔2小时进行感官、酸度、酒精实验检测。
(四)UHT加热灭菌:1、预热:超高温杀菌工艺段预热温度为65℃-75℃。
采用UHT灭菌工艺环节的高温牛奶进行换热。
2、真空脱气:在脱气罐中进行,脱去空气、饲料杂味、杂味等。
牛奶工艺流程图一、工艺规程收奶系统:(原奶过磅→原奶检验→过滤→冷却)→贮存→标准化系统:(预热→净乳→浓缩→巴氏杀菌→冷却)→贮存→UHT工艺段:(预热→脱气→均质→预保温→UHT灭菌→冷却)→无菌输送→无菌灌装→喷码→装箱→码垛→保温实验→出厂二、工艺说明1、收奶系统:1) 原奶检验:依据《生鲜牛乳》企业标准规定,主要针对感官、酸度、脂肪、全乳固体、掺假(水、碱、淀粉、盐、亚硝酸盐)、酒精实验、煮沸实验、蛋白质等几项指标进行检测。
2) 过滤:原奶经过双联过滤器除去一些较大杂质。
收完奶后要将过滤器拿下检查并清洗。
3) 冷却:经过板换用冰水将收来的新鲜牛乳降温到1-4℃以下。
4) 贮存:牛奶在原奶罐中暂存,在24小时内应尽早用于生产,如超过24小时则应进行感官指标、酸度、酒精实验检测。
2、标准化系统:1) 预热:预热温度约为50 ℃-55℃。
2) 标准化:用净乳机对原奶进行杂质分离。
3) 浓缩:如果全乳固体低于标准则要对其进行浓缩。
浓缩后纯牛奶全乳固体应符合《林甸伊利纯牛奶半成品质量标准》中的规定。
4) 巴氏杀菌:要求杀菌条件为80℃ -90℃,15秒。
5) 冷却:通过板换用冰水将牛奶冷却至1-8℃。
3、贮存:牛奶在奶仓中暂存,在12小时内应尽早用于生产,如超过12小时则每隔2小时进行感官指标、酸度、酒精实验检测。
4、UHT工艺段:1) 预热:超高温杀菌工艺段预热温度为65℃-75℃。
2) 真空脱气:在脱气罐中进行,脱去空气、饲料杂味、豆腥味等。
3) 均质:均质温度为70-75℃,均质压力为250bar(先调二级压力手柄,调至50bar,再调一级压力手柄,调至250bar)。
4) 预保温:要求90-95 ℃保持60秒,以增加蛋白的稳定性。
5) UHT杀菌:要求137℃-142℃,4秒钟,具体参数要求如下:a、脱气前的温度:70℃-85℃ b、脱气罐压力:-0.3bar- -0.6bar c 、UHT杀菌温度:137℃-142℃保持4s. 6) 冷却:用循环冷却水将牛奶冷却至20℃- 25℃。
乳制品生产工艺流程图
一、液体乳
1.xx杀菌乳
原料乳验收→净乳→冷藏→标准化→均质→巴氏杀菌→冷却→灌装→冷藏
2.灭菌乳
原料乳验收→净乳→冷藏→标准化→预热→均质→超高温瞬时灭菌(或杀菌)→冷却→无菌灌装(或保持灭菌)→成品储存
3.酸xx
凝固型:
原料乳验收→净乳→冷藏→标准化→均质→杀菌→冷却→接入发酵菌种→灌装→发酵→冷却→冷藏
搅拌型:
原料乳验收→净乳→冷藏→标准化→均质→杀菌→冷却→接入发酵菌种→发酵→添加辅料→冷却→灌装→冷藏
二、乳粉
1.全脂乳粉、脱脂乳粉、全脂加糖乳粉
全脂(全脂加糖)乳粉:
原料乳验收→净乳→冷藏→标准化(全脂加糖乳粉)→冷藏→杀菌浓缩→喷雾干燥→筛粉晾粉或经过流化床→包装
脱脂乳粉:
原料乳验收→净乳→标准化(分离脂肪)→(脱脂乳)冷藏→杀菌浓缩→喷雾干燥→筛粉晾粉或经过流化床→包装
2.调味乳粉
原料乳验收→净乳→杀菌→冷藏→标准化(添加营养强化剂等其他辅料)→均质→冷藏→杀菌浓缩→喷雾干燥→筛粉晾粉(或经过流化床)→包装三、其他乳制品
1.炼乳
原料乳验收→净乳→冷藏→标准化→预热杀菌→真空浓缩→冷却结晶→装罐→成品储存
2.奶油
原料乳→净乳→脂肪分离→稀奶油→杀菌→发酵→成熟→搅拌→排除酪乳→奶油粒→洗涤→压炼→包装
3.干酪
原料乳→净乳→冷藏→标准化→杀菌→冷却→凝乳→凝块切割→搅拌→排出乳清→成型压榨→成熟→包装
注:
红色字体为关键控制环节。
乳制品生产工艺流程图
一、液体乳
1.巴氏杀菌乳
原料乳验收→净乳→冷藏→标准化→均质→巴氏杀菌→冷却→灌装→冷藏
2.灭菌乳
原料乳验收→净乳→冷藏→标准化→预热→均质→超高温瞬时灭菌(或杀菌)→冷却→无菌灌装(或保持灭菌)→成品储存3.酸牛乳
凝固型:原料乳验收→净乳→冷藏→标准化→均质→杀菌→冷却→接入发酵菌种→灌装→发酵→冷却→冷藏
搅拌型:原料乳验收→净乳→冷藏→标准化→均质→杀菌→冷却→接入发酵菌种→发酵→添加辅料→冷却→灌装→冷藏
二、乳粉
1.全脂乳粉、脱脂乳粉、全脂加糖乳粉
全脂(全脂加糖)乳粉:原料乳验收→净乳→冷藏→标准化(全脂加糖乳粉)→冷藏→杀菌浓缩→喷雾干燥→筛粉晾粉或经过流化床→包装
脱脂乳粉:原料乳验收→净乳→标准化(分离脂肪)→(脱脂乳)冷藏→杀菌浓缩→喷雾干燥→筛粉晾粉或经过流化床→包装2.调味乳粉
原料乳验收→净乳→杀菌→冷藏→标准化(添加营养强化剂等其他辅料)→均质→冷藏→杀菌浓缩→喷雾干燥→筛粉晾粉(或经过流化床)→包装
三、其他乳制品
1.炼乳
原料乳验收→净乳→冷藏→标准化→预热杀菌→真空浓缩→冷却结晶→装罐→成品储存
2.奶油
原料乳→净乳→脂肪分离→稀奶油→杀菌→发酵→成熟→搅拌→排除酪乳→奶油粒→洗涤→压炼→包装
3.干酪
原料乳→净乳→冷藏→标准化→杀菌→冷却→凝乳→凝块切割→搅拌→排出乳清→成型压榨→成熟→包装
注:红色字体为关键控制环节。
乳制品生产工艺流程图
一、液体乳
1.巴氏杀菌乳
原料乳验收→净乳→冷藏→标准化→均质→巴氏杀菌→冷却→灌装→冷藏
2.灭菌乳
原料乳验收→净乳→冷藏→标准化→预热→均质→超高温瞬时灭菌(或杀菌)→冷却→无菌灌装(或保持灭菌)→成品储存3.酸牛乳
凝固型:原料乳验收→净乳→冷藏→标准化→均质→杀菌→冷却→接入发酵菌种→灌装→发酵→冷却→冷藏
搅拌型:原料乳验收→净乳→冷藏→标准化→均质→杀菌→冷却→接入发酵菌种→发酵→添加辅料→冷却→灌装→冷藏
二、乳粉
1.全脂乳粉、脱脂乳粉、全脂加糖乳粉
全脂(全脂加糖)乳粉:原料乳验收→净乳→冷藏→标准化(全脂加糖乳粉)→冷藏→杀菌浓缩→喷雾干燥→筛粉晾粉或经过流化床→包装
脱脂乳粉:原料乳验收→净乳→标准化(分离脂肪)→(脱脂乳)冷藏→杀菌浓缩→喷雾干燥→筛粉晾粉或经过流化床→包装2.调味乳粉
原料乳验收→净乳→杀菌→冷藏→标准化(添加营养强化剂等其他辅料)→均质→冷藏→杀菌浓缩→喷雾干燥→筛粉晾粉(或经过流化床)→包装
三、其他乳制品
1.炼乳
原料乳验收→净乳→冷藏→标准化→预热杀菌→真空浓缩→冷却结晶→装罐→成品储存
2.奶油
原料乳→净乳→脂肪分离→稀奶油→杀菌→发酵→成熟→搅拌→排除酪乳→奶油粒→洗涤→压炼→包装
3.干酪
原料乳→净乳→冷藏→标准化→杀菌→冷却→凝乳→凝块切割→搅拌→排出乳清→成型压榨→成熟→包装
注:红色字体为关键控制环节。
纯牛奶生产工艺流程图原奶的检验 过滤 冷却储存预热分离 巴氏杀菌冷却 单效降膜蒸发小料储存调配 小料采购均质冷却脱脂乳均质入库储存 包材消毒 UHT 灭菌冷却 无菌输送 无菌灌装 运输销售包装 入库暂存包材采购保温检验无菌罐 无菌输送标准化巴氏罐暂存预热脱汽、均质 预保温 U H T 系统灭菌贴吸管检验结合格不合格无菌罐系统消料 罐维生素D 受限纯牛奶系列工艺描述一、工艺规程收奶系统:(原奶过磅→原奶检验→收奶→计量→过滤→冷却)→贮存→标准化系统:(预热→分离→部分均质→浓缩→巴氏杀菌→冷却)→贮存→配料系统(高钙奶、高钙低脂奶产品)→UHT前储罐贮存→UHT工艺段:(预热→脱气→均质→预保温→UHT灭菌→冷却)→无菌罐贮存→无菌灌装(保温实验)→贴吸管→装箱→喷码→提升→码垛→暂存七天→出厂二、工艺说明1、收奶系统:(1)原奶检验:主要针对感官、酸度、脂肪、全乳固体、掺假(水、碱、淀粉、盐、亚硝酸盐)、酒精实验、煮沸实验、蛋白质等几项指标进行检测。
(2)收奶:收奶温度见《生鲜牛乳》企业标准规定,检查次批奶的时间记录。
收完后要采综合样要检测。
注意:新奶与旧奶不能混储;生产纯牛奶的原奶与生产乳酸奶的原奶不能混储。
(3)计量:计量设备用在线体积流量计。
利用在线体积流量计可直接读出收奶时的流量。
(4)过滤:原奶经过双联过滤器除去一些较大杂质。
当前后压力差达到1bar 时应切换清洗;收完奶后要将过滤器拿下检查并清洗。
(5)冷却:经过板换用冰水将收来的新鲜牛乳降温到4℃以下。
(6)贮存:牛奶在原奶罐中暂存,在24小时内应尽早用于生产,如超过24小时则应进行感官指标、酸度、酒精实验检测。
2、标准化系统:(1)预热:预热温度约为50℃-55℃。
(2)标准化:用分离机对原奶进行乳脂肪分离,然后将部分脱脂奶与分离出的部分(或全部)稀奶油重新混合,进行均质,均质压力为200bar,然后再与另一部分脱脂奶混合。
(注:最终使浓缩后的牛奶脂肪含量符合《纯牛奶半成品质量标准》中的规定)。
一、工艺流程原奶检验→计量→收奶→过滤→缓存→分离→冷却→贮存→预热→闪蒸→预杀菌→冷却→贮存→配料→贮存→预热→脱气→均质→超高温杀菌→冷却→灌装→装箱→保温实验→出厂二、工艺说明1、原奶检验:主要针对酸度、脂肪、全乳固体、掺假(碱、双氧水、盐、硝盐、Na2S2O3等)、酒精实验、煮沸实验、蛋白质等几项指标进行检测。
2、计量:主要设备为电子汽车衡。
3、收奶:收奶温度不超过8℃。
4、过滤:利用过滤器进行过滤。
5、缓冲:利用缓冲罐进行缓冲延长分离机工作时间。
6、分离:利用离心力出去牛乳中的机械杂质7、冷却:开启供奶泵,当冷板内有奶后,打开冰水阀门(防止漏冰水)。
经过板换将收来的新鲜牛乳降温到5℃以下。
8、贮存:牛奶在奶仓中暂存,奶仓每半小时开搅拌5分钟,牛奶应在12小时内应尽早用于生产。
如存储时间超过12小时,生产每2小时取样送化验室检测一次,检验项目主要为酒精实验及酸度。
8、预热:预热温度约为50℃-60℃。
9、闪蒸:按照产品指标要求进行调节控制避免产品指标随意波动。
10、预杀菌:将牛奶在85℃/15S的条件下进行杀菌。
11、冷却:将预杀菌后的牛奶通过换热器冷却至5℃以下。
12、贮存:如果不直接生产,可以贮存在3个30T奶仓中,要做到冷板打循环,奶温保持在8℃以下。
尽快用于生产,时间不超过12小时。
13、配料:(1)将约配料量2吨牛奶加热至58℃,缓慢加入小料充分搅拌,至完全溶解。
(2)均质:对上述混合均匀的物料进行均质,要求均质压力为180bar(先调二级使压力表指示为30bar,再调一级使压力表指示为 180bar)。
(3)冷却:通过换热器将物料冷却至4℃以下。
(4)混合:将溶解小料所用的2吨牛奶和8吨牛奶在半成品罐中混合均匀。
(5)均匀搅拌后检验配料的各项指标。
14、贮存:将配好的物料温度保持在5℃以下,6小时以内用于生产,贮存期间将搅拌一直开启,保证物料均匀。
15、预热:此时已进入超高温杀菌工艺段,预热温度为80℃- 90℃。
牛奶生产工艺流程图与工艺说明一、牛奶生产工艺流程图二、工艺说明(一)原奶控制系统:1、原奶检验:依据《生鲜牛乳》企业标准规定,主要针对感官、酸度、脂肪、全乳固体、掺假(添加剂、类蛋白质物质、亚硝酸盐)、酒精实验、煮沸实验、蛋白质等指标进行检测。
检验合格的牛奶才能进入生产环节。
2、过滤:原奶经过双联过滤器除去一些较大杂质。
特别是收奶过程中容器内部杂质,不小心掺入的杂质等。
3、冷却:为了防止染菌的目的,除去杂质之后的牛奶,经过板换用冰水将收来的新鲜牛乳降温到1-4℃以下,然后进入生产前贮存的系统。
4、贮存:牛奶在原奶罐中暂存,注意保证原奶罐的周边卫生,在24小时内应尽早用于生产,如超过24小时则应进行感官指标、酸度、酒精实验检测。
(二)净乳处理工艺:1、预热:预热温度约为50 ℃-55℃。
采用巴氏杀菌环节的高温奶换热。
2、标准化(净乳环节):用净乳机对原奶进行杂质分离,直到符合要求。
3、浓缩:如果全乳固体低于标准则要对其进行浓缩。
浓缩后纯牛奶全乳固体应符合《纯牛奶半成品质量标准》中的规定,方可进入下一环节进行生产。
4、巴氏杀菌:要求杀菌条件为80℃ -90℃,15秒。
巴氏杀菌的目的是在保证牛奶品质不受破坏的同时,尽可能达到牛奶灭菌的效果。
由于80℃-90℃达不到将蛋白凝固的效果,所以灭菌时间相对较长。
5、冷却:通过板换用冰水将牛奶冷却至1-8℃。
巴氏杀菌之后需要对奶品进行降温,降温过程与本工段的预热环节采用换热器换热,目的是整个系统的热量尽可能少地损失,达到节省标煤或者天然气的效果。
换热之后,牛奶大约35-40 ℃左右,需要继续用冰水将牛奶的温度降低到1-8℃贮存。
(三)贮存:暂存的牛奶,在12小时内应尽早用于生产,如超过12小时则每隔2小时进行感官、酸度、酒精实验检测。
(四)UHT加热灭菌:1、预热:超高温杀菌工艺段预热温度为65℃-75℃。
采用UHT灭菌工艺环节的高温牛奶进行换热。
2、真空脱气:在脱气罐中进行,脱去空气、饲料杂味、杂味等。
乳制品生产工艺流程图
一、液体乳
1.xx杀菌乳
原料乳验收→净乳→冷藏→标准化→ 均质→xx杀菌→冷却→灌装→冷藏
2.灭菌乳
原料乳验收→净乳→冷藏→标准化→预热→ 均质→超高温瞬时灭菌(或杀菌)→冷却→无菌灌装(或保持灭菌)→成品储存3.酸xx
凝固型:原料乳验收→净乳→冷藏→标准化→ 均质→杀菌→冷却→接入发酵菌种→灌装→发酵→冷却→冷藏
搅拌型:原料乳验收→净乳→冷藏→标准化→ 均质→杀菌→冷却→接入发酵菌种→发酵→添加辅料→冷却→灌装→冷藏
二、乳粉
1.全脂乳粉、脱脂乳粉、全脂加糖乳粉
全脂(全脂加糖)乳粉:原料乳验收→净乳→冷藏→标准化(全脂加糖乳粉)→冷藏→杀菌浓缩→喷雾干燥→筛粉晾粉或经过流化床→包装
脱脂乳粉:原料乳验收→净乳→标准化(分离脂肪)→(脱脂乳)冷藏→杀菌浓缩→喷雾干燥→筛粉晾粉或经过流化床→包装2.调味乳粉
原料乳验收→净乳→杀菌→冷藏→标准化(添加营养强化剂等其他辅料)→均质→冷藏→杀菌浓缩→喷雾干燥→筛粉晾粉(或经过流化床)→包装
三、其他乳制品
1.炼乳
原料乳验收→净乳→冷藏→标准化→预热杀菌→真空浓缩→冷却结晶→装罐→成品储存
2.奶油
原料乳→净乳→脂肪分离→稀奶油→杀菌→发酵→成熟→搅拌→排除酪乳→奶油粒→洗涤→压炼→包装
3.干酪
原料乳→净乳→冷藏→标准化→杀菌→冷却→凝乳→凝块切割→搅拌→排出乳清→成型压榨→成熟→包装
注:红色字体为关键控制环节。
酸奶生产工艺流程图与工艺说明一、牛奶生产工艺流程图
二、工艺说明
(一)酸奶是在牛奶生产的基础上,不经过牛奶的灌装环节,直接进入酸奶的发酵环节生产而成。
(二)酸奶的加工工艺比较简单,在接种乳酸菌之前需要做好无菌处理,避免其他杂菌影响乳酸菌的生长。
(三)接种乳酸菌之后,需要按照乳酸菌的生活条件设置温度和PH值,一般来说温度需要控制在37摄氏度,PH 盒子控制在5.5-6.0之间就符合乳酸菌的生长条件。
(四)随着乳酸菌的生长,会将牛奶中的成分转化为更易吸收的营养成分。
同时,随着乳酸菌的生长,其乳酸含量大增,PH下降,不太适合更多的乳酸菌繁殖,也就是说乳酸菌自己消灭了自己,这时候就发酵成熟了。
判断发酵是否成熟需要进行检验工艺,检验是否有大量的活菌存活,或者检验PH值等指标是否达到工艺水平即可。
(五)由于乳酸菌是益生菌,对人体无害,所以发较完成的酸奶不用灭菌,也不用除菌,直接可以包装使用。
(六)需要注意的是,尽管发酵完的酸奶比较容易贮存,但是也需要在一个较低的温度内储存,出厂前需要在厂房的冷库内储存,出厂后,也需要保存在冰柜内,这样保质期会适当延长一些。
乳制品生产工艺流程图
一、液体乳
1.巴氏杀菌乳
原料乳验收→净乳→冷藏→标准化→均质→巴氏杀菌→冷却→灌装→冷藏
2.灭菌乳
原料乳验收→净乳→冷藏→标准化→预热→均质→超高温瞬时灭菌(或杀菌)→冷却→无菌灌装(或保持灭菌)→成品储存3.酸牛乳
凝固型:原料乳验收→净乳→冷藏→标准化→均质→杀菌→冷却→接入发酵菌种→灌装→发酵→冷却→冷藏
搅拌型:原料乳验收→净乳→冷藏→标准化→均质→杀菌→冷却→接入发酵菌种→发酵→添加辅料→冷却→灌装→冷藏
二、乳粉
1.全脂乳粉、脱脂乳粉、全脂加糖乳粉
全脂(全脂加糖)乳粉:原料乳验收→净乳→冷藏→标准化(全脂加糖乳粉)→冷藏→杀菌浓缩→喷雾干燥→筛粉晾粉或经过流化床→包装
脱脂乳粉:原料乳验收→净乳→标准化(分离脂肪)→(脱脂乳)冷藏→杀菌浓缩→喷雾干燥→筛粉晾粉或经过流化床→包装2.调味乳粉
原料乳验收→净乳→杀菌→冷藏→标准化(添加营养强化剂等其他辅料)→均质→冷藏→杀菌浓缩→喷雾干燥→筛粉晾粉(或经过流化床)→包装
三、其他乳制品
1.炼乳
原料乳验收→净乳→冷藏→标准化→预热杀菌→真空浓缩→冷却结晶→装罐→成品储存
2.奶油
原料乳→净乳→脂肪分离→稀奶油→杀菌→发酵→成熟→搅拌→排除酪乳→奶油粒→洗涤→压炼→包装
3.干酪
原料乳→净乳→冷藏→标准化→杀菌→冷却→凝乳→凝块切割→搅拌→排出乳清→成型压榨→成熟→包装
注:红色字体为关键控制环节。