八年级数学华东师大版上学期期末试卷及复习资料
- 格式:doc
- 大小:2.16 MB
- 文档页数:8
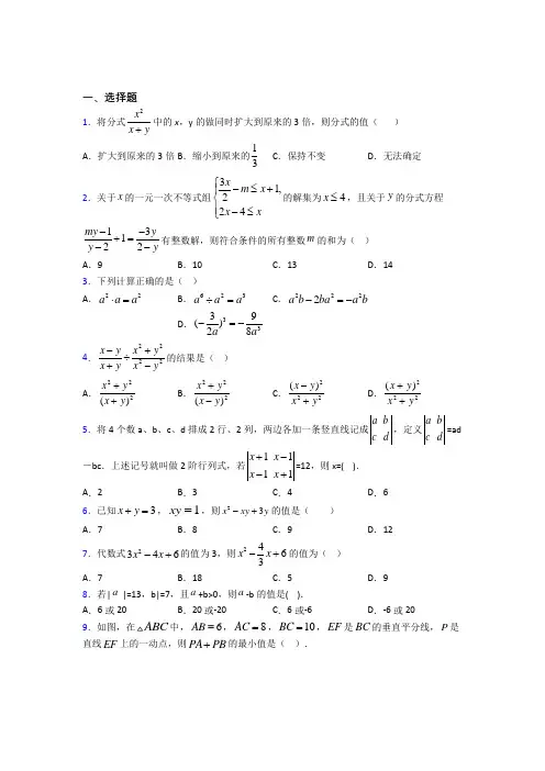
一、选择题1.若关于x 的一元一次不等式组()()1112232321x x x a x ⎧-≤-⎪⎨⎪-≥-⎩恰有3个整数解,且使关于y 的分式方程3133y ay y y++=--有正整数解,则所有满足条件的整数a 的值之和是( ) A .4B .5C .6D .3 2.若方程21224k x x -=--有增根,则k =( ) A .4- B .14- C .4 D .14 3.已知227x ,y ==-,则221639y x y x y ---的值为( ) A .-1B .1C .-3D .3 4.计算a b a b a ÷⨯的结果是() A .a B .2aC .2b aD .21a 5.根据等式:()()2111x x x -+=-,()()23111,x x x x -++=-()()324111x x x x x -+++=-,()()4325111,x x x x x x -++++=-……的规律,则可以推算得出2021202020192222...221++++++的末位数字是( )A .1B .3C .5D .7 6.若关于x 的方程250x a b ++=的解是3x =-,则代数式6210a b --的值为( ) A .6-B .0C .12D .18 7.下列各多项式中,能用平方差公式分解因式的是( ) A .21x -+B .21x +C .21x --D .221x x -+ 8.下列运算正确的是( ). A .236x x x =B .2242x x x +=C .22(2)4x x -=-D .358(3)(5)15a a a --=9.如图,在平面直角坐标系xOy 中,点A 的坐标为()4,3-,点P 在x 轴上,且使AOP 为等腰三角形,符合题意的点P 的个数为( ).A .2B .3C .4D .510.如图,在锐角ABC 中,AB AC =,D ,E 是ABC 内的两点,AD 平分BAC ∠,60EBC E ∠=∠=,若6BE cm =,2DE cm =,则BC 的长度是( )A .6cmB .6.5cmC .7cmD .8cm11.如图,点D 在线段BC 上,若1802ACE ABC x ∠=︒-∠-︒,且BC DE =,AC DC =,AB EC =,则下列角中,大小为x ︒的角是( )A .EFC ∠B .ABC ∠ C .FDC ∠D .DFC ∠ 12.如图,△ABC 中AC 边上的高是哪条垂线段.( )A .AEB .CDC .BFD .AF二、填空题13.计算:222213699211-+-+⋅⋅=--++x x x x x x x x ___________. 14.化简:(﹣2y x)3÷(223⋅y x x y )=_______________. 15.已知102m =,103n =,则32210m n ++=_______.16.如图,点D 、E 是ABC 的边BC 上的点,且AED n ∠=︒,::1:3:2CAD DAE BAE ∠∠∠=,若点D 在边AC 的垂直平分线上,点E 在边AB 的垂直平分线上,则n =________.17.分解因式:2a 2﹣8=______.18.如图,在ABC 中,12 cm AB AC ==, 6 cm BC =,D 为AC 的中点,动点P 从点A 出发,以每秒1 cm 的速度沿A B C --的方向运动,设运动时间为t ,当过D ,P 两点的直线将ABC 的周长分成两部分,当其中一部分是另一部分的2倍时,t =_________.19.如图,9cm AB =,3cm AC =,点P 在线段AB 上以1cm/s 的速度由点B 向点A 运动,同时点Q 在射线BD 上以x cm/s 的速度由点B 沿射线BD 的方向运动,它们运动的时间为t (s )(1)如图①,若AC AB ⊥,BD AB ⊥,当ACP BPQ △≌△,x =________;CPQ ∠=________.(2)如图②,CAB DBA ∠=∠,当ACP △与BPQ 全等,x =________;20.如图,点D 在ABC 的边BA 的延长线上,点E 在BC 边上,连接DE 交AC 于点F ,若3117DFC B ∠∠==︒,C D ∠=∠,则BED ∠=________.三、解答题21.某社区为了落实“惠民工程”,计划将社区的居民自来水管道进行改造.该工程若由甲队单独施工恰好在规定时间内完成;若乙队单独施工,则完成工程所需天数是规定天数的3倍.如果由甲、乙队先合做15天,那么余下的工程由甲队单独完成还需10天. (1)这项工程的规定时间是多少天?(2)已知甲队每天的施工费用为6500元,乙队每天的施工费用为3500元.为了缩短工期以减少对居民用水的影响,工程指挥部最终决定该工程由甲、乙队合做来完成.则该工程施工费用是多少?22.先化简,再求值:2246221121x x x x x x ++⎛⎫-÷⎪---+⎝⎭,其中x 取-1、+1、-2、-3中你认为合理的数.23.计算(1)()()433a a -⋅- (2)(ab 2)2 •(﹣a 3b )3÷(﹣5ab )24.如图,在8×8的网格中,每个小正方形的边长为1,每个小正方形的顶点称为格点,Rt △ABC 的每个顶点都在格点上,利用网格点,只用无刻度的直尺,在给定的网格中按要求画图.(1)画△ABC 的角平分线CD 交AB 于点D ;(2)画AB 边的垂直平分线l 交直线CD 于点P .25.如图,在ABC ∆中,90,C ∠=︒点D 在BC 上,过点D 作DE AB ⊥于点,E 点F 是AC 边上一点,连接DF .若,BD DF CF EB ==,求证:AD 平分BAC ∠.26.已知:180,BDG EFG B DEF ∠+∠=︒∠=∠.(1)如图1,求证://DE BC .(2)如图2,当90A EFG ∠=∠=︒时,请直接写出与C ∠互余的角.【参考答案】***试卷处理标记,请不要删除一、选择题1.A解析:A【分析】不等式组整理后,根据已知解集确定出a 的范围,分式方程去分母转化为整式方程,由分式方程有正整数解,确定出a 的值,求出之和即可.【详解】关于x 的一元一次不等式组整理得:325x a x ≤⎧⎪+⎨≥⎪⎩, ∵325x a x ≤⎧⎪+⎨≥⎪⎩恰有3个整数解,∴2015a +<≤,即:23a -<≤, 关于y 的分式方程3133y ay y y ++=--,整理得:6y a =, ∵3133y ay y y ++=--有正整数解且63a≠, ∴满足条件的整数a 的值为:1,3∴所有满足条件的整数a 的值之和是4,故选A .【点睛】此题考查了分式方程的解,以及解一元一次不等式组,熟练掌握求一元一次不等式组的解以及解分式方程的步骤,是解题的关键.2.B解析:B【分析】先根据题意对原分式方程去分母,化为整式方程,然后根据增根的情况代入整式方程求解即可.【详解】去分母得:()()22421x k x --+=, 整理得:22290x kx k ---=,∵原分式方程有增根,∴240x -=,解得增根即为:2x =±,当2x =时,代入整式方程得:82290k k ---=,解得: 14k =-, 当2x =-时,代入整式方程无意义, ∴14k =-故选:B【点睛】本题考查分式方程的增根,熟记增根是使最简公分母为零的数同时是对应整式方程的解,两者缺一不可. 3.B解析:B【分析】先通分,再把分子相加减,把x 、y 的值代入进行计算即可.【详解】原式=()()16333y x y x y x y --+-=()()3633x y yx y x y +-+-=()()333x y x y x y -+- =13x y+, 当227x ,y ==-,原式=112221=-, 故选B .【点睛】 本题考查的是分式的化简求值,分式求值题中比较多的题型主要有三种:转化已知条件后整体代入求值;转化所求问题后将条件整体代入求值;既要转化条件,也要转化问题,然后再代入求值.4.C解析:C【分析】先把除法变成乘法,然后约分即可.【详解】 解:2a b b b b a a b a a a a÷⨯=⋅⋅=, 故选:C .【点睛】本题考查了分式的乘除混合运算,解题的关键是熟练掌握乘除混合运算法则. 5.B解析:B【分析】利用题目给出的规律:把2021202020192222...221++++++乘(2-1)得出22022-1,研究22022的末位数字规律,进一步解决问题.【详解】解:由题目中等式的规律可得:2021202020192222...221++++++=(2-1)×2021202020192(222...221)++++++=22022-1,21的末位数字是2,22的末位数字是4,23的末位数字是8,24的末位数字是6,25的末位数字是2…,所以2n 的末位数字是以2、4、8、6四个数字一循环.2022÷4=505…2,所以22022的末位数字是4,22022-1的末位数字是3.故选:B【点睛】此题考查了平方差公式,乘方的末位数字的规律,尾数特征,注意从简单情形入手,发现规律,解决问题.6.A解析:A【分析】将方程的解代回方程得56a b +=,再整体代入代数式求值即可.【详解】解:把3x =-代入原方程得650a b -++=,即56a b +=,则()62106256126a b a b --=-+=-=-.故选:A .【点睛】本题考查代数式求值和方程解的定义,解题的关键是掌握方程解的定义,以及利用整体代入的思想求值.7.A解析:A【分析】根据平方差公式:两个数平方的差,等于这两个数的和与差的平方解答.【详解】A 、21x -+,能用平方差公式分解因式;B 、21x +,不能用平方差公式分解因式;C 、21x --,不能用平方差公式分解因式;D 、221x x -+,不能用平方差公式分解因式;故选:A .【点睛】此题考查平方差公式:22()()a b a b a b -=+-,掌握公式中多项式的特点是解题的关键. 8.D解析:D【分析】根据整式的同底数幂的乘法,合并同类项,积的乘方,单项式乘以单项式计算并判断.【详解】A 、235x x x =,故该项错误;B 、2222x x x +=,故该项错误;C 、22(2)4x x -=,故该项错误;D 、358(3)(5)15a a a --=,故该项正确;故选:D .【点睛】此题考查整式的计算,正确掌握整式的同底数幂的乘法,合并同类项,积的乘方,单项式乘以单项式计算法则是解题的关键.9.C解析:C【分析】以O 为圆心,AO 长为半径画圆可得与x 轴有2个交点,再以A 为圆心,AO 长为半径画圆可得与x 轴有1个交点,然后再作AO 的垂直平分线可得与x 轴有1个交点.【详解】解:如图所示:点P 在x 轴上,且使△AOP 为等腰三角形,符合题意的点P 的个数共4个,故选:C .【点睛】此题主要考查了等腰三角形的判定,关键是考虑全面,作图不重不漏.10.D解析:D【分析】延长ED 交BC 于点M ,延长AD 交BC 于点N ,过点D 作//DF BC 交BE 于点F ,根据等腰三角形的性质得出AN BC ⊥,BN CN =,根据60EBC E ∠=∠=,得出EBM △是等边三角形,进而得到6EB EM BM cm ===,通过//DF BC ,证明EFD △是等边三角形,进而得到2EF FD ED cm ===,所以求出4DM cm =,根据直角三角形的性质得到MN 的长度,从而得出BN 的长度,最后求出BC 的长度.【详解】延长ED 交BC 于点M ,延长AD 交BC 于点N ,过点D 作//DF BC 交BE 于点F ,如图,AB AC =,AD 平分BAC ∠,∴AN BC ⊥,BN CN =,∴90ANB ANC ∠=∠=,60EBC E ∠=∠=,∴EBM △是等边三角形,6BE cm =,∴6EB EM BM cm ===,//DF BC ,∴60EFD EBM ∠=∠=,∴EFD △是等边三角形,2DE cm =,∴2EF FD ED cm ===,∴4DM cm =,EBM △是等边三角形,∴60EMB ∠=,∴30NDM ∠=,∴2NM cm =,∴4BN BM NM cm =-=,∴28BC BN cm ==.故选:D .【点睛】本题考查了等腰三角形的性质和等边三角形的性质,直角三角形中30角所对的直角边是斜边长的一半,求出MN 的长度是解决问题的关键.11.C解析:C【分析】先证明()ABC CED SSS ∆≅∆得到B E ∠=∠、FCD FDC ∠=∠,再根据1802ACE ABC x ∠=︒-∠-︒可得2CFE x ∠=︒;然后根据外角的性质可得2EFC FDC FCD FDC ∠=∠+∠=∠即可解答.【详解】解:在ABC ∆和CED ∆中,AC CD AB CE BC ED =⎧⎪=⎨⎪=⎩,()ABC CED SSS ∴∆≅∆,B E ∴∠=∠,FCD FDC ∠=∠1802180ACE ABC x E CFE ∠=︒-∠-︒=︒-∠-∠,2CFE x ∴∠=︒,2EFC FDC FCD FDC ∠=∠+∠=∠=2x ︒,FDC x ∴∠=︒.故答案为C .【点睛】本题主要考查全等三角形的判定和性质、三角形的外角的性质等知识,弄清题意、理清角之间的关系是解答本题的关键.12.C解析:C【分析】根据三角形的高的定义,△ABC 中AC 边上的高是过B 点向AC 作的垂线段,即为BF .【详解】解:∵BF ⊥AC 于F ,∴△ABC 中AC 边上的高是垂线段BF .故选:C .【点睛】本题考查了三角形的高的定义,关键是根据从三角形的一个顶点向它的对边作垂线,垂足与顶点之间的线段叫做三角形的高解答.二、填空题13.【分析】先将分子和分母分解因式再计算乘法并将结果化为最简分式【详解】【点睛】此题考查分式的乘法计算法则:分子相乘作积的分子分母相乘作积的分母 解析:31x x -- 【分析】先将分子和分母分解因式,再计算乘法,并将结果化为最简分式.【详解】2222221369(1)(1)3(3)39211(3)(3)(1)11-+-++-+--⋅=⋅⋅=--+++--+-x x x x x x x x x x x x x x x x x x . 【点睛】此题考查分式的乘法计算法则:分子相乘作积的分子,分母相乘作积的分母.14.﹣【分析】按照先乘方再乘除的运算顺序进行计算即可得到结论;【详解】解:原式=﹣÷=﹣•=﹣故答案为:﹣【点睛】本题考查分式的混合运算按照正确的运算顺序进行运算并及时化简是解题的关键解析:﹣25y x【分析】按照先乘方再乘除的运算顺序进行计算即可得到结论;【详解】 解:原式=﹣36y x ÷y x=﹣36y x •x y=﹣25y x, 故答案为:﹣25y x. 【点睛】本题考查分式的混合运算,按照正确的运算顺序进行运算并及时化简是解题的关键. 15.7200【分析】根据幂的乘方法则分别求出和的值然后根据同底数幂的乘法运算法则计算即可【详解】解:∵∴∴故答案为:7200【点睛】本题考查同底数幂的乘法和幂的乘方解题的关键是掌握运算法则解析:7200【分析】根据幂的乘方法则分别求出3m 10和210n 的值,然后根据同底数幂的乘法运算法则计算即可.【详解】解:∵102m =,103n =,∴()33m 10108m ==,()22n 10109n ==, ∴3m+2n+232210101010891007200m n =⋅⋅=⨯⨯=,故答案为:7200.【点睛】本题考查同底数幂的乘法和幂的乘方,解题的关键是掌握运算法则.16.80【分析】先根据垂直平分线的性质和等边对等角可得∠DAC=∠C ∠BEA=∠B 再根据比例关系设根据三角形内角和定理可求得x 再根据三角形外角的性质可得∠AED 【详解】解:∵点D 在边AC 的垂直平分线上点 解析:80【分析】先根据垂直平分线的性质和等边对等角可得∠DAC=∠C ,∠BEA=∠B ,再根据比例关系设,3,2CAD x DAE x BAE x ∠=∠=∠=,根据三角形内角和定理可求得x ,再根据三角形外角的性质可得∠AED .【详解】解:∵点D 在边AC 的垂直平分线上,点E 在边AB 的垂直平分线上,∴AD=CD ,AE=BE ,∴∠DAC=∠C ,∠BAE=∠B ,∵::1:3:2CAD DAE BAE ∠∠∠=,∴设,3,2CAD x DAE x BAE x ∠=∠=∠=,∴,2C x B x ∠=∠=,∵∠B+∠C+∠BAC=180°,∴322180x x x x x ++++=︒,解得20x =︒,∴22480AED BAE B x x x ∠=∠+∠=+==︒,即n=80,故答案为:80.【点睛】本题考查垂直平分线的性质,等边对等角,三角形内角和定理和三角形外角的性质.理解线段垂直平分线上的点到线段两端距离相等是解题关键.17.2(a+2)(a-2)【分析】先提取公因式2再对余下的多项式利用平方差公式继续分解【详解】解:2a2-8=2(a2-4)=2(a+2)(a-2)故答案为:2(a+2)(a-2)【点睛】本题考查了用提解析:2(a+2)(a-2)【分析】先提取公因式2,再对余下的多项式利用平方差公式继续分解.【详解】解:2a 2-8,=2(a 2-4),=2(a+2)(a-2).故答案为:2(a+2)(a-2).【点睛】本题考查了用提公因式法和公式法进行因式分解,一个多项式有公因式首先提取公因式,然后再用其他方法进行因式分解,同时因式分解要彻底,直到不能分解为止.18.4或14秒【分析】由于动点P 从点A 出发沿的方向运动所以分两种情况进行讨论:(1)P 点在AB 上时设P 点运动了t 秒用含t 的代数式分别表示BPAP 根据条件过DP 两点的直线将的周长分成两部分使其中一部分是另解析:4或14秒.【分析】由于动点P 从点A 出发,沿A B C --的方向运动,所以分两种情况进行讨论:(1)P 点在AB 上时,设P 点运动了t 秒,用含t 的代数式分别表示BP ,AP ,根据条件过D ,P 两点的直线将ABC 的周长分成两部分,使其中一部分是另一部分的2倍,求出t 的值;(2)P 点在BC 上时,同理,可解得t 的值.【详解】解:分两种情况:(1)P 点在AB 上时,如图,∵12 cm AB AC ==,1 6 cm 2AD CD AC ===, 设P 点运动了t 秒,则AP t =,12BP t =-,由题意得: ()12AP AD BP BC CD +=++或()12AP AD BP BC CD +=++, ∴()1612662t t +=-++①或1(6)12662t t +=-++②, 解①得4t =秒,解②得,14t =(舍去);(2)P 点在BC 上时,如图,P 点运动了t 秒,则AB BP t +=,18PC AB BC t t =+-=-,由题意得:()2AD AB BP PC CD ++=+或()2AD AB BP PC CD ++=+, ∴()62186t t +=-+①或()26186t t +=-+②解①得14t =秒,解②得,4t =秒(舍去).故当4t =或14秒时,过D 、P 两点的直线将ABC 的周长分成两个部分,使其中一部分是另一部分的2倍.故答案为4或14秒.【点睛】本题考查了等腰三角形的性质及动点问题.解答此题时要分情况进行讨论,不要漏解. 19.90°2或【分析】(1)根据全等找出对应边利用BP 边求得时间再在BQ 边上求速度再运用全等三角形的性质即可证明角度;(2)结合条件对与全等时的情况进行分析分类讨论即可【详解】(1)当时又;(2)①当时解析:90° 2或23【分析】(1)根据全等找出对应边,利用BP 边求得时间,再在BQ 边上求速度,再运用全等三角形的性质,即可证明角度;(2)结合条件,对ACP △与BPQ 全等时的情况进行分析,分类讨论即可.【详解】(1)当ACP BPQ △≌△时,3AC PB ==,936AP BQ cm ==-=, 331cm t s cm /s ∴==,623cm x cm /s s==, 又CPA PQB ∠=∠,90PQB QPB ∠+∠=︒,90CPA QPB ∴∠+∠=︒,18090CPQ ∴∠=︒-︒=90︒;(2)①当ACP BPQ △≌△时,3AC BP ==,936AP BQ ==-=, 此时,331cm t s cm /s ==,623cm x cm /s s==; ②当ACP BQP △≌△时, 3AC BQ ==,92AP BP ==, 此时,99212cm t s cm /s ==,32932cm x cm /s s ==; 综上:当ACP △与BPQ 全等,2x cm /s =或23cm /s . 【点睛】本题考查了全等三角形的性质及判定,熟练掌握全等三角形的性质是解题关键. 20.102°【分析】首先根据∠DFC =3∠B =117°可以算出∠B =39°然后设∠C =∠D =x°根据外角与内角的关系可得39+x +x =117再解方程即可得到x =39再根据三角形内角和定理求出∠BED 的度解析:102°【分析】首先根据∠DFC =3∠B =117°,可以算出∠B =39°,然后设∠C =∠D =x°,根据外角与内角的关系可得39+x +x =117,再解方程即可得到x =39,再根据三角形内角和定理求出∠BED 的度数.【详解】解:∵∠DFC =3∠B =117°,∴∠B =39°,设∠C =∠D =x°,39+x +x =117,解得:x =39,∴∠D =39°,∴∠BED =180°−39°−39°=102°.故答案为:102°.【点睛】此题主要考查了三角形外角的性质,关键是掌握三角形的一个外角等于和它不相邻的两个内角的和.三、解答题21.(1)这项工程的规定时间是30天;(2)该工程的费用为225000元【分析】(1)设这项工程的规定时间是x 天,根据甲、乙队先合做15天,余下的工程由甲队单独需要10天完成,可得出方程解答即可;(2)先计算甲、乙合作需要的时间,然后计算费用即可.【详解】(1)设这项工程的规定时间是x 天,根据题意得:1110()1513x x x+⨯+=, 解得:x =30.经检验x =30是原分式方程的解.答:这项工程的规定时间是30天;(2)该工程由甲、乙队合做完成,所需时间为:111()22.530303÷+=⨯(天), 则该工程施工费用是:()22.565003500225000⨯+=(元).答:该工程的费用为225000元.【点睛】本题考查了分式方程的应用,解答此类工程问题,经常设工作量为“单位1”,注意仔细审题,运用方程思想解答.22.22(1)x x -+;3x =-;4 【分析】先算分式的减法运算,再把除法化为乘法,进行约分化简,再代入求值,即可.【详解】原式2462(1)2(1)(1)(1)(1)(1)x x x x x x x x ⎡⎤+++=-÷⎢⎥+-+--⎣⎦224(1)(1)(1)(2)x x x x x +-=⋅+-+ ()211x x -=+221x x -=+ 当3x =-时,原式2(3)2431⨯--==-+. 【点睛】 本题主要考查分式的化简求值,掌握分式的混合运算法则,是解题的关键.23.(1)15a -;(2)10615a b 【分析】(1)先算乘方,再算同底数幂的乘法即可;(2)先算乘方,再算乘法,后算除法.【详解】(1)()()433a a -⋅- =()123a a ⋅- =15a -;(2)(ab 2)2 •(﹣a 3b)3÷(﹣5ab)=a 2b 4.(-a 9b 3) ÷(﹣5ab)= -a 11b 7÷(﹣5ab) =10615a b . 【点睛】 本题考查了整式的混合运算,熟练掌握运算顺序是解答本题的关键.混合运算的顺序是先算乘方,再算乘除,最后算加减;同级运算,按从左到右的顺序计算;如果有括号,先算括号里面的,并按小括号、中括号、大括号的顺序进行;有时也可以根据运算定律改变运算的顺序.24.(1)见解析;(2)见解析【分析】(1)取格点T ,连接CT 交AB 于点D ,线段CD 即为所求.(2)取格点G ,R ,作直线GR 交直线CT 于点P ,点P 即为所求.【详解】解:(1)如图,线段CD 即为所求.(2)如图,直线l 即为所求.【点睛】本题考查作图的应用与设计,线段的垂直平分线,角平分线等知识,解题的关键是理解题意,灵活运用所学知识解决问题.25.证明见解析【分析】由已知可得RT △DCF ≌RT △DEB ,从而得到DC=DE ,又由已知可得DC ⊥AC ,DE ⊥AB ,所以由角平分线的判定定理即可得解.【详解】证明:由题意可得,在Rt DCF ∆和Rt DEB ∆中,CF EB BD DF =⎧⎨=⎩Rt DCF Rt DEB ∴∆≅∆,DC DE ∴=90,C ∠=︒,DC AC ∴⊥,DE AB ⊥AD ∴平分BAC ∠.【点睛】本题考查角平分线与直角三角形的综合运用,熟练掌握角平分线的判定与直角三角形的判定和性质是解题关键.26.(1)证明见解析;(2),,B ADE DEF ∠∠∠.【分析】(1)先根据角的和差、等量代换可得EFG ADG ∠=∠,再根据平行线的判定可得//EF AB ,然后根据平行线的性质可得ADE DEF ∠=∠,从而可得B ADE ∠=∠,最后根据平行线的判定即可得证;(2)根据直角三角形的两锐角互余、等量代换即可得.【详解】(1)180,180BDG EFG BDG ADG ∠+∠=︒∠+∠=︒,EFG ADG ∴∠=∠,//EF AB ∴,ADE DEF ∴∠=∠,B DEF ∠=∠,B ADE ∴∠=∠,//DE BC ∴;(2)90A ∠=︒,90B C ∴∠+∠=︒,B DEF ∠=∠,90DEF C ∴∠+∠=︒, 由(1)可知,B ADE ∠=∠,90ADE C ∴∠+∠=︒,综上,与C ∠互余的角有,,B ADE DEF ∠∠∠.【点睛】本题考查了直角三角形的两锐角互余、平行线的判定与性质等知识点,熟练掌握平行线的判定与性质是解题关键.。
2022-2023学年华东师大版八年级上册数学期末复习试卷一.选择题(共8小题,满分24分,每小题3分)1.64的平方根为()A.8B.±8C.﹣8D.±42.若a x÷a n+1的运算的结果是a,则x为()A.3﹣n B.n+1C.n+2D.n+33.小明抛一枚硬币100次,其中有60次正面朝上,则反面朝上的频率是()A.0.6B.6C.0.4D.44.下列命题中,是假命题的是()A.两点之间,线段最短B.3a3b的系数是3C.位似图形必定相似D.若|a|=|b|,则a=b5.下列各组数中,以a,b,c为边的三角形不是直角三角形的是()A.a=7,b=25,c=24B.a=3,b=3,c=4C.a=6,b=8,c=10D.a=8,b=17,c=156.小李用7块长为8cm,宽为3cm的相同长方体小木块,垒了两堵与地面垂直的木墙,木墙之间刚好可以放进一个等腰直角三角板(AB=BC,∠ABC=90°),点B在DE上,点A和C分别与木墙的顶端重合,则两堵木墙之间的距离为()A.36B.32C.28D.217.如图,在Rt△ABC中,∠ACB=90°,∠BAC的平分线交BC于D.过C点作CG⊥AB 于G,交AD于E.过D点作DF⊥AB于F.下列结论:①∠CED=∠CDE;②∠ADF=2∠ECD;③S△AEC :S△AEG=AC:AG;④S△CED=S△DFB;⑤CE=DF.其中正确结论的序号是()A.①③④B.①②⑤C.③④⑤D.①③⑤8.在△ABC中,∠A=∠B=∠C,则△ABC()A.是锐角三角形B.是直角三角形C.是钝角三角形D.形状不能确定二.填空题(共6小题,满分18分,每小题3分)9.比较大小:3.10.分解因式:8m2n﹣6mn2+2mn=.11.如图,在等腰三角形ABC中,AB=AC,∠A=50°,直线MN垂直平分边AC,分别交AB,AC于点D,E,则∠BCD=.12.计算:4x3y2÷2xy=.13.已知:如图,P、Q是△ABC边BC上两点,且BP=PQ=QC=AP=AQ,∠APQ=度,∠B=度,∠BAC=度.14.如图,在Rt△ACB中,∠ACB=90°,BC=6,AC=9.折叠△ACB,使点A与BC的中点D重合,折痕交AB于E,交AC于点F,则CF=.三.解答题(共10小题,满分78分)15.(6分)计算:(1)(2)16.(6分)计算(1)4y•(﹣2xy2)(2)(﹣x2)•(﹣4x)(3)(3m2)•(﹣2m3)2(4)(﹣ab2c3)2•(﹣a2b)317.(6分)先化简,再求值:x(x2﹣x﹣)+4(x2+1)﹣x(﹣3x2+6x﹣1),其中x=﹣2.18.(7分)如图,已知C是线段AE上的一点,DC⊥AE,DC=AC,B是CD上一点,且CB=CE.(1)△ABC与△DEC全等吗?请说明理由.(2)若∠A=20°,求∠E的度数.19.(7分)如图,正方形网格中的每个小正方形边长都是1,每个小格的顶点叫做格点,以格点为顶点分别按下列要求画三角形.(1)在图1中,画一个三角形,使它的三边长都是有理数;并写出你所画三角形的三边长.(2)在图2中,画一个等腰三角形,使它的一条边长为2,另两边长为无理数;并写出你所画的三角形的三边长.写出每题的计算过程20.(8分)某区在今年四月开始了第一剂新冠疫苗接种,为了解疫苗的安全、有效情况,从全区已接种市民中随机抽取部分市民进行调查.调查结果根据年龄x(岁)分为四类:A类:18≤x<30;B类:30≤x<40;C类:40≤x<50;D类:50≤x≤59.现将调查结果绘制成如下不完整的统计图,请根据统计图中的信息解答下列问题:(1)本次随机抽取的市民中小于40岁的有人;(2)图2中D类区域对应圆心角的度数是度;(3)请补全条形统计图;(4)若本次抽取人数占已接种市民人数的5%,估计该区已接种第一剂新冠疫苗的市民有多少人?21.(8分)如图,车床齿轮箱壳要钻两个圆孔,两孔中心的距离是134mm,两孔中心的水平距离是77mm.计算两孔中心的垂直距离(结果保留小数点后一位).22.(8分)如图,四边形ABCD中,AB∥CD,∠C=110°,E为BC的中点,直线FG 经过点E,DG⊥FG于点G,BF⊥FG于点F.(1)如图1,当∠BEF=70°时,求证:DG=BF;(2)如图2,当∠BEF≠70°时,若BC=DC,DG=BF,请直接写出∠BEF的度数;(3)当DG﹣BF的值最大时,直接写出∠BEF的度数.23.(10分)【知识生成】用两种不同方法计算同一图形的面积,可以得到一个等式,如图1,是用长为a,宽为b(a>b)的四个全等长方形拼成一个大正方形,用两种不同的方法计算阴影部分(小正方形)的面积,可以得到(a﹣b)2、(a+b)2、ab三者之间的等量关系式:;【知识迁移】类似地,用两种不同的方法计算同一个几何体的体积,也可以得到一个等式,如图2,观察大正方体分割,可以得到等式:;【成果运用】利用上面所得的结论解答:(1)已知x+y=6,xy=,求x﹣y的值;(2)已知|a+b﹣6|+(ab﹣7)2=0,求a3+b3的值.24.(12分)如图,已知在△ABC中,AB=AC=10cm,BC=8cm,D为AB的中点.点P 在线段BC上以3cm/s的速度由点B出发向终点C运动,同时点Q在线段CA上以acm/s的速度由点C出发向终点A运动,设点P的运动时间为ts.(1)求CP的长;(用含t的式子表示)(2)若以C、P、Q为顶点的三角形和以B,D,P为顶点的三角形全等,且∠B和∠C 是对应角,求t,a的值.参考答案与试题解析一.选择题(共8小题,满分24分,每小题3分)1.解:∵(±8)2=64,∴64的平方根是±8.故选:B.2.解:a x÷a n+1=a x﹣n﹣1=a,所以可得:x﹣n﹣1=1,x=2+n,故选:C.3.解:小明抛一枚硬币100次,其中有60次正面朝上,则反面朝上的有100﹣60=40次,所以反面朝上的频率为=0.4,故选:C.4.解:A、两点之间,线段最短,是真命题;B、3a3b的系数是3,是真命题;C、位似图形必定相似,是真命题;D、若|a|=|b|,则a=b或a=﹣b,原命题是假命题;故选:D.5.解:A、因为72+242=252,能构成直角三角形,此选项不符合题意;B、因为32+32≠42,不能构成直角三角形,此选项符合题意;C、因为62+82=102,能构成直角三角形,此选项不符合题意;D、因为82+152=172,能构成直角三角形,此选项不符合题意.故选:B.6.解:由题意得AB=BC,∠ABC=90°,AD⊥DE,CE⊥DE,∴∠ADB=∠BEC=90°,∴∠ABD+∠CBE=90°,∠BCE+∠CBE=90°,∴∠ABD=∠BCE,在△ABD和△BCE中,,∴△ABD ≌△BCE (AAS );由题意得AD =BE =24cm ,DB =EC =12cm , ∴DE =DB +BE =36cm ,答:两堵木墙之间的距离为36cm . 故选:A .7.解:∵∠ACB =90°,CG ⊥AB ,∴∠ACE +∠BCG =90°,∠B +∠BCG =90°, ∴∠ACE =∠B .∵∠CED =∠CAE +∠ACE ,∠CDE =∠B +∠DAB ,AE 平分∠CAB , ∴∠CED =∠CDE ,①正确; ∴CE =CD ,又AE 平分∠CAB ,∠ACB =90°,DF ⊥AB 于F , ∴CD =DF .∵E 到AC 与AG 的距离相等, ∴S △AEC :S △AEG =AC :AG ,③正确; ∵CE =CD ,CD =DF , ∴CE =DF ,⑤正确.无法证明∠ADF =2∠FDB 以及S △CED =S △DFB . 故选:D .8.解:设∠A =x °,则∠B =x °,∠C =2x °, 根据三角形的内角和可得:x °+x °+2x °=180°, 解得:x =45,即∠A =45°,∠B =45°,∠C =90°, 所以△ABC 是直角三角形.故选:B.二.填空题(共6小题,满分18分,每小题3分)9.解:∵3=,∴<3.故答案为:<.10.解:原式=2mn(4m﹣3n+1),故答案为:2mn(4m﹣3n+1)11.解:∵AB=AC,∠A=50°,∴∠ACB=∠B=×(180°﹣∠A)=65°,∵直线MN垂直平分边AC,∴AD=CD,∴∠ACD=∠A=50°,∴∠BCD=∠ACB﹣∠ACD=15°,故答案为:15°.12.解:4x3y2÷2xy=2x2y故答案为2x2y.13.解:∵PQ=AP=AQ∴∠APQ=∠AQP=∠PAQ=60°.∵BP=QC=AP=AQ∴∠B=∠BAP=30°,∠C=∠CAQ=30°∴∠BAC=120°.故填60、30、120.14.解:∵D是BC的中点,BC=6,∴CD=3,∵折叠△ACB,使点A与BC的中点D重合,∴AF=FD,∵AC=9,设AF=x,则FC=9﹣x,DE=x,∵∠ACB=90°,在Rt△CDF中,x2=9+(9﹣x)2,∴x=5,∴CF=4,故答案为4.三.解答题(共10小题,满分78分)15.解:(1)==﹣(2)=﹣1+2×=﹣1+1=016.解:(1)原式=﹣8xy3.(2)原式=10x3.(3)原式=(3m2)•4m6=12m8.(4)原式=a2b4c6•(﹣a6b3)=﹣a8b7c6.17.解:原式=x3﹣x2﹣x+4x2+4+x3﹣2x2+x =2x3+x2+4,当x=﹣2时,原式=2×(﹣2)3+(﹣2)2+4=﹣16+4+4=﹣8.18.解:(1)△ABC≌△DEC,理由如下:∵DC⊥AE,∴∠ACB=∠DCE=90°,在△ABC与△DEC中,,∴△ABC≌△DEC(SAS);(2)∵△ABC≌△DEC,∴∠A=∠D=20°,∴∠E=90°﹣∠D=90°﹣20°=70°.19.解:(1)如图1所示:∵AB=3,BC=4,∴AC==5,故答案为:3,4,5(答案不唯一);(2)如图2所示:DF=DE==,EF==2,故答案为:,,2(答案不唯一).20.解:(1)本次随机抽取的市民中小于40岁的有20+20=40(人),故答案为:40;(2)根据题意可得,其他三类的百分比为1﹣25%=75%,其他三类的人数和为20+20+50=90(人),抽取的总数为90÷75%=120(人),图2中D类区域对应圆心角的度数是360°×=150°,故答案为:150;(3)抽取的C类市民有120×25%=30(人),补全条形统计图如下:(4)30÷25%÷5%=2400(人),答:估计该区已接种第一剂疫苗的市民有2400 人.21.解:∵∠ACB=90°,∴AC==≈109.7mm,答:两孔中心的垂直距离为109.7mm.22.(1)证明:若CH⊥FG,垂足为H,∵∠BEF=70°,∠BCD=110°,∴∠BEF+∠BCD=180°,∴FG∥CD,∵DG⊥HG,CH⊥HG,∴∠DGH+∠CHG=90°+90°=180°,∴DG∥CH,∴四边形CHGD是长方形,∴DG=CH,∵∠CHE=∠F,∠CEH=∠BEF,BE=CE,∴△BEF≌△CEH(AAS),∴BF=CH,∴DG=BF;(2)解:连接BD,∵DG=BF,DG∥BF,由平移的性质知得,BD∥FG,∴∠CBD=∠CEH,∵CB=CD,∠BCD=110°,∴∠CBD=(180°﹣110°)÷2=35°,∴∠BEF=∠CEH=∠CBD=35°;(3)解:由(2)知DG﹣CH≤CD,∴当DG﹣BF的值最大时,此时点D,C,G三点共线,∵∠BCD=110°,∴∠ECG=70°,∴∠CEG=20°,∴∠BEF=∠CEG=20°.23.解:【知识生成】如图1,方法一:已知边长直接求面积为(a﹣b)2;方法二:阴影面积是大正方形面积减去四个长方形面积,∴面积为(a+b)2﹣4ab,∴由阴影部分面积相等可得(a+b)2﹣4ab=(a﹣b)2;故答案为:(a+b)2﹣4ab=(a﹣b)2;【知识迁移】方法一:正方体棱长为a+b,∴体积为(a+b)3,方法二:正方体体积是长方体和小正方体的体积和,即a3+b3+3a2b+3ab2,∴(a+b)3=a3+b3+3a2b+3ab2;故答案为:(a+b)3=a3+b3+3a2b+3ab2;(1)由(a+b)2﹣4ab=(a﹣b)2,可得(x﹣y)2=(x+y)2﹣4xy,∵x+y=6,xy=,∴(x﹣y)2=62﹣4×,∴(x﹣y)2=25,∴x﹣y=±5;(2)∵|a+b﹣6|+(ab﹣7)2=0,∴a+b=6,ab=7,∵(a+b)3=a3+b3+3a2b+3ab2;∴a3+b3=(a+b)3﹣3a2b﹣3ab2=63﹣3ab(a+b)=216﹣3×7×6=90.24.解:(1)CP的长为(8﹣3t)cm;(2)∵D为AB的中点,∴BD=5cm,∵AB=AC,∴∠B=∠C,∴当BD=CQ,BP=CP时,△BDP≌△CQP(SAS),即at=5,8﹣3t=3t,解得t=,a=;当BD=CP,BP=CQ时,△BDP≌△CPQ(SAS),即8﹣3t=5,3t=at,解得t=1,a=3;综上所述,t=,a=或t=1,a=3.。
华东师大版八年级数学上册期末考试卷(带答案) 班级: 姓名: 一、选择题(本大题共10小题,每题3分,共30分)1.若分式211x x -+的值为0,则x 的值为( ) A .0 B .1 C .﹣1 D .±12.已知:将直线y=x ﹣1向上平移2个单位长度后得到直线y=kx+b ,则下列关于直线y=kx+b 的说法正确的是( )A .经过第一、二、四象限B .与x 轴交于(1,0)C .与y 轴交于(0,1)D .y 随x 的增大而减小3.已知a ,b 满足方程组51234a b a b +=⎧⎨-=⎩则a+b 的值为( ) A .﹣4B .4C .﹣2D .2 4.若关于x 的方程333x m m x x ++--=3的解为正数,则m 的取值范围是( ) A .m <92B .m <92且m ≠32C .m >﹣94D .m >﹣94且m ≠﹣34 5.二次函数2y ax bx c =++的图象如图所示,对称轴是直线1x =.下列结论:①0abc <;②30a c +>;③()220a c b +-<;④()a b m am b +≤+(m 为实数).其中结论正确的个数为( )A .1个B .2个C .3个D .4个6.下列对一元二次方程x 2+x ﹣3=0根的情况的判断,正确的是( )A.有两个不相等实数根B.有两个相等实数根C.有且只有一个实数根D.没有实数根7.在平面直角坐标系中,一次函数y=kx+b的图象如图所示,则k和b的取值范围是()A.k>0,b>0 B.k>0,b<0 C.k<0,b>0 D.k<0,b<0 8.如图,已知点E在正方形ABCD内,满足∠AEB=90°,AE=6,BE=8,则阴影部分的面积是()A.48 B.60C.76 D.809.如图所示,下列推理及括号中所注明的推理依据错误的是()A.∵∠1=∠3,∴AB∥CD(内错角相等,两直线平行)B.∵AB∥CD,∴∠1=∠3(两直线平行,内错角相等)C.∵AD∥BC,∴∠BAD+∠ABC=180°(两直线平行,同旁内角互补)D.∵∠DAM=∠CBM,∴AB∥CD(两直线平行,同位角相等)10.如图,已知∠ABC=∠DCB,下列所给条件不能证明△ABC≌△DCB的是()A.∠A=∠D B.AB=DC C.∠ACB=∠DBC D.AC=BD二、填空题(本大题共6小题,每小题3分,共18分)1.若a-b=1,则222--的值为____________.a b b2.若|x |=3,y 2=4,且x >y ,则x ﹣y =__________.3.使x 2-有意义的x 的取值范围是________.4.如图,将周长为8的△ABC 沿BC 方向向右平移1个单位得到△DEF ,则四边形ABFD 的周长为_____________.5.如图,OP 平分∠MON ,PE ⊥OM 于点E ,PF ⊥ON 于点F ,OA =OB ,则图中有__________对全等三角形.6.如图所示,在△ABC 中,∠BAC=106°,EF 、MN 分别是AB 、AC 的垂直平分线,点E 、N 在BC 上,则∠EAN=________.三、解答题(本大题共6小题,共72分)1.解方程(1)2250x x --= (2)1421x x =-+2.先化简,再求值:22x 4x 4x 1x 1x 11x ⎛⎫-+-+÷ ⎪--⎝⎭,其中x 满足2x x 20+-=.3.已知关于x 的一元二次方程2(3)0x m x m ---=.(1)求证:方程有两个不相等的实数根;(2)如果方程的两实根为1x ,2x ,且2212127x x x x +-=,求m 的值.4.如图,在菱形ABCD中,对角线AC与BD交于点O.过点C作BD的平行线,过点D作AC的平行线,两直线相交于点E.(1)求证:四边形OCED是矩形;(2)若CE=1,DE=2,ABCD的面积是.5.我们给出如下定义:顺次连接任意一个四边形各边中点所得的四边形叫中点四边形.(1)如图1,四边形ABCD中,点E,F,G,H分别为边AB,BC,CD,DA的中点.求证:中点四边形EFGH是平行四边形;(2)如图2,点P是四边形ABCD内一点,且满足PA=PB,PC=PD,∠APB=∠CPD,点E,F,G,H分别为边AB,BC,CD,DA的中点,猜想中点四边形EFGH 的形状,并证明你的猜想;(3)若改变(2)中的条件,使∠APB=∠CPD=90°,其他条件不变,直接写出中点四边形EFGH的形状.(不必证明)6.在东营市中小学标准化建设工程中,某学校计划购进一批电脑和电子白板,经过市场考察得知,购买1台电脑和2台电子白板需要3.5万元,购买2台电脑和1台电子白板需要2.5万元.(1)求每台电脑、每台电子白板各多少万元?(2)根据学校实际,需购进电脑和电子白板共30台,总费用不超过30万元,但不低于28万元,请你通过计算求出有几种购买方案,哪种方案费用最低.参考答案一、选择题(本大题共10小题,每题3分,共30分)1、B2、C3、B4、B5、C6、A7、C8、C9、D10、D二、填空题(本大题共6小题,每小题3分,共18分) 1、12、1或5.3、x 2≥4、10.5、36、32°三、解答题(本大题共6小题,共72分)1、(1)1211x x ==(2)3x =是方程的解.2、112x -;15.3、(1)略(2)1或24、(1)略;(2)4.5、(1)略;(2)四边形EFGH 是菱形,略;(3)四边形EFGH 是正方形.6、(1)每台电脑0.5万元,每台电子白板1.5万元(2)见解析。
一、选择题1.如图,在数轴上表示2224411424x x x x x x -++÷-+的值的点是( )A .点PB .点QC .点MD .点N2.计算:2x y x y x y xy-⋅-=( ) A .x B .y xC .yD .1x 3.若分式()22222x y x y a x a y ax ay+-÷-+的值等于5,则a 的值是( ) A .5B .-5C .15D .15- 4.化简214a 2a 4---的结果为( ) A .1a 2+ B .a 2+ C .1a 2- D .a 2- 5.若2()(2)3x a x x x b +-=-+,则实数b 等于( )A .2-B .2C .12-D .126.我们已经接触了很多代数恒等式,知道可以用一些硬纸片拼成的图形面积来解释一些代数恒等式.例如左图可以用来解释(a+b )2-(a -b )2=4ab .那么通过右图面积的计算,验证了一个恒等式,此等式是( )A .22()()a b a b a b -=+-B .22()(2)a b a b a ab b -+=+-C .222()2a b a ab b -=-+D .222()2a b a ab b +=++7.若53x =,52y =,则235-=x y ( )A .34B .1C .23 D .988.已知552a =,443b =,334c =,则a ,b ,c 的大小关系是( ) A .a b c >> B .b c a >> C .c a b >>D .a c b >> 9.若a ,b 是等腰ABC 的两边长,且满足()2370a b -+-=,此三角形的周长是( )A .13B .13或17C .17D .2010.如图,在Rt ABC ∆中, 90,30,ACB A CD ︒︒∠=∠=是斜边AB 上的高,2BD =,那么AD 的长为( )A .2B .4C .6D .8 11.如图,AP 平分∠BAF ,PD ⊥AB 于点D ,PE ⊥AF 于点E ,则△APD 与△APE 全等的理由是( )A .SSSB .SASC .SSAD .AAS12.下列命题是真命题的个数为( )①两条直线被第三条直线所截,内错角相等.②三角形的内角和是180°.③在同一平面内平行于同一条直线的两条直线平行.④相等的角是对顶角.⑤两点之间,线段最短.A .2B .3C .4D .5二、填空题13.某校要建立两个计算机教室,为此要购买相同数量的A 型计算机和B 型计算机.已知一台A 型计算机的售价比一台B 型计算机的售价便宜400元,如果购买A 型计算机需要224 000元,购买B 型计算机需要240 000元.求一台A 型计算机和一台B 型计算机的售价分别是多少元. 设一台B 型计算机的售价是x 元,依题意列方程为__.14.若关于x 的方程2144416m x x x +=-+-无解,则m 的值为__________. 15.若26x x m ++为完全平方式,则m =____. 16.若231m n -=,则846m n -+=________.17.如图,∠MON=30°,点123A A A 、、…在射线ON 上,点123B B B 、、…在射线OM上,△112A B A 、△223A B A 、△334A B A …均为等边三角形,从左起第1个等边三角形的边长记为1a ,第2个等边三角形的边长记为2a ,以此类推.若11OA =,则2021a =____.18.已知等边三角形ABC .如图,(1)分别以点A ,B 为圆心,大于12AB 的长为半径作弧,两弧相交于M ,N 两点; (2)作直线MN 交AB 于点D ;(3)分别以点A ,C 为圆心,大于12AB 的长为半径作弧,两弧相交于H ,L 两点; (4)作直线HL 交AC 于点E ; (5)直线MN 与直线HL 相交于点O ;(6)连接OA ,OB ,OC .根据以上作图过程及所作图形,下列结论:①2OC OD =;②2AB OA =;③OA OB OC ==;④120DOE ∠=︒,正确的是____________.19.如图,在直角坐标系中,AD 是Rt △OAB 的角平分线,已知点D 的坐标是(0,-3),AB 的长为12,则△ABD 的面积是_____20.如果点G 是ABC ∆的重心,6AG =,那么BC 边上的中线长为_______________________.三、解答题21.先化简,再求值:21122m m m m ⎭-+÷-⎛⎫ ⎪-⎝,其中12m =-. 22.解答下面两题:(1)解方程:35322x x x-+=-- (2)化简:232121x x x x x x -⎛⎫-÷ ⎪+++⎝⎭ 23.化简:(1)()34322223x y x y z x y -÷;(2)2(4)3(1)(3)x x x x -+-+.24.如图,在ABC 中,AB AC =,120BAC ∠=︒,AD BC ⊥,垂足为G ,且AD AB =,60EDF ∠=︒,其两边分别交AB ,AC 于点E ,F .(1)求证:ABD △是等边三角形;(2)若2DG =,求AC 的长;(3)求证:AB AE AF =+. 25.如图,点B ,F ,C ,E 在一条直线上,FB=CE ,AB ∥ED ,AC ∥FD .求证:AB=DE .26.已知在四边形ABCD 中,90A C ∠=∠=︒.(1)如图1,若BE 平分ABC ∠,DF 平分ADC ∠的邻补角,请写出BE 与DF 的位置关系并证明;(2)如图2,若BF 、DE 分别平分ABC ∠、ADC ∠的邻补角,判断DE 与BF 位置关系并证明;(3)如图3,若BE 、DE 分别五等分ABC ∠、ADC ∠的邻补角(即11,55CDE CDN CBE CBM ∠=∠∠=∠),求E ∠度数.【参考答案】***试卷处理标记,请不要删除一、选择题1.C解析:C【分析】先进行分式化简,再确定在数轴上表示的数即可.【详解】解:2224411424x x x x x x-++÷-+ 2(2)14(2)(2)(2)x x x x x x -=+⨯+-+, 2422x x x -=+++, 242x x -+=+, 22x x +=+, =1, 在数轴是对应的点是M ,故选:C .【点睛】本题考查了分式化简和数轴上表示的数,熟练运用分式计算法则进行化简是解题关键.2.A解析:A【分析】根据分式乘法计算法则解答.【详解】 解:2x y x y x y xy-⋅-=x , 故选:A .【点睛】此题考查分式的乘法计算法则,熟记计算法则是解题的关键.3.C解析:C【分析】先进行分式除法,化简后得到关于a 的式子,列方程即可求解.【详解】 解:()22222x y x y a x a y ax ay+-÷-+ ()22()(()=))(a x y a x x y y y x x y ++-⨯-+, 1=a, 根据题意,15a =, 解得,15a =, 经检验,15a =是原方程的解, 故选C【点睛】本题考查了分式的除法和分式方程的解法,正确化简分式,列出分式方程,是解决问题的关键.4.A解析:A【分析】根据分式的减法可以解答本题.【详解】 解:()()214a 241a 2a 4a 2a 2a 2+--==--+-+,【点睛】本题考查异分母分式的减法运算,解答本题的关键是明确公分母.5.B解析:B【分析】等式左边去括号后两边经过比对可以得解 .【详解】解:原等式可变为:()22223x a x a x x b +--=-+,∴可得:232a b a -=-⎧⎨=-⎩, 解之得:a=-1,b=2,故选B .【点睛】本题考查二元一次方程组的应用和多项式的乘法,熟练掌握代数式相等的意义、多项式的乘法法则及二元一次方程组的解法是解题关键.6.C解析:C【分析】利用不同的方法表示出空白部分的面积:一种是利用公式2()a b -直接计算,另一种是割补法得222a ab b -+,根据面积相等即可建立等式,得出结论.【详解】解:空白部分的面积:2()a b -,还可以表示为:222a ab b -+,∴此等式是222()2a b a ab b -=-+.故选:C .【点睛】本题考查了完全平方公式的几何意义,注意图形的分割与拼合,会用不同的方法表示出空白部分的面积是解题的关键. 7.D解析:D【分析】根据幂的乘方的逆运算,同底数幂的除法的逆运算进行计算.【详解】解:()()23232323955555328x y x y x y -=÷=÷=÷=.【点睛】本题考查幂的运算,解题的关键是掌握幂的乘方的逆运算,同底数幂的除法的逆运算. 8.B解析:B【分析】由552a =,443b =,334c =,比较5432,3,4的大小即可.【详解】解:∵555112=(2)a =,444113(3)b == ,333114(4)c == ,435342>> , ∴411311511(3)(4)(2)>>,即b c a >>,故选B .【点睛】本题考查了幂的乘方的逆运算及数的大小的比较,解题的关键是熟练掌握幂的乘方运算法则.9.C解析:C【分析】根据绝对值非负性的性质以及平方的非负性可知a 和b 的值,然后根据等腰三角形的性质分情况计算即可;【详解】∵ ()2370a b -+-=, ∴ a=3,b=7,若腰为3时,3+3<7,三角形不成立;若腰为7时,则周长为7+7+3=17,故选:C .【点睛】本题考查了非负性的性质以及等腰三角形的性质,熟练掌握知识点是解题的关键;. 10.C解析:C【分析】根据∠ACB=90°,∠A=30°,CD 是斜边AB 上的高,利用互余关系求∠BCD=30°,DB=2,可求BC ,在Rt △ABC 中,再利用含30°的直角三角形的性质求AB ,再用线段的差求AD .【详解】解:Rt △ABC 中,∵∠ACB=90°,∠A=30°,∴∠B=90°-∠A=90°-30°=60°,CD 是斜边AB 上的高,∴∠CDB=90°,∴∠BCD=90°-∠B=30°,∴BC=2BD =4,同理,AB=2BC=8,AD=AB-BD=8-2=6,故选:C .【点睛】本题考查了含30°的直角三角形的性质,准确运用在直角三角形中,30°角所对直角边等于斜边的一半是解题关键.11.D解析:D【分析】求出∠PDA=∠PEA=90°,∠DAP=∠EAP ,根据AAS 推出两三角形全等即可.【详解】解:∵PD ⊥AB ,PE ⊥AF ,∴∠PDA=∠PEA=90°,∵AP 平分∠BAF ,∴∠DAP=∠EAP ,在△APD 和△APE 中DAP EAP PDA PEA AP AP ∠=∠⎧⎪∠=∠⎨⎪=⎩,∴△APD ≌△APE (AAS ),故选:D .【点睛】本题考查了全等三角形的判定的应用,注意:全等三角形的判定定理有SAS ,ASA ,AAS ,SSS .12.B解析:B【分析】首先判断所给命题的真假,再选出正确的选项.【详解】解:∵两条直线被第三条直线所截,两直线平行,内错角相等,∴①错误;∵三角形的内角和是180°,∴②正确;∵在同一平面内平行于同一条直线的两条直线平行,∴③正确;∵相等的角可以是对顶角,也可以是内错角、同位角等等,∴④错误;∵连接两点的所有连线中,线段最短,∴⑤正确;∴真命题为②③⑤,故选B .【点睛】本题考查命题的真假判断,根据所学知识判断一个命题条件成立的情况下,结论是否一定成立来判断命题是真命题还是假命题是解题关键.二、填空题13.【分析】本题的等量关系是:224000元购买A 型计算机的数量=240000元购买B 型计算机数量依此列出方程即可【详解】解:设B 型计算机每台需x 元则A 型计算机每台需(x-400)元依题意有故填【点睛】 解析:240000224000400x x =- 【分析】 本题的等量关系是:224 000元购买A 型计算机的数量=240 000元购买B 型计算机数量,依此列出方程即可.【详解】解:设B 型计算机每台需x 元,则A 型计算机每台需(x-400)元,依题意有240000224000400x x =- 故填,240000224000400x x =-. 【点睛】 考查了分式方程的应用,解决问题的关键是读懂题意,找到关键描述语,进而找到所求的量的等量关系,本题重点是熟悉单价,总价,数量之间的关系.14.-1或-【分析】直接解分式方程再利用一元一次方程无解和分式方程无解分别分析得出答案【详解】解:去分母得:(x+4)+m(x-4)=4可得:(m+1)x=4m 当m+1=0时分式方程无解此时m=-1当m解析:-1或-12【分析】直接解分式方程,再利用一元一次方程无解和分式方程无解分别分析得出答案.【详解】 解:2144416m x x x +=-+-, 去分母得:(x+4)+m(x-4)=4,可得:(m+1)x=4m ,当m+1=0时,分式方程无解,此时m=-1, 当m+1≠0时,则x=41m m +=±4,当41m m +=4时,此时方程无解; 当41m m +=-4时,解得:m=-12, 经检验,m=-12是方程41m m +=-4的解, 综上所述:m=-1或-12. 故答案为:-1或-12. 【点睛】此题主要考查了分式方程的解,正确分类讨论是解题关键. 15.9【分析】完全平方式可以写为首末两个数的平方则中间项为x 和积的2倍即可解得m 的值【详解】解:根据题意是完全平方式且6>0可写成则中间项为x 和积的2倍故∴m=9故答案填:9【点睛】本题是完全平方公式的解析:9【分析】完全平方式可以写为首末两个数的平方(2x ,则中间项为x 2倍,即可解得m 的值.【详解】解:根据题意,26x x m ++是完全平方式,且6>0,可写成(2x +,则中间项为x 2倍,故62x =∴m =9,故答案填:9.【点睛】本题是完全平方公式的应用,两数的平方和,再加上或减去它们积的2倍,就构成了一个完全平方式.注意中间项的符号,避免漏解. 16.6【分析】将原式化为再整体代入即可【详解】解:∵∴原式==8-2×1=6故答案为:6【点睛】本题考查了求代数式的值把某一部分看成一个整体是解题的关键解析:6【分析】将原式化为82(23)m n --,再整体代入即可.【详解】解:∵231m n -=,∴原式=82(23)m n --=8-2×1=6.故答案为:6.【点睛】本题考查了求代数式的值,把某一部分看成一个整体是解题的关键.17.【分析】根据等腰三角形的性质以及平行线的性质得出A1B1∥A2B2∥A3B3以及A2B2=2B1A2得出A3B3=4B1A2=4A4B4=8B1A2=8A5B5=16B1A2即:a1=1a2=2a3解析:20202【分析】根据等腰三角形的性质以及平行线的性质得出A 1B 1∥A 2B 2∥A 3B 3,以及A 2B 2=2B 1A 2,得出A 3B 3=4B 1A 2=4,A 4B 4=8B 1A 2=8,A 5B 5=16B 1A 2,即:a 1=1,a 2=2,a 3=4,a 4=8,,进而得出答案.【详解】∵△A 1B 1A 2是等边三角形,∴A 1B 1=A 2B 1,∠3=∠4=∠12=60°,∴∠2=120°,∵∠MON=30°,∴∠1=180°-120°-30°=30°,又∵∠3=60°,∴∠5=180°-60°-30°=90°,∵∠MON=∠1=30°,∴OA 1=A 1B 1=1,∴A 2B 1=1,∵△A 2B 2A 3、△A 3B 3A 4是等边三角形,∴∠11=∠10=60°,∠13=60°,∵∠4=∠12=60°,∴A 1B 1∥A 2B 2∥A 3B 3,B 1A 2∥B 2A 3,∴∠1=∠6=∠7=30°,∠5=∠8=90°,∴A 2B 2=2B 1A 2=2,A 3B 3=2B 2A 3,∴A 3B 3=4B 1A 2=4,A 4B 4=8B 1A 2=8,A 5B 5=16B 1A 2=16,即:a 1=1,a 2=2,a 3=4,a 4=8,, 以此类推:a n =2n-1.∴2021a =20202,故答案是:20202..【点睛】此题主要考查了等边三角形的性质以及等腰三角形的性质,直角三角形30度角的性质,根据已知得出A3B3=4B1A2,A4B4=8B1A2,A5B5=16B1A2进而发现规律是解题关键.18.①③④【分析】根据题意可得点O是三边中垂线的交点从而结合等边三角形的性质以及中垂线的性质进行逐项分析即可【详解】由题可得点O为等边三角形ABC三边中垂线的交点即:MN⊥ABHL⊥AC∴根据等边三角形解析:①③④【分析】根据题意可得点O是三边中垂线的交点,从而结合等边三角形的性质以及中垂线的性质进行逐项分析即可.【详解】由题可得点O为等边三角形ABC三边中垂线的交点,即:MN⊥AB,HL⊥AC,∴根据等边三角形的性质可得:∠DAO=∠EAO=30°,AD=AE,∴△ADO≌△AEO,∴OD=OE,又根据中垂线的性质得∠EAO=∠ECO=30°,∴在Rt△COE中,OC=2OE,∴OC=2OD,故①正确;在Rt△ABE中,显然AB=2AE,而OA>AE,∴AB≠2OA,故②错误;根据中垂线性质可得OA=OB,OA=OC,∴OA=OB=OC,故③正确;在四边形ADOE中,∠ADO=∠AEO=90°,∠DAE=60°,∴∠DOE=360°-90°×2-60°=120°,故④正确;故答案为:①③④.【点睛】本题考查等边三角形的性质以及垂直平分线的画法和性质,以及全等三角形判定与性质,理解题意中所作图形的本质是解题关键.19.18【分析】过点D作DE⊥AB于点E由角平分线的性质可得出DE的长再根据三角形的面积公式即可得出结论【详解】解:过点D作DE⊥AB于点E∵D (0-3)∴OD=3∵AD是Rt△OAB的角平分线OD⊥O解析:18【分析】过点D作DE⊥AB于点E,由角平分线的性质可得出DE的长,再根据三角形的面积公式即可得出结论.【详解】解:过点D作DE⊥AB于点E,∵D(0,-3)∴OD=3,∵AD是Rt△OAB的角平分线,OD⊥OA,DE⊥AB,∴DE=OD=3,∴S△ABD=12AB•DE=12×12×3=18.故答案为:18.【点睛】本题考查了坐标与图形的性质,角平分线的性质,熟知角的平分线上的点到角的两边的距离相等是解答此题的关键.20.【分析】根据三角形的重心到一顶点的距离等于到对边中点距离的2倍求得DG=3继而求得边上的中线长为9【详解】∵三角形的重心到顶点的距离是其到对边中点的距离的2倍∴DG=AG=×6=3∴AD=AG+GD解析:9【分析】根据三角形的重心到一顶点的距离等于到对边中点距离的2倍求得DG=3,继而求得BC边上的中线长为9.【详解】∵三角形的重心到顶点的距离是其到对边中点的距离的2倍,∴DG=12AG=12×6=3,∴AD=AG+GD=6+3=9.即BC边上的中线长为9.故答案为:9.【点睛】本题考查的是三角形重心的性质,熟知三角形的重心到顶点的距离是其到对边中点的距离的2倍是解决问题的关键.三、解答题21.11m m -+,3-. 【分析】 原式括号中两项通分并利用同分母分式的减法法则计算,同时利用除法法则变形,约分得到最简结果,将m 的值代入计算即可求出值.【详解】 解:21122m m m m ⎭-+÷-⎛⎫ ⎪-⎝ ()()2212211m m m m m m -+-=⋅-+- ()()()212211m m m m m --=⋅-+- 11m m -=+; 当12m =-时,原式1123112--==--+. 【点睛】考查了分式的化简求值,解答此题的关键是把分式化到最简,然后代值计算. 22.(1)1x =-是该方程的解;(2)(1)x x +.【分析】(1)去分母将分式方程化为整式方程,解整式方程,最后验证根即可;(2)先计算括号内的,再将除法化为乘法分别因式分解后,约分即可.【详解】解:(1)去分母得:353(2)x x --=-,去括号得3536x x --=-,移项后合并得:1x =-,经检验,1x =-是该方程的解;(2)原式=22321121x x x x x x x x ⎛⎫+--÷ ⎪++++⎝⎭=2232121x x x x x x x +--÷+++ =2222112x x x x x x -+++- =2(2)(1)12x x x x x -++- =(1)x x +.【点睛】本题考查解分式方程和分式的混合运算.(1)中注意分式方程一定要验根;(2)注意运算顺序,其次除法化为乘法后才能约分.23.(1)223xy xz -;(2)2529x x --【分析】(1)按照多项式除以单项式的法则计算即可;(2)先按整式乘法法则去括号,再合并同类项即可.【详解】解:(1)原式3422322223x y x y x y z x y =÷-÷223xy xz =-.(2)原式()2228323x x x x =-++- 2228369x x x x =-++-2529x x =--.【点睛】本题考查了整式的混合运算,准确掌握并运用法则是解题关键.24.(1)见解析;(2)4AC =;(3)见解析【分析】(1)连接BD 由等腰三角形的性质和已知条件得出∠BAD =∠DAC =12×120°=60°,再由AD =AB ,即可得出结论;(2)由等边三角形三线合一可得,122DG AG AD ===,可得4AD AB AC ===,即可求解;(3)由△ABD 是等边三角形,得出BD =AD ,∠ABD =∠ADB =60°,证出∠BDE =∠ADF ,由ASA 证明△BDE ≌△ADF ,得出AF =BE ,即可求解.【详解】证明:(1)AB AC =,AD BC ⊥,12BAD DAC BAC ∴∠=∠=∠,120BAC ∠=︒,1120602BAD DAC ∴∠=∠=⨯︒=︒, =AD AB ,ABD ∴是等边三角形.(2)ABD 是等边三角形,AD AB BD ∴==,AD BC ⊥,122DG AG AD ∴===, 4AD AB AC ∴===,即4AC =;(3)ABD 是等三角形,60ABD ADB ∴∠=∠=︒,BD AD =, 60EDF ∠=︒,ADB ADE EDF ADE ∴∠-∠=∠-∠,即BDE ADF ∠=∠.在BDE 和ADF 中,60ABD DAC ∠=∠=︒,BD AD =,BDE ADF ∠=∠,(ASA)BDE ADF ∴△≌△,BE AF ∴=,AB AE BE =+,AB AE AF ∴=+.【点睛】本题考查了全等三角形的判定与性质,等腰三角形的性质,等边三角形的判定与性质;熟练掌握等腰三角形的性质,并能进行推理论证是解决问题的关键.25.见详解【分析】先根据条件求出BC=EF ,根据平行线性质求出∠B=∠E ,∠ACB=∠DFE ,根据ASA 推出△ABC ≌△DEF 即可.【详解】∵FB =CE ,∴FB+FC=FC+CE ,即BC=FE ,又∵AB ∥ED ,AC ∥FD ,∴∠B=∠E ,∠ACB=∠DFE ,在△ABC 和△DEF 中,B E BC FEACB DFE ∠=∠⎧⎪=⎨⎪∠=∠⎩, ∴△ABC ≌△DEF (ASA )∴AB=DE .【点睛】本题考查了平行线的性质和全等三角形的性质和判定的应用,主要考查学生的推理论证能力.26.(1)BE DF ⊥,证明见解析;(2)//DE BF ,证明见解析;(3)54°【分析】(1)结论:BE ⊥DF ,如图1中,延长BE 交FD 的延长线于H ,证明∠DEG+∠EDG=90°即可;(2)结论:DE//BF ,如图2中,连接BD ,只要证明∠EDB+∠FBD=180°即可;(3)延长DC 交BE 于H .由(1)得:180CDN CBM ∠+∠=︒,利用五等分线的定义可求36CDE CBE ∠+∠=︒,由三角形的外角性质得BCD CBE CDE E ∠=∠+∠+∠,代入数值计算即可.【详解】(1)BE DF ⊥.证明:延长BE 、FD 交于G .在四边形ABCD 中,360A ABC C ADC ,90A C ∠=∠=︒,180ABC ADC ∴∠+∠=︒.180ADC CDN ∠+∠=︒,ABC CDN ∴∠=∠. BE 平分ABC ∠,DF 平分CDN ∠, 12ABE ABC ∴∠=∠,12FDN CDN ∠=∠, ABE FDN ∴∠=∠, ∵∠ABE+∠AEB=90°,∠AEB=∠DEG ,∠FDN=∠EDG ,∴∠DEG+∠EDG=90°,∴∠EGD=90°,即BE ⊥DF .(2)//DE BF .证明:连接DB .180ABC MBC ∠+∠=︒,180ADC CDN ∠+∠=︒.又180ABC ADC ∠+∠=︒,180MBC CDN ∴∠+∠=︒.BF 、DF 平分ABC ∠、ADC ∠的邻补角,12CBF MBC ∴∠=∠,12CDE CDN ∠=∠, 90CBF CDE ∴∠+∠=︒.在Rt BDC 中,90CDB DBC ∠+∠=︒,180CDB DBC CBF CDE ∴∠+∠+∠+∠=︒,180EDB DBF ∴∠+∠=︒,//DE BF ∴.(3)延长DC 交BE 于H .由(1)得:180CDN CBM ∠+∠=︒. BE 、DE 分别五等分ABC ∠、ADC ∠的邻补角, 1180365CDE CBE ∴∠+∠=⨯︒=︒, 由三角形的外角性质得,BHD CDE E ∠=∠+∠,BCD BHD CBE ∠=∠+∠,BCD CBE CDE E ∴∠=∠+∠+∠,903654E ∴∠=︒-︒=︒.【点睛】本题考查多边形内角和,三角形外角的性质,三角形内角和定理,平行线的判定等知识,解题的关键是学会添加常用辅助线.。
2022-2023年华东师大版数学八年级上册期末考试测试卷及答案(一)一、选择题(每题3分,共30分)1.已知(a-2)2+|b-8|=0,则ab的平方根为()A .±12B .-12C .±2D .22.下列命题中,正确的是()A .如果|a|=|b|,那么a=bB .一个角的补角一定大于这个角C .直角三角形的两个锐角互余D .一个角的余角一定小于这个角3.如图,已知∠1=∠2,则不一定...能使△ABD≌△ACD 的条件是()A .BD=CDB .AB=AC C .∠B=∠CD .AD 平分∠BAC(第7题)(第8题)(第9题)(第10题)4.实数327,0,-π,16,13,0.1010010001…(相邻两个1之间依次多一个0),其中无理数有()A .1个B .2个C .3个D .4个5.下列各式运算正确的是()A .3a+2b=5abB .a 3·a 2=a 5C .a 8·a 2=a 4D .(2a 2)3=-6a 66.下列长度的四组线段中,可以构成直角三角形的是()A .4,5,6B .1.5,2,2.5C .2,3,4D .1,2,37.下列因式分解中,正确的个数为()①x 3+2xy+x=x(x 2+2y);②x 2+4x+4=(x+2)2;③-x 2+y 2=(x+y)(x-y).A .3个B .2个C .1个D .0个8.如图所示,所提供的信息正确的是()A .七年级学生最多B .九年级的男生人数是女生人数的2倍C .九年级女生比男生多D .八年级比九年级的学生多9.如图,在△MNP 中,∠P=60°,MN=NP,MQ⊥PN,垂足为Q,延长MN 至G,取NG=NQ,若△MNP 的周长为12,MQ=a,则△MGQ 的周长是()A .8+2a B .8+a C .6+a D .6+2a10.如图,在△ABC 中,∠C=90°,∠B=30°,以A 为圆心,任意长为半径画弧分别交AB、AC 于点M 和N,再分别以M、N 为圆心,大于12MN 的长为半径画弧,两弧交于点P,连接AP,并延长交BC 于点D,则下列说法中正确的个数是()①AD 是∠BAC 的平分线;②∠ADC=60°;③点D 在AB 的垂直平分线上;④S △DAC ∶S △DAB =CD∶DB=AC∶AB.A .1B .2C .3D .4二、填空题(每题3分,共30分)11.a 的算术平方根为8,则a 的立方根是________.12.某校对1200名女生的身高进行测量,身高在1.58m ~1.63m 这一小组的频率为0.25,则该组的人数为________.13.因式分解:x 2y 4-x 4y 2=______________.14.如图,M,N,P,Q 是数轴上的四个点,这四个点中最适合表示7的是________.(第14题)(第16题)(第18题)(第19题)15.已知(a-b)m =3,(b-a)n =2,则(a-b)3m-2n=________16.将一副三角尺如图所示叠放在一起,若AC=14cm ,则阴影部分的面积是________cm 2.17.若x<y,x 2+y 2=3,xy=1,则x-y=________.18.如图,在△ABC 中,AB=AC=3cm ,AB 的垂直平分线分别交AB,AC 于点M,N,△BCN 的周长是5cm ,则BC 的长等于________cm.19.如图,在Rt △ABC 中,∠B=90°,AB=3,BC=4,将△ABC 折叠,使点B 恰好落在斜边AC 上,点B 与点B′重合,AE 为折痕,则EB′=________.20.阅读下面材料:在数学课上,老师提出如下问题:尺规作图:作一条线段的垂直平分线.已知:线段AB.小芸的作法如下:如图,(1)分别以点A 和点B 为圆心,大于12AB 的长为半径作弧,两弧相交于C,D 两点;(2)作直线CD.老师说:“小芸的作法正确.”请回答:小芸的作图依据是____________.三、解答题(21,22题每题6分,23,24题每题8分,25,26题每题10分,27题12分,共60分)21.计算或因式分解:(1)181+3-27+(-2)2+(-1)2014;(2)a 3-a 2b+14ab 2.22.先化简,再求值:(x+y)(x-y)+(4xy 3-8x 2y 2)÷4xy,其中x=1,y=12.23.如图,在△ABC 和△ADE 中,AB=AC,AD=AE,∠BAC=∠DAE,点C 在DE 上.求证:(1)△ABD≌△ACE;(2)∠BDA=∠ADE.(第23题)24.某市为了解学生的家庭教育情况,就八年级学生平时主要和谁在一起生活进行了抽样调查.下面是根据这次调查情况制作的不完整的频数分布表和扇形统计图(如图).频数分布表(第24题)代码,和谁在一起生活,频数,频率A,父母,4200,0.7B,爷爷奶奶,660,aC,外公外婆,600,0.1D,其他,b,0.09合计,6000,1请根据上述信息,回答下列问题:(1)a=________,b=________;(2)在扇形统计图中,和外公外婆在一起生活的学生所对应的扇形的圆心角的度数是多少?25.如图,在△ABC中,∠C=90°,把△ABC沿直线DE折叠,使△ADE与△BDE重合.(1)若∠A=35°,则∠CBD的度数为________;(2)若AC=8,BC=6,求AD的长;(3)当AB=m(m>0),△ABC的面积为m+1时,求△BCD的周长.(用含m的代数式表示)(第25题)26.如图,∠ABC=90°,点D、E分别在BC、AC上,AD⊥DE,且AD=DE,点F是AE的中点,FD的延长线与AB的延长线相交于点M.(1)求证:∠FMC=∠FCM;(2)AD与MC垂直吗?并说明理由.(第26题)27.如图,在△ABC中,AB=AC=2,∠B=40°,点D在线段BC上运动(D不与B、C重合),连接AD,作∠ADE=40°,DE交线段AC于E.(1)当∠BDA=115°时,∠BAD=________°,∠DEC=________°,点D从B向C运动时,∠BDA逐渐变________(填“大”或“小”);(2)当DC等于多少时,△ABD与△DCE全等?请说明理由;(3)在点D的运动过程中,△ADE的形状可以是等腰三角形吗?若可以,请直接写出∠BDA 的度数.若不可以,请说明理由.(第27题)参考答案:一、 1.A 2.C 3.B 4.B 5.B 6.B 7.C 8.B 9.D 10.D 点拨:④过点D 作AB 的垂线,再利用等高的两个三角形的面积之比等于底之比判断.二、11.412.30013.x 2y 2(y+x)(y-x)14.点P15.274点拨:(a-b)3m-2n =(a-b)3m ÷(a-b)2n =[(a-b)m ]3÷[(a-b)n ]2=[(a-b)m ]3÷[(b-a)n ]2=33÷22=274.16.9817.-1点拨:(x-y)2=x 2+y 2-2xy=3-2×1=1,∵x<y,∴x-y<0,∴x-y=-1=-1.18.219.32点拨:在Rt △ABC 中,∠B=90°,AB=3,BC=4,∴AC=5,设BE=B′E=x,则EC=4-x,B′C=5-3=2,在Rt △B′EC 中,由勾股定理得EC 2=B′C 2+B′E 2,即(4-x)2=22+x 2,解得x=32.20.到线段两端距离相等的点在线段的垂直平分线上,两点确定一条直线三、21.解:(1)原式=19-3+2+1=19;2-ab+14b a-12b .22.解:原式=x 2-y 2+y 2-2xy=x 2-2xy,当x=1,y=12时,原式=1-2×1×12=0.23.证明:(1)∵∠BAC=∠DAE,∴∠BAC-∠DAC=∠DAE-∠DAC,∴∠BAD=∠CAE.又AB=AC,AD=AE,∴△ABD≌△ACE(S .A .S .);(2)由△ABD≌△ACE,可得∠BDA=∠E.又AD=AE,∴∠ADE=∠E,∴∠BDA=∠ADE.24.解:(1)0.11;540(2)0.1×360°=36°,故在扇形统计图中,和外公外婆在一起生活的学生所对应的扇形的圆心角的度数是36°.25.解:(1)20°(2)设AD =x ,则BD =x ,DC =8-x .在Rt△BCD 中,DC 2+BC 2=BD 2,即(8-x )2+62=x 2,解得:x =254.∴AD 的长为254.(3)由题意知:AC 2+BC 2=m 2,12AC ·BC =m +1,∴(AC +BC )2-2AC ·BC =m 2,∴(AC +BC )2=m 2+2AC ·BC =m 2+4(m +1)=(m +2)2,∴AC +BC =m +2,∴△BCD 的周长=DB +DC +BC =AD +DC +BC =AC +BC =m +2.26.(1)证明:∵△ADE 是等腰直角三角形,点F 是AE 的中点,∴DF⊥AE,∠ADF=∠EDF=45°,∴∠DAF=∠AED=45°,DF=AF=EF,又∵∠ABC=90°,∴∠DCF,∠AMF 都与∠MAC互余,∴∠DCF =∠AMF.在△DFC 和△AFM 中,∴△DFC ≌△AFM(A .A .S .),∴CF=MF,∴∠FMC=∠FCM;(2)解:AD⊥MC.理由如下:由(1)知,∠MFC=90°,FD=EF,FM=FC,∴∠FDE=∠FMC=45°,∴DE∥CM,又∵AD⊥DE,∴AD⊥MC.27.解:(1)25;115;小(2)当DC=2时,△ABD≌△DCE.理由如下:∵AB=AC,∴∠C=∠B=40°,∴∠DEC+∠EDC =140°.又∵∠ADE=40°,∴∠ADB+∠EDC=140°,∴∠ADB=∠DEC,又∵AB=DC=2,∴△ABD≌△DCE(A .A .S .);(3)可以.∠BDA 的度数为110°或80°.2022-2023年华东师大版数学八年级上册期末考试测试卷及答案(二)一、选择题(每小题4分,共40分)1.9的平方根是()C.3D.-3 A.±3B.±132.下列运算正确的是()A.x3·x4=x12B.(x3)4=x7C.x8÷x2=x6D.(3b3)2=6b63.将下列长度的三条线段首尾顺次连结,不能组成直角三角形的是() A.8、15、17B.7、24、25C.3、4、5D.2、3、74.已知关于x的二次三项式x2+kx+36可以写成一个两数和(差)的平方式,则k 的值是()A.6B.±6C.12D.±125.如图是某地PM2.5来源统计图,则根据统计图得出的下列判断中,正确的是()A.汽车尾气约为建筑扬尘的3倍B.表示建筑扬尘的占7%C.表示煤炭燃烧对应的扇形圆心角度数为126°D.煤炭燃烧的影响最大(第5题)(第6题)(第8题)6.如图,在△ABC 中,AB =AC ,过点A 作AD ∥BC ,若∠1=70°,则∠BAC的大小为()A .40°B .30°C .70°D .50°7.下列分解因式正确的是()A .-ma -m =-m (a -1)B .a 2-1=(a -1)2C .a 2-6a +9=(a -3)2D .a 2+3a +9=(a +3)28.如图,在△ABC 中,AB =AC ,D 是BC 的中点,AC 的垂直平分线分别交AC 、AD 、AB 于点E 、O 、F ,则图中全等三角形的对数是()A .1B .2C .3D .49.如图,数轴上点A 、B 分别对应数1、2,PQ ⊥AB 于点B ,以点B 为圆心,AB 长为半径画弧,交PQ 于点C ,以原点O 为圆心,OC 长为半径画弧,交数轴于点M ,则点M 对应的数是()A.3B.5C.6D.7(第9题)(第10题)10.如图,过边长为1的等边三角形ABC 的边AB 上一点P ,作PE ⊥AC 于点E ,点Q 为BC 延长线上一点,当PA =CQ 时,连结PQ 交AC 于点D ,则DE 的长为()A.13 B.12C.23D .不能确定二、填空题(每小题4分,共24分)11.请写出一个大于1且小于2的无理数:________.12.已知x 2n =5,则(3x 3n )2-4(x 2)2n 的值为________.13.如图是小强根据全班同学最喜欢的四类电视节目的人数而绘制的两幅不完整的统计图,则最喜欢“体育”节目的人数是________.(第13题)(第15题)(第16题)14.有下列命题:①正实数都有平方根;②实数都可以用数轴上的点表示;③等边三角形有一个内角为60°;④全等三角形对应边上的角平分线相等.其中逆命题是假命题的是________.(填序号)15.如图,△ABC 中,∠ABC 与∠ACB 的平分线交于点O ,过O 作EF ∥BC 分别交AB 、AC 于点E 、F .若△ABC 的周长比△AEF 的周长大12,点O 到AB 的距离为3.5,则△OBC 的面积为________.16.如图所示,将一个边长为a 的正方形剪去一个边长为b 的小正方形,将剩余部分(阴影部分)对半剪开,恰好是两个完全相同的直角梯形,将它们旋转拼接后构成一个等腰梯形.利用图形的面积关系可以得到一个代数恒等式是____________________.三、解答题(本题共9小题,共86分)17.(8分)计算:(1)49-327+|1-2|(2)[x (x 2y 2-xy )-y (x 2-x 3y )]÷x 2y .18.(8分)先化简,再求值:[(ab -2)(ab +3)-5a 2b 2+6]÷(-ab ),其中a =12,b =-12.19.(8分)如图,在△ABC 中,AB =CB ,∠ABC =90°,D 为AB 延长线上一点,点E 在BC 边上,且BE =BD ,连结AE 、DE 、DC .(第19题)(1)求证:△ABE ≌△CBD ;(2)若∠CAE =30°,求∠BDC 的度数.20.(8分)如图,在△ABC 和△A ′B ′C ′中,∠B =∠B ′,∠C =∠C ′,AD 平分∠BAC交BC于点D.(1)在△A′B′C′中,作出∠B′A′C′的平分线A′D′交B′C′于点D′;(要求:尺规作图,保留作图痕迹,不写作法)(2)在(1)的条件下,若AD=A′D′,求证:BD=B′D′.(第20题)21.(8分)(1)如图1所示,将两个边长为1的正方形分别沿对角线剪开,得到四个等腰直角三角形,即可拼成一个大正方形.易知这个大正方形的面积是2,所以大正方形的边长为________.(2)观察下列各方格图中阴影所示的图形(每一小方格的边长为1),如图2,将左图阴影部分剪开,重新拼成右图的正方形,那么所拼成的正方形的边长为________.请你模仿图2的方法,将图3、图4阴影所示的图形剪拼成一个正方形,并在图中作出适当的标注.(第21题)22.(10分)某校为了解学生百米跑成绩,在各个年级抽取部分同学开展百米跑测试.成绩分为A、B、C、D四个等级,并绘制成以下两幅不完整的统计图.(1)求这次测试抽取的学生总人数,并补全条形统计图;(2)求C等级在扇形统计图中对应的圆心角的度数;(3)若成绩为A等级或B等级为合格,已知该校共有1400人,试估计全校合格的学生人数.(第22题)23.(10分)课间,小明拿着老师的等腰直角三角尺玩,不小心将三角尺掉到了两墙之间,如图所示.(1)求证:△ADC≌△CEB;(2)由三角尺的刻度可知AC=25,请你帮小明求出砌墙砖块的厚度a的大小(每块砖块的厚度相等).(第23题)24.(12分)【知识介绍】换元法是数学中重要的解题方法.通常把未知数或变数称为元,所谓换元法,就是在一个比较复杂的数学式子中,用新的变元去代替原式的一个部分或改造原来的式子,使它简化,使问题易于解决.换元的实质是转化,关键是构造元和设元.均值换元法是换元法主要形式之一.【典例分析】已知实数x,y满足x+y=4,试求代数式x2+y2的最小值.【分析】均值换元法:由x+y=4,得x与y的均值为2,所以可以设x=2+t,y=2-t,再代入代数式换元求解.【解法】因为x+y=4,所以设x=2+t,y=2-t,所以x2+y2=(2+t)2+(2-t)2=2t2+8≥8,所以x2+y2的最小值是8.【理解应用】根据以上知识背景,回答下列问题:(1)若实数a、b满足a+b=2,求代数式a2+b2+2的最小值;(2)已知△ABC的三边长为a、b、c,满足b+c=8,bc=a2-8a+32,请判断△ABC的形状,并求△ABC的周长.25.(14分)【问题初探】如图①,△ABC中,∠BAC=90°,AB=AC,点D是BC上一点,连结AD,以AD为一边作△ADE,使∠DAE=90°,AD=AE,连结BE,猜想BE和CD 有怎样的数量关系,并说明理由.【类比再探】如图②,△ABC中,∠BAC=90°,AB=AC,点M是AB上一点,点D是BC上一点,连结MD,以MD为一边作△MDE,使∠DME=90°,MD=ME,连结BE,则∠EBD=________.(直接写出答案,不写过程)【方法迁移】如图③,△ABC是等边三角形,点D是BC上一点,连结AD,以AD为一边作等边三角形ADE,连结BE,则BD、BE、BC之间有怎样的数量关系?答案:________.(直接写出答案,不写过程)【拓展创新】如图④,△ABC是等边三角形,点M是AB上一点,点D是BC上一点,连结MD,以MD为一边作等边三角形MDE,连结BE.猜想∠EBD的度数,并说明理由.(第25题)答案一、1.A 2.C3.D4.D5.C6.A7.C8.D9.B 10.B二、11.3(答案不唯一)12.102513.1014.①③④15.21提示:∵∠ABC 与∠ACB 的平分线交于点O ,∴∠EBO =∠OBC ,∠FCO =∠OCB .∵EF ∥BC ,∴∠EOB =∠OBC ,∠FOC =∠OCB ,∴∠EOB =∠EBO ,∠FOC =∠FCO ,∴OE =BE ,OF =FC ,∴EF =BE +CF ,∴AE +EF +AF =AB +AC .∵△ABC 的周长比△AEF 的周长大12,∴(AB +BC +AC )-(AE +EF +AF )=12,∴BC =12.∵O 到AB 的距离为3.5,且O 在∠ABC 的平分线上,∴O 到BC的距离也为3.5,∴△OBC 的面积是12×12×3.5=21.16.a 2-b 2=(a +b )(a -b )三、17.解:(1)原式=7-3+2-1+13=103+ 2.(2)原式=(x 3y 2-x 2y -x 2y +x 3y 2)÷x 2y=(2x 3y 2-2x 2y )÷x 2y =2xy -2.18.解:[(ab -2)(ab +3)-5a 2b 2+6]÷(-ab )=(a 2b 2-2ab +3ab -6-5a 2b 2+6)÷(-ab )=(-4a 2b 2+ab )÷(-ab )=4ab -1.当a =12,b =-12时,原式=4×12×1=-1-1=-2.19.(1)证明:在△ABE 和△CBD 中,∵AB =CB ,∠ABE =∠CBD =90°,BE =BD ,∴△ABE ≌△CBD (S.A.S.).(2)解:∵AB =CB ,∠ABC =90°,∴∠BAC =∠ACB =45°.∵∠CAE =30°,∴∠AEB =∠ACB +∠CAE =45°+30°=75°.由(1)知△ABE ≌△CBD ,∴∠BDC =∠AEB =75°.20.(1)解:如图所示,A ′D ′为∠B ′A ′C ′的平分线.(第20题)(2)证明:∵∠B =∠B ′,∠C =∠C ′,∴∠BAC =∠B ′A ′C ′.∵AD 平分∠BAC ,A ′D ′平分∠B ′A ′C ′,∴∠BAD =12∠BAC ,∠B ′A ′D ′=12∠B ′A ′C ′,∴∠BAD =∠B ′A ′D ′.又∵∠B =∠B ′,AD =A ′D ′,∴△ABD ≌△A ′B ′D ′,∴BD =B ′D ′.21.解:(1)2(2)5拼法及标注如图所示.(答案不唯一)(第21题)22.解:(1)120÷30%=400,所以这次测试抽取的学生总人数为400,所以B 等级的人数为400-120-80-40=160.补全条形统计图如图所示.(第22题)(2)360°×80400=72°,所以C等级在扇形统计图中对应的圆心角的度数为72°.(3)1400×120+160400=980,所以估计全校合格的学生人数为980.23.(1)证明:由题意,得AC=BC,∠ACB=90°,AD⊥DE,BE⊥DE,∴∠ADC=∠CEB=90°,∴∠ACD+∠DAC=90°.又∵∠ACD+∠BCE=90°,∴∠DAC=∠ECB.在△ADC和△CEB中,∵∠ADC=∠CEB,∠DAC=∠ECB,AC=CB,∴△ADC≌△CEB(A.A.S.).(2)解:由题意,得AD=4a,BE=3a.∵△ADC≌△CEB,∴DC=BE=3a.在Rt△ACD中,根据勾股定理,得AD2+CD2=AC2,∴(4a)2+(3a)2=252,解得a=5(负值已舍去),∴砌墙砖块的厚度a为5.24.解:(1)因为a+b=2,所以设a=1+t,b=1-t,所以a2+b2+2=(1+t)2+(1-t)2+2=1+2t+t2+1-2t+t2+2=2t2+4≥4,所以a2+b2+2的最小值为4.(2)因为b+c=8,所以设b=4+t,c=4-t,因为bc=a2-8a+32,所以(4+t)(4-t)=a2-8a+32,16-t2=a2-8a+32,(a2-8a+16)+t2=0,即(a-4)2+t2=0,所以a=4,t=0,所以b=4+t=4,c=4-t=4,所以a=b=c,所以△ABC为等边三角形,所以△ABC的周长为12. 25.解:【问题初探】BE=CD.理由:∵∠DAE=∠BAC=90°,∴∠BAE=∠CAD.又∵AB=AC,AE=AD,∴△BAE≌△CAD(S.A.S.),∴BE=CD.【类比再探】90°【方法迁移】BC=BD+BE【拓展创新】∠EBD=120°.理由:过点M作MG∥AC交BC于点G,如图,则∠BMG=∠A=60°,∠BGM=∠C=60°,(第25题)∴△BMG是等边三角形,∴BM=GM.∵∠DME=∠BMG=60°,∴∠BME=∠GMD.又∵ME=MD,∴△BME≌△GMD(S.A.S.),∴∠MBE=∠MGD=60°,∴∠EBD=∠MBE+∠MBG=120°.2022-2023年华东师大版数学八年级上册期末考试测试卷及答案(三)一、选择题(每题4分,共40分)1.在实数-227,0,-6,503,π,0.101中,无理数的个数是() A.2B.3C.4D.52.已知一次函数y=kx+2(k≠0)的函数值y随x的增大而增大,则该函数的图象大致是()3.如图所示,以A为圆心的圆交数轴于B,C两点,若A,B两点表示的数分别为1,2,则点C表示的数是()A.2-1B.2-2C.22-2D.1-2(第3题)(第5题)4.某中学随机调查了15名学生,了解他们一周在校参加体育锻炼的时间,列表如下:锻炼时间/h5678人数2652则这15名学生一周在校参加体育锻炼时间的中位数和众数分别为()A .6h ,7hB .7h ,7hC .7h ,6hD .6h ,6h5.如图,在△ABC 中,∠A =70°,∠C =30°,BD 平分∠ABC 交AC 于点D ,DE ∥AB ,交BC 于点E ,则∠BDE 的度数是()A .30°B .40°C .50°D .60°6.如图,x 轴是△AOB 的对称轴,y 轴是△BOC 的对称轴,点A 的坐标为(1,2),则点C 的坐标为()A .(-1,-2)B .(1,-2)C .(-1,2)D .(-2,-1)7=-2,=1是关于x ,y +by =1,+ay =7的解,则(a +b )(a -b )的值为()A .-356 B.356C .16D .-168.我国古代著名的“赵爽弦图”的示意图如图①所示,它是由四个全等的直角三角形围成的.若AC =2,BC =3,将四个直角三角形中边长为3的直角边分别向外延长一倍,得到一个如图②所示“数学风车”,则这个风车的外围周长是()A .413B .810C .413+12D .810+129.我国古代数学著作《增删算法统宗》记载“绳索量竿”问题:“一条竿子一条索,索比竿子长一托;折回索子却量竿,却比竿子短一托.”其大意:现有一根竿和一条绳索,用绳索去量竿,绳索比竿长5尺;如果将绳索对半折后再去量竿,就比竿短5尺.设绳索长x 尺,竿长y 尺,则符合题意的方程组是()x =y +5,12x =y -5x =y -5,12x =y +5x =y +5,2x =y -5x =y -5,2x =y +510.甲、乙两车同时从A 地出发,以各自的速度匀速向B 地行驶,甲车先到达B 地后,立即按原路以相同速度匀速返回(停留时间不考虑),直到两车相遇.若甲、乙两车之间的距离y (km)与两车行驶的时间x (h)之间的关系如图所示,则A ,B 两地之间的距离为()A .150kmB .300kmC .350kmD .450km二、填空题(每题4分,共24分)11.64的算术平方根是________.12.“共和国勋章”获得者、“杂交水稻之父”袁隆平为世界粮食安全作出了杰出贡献.全球共有40多个国家引种杂交水稻,中国境外种植面积达800万公顷.某村引进了甲、乙两种超级杂交水稻品种,在条件(肥力、日照、通风……)不同的6块试验田中同时播种并核定亩产,统计结果为:x 甲=1042千克/亩,s 2甲=6.5,x 乙=1042千克/亩,s 2乙=1.2,则________品种更适合在该村推广.(填“甲”或“乙”)13.一条有破损的长方形纸带,按如图折叠,纸带重合部分中的∠α的度数为________.14.如图,正比例函数y 1=2x 和一次函数y 2=kx +b 的图象交于点A (a ,2),则当y 1>y 2时,x 的取值范围是____________.(第14题)(第16题)15.我国明代数学读本《算法统宗》有一道题,其题意为客人一起分银子,若每人7两,还剩4两;若每人9两,则差8两,银子共有________两.16.如图,△ABC 中,AC =BC ,∠ACB =90°,点D 在边BC 上,BD =6,CD=2,点P 是边AB 上一点,则PC +PD 的最小值为________.三、解答题(22~23题每题10分,24题12分,25题14分,其余每题8分,共86分)17.计算:24×13-4×18×(1-2)0+32.18x+2y=9,x-y=2.19.如图,在正方形网格中,每个小正方形的边长都是1,四边形ABCD的四个顶点都在格点上.解答下列问题:(1)在图中建立直角坐标系,使点A,C的坐标分别为(-2,0)和(1,4),则B(____,____)和D(____,____);(2)求四边形ABCD的周长.20.如图,已知AD∥BE,∠1=∠2,∠3=∠4,求证:AB∥CD.21.某电器公司计划装运甲、乙两种家电到农村销售(规定每辆汽车按规定满载,且每辆汽车只能装同一种家电),下表为每辆汽车装运甲、乙两种家电的台数.若用8辆汽车装运甲、乙两种家电190台到A地销售,问装运甲、乙两种家电的汽车各有多少辆?家电种类甲乙每辆汽车能装运的台数203022.为了从甲、乙两名同学中选拔一人参加知识竞赛,举行了6次选拔赛,根据两名同学6次选拔赛的成绩,分别绘制了如下统计图.(1)填写下列表格:平均数/分中位数/分众数/分甲90________93乙________87.585(2)分别求出甲、乙两名同学6次成绩的方差.(3)你认为选择哪一名同学参加知识竞赛比较好?请说明理由.23.在△ABC中,AC=21,BC=13,点D是AC所在直线上的点,BD⊥AC,BD=12.(1)求AD的长;(2)若点E是AB边上的动点,连接DE,求线段DE的最小值.24.某超市计划按月购买一种酸奶,每天进货量相同,进货成本为每瓶4元,售价为每瓶6元,未售出的酸奶以每瓶2元的价格当天全部降价处理完.根据往年销售经验,每天的需求量与当天本地最高气温有关.为了确定今年六月份的购买计划,计划部对去年六月份每天的最高气温x(℃)及当天售出(不含降价处理)的酸奶瓶数y的数据统计如下:x/℃15≤x<2020≤x<2525≤x<3030≤x≤35天数610113y/瓶270330360420以最高气温位于各范围的频率代替最高气温位于该范围的概率.(1)试估计今年六月份每天售出(不含降价处理)的酸奶瓶数不高于360瓶的概率;(2)根据供货方的要求,今年这种酸奶每天的进货量必须为100瓶的整数倍.问今年六月份这种酸奶一天的进货量为多少时,平均每天销售这种酸奶获得的利润最大?25.如图,在平面直角坐标系中,直线y=-x+6与x轴和y轴分别交于点B和点C,与直线OA交于点A(4,2),动点M在线段OA和射线AC上运动.(1)求点B和点C的坐标.(2)求△OAC的面积.S△OAC?若存在,求出此时点M的坐标;若不存在,(3)是否存在点M,使S△OMC=14请说明理由.答案一、1.A 2.A 3.B 4.D 5.B 6.A 7.D8.D9.A10.D二、11.2212.乙13.75°14.x>115.4616.10三、17.解:原式=24×13-4×24×1+42=22-2+42=5 2.183x+2y=9,①5x-y=2,②由②,得y=5x-2,③将③代入①,得3x+2(5x-2)=9,所以x=1,把x=1代入③,得y=3.x=1,y=3.19.解:(1)建立直角坐标系如图所示.4;0;-3;2(2)由勾股定理得AD =12+22=5,CD =42+22=25,BC =32+42=5,所以四边形ABCD 的周长=AB +AD +CD +BC =6+5+25+5=11+35.20.证明:因为AD ∥BE ,所以∠3=∠CAD ,因为∠3=∠4,所以∠4=∠CAD ,因为∠1=∠2,所以∠1+∠CAE =∠2+∠CAE ,即∠BAE =∠CAD ,所以∠4=∠BAE ,所以AB ∥CD .21.解:设装运甲种家电的汽车有x 辆,装运乙种家电的汽车有y 辆.x +y =8,20x +30y =190,x =5,y =3.答:装运甲种家电的汽车有5辆,装运乙种家电的汽车有3辆.22.解:(1)91;90(2)s 2甲=16[(85-90)2+(82-90)2+(89-90)2+(98-90)2+(93-90)2+(93-90)2]=863,s 2乙=16[(95-90)2+(85-90)2+(90-90)2+(85-90)2+(100-90)2+(85-90)2]=1003.(3)选择甲同学.理由:因为两人的平均数相同,说明两人实力相当,但甲的方差小于乙的方差,说明甲同学发挥更稳定,因此选择甲同学参加知识竞赛比较好.(理由不唯一)23.解:(1)①当∠ACB 为锐角时,∵BD ⊥AC ,BC =13,BD =12,∴CD =BC 2-BD 2=132-122=5,∴AD =AC -CD =21-5=16;②当∠ACB 为钝角时,同理可得CD =5,∴AD =AC +CD =21+5=26.综上,AD 的长为16或26.(2)当DE ⊥AB 时,线段DE 有最小值.①当∠ACB 为锐角时,AB =AD 2+BD 2=162+122=20.∵S △ABD =12AD ·BD =12AB ·DE ,∴DE =AD ·BD AB =16×1220=9.6;②当∠ACB 为钝角时,AB =AD 2+BD 2=262+122=2205,同理可得DE =AD ·BD AB =26×122205=156205205.综上,线段DE 的最小值为9.6或156205205.24.解:(1)依题意,得今年六月份每天售出(不含降价处理)的酸奶瓶数不高于360瓶的概率为6+10+1130=0.9.(2)由题意可知该超市当天售出一瓶酸奶可获利2元,降价处理一瓶酸奶亏损2元.设今年六月份这种酸奶一天的进货量为n 瓶,平均每天的利润为W 元,则当n =100时,W =100×2=200;当n =200时,W =200×2=400;当n =300时,W =130×[(30-6)×300×2+6×270×2-6×(300-270)×2]=576;当n =400时,W =130×[6×270×2+10×330×2+11×360×2+3×400×2-6×(400-270)×2-10×(400-330)×2-11×(400-360)×2]=544;当n ≥500时,与n =400时比较,亏本售出多,所以其平均每天的利润比n =400时平均每天的利润少.综上,当n =300时,W 的值达到最大,即今年六月份这种酸奶一天的进货量为300瓶时,平均每天销售这种酸奶获得的利润最大.25.解:(1)在y =-x +6中,令y =0,则x =6;令x =0,则y =6.故点B 的坐标为(6,0),点C 的坐标为(0,6).(2)S △OAC =12OC ×|x A |=12×6×4=12.(3)存在点M ,使S △OMC =14S △OAC .设点M 的坐标为(a ,b ),直线OA 的表达式是y =mx .∵A (4,2)在直线OA 上,∴4m =2,解得m =12.∴直线OA 的表达式是y =12x .∵S △OMC =14S △OAC ,∴12×OC ×|a |=14×12.又∵OC =6,∴a =±1.如图①,当点M 在线段OA 上时,a =1,此时b =12a =12,∴点M如图②,当点M在射线AC上时,若a=1,则b=-a+6=5,∴点M1的坐标是(1,5);若a=-1,则b=-a+6=7,∴点M2的坐标是(-1,7).综上所述,点M(1,5)或(-1,7).。
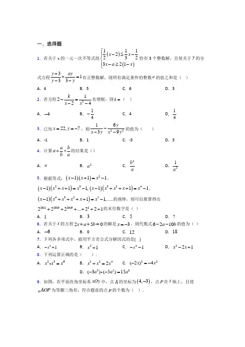
一、选择题1.关于x 的一元一次不等式组31,224xm x x x ⎧-≤+⎪⎨⎪-≤⎩的解集为4x ≤,且关于y 的分式方程13122my yy y--+=--有整数解,则符合条件的所有整数m 的和为( ) A .9B .10C .13D .142.下列各分式中,最简分式是( )A .6()8()x y x y -+B .22y x x y --C .2222x y x y xy ++D .222()x y x y -+3.下列说法正确的是( )A .分式242x x --的值为零,则x 的值为2±B .根据分式的基本性质,m n 可以变形为22mx nxC .分式32xyx y-中的,x y 都扩大3倍,分式的值不变D .分式211x x ++是最简分式 4.若220.3,3a b --=-=-,213c -⎛⎫=- ⎪⎝⎭,013d ⎛⎫=- ⎪⎝⎭,则( ) A .a b c d <<< B .b a c d <<< C .b a d c <<< D .a b d c <<< 5.下列计算正确的是( )A .248a a a •=B .352()a a =C .236()ab ab =D .624a a a ÷=6.若2x y +=,1xy =-,则()()1212x y --的值是( ) A .7- B .3-C .1D .97.若y 2+4y0,则xy 的值为( )A .﹣6B .﹣2C .2D .68.已知2|5213|(310)0x y x y +-+--=,则x y 的立方根为( ) A .1B .1-C .2D .2-9.等腰三角形的两边a ,b满足70a -=,则它的周长是( ) A .17B .13或17C .13D .1910.如图所示,D 为 BC 上一点,且 AB =AC =BD ,则图中∠1 与∠2 的关系是( )A .∠1=2∠2B .∠1+∠2=180°C .∠1+3∠2=180°D .3∠2﹣∠1=180°11.如图,已知AC ⊥BC ,DE ⊥AB ,AD 平分∠BAC ,下面结论错误的是( )A .BD +ED =BCB .∠B =2∠DAC C .AD 平分∠EDC D .ED +AC >AD 12.下列长度(单位:cm )的三条线段能组成三角形的是( )A .13,11,12B .3,2,1C .5,12,7D .5,13,5二、填空题13.已知3m n +=.则分式222m n m n n m m ⎛⎫+--÷- ⎪⎝⎭的值是_________. 14.若关于x 的方程1322m x x x-+=--的解是正数,则m =____________. 15.计算:2221111112310⎛⎫⎛⎫⎛⎫-⨯-⨯⋯⋯⨯-= ⎪ ⎪ ⎪⎝⎭⎝⎭⎝⎭________ 16.若2x y a +=,2x y b -=,则22x y -的值为____________.17.若等腰三角形的顶角为30°,腰长为10,则此等腰三角形的面积为_________. 18.△ABC 中,∠A =50°,当∠B =____________时,△ABC 是等腰三角形.19.如图,9cm AB =,3cm AC =,点P 在线段AB 上以1cm/s 的速度由点B 向点A 运动,同时点Q 在射线BD 上以x cm/s 的速度由点B 沿射线BD 的方向运动,它们运动的时间为t (s )(1)如图①,若AC AB ⊥,BD AB ⊥,当ACP BPQ △≌△,x =________;CPQ ∠=________.(2)如图②,CAB DBA ∠=∠,当ACP △与BPQ 全等,x =________; 20.已知等腰三角形的一边长等于11cm ,一边长等于5cm ,它的周长为______.三、解答题21.阅读理解材料1:小学时常常会遇到将一个假分数写成带分数的问题,在这个计算的过程中,先计算分子中有几个分母求出整数部分,再把剩余的部分写成一个真分数,例如:52211333=+=. 类似的,我们可以将下列的分式写成一个整数与一个新分式的和. 例如:111x x x+=+. 1(1)221111x x x x x +-+==+---. 材料2:为了研究字母x 和分式1x值的变化关系,小明制作了表格,并得到数据如下:请根据上述材料完成下列问题:(1)把下面的分式写成一个整数与一个新分式的和的形式:2x x +=__________________;12x x +=-___________________; (2)当0x >时,随着x 的增大,分式2x x+的值___________(增大或减小); (3)当1x >-时,随着x 的增大,分式231x x ++的值无限趋近一个数,请写出这个数,并说明理由.22.已知:240x x +-=,求代数式321121x x x x x x -⎛⎫-÷ ⎪--+⎝⎭的值. 23.阅读下面材料,完成任务.多项式除以多项式可以类比于多位数的除法进行计算,先把多项式按照某个字母的降幂进行排列,缺少的项可以看做系数为零,然后类比多位数的除法利用竖式进行计算.∴26445123215÷= ∴()()32223133x x x x x +-÷-=++请用以上方法解决下列问题:(计算过程要有竖式) (1)计算:()()3223102x x x x +--÷-(2)若关于x 的多项式43225x x ax b +++能被二项式2x +整除,且a ,b 均为自然数,求满足以上条件的a ,b 的值.24.如图,在ABC ∆中,,AB AC =过点A 作//AD BC 交ABC ∠的平分线BD 于点D ,求证:AC AD =.25.如图,在Rt ABC △和Rt DEF △中,90C F ∠=∠=︒,点A 、E 、B 、D 在同一直线上,BC 、EF 交于点M ,AC DF =,AB DE =. 求证:(1)CBA FED ∠=∠; (2)AM DM =.26.如图,AF ,AD 分别是ABC 的高和角平分线,且34B ∠=︒,76C ∠=︒,求DAF ∠的度数.【参考答案】***试卷处理标记,请不要删除一、选择题 1.A 解析:A 【分析】不等式组整理后,根据已知解集确定出m 的范围,分式方程去分母转化为整式方程,根据分式方程有整数解确定出整数m 的值,进而求出之和即可. 【详解】解:31224xm x x x ⎧-≤+⎪⎨⎪-≤⎩①②,解①得 x≤2m+2, 解②得 x≤4,∵不等式组31224xm x x x⎧-≤+⎪⎨⎪-≤⎩的解集为4x ≤,∴2m+2≥4, ∴m≥1.13122my y y y--+=--, 两边都乘以y-2,得 my-1+y-2=3y , ∴32y m =-, ∵m≥1,分式方程13122my yy y--+=--有整数解, ∴m=1,3,5, ∵y-2≠0,∴y≠2, ∴322m ≠-, ∴m≠72, ∴m=1,3,5,符合题意, 1+3+5=9. 故选A . 【点睛】此题考查了解分式方程,解一元一次不等式组,熟练掌握各自的解法是解本题的关键.2.C解析:C 【分析】分式的分子和分母没有公因式的分式即为最简分式,根据定义解答. 【详解】 A 、6()8()x y x y -+=3()4()x y x y -+,故该项不是最简分式;B 、22y x x y--=-x-y ,故该项不是最简分式;C 、2222x y x y xy ++分子分母没有公因式,故该项是最简分式;D 、222()x y x y -+=x y x y -+,故该项不是最简分式; 故选:C . 【点睛】此题考查最简分式定义,化简分式,掌握方法将分式的化简是解题的关键.3.D解析:D 【分析】直接利用分式的值为零的条件以及分式的基本性质、最简分式的定义分别分析得出答案. 【详解】A 、分式242x x --的值为零,则x 的值为−2,故此选项错误;B 、根据分式的基本性质,等式m n =22mx nx(x≠0),故此选项错误;C 、分式32xyx y-中的x ,y 都扩大3倍,分式的值扩大为3倍,故此选项错误;D 、分式211x x ++是最简分式,正确; 故选:D . 【点睛】此题主要考查了分式的值为零的条件以及分式的基本性质、最简分式的定义,正确掌握相关定义和性质是解题关键.4.D解析:D 【分析】直接利用负整数指数幂的性质以及零指数幂的性质分别化简得出答案. 【详解】解:21000.39a -=-=-,2193b -==--,2913c -⎛⎫=- ⎪⎭=⎝,0113d ⎛⎫=-= ⎪⎝⎭,∵10011999-<-<<, ∴a b d c <<<,故选D . 【点睛】此题主要考查了负整数指数幂的性质以及零指数幂的性质,正确化简各数是解题关键.5.D解析:D 【分析】分别根据同底数幂的乘法,幂的乘方,积的乘方法则以及同底数幂的除法法则逐一计算判断即可. 【详解】解:A 、a 2∙a 4=a 6,故选项A 不合题意; B 、(a 2)3=a 6,故选项不B 符合题意; C 、(ab 2)3=a 3b 6,故选项C 不符合题意; D 、a 6÷a 2=a 4,故选项D 符合题意. 故选:D . 【点睛】本题主要考查了幂的运算,熟练掌握幂的运算法则是解答本题的关键.6.A解析:A 【分析】利用多项式乘以多项式法则计算,整理后将已知等式代入计算即可求出值. 【详解】解:∵x+y=2,xy=-1,∴(1-2x )(1-2y )=1-2y-2x+4xy=1-2(x+y )+4xy=1-2×2-4=-7; 故选:A . 【点睛】本题考查了多项式乘多项式,熟练掌握运算法则是解本题的关键.7.A解析:A 【分析】根据2440y y ++=,即(y +2)20,根据任何数的偶次方以及二次根式都是非负数,两个非负数的和是0,则每个非负数都等于0,据此即可求解. 【详解】解:∵2440y y ++=∴(y +2)20 ∴y +2=0且x +y ﹣1=0 解得:y =﹣2,x =3 ∴xy =﹣6. 故选:A . 【点睛】本题主要考查了非负数的性质,两个非负数的和是0,则两个非负数都等于0.8.B解析:B 【分析】根据绝对值和平方式的非负性得到关于x 、y 的方程组,然后解方程组求得x 、y 值,代入求得xy 即可求解. 【详解】解:由题意,得:521303100x y x y +-=⎧⎨--=⎩,解得:31x y =⎧⎨=-⎩, ∴x y =(﹣1)3=﹣1, ∴x y 的立方根为﹣1, 故选:B . 【点睛】本题考查解二元一次方程组、绝对值和平方式的非负性、代数式求值、立方根,正确列出方程组是解答的关键.9.A解析:A根据绝对值和二次根式的性质求出a ,b ,再根据等腰三角形的性质判断即可; 【详解】∵70a -=,∴70260a b -=⎧⎨-=⎩,解得73a b =⎧⎨=⎩,∵a ,b 是等腰三角形的两边,∴当7a =为腰时,三边分别为7,7,3,符合三角形三边关系, 此时三角形的周长77317++=;当3b =为腰时,三边为3,3,7,由于33+<7,故不符合三角形的三边关系; ∴三角形的周长为17. 故答案选A . 【点睛】本题主要考查了等腰三角形的性质、绝对值性质和二次根式的性质,准确计算是解题的关键.10.D解析:D 【分析】根据三角形外角的性质得12C ∠+∠=∠,再根据等腰三角形的性质得B C ∠=∠,2BAD ∠=∠,由180BAC B C ∠+∠+∠=︒即可得出1∠与2∠的关系.【详解】解:∵2∠是ACD △的外角, ∴12C ∠+∠=∠, ∴∠C=∠2-∠1, ∵AB AC =, ∴B C ∠=∠, ∵AB BD =, ∴2BAD ∠=∠,∴112BAC BAD ∠=∠+∠=∠+∠, ∵180BAC B C ∠+∠+∠=︒,∴122121180∠+∠+∠-∠+∠-∠=︒,即321180∠-∠=︒. 故选:D . 【点睛】本题考查等腰三角形的性质,解题的关键是利用等腰三角形的性质得到相等的角.11.B解析:B利用角平分线的性质定理判断A;利用直角三角形两锐角互余判断B;证明△AED≌△ACD,由此判断C;利用三角形三边关系得到AC+CD>AD,由此判断D.【详解】∵AC⊥BC,DE⊥AB,AD平分∠BAC,∴DE=DC,∠BAD=∠DAC,∵BD+DC=BC,∴BD+ED=BC,故A正确;∵∠C=90︒,∴∠B+∠BAC=90︒,∴∠B+2∠DAC=90︒,故B错误;∵DE⊥AB,∴∠AED=∠C=90︒,又∵∠BAD=∠DAC,DE=CD,∴△AED≌△ACD,∴∠ADE=∠ADC,∴AD平分∠EDC,故C正确;在△ACD中,AC+CD>AD,∴ED+AC>AD,故D正确;故选:B.【点睛】此题考查三角形的三边关系,角平分线的性质定理,全等三角形的判定及性质,直角三角形两锐角互余的性质,熟记各知识点并应用解决问题是解题的关键.12.A解析:A【分析】根据三角形的三边关系“任意两边之和大于第三边,任意两边之差小于第三边”进行分析.【详解】解:根据三角形的三边关系,A、11+12>13,能组成三角形,符合题意;B、1+2=3,不能组成三角形,不符合题意;C、5+7=12,不能组成三角形,不符合题意;D、5+5<13,不能组成三角形,不符合题意;故选A.【点睛】此题考查了三角形的三边关系.判断能否组成三角形的简便方法是看较小的两个数的和是否大于第三个数.二、填空题13.【分析】根据分式运算法则即可求出答案【详解】解:===当m+n=-3时原式=故答案为:【点睛】本题考查分式解题的关键是熟练运用分式的运算法则本题属于基础题型 解析:13【分析】根据分式运算法则即可求出答案.【详解】 解:222m n m n n m m ⎛⎫+--÷- ⎪⎝⎭=22(2)m n m mn n m m+-++÷ =2()m n m m m n +⋅-+ =1m n-+, 当m+n=-3时, 原式=13故答案为:13 【点睛】本题考查分式,解题的关键是熟练运用分式的运算法则,本题属于基础题型. 14.m <5且m≠1【分析】将分式方程去分母转化为整式方程表示出x 根据x 为正数列出关于m 的不等式求出不等式的解集即可确定出m 的范围【详解】解:关于的方程的解是正数且解得m <5且m≠1故答案为:m <5且m≠ 解析:m <5且m≠1【分析】将分式方程去分母转化为整式方程,表示出x ,根据x 为正数列出关于m 的不等式,求出不等式的解集即可确定出m 的范围.【详解】 解:1322m x x x-+=-- ()m+32=-1-x x5-m x=2关于x 的方程1322m x x x-+=--的解是正数, 5-m 02>且5-m 22≠ 解得m <5且m≠1,故答案为:m <5且m≠1【点睛】此题考查了分式方程的解,得出关于m 的不等式是解题的关键,注意任何时候考虑分母不为0.15.【分析】运用平方差公式进行计算即可【详解】解:====故答案为:【点睛】此题主要考查了有理数的混合运算以及平方差公式的应用熟练掌握运算法则以及平方差公式是解答此题的关键 解析:1120【分析】运用平方差公式进行计算即可.【详解】 解:2221111112310⎛⎫⎛⎫⎛⎫-⨯-⨯⋯⋯⨯- ⎪ ⎪ ⎪⎝⎭⎝⎭⎝⎭=1111111+1111122331010⎛⎫⎛⎫⎛⎫⎛⎫⎛⎫⎛⎫⨯-⨯+⨯-⨯⨯+⨯- ⎪ ⎪ ⎪ ⎪ ⎪ ⎪⎝⎭⎝⎭⎝⎭⎝⎭⎝⎭⎝⎭ =132491122331010⨯⨯⨯⨯⨯⨯ =111210⨯ =1120. 故答案为:1120. 【点睛】此题主要考查了有理数的混合运算以及平方差公式的应用,熟练掌握运算法则以及平方差公式是解答此题的关键.16.【分析】应用平方差把多项式因式分解再整体代入即可【详解】解:把代入原式=故答案为:【点睛】本题考查了运用平方差公式因式分解和整体代入求值能够熟练运用平方差把多项式因式分解并整体代入求值是解题的关键 解析:4ab .【分析】应用平方差把多项式22x y -因式分解,再整体代入即可.【详解】解:22()()x y x y x y -=+-,把2x y a +=,2x y b -=代入,原式=224a b ab ⨯=,故答案为:4ab .【点睛】本题考查了运用平方差公式因式分解和整体代入求值,能够熟练运用平方差把多项式因式分解并整体代入求值,是解题的关键. 17.25【分析】依据含30°角的直角三角形的性质即可得到该等腰三角形腰上的高再根据三角形面积计算公式进行计算即可【详解】解:如图所示AB=AC=10∠A =30°过B 作BD ⊥AC 于D ∵∠A =30°AB =1解析:25【分析】依据含30°角的直角三角形的性质,即可得到该等腰三角形腰上的高,再根据三角形面积计算公式进行计算即可.【详解】解:如图所示,AB=AC=10,∠A =30°,过B 作BD ⊥AC 于D ,∵∠A =30°,AB =10,∴BD =12AB =5, ∴S △ABC =12AC ×BD =12×10×5=25, 故答案为:25.【点睛】本题主要考查了等腰三角形的性质以及含30°角的直角三角形的性质,作出腰上的高并根据30°角求出高是解题关键.18.50°或80°或65°【分析】由已知条件根据题意分三种情况讨论:①∠A 是顶角;②∠A 是底角∠B =∠A 时③∠A 是底角∠B =∠A 时利用三角形的内角和进行求解【详解】①∠A 是顶角∠B =(180°−∠A )÷解析:50°或80°或65°【分析】由已知条件,根据题意,分三种情况讨论:①∠A 是顶角;②∠A 是底角,∠B =∠A 时,③∠A 是底角,∠B =∠A 时,利用三角形的内角和进行求解.【详解】①∠A 是顶角,∠B =(180°−∠A )÷2=65°;②∠A 是底角,∠B =∠A =50°.③∠A 是底角,∠A =∠C =50°,则∠B =180°−50°×2=80°,∴当∠B 的度数为50°或65°或80°时,△ABC 是等腰三角形.故答案为:50°或65°或80°.【点睛】本题考查了等腰三角形的判定及三角形的内角和定理;分情况讨论是正确解答本题的关键.19.90°2或【分析】(1)根据全等找出对应边利用BP 边求得时间再在BQ 边上求速度再运用全等三角形的性质即可证明角度;(2)结合条件对与全等时的情况进行分析分类讨论即可【详解】(1)当时又;(2)①当时解析:90° 2或23【分析】(1)根据全等找出对应边,利用BP 边求得时间,再在BQ 边上求速度,再运用全等三角形的性质,即可证明角度;(2)结合条件,对ACP △与BPQ 全等时的情况进行分析,分类讨论即可.【详解】(1)当ACP BPQ △≌△时,3AC PB ==,936AP BQ cm ==-=, 331cm t s cm /s ∴==,623cm x cm /s s==, 又CPA PQB ∠=∠,90PQB QPB ∠+∠=︒,90CPA QPB ∴∠+∠=︒,18090CPQ ∴∠=︒-︒=90︒;(2)①当ACP BPQ △≌△时,3AC BP ==,936AP BQ ==-=, 此时,331cm t s cm /s ==,623cm x cm /s s==; ②当ACP BQP △≌△时, 3AC BQ ==,92AP BP ==,此时,99212cm t s cm /s ==,32932cm x cm /s s ==; 综上:当ACP △与BPQ 全等,2x cm /s =或23cm /s . 【点睛】本题考查了全等三角形的性质及判定,熟练掌握全等三角形的性质是解题关键. 20.【分析】题目给出等腰三角形有两条边长为11和5而没有明确腰底分别是多少所以要进行讨论还要应用三角形的三边关系验证能否组成三角形【详解】分两种情况:当腰为11时11+11>511-11<5所以能构成三解析:27cm【分析】题目给出等腰三角形有两条边长为11和5,而没有明确腰、底分别是多少,所以要进行讨论,还要应用三角形的三边关系验证能否组成三角形.【详解】分两种情况:当腰为11时,11+11>5,11-11<5,所以能构成三角形,周长是:11+11+5=27cm ;当腰为5时,5+5<11,所以不能构成三角形,故答案为:27cm .【点睛】本题考查了等腰三角形的性质和三角形的三边关系;已知没有明确腰和底边的题目一定要想到两种情况,分类进行讨论,还应验证各种情况是否能构成三角形进行解答,这点非常重要,也是解题的关键.三、解答题21.(1)21x +,312x +-;(2)减小;(3)2,理由见解析 【分析】(1)把分子写成分母的倍数与另一个整式的和,再逆用分式的加减法则即可得到解答; (2)把2x x +变成21x +,再根据 1x 随x 的变化趋势可以得解; (3)先得231211x x x +=+++,然后根据随着x 的值的增大, 11x +的值逐渐减小并趋于0可以得到解答.【详解】解:(1)∵2221x x x x x x +=+=+,123233122222x x x x x x x x +-+-==+=+-----, 故答案为23112x x ++-,;(2)∵221x x x +=+,且由材料2可得: x>0时, 1x随x 的增大而减小, ∴当 x>0 时,随着x 的增大,分式2x x +的值减小; (3)2理由如下: 231211x x x +=+++, 随着x 的值的增大,11x +的值逐渐减小并趋于0, ∴随着x 的值的增大,231x x ++的值无限趋近于2. 【点睛】 本题考查分式运算的规律探索,根据材料得到一定规律并灵活运用于所给问题的解决是解题关键.22.21x x +,14【分析】 根据分式的运算法则对原式进行化简,再把已知条件变形为化简算式可以利用的形式后代入求解即可 .【详解】解:原式321121x x x x x -=÷--+ 21(1)1(1)(1)x x x x x -=⋅-+- 21x x =+. 由已知可得:24x x +=, 把上式代入经化简后的原式可得原式14=. 【点睛】本题考查分式的化简与求值,熟练掌握分式的运算方法与整体代入的思想方法是解题关键.23.(1)()()3222310245x x x x x x +--÷-=++;(2)0a =,8b =;1a =,4b =;2a =,0b =【分析】(1)直接利用竖式计算即可;(2)竖式计算,根据整除的意义,利用对应项的系数对应倍数求得答案即可.【详解】解:(1)列竖式如下:()()3222310245x x x x x x +--÷-=++ (2)列竖式如下:∵多项式43225x x ax b +++能被二项式2x +整除∴余式()420b a +-=∵a ,b 均为自然数∴0a =,8b =;1a =,4b =;2a =,0b =【点睛】此题考查利用竖式计算整式的除法,解题时要注意同类项的对应.24.见解析【分析】由已知可得∠ABD=∠D ,从而得到AB=AD ,进而得到AC=AD .【详解】证明:∵BD 是∠ABC 的平分线,∴∠ABD=∠CBD ,又AD//BC ,∴∠CBD=∠D ,∴∠ABD=∠D ,∴AB=AD ,∵AB=AC ,∴AC=AD .【点睛】本题考查等腰三角形的性质与判定,熟练掌握平行线的性质、角平分线的定义、等腰三角形的判定与性质是解题关键 .25.(1)见解析;(2)见解析【分析】(1)根据HL 定理可得Rt △ABC ≌ Rt △DEF ,从而得到∠CBA=∠FED ;(2)由(1)所得结论和已知条件可以证得△AEM ≌△DBM ,从而可得AM=DM .【详解】证明:(1)在Rt ABC △和Rt DEF △中,90C F ∠=∠=︒AC DF AB DE =⎧⎨=⎩∴()Rt Rt HL ABC DEF ≌△△∴CBA FED ∠=∠.(2)∵CBA FED ∠=∠∴ME MB =,且AEMDBM ∠=∠ 又∵AB DE =∴AB EB DE EB -=-即AE DB =在AEM △和DBM △中AE DB AEM DBM ME MB =⎧⎪∠=∠⎨⎪=⎩∴()AEM DBM SAS △≌△∴AM DM =.【点睛】本题考查三角形全等的判定和性质,熟练掌握三角形全等的判定定理HL 、SAS 及三角形全等的性质是解题关键.26.21︒【分析】运用三角形的内角和定理即可求出∠BAC 的度数;根据角平分线的定义、三角形的内角和定理的推论以及直角三角形的两个锐角互余即可求出∠FAC 的度数,再由DAF DAC FAC =-∠∠∠即可得出结论.【详解】解:∵AF 是ABC 的高,∴90AFC ∠=︒,∴90907614FAC C ∠=︒-∠=︒-︒=︒, ∵180BAC B C ∠+∠+∠=︒, ∴180180763470BAC B C ∠=︒-∠-∠=︒-︒-︒=︒, ∵AD 是ABC 的角平分线, ∴11703522DAC BAC ==⨯︒=∠∠︒, ∴21DAF DAC FAC =-∠=∠∠︒.【点睛】 本题考查的是三角形内角和定理,熟知三角形内角和是180°是解答此题的关键.。
华师大版八年级上册数学期末考试题及答案华师大版八年级上册数学期末考试试卷一、选择题(每小题3分,共24分)1.下列说法中,正确的是()A。
(√(-6))²=-6B。
带根号的数都是无理数C。
27的立方根是±3D。
立方根等于-1的实数是-12.下列运算正确的是()A。
a³·a²=a⁵B。
(a²b)³=a⁶b³C。
a⁸÷a²=a⁶D。
a+a=a²3.在△ABC中,∠A,∠B,∠C的对边分别记为a,b,c,下列结论中不正确的是()A。
如果∠A-∠B=∠C,那么△ABC是直角三角形B。
如果a²=b²+2c²,那么△ABC是直角三角形且∠C=90°C。
如果∠A:∠B:∠C=1:3:2,那么△ABC是直角三角形D。
如果a²:b²:c²=9:16:25,那么△ABC是直角三角形4.如图,在数轴上表示实数的点可能是()A。
点PB。
点QC。
点MD。
点N5.下列结论正确的是()A。
有两个锐角相等的两个直角三角形全等B。
一条斜边对应相等的两个直角三角形全等C。
顶角和底边对应相等的两个等腰三角形全等D。
两个等边三角形全等6.三角形的三边长为a,b,c,且满足(a+b)²=c²+2ab,则这个三角形是()A。
等边三角形B。
钝角三角形C。
直角三角形D。
锐角三角形7.如图,已知点P到AE、AD、BC的距离相等,下列说法:①点P在∠BAC的平分线上;②点P在∠CBE的平分线上;③点P在∠BCD的平分线上;④点P在∠BAC,∠CBE,∠BCD的平分线的交点上。
其中正确的是()A。
①②③④B。
①②③C。
④D。
②③8.如图,在△ACB中,有一点P在AC上移动,若AB=AC=5,BC=6,则AP+BP+CP的最小值为()A。
4.8B。
8C。
华东师大版八年级数学上册期末考试卷【及参考答案】班级:姓名:一、选择题(本大题共10小题,每题3分,共30分)1.若分式211xx-+的值为0,则x的值为()A.0 B.1 C.﹣1 D.±12.已知:将直线y=x﹣1向上平移2个单位长度后得到直线y=kx+b,则下列关于直线y=kx+b的说法正确的是()A.经过第一、二、四象限B.与x轴交于(1,0)C.与y轴交于(0,1)D.y随x的增大而减小3.已知a,b满足方程组51234a ba b+=⎧⎨-=⎩则a+b的值为()A.﹣4 B.4 C.﹣2 D.24.若x,y均为正整数,且2x+1·4y=128,则x+y的值为()A.3 B.5 C.4或5 D.3或4或5 5.已知一个多边形的内角和为1080°,则这个多边形是()A.九边形B.八边形C.七边形D.六边形6.下列对一元二次方程x2+x﹣3=0根的情况的判断,正确的是()A.有两个不相等实数根B.有两个相等实数根C.有且只有一个实数根D.没有实数根7.在平面直角坐标系中,一次函数y=kx+b的图象如图所示,则k和b的取值范围是()A.k>0,b>0 B.k>0,b<0 C.k<0,b>0 D.k<0,b<0 8.如图,一艘轮船位于灯塔P的北偏东60°方向,与灯塔P的距离为30海里的A处,轮船沿正南方向航行一段时间后,到达位于灯塔P的南偏东30°方向上的B处,则此时轮船所在位置B与灯塔P之间的距离为()A.60海里B.45海里C.203海里D.303海里9.如图,菱形ABCD的周长为28,对角线AC,BD交于点O,E为AD的中点,则OE的长等于()A.2 B.3.5 C.7 D.1410.如图,已知∠ABC=∠DCB,下列所给条件不能证明△ABC≌△DCB的是()A.∠A=∠D B.AB=DC C.∠ACB=∠DBC D.AC=BD二、填空题(本大题共6小题,每小题3分,共18分)1.分解因式:29a-=__________.2.已知x,y满足方程组x2y5x2y3-=⎧+=-⎨⎩,则22x4y-的值为__________.3.使x2-有意义的x的取值范围是________.4.如图,将周长为8的△ABC沿BC方向向右平移1个单位得到△DEF,则四边形ABFD的周长为_____________.5.如图,直线AB,CD被BC所截,若AB∥CD,∠1=45°,∠2=35°,则∠3=_________度。
华东师大版八年级数学上册期末试卷及完整答案 班级: 姓名: 一、选择题(本大题共10小题,每题3分,共30分)1.12-的相反数是( ) A .2- B .2 C .12- D .122.已知35a =+,35b =-,则代数式22a ab b -+的值是( )A .24B .±26C .26D .253.已知a ,b 满足方程组51234a b a b +=⎧⎨-=⎩则a+b 的值为( ) A .﹣4 B .4 C .﹣2 D .24.已知a b 3132==,,则a b 3+的值为( ) A .1 B .2 C .3 D .275.实数a ,b 在数轴上对应点的位置如图所示,化简|a|+2()a b +的结果是( )A .﹣2a-bB .2a ﹣bC .﹣bD .b6.如图,直线y=ax+b 过点A (0,2)和点B (﹣3,0),则方程ax+b=0的解是( )A .x=2B .x=0C .x=﹣1D .x=﹣37.在平面直角坐标系中,一次函数y=kx+b 的图象如图所示,则k 和b 的取值范围是( )A .k >0,b >0B .k >0,b <0C .k <0,b >0D .k <0,b <08.如图,小华剪了两条宽为1的纸条,交叉叠放在一起,且它们较小的交角为60,则它们重叠部分的面积为( )A .1B .2C 3D .23 39.如图,将△ABC 放在正方形网格图中(图中每个小正方形的边长均为1),点A ,B ,C 恰好在网格图中的格点上,那么△ABC 中BC 边上的高是( )A .102B .104C .105D .510.下列选项中,不能判定四边形ABCD 是平行四边形的是( )A .AD//BC ,AB//CDB .AB//CD ,AB CD =C .AD//BC ,AB DC =D .AB DC =,AD BC =二、填空题(本大题共6小题,每小题3分,共18分)1.若一个多边形的内角和是其外角和的3倍,则这个多边形的边数是______.21a +8a =__________.3.4的平方根是 .4.如图,将三个同样的正方形的一个顶点重合放置,那么1∠的度数为__________.5.正方形111A B C O 、2221A B C C 、3332A B C C 、…按如图所示的方式放置.点1A 、2A 、3A 、…和点1C 、2C 、3C 、…分别在直线1y x =+和x 轴上,则点n B 的坐标是__________.(n 为正整数)6.如图,在平行四边形ABCD 中,连接BD ,且BD =CD ,过点A 作AM ⊥BD 于点M ,过点D 作DN ⊥AB 于点N ,且DN =32,在DB 的延长线上取一点P ,满足∠ABD =∠MAP +∠PAB ,则AP =________.三、解答题(本大题共6小题,共72分)1.解方程:(1)2(1)30x +-= (2)4(2)3(2)x x x +=+2.先化简,再求值:22121244x x x x x x +-⎛⎫-÷ ⎪--+⎝⎭,其中3x =3.已知22a b -=,且1a ≥,0b ≤.(1)求b 的取值范围(2)设2m a b =+,求m 的最大值.4.如图,直线y=kx+6分别与x 轴、y 轴交于点E ,F ,已知点E 的坐标为(﹣8,0),点A 的坐标为(﹣6,0).(1)求k 的值;(2)若点P (x ,y )是该直线上的一个动点,且在第二象限内运动,试写出△OPA 的面积S 关于x 的函数解析式,并写出自变量x 的取值范围.(3)探究:当点P 运动到什么位置时,△OPA 的面积为,并说明理由.5.已知:如图所示,AD 平分BAC ∠,M 是BC 的中点,MF//AD ,分别交CA 延长线,AB 于F 、E .求证:BE=CF .6.文美书店决定用不多于20000元购进甲乙两种图书共1200本进行销售.甲、乙两种图书的进价分别为每本20元、14元,甲种图书每本的售价是乙种图书每本售价的1.4倍,若用1680元在文美书店可购买甲种图书的本数比用1400元购买乙种图书的本数少10本.(1)甲乙两种图书的售价分别为每本多少元?(2)书店为了让利读者,决定甲种图书售价每本降低3元,乙种图书售价每本降低2元,问书店应如何进货才能获得最大利润?(购进的两种图书全部销售完.)参考答案一、选择题(本大题共10小题,每题3分,共30分)1、D2、C3、B4、B5、A6、D7、C8、D9、A10、C二、填空题(本大题共6小题,每小题3分,共18分)1、82、13、±2.4、20°.5、1(21,2)n n -- 6、6三、解答题(本大题共6小题,共72分)1、(1)131x =-,231x =--;(2)12x =-,243x =.2、3x ,33、(1)102b -≤≤;(2)2 4、(1)k=;(2)△OPA 的面积S=x+18 (﹣8<x <0);(3)点P 坐标为(,)或(,)时,三角形OPA 的面积为.5、略.6、(1)甲种图书售价每本28元,乙种图书售价每本20元;(2)甲种图书进货533本,乙种图书进货667本时利润最大.。
初二(上)数学期末测试题(华东师大版)(满分100分 考试时间100分钟)一、细心选一选(本题有10个小题,每小题3分, 满分30分,下面每小题给出的四个选项中,只有一个是正确的。
)1. 以下四家银行行标中,不是旋转对称图形的有 ()2. 如图1所给的4个正方形网格图形中,黑色部分只用平移可以得到的有( ).A. 1个B. 2个C. 3个D. 4个3. 64的平方根是( )A. 4B.C. 8D. 4. 可以写成( )A. B. a 4·a 2C. D. (-a)7·(-a)5. 下列计算正确的是( ). A.B.C. D. 6. 若,则k 的值为( )A. 2B. –2C. 1D. –17. 下列四边形中,两条对角线不一定相等的是( )A. 正方形B. 矩形C. 菱形D. 等腰梯形8. 已知ΔABC 的三边分别是,则ΔABC 的面积是() A. 6 B. 7.5 C. 10 D. 129. 如图2,在菱形ABCD 中,,则菱形AB 边上的高CE 的长是( )A.B.C. 5D. 104±8±8a 44a a +62()a -()()2555a a a +-=-()2222x x x x +÷=+()2222a b a ab b +=-+()()22a b b a b a---=-26(3)(2)x kx x x +-=+-3,4,5cm cm cm 2cm 6cm,8cm AC BD ==245cm 485cm cmcm10. 如图3,梯形ABCD 的周长为28 cm ,AD ∥BC ,过点A作AE ∥CD 交BC 于E ,△ABE 的周长为20cm ,下底BC=10cm ,则△ABE 与四边形的面积比等于( ).A. 2:3B. 3:2C. 3:4D. 4:3二. 耐心填一填 (本题有6个小题, 每小题3分, 共18分) 11. 分解因式=_____________________12. 计算所得的结果是_____________ 13. 请在实数3.2和3.8之间找一个无理数,它可以是14. 平行四边形ABCD 中,∠A+∠C=200°,则∠A=___________15. 如图4,已知矩形ABCD 的对角线AC 和BD 交于点O ,过O 作OE ⊥BC ,垂足为E ,且OE=3,AC=10,则BC=。
一、选择题1.将分式2+x x y中的x ,y 的做同时扩大到原来的3倍,则分式的值( )A .扩大到原来的3倍B .缩小到原来的13C .保持不变D .无法确定2.关于x 的一元一次不等式组31,224xm x x x ⎧-≤+⎪⎨⎪-≤⎩的解集为4x ≤,且关于y 的分式方程13122my yy y--+=--有整数解,则符合条件的所有整数m 的和为( ) A .9B .10C .13D .143.下列计算正确的是( )A .22a a a ⋅=B .623a a a ÷=C .2222a b ba a b-=-D .3339()28a a-=- 4.2222x y x y x y x y -+÷+-的结果是( ) A .222()x y x y ++B .222()x y x y +-C .222()x y x y -+D .222()x y x y ++5.将4个数a 、b 、c 、d 排成2行、2列,两边各加一条竖直线记成a c b d ,定义a c bd=ad-bc .上述记号就叫做2阶行列式,若11x x +-11x x -+=12,则x=( ).A .2B .3C .4D .66.已知3x y +=,1xy =,则23x xy y -+的值是()A .7B .8C .9D .127.代数式2346x x -+的值为3,则2463x x -+的值为( ) A .7 B .18 C .5 D .9 8.若|a |=13,b|=7,且a +b>0,则a -b 的值是( ).A .6或20B .20 或-20C .6或-6D .-6或209.如图,在ABC 中,6AB =,8AC =,10BC =,EF 是BC 的垂直平分线,P 是直线EF 上的一动点,则PA PB +的最小值是( ).A .6B .8C .10D .1110.下列图案中,是轴对称图形的是( ) A .B .C .D .11.下列四个命题中,真命题是( ) A .如果 ab =0,那么a =0 B .面积相等的三角形是全等三角形 C .直角三角形的两个锐角互余 D .不是对顶角的两个角不相等12.如图,AD 是ABC 的外角CAE ∠的平分线,35B ∠=︒,60=︒∠DAC ,则ACD ∠的度数为( )A .25︒B .85︒C .60︒D .95︒二、填空题13.101()()2π-+-=______,011(3.14)2--++=______. 14.若关于x 的分式方程11222mx x x-=---无解,则m =______.15.分解因式:2221218ax axy ay -+=_________.16.如图,在ABC 中,D 是BC 上一点,,105AC AD DB BAC ==∠=︒,则B ∠=________°.17.如图,在锐角△ABC 中,AB =62 ,∠BAC =45°,∠BAC 的平分线交BC 于点D ,M ,N 分别是AD 和AB 上的动点,则BM +MN 的最小值是_____________.18.如图,在△ABC 中,∠C =90°,AD 是∠BAC 的角平分线,若BC =8cm ,BD =5cm ,AB=10cm,则S △ABD =______.19.若方程22(1)8m x mx x --+=是关于x 的一元一次方程,则代数式2008|1|m m --的值为________.20.已知ABC 的三边长分别为a ,b ,c ,则a b c b c a c a b --+--+-+=______. 三、解答题21.(1)解分式方程:23193xx x +=-- (2)先化简代数式+⎛⎫+÷ ⎪---+⎝⎭2a 11a a 1a 1a 2a 1,然后选取一个使原式有意义的a 值代入求值.22.新冠肺炎疫情暴发后,某医疗设备公司紧急复工,但受疫情影响,医用防护服生产车间仍有7人不能到厂工作,为了应对疫情,在每个工人每小时完成的工作量不变的前提下,已复工的工人加班生产,每天的工作时间由原来8个小时增加到10个小时.该公司原来每天能生产防护服800套,现在每天能生产防护服650套. (1)求该公司原来生产防护服的工人有多少人?(2)复工10天后,未到的7名工人到岗且同时加入了生产,每天生产时间仍然为10小时.为了支援灾区,公司复工后决定生产15500套防护服,问至少还需要多少天才能完成任务?23.所谓完全平方式,就是对一个整式M ,如果存在另一个整式N ,使2M N =,则称M 是完全平方式,如:422()x x =、222)2(x xy y x y =+++,则称4x 、222x xy y++是完全平方式.(1)下列各式中是完全平方式的编号有 .①2244a a b ++;②24x ;③22x xy y -+; ④21025y y --;⑤21236x x ++;⑥2124949a a -+ (2)已知a 、b 、c 是ABC ∆的三边长,满足22222()a b c c a b ++=+,判定ABC ∆的形状.(3)证明:多项式2(4)(8)64x x x +++是一个完全平方式.24.已知:如图,MON ∠为锐角,点A 在射线OM 上.求作:射线AC ,使得//AC ON . 小静的作图思路如下:①以点A 为圆心,AO 为半径作弧,交射线ON 于点B ,连接AB ; ②作MAB ∠的角平分线AC . 射线AC 即为所求的射线.(1)使用直尺和圆规,按照小静的作图思路补全图形(保留作图痕迹); (2)完成下面的证明. 证明:OA AB =,O ABO ∴∠=∠(__________). MAB ∠是AOB 的一个外角,MAB ∴∠=∠_________+∠__________.12ABO MAB ∴∠=∠.AC 平分MAB ∠,12BAC MAB ∴∠=∠.ABO BAC ∴∠=∠.//AC ON ∴(__________).25.如图,Rt ABC 与Rt DEF △的顶点A ,F ,C ,D 共线,AB 与EF 交于点G ,BC 与DE 相交于点H ,90B E ∠=∠=︒,AF CD =,AB DE =.(1)求证:Rt ABC Rt DEF ≌; (2)若1GF =,求线段HC 的长.26.如图,在每个小正方形边长为1的方格纸中,△ABC 的顶点都在方格纸格点上.将△ABC 向左平移2格,再向上平移4格. (1)请在图中画出平移后的△A ′B ′C ′; (2)在图中画出△ABC 的高CD ,中线BE ;(3)在图中能使S △ABC =S △PBC 的格点P 的个数有 个(点P 异于点A ).【参考答案】***试卷处理标记,请不要删除一、选择题 1.A 解析:A 【分析】将x 变为3x ,y 变为3y 计算后与原式比较即可得到答案. 【详解】222(3)93333()x x x x y x y x y==⨯+++,故分式的值扩大到原来的3倍, 故选:A . 【点睛】此题考查分式的基本性质,正确掌握积的乘方运算,分解因式是解题的关键.2.A解析:A 【分析】不等式组整理后,根据已知解集确定出m 的范围,分式方程去分母转化为整式方程,根据分式方程有整数解确定出整数m 的值,进而求出之和即可. 【详解】解:31224xm x x x ⎧-≤+⎪⎨⎪-≤⎩①②,解①得 x≤2m+2, 解②得 x≤4,∵不等式组31224xm x x x⎧-≤+⎪⎨⎪-≤⎩的解集为4x ≤,∴2m+2≥4, ∴m≥1.13122my y y y--+=--, 两边都乘以y-2,得 my-1+y-2=3y , ∴32y m =-, ∵m≥1,分式方程13122my yy y--+=--有整数解, ∴m=1,3,5, ∵y-2≠0, ∴y≠2, ∴322m ≠-, ∴m ≠72, ∴m=1,3,5,符合题意, 1+3+5=9. 故选A . 【点睛】此题考查了解分式方程,解一元一次不等式组,熟练掌握各自的解法是解本题的关键.3.C解析:C 【分析】A 、B 两项利用同底数幂的乘除法即可求解,C 项利用合并同类项法则计算即可,D 项利用分式的乘方即可得到结果,即可作出判断. 【详解】解:A 、原式=a 3,不符合题意; B 、原式=a 4,不符合题意; C 、原式=-a 2b ,符合题意; D 、原式=3278a- ,不符合题意, 故选:C . 【点睛】此题考查了分式的乘方,合并同类项,以及同底数幂的乘除法,熟练掌握运算法则是解本题的关键.4.C解析:C 【分析】根据分式的除法法则计算即可. 【详解】2222x y x y x y x y -+÷+-()()22x y x y x y x y x y +--=⨯++222()x y x y -=+ 【点睛】此题考查分式的除法法则:先把除式的分子分母颠倒位置,再化为最简分式即可.5.B解析:B 【分析】根据题中的新定义将所求的方程化为普通方程,整理后即可求出方程的解,即为x 的值. 【详解】解:根据题意化简1111x x x x +--+=12,得(x+1)2-(x-1)2=12, 整理得:x 2+2x+1-(1-2x+x 2)-12=0,即4x=12, 解得:x=3, 故选:B . 【点睛】此题考查了整式的混合运算,属于新定义的题型,涉及的知识有:完全平方公式,去括号、合并同类项法则,根据题意将所求的方程化为普通方程是解本题的关键.6.A解析:A 【分析】先把3x y +=代入原式,可得23x xy y -+=22xy +,结合完全平方公式,即可求解.【详解】 ∵3x y +=,∴23x xy y -+=2()x xy x y y -++=22x xy xy y -++=22x y +,∵1xy =,∴23x xy y -+=22x y +=22()23217x y xy +-=-⨯=,故选A . 【点睛】本题主要考查代数式求值,熟练掌握完全平方公式及其变形公式,是解题的关键.7.C解析:C 【分析】由代数式3x 2−4x +6的值为3,变形得出x 2−43x =−1,再整体代入x 2−43x +6计算即可. 【详解】∵代数式3x 2−4x +6的值为3, ∴3x 2−4x +6=3, ∴3x 2−4x =−3, ∴x 2−43x =−1, ∴x 2−43x +6=−1+6=5. 故选:C . 【点睛】本题考查了代数式求值,熟练掌握相关运算法则并运用整体思想是解题的关键.8.A解析:A 【分析】先求出a b ,的值,根据条件+a b >0,确定=13a ,b=7±,分类代入-a b 求值即可. 【详解】|a |=13,=13a ±,|b|=7,b=7±, ∵+a b >0, ∴=13a ,b=7±,当=13a ,b=7时,=1376a b --=, 当=13a ,7b =-时,=13+720a b -=,则6a b -=或20. 故选择:A . 【点睛】本题考查条件限定求值问题,会根据限定条件求出字母的值,掌握分类思想求代数式的值是解题关键.9.B解析:B 【分析】根据题意,设EF 与AC 的交点为点P ,连接BP ,由垂直平分线的性质,则BP=CP ,得到PA PB PA PC AC +=+=,即可得到PA PB +的最小值. 【详解】解:根据题意,设EF 与AC 的交点为点P ,连接BP ,如图:∵EF 是BC 的垂直平分线, ∴BP=CP ,∴8PA PB PA PC AC +=+==, ∴PA PB +的最小值为8; 故选:B . 【点睛】本题考查了垂直平分线的性质,解题的关键是正确找出点P 的位置,使得PA PB +有最小值.10.C解析:C 【分析】如果一个图形沿一条直线折叠,直线两旁的部分能够互相重合,这个图形叫做轴对称图形,据此进行判断即可. 【详解】解:A 、不是轴对称图形,故本选项不合题意; B 、不是轴对称图形,故本选项不合题意; C 、是轴对称图形,故本选项符合题意; D 、不是轴对称图形,故本选项不合题意; 故选:C . 【点睛】本题主要考查了轴对称图形,判断轴对称图形的关键是寻找对称轴,图形两部分沿对称轴折叠后可重合.11.C解析:C 【分析】根据有理数的乘法、全等三角形的概念、直角三角形的性质、对顶角的概念判断即可. 【详解】解:A 、如果 ab =0,那么a =0或b =0或a 、b 同时为0,本选项说法是假命题,不符合题意;B 、面积相等的三角形不一定全等,本选项说法是假命题,不符合题意;C 、直角三角形的两个锐角互余,本选项说法是真命题,符合题意;D 、不是对顶角的两个角可能相等,本选项说法是假命题,不符合题意; 故选:C . 【点睛】本题考查的是命题的真假判断,正确的命题叫真命题,错误的命题叫做假命题,判断命题的真假关键是要熟悉课本中的性质定理.12.D解析:D 【分析】根据角平分线的定义可得∠DAC =∠DAE ,根据三角形的一个外角等于与它不相邻的两个内角的和可得∠D ,然后利用三角形的内角和定理列式计算即可得解. 【详解】 解:∵AD 是∠CAE 的平分线,60=︒∠DAC , ∴∠DAC =∠DAE =60°, 又∵35B ∠=︒由三角形的外角性质得,∠D =∠DAE−∠B =60°−35°=25°, ∴在△ACD 中,∠ACD =180°−∠DAC -∠D =180°−60°−25°=95°. 故选:D . 【点睛】本题考查了三角形的一个外角等于与它不相邻的两个内角的和,三角形的内角和定理,熟记性质并准确识图理清图中各角度之间的关系是解题的关键.二、填空题13.【分析】根据零指数幂和负整数指数幂等知识点进行解答幂的负指数运算先把底数化成其倒数然后将负整指数幂当成正的进行计算任何非0数的0次幂等于1【详解】2+1=3;【点睛】本题是考查含有零指数幂和负整数指 解析:12【分析】根据零指数幂和负整数指数幂等知识点进行解答,幂的负指数运算,先把底数化成其倒数,然后将负整指数幂当成正的进行计算.任何非0数的0次幂等于1.【详解】101()()2π-+-=2+1=3; 011(3.14)2--++1112=-++12= 【点睛】本题是考查含有零指数幂和负整数指数幂的运算.根据零指数幂和负整数指数幂等知识点进行解答即可. 14.2或1【分析】将分式方程化成整式方程按照一元一次方程无解的条件及分式方程无解的条件求得m 的值即可【详解】解:方程两边同时乘以(x ﹣2)得:1﹣mx =-1﹣2(x ﹣2)整理得:(2﹣m )x =2∵无解∴解析:2或1【分析】将分式方程化成整式方程,按照一元一次方程无解的条件及分式方程无解的条件求得m 的值即可.【详解】 解:方程11222mx x x-=---两边同时乘以(x ﹣2)得: 1﹣mx =-1﹣2(x ﹣2),整理得:(2﹣m )x =2,∵无解,∴当2﹣m =0,即m =2时,方程无解;当x ﹣2=0时,方程也无解,此时x =2,则2(2﹣m )=2,解得m =1.故答案为:2或1.【点睛】 本题考查了分式方程的解,明确分式方程和整式方程无解的条件是解题的关键. 15.【分析】先提取公因式再利用完全平方公式继续分解即可【详解】故答案为:2a(x-3y)2【点睛】本题考查了用提公因式法和公式法进行因式分解一个多项式有公因式首先提取公因式然后再用其他方法进行因式分解同解析:22(3)a x y -【分析】先提取公因式2a ,再利用完全平方公式继续分解即可.【详解】222ax 12axy 18ay -+222(6)9a x xy y =-+22(3)a x y =-,故答案为:2a(x-3y)2.【点睛】本题考查了用提公因式法和公式法进行因式分解,一个多项式有公因式首先提取公因式,然后再用其他方法进行因式分解,同时因式分解要彻底,直到不能分解为止. 16.25【分析】设∠ADC =α然后根据AC =AD =DB ∠BAC =105°表示出∠B 和∠BAD 的度数最后根据三角形的内角和定理求出∠ADC 的度数进而求得∠B 的度数即可【详解】解:∵AC =AD =DB ∴∠B =解析:25【分析】设∠ADC =α,然后根据AC =AD =DB ,∠BAC =105°,表示出∠B 和∠BAD 的度数,最后根据三角形的内角和定理求出∠ADC 的度数,进而求得∠B 的度数即可.【详解】解:∵AC =AD =DB ,∴∠B =∠BAD ,∠ADC =∠C ,设∠ADC =α,∴∠B =∠BAD =2α , ∵∠BAC =105°,∴∠DAC =105°﹣2α, 在△ADC 中, ∵∠ADC +∠C +∠DAC =180°,∴2α+105°﹣2α=180°, 解得:α=50°,∴∠B =∠BAD =2α=25°, 故答案为:25.【点睛】 本题考查了等腰三角形的性质:①等腰三角形的两腰相等;②等腰三角形的两个底角相等,熟练掌握等腰三角形的性质是解题的关键.17.6【分析】作BH ⊥AC 垂足为H 交AD 于M′点过M′点作M′N′⊥AB 垂足为N′则BM′+M′N′为所求的最小值再根据AD 是∠BAC 的平分线可知M′H=M′N′再由锐角三角函数的定义即可得出结论【详解解析:6【分析】作BH⊥AC,垂足为H,交AD于M′点,过M′点作M′N′⊥AB,垂足为N′,则BM′+M′N′为所求的最小值,再根据AD是∠BAC的平分线可知M′H=M′N′,再由锐角三角函数的定义即可得出结论.【详解】解:如图,作BH⊥AC,垂足为H,交AD于M′点,过M′点作M′N′⊥AB,垂足为N′,则BM′+M′N′为所求的最小值.∵AD是∠BAC的平分线,∴M′H=M′N′,∴BH是点B到直线AC的最短距离(垂线段最短),∵AB=2∠BAC=45°,∴BH=AH∴222AH BH AB+=∴BH=6.∵BM+MN的最小值是BM′+M′N′=BM′+M′H=BH=6.故答案为6.【点睛】本题考查的是轴对称-最短路线问题,解答此类问题时要从已知条件结合图形认真思考,通过角平分线性质,垂线段最短,确定线段和的最小值.18.15cm2【分析】过点D作DE⊥AB于E根据角平分线的性质可得DE=CD根据三角形的面积公式即可求得△ABD的面积【详解】解:过点D作DE⊥AB于E∵AD是∠BAC的角平分线∠C=90°DE⊥AB∴解析:15cm2【分析】过点D作DE⊥AB于E,根据角平分线的性质可得DE=CD,根据三角形的面积公式即可求得△ABD的面积.【详解】解:过点D作DE⊥AB于E,∵AD是∠BAC的角平分线,∠C=90°,DE⊥AB∴DE=DC,∵BC=8cm,BD=5cm,∴DE=DC=3cm,∴S△ABD=12·AB·DE=12×10×3=15(cm2),故答案为:15cm2.【点睛】本题考查角平分线的性质、三角形的面积公式,熟练掌握角平分线的性质是解答的关键. 19.1【分析】根据一元一次方程的定义可求出m 的值在将m 代入代数式计算即可【详解】原方程可整理为根据题意可知且所以所以故答案为:1【点睛】本题考查一元一次方程的定义以及代数式求值利用一元一次方程的定义求出 解析:1【分析】根据一元一次方程的定义,可求出m 的值.在将m 代入代数式计算即可.【详解】原方程可整理为22(1)(1)80m x m x --++=.根据题意可知210m -=且10m +≠,所以1m =. 所以2008200811111m m --=--=.故答案为:1.【点睛】本题考查一元一次方程的定义以及代数式求值.利用一元一次方程的定义求出m 的值是解答本题的关键.20.【分析】三角形三边满足的条件是:两边和大于第三边两边的差小于第三边根据此条件来确定绝对值内的式子的正负从而化简计算即可【详解】解:∵△ABC 的三边长分别是abc ∴必须满足两边之和大于第三边两边的差小 解析:3c b a +-【分析】三角形三边满足的条件是:两边和大于第三边,两边的差小于第三边,根据此条件来确定绝对值内的式子的正负,从而化简计算即可.【详解】解:∵△ABC 的三边长分别是a 、b 、c ,∴必须满足两边之和大于第三边,两边的差小于第三边,∴0,0,0a b c b c a c a b --<--<-+>, ∴a b c b c a c a b --+--+-+=()()()a b c b c a c a b ------+-+=++++a b c b c a c a b --+-+=3c b a +-故答案为:3c b a +-.【点睛】此题考查了三角形三边关系,此题的关键是先根据三角形三边的关系来判定绝对值内式子的正负.三、解答题21.(1)x=-4(2)化简为:1a a -,当a=2时,原式=2 【分析】(1)分式方程去分母转化为整式方程,求出整式方程的解得到x 的值,经检验即可得到分式方程的解.(2)先算括号内的加减,把除法变成乘法,再根据分式的乘法法则求出答案即可.【详解】解:(1)两边都乘最简公分母(x 2-9)得:3+x (x+3)=x 2-9,解这个整式方程得:x=-4,经检验x=-4时,x 2-9≠0,所以,x=-4是分式方程的解. (2)原式=()()()()22a 1a 11a a 1a 1a 1⎛⎫+- ⎪+÷ ⎪---⎝⎭ ()()=222a 11a a 1a 1a 1⎛⎫- ⎪+÷ ⎪---⎝⎭()=22a a 1aa 1-⋅- =a a 1- 当a=2时,原式=2.【点睛】本题考查了分式的混合运算及解分式方程,能正确根据分式的运算法则进行化简以及掌握解分式方程的方法是解答此题的关键,注意解分式方程要验根.22.(1)原来生产防护服的工人有20人;(2)至少还需要生产9天才能完成任务.【分析】(1)设原来生产防护服的工人有x 人,根据每人每小时完成的工作量不变列出关于x 的方程,求解即可;(2)设还需要生产y 天才能完成任务.根据前面10天完成的工作量+后面y 天完成的工作量≥15500列出关于y 的不等式,求解即可.【详解】解:(1)设原来生产防护服的工人有x 人, 由题意得,800650810(7)x x =-, 解得:x=20.经检验,x=20是原方程的解.答:原来生产防护服的工人有20人;(2)设还需要生产y 天才能完成任务.每人每小时生产防护服的数量为:8005820=⨯套, 106502051015500y ⨯+⨯⨯≥,解得x≥9,答:至少还需要生产9天才能完成任务.【点睛】本题考查分式方程的应用,一元一次不等式的应用,分析题意,找到合适的数量关系是解决问题的关键.23.(1)②⑤⑥;(2)ABC ∆是等边三角形;(3)见详解【分析】(1)根据完全平方公式的结构特征和完全平方式的定义,逐一判断即可;(2)把等式右边的代数式移到左边,再利用完全平方公式写成平方和的形式,从而即可得到a ,b ,c 的关系,进而即可得到结论;(3)利用完全平方公式进行因式分解,把原式写成一个整式的平方的形式,即可得到结论.【详解】(1)②24x =2(2)x ;⑤21236x x ++=2(6)x +;⑥2124949a a -+=21(7)7a -是完全平方式,①2244a a b ++;③22x xy y -+; ④21025y y --不是完全平方式,各式中完全平方式的编号有②⑤⑥,故答案为:②⑤⑥;(2)∵22222()a b c c a b ++=+,∴()()2222220a ac cb bc c -++-+=, ∴()()220a c b c -+-=,∴a-c=0且b-c=0,∴a=b=c ,∴ABC ∆是等边三角形;(3)∵原式=2(8)(4)64x x x +++=22(8)(816)64x x x x ++++=222(8)16(8)64x x x x ++++=22(8)8x x ⎡⎤++⎣⎦ =()2288x x ++,∴多项式2(4)(8)64x x x +++是一个完全平方式.【点睛】此题考查了完全平方式,熟练掌握完全平方公式是解本题的关键.24.(1)见解析;(2)等边对等角;O ;ABO ;内错角相等,两直线平行【分析】(1)按照步骤作图即可;(2)由作法知,OA=AB ,AC 是∠MAB 的平分线,然后根据等腰三角形的性质,三角形外角的性质,以及角平分线的定义说明即可.【详解】解:(1)作图如下:(2)证明:OA AB =,O ABO ∴∠=∠(等边对等角).MAB ∠是AOB 的一个外角,MAB O ABO ∴∠=∠+∠12ABO MAB ∴∠=∠. AC 平分MAB ∠,12BAC MAB ∴∠=∠. ABO BAC ∴∠=∠.//AC ON ∴(内错角相等,两直线平行).故答案为:等边对等角;O ;ABO ;内错角相等,两直线平行.【点睛】本题考查了作一条线段等于已知线段,作角的角平分线,以及等腰三角形的性质,三角形外角的性质,以及角平分线的定义等知识,熟练掌握各知识点是解答本题的关键. 25.(1)见详解;(2)1(1)先证明AC=DF,再根据HL证明Rt ABC Rt DEF≌;(2)先证明∠AFG=∠DCH,从而证明∆AFG≅∆DCH,进而即可求解.【详解】(1)∵AF CD=,∴AF+CF=CD+CF,即AC=DF,在Rt ABC与Rt DEF△中,∵AC DF AB DE=⎧⎨=⎩,∴Rt ABC≅Rt DEF△(HL);(2)∵Rt ABC≅Rt DEF△,∴∠A=∠D,∠EFD=∠BCA,∵∠AFG=180°-∠EFD,∠DCH=180°-∠BCA,∴∠AFG=∠DCH,又∵AF CD=,∴∆AFG≅∆DCH,∴HC=GF =1.【点睛】本题主要考查全等三角形的判定和性质,熟练掌握HL和ASA证明三角形全等,是解题的关键.26.(1)见解析;(2)见解析;(3)4.【分析】(1)利用网格特点和平移的性质,分别画出点A、B、C的对应点A'、B'、C'即可;(2)利用网格特点,作CD⊥AB于D,找出AC的中点可得到BE;(3)利用平行线的性质过点A作出BC的平行线进而得出符合题意的点.【详解】(1)如图所示:△A′B′C′即为所求;(2)如图所示:CD即为所求;(3)如图所示:能使S△PBC=S△ABC的格点P的个数有4个.故答案为:4.此题主要考查了平移变换以及平行线的性质和三角形的高,利用平行线的性质得出P点位置是解题关键.。
华东师大版八年级数学上册期末考试题及完整答案 班级: 姓名: 一、选择题(本大题共10小题,每题3分,共30分)1.2020的相反数是( )A .2020B .2020-C .12020D .12020- 2.已知:将直线y=x ﹣1向上平移2个单位长度后得到直线y=kx+b ,则下列关于直线y=kx+b 的说法正确的是( )A .经过第一、二、四象限B .与x 轴交于(1,0)C .与y 轴交于(0,1)D .y 随x 的增大而减小3.已知a ,b 满足方程组51234a b a b +=⎧⎨-=⎩则a+b 的值为( ) A .﹣4 B .4 C .﹣2 D .24.已知关于x 的分式方程21m x -+=1的解是负数,则m 的取值范围是( ) A .m ≤3 B .m ≤3且m ≠2C .m <3D .m <3且m ≠2 5.已知a 与b 互为相反数且都不为零,n 为正整数,则下列两数互为相反数的是( )A .a 2n -1与-b 2n -1B .a 2n -1与b 2n -1C .a 2n 与b 2nD .a n 与b n6.已知2,1=⎧⎨=⎩x y 是二元一次方程组7,{1ax by ax by +=-=的解,则a b -的值为( ) A .-1 B .1 C .2 D .37.若a =7+2、b =2﹣7,则a 和b 互为( )A .倒数B .相反数C .负倒数D .有理化因式8.如图,已知点E 在正方形ABCD 内,满足∠AEB=90°,AE=6,BE=8,则阴影部分的面积是( )A.48 B.60C.76 D.809.如图,菱形ABCD的周长为28,对角线AC,BD交于点O,E为AD的中点,则OE的长等于()A.2 B.3.5 C.7 D.1410.如图,点P是边长为1的菱形ABCD对角线AC上的一个动点,点M,N分别是AB,BC边上的中点,则MP+PN的最小值是()A.12B.1 C.2D.2二、填空题(本大题共6小题,每小题3分,共18分)1.若a-b=1,则222a b b--的值为____________.2.已知x,y满足方程组x2y5x2y3-=⎧+=-⎨⎩,则22x4y-的值为__________.3.分解因式:3x-x=__________.4.如图,一次函数y=﹣x﹣2与y=2x+m的图象相交于点P(n,﹣4),则关于x的不等式组22{20x m xx+----<<的解集为________.5.如图,OP平分∠MON,PE⊥OM于点E,PF⊥ON于点F,OA=OB,则图中有__________对全等三角形.6.如图,在平行四边形ABCD 中,连接BD ,且BD =CD ,过点A 作AM ⊥BD 于点M ,过点D 作DN ⊥AB 于点N ,且DN =32,在DB 的延长线上取一点P ,满足∠ABD =∠MAP +∠PAB ,则AP =________.三、解答题(本大题共6小题,共72分)1.解下列方程组:(1)257320x y x y -=⎧⎨-=⎩ (2)134342x y x y ⎧-=⎪⎨⎪-=⎩2.先化简,再求值:2222222a ab b a ab a b a a b -+-÷--+,其中a ,b 满足2(2)10a b -+=.3.已知关于x 的一元二次方程2(3)0x m x m ---=.(1)求证:方程有两个不相等的实数根;(2)如果方程的两实根为1x ,2x ,且2212127x x x x +-=,求m 的值.4.如图,在菱形ABCD 中,对角线AC 与BD 交于点O .过点C 作BD 的平行线,过点D 作AC 的平行线,两直线相交于点E .(1)求证:四边形OCED是矩形;(2)若CE=1,DE=2,ABCD的面积是.5.如图所示,在△ABC中,D是BC边上一点,∠1=∠2,∠3=∠4,∠BAC=63°,求∠DAC的度数.6.为加强中小学生安全和禁毒教育,某校组织了“防溺水、交通安全、禁毒”知识竞赛,为奖励在竞赛中表现优异的班级,学校准备从体育用品商场一次性购买若干个足球和篮球(每个足球的价格相同,每个篮球的价格相同),购买1个足球和1个篮球共需159元;足球单价是篮球单价的2倍少9元.(1)求足球和篮球的单价各是多少元?(2)根据学校实际情况,需一次性购买足球和篮球共20个,但要求购买足球和篮球的总费用不超过1550元,学校最多可以购买多少个足球?参考答案一、选择题(本大题共10小题,每题3分,共30分)1、B2、C3、B4、D5、B6、A7、D8、C9、B10、B二、填空题(本大题共6小题,每小题3分,共18分)1、12、-153、x(x+1)(x-1)4、﹣2<x<25、36、6三、解答题(本大题共6小题,共72分)1、(1)55xy=⎧⎨=⎩;(2)64xy=⎧⎨=⎩.2、1a b-+,-13、(1)略(2)1或24、(1)略;(2)4.5、24°.6、(1)一个足球的单价103元、一个篮球的单价56元;(2)学校最多可以买9个足球.。
华东师大版八年级数学上册期末考试(及参考答案) 班级: 姓名: 一、选择题(本大题共10小题,每题3分,共30分)1.2-的相反数是( )A .2-B .2C .12D .12- 2.已知多项式2x 2+bx +c 分解因式为2(x -3)(x +1),则b ,c 的值为( ).A .b =3,c =-1B .b =-6,c =2C .b =-6,c =-4D .b =-4,c =-63.已知a ,b 满足方程组51234a b a b +=⎧⎨-=⎩则a+b 的值为( ) A .﹣4 B .4 C .﹣2 D .24.在△ABC 中,AB=10,AC=210,BC 边上的高AD=6,则另一边BC 等于( )A .10B .8C .6或10D .8或105.若关于x 的一元二次方程2(2)26k x kx k --+=有实数根,则k 的取值范围为( )A .0k ≥B .0k ≥且2k ≠C .32k ≥D .32k ≥且2k ≠ 6.如果2a a 2a 1+-+=1,那么a 的取值范围是( )A .a 0=B .a 1=C .a 1≤D .a=0a=1或7.下列四个图形中,线段BE 是△ABC 的高的是( )A .B .C .D .8.如图,已知点E 在正方形ABCD 内,满足∠AEB=90°,AE=6,BE=8,则阴影部分的面积是( )A .48B .60C .76D .809.如图,菱形ABCD 的周长为28,对角线AC ,BD 交于点O ,E 为AD 的中点,则OE 的长等于( )A .2B .3.5C .7D .1410.如图,点P 是边长为1的菱形ABCD 对角线AC 上的一个动点,点M ,N 分别是AB ,BC 边上的中点,则MP+PN 的最小值是( )A .12B .1C 2D .2二、填空题(本大题共6小题,每小题3分,共18分)1.因式分解:2()4()a a b a b ---=________.2x 1-有意义,则x 的取值范围是 ▲ .3.分解因式:3x -x=__________.4.在直线l 上依次摆放着七个正方形(如图所示).已知斜放置的三个正方形的面积分别是a ,b ,c ,正放置的四个正方形的面积依次是S 1,S 2,S 3,S 4,则S 1+S 2+S 3+S 4=________.5.如图,△ABC 中,AB=BC ,∠ABC=90°,F 为AB 延长线上一点,点E 在BC 上,且AE=CF ,若∠BAE=25°,则∠ACF=__________度.6.如图,矩形ABCD 的对角线AC ,BD 相交于点O ,CE ∥BD ,DE ∥AC .若AC=4,则四边形CODE 的周长是__________.三、解答题(本大题共6小题,共72分)1.解下列方程组:(1)257320x y x y -=⎧⎨-=⎩ (2)134342x y x y ⎧-=⎪⎨⎪-=⎩2.先化简,再求值:(x +2)(x -2)+x(4-x),其中x =14.3.已知关于x 的一元二次方程2(4)240x m x m -+++=.(1)求证:该一元二次方程总有两个实数根;(2)若12,x x 为方程的两个根,且22124n x x =+-,判断动点(,)P m n 所形成的数图象是否经过点(5,9)A -,并说明理由.4.如图,在Rt△ABC中,∠ACB=90°,∠A=40°,△ABC的外角∠CBD的平分线BE交AC的延长线于点E.(1)求∠CBE的度数;(2)过点D作DF∥BE,交AC的延长线于点F,求∠F的度数.5.如图所示,在△ABC中,D是BC边上一点,∠1=∠2,∠3=∠4,∠BAC=63°,求∠DAC的度数.6.2017年5月,某县突降暴雨,造成山体滑坡,桥梁垮塌,房屋大面积受损,该省民政厅急需将一批帐篷送往灾区.现有甲、乙两种货车,已知甲种货车比乙种货车每辆车多装20件帐篷,且甲种货车装运1 000件帐篷与乙种货车装运800件帐篷所用车辆相等.(1)求甲、乙两种货车每辆车可装多少件帐篷;(2)如果这批帐篷有1 490件,用甲、乙两种汽车共16辆装运,甲种车辆刚好装满,乙种车辆最后一辆只装了50件,其余装满,求甲、乙两种货车各有多少辆.参考答案一、选择题(本大题共10小题,每题3分,共30分)1、B2、D3、B4、C5、D6、C7、D8、C9、B10、B二、填空题(本大题共6小题,每小题3分,共18分)1、()()()22a b a a -+-2、x 1≥.3、x (x+1)(x -1)4、a+c5、706、8三、解答题(本大题共6小题,共72分)1、(1)55x y =⎧⎨=⎩;(2)64x y =⎧⎨=⎩.2、-3.3、(1)见解析;(2)经过,理由见解析4、(1) 65°;(2) 25°.5、24°.6、(1)甲种货车每辆车可装100件帐篷,乙种货车每辆车可装80件帐篷;(2)甲种货车有12辆,乙种货车有4辆.。
华东师大版八年级数学上册期末考试题及参考答案 班级: 姓名: 一、选择题(本大题共10小题,每题3分,共30分) 1.若分式211x x -+的值为0,则x 的值为( ) A .0 B .1 C .﹣1 D .±12.下列各数中,313.14159 8 0.131131113 25 7π-⋅⋅⋅--,,,,,,无理数的个数有( )A .1个B .2个C .3个D .4个3.若﹣2a m b 4与5a n +2b 2m +n 可以合并成一项,则m-n 的值是( )A .2B .0C .-1D .1 4.若关于x 的方程333x m m x x++--=3的解为正数,则m 的取值范围是( ) A .m <92B .m <92且m ≠32C .m >﹣94D .m >﹣94且m ≠﹣345.已知a 与b 互为相反数且都不为零,n 为正整数,则下列两数互为相反数的是( )A .a 2n -1与-b 2n -1B .a 2n -1与b 2n -1C .a 2n 与b 2nD .a n 与b n6.已知关于x 的不等式组0320x a x ->⎧⎨->⎩的整数解共有5个,则a 的取值范围是( )A .﹣4<a <﹣3B .﹣4≤a <﹣3C .a <﹣3D .﹣4<a <327.如图,在数轴上表示实数15的点可能是( )A .点PB .点QC .点MD .点N8.如图,每个小正方形的边长为1,A 、B 、C 是小正方形的顶点,则∠ABC 的度数为()A.90°B.60°C.45°D.30°9.如图,菱形ABCD的周长为28,对角线AC,BD交于点O,E为AD的中点,则OE的长等于()A.2 B.3.5 C.7 D.1410.如图,已知∠ABC=∠DCB,下列所给条件不能证明△ABC≌△DCB的是()A.∠A=∠D B.AB=DC C.∠ACB=∠DBC D.AC=BD二、填空题(本大题共6小题,每小题3分,共18分)1.若a-b=1,则222a b b--的值为____________.2.已知x,y满足方程组x2y5x2y3-=⎧+=-⎨⎩,则22x4y-的值为__________.3.使x2-有意义的x的取值范围是________.4.如图,将周长为8的△ABC沿BC方向向右平移1个单位得到△DEF,则四边形ABFD的周长为_____________.5.如图,OP平分∠MON,PE⊥OM于点E,PF⊥ON于点F,OA=OB,则图中有__________对全等三角形.6.如图,矩形ABCD 的对角线AC ,BD 相交于点O ,CE ∥BD ,DE ∥AC .若AC=4,则四边形CODE 的周长是__________.三、解答题(本大题共6小题,共72分)1.解方程(1)2250x x --= (2)1421x x =-+2.先化简,再求值:2282442x x x x x ⎛⎫÷-- ⎪-+-⎝⎭,其中2x =.3.已知关于x 的一元二次方程2(3)0x m x m ---=.(1)求证:方程有两个不相等的实数根;(2)如果方程的两实根为1x ,2x ,且2212127x x x x +-=,求m 的值.4.如图,在Rt △ABC 中,∠ACB=90°,∠A=40°,△ABC 的外角∠CBD 的平分线BE 交AC 的延长线于点E .(1)求∠CBE 的度数;(2)过点D 作DF ∥BE ,交AC 的延长线于点F ,求∠F 的度数.5.已知平行四边形ABCD,对角线AC、BD交于点O,线段EF过点O交AD于点E,交BC于点F.求证:OE=OF.6.2017年5月,某县突降暴雨,造成山体滑坡,桥梁垮塌,房屋大面积受损,该省民政厅急需将一批帐篷送往灾区.现有甲、乙两种货车,已知甲种货车比乙种货车每辆车多装20件帐篷,且甲种货车装运1 000件帐篷与乙种货车装运800件帐篷所用车辆相等.(1)求甲、乙两种货车每辆车可装多少件帐篷;(2)如果这批帐篷有1 490件,用甲、乙两种汽车共16辆装运,甲种车辆刚好装满,乙种车辆最后一辆只装了50件,其余装满,求甲、乙两种货车各有多少辆.参考答案一、选择题(本大题共10小题,每题3分,共30分)1、B2、B3、A4、B5、B6、B7、C8、C9、B10、D二、填空题(本大题共6小题,每小题3分,共18分)1、12、-153、x 2≥4、10.5、36、8三、解答题(本大题共6小题,共72分)1、(1)1211x x ==(2)3x =是方程的解.2、22x -,12-.3、(1)略(2)1或24、(1) 65°;(2) 25°.5、略.6、(1)甲种货车每辆车可装100件帐篷,乙种货车每辆车可装80件帐篷;(2)甲种货车有12辆,乙种货车有4辆.。
2022-2023学年华东师大新版八年级上数学期末复习试卷一.选择题(共8小题,满分24分,每小题3分)1.若=x﹣1成立,则x满足()A.x≥0B.x≥1C.x≤1D.x<12.已知:a m=﹣3,a n=2,则a m+n=()A.﹣1B.﹣5C.6D.﹣63.在一次班级体测调查中,收集到40名同学的跳高数据,数据分别落在5个组内,且落入第一、二、三、五组的数据个数分别为2、7、11、12,则第四组频数为()A.9B.8C.7D.64.下列各组数中,不能作为一个直角三角形的三边长的是()A.3,4,5B.8,6,10C.5,12,17D.9,40,415.在等腰△ABC中,AB=AC,中线BD将这个三角形的周长分成15和18两部分,则这个三角形底边的长为()A.9B.9或13C.10D.10或126.如图,在Rt△ABC中,∠C=90°,分别以点A,B为圆心,大于AB长为半径画弧,两弧分别相交于AB两侧的M,N两点,直线MN交AB于点D,交AC于点E.若∠B=55°,则∠CBE=()A.20°B.35°C.55°D.65°7.如图所示,已知AB=AC,PB=PC,下面的结论:①BE=CE;②AP⊥BC;③AE平分∠BEC;④∠PEC =∠PCE,其中正确结论的个数有()A.1个B.2个C.3个D.4个8.一个数a与这个数的的差可以表示为()A.B.C.D.二.填空题(共6小题,满分18分,每小题3分)9.我们用符号[x]表示一个不大于实数x的最大的整数,如:[2.78]=2,[﹣0.23]=﹣1,则按这个规律,[﹣1﹣]=.10.把多项式3x3﹣12x分解因式的结果是.11.以下4个命题:①三角形的一条中线将三角形分成面积相等的两部分;②三角形的三条高所在的直线的交点一定在三角形的内部;③多边形的所有内角中最多有3个锐角;④△ABC中,若∠A=2∠B=3∠C,则△ABC为直角三角形.其中真命题的是.(填序号)12.如图,已知在Rt△ABC中,∠ACB=90°,AB=3,分别以AC,BC为直径作半圆,面积分别记为S1,S2,则S1+S2的值等于.13.如图,在△ABC中,AB=AC,点D在AC上,且BD=BC=AD,则∠A=.14.已知三角形两边长为2和6,要使这个三角形为直角三角形,则第三边的长为.三.解答题(共10小题,满分78分)15.(6分)已知x、y是有理数,且(4+)x+(3﹣3)y=4+,求x,y的值.16.(6分)化简求值:(1)[(a+b)2﹣(a﹣b)2]÷(﹣4ab)(2)已知x﹣2y=﹣3,求(x+2)2﹣6x+4y(y﹣x+1)的值17.(6分)某中学为了了解学生的课外阅读情况,就“我最喜爱的课外读物”从文学、艺术、科普和其他四个类别进行了抽样调查(每位同学仅选一项),并根据调查结果制作了如表:类别频数(人数)频率文学m0.42艺术220.11科普66n其他合计1(1)上表中m=.n=.(2)在这次抽样调查中,哪类读物最受学生欢迎?哪类读物受欢迎程度最少?(3)若学校计划购买3000册图书,你对购书计划能提出什么好的建议吗?18.(7分)如图,AC∥BE,点D在BC上,AB=DE,∠ABE=∠CDE.求证:DC=BE﹣AC.19.(7分)如图,某花园护栏是用直径为100厘米的半圆形条钢制成,且每增加一个半圆形条钢,护栏长度就增加a(a>0)厘米,设半圆形条钢的总个数为x(x为正整数).(1)当a=70,x=3时,护栏总长度为厘米;(2)当a=80时,用含x的代数式表示护栏总长度(结果要求化简);(3)在(2)的条件下,当护栏总长度为2020厘米时,求半圆形条钢的总个数.20.(7分)已知:如图,四边形ABCD中,AB∥CD,AM平分∠DAB,DM平分∠ADC,点M恰好在BC 上.(1)求证:AM⊥DM;(2)若M是BC的中点,猜想AD、AB、CD之间有何数量关系?请证明你的结论.21.(8分)图①、图②、图③均是3×3的正方形网格,每个小正方形的边长为1,每个小正方形的顶点称为格点,线段AB的端点均在格点上,只用无刻度的直尺,在给定的网格中,按下列要求以AB为边画△ABC.要求:(1)在图①中画一个钝角三角形,在图②中画一个直角三角形,在图③中画一个锐角三角形;(2)三个图中所画的三角形的面积均不相等;(3)点C在格点上.22.(9分)如图,有两条公路OM和ON相交成30°角,沿公路OM方向离两条公路的交叉处O点160米的A处有一所希望小学,当拖拉机沿ON方向行驶时,路两旁100米内会受到噪声影响.已知有一台拖拉机正沿ON方向行驶,速度为5米/秒.(1)该小学是否受到噪声的影响,并说明理由.(2)若该小学要受到噪声的影响,则这台拖拉机沿ON方向行驶时给小学带来噪声影响的时间是多少?23.(10分)如图,在△ABC中,∠ACB=90°,AC=BC,CD⊥AB于点D,E为线段CD上一点(不含端点),连接AE,设F为AE的中点,作CG⊥CF交直线AB于点G.(1)猜想:线段AG、BC、EC之间有何等量关系?并加以证明;(2)如果将题设中的条件“E为线段CD上一点(不含端点)”改变为“E为直线CD上任意一点”,试探究发现线段AG、BC、EC之间有怎样的等量关系,请直接写出你的结论,不用证明.24.(12分)实践操作:在矩形ABCD纸片中,AB=8,AD=4,现将纸片折叠,点D的对应点记为点P,折痕为EF(点E、F是折痕与矩形的边的交点),再将纸片还原.初步思考:(1)若点P落在矩形ABCD的边AB上(如图①).①当点P与点A重合时,∠DEF=°;当点E与点A重合时,∠DEF=°;②当点E在AB上,点F在DC上(如图②),AP=6时,求EP的长;深入探究:(2)若点P落在矩形ABCD的内部(如图③),且点E、F分别在AD、DC边上,请直接写出AP的最小值;拓展延伸:(3)若点F与点C重合,点E在AD上,边AB与CP交于点M(如图④).在各种不同的折叠位置中,是否存在某一情况,使得线段AM与线段DE的长度相等?若存在,请求线段AE的长度;若不存在,请说明理由.参考答案与试题解析一.选择题(共8小题,满分24分,每小题3分)1.解:∵=x﹣1,∴x﹣1≥0,解得:x≥1.故选:B.2.解:因为a m=﹣3,a n=2,所以a m+n=a m•a n=(﹣3)×2=﹣6.故选:D.3.解:根据题意,第四组的频数为40﹣(2+7+11+12)=8,故选:B.4.解:A、∵32+42=52,∴能够成直角三角形,故本选项错误;B、∵62+82=102,∴能够成直角三角形,故本选项错误;C、∵52+122≠172,∴不能够成直角三角形,故本选项正确;D、∵92+402=412,∴能够成直角三角形,故本选项错误.故选:C.5.解:设等腰三角形的底边长为x,腰长为y,则根据题意,得或,解得或,经检验,这两组解均能构成三角形,所以底边长为9或13.故选:B.6.解:如图,连接BE,∵∠C=90°,∠B=55°,∴∠A=35°,据作图过程可知:ED是AB的垂直平分线,∴EA=EB,∴∠A=∠EBA=35°,∴∠CBE=55°﹣35°=20°.故选:A.7.解:∵AB=AC,PB=PC,∴AP⊥BC,AE平分∠BEC(三线合一),故②③正确,∵BP=PC,∠BPE=∠CPE=90°,PE=PE,∴△BPE≌△CPE,∴BE=EC,故①正确,④无法证明,故选:C.8.解:一个数a与这个数的的差可以表示为a﹣a=a.故选:D.二.填空题(共6小题,满分18分,每小题3分)9.解:∵2<<3,∴﹣4<﹣1﹣<﹣3,∴[﹣1﹣]=﹣4.故答案为:﹣4.10.解:3x3﹣12x=3x(x2﹣4)=3x(x﹣2)(x+2).故答案为:3x(x﹣2)(x+2).11.解:①三角形的一条中线将三角形分成面积相等的两部分,正确,是真命题;②三角形的三条高所在的直线的交点一定在三角形的内部,错误,钝角三角形三条高的交点在三角形的外部,是假命题;③多边形的所有内角中最多有3个锐角,正确,是真命题;④△ABC中,若∠A=2∠B=3∠C,则△ABC不是直角三角形,故错误,是假命题;真命题有①③,故答案为:①③.12.解:S1=π()2=πAC2,S2=πBC2,所以S1+S2=π(AC2+BC2)=πAB2=.故答案为:13.解:设∠A=x°,∵BD=AD,∴∠ABD=∠A=x°,∴∠BDC=∠A+∠ABD=2x°,∵BD=BC,∴∠C=∠BDC=2x°,∵AB=AC,∴∠ABC=∠C=2x°,∵在△ABC中,∠A+∠ABC+∠C=180°,∴x+2x+2x=180,解得:x=36,∴∠A=36°,故本题答案为:36°.14.解:根据勾股定理分两种情况:(1)当第三边为斜边时,第三边长==2;(2)当斜边为6时,第三边长==4;故答案为:2或4.三.解答题(共10小题,满分78分)15.解:因为(4+)x+(3﹣3)y=4+,所以(4x+3y)+(x﹣3y)=4+,所以,解得.故x,y的值分别是1,0.16.解:(1)原式=(a2+2ab+b2﹣a2+2ab﹣b2)÷(﹣4ab)=4ab÷(﹣4ab)=﹣1;(2)原式=x2+4x+4﹣6x+4y2﹣4xy+4y=(x﹣2y)2﹣2(x﹣2y)+4,当x﹣2y=﹣3时,原式=9+6+4=19.17.解:(1)22÷0.11=200人,m=200×0.42=84(人),n=66÷200=0.33,故答案为:84,0.33;(2)“其它”的频数为:200﹣84﹣22﹣66=28(人),频率为:28÷200=0.14,因为“文学”占比最高,因此“文学”读物最受学生欢迎,“艺术”读物占比最小,仅为11%,因此“艺术”读物受欢迎程度最小,(3)“文学”读物:3000×0.42=1260本,“艺术”读物:3000×0.11=330本,“科普”读物:3000×0.33=990本,“其它”读物:3000×0.14=420本,因此,在购书时,“文学”类的读物购买1260本,“艺术”类的读物购买330本,“科普”类的读物购买990本,“其它”类读物购买420本.18.证明:∵AC∥BE,∴∠C=∠CBE,∠ABE+∠A=180°,∵∠CDE+∠BDE=180°,∵∠ABE=∠CDE,∴∠A=∠BDE,在△ABC与△DEB中,∴△ABC≌△DEB(AAS),∴BC=BE,BD=AC,∵BC﹣BD=DC,∴DC=BE﹣AC.19.解:(1)由题意得,护栏总长度为[100+a(x﹣1)]厘米,当a=70,x=3时,原式=100+70×(3﹣1)=240.故答案为:240;(2)当a=80时,护栏总长度为100+80(x﹣1)=(80x+20)厘米;(3)由题意得80x+20=2020,解得x=25.故半圆形条钢的总个数是25.20.证明:(1)∵AB∥CD,∴∠CDA+∠DAB=180°.∵AM平分∠DAB,DM平分∠ADC,∴∠ADM=∠ADC,∠DAM=∠DAB,∴∠ADM+∠DAM=(∠CDA+∠DAB)=×180°=90°,∴∠AMD=90°,∴AM⊥DM;(2)AD=CD+AB.理由:如图2,延长DM、AB相交于点F,∵M是BC的中点,∴CM=BM.∵AB∥CD,∴∠C=∠B,∠CDM=∠F.在△DCM和△FBM中,,∴△DCM≌△FBM(AAS),∴CD=BF,DM=FM.∵AM⊥DM,∴AD=AF.∵AF=AB+BF,∴AF=AB+CD,∴AD=AB+CD.21.解:如图所示:即为符合条件的三角形.22.解:如图所示:过点A作AC⊥ON于点C,∵∠MON=30°,OA=160米,∴AC=OA=80米,∵80m<100m,∴该小学会受到噪声影响;(2)以A为圆心,半径长为100m画圆与ON交B,D两点,连接AB,AD,在B到D范围内,小学都会受到影响,∴AB=AD=100米,由勾股定理得:BC=(米),∴BD=2BC=120米,CD=60米∴影响的时间应是:t==24(秒);答:拖拉机沿ON方向行驶时给小学带来噪声影响的时间是24秒.23.解:(1)结论:AG=BC+EC.理由:如图1中,延长CF到M,使得FM=CF.∵AF=EF,∠AFM=∠EFC,FM=FC,∴△AFM≌△EFC(SAS),∴EC=AM,∠M=∠ECF,∵GC⊥CF,∴∠GCF=∠ACB=90°,∴∠ACM=∠BCG,∵CD⊥AB,∴∠G+∠GCD=90°,∠GCD+∠ECF=90°,∴∠G=∠ECF=∠M,∵CA=CB,∴△ACM≌△BCG(AAS),∴AM=BG,∴EC=BG,∵CA=CB,∠ACB=90°,∴AB=BC,∴AG=AB+BG=BC+EC.(2)①如图2﹣1中,当点E在线段DC的延长线上时,AG=|BC﹣EC|.理由:延长CF到H,使得FH=CF.同法可证,△AFH≌△EFC(SAS),△ACH≌△BCG(AAS),∴EC=AH,AH=BG,∵AB=BC,∴AG=|BC﹣EC|.②如图2﹣2中,当等E在线段CD的延长线上时,AG=BC+CE.证明方法类似(1).24.解:(1)①当点P与点A重合时,如图1:∴EF是AD的中垂线,∴∠DEF=90°,当点E与点A重合时,如图2,此时∠DEF=∠DAB=45°,故答案为:90,45;②当点E在AB上,点F在DC上时,如图3,∵EF是PD的中垂线,∴DO=PO,EF⊥PD,∵四边形ABCD是矩形,∴DC∥AB,∴∠FDO=∠EPO,∵∠DOF=∠EOP,∴△DOF≌△POE(ASA),∴DF=PE,∵DF∥PE,∴四边形DEPF是平行四边形,∵EF⊥PD,∴▱DEPF为菱形,当AP=6时,设菱形的边长为x,则AE=6﹣x,DE=x,在Rt△ADE中,由勾股定理得:AD2+AE2=DE2,∴42+(6﹣x)2=x2,x=4,∴当AP=6时,菱形的边长为4;(2)若点P落在矩形ABCD的内部,且点E、F分别在AD、DC边上,如图4,设DF=PF=x,则AF=,当A,P,F在一直线上时,AP最小,最小值为,所以当x最大取8时,AP最小值为4﹣8;(3)情况一:如图5,连接EM,∵DE=EP=AM,在Rt△EAM与Rt△MPE中,,∴Rt△EAM≌Rt△MPE(HL),设AE=x,则AM=DE=4﹣x,则BM=x+4,∵MP=EA=x,CP=CD=8,∴MC=8﹣x,∴(x+4)2+42=(8﹣x)2,解得:x=;情况二,如图6,∵DE=EP=AM,在△GAM与△GPE中,,∴△GAM≌△GPE(AAS),设AE=x,则DE=4﹣x,则AM=PE=DE=4﹣x,MP=AE=x,则MC=MP+PC=x+8,BC=4,BM=12﹣x,∴(12﹣x)2+42=(x+8)2,解得:x=4.。
初二(上)数学期末测试题(华东师大版)(满分100分 考试时间100分钟)一、细心选一选(本题有10个小题,每小题3分, 满分30分,下面每小题给出的四个选项中,只有一个是正确的。
)1. 以下四家银行行标中,不是旋转对称图形的有 ( )2. 如图1所给的4个正方形网格图形中,黑色部分只用..平移可以得到的有( ). A. 1个B. 2个C. 3个D. 4个3. 64的平方根是( ) A. 4B. 4±C. 8D. 8±4. 8a 可以写成( ) A. 44a a +B. a 4·a 2C. 62()a -D. (-a)7·(-a)5. 下列计算正确的是( ).A. ()()2555a a a +-=-B. ()2222x x x x +÷=+ C. ()2222a b a ab b +=-+D. ()()22a b b a b a ---=-6. 若26(3)(2)x kx x x +-=+-,则k 的值为( ) A. 2B. –2C. 1D. –17. 下列四边形中,两条对角线不一定相等的是( ) A. 正方形B. 矩形C. 菱形D. 等腰梯形8. 已知ΔABC 的三边分别是3,4,5cm cm cm ,则ΔABC 的面积是( )2cm A. 6 B. 7.5 C. 10 D. 129. 如图2,在菱形ABCD 中,6cm,8cm AC BD ==,则菱形AB 边上的高CE 的长是( ) A.245cm B.485cm C. 5cm D. 10cm10. 如图3,梯形ABCD 的周长为28 cm ,AD ∥BC ,过点A作AE ∥CD 交BC 于E , △ABE 的周长为20cm ,下底BC=10cm ,则△ABE 与四边形AECD 的面积比等于( ). A. 2:3B. 3:2C. 3:4D. 4:3二. 耐心填一填 (本题有6个小题, 每小题3分, 共18分)11. 分解因式ab a 932-=_____________________12. 计算222(2)(3)()a ab a b •-÷-所得的结果是_____________ 13. 请在实数3.2和3.8之间找一个无理数,它可以是 14. 平行四边形ABCD 中,∠A+∠C=200°,则∠A=___________15. 如图4,已知矩形ABCD 的对角线AC 和BD 交于点O ,过O 作OE ⊥BC ,垂足为E ,且OE=3,AC=10,则BC= 。
16. 如图5,一只蚂蚁沿长方体表面从顶点A 爬到顶点B ,已知4,2,1a b c ===,则它走过的路程最短为_______________。
三. 用心答一答 (本题有7个小题, 共52分,解答要求写出文字说明, 证明过程或计算步骤)17. (本题满分15分)(1)计算:223168131225-+- (2)计算:22()()m n m n +--(3)分解因式: 282x xy -18. (本题满分6分)先化简代数式或把多项式分解因式,再求值: 2(1)(2)(1)x x x +--+,其中x=-2。
c ba B AA''''A'''A'A'''A''19. (本题满分6分)作图说明△A/B/C/是由△ABC通过怎样的图形变换(平移、旋转、轴对称)得到的?用两种方法:(1)一种是经过两次变换得到;(2)另一种是经过一次变换得到的,若是平移要写出平移方向和距离,若是旋转要写出旋转的中心和角度,若是轴对称要写出对称轴。
(1)先作_________变换,再作___________变换。
(2)作_____________变换直接得到,_____________。
20. (本题满分6分)屋檐下,小雨点A由于风力作用,最终落在地面B处,如图6所示,测得小雨点A到地面的距离AC是3.1米,且地面B处与C的距离为1.5米。
则(1)小雨点A移动的方向与距离是()A. 射线AB方向,BC的长;B. 射线AC方向,AB的长;C. 射线AC方向,BC的长;D. 射线AB方向,AB的长;(2)请求出小雨点A移动的距离。
(精确到0.1米)21. (本题满分6分)如图7,已知:梯形ABCD中,AD∥BC,AB=DC=5,AD=6,过点A作AE⊥BC于E,过点D作DF⊥BC于F,得到矩形AEFD且DF=4,求梯形的下底BC的长.22. (本题满6分)如图8,△ABC 为等边三角形,边长为2cm ,D 为BC 中点,△AEB 是△ADC 绕点A 旋转60°得到的,连结CE.(1)求AD 的长; (2) 求EC 的长.23. (本题满分7分)如图9,已知等边△ABC 和等边△DBC 有公共的底边BC 。
(1)在图9—1中,△ABC 是由△DBC 绕着各边上的某个点旋转一定角度得到的,则满足题意的所有的这种点为 ;(2)图9—2中,已知1B 是BC 的中点,现沿着点B到点1B 的方向,将△DBC 平移到△D 1B 1C 1的位置。
请你判断:图9—3得到的所有四边形中哪些是平行四边形?请写出并举其中一个说明你的理由。
附加探索(本大题满分20分,每小题10分)1. 将四个如图(1)所示的直角三角形经过平移,旋转对称等变换运动,拼成如图(2)所示的图形,如果连结AD ,就可以得到直角梯形ACED (如图(3))。
(1)请结合图(3)说明等式222c b a =+成立,并用适当的文字叙述这个结论。
(2)你能拼出其它形状的图形来证明等式222c b a =+成立吗?请用你所拼的图形证明。
2. 如图10,是某城市部分街道示意图,AF ∥BC ,EC ⊥BC ,AB ∥DE ,BD ∥AE 。
甲乙两人同时从B 站乘车到F 站,甲乘1路车,路线是B →A →E →F ;乙乘2路车,路线是B →D →C →F. 假设两车速度相同,途中耽误时间相同,那么谁先到达F 站,请说明理由。
【试题答案】一. 细心选一选 (本题有10个小题, 每小题3分,满分30分) 1. B 2. B 3. D 4. D 5. D 6. C 7. C 8. A 9. A10. C二. 耐心填一填 (本题有6个小题, 每小题3分,共18分) 11. 3(3)a a b -13.~14. 100° 15. 8 16. 5注意:(第13题只需写一个就给满分)三. 用心答一答 (本题有7个小题,共52分)17. (本题共3小题,每小题5分,满分15分) 解:(1)原式=-+42554分 (前2个计算各1分,后一个2分)=4355分 (2)原式=m 2+2mn+n 2-(m 2-2mn+n 2) 2分 =m 2+2mn+n 2+2mn-n 2 3分 =4mn 5分 或者原式=()()m n m n m n m n ++-+-+ 3分 =22m n • 4分 =4mn 5分 (3)原式=22(4)x y - 2分 =2(2)(2)x y y +-5分18. (本题满分6分)解法一:解:2(1)(2)(1)x x x +--+ =2222(21)x x x x x +---++2分 =222221x x x x x +----- 3分 =33x -- 5分 当x=-2时,原式=3(2)33-⨯--= 6分解法二:原式=(1)(21)x x x +--- 3分 =3(1)x -+ 5分 当x=-2时,原式=3(21)3-⨯-+= 6分注:不按题意解答不给分 19. (本题满分6分) 解:(注意:作图2分,说明1分)3分看图得出:平移,旋转或旋转,平移(注意:作图2分,直接正确点出即可得2分,说明1分) 作旋转变换,以点O为旋转中心,顺时针旋转90°得到 6分20. (本题满分6分) 解:(1)选D ……2分(2)在Rt △ABC 中,AC=3.1,BC=1.5 22AC BC +4分223.1 1.5+ 3.4答:略 6分 (注意:精确度错扣1分,不答扣1分) 21. (本题满分6分)解:在Rt △ABE 中,AB=5,AE=DF=4 22AB AE -2254- 33分 同理FC 22DC DF -2254- 34分在矩形AEFD 中EF=AD=6 5分 BC=BE+EF+FC=3+6+3=12 6分 22. (本题满分6分) 解:(1)∵△ABC 为等边三角形, D 为BC 中点 ∴AD ⊥BC 2分 在Rt △ADC 中,AC=2,DC=1 22AC DC -2221-3 4分(2)∵△ABC 为等边三角形, D 为BC 中点 ∴∠DAC=30°又依题意得∠EAD=60°,3 ∴∠EAC=90°5分∴在Rt △EAC 中,EC =22AC AE +=22(3)27+=6分注意:可用计算器计算得出,现在计算器能够保留根号。
23. (本题满分7分) 解:(1)点B ,点C ,BC 的中点 3分 (2)平行四边形ABD 1C 1和平行四边形AB 1D 1C 4分(只写一个不给分) 用定义说明,若用其它判别方法说明不扣分。
∵等边△ABC 和等边△DBC 中,1111,BB B C B C CC == ∴11111190,60AB C B CD ACB CB D ∠=∠=︒∠=∠=︒5分。
∴AB 1//CD 1,AC//B 1D 16分∴四边形11AB D C 是平行四边形 7分对于四边形11ABD C 是平行四边形的判断,可用图形变换的知识结合定义说明 。
若用没有学过的其它判别方法说明也可。
(这里让学生写出而不说明,主要考查学生对图形的感觉)附加题:1. (1)∵S梯形ACED =21()2a b + S梯形ACED =S △ACB +S△ABD +S△BED =2111222ab c ab ++ ∴21()2a b +=2111222ab c ab ++ ∴222c b a =+结论:直角三角形两直角边的平方和等于斜边的平方。
(2)略2. 解:同时到达。
延长ED 交BC 于G ∵AB ∥DE ,AF ∥BC∴四边形ABGD 是平行四边形 ∴AB=DG又∵AB ∥DE ,BD ∥AE∴四边形ABDE 是平行四边形 ∴AE =BD ,AB =DE ∴DG =DE 又EC ⊥BCDC=DG =DE(直角三角形斜边上的中线等于斜边的一半)―――书本课后练习可不证 又∵AF ∥BC ,EC ⊥BC ∴DF ⊥EC ∴EF=FC∴AB+AE+EF=DC+BD+CF。