2015国内机场旅客吞吐量排名
- 格式:pdf
- 大小:22.60 KB
- 文档页数:1
中国民航局发布2015年民航行业发展统计公报中国的民航业发展,确实非常迅猛。
可以遇见,由于近几个月通用航空政策的逐步放开,民航业的发展将有进一步井喷的趋势。
2015年,全行业深入贯彻党的十八大、十八届五中全会和中央经济工作会议精神,认真落实中央领导对民航发展作出的重要指示,深入推进实施民航强国战略,努力践行“发展为了人民”的理念,坚持“飞行安全,廉政安全,真情服务”三个底线,稳中求进,深化改革,各项工作取得较大成绩,民航业在经济社会发展中战略作用更加显现。
一、运输航空2015年,在世界经济增速放缓,国内经济下行压力较大的情况下,民航主要运输指标继续保持平稳较快增长。
1.运输周转量2015年,全行业完成运输总周转量851.65亿吨公里,比上年增长13.8%,完成旅客周转量7282.55万人公里,比上年增长15.0%;完成货邮周转量208.07亿吨公里,比上年增长10.8%。
2015年,国内航线完成运输总周转量559.04亿吨公里,比上年增长10.0%,其中港澳台航线完成16.22亿吨公里,比上年增长0.3%;国际航线完成运输总周转量292.61亿吨公里,比上年增长21.9%。
2.旅客运输量2015年,全行业完成旅客运输量43618万人次,比上年增长11.3%。
国内航线完成旅客运输量39411万人次,比上年增长9.4%,其中港澳台航线完成1020万人次,比上年增长1.4%;国际航线完成旅客运输量4207万人次,比上年增长33.3%。
3.货邮运输量2015年,全行业完成货邮运输量629.3万吨,比上年增长5.9%。
国内航线完成货邮运输量442.4万吨,比上年增长3.9%,其中港澳台航线完成22.1万吨,比上年减少1.0%;国际航线完成货邮运输量186.8万吨,比上年增长10.9%。
4.机场业务量2015年,全国民航运输机场完成旅客吞吐量9.15亿人次,比上年增长10.0%。
其中:2015年东部地区完成旅客吞吐量5.02亿人次,东北地区完成旅客吞吐量0.55亿人次,中部地区完成旅客吞吐量0.90亿人次,西部地区完成旅客吞吐量2.69亿人次。
中国最大的飞机场排名前十是哪些坐飞机已经变得平民化了,飞机场你知道中国最大的飞机场排名前十是哪些吗?小编来为你盘点一下。
中国最大的飞机场排名中国十大机场,根据中国民航数据总局统计,大陆地区机场按旅客吞吐量数据统计排名分别是北京首都国际机场、上海浦东国际机场、广州白云国际机场、成都双流国际机场、深圳宝安国际机场、昆明长水国际机场、上海虹桥国际机场、西安咸阳国际机场、重庆江北国际机场和杭州萧山国际机场。
北京首都北京首都国际机场简称首都国际机场,是北京市的主要的国际机场。
首都国际机场位于北京市区东北方向,北京顺义区(其中一二号航站楼为朝阳区在顺义区的飞地),距离天安门广场25.35公里。
中国地理位置最重要、规模最大、设备最齐全、运输生产最繁忙的大型国际航空港。
北京首都国际机场不但是中国首都北京的空中门户和对外交往的窗口,而且是中国民航最重要的航空枢纽,是中国民用航空网络的辐射中心。
并且是当前中国最繁忙的民用机场。
也是中国国际航空公司的基地机场。
上海浦东上海浦东国际机场位于上海长江入海口南岸的滨海地带,占地50多平方公里,距上海市中心约30公里,距离虹桥机场约40公里,为4F级国际航空港。
是中国(包括港、澳、台)三大国际机场之一,与北京首都国际机场、香港国际机场并称中国三大国际航空港。
2015年,浦东机场保障飞机起降45万架次,完成旅客吞吐量6008万人次,完成货邮吞吐量327万吨。
广州白云广州白云国际机场始建于2004年08月05日,是中国三大航空枢纽机场之一,机场等级4F,在中国民用机场布局中具有举足轻重的地位。
1994年白云机场在中国500家最大服务业企业及行业评价中被列为中国最大服务业企业航空港第二位。
1995年,白云机场被列为国有企业500强之一。
1998年,白云机场被中国民航总局评为“文明机场”。
成都双流成都双流国际机场位于川西平原中部,距中国四川省成都市天府广场西南约16km,地理位置为东经103°57’02’’,北纬30°34’47”,是我国西南地区重要的航空枢纽港和客货集散地。
比上年同期比上年同期增减%增减%合计486,063,491405,762,10419.89,455,645.28,833,590.17.0北京/首都165,375,09555,938,13616.921,475,656.81,367,710.37.91广州/白云237,048,71233,435,47210.83955,269.7685,867.939.32上海/浦东331,921,00928,235,69113.112,543,393.62,603,027.0-2.33上海/虹桥425,078,54822,877,4049.65439,071.9415,726.3 5.67深圳/宝安524,486,40621,400,50914.44605,469.2598,036.4 1.25成都/双流622,637,76217,246,80631.36373,515.0373,067.30.16昆明/巫家坝718,944,71615,877,81419.37258,755.3236,347.79.58西安/咸阳815,294,94811,921,91928.314127,000.2117,084.58.59杭州/萧山914,944,71612,673,19817.98226,307.9210,793.07.410重庆/江北1014,038,04511,138,43226.011186,005.9160,256.416.111厦门/高崎1111,327,8709,385,43620.710196,025.1195,462.90.315武汉/天河1211,303,7679,202,62922.817101,874.789,852.813.412长沙/黄花1311,284,2828,454,80833.51886,995.071,151.922.313南京/禄口1410,837,2228,881,26122.09200,099.0187,604.1 6.714青岛/流亭159,660,1298,200,36717.813135,364.4130,450.2 3.816大连/周水子169,550,3658,205,45416.415125,832.0129,388.1-2.717海口/美兰178,390,4788,221,997 2.01977,779.674,062.5 5.020三亚/凤凰187,941,3456,006,30032.23138,396.929,298.931.124沈阳/桃仙197,504,8286,807,23510.216112,444.6102,487.59.721郑州/新郑207,342,4275,887,59824.72170,533.064,655.39.118乌鲁木齐/地窝堡216,575,3755,817,27413.02077,632.377,748.1-0.122哈尔滨/太平226,558,7964,985,21231.62266,152.058,695.312.725济南/遥墙235,852,8714,828,74621.22456,596.648,875.315.823天津/滨海245,780,2814,637,29924.612168,103.1166,558.10.919贵阳/龙洞堡255,687,6524,324,08531.52551,619.041,967.923.026福州/长乐265,451,1964,533,88920.22364,400.960,152.57.128桂林/两江275,319,3624,259,41024.93329,636.227,419.48.129温州/永强284,821,5273,976,54621.23044,326.036,847.720.331太原/武宿294,632,1794,312,9107.43234,495.731,511.49.527南宁/吴圩304,520,2123,394,84633.12946,268.737,637.822.932宁波/栎社314,031,4473,574,35212.82846,839.739,768.817.833南昌/昌北323,937,8973,331,77618.23724,524.423,571.2 4.030长春/龙嘉333,878,4163,049,76727.22648,085.336,511.131.735合肥/骆岗343,205,6942,525,29426.93528,115.823,844.017.936呼和浩特/白塔352,898,6612,121,90536.64114,513.213,310.79.038兰州/中川362,861,5072,212,30629.33627,021.221,747.924.241银川/河东372,305,9301,642,34240.44015,127.511,734.828.948丽江/三义382,295,3231,881,74522.0661,674.81,279.530.947无锡/硕放392,217,9321,642,49735.02747,021.339,569.220.449烟台/莱山402,094,8041,707,49822.73429,189.625,207.615.845民航机场业务量(排序)2009-01-01 至 2009-12-31旅客吞吐量(人)货邮吞吐量(吨)机场名次本期完成上年同期名次本期完成上年同期名次西双版纳/嘎洒411,942,3231,637,45418.6486,664.95,192.428.450九寨/黄龙421,749,316660,384164.91590.053泉州/晋江431,655,9861,401,95818.14213,792.311,213.723.051北京/南苑441,607,5951,357,03818.54512,528.013,243.0-5.454珠海/三灶451,385,8581,121,83123.54313,759.611,139.323.546西宁/曹家堡461,351,759951,33042.1477,458.76,691.411.555石家庄/正定471,320,2411,043,68826.53818,672.315,343.921.739汕头/外砂481,266,4071,091,09516.1469,088.78,491.47.052张家界/荷花491,201,9761,019,96117.8681,633.11,163.240.456拉萨/贡嘎501,121,613699,87660.34412,872.69,755.731.958包头/二里半511,070,122753,29342.1504,678.64,517.8 3.657延吉/朝阳川52808,256790,885 2.2573,126.42,847.69.862威海/大水泊53675,451651,270 3.7583,003.43,238.7-7.359宜昌/三峡54657,507523,23425.7533,498.42,676.030.760榆林/榆阳55631,769236,815166.8102327.4134.4143.663喀什56574,485427,57734.4602,445.41,832.933.476义乌57559,652516,3258.4553,259.43,346.9-2.673武夷山58535,713565,115-5.282799.7883.7-9.574常州/奔牛59535,198550,808-2.8496,173.36,393.4-3.466海拉尔/东山60532,463342,41655.5771,094.51,298.5-15.767合州/路桥61526,738407,69829.2514,293.23,234.932.772徐州/观音62511,469401,04627.5563,251.02,561.226.961运城/张孝63506,642303,57166.9781,024.1715.143.265北海/福成64505,440267,16889.2761,130.6837.335.071恩施/许家坪65472,839318,83348.380948.1460.6105.868鄂尔多斯/伊金霍洛66472,656307,51353.7651,823.21,084.968.169舟山/普陀山67447,956355,64526.096434.7321.935.064湛江/坡头68396,263302,83730.9701,590.31,329.719.675德宏/芒市69380,265354,5747.2592,888.12,668.58.282西昌/青山70374,504263,15342.3622,037.31,494.036.479长治/王村71340,613260,82830.692466.3229.6103.177柳州/白莲72309,354265,00416.7543,285.62,754.919.380临沂/沐埠岭73301,341230,57730.7751,163.4729.959.444连云港/白塔埠74291,059208,63039.581944.8993.4-4.983黄山/屯溪75285,179227,47125.479963.3636.951.386绵阳/南郊76280,903208,44234.8523,812.23,805.80.293库尔勒77270,657200,83034.888564.3277.3103.570牡丹江/海浪78260,063160,93261.684759.8536.041.885腾冲/驼峰79257,6370117134.40.090景德镇/罗家80242,753189,25628.3104307.7119.8156.899常德/桃花源81236,263157,78949.7120110.177.641.791洛阳/北郊82231,968182,87926.8721,239.8795.755.84迪庆/香格里拉83221,331161,47637.185697.5540.729.092南通/兴东84220,260161,36536.5641,877.71,841.7 2.040宜宾/菜坝85211,197177,59618.9632,008.01,771.613.397大理86210,475290,255-27.598361.2556.7-35.195万县/五桥87209,154126,69665.1691,623.9693.7134.188泸州/蓝田88203,567163,73624.3671,663.21,529.18.894伊宁89202,130264,124-23.5100353.1450.1-21.684普洱/思茅90191,090135,88840.6109215.044.0388.8104赣州/黄金91189,105120,49756.9711,459.7810.280.278和田92188,434146,00829.183771.5459.867.8111攀枝花/保安营93177,234211,069-16.0612,378.52,150.410.6109阿克苏94170,48870,775140.9108247.0147.167.981佳木斯/东郊95166,048111,04449.590517.7225.9129.1105赤峰/玉龙96165,20282,223100.9110212.5118.179.987盐城/南洋97161,682101,27859.6731,211.5604.8100.3103敦煌98152,610134,06213.8121108.5101.6 6.996满洲里/西郊99146,901122,72719.786582.7575.7 1.2107达州/河市100144,383108,14933.5741,188.2457.6159.6111襄樊/刘集101137,335103,61132.599353.7220.660.337保山/云端102136,203149,792-9.1116137.6186.6-26.3113南阳/姜营103134,13594,19842.487582.4401.845.042锡林浩特104131,78651,040158.2115138.245.5203.6100衢州105128,38961,434109.0112172.186.698.7114齐齐哈尔/三家子106120,38493,19629.293462.2460.80.3119林芝/米林107119,70265,75882.095436.1365.419.4136济宁/曲阜108119,33247325,128.897413.50.01,722,820.8116乌海109115,49373,95156.212828.617.662.8121临沧110114,543114,892-0.3101338.0329.3 2.6122大同/倍加皂111112,844117,423-3.991484.8214.2126.3115潍坊112106,97928,721272.53915,969.013,961.814.489井冈山113105,76664,17164.8113151.717.1787.898大庆/萨尔图114101,5530103310.20.0132通辽11594,89466,43542.8106275.4218.925.8108嘉峪关11689,60464,66938.612283.282.50.8123丹东/浪头11788,60157,91053.094452.3371.221.9134延安/二十里堡11886,28532,727163.712928.440.6-30.1101阿勒泰11985,172116,275-26.713514.419.3-25.5117黑河12084,98741,823103.2114139.9396.1-64.7135邯郸12182,10770,77916.012733.2112.3-70.4110乌兰浩特12277,64551,13851.8118127.943.2196.1102昌都/邦达12376,78053,87942.5105297.8193.653.8140东营12475,57457,03532.5107273.2216.826.0118漠河/古莲12575,26324,304209.712538.3 4.8705.9129怀化/芷江12672,99555,76730.9147 3.5 5.7-38.3131百色/田阳12768,01617,574287.01580.00.0120南充/高坪12863,72745,44340.2119123.8189.7-34.734九江/庐山12962,39143,02845.013415.37.4108.1126秦皇岛/山海关13061,72155,79310.6111192.8153.225.8133锦州/小岭子13157,76744,98928.489545.6413.432.0137文山/普者黑13256,91648,23618.0141 5.9 5.311.7142白山/长白山13353,3864,4521,099.113222.60.062,694.4139梧州/长州岛13446,66327,18171.71398.1 6.819.343那拉提13543,78310,445319.212633.40.221,320.5143连城/冠豸山13643,46014,342203.015911.8-100.0148中卫香山13741,64714528,622.11560.00.0128格尔木13838,47921,16681.812378.756.539.3150铜仁/凤凰13937,36355,175-32.31407.515.8-52.8106昭通14034,71638,162-9.012473.3164.2-55.3151梅县/长岗岌14133,87925,32433.813711.9 6.099.4125兴义14232,91132,538 1.1142 5.317.8-70.2141克拉玛依14332,87525,06531.2146 3.6 2.923.7138库车14430,47236,211-15.813319.838.4-48.4146安庆14530,18717,12276.313612.37.661.2127哈密14629,1041,4691,881.2144 4.40.8445.3144天水/麦积山14723,7181,1262,006.4143 4.80.0130朝阳14821,87717,74423.31560.00.0152庆阳14920,57727,419-25.01590.1-100.0124布尔津/喀纳斯15019,36216,01920.9145 3.80.12,940.0157阜阳15117,4064,271307.51530.40.0156广元/盘龙15216,53501510.60.0161鸡西/兴凯湖15315,641013027.10.0159塔城15415,3998,69977.01520.4 1.0-56.9145黎平15515,0998,51777.3148 1.6 3.7-56.1153汉中/西关15611,36612,214-6.913124.025.3-5.0147甘孜/康定15711,1651586,966.51540.20.1185.7155伊春/林都15810,25201590.0160且末1597,5015,50236.3150 1.00.3210.0161玉树/巴塘1607,48401550.10.0163永州/零陵1615,9324,49432.013810.79.89.4154长海/大长山岛1625,0143,10661.41590.0149佛山/沙堤1634,5780159164安康1642,8545,526-48.4149 1.2 2.1-41.4158安顺/黄果树16549101590.0165黔南/荔波1661517,886-98.11590.5-100.01662010-1-21- 1-18,19315,87214.6 13,4119,13246.9 16,84214,67714.8 13,25212,2458.2 23,14930,430-23.9 12,3269,45530.4 32,48128,95312.2 13,51711,75315.0 10,76010,396 3.5 10,0647,07442.3 10,0996,98944.5 7,4577,638-2.4 9,8509,657 2.0 9,0827,51920.8 6,6754,50648.1 5,0933,68238.3 5,3225,3160.1 5,2356,171-15.2 5,8006,096-4.9 5,6424,38228.8 5,3404,58016.6 9,0658,4247.6 6,1164,71829.6 5,3573,16569.3 5,6373,54858.9 5,5883,55257.3 6,4165,32220.6 5,2134,68511.3 3,8703,671 5.4 4,1342,92541.3 4,5953,53430.0 4,0834,314-5.4 26,2419,172186.1 3,7473,21616.5 3,3962,71824.9 2,8972,42619.4 5,3714,42021.5 3,4142,00770.1 3,01602,3082,424-4.8 2,9302,25929.7 212,008212,568-0.3 2,9042,09338.7 30,63422,95433.5 2,4682,15214.7 2,6883,516-23.5 3,2021,74084.02,8542,6338.4 3,5555,189-31.5 2,0021,934 3.5 4,2413,30828.2 1,7281,47017.6 1,8582,595-28.4 3,9961,530161.2 1,9701,13473.7 3,2432,60624.4 2,2161,62836.1 2,5702,3628.8 1,8721,64913.5 1,7281,42221.5 33,6332,1791,443.5 1,6801,618 3.8 27,76523,33819.0 2,300926148.4 1,674742125.6 1,47699947.7 91850282.9 1,658627,533.3 1,4201,430-0.7 1,4061,414-0.6 1,6681,882-11.4 3,1452,45028.4 2,3361,34074.3 1,04301,8681,7407.4 1,3301,454-8.5 99982620.9 2,2561,52448.0 1,6162,386-32.3 96067043.3 1,76729,262-94.0 2,2201,88118.0 77656637.1 1,49099250.2 1,100324239.5 1,0499629.0 1,42884369.4 36,79820,44780.0 1,12876647.3 1,00584019.6 88078612.0 740817-9.4 79286820.9 26,80020,31131.9712202252.5 598192211.5 1,108427,600.0 55534063.2 1,8821,50824.8 520624-16.7 1,22393031.5 772826-6.5 86376313.1 626766-18.3 1,11878043.3 688341,923.5 1,072881,118.2 50942120.9 1,2421,378-9.9 30622237.8 36027630.4 20002340 66840664.5 48830759.0 618600 3.0 365218,150.0 2260200284-29.6 1140 41236014.4 589583 1.070250346-27.72601490-84.4。
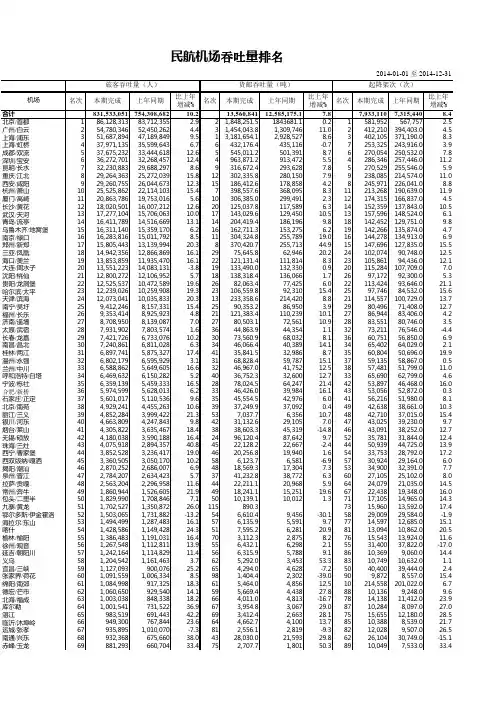
合计831,533,051754,308,68210.213,560,84112,585,175.17.87,933,1107,315,4408.4北京/首都186,128,31383,712,355 2.921,848,251.51843681.10.21581,952567,757 2.5广州/白云254,780,34652,450,262 4.431,454,043.81,309,74611.02412,210394,403.0 4.5上海/浦东351,687,89447,189,8499.513,181,654.12,928,5278.63402,105371,190.08.3上海/虹桥437,971,13535,599,643 6.76432,176.4435,116-0.77253,325243,916.0 3.9成都/双流537,675,23233,444,61812.65545,011.2501,3918.76270,054250,532.07.8深圳/宝安636,272,70132,268,45712.44963,871.2913,472 5.54286,346257,446.011.2昆明/长水732,230,88329,688,2978.69316,672.4293,6287.85270,529255,546.0 5.9重庆/江北829,264,36325,272,03915.812302,335.8280,1507.99238,085214,574.011.0西安/咸阳929,260,75526,044,67312.315186,412.6178,858 4.28245,971226,041.08.8杭州/萧山1025,525,86222,114,10315.47398,557.6368,0958.311213,268190,639.011.9厦门/高崎1120,863,78619,753,016 5.610306,385.0299,491 2.312174,315166,837.0 4.5长沙/黄花1218,020,50116,007,21212.620125,037.8117,589 6.314152,359137,843.010.5武汉/天河1317,277,10415,706,06310.017143,029.6129,45010.513157,596148,524.0 6.1青岛/流亭1416,411,78914,516,66913.114204,419.4186,1969.818142,452129,751.09.8乌鲁木齐/地窝堡1516,311,14015,359,170 6.216162,711.3153,275 6.219142,266135,874.0 4.7南京/禄口1616,283,81615,011,7928.511304,324.8255,78919.016144,278134,913.0 6.9郑州/新郑1715,805,44313,139,99420.38370,420.7255,71344.915147,696127,835.015.5三亚/凤凰1814,942,35612,866,86916.12975,645.862,94620.224102,07490,748.012.5海口/美兰1913,853,85911,935,47016.122121,131.4111,8148.323105,86194,436.012.1大连/周水子2013,551,22314,083,131-3.819133,490.0132,3300.920115,284107,709.07.0沈阳/桃仙2112,800,27212,106,952 5.718138,318.4136,066 1.72697,17292,300.0 5.3贵阳/龙洞堡2212,525,53710,472,58919.62682,063.477,425 6.022113,42493,646.021.1哈尔滨/太平2312,239,02610,259,90819.323106,559.892,31015.42597,74684,532.015.6天津/滨海2412,073,04110,035,83320.313233,358.6214,4208.821114,557100,729.013.7南宁/吴圩259,412,2468,157,33115.42590,353.286,950 3.92980,49671,408.012.7福州/长乐269,353,4148,925,923 4.821121,383.4110,23910.12786,94483,406.0 4.2济南/遥墙278,708,9508,139,0877.02780,503.172,56110.92883,55180,746.0 3.5太原/武宿287,931,9027,803,574 1.63644,863.944,354 1.13273,21176,546.0-4.4长春/龙嘉297,421,7266,733,07610.23073,560.968,0328.13660,75156,850.0 6.9南昌/昌北307,240,8616,811,028 6.33446,066.440,38914.13465,40264,029.0 2.1桂林/两江316,897,7415,875,32717.44135,841.532,9868.73560,80450,696.019.9温州/永强326,802,1796,595,929 3.13168,828.459,78715.13759,13558,867.00.5兰州/中川336,588,8625,649,60516.63246,967.041,75212.53857,48151,799.011.0呼和浩特/白塔346,469,6326,150,282 5.24036,752.332,60012.73365,69062,799.0 4.6宁波/栎社356,359,1395,459,33316.52878,024.564,24721.44253,89746,468.016.0合肥/新桥365,974,5995,628,013 6.23346,426.039,98416.14353,05652,872.00.3石家庄/正定375,601,0175,110,5369.63545,554.542,976 6.04156,21651,980.08.1北京/南苑384,929,2414,455,26310.63937,249.937,0920.44942,63838,661.010.3丽江/三义394,852,2843,999,42221.3537,037.76,35610.74842,71037,015.015.4银川/河东404,663,8094,247,8439.84231,132.629,1057.04743,02539,230.09.7烟台/莱山414,305,8223,635,46718.43838,603.345,319-14.84643,09138,252.012.7无锡/硕放424,180,0383,590,18816.42496,120.487,6429.75235,78131,844.012.4珠海/三灶434,075,9182,894,35740.84522,128.222,667-2.44450,93944,725.013.9西宁/曹家堡443,852,5283,236,41719.04620,256.819,940 1.65433,75328,792.017.2西双版纳/嘎洒453,360,5053,050,17010.2586,123.76,581-6.95730,92429,164.0 6.0揭阳/潮汕462,870,2522,686,007 6.94818,569.317,3047.35334,90032,391.07.7泉州/晋江472,784,2072,634,423 5.73741,232.838,772 6.36027,10525,102.08.0拉萨/贡嘎482,563,2042,296,95811.64422,211.120,968 5.96424,07921,035.014.5常州/奔牛491,860,9441,526,60521.94918,241.115,25119.66722,43819,348.016.0包头/二里半501,829,9901,708,8467.15010,139.110,012 1.37117,10514,965.014.3九寨/黄龙511,702,5271,350,87226.0115890.3 7315,96013,592.017.4鄂尔多斯/伊金霍洛521,503,0651,731,882-13.2546,610.49,456-30.15829,00929,584.0-1.9海拉尔/东山531,494,4991,287,48316.1576,135.95,5919.77714,59712,685.015.1喀什541,428,5861,149,42824.3517,595.26,28120.98113,09410,862.020.5榆林/榆阳551,386,4831,191,03116.4703,112.32,8758.27615,54313,924.011.6徐州/观音561,267,5481,112,81113.9556,432.16,298 2.15531,40037,822.0-17.0延吉/朝阳川571,242,1641,114,82911.4566,315.95,7889.18610,3699,060.014.4义乌581,204,5421,161,463 3.7625,292.03,45353.38310,74910,632.0 1.1宜昌/三峡591,127,093900,07625.2654,294.04,628-7.25040,40039,444.0 2.4张家界/荷花601,091,5591,006,3348.5981,404.42,302-39.0909,8728,557.015.4绵阳/南郊611,084,998917,32518.3615,464.04,85612.510214,558201,022.0 6.7德宏/芒市621,060,650929,54014.1595,669.44,43827.88810,1369,248.09.6北海/福成631,003,038848,33818.2664,011.04,813-16.77814,13811,412.023.9库尔勒641,001,541731,52236.9673,954.83,06729.08710,2848,097.027.0湛江65983,519691,44342.2693,412.42,66328.17515,65512,180.028.5临沂/沐埠岭66949,300767,84423.6644,662.74,10013.78510,3888,539.021.7运城/张孝67935,8951,010,070-7.3812,556.12,819-9.38212,0289,507.026.5南通/兴东68932,368675,66038.04328,030.021,59329.86226,10430,749.0-15.1名次本期完成上年同期比上年增减%比上年增减%名次本期完成上年同期2014-01-01 至 2014-12-31旅客吞吐量(人)货邮吞吐量(吨)起降架次(次)机场名次本期完成上年同期比上年增减%名次本期完成上年同期比上年增减%比上年增减%名次本期完成上年同期2014-01-01 至 2014-12-31旅客吞吐量(人)货邮吞吐量(吨)起降架次(次)机场名次本期完成上年同期比上年增减%赤峰/玉龙69881,293660,70433.4752,707.71,80150.38910,0497,533.033.4赣州/黄金70787,400626,84925.6605,543.03,79646.0967,8817,038.012.0武夷山71785,527787,455-0.2902,115.92,392-11.5948,2138,094.0 1.5大理72749,993501,12849.71061,202.8569111.4928,4075,923.041.9阿克苏73748,654631,84318.5723,065.01,80270.1938,2507,554.09.2泸州/蓝田74710,510439,62661.6732,916.12,40021.5977,8805,124.053.8通辽75709,072572,71923.8713,106.21,81171.5919,5778,722.09.8扬州/泰州76705,879612,89915.2634,792.53,07655.86622,95615,943.044.0伊宁77698,994581,58920.2792,587.02,00129.3958,0687,340.09.9襄阳/刘集78677,041601,02912.6832,388.32,15211.04056,30655,014.0 2.3遵义79669,726309,531116.4141205.5083,097.61007,5093,444.0118.0和田80669,575494,82435.3941,903.11,54423.21036,4284,816.033.5台州/路桥81664,663610,8448.8527,410.26,9127.21085,6605,208.08.7黄山/屯溪82637,044552,35915.3772,636.72,521 4.6997,5746,508.016.4长治/王村83620,665574,0808.11051,253.192036.3987,7997,230.07.9柳州/白莲84606,572733,774-17.3742,787.84,577-39.11026,90810,706.0-35.5洛阳/北郊85588,717594,781-1.0971,507.81,422 6.117144,046180,126.0-20.0宜宾/菜坝86574,883434,02232.5782,608.82,498 4.41056,1114,506.035.6连云港/白塔埠87568,642563,5840.9961,612.41,46310.21016,9788,668.0-19.5威海/大水泊88548,3061,145,846-52.1762,656.05,684-53.31046,23113,263.0-53.0牡丹江/海浪89543,361446,64421.71021,368.51,23111.21194,5804,716.0-2.9舟山/普陀山90538,414479,13812.4140254.9286-11.07415,69712,839.022.3盐城/南洋91528,749354,25149.3882,162.13,035-28.81095,5363,668.050.9大庆/萨尔图92525,319541,420-3.0872,164.82,593-16.51145,0005,596.0-10.7淮安/涟水93516,106404,77627.5683,420.92,52935.38410,54640,594.0-74.0腾冲/驼峰94509,628556,769-8.5116820.6410100.01066,0446,254.0-3.4佳木斯/东郊95470,131416,92612.8118776.3742 4.61135,1434,767.07.9南阳/姜营96464,512405,92914.41101,069.382130.25136,50033,328.09.5景德镇/罗家97463,562405,02114.5951,808.6631186.61244,0483,604.012.3乌海98458,873470,152-2.4922,017.81,43940.31105,3525,864.0-8.7迪庆/香格里拉99453,604501,754-9.6117788.568614.91125,1905,606.0-7.4济宁/曲阜100451,974334,59835.11081,137.693521.61184,6123,634.026.9南充/高坪101429,360319,38434.4802,584.72,10223.06325,42427,764.0-8.4井冈山102428,555444,378-3.6822,532.11,83138.31154,9824,870.0 2.3白山/长白山103423,690316,46533.916440.976-46.21174,7453,954.020.0锡林浩特104421,141465,949-9.6892,136.92,074 3.07215,99718,086.0-11.6大同/倍加皂105409,137358,91014.0912,068.51,965 5.36919,71214,121.039.6满洲里/西郊106405,833303,22633.8862,195.12,314-5.21164,7623,617.031.7潍坊107394,293133,815194.74718,670.916,57912.61115,3003,611.046.8恩施/许家坪108381,114288,44932.11001,376.2624120.61343,2422,652.022.2毕节/飞雄109373,40675,679393.4126506.21075,9081,056.0459.5常德/桃花源110350,301282,88523.8143179.9185-2.93079,18780,554.0-1.7西昌/青山111349,337317,7459.91011,369.31,503-8.91234,1393,658.013.1万县/五桥112348,702318,8359.4852,281.11,79127.41214,4484,902.0-9.3敦煌113325,858348,734-6.6130431.7466-7.31224,2165,155.0-18.2齐齐哈尔/三家子114323,626257,28925.8113919.1931-1.31442,8242,150.031.3林芝/米林115314,803258,64521.7991,377.180371.51263,6142,970.021.7嘉峪关116314,501353,505-11.01071,194.01,00019.41253,7314,429.0-15.8阜阳117298,539352,329-15.3133389.431723.07017,26611,427.051.1达州/河市118296,119248,72719.1842,361.91,59847.81323,3462,874.016.4临沧119287,550199,65144.0119768.8820-6.21403,0662,066.048.4东营120285,114165,60672.2124563.9570-1.16523,30615,850.047.0保山/云端121273,020238,26514.6132420.435418.71423,0282,822.07.3邯郸122270,170230,08717.4142201.266203.16822,0448,534.0158.3乌兰浩特123267,378266,2620.4931,987.21,64920.51363,1083,532.0-12.0宜春/明月山124265,45083,110219.4145160.620707.81413,0321,044.0190.4库车125237,459213,32511.3135348.426830.11353,2262,988.08.0哈密126235,404180,61430.3131424.221994.11283,4502,676.028.9普洱/思茅127225,411220,043 2.4127469.5634-25.91373,1042,817.010.2池州/九华山128221,87662,337255.9181 2.11462,792800.0249.0衢州129220,714222,071-0.6122629.8771-18.41631,7481,782.0-1.9怀化/芷江130211,545133,58458.416248.118173.51204,5012,818.059.7唐山/三女河131210,797180,66016.7114905.11,213-25.41452,8071,967.042.7鸡西/兴凯湖132208,603145,63443.2139260.3269-3.41432,9562,385.023.9昌都/邦达133201,981148,17836.3112920.952675.11542,1021,592.032.0秦皇岛/山海关134201,247207,947-3.2120694.9920-24.41333,2683,014.08.4巴彦淖尔/天吉泰135199,338189,622 5.11031,285.298730.21393,0812,804.09.9丹东/浪头136194,493170,63214.01041,276.61,03123.81601,9231,482.029.8延安/二十里堡137193,682180,6647.2138264.015471.31502,4122,456.0-1.8铜仁/凤凰138183,915141,78729.717414.844-66.21293,4372,542.035.2名次本期完成上年同期比上年增减%比上年增减%名次本期完成上年同期2014-01-01 至 2014-12-31旅客吞吐量(人)货邮吞吐量(吨)起降架次(次)机场名次本期完成上年同期比上年增减%阿勒泰139177,139188,154-5.9137304.524723.21512,3562,860.0-17.6兴义140174,068122,93841.6146148.553181.11313,3703,176.0 6.1广元/盘龙141168,505122,85837.2136314.916690.11591,9501,482.031.6昭通142166,08372,051130.5144175.310468.01552,080886.0134.8攀枝花/保安营143158,02163,823147.61111,003.4193420.01611,848744.0148.4庆阳144150,91181,47685.217513.34245.27913,8997,442.086.8稻城/亚丁145145,26225,900460.915295.31641,678272.0516.9张家口/宁远146144,27824,021500.617127.214,011.91522,254544.0314.3锦州/小岭子147143,262190,521-24.81091,127.61,339-15.81701,4382,142.0-32.9梅县/长岗岌148136,68584,15062.416053.163-15.91383,0922,774.011.5格尔木149125,204101,32123.6121693.651135.71661,6231,265.028.3鞍山150121,6996,3611,813.2179 3.31651,628134.01,114.9佛山/沙堤151120,214161,953-25.8123578.11,614-64.21811,0811,238.0-12.7黔江/武陵山152119,55795,60225.115675.95927.71562,0701,774.016.7玉树/巴塘153118,205112,998 4.6128468.0756-38.11721,3461,274.0 5.7加格达奇154117,963101,86415.817315.07115.21273,5272,826.024.8九江/庐山155116,363118,353-1.7125522.3578-9.61621,8361,848.0-0.6安顺/黄果树156116,10562,47885.815488.942112.01472,7692,058.034.5黑河157112,72894,95618.7129464.742210.21482,4882,035.022.3安庆158103,142117,563-12.315389.7128-29.81532,1382,720.0-21.4吕梁159101,729178 6.51671,584朝阳160100,08672,85537.4148133.491,352.93177,43663,841.021.3塔城16197,30055,35175.81777.78-1.01691,5401,392.010.6漠河/古莲16295,916118,435-19.0147141.9219-35.11492,4642,426.0 1.6文山/普者黑16391,58048,19990.0149116.06481.31681,552882.076.0中卫/香山16491,46671,39028.115860.570-13.53956,35846,520.021.1克拉玛依16590,88063,96042.1150113.15894.85631,20425,675.021.5二连浩特/赛乌苏16688,08898,102-10.2134383.029529.71581,9562,321.0-15.7博乐16777,47148,67259.217032.52719.86126,9892,954.0813.6阿拉善左旗/巴彦浩特16876,8862,0533,645.11860.11303,434106.03,139.6布尔津/喀纳斯16973,075100,208-27.11830.82-56.71858841,330.0-33.5金昌/金川17071,39855,60228.415955.46840.01571,9861,910.0 4.0那拉提17166,12661,0168.416735.93117.21821,0581,016.0 4.1伊春/林都17265,19380,624-19.116636.848-23.91839281,726.0-46.2百色/田阳17362,62842,23448.31900.0025.01791,126808.039.4凯里/黄平17462,4757,650716.71840.20302.31711,368156.0776.9阿尔山/伊尔施17562,35056,02211.3151112.37450.91781,164852.036.6张掖/甘州17655,51341,97632.216150.43639.81771,214945.028.5永州/零陵17752,41329,30178.916538.710294.01761,266694.082.4黎平17852,15644,32417.716933.11884.81751,2921,038.024.5甘孜/康定17950,12638,31730.8191187670646.0 3.7黔南州/荔波18046,63217,661164.01880.01801,086334.0225.1梧州/长州岛18142,99050,589-15.017223.140-42.14548,52719,049.0154.7阿里/昆莎18241,34527,85248.416341.271-42.0186744558.033.3固原/六盘山18335,46425,63338.41925927,22425,037.08.7连城/冠豸山18433,57543,928-23.615768.4191422538.0-21.6汉中/西关18532,825182 2.0193397日喀则18630,07427,32210.115586.56240.0194386358.07.8额济纳旗/桃来18726,3708972,839.81870.01731,32248.02,654.2通化18825,9681850.2189515天水/麦积山18923,92515,06258.81767.910-23.5184916647.041.6甘南/夏河19022,5337362,961.516834.607,866.618856652.0988.5阿拉善右旗/巴丹吉林19121,4588792,341.21931741,32074.01,683.8神农架19220,852180 3.2190468抚远/东极19320,5001890.0196314吐鲁番1949,01118,876-52.31940-100.0195342599.0-42.9河池/金城江1958,632195197220德令哈1965,410196198140长海/大长山岛1973,4663,798-8.7197192405489.0-17.2六盘水/月照1982,77119819956衡阳19996819920018阿坝/红原2004202012018安康2012008013,126230.05,607.0且末20220220217.0-100.0。
双机场的城市有哪些?双机场的城市有北京、上海、成都等。
一、北京:1、北京首都国际机场:建成于1958年的北京首都国际机场,是全球规模最大的机场,也是中国国际航空(AirChina)的主要中心,位于北京市顺义区(行政属朝阳区),机场距离北京市中心25公里,乘车大约需要40分钟。
北京首都国际机场旅客吞吐量在2012年达到8192.9万人次,仅次于美国亚特兰大机场,位居全球第二。
2、北京南苑国际机场:北京南苑机场,建于1910年,位于北京市丰台区,是中国历史上第一个机场目前该机场为军民合用机场,只对中国联合航空独家开放,是中国联合航空的基地机场。
2015年,旅客吞吐量527万人次。
二、上海:1、上海浦东国际机场:上海浦东国际机场,于1999年建成,位于上海市浦东新区滨海地带,距上海市中心约30公里,与北京首都国际机场、香港国际机场并称中国三大国际机场。
2、上海虹桥国际机场:上海虹桥国际机场,建成于1907年,位于上海市西郊,距市中心仅13千米,为4E级民用国际机场。
2016年,旅客吞吐量4046.01万人次。
三、成都:1、成都双流国际机场:成都双流国际机场,位于中国成都市双流区中心城区西南方向,距离成都市区16公里,机场飞行区等级为4F级。
成都双流国际机场是中国第四大航空港,是中国中西部地区最繁忙的国际机场,也是中国内陆地区的航空枢纽和最重要的客货集散地。
2、成都天府国际机场:成都天府国际机场位于成都简阳市芦葭镇附近,距成都市中心51公里,2016年5月27日,机场全面开工建设,一期工程计划2019年基本建成,2020年投入使用。
成都也即将迈入双机场时代,成为国内大陆地区第三个拥有双机场城市。
中国机场旅客吞吐量、货邮吞吐量、飞机起降架次、机场旅客吞吐量排名及货邮吞吐量排名情况分析一、通航城市和机场2019年,我国境内运输机场(不含香港、澳门和台湾地区,下同)共有238个,其中定期航班通航机场237个,定期航班通航城市234个。
年内定期航班新通航机场有:北京大兴国际机场、巴中恩阳机场、重庆巫山机场、甘孜格萨尔机场。
年内定期航班新通航的城市有:四川巴中。
北京南苑机场停航,宜宾菜坝机场迁至宜宾五粮液机场。
二、主要生产指标《2020-2026年中国民航市场现状调研及未来发展前景报告》数据显示:2019年我国机场全年旅客吞吐量超过13亿人次,完成135162.9万人次,比上年增长6.9%。
分航线看,国内航线完成121227.3万人次,比上年增长6.5%(其中内地至香港、澳门和台湾地区航线完成2784.8万人次,比上年减少3.1%);国际航线完成13935.5万人次,比上年增长10.4%。
完成货邮吞吐量1710.0万吨,比上年增长 2.1%。
分航线看,国内航线完成1064.3万吨,比上年增长3.3%(其中内地至香港、澳门和台湾地区航线完成94.5万吨,比上年减少4.9%);国际航线完成645.7万吨,比上年增长0.4%。
完成飞机起降1166.0万架次,比上年增长5.2%(其中运输架次为986.8万架次,比上年增长 5.3%)。
分航线看,国内航线完成1066.4万架次,比上年增长5.0%(其中内地至香港、澳门和台湾地区航线完成19.6万架次,比上年减少0.3%);国际航线完成99.6万架次,比上年增长6.8%。
三、旅客吞吐量分布各机场中,年旅客吞吐量1000万人次以上的机场达到39个,较上年净增2个(银川河东、烟台蓬莱机场),完成旅客吞吐量占全部境内机场旅客吞吐量的83.3%,较上年降低0.3个百分点。
首都机场旅客吞吐量超过1亿人次,北京、上海和广州三大城市机场旅客吞吐量占全部境内机场旅客吞吐量的22.4%,较上年下降0.9个百分点。
2016年民航机场吞吐量排名移民阿克苏计划 2017-03-30 12:121:北京首都旅客吞吐量94393454人次2:上海浦东旅客吞吐量66002414人次3:广州白云旅客吞吐量59732147人次4:成都双流旅客吞吐量46039037人次5:昆明长水旅客吞吐量41980339人次6:深圳宝安旅客吞吐量41975090人次7:上海虹桥旅客吞吐量40460135人次8:西安咸阳旅客吞吐量36994506人次9:重庆江北旅客吞吐量35888819人次10:杭州萧山旅客吞吐量31594959人次11:厦门高崎旅客吞吐量22737610人次12:南京禄口旅客吞吐量22357998人次13:长沙黄花旅客吞吐量21296675人次14:武汉天河旅客吞吐量20771564人次15:郑州新郑旅客吞吐量20763217人次16:青岛流亭旅客吞吐量20505038人次17:乌鲁木齐地窝堡旅客吞吐量20200767人次18:海口美兰旅客吞吐量18803848人次19:三亚凤凰旅客吞吐量17369550人次20:天津滨海旅客吞吐量16871889人次21:哈尔滨太平旅客吞吐量16267130人次22:大连周水子旅客吞吐量15258209人次23:贵阳龙洞堡旅客吞吐量15105225人次24:沈阳桃仙旅客吞吐量14967228人次25:济南遥墙旅客吞吐量11616914人次26:福州长乐旅客吞吐量11606446人次27:南宁吴圩旅客吞吐量11559860人次28:兰州中川旅客吞吐量10897025人次29:太原武宿旅客吞吐量9847840人次30:长春龙嘉旅客吞吐量9493351人次31:温州龙湾旅客吞吐量8189717人次32:呼和浩特白塔旅客吞吐量8185210人次33:南昌昌北旅客吞吐量7863635人次34:宁波栎社旅客吞吐量7792305人次35:合肥新桥旅客吞吐量7391998人次36:石家庄正定旅客吞吐量7214590人次37:丽江三义旅客吞吐量6784474人次38:桂林两江旅客吞吐量6630251人次39:银川河东旅客吞吐量6341479人次40:珠海金湾旅客吞吐量6130384人次41:北京南苑旅客吞吐量5586388人次42:无锡硕放旅客吞吐量5561927人次43:烟台蓬莱旅客吞吐量5135200人次44:西宁曹家堡旅客吞吐量4681138人次45:西双版纳嘎洒旅客吞吐量4335339人次46:揭阳潮汕旅客吞吐量3818152人次47:泉州晋江旅客吞吐量3793150人次48:拉萨贡嘎旅客吞吐量3339429人次49:绵阳南郊旅客吞吐量2172922人次50:常州奔牛旅客吞吐量1955844人次51:呼伦贝尔东山旅客吞吐量1878901人次52:包头二里半旅客吞吐量1867690人次53:喀什旅客吞吐量1815091人次54:威海大水泊旅客吞吐量1735309人次55:鄂尔多斯伊金霍洛旅客吞吐量1706356人次56:张家界荷花旅客吞吐量1701712人次57:南通兴东旅客吞吐量1538158人次58:德宏芒市旅客吞吐量1537536人次59:宜昌三峡旅客吞吐量1535707人次60:榆林榆阳旅客吞吐量1513793人次61:湛江旅客吞吐量1503904人次62:徐州观音旅客吞吐量1487086人次63:延吉朝阳川旅客吞吐量1481159人次64:扬州泰州旅客吞吐量1434193人次65:大理旅客吞吐量1431116人次66:北海旅客吞吐量1234031人次67:义乌旅客吞吐量1226697人次68:盐城南洋旅客吞吐量1209004人次69:临沂沐埠岭旅客吞吐量1203387人次70:库尔勒旅客吞吐量1147634人次71:遵义旅客吞吐量1135432人次72:九寨黄龙旅客吞吐量1122223人次73:阿克苏温宿旅客吞吐量1103589人次74:赣州黄金旅客吞吐量1083240人次75:赤峰玉龙旅客吞吐量1042682人次76:伊宁旅客吞吐量1041470人次77:柳州白莲旅客吞吐量1036219人次78:泸州蓝田旅客吞吐量985108人次79:和田旅客吞吐量935314人次80:洛阳北郊旅客吞吐量915971人次81:淮安涟水旅客吞吐量861533人次82:连云港白塔埠旅客吞吐量850972人次83:运城张孝旅客吞吐量843266人次84:襄阳刘集旅客吞吐量824160人次85:腾冲驼峰旅客吞吐量805638人次86:舟山普陀山旅客吞吐量800877人次87:宜宾菜坝旅客吞吐量762935人次88:长治王村旅客吞吐量741573人次89:毕节飞雄旅客吞吐量733605人次90:通辽旅客吞吐量710474人次91:牡丹江海浪旅客吞吐量694286人次92:台州路桥旅客吞吐量691442人次93:济宁曲阜旅客吞吐量623948人次94:南阳姜营旅客吞吐量612572人次95:黄山屯溪旅客吞吐量604911人次96:南充高坪旅客吞吐量597489人次97:锡林浩特旅客吞吐量582194人次98:铜仁凤凰旅客吞吐量577645人次99:乌兰浩特义勒力特旅客吞吐量573856人次100:万州五桥旅客吞吐量550727人次101:惠州平潭旅客吞吐量545560人次102:大同云冈旅客吞吐量544530人次103:景德镇罗家旅客吞吐量543371人次104:井冈山旅客吞吐量540865人次105:潍坊旅客吞吐量540828人次106:白山长白山旅客吞吐量537709人次107:兴义旅客吞吐量519653人次108:敦煌旅客吞吐量496459人次109:恩施许家坪旅客吞吐量496148人次110:大庆萨尔图旅客吞吐量489354人次111:普洱思茅旅客吞吐量487808人次112:迪庆香格里拉旅客吞吐量486640人次113:宜春明月山旅客吞吐量469976人次114:西昌青山旅客吞吐量469089人次115:邯郸旅客吞吐量462657人次116:武夷山旅客吞吐量455688人次117:佳木斯东郊旅客吞吐量455337人次118:满洲里西郊旅客吞吐量454371人次119:阜阳旅客吞吐量450308人次120:常德桃花源旅客吞吐量413484人次121:保山云瑞旅客吞吐量410557人次122:日照山字河旅客吞吐量408507人次123:达州河市旅客吞吐量402691人次124:嘉峪关旅客吞吐量399401人次125:林芝米林旅客吞吐量389530人次126:十堰武当山旅客吞吐量388923人次127:东营胜利旅客吞吐量377826人次128:池州九华山旅客吞吐量355956人次129:佛山沙堤旅客吞吐量355904人次130:临沧旅客吞吐量353467人次131:张家口宁远旅客吞吐量351950人次132:乌海旅客吞吐量339824人次133:梅县长岗岌旅客吞吐量335974人次134:安庆旅客吞吐量325634人次135:庆阳旅客吞吐量324790人次136:齐齐哈尔三家子旅客吞吐量322120人次137:衡阳南岳旅客吞吐量311549人次138:阿勒泰旅客吞吐量298486人次139:库车龟兹旅客吞吐量273695人次140:巴彦淖尔天吉泰旅客吞吐量273136人次141:克拉玛依旅客吞吐量272585人次142:安顺黄果树旅客吞吐量250798人次143:唐山三女河旅客吞吐量240999人次144:延安二十里堡旅客吞吐量236909人次145:广元盘龙旅客吞吐量236664人次146:秦皇岛北戴河旅客吞吐量231240人次147:攀枝花保安营旅客吞吐量228508人次148:六盘水月照旅客吞吐量227958人次149:昌都邦达旅客吞吐量225666人次150:昭通旅客吞吐量224051人次151:吕梁大武旅客吞吐量213797人次152:丹东浪头旅客吞吐量211516人次153:衢州旅客吞吐量208219人次154:汉中城固旅客吞吐量195178人次155:鸡西兴凯湖旅客吞吐量190754人次156:稻城亚丁旅客吞吐量186350人次157:玉树巴塘旅客吞吐量181215人次158:哈密旅客吞吐量163528人次159:锦州锦州湾旅客吞吐量158154人次160:黔江武陵山旅客吞吐量153443人次161:鞍山腾鳌旅客吞吐量152647人次162:临汾乔李旅客吞吐量151093人次163:格尔木旅客吞吐量149056人次164:黑河旅客吞吐量140752人次165:塔城旅客吞吐量138353人次166:甘孜康定旅客吞吐量133669人次167:朝阳旅客吞吐量132273人次168:加格达奇旅客吞吐量132221人次169:博乐阿拉山口旅客吞吐量129030人次170:伊春林都旅客吞吐量122081人次171:二连浩特赛乌素旅客吞吐量121788人次172:张掖甘州旅客吞吐量117637人次173:连城冠豸山旅客吞吐量115931人次174:怀化芷江旅客吞吐量115518人次175:营口蓝旗旅客吞吐量115468人次176:金昌金川旅客吞吐量114797人次177:永州零陵旅客吞吐量112039人次178:忻州五台山旅客吞吐量111585人次179:天水麦积山旅客吞吐量109207人次180:固原六盘山旅客吞吐量107358人次181:阿尔山伊尔施旅客吞吐量105043人次182:中卫香山旅客吞吐量102834人次183:布尔津喀纳斯旅客吞吐量99574人次184:百色巴马旅客吞吐量99489人次185:凯里黄平旅客吞吐量94137人次186:那拉提旅客吞吐量92634人次187:文山普者黑旅客吞吐量91699人次188:甘南夏河旅客吞吐量91556人次189:通化三源浦旅客吞吐量74831人次190:漠河古莲旅客吞吐量72505人次191:梧州长洲岛旅客吞吐量70639人次192:三明沙县旅客吞吐量69734人次193:乌兰察布集宁旅客吞吐量66507人次194:海西德令哈旅客吞吐量62961人次195:抚远东极旅客吞吐量62509人次196:阿里昆莎旅客吞吐量62341人次197:阿拉善左旗巴彦浩特旅客吞吐量56690人次198:吐鲁番交河旅客吞吐量55373人次199:日喀则旅客吞吐量48132人次200:黎平旅客吞吐量47358人次201:黔南州荔波旅客吞吐量46242人次202:宁蒗泸沽湖旅客吞吐量40090人次203:富蕴可可托海旅客吞吐量38805人次204:石河子花园旅客吞吐量38646人次205:河池金城江旅客吞吐量30299人次206:阿坝红原旅客吞吐量24713人次207:海西花土沟旅客吞吐量24082人次208:神农架红坪旅客吞吐量18074人次209:额济纳旗桃来旅客吞吐量17264人次210:果洛旅客吞吐量12369人次211:琼海博鳌旅客吞吐量10696人次212:阿拉善右旗巴丹吉林旅客吞吐量5041人次213:长海大长山岛旅客吞吐量3392人次214:沧源佤山旅客吞吐量2773人次215:且末旅客吞吐量1464人次216:三沙永兴旅客吞吐量759人次217:扎兰屯成吉思汗旅客吞吐量432人次218:九江庐山(2016年5月注销)旅客吞吐量219:安康旅客吞吐量•民用航空•张家界•兴凯湖•武当山。
中国民航机场旅客吞吐量、周转量、运输量及发展前景分析2019年我国民航机场旅客吞吐量持续提升。
2019年我国民航旅客吞吐量13.52亿人次,较2018年增长 6.9%,增速有所放缓。
分航线看,国内航线完成121227.3万人次,比上年增长 6.5%(其中内地至香港、澳门和台湾地区航线完成2784.8万人次,比上年减少3.1%);国际航线完成13935.5万人次,比上年增长10.4%。
2019年我国东部地区机场实现旅客吞吐量7.1亿人次,较上年增长5.4%;中部地区实现1.6亿人次,较上年增长10.8%;西部地区实现4.0亿人次,较上年增长8.3%;东北地区为0.8亿人次,较上年增长6.2%。
相较来看,中部地区提升最为明显。
从地区分布来看,东部地区占比最大,占全国吞吐量的52.5%;其次是西部地区,占比为29.8%;中部地区、东北地区占比分别为11.5%和6.2%。
2014-2019年,我国民航主要客运能力指标保持平稳增长,其中2019年全行业完成旅客周转量11705.1亿人公里,较2018年增长9.3%。
国内航线完成旅客周转量8520.2亿人公里,较2018年增长8.0%,其中港澳台航线完成160.5亿人公里,较2018年下降2.8%;国际航线完成旅客周转量3185.0亿人公里,较2018年增长12.8%。
相较而言,国际航线旅客周转量增长的更快,提升更为明显。
在民航旅客周转量稳步提升的同时,我国民航旅客运输量也逐年提升。
2019年,全行业完成旅客运输量6.6亿人次,较2018年增长7.9%。
2014-2019年,我国国内航线旅客运输量逐年增长。
2019年,我国国内航线完成旅客运输量5.9亿人次,较2018年增长6.9%。
其中港澳台航线完成1107.6万人次,较2018年下降1.7%。
2014-2019年,我国国际航线旅客运输量呈现上升趋势。
2019年,国际航线完成旅客运输量7425万人次,较2018年增长16.6%。
比上年同期比上年同期比上年同期增减%增减%增减%合计914,773,311831,533,05110.014,094,00313,560,841.0 3.98,565,5267,933,1108.0北京/首都189,939,04986,128,313 4.421,889,439.51848251.5 2.21590,199581,952 1.4上海/浦东260,098,07351,687,89416.313,275,231.13,181,654 2.92449,171402,105.011.7广州/白云355,201,91554,780,3460.831,537,758.91,454,044 5.83409,679412,210.0-0.6成都/双流442,239,46837,675,23212.15556,552.1545,011 2.16293,643270,054.08.7深圳/宝安539,721,61936,272,7019.541,013,690.5963,871 5.24305,461286,346.0 6.7上海/虹桥639,090,86537,971,135 2.96433,600.1432,1760.38256,603253,325.0 1.3昆明/长水737,523,09832,230,88316.49355,422.8316,67212.25300,406270,529.011.0西安/咸阳832,970,21529,260,75512.714211,591.5186,41313.57267,102245,971.08.6重庆/江北932,402,19629,264,36310.711318,781.5302,336 5.49255,414238,085.07.3杭州/萧山1028,354,43525,525,86211.17424,932.7398,558 6.610232,079213,268.08.8厦门/高崎1121,814,24420,863,786 4.612310,606.6306,385 1.413180,112174,315.0 3.3南京/禄口1219,163,76816,283,81617.710326,026.5304,3257.114166,858144,278.015.7武汉/天河1318,942,03817,277,1049.617154,656.2143,0308.115164,524157,596.0 4.4长沙/黄花1418,715,27818,020,501 3.921122,022.1125,038-2.418153,367152,359.00.7乌鲁木齐/地窝堡1518,506,46316,311,14013.516156,469.8162,711-3.819153,097142,266.07.6青岛/流亭1618,202,08516,411,78910.915208,064.0204,419 1.816155,483142,452.09.1郑州/新郑1717,297,38515,805,4439.48403,339.0370,4218.917154,468147,696.0 4.6三亚/凤凰1816,191,93014,942,3568.42885,369.375,64612.924108,532102,074.0 6.3海口/美兰1916,167,00413,853,85916.720135,944.6121,13112.221121,825105,861.015.1天津/滨海2014,314,32212,073,04118.613217,279.2233,359-6.920125,693114,557.09.7大连/周水子2114,154,13013,551,223 4.419137,048.1133,490 2.722117,794115,284.0 2.2哈尔滨/太平2214,054,35712,239,02614.823116,103.8106,5609.025108,42897,746.010.9贵阳/龙洞堡2313,244,98212,525,537 5.72687,207.082,063 6.323116,914113,424.0 3.1沈阳/桃仙2412,680,11812,800,272-0.918142,069.6138,318 2.72799,56397,172.0 2.5福州/长乐2510,887,2929,353,41416.422116,497.5121,383-4.02896,12786,944.010.6南宁/吴圩2610,393,7289,412,24610.42495,710.390,353 5.92986,87380,496.07.9济南/遥墙279,520,8878,708,9509.32786,336.880,5037.23086,15883,551.0 3.1太原/武宿288,842,9877,931,90211.53545,463.644,864 1.33379,37673,211.08.4长春/龙嘉298,556,1827,421,72615.32977,793.973,561 5.83767,76360,751.011.5兰州/中川308,009,0406,588,86221.63450,093.846,967 6.73667,83557,481.018.0南昌/昌北317,487,9307,240,861 3.43351,080.546,06610.93867,30465,402.0 2.9呼和浩特/白塔327,446,2506,469,63215.14036,077.836,752-1.83474,50965,690.013.4温州/龙湾337,360,4676,802,1798.23172,638.168,828 5.53961,75059,135.0 4.4宁波/栎社346,855,0756,359,1397.83077,054.278,024-1.24356,11053,897.0 4.1合肥/新桥356,613,1115,974,59910.73251,291.146,42610.54157,29453,056.08.0桂林/两江366,361,0456,897,741-7.84329,519.535,842-17.64454,08960,804.0-11.0石家庄/正定375,985,3895,601,017 6.93644,693.945,555-1.94256,72856,216.00.9丽江/三义385,626,3074,852,28416.0528,291.17,03817.84845,93842,710.07.6银川/河东395,389,9084,663,80915.64133,326.131,1337.04747,05843,025.09.4北京/南苑405,265,2014,929,241 6.83836,755.637,250-1.35042,12942,638.0-1.2珠海/金湾414,708,7064,075,91815.54425,828.122,12816.74550,47850,939.0-0.9无锡/硕放424,609,3444,180,03810.32589,060.096,120-7.35338,56935,781.07.8烟台/蓬莱434,246,5814,305,822-1.43936,610.838,603-5.24944,42443,091.03.12014年名次2015年2014年名次机场名称名次2015年2014年2015年民航机场吞吐量排名2015-01-01 至 2015-12-31旅客吞吐量(人)货邮吞吐量(吨)起降架次(次)2015年。
中国机场旅客吞吐量分析2018年全国各大机场旅客吞吐量排行。
对比2017年,北京首都机场成功破亿,广州白云机场差点破7000万,成都双流机场成功破5000万,重庆江北机场成功破4000万,3000万级依旧没有突破,2000万机场增加了三座,千万大关增加了5座。
相关报告《2020-2026年中国民航客运行业市场消费调查及投资策略分析报告》2019上半年,国内机场旅客吞吐量达到6.6亿人次,同比增长7%,中国一线枢纽机场具备天然垄断性,机场航空性收入仍具备成长性,同时非航收入空间巨大,进入流量发现阶段。
中国机场:旅客吞吐量:长春中国的机场:旅客吞吐量:长春在10-01-2019达1,193.700千人次,相较于09-01-2019的1,163.500千人次有所增长。
中国机场:旅客吞吐量:长春数据按月更新,01-01-2007至10-01-2019期间平均值为549.100千人次,共154份观测结果。
该数据的历史最高值出现于08-01-2019,达1,265.500千人次,而历史最低值则出现于01-01-2007,为196.700千人次。
中国机场:旅客吞吐量:长沙中国的机场:旅客吞吐量:长沙在10-01-2019达2,405.100千人次,相较于09-01-2019的2,313.800千人次有所增长。
中国机场:旅客吞吐量:长沙数据按月更新,01-01-2007至10-01-2019期间平均值为1,331.900千人次,共153份观测结果。
该数据的历史最高值出现于08-01-2019,达2,594.000千人次,而历史最低值则出现于01-01-2007,为501.000千人次。
中国机场:旅客吞吐量:成都中国的机场:旅客吞吐量:成都在10-01-2019达4,862.600千人次,相较于09-01-2019的4,539.500千人次有所增长。
中国机场:旅客吞吐量:成都数据按月更新,01-01-2007至10-01-2019期间平均值为2,825.700千人次,共154份观测结果。
龙源期刊网 昆明长水国际机场作者:来源:《青年与社会》2016年第30期昆明长水国际机场是云南省国家级空港口岸,是全球百强机场之一,是中国面向东南亚、南亚和连接欧亚的国家门户枢纽机场,中国西南部地区唯一的国家门户枢纽机场。
2015年昆明机场以3752.3万人次的年旅客吞吐量位列世界机场第46位,国内排名第7位。
概况:昆明长水国际机场,前身是昆明巫家坝国际机场(建于1922年,是国内第二个民用机场),现位于中国云南省省会昆明市官渡区大板桥街道长水村与花箐村,在昆明市东北24.5公里处,海拔2102米,占地22.97平方公里。
始建于2007年,2012年6月28日全面建成,主要面向东南亚、南亚、西亚,联接欧洲、亚洲、非洲。
该机场是继北京首都机场、上海浦东机场之后第三家实现双跑道独立运营模式的机场。
规划吞吐量:旅客吞吐量3800万人次、货邮吞吐量95万吨、飞机起降30.3万架次,远期可达8000万人次。
飞行跑道:一期两条平行跑道(东跑道长4500米、宽60米,西跑道长4000米,宽45米)、飞行区等级为按照4F标准规划(能够起降并停靠全球载客量最大的客机空客A380、二期为4F标准),一期、二期共4条跑道。
采用双跑道独立运行模式。
航站楼:昆明长水国际机场计划建设两座航站楼,现在建成使用的为T1航站楼,2020年前将建设完成T2航站楼。
航站楼建筑占地15.91万平方米,总建筑面积54.83万平方米,为地上三层(局部四层)、地下三层构型,是国内单体面积最大的航站楼以及仅次于首都国际机场T3的第二大航站楼,建成后也将超越墨西哥城机场成为世界第五大航站楼。
航站楼装修设计以金色为主体建筑主色调,以灰色为内部地面基本色,让现代元素与云南民族特色相互辉映。
整个室内装修设计符合机场大流量交通建筑的特点,在吸取国内外机场建设经验的同时,着力表现云南昆明新机场的鲜明建筑特色。
服务设施:提供站坪机位84个,其中近机位68个。
2015排名机场名称2015年度旅客
吞吐量(单
位:万人次)
2014年度旅客
吞吐量(单
位:万人次)
2014排名增速
1北京首都国际机场899086131(-) 4.38% 2上海浦东国际机场60085165.183(+1)16.32% 3广州白云国际机场55215478.032(-1)0.80% 4成都双流国际机场4220.413771.235(+1)11.91% 5深圳宝安国际机场3972.183627.276(+1)9.51% 6上海虹桥国际机场39003797.114(-2) 2.90% 7昆明长水国际机场3765.393223.087(-)16.83% 8西安咸阳国际机场32802926.079(+1)12.10% 9重庆江北国际机场3238.732926.438(-1)10.67% 10杭州萧山国际机场29302552.5810(-)14.79% 11厦门高崎国际机场22202086.411(-) 6.40% 12南京禄口国际机场19901628.3816(+4)22.21% 13武汉天河国际机场1894.21727.7113(-)9.64% 14长沙黄花国际机场1866.91802.0512(-2) 3.60% 15乌鲁木齐地窝堡国际机场18511631.115(-)13.48% 16青岛流亭国际机场1830.211641.214(-2)11.52% 17郑州新郑国际机场1729.741580.5417(-)9.44% 18三亚凤凰国际机场16191494.2318(-)8.35% 19海口美兰国际机场1616.791385.3819(-)16.70% 20天津滨海国际机场1431.4120724(+4)18.59% 21大连周水子国际机场14151355.1220(-1) 4.60% 22哈尔滨太平国际机场1405.41223.923(+1)14.83% 23贵阳龙洞堡国际机场1324.51252.622(-1) 5.74% 24沈阳桃仙国际机场1268128021(-3)-0.90% 25福州长乐国际机场1088935.3426(+1)16.32% 26南宁吴圩国际机场1039.4941.2225(-1)10.43%
制表:周沈安。