复数的运算练习题参考答案
- 格式:doc
- 大小:249.50 KB
- 文档页数:3
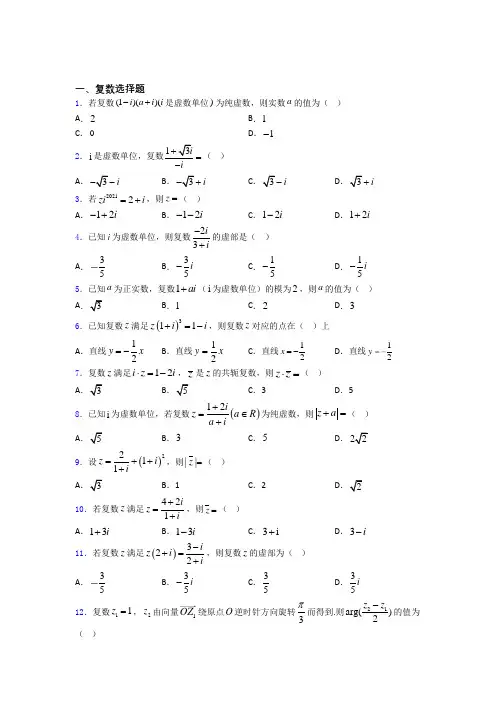
一、复数选择题L 在复平面内,复数公(i 为虚数单位)对应的点的坐标为() A. (3,4)B. (—4,3)C. -*2 .已知复数z =」一,其中i 为虚数单位,则lzl=() 1-z A. 1 B.旦 C. 72z 2 3 .复数z = i-(l + i )在复平面上对应的点位于() A.第一象限B.第二象限C.第三象限4 . i 是虚数单位,复数匕虫=() *-Z A. -y/3-iB. -y/3+i c. V3-;5 .已知复数z= '〃— 为纯虚数,则实数加=< )/A. -1B. 0C. 16 .若复数z 满足(l + i )z = 3 + i (其中i 是虚数单位),复数z 的共挽复数为则()A. Z 的实部是1B. Z 的虚部是1C.同=逐D.复数£在复平而内对应的点在第四象限7 .已知复数z (l + 2i ) = 3—i (其中i 是虚数单位),则z 在复平面内对应点在() A.第一象限B.第二象限C.第三象限D.第四象限8 .已知i 为虚数单位,则复数 3 的虚部是()3 + i 3 3. 1 1 . A. ---B. — — IC. ——D. — — /55559 .已知。
为正实数,复数1+5(i 为虚数单位)的模为2,则。
的值为() A.B. 1C. 2D. 310 .已知复数z = |l+i|-i (i 为虚数单位),则2=() A. 1B. -V2-ZC. y/2-iD. G + i11 .若复数z 满足z (2+i ) = U ,则复数z 的虚部为()D. 2D.第四象限D. 6 + »D. 0或1H. ---D. -- 1l ・一5 5 5 12 .若复数?=匕°_,则Z =()3 + 4i4 3 2 A- -B. -C.一5 5513 .复数z = (2—i)(l + 2i),则z 的共聊复数彳=() A. 4 + 3iB. 3-4zc. 3 + 4i14 .复数z = 1-2,(其中/•为虚数单位),则|z+3i|=()A. 5B, 72 C. 2D.庄15 .题目文件丢失!二、多选题16 . i 是虚数单位,下列说法中正确的有() A,若复数Z 满足ze=O,则Z = OB.若复数&,均满足|马+马|=|。
复数练习题附答案复数是数学中的一个基本概念,它拓展了实数的概念,允许我们处理像-1的平方根这样的数。
复数可以表示为a + bi的形式,其中a和b是实数,i是虚数单位,满足i^2 = -1。
下面是一些复数的练习题,以及它们的答案。
练习题1:计算以下复数的加法:\[ (3 + 4i) + (1 - 2i) \]答案1:首先分别将实部和虚部相加:\[ 3 + 1 = 4 \]\[ 4i - 2i = 2i \]所以,结果是 \( 4 + 2i \)。
练习题2:计算以下复数的乘法:\[ (2 + 3i) \times (1 - 4i) \]答案2:使用分配律:\[ 2 \times 1 + 2 \times (-4i) + 3i \times 1 + 3i \times (-4i) \]\[ = 2 - 8i + 3i - 12i^2 \]由于 \( i^2 = -1 \),所以:\[ = 2 - 5i + 12 \]结果是 \( 14 - 5i \)。
练习题3:求复数 \( z = 3 - 2i \) 的共轭复数。
答案3:共轭复数是将虚部的符号改变得到的数,所以:\[ \bar{z} = 3 + 2i \]练习题4:求复数 \( z = 2 + i \) 的模(magnitude)。
答案4:复数的模定义为:\[ |z| = \sqrt{a^2 + b^2} \]其中 \( a \) 和 \( b \) 分别是复数的实部和虚部。
所以:\[ |2 + i| = \sqrt{2^2 + 1^2} = \sqrt{4 + 1} = \sqrt{5} \] 练习题5:求复数 \( z = 1 + i \) 的逆。
答案5:复数的逆通过公式 \( \frac{1}{z} =\frac{\bar{z}}{|z|^2} \) 计算。
首先求模:\[ |1 + i| = \sqrt{1^2 + 1^2} = \sqrt{2} \]然后求共轭复数:\[ \bar{z} = 1 - i \]最后求逆:\[ \frac{1}{1 + i} = \frac{1 - i}{2} \]因为 \( |1 + i|^2 = 2 \)。
复数练习题含答案一、单选题1.已知i 是虚数单位,复数1z 、2z 在复平面内对应的点分别为()1,2-、()1,1-,则复数21z z 的共轭复数的虚部为( )A .15-B .15C .1i 5-D .1i 52.下列说法正确的是( )A .若复数()i ,z a b a b R =+∈,则z 为纯虚数的充要条件是0a =且0b =.B .若()()21i 0,x y x y R -+->∈,则2x >且1y >.C .若()()2212230Z Z Z Z -++=,则123Z Z Z ==.D .若复数z 满足i 2z -=,则复数z 对应点的集合是以()0,1为圆心,以2为半径的圆. 3.复数(2i 的虚部为( ) A .2 B.C.2-D .04.复数 21(1)i 1z a a =+--是实数,则实数a 的值为( ) A .1或-1 B .1 C .-1D .0或-15.已知复数5i1iz -=+(i 为虚数单位),则z 的共轭复数z =( ) A .23i +B .24i -C .33i +D .24i +6.下列命题正确的是( )①若复数z 满足2z ∈R ,则z R ∈; ②若复数z 满足i R z∈,则z 是纯虚数;③若复数12,z z 满足12=z z ,则12=±z z ; ④若复数12,z z 满足2121z z z =且10z ≠,则12=z z .A .①③B .②④C .①④D .①③7.设i为虚数单位,则)10i 的展开式中含2x 的项为( )A .6210C x - B .6210C x C .8210C x -D .8210C x8.已知m 为实数,则“1m =”是“复数()211i z m m =-++为纯虚数”的( )A .充分不必要条件B .必要不充分条件C .充要条件D .既不充分也不必要条件9.已知复数2ii+=a z (a R ∈,i 是虚数单位)的虚部是3-,则复数z 对应的点在复平面的( ) A .第一象限 B .第二象限 C .第三象限 D .第四象限 10.若复数z 在复平面内对应的点为(1,1),则其共轭复数z 的虚部是( ) A .iB .i -C .1D .1-11.在复平面内O 为坐标原点,复数()1i 43i z =-+,27i z =+对应的点分别为12,Z Z ,则12Z OZ ∠的大小为( )A .3π B .23π C .34π D .56π12.设复数z 满足i 1i(i z ⋅=+为虚数单位),则复数z 在复平面内所对应的点位于( ) A .第一象限B .第二象限C .第三象限D .第四象限13.已知复数1i z a =+(a R ∈),则1a =是z = ) A .充分不必要条件 B .必要不充分条件 C .充要条件 D .既不充分也不必要条件14.若复数4i1iz =-,则复数z 的模等于( ) AB .2C .D .415.已知复数z 满足(34i)5(1i)z +⋅=-,则z 的虚部是( ) A .15-B .75-C .1i 5-D .7i 5-16.“1x =”是“22(1)(32)i x x x -+++是纯虚数”的( ) A .充要条件 B .充分不必要条件 C .必要不充分条件 D .既不充分也不必要条件17.设a ,b ∈R ,i 为虚数单位,则“ab >0”是“复数a -b i 对应的点位于复平面上第二象限”的( ) A .充分不必要条件 B .必要不充分条件 C .充要条件D .既不充分又不必要条件18.若复数z 对应的点在直线y =2x 上,且|z |z =( ) A .1+2i B .-1-2i C .±1±2iD .1+2i 或-1-2i19.已知复数324i 1iz +=-,则z =( )ABC.D.20.设复数z 1=1+i ,z 2=x +2i(x ∈R),若z 1z 2∈R ,则x 等于( )A .-2B .-1C .1D .2二、填空题21.复数121i,22i z z =+=-,则12_________.z z -=22.在复平面内,复数1z 和2z 对应的点分别是(21)A ,和(01)B ,,则12z z =_______. 23.已知z 是复数,3i 13i z z z z +-⋅⋅=-,则复数z =_________24.已知复数2z =+i ,其中i 为虚数单位,那么复数()2z ·z 所对应的复平面内的点在第________象限25.若i 为虚数单位,复数3i z =+,则表示复数1iz+的点在第_______象限. 26.复数2i z a =+,a ∈R ,若13i i+-z为实数,则=a ________. 27.若()1i 1i z +=-,则z =_______ 28.已知复数()3iR ib z b -=∈的实部和虚部相等,则z =___________. 29.已知复数i 3i z =+(i 为虚数单位),则z =__________.30.若复数2(1i)34iz +=+,则z =__________.31.若复数()()32i z a a R =-+-∈为实数,则2021i 1ia a -+的值为______.32.设复数z =-1-i(i 为虚数单位),z 的共轭复数为z ,则2zz-=________. 33.计算cos 40isin 40cos10isin10________.34.已知i 是虚数单位,则202220211()1+⎛⎫+= ⎪-⎝⎭i i i ___________.35.方程()()2223256i 0x x x x --+-+=的实数解x =________.36.下列命题:①若a R ∈,则()1i a +是纯虚数;②若()()()22132i x x x x R -+++∈是纯虚数,则1x =±;③两个虚数不能比较大小. 其中正确命题的序号是________. 37.已知z =22022z z z ++⋅⋅⋅+=___________. 38.若a ∈R ,且i2ia ++是纯虚数,则a =____. 39.若i 是虚数单位,则复数310i3i =-________.(写成最简结果) 40.已知2i +是关于x 的方程()20,R x ax b a b ++=∈的根,则b a -=________. 三、解答题41.已知关于x 的方程2(4i)4(1)i 0()x x a a --+-+=∈R 有实数根. (1)求实数a 的值;(2)设2i z a =+,求223z z -+的值.42.已知复数13i z m =-,212i()z m R =+∈. (1)若12z z 是实数,求m 的值;(2)若复数12zz 在复平面内对应的点在第三象限,且15z ≥,求实数m 的取值范围.43.已知复数()()()22232i R z m m m m m =--++-∈,. (1)若0z >,求m 的值; (2)若z 是纯虚数,求z z ⋅的值.44.在复数集C 内方程610x -=有六个根分别为123456ωωωωωω,,,,, (1)解出这六个根;(2)在复平面内,这六个根对应的点分别为A ,B ,C ,D ,E ,F ;求多边形ABCDEF 的面积 .45.(1)设复数z 满足24(1i)(12i)z --=-,求复数z ; (2)若复数z 满足(2i)(1i)1z z ⋅+=⋅-+,求复数z ;(3)已知复数()2256215i m m m m +++--z=,当实数m 为何值时,复数z 对应的点Z 在第四象限.【参考答案】一、单选题1.A 2.D 3.C 4.C 5.A 6.B 7.A 8.C 9.D 10.D 11.C 12.D 13.A 14.C 15.B 16.A 17.B 18.D 19.B 20.A 二、填空题2122.12i -##2i+1-23.12或12##12-或12 24.四 25.四 26.3- 27.i28.2930.825i 625-31.i -32.-1+2i##2i -13312i34 35.2 36.③ 37.0 38.12-##0.5- 39.13i +##3i 1+ 40.9 三、解答题41.(1)1a = (2)2- 【解析】 【分析】(1)由已知,方程2(4i)4(1)i 0()x x a a --+-+=∈R 有实数解,可列出关于x 和a 方程组,解方程即可完成求解;(2)将第(1)问计算出的a 带入2i z a =+中,然后直接计算223z z -+即可. (1)由2(4i)4(1)i 0x x a --+-+=,整理得()244(1)i 0x x x a -++--=,则244010x x x a ⎧-+=⎨--=⎩,解得21x a =⎧⎨=⎩. 所以实数a 的值为1. (2)由(1)可得12z i =+.223z z -+2(12i)2(12i)3=+-++34i 24i 3=-+--+2=-.42.(1)32m =- (2)46m ≤< 【解析】 【分析】(1)由复数的除法法则化简后根据复数的定义计算;(2)由对应点所在象限求得参数范围,再由模求得参数范围,两者结合可得.(1)123i (3i)(12i)6(23)i 12i (12i)(12i)5z m m m m z -----+===++-,它是实数,则(23)0m -+=,32m =-; (2)由(1)12z z 对应点坐标为623(,)55m m -+-,它在第三象限, 则6052305m m -⎧<⎪⎪⎨+⎪-<⎪⎩,解得362m -<<,又15z =,4m ≤-或4m ≥, 综上,46m ≤<. 43.(1)2m =- (2)4或100 【解析】 【分析】(1)根据复数0z >,可知z 为实数,列出方程,解得答案;(2)根据z 是纯虚数,列出相应的方程或不等式,再结合共轭复数的概念以及复数的乘法运算,求得答案. (1)因为0z >,所以R z ∈,所以220m m +-=,所以2m =-或1m =. ①当2m =-时,50z =>,符合题意; ②当1m =时,40z =-<,舍去. 综上可知:2m =-. (2)因为z 是纯虚数,所以2223020m m m m ⎧--=⎨+-≠⎩,所以1m =-或3m =,所以2i z =-,或10i z =,所以2i 2i 4z z ⋅=-⨯=或10i (10i)100z z ⋅=⨯-=, 所以4z z ⋅=或100. 44.(1)12345611111,1,2222ωωωωωω==-=-=-=+=-【解析】 【分析】(1)原式可因式分解为22(1)(1)(1)(1)0x x x x x x -+++-+=,令21=0x x ++,设i,,x a b a b R =+∈可求解出21=0x x ++的两个虚根,同理可求解21=0x x -+的两个虚根,即得解;(2)六个点构成的图形为正六边形,边长为1,计算即可 (1)由题意,610x -=22(1)(1)(1)(1)0x x x x x x ∴-+++-+=当21=0x x ++时,设i,,x a b a b R =+∈故222(i)i 1=+1(2)i=0a b a b a b a ab b ++++-+++, 所以22+1=2=0a b a ab b -++ 解得:13,22a b =-=±,即13i 22x =-± 当21=0x x -+时,设i,,x c d c d R =+∈ 故222(i)i 1=1(2)i=0c d c d c d c cd d +--+--++- 所以221=2=0c d c cd d --+- 解得:13,22c d ==±,即13i 22x =±故:123456131313131,1,i,i,i,i 22222222ωωωωωω==-=-+=--=+=- (2)六个根对应的点分别为A ,B ,C ,D ,E ,F , 其中13131313(1,0),(1,0),(,),(,),(,),(,)22222222A B C D E F ----- 在复平面中描出这六个点如图所示:六个点构成的图形为正六边形,边长为1故261S ==45.(1)2;(2)21i 3z =-;(3)25m -<<. 【解析】 【分析】(1)根据复数的四则运算及复数的摸公式即可求解;(2)利用复数的四则运算、两个复数相等及共轭复数即可求解;(3)复数的几何意义得出点Z 的坐标,再根据点在第四象限的特点即可求解. 【详解】(1)()()()()242i 42i 12i 4(1i)10i2i 12i 12i 12i 12i 5z +++--=====---+,∴2z =(2)设i z a b =+()R a ∈、b ,则()()()i 2i i (1i)1a b a b +⋅+=-⋅-+, 化简得(2)(2)i (1)()i a b a b a b a b -++=-+-+,根据对应相等得:212a b a b a b a b-=-+⎧⎨+=--⎩,解得1a =,23b =-,所以21i 3z =-.(3)由()2256215i m m m m +++--z=,得()2256,215m m m m ++--Z ,因为Z 对应的点在第四象限,所以225602150m m m m ⎧++>⎨--<⎩,解得:25m -<<,故而当25m -<<时,复数Z 对应的点在第四象限.。
高中数学第七章复数经典大题例题单选题1、已知z =2+i ,则z−i 1+i =( )A .1−2iB .2+2iC .2iD .−2i答案:D分析:根据共轭复数的定义及复数的除法法则即可求解.由z =2+i ,得z =2−i ,所以z−i 1+i =2−i−i 1+i =2(1−i )×(1−i )(1+i )×(1−i )=2×(1−2i+i 2)2=−2i .故选:D.2、设(−1+2i)x =y −1−6i ,x,y ∈R ,则|x −yi|=( )A .6B .5C .4D .3答案:B分析:根据复数实部等于实部,虚部等于虚部可得{x =−3y =4,进而求模长即可. 因为(−1+2i )x =y −1−6i ,所以{2x =−6−x =y −1,解得{x =−3y =4, 所以|x −yi |=|−3−4i|=√(−3)2+(−4)2=5.故选:B.3、已知下列三个命题:①若复数z 1,z 2的模相等,则z 1,z 2是共轭复数;②z 1,z 2都是复数,若z 1+z 2是虚数,则z 1不是z 2的共轭复数;③复数z 是实数的充要条件是z =z .则其中正确命题的个数为A .0个B .1个C .2个D .3个答案:C解析:运用复数的模、共轭复数、虚数等知识对命题进行判断.对于①中复数z 1和z 2的模相等,例如z 1=1+i ,z 2=√2i ,则z 1和z 2是共轭复数是错误的;对于②z 1和z 2都是复数,若z 1+z 2是虚数,则其实部互为相反数,则z 1不是z 2的共轭复数,所以②是正确的;对于③复数z 是实数,令z =a ,则z =a 所以z =z ,反之当z =z 时,亦有复数z 是实数,故复数z 是实数的充要条件是z =z 是正确的.综上正确命题的个数是2个.故选C小提示:本题考查了复数的基本概念,判断命题是否正确需要熟练掌握基础知识,并能运用举例的方法进行判断,本题较为基础.4、在复平面内,复数z =1+i 1−i +1−i 2对应的点位于( )A .第一象限B .第二象限C .第三象限D .第四象限答案:A解析:由复数的运算求出z ,则可得其对应的点的坐标,从而得出结论.z =(1+i)2(1−i)(1+i)+1−i 2=2i 2+1−i 2=12+12i , 则z 在复平面内对应的点为(12,12),在第一象限,故选:A .5、z 1、z 2是复数,则下列结论中正确的是( )A .若z 12+z 22>0,则z 12>−z 22B .|z 1−z 2|=√(z 1+z 2)2−4z 1⋅z 2C .z 12+z 22=0⇔z 1=z 2=0D .|z 12|=|z 1|2答案:D解析:举反例z 1=2+i ,z 2=2−i 可判断选项A 、B ,举反例,z 2=i 可判断选项C ,设z 1=a +bi ,(a,b ∈R ),分别计算|z 12|、|z 1|2即可判断选项D ,进而可得正确选项.对于选项A :取z 1=2+i ,z 2=2−i ,z 12=(2+i )2=3+2i ,z 22=(2−i )2=3−2i ,满足z 12+z 22=6>0,但z 12与z 22是两个复数,不能比较大小,故选项A 不正确;对于选项B :取z 1=2+i ,z 2=2−i ,|z 1−z 2|=|2i |=2,而√(z 1+z 2)2−4z 1⋅z 2=√42−4(2+i )(2−i )=√16−20无意义,故选项B 不正确;对于选项C :取,z 2=i ,则z 12+z 22=0,但是z 1≠0,z 2≠0,故选项C 不正确;对于选项D :设z 1=a +bi ,(a,b ∈R ),则z 12=(a +bi )2=a 2−b 2+2abi11z =11z =|z 12|=√(a 2−b 2)2+4a 2b 2=√(a 2+b 2)2=a 2+b 2,z 1=a −bi ,|z 1|=√a 2+b 2,所以|z 1|2=a 2+b 2,所以|z 12|=|z 1|2,故选项D 正确.故选:D.6、已知i 为虚数单位,则i +i 2+i 3+⋅⋅⋅+i 2021=( )A .iB .−iC .1D .-1答案:A分析:根据虚数的运算性质,得到i 4n +i 4n+1+i 4n+2+i 4n+3=0,得到i +i 2+i 3+⋅⋅⋅+i 2021=i 2021,即可求解.根据虚数的性质知i 4n +i 4n+1+i 4n+2+i 4n+3=1+i −1−i =0,所以i +i 2+i 3+⋅⋅⋅+i 2021=505×0+i 2021=i .故选:A.7、已知正三角形ABC 的边长为4,点P 在边BC 上,则AP⃗⃗⃗⃗⃗ ⋅BP ⃗⃗⃗⃗⃗ 的最小值为( ) A .2B .1C .−2D .−1答案:D分析:选基底,用基向量表示出所求,由二次函数知识可得.记|BP⃗⃗⃗⃗⃗ |=x ,x ∈[0,4] 因为AP⃗⃗⃗⃗⃗ =BP ⃗⃗⃗⃗⃗ −BA ⃗⃗⃗⃗⃗ , 所以AP⃗⃗⃗⃗⃗ ⋅BP ⃗⃗⃗⃗⃗ =BP ⃗⃗⃗⃗⃗ 2−BA ⃗⃗⃗⃗⃗ ⋅BP ⃗⃗⃗⃗⃗ =|BP ⃗⃗⃗⃗⃗ |2−2|BP ⃗⃗⃗⃗⃗ |=x 2−2x =(x −1)2−1≥−1. 故选:D8、已知关于x 的方程(x 2+mx )+2x i =-2-2i (m ∈R )有实数根n ,且z =m +n i ,则复数z 等于( )A .3+iB .3-iC.-3-iD.-3+i答案:B分析:根据复数相等得出m,n的值,进而得出复数z. 由题意知(n2+mn)+2n i=-2-2i,即{n 2+mn+2=02n+2=0,解得{m=3,n=−1,∴z=3−i故选:B多选题9、已知复数z=21+i,则正确的是()A.z的实部为﹣1B.z在复平面内对应的点位于第四象限C.z的虚部为﹣iD.z的共轭复数为1+i答案:BD分析:根据复数代数形式的乘除运算化简,结合复数的实部和虚部的概念、共轭复数的概念求解即可.因为z=21+i =2(1−i)(1+i)(1−i)=1−i,所以z的实部为1,虚部为-1,在复平面内对应的点为(1,-1),在第四象限,共轭复数为z=1+i,故AC错误,BD正确.故选:BD10、复数z=1−i,则()A.z在复平面内对应的点的坐标为(1,−1)B.z在复平面内对应的点的坐标为(1,1)C.|z|=2D.|z|=√2答案:AD分析:利用复数的几何意义,求出复数对应的点坐标为(1,−1),即可得答案;z=1−i在复平面内对应的点的坐标为(1,−1),|z|=√2.故选:AD.11、已知复数z满足(1+i3)z=2,则下列说法中正确的有()A.z的虚部是iB.|z|=√2C.z⋅z=2D.z2=2答案:BC分析:根据复数的除法运算求出z,结合相关概念以及复数乘法运算即可得结果.z=21+i3=21−i=1+i,其虚部为1,|z|=√2,z⋅z=(1+i)(1−i)=2,z2=(1+i)2=2i≠2.故选:BC.12、已知复数z1=−2+i(i为虚数单位),复数z2满足|z2−1+2i|=2,z2在复平面内对应的点为,则()A.复数z1在复平面内对应的点位于第二象限B.1z1=−25−15iC.(x+1)2+(y−2)2=4D.|z2−z1|的最大值为3√2+2答案:ABD分析:利用复数的几何意义可判断A选项;利用复数的除法运算可判断B选项;利用复数的模长公式可判断C选项;利用复数模长的三角不等式可判断D选项.对于A选项,复数z1在复平面内对应的点的坐标为(−2,1),该点位于第二象限,A对;对于B选项,1z1=1−2+i=−2−i(−2+i)(−2−i)=−25−15i,B对;对于C选项,由题意可得z2−1+2i=(x−1)+(y+2)i,因为|z2−1+2i|=2,则(x−1)2+(y+2)2=4,C错;对于D选项,z1−1+2i=−3+3i,则|z1−1+2i|=√(−3)2+32=3√2,所以,|z2−z1|=|(z2−1+2i)−(z1−1+2i)|≤|z2−1+2i|+|z1−1+2i|=2+3√2,D对.(), M x y故选:ABD.13、若复数z 满足:z (z +2i )=8+6i ,则( )A .z 的实部为3B .z 的虚部为1C .zz =√10D .z 在复平面上对应的点位于第一象限答案:ABD分析:根据待定系数法,将z =a +bi (a,b ∈R )代入条件即可求解a =3,b =1,进而即可根据选项逐一求解. 设z =a +bi (a,b ∈R ),因为z (z +2i )=8+6i ,所以zz +2iz =8+6i ,所以(a 2+b 2−2b )+2ai =8+6i ,所以a 2+b 2−2b =8,2a =6,所以a =3,b =1,所以z =3+i ,所以z 的实部为3,虚部为1,故A ,B 正确;zz =|z |2=10,故C 不正确;z 在复平面上对应的点(3,1)位于第一象限,故D 正确.故选:ABD .填空题14、i 2 021=________.答案:i分析:利用周期性求得所求表达式的值.i 2021=i 505×4+1=i 1=i所以答案是:i15、设复数z ,满足|z 1|=1,|z 2|=2,z 1+z 2=√3−i ,则|z 1−z 2|=____________.答案:√6解析:根据复数的几何意义得到对应向量的表示,再结合向量的平行四边形法则以及余弦定理求解出|z 1−z 2|的值.设z 1,z 2在复平面中对应的向量为OZ 1⃗⃗⃗⃗⃗⃗⃗ ,OZ 2⃗⃗⃗⃗⃗⃗⃗ ,z 1+z 2对应的向量为OZ 3⃗⃗⃗⃗⃗⃗⃗ ,如下图所示:因为z 1+z 2=√3−i ,所以|z 1+z 2|=√3+1=2,所以cos∠OZ 1Z 3=12+22−221×2×2=14, 又因为∠OZ 1Z 3+∠Z 1OZ 2=180°,所以cos∠Z 1OZ 2=−cos∠OZ 1Z 3=−14,所以|Z 2Z 1⃗⃗⃗⃗⃗⃗⃗⃗⃗ |2=OZ 12+OZ 22−2OZ 1⋅OZ 2⋅cos∠Z 1OZ 2=1+4+1=6, 所以|Z 2Z 1⃗⃗⃗⃗⃗⃗⃗⃗⃗ |=√6,又|z 1−z 2|=|Z 2Z 1⃗⃗⃗⃗⃗⃗⃗⃗⃗ |=√6,所以答案是:√6.小提示:名师点评复数的几何意义:(1)复数z =a +bi (a,b ∈R )一一对应↔复平面内的点Z (a,b )(a,b ∈R ); (2)复数z =a +bi (a,b ∈R ) 一一对应↔平面向量OZ ⃗⃗⃗⃗⃗ . 16、在复平面内,复数z 对应的点的坐标是(3,−5).则(1−i)z =___________.答案:−2−8i ##−8i −2分析:根据给定条件求出复数,再利用复数的乘法运算计算作答.在复平面内,复数z 对应的点的坐标是(3,−5),则z =3−5i ,所以(1−i)z =(1−i)(3−5i)=−2−8i .所以答案是:−2−8i解答题17、已知复数z 1=4-m 2+(m -2)i ,z 2=λ+2sin θ+(cos θ-2)i (其中i 是虚数单位,m ,λ,θ∈R ).(1)若z 1为纯虚数,求实数m 的值;(2)若z 1=z 2,求实数λ的取值范围.答案:(1)-2;(2)[2,6]分析:(1)z 1为纯虚数,则其实部为0,虚部不为0,解得参数值;(2)由z 1=z 2,实部、虚部分别相等,求得λ关于θ的函数表达式,根据sinθ的范围求得参数取值范围.(1)由z 1为纯虚数,则{4−m 2=0,m −2≠0,解得m =-2. (2)由z 1=z 2,得{4−m 2=λ+2sinθ,m −2=cosθ−2,∴λ=4-cos 2θ-2sin θ=sin 2θ-2sin θ+3=(sinθ−1)2+2. ∵-1≤sin θ≤1,∴当sin θ=1时,λmin =2,当sin θ=-1时,λmax =6,∴实数λ的取值范围是[2,6].18、已知m ∈R ,α、β是关于x 的方程x 2+2x +m =0的两根.(1)若|α−β|=2√2,求m 的值;(2)用m 表示|α|+|β|.答案:(1)−1或3;(2)|α|+|β|={2√m,m >12,0≤m ≤12√1−m,m <0.分析:(1)由α、β是关于x 的方程x 2+2x +m =0的两根.可得α+β=−2,αβ=m ,对α,β分为实数,与一对共轭虚根即可得出.(2)不妨设α⩽β,对m 及其判别式分类讨论,利用根与系数的关系即可得出.解:(1)∵α、β是关于x 的方程x 2+2x +m =0的两根.∴α+β=−2,αβ=m ,若α,β为实数,即Δ=4−4m ≥0,解得m ≤1时;则2√2=|α−β|=√(α+β)2−4αβ=√4−4m ,解得m =−1.若α,β为一对共轭复数,即Δ=4−4m <0,解得m >1时;则2√2=|α−β|=√(α+β)2−4αβ=|√4m −4i|,解得m =3.综上可得:m =−1或3.(2)因为x2+2x+m=0,不妨设α⩽β.Δ=4−4m⩾0,即m⩽1时,方程有两个实数根.α+β=−2,αβ=m,0⩽m⩽1时,|α|+|β|=|α+β|=2.m<0时,α与β必然一正一负,则|α|+|β|=−α+β=√(α+β)2−4αβ=2√1−m.Δ=4−4m<0,即m>1时,方程有一对共轭虚根.|α|+|β|=2|α|=2√α2=2√m综上可得:|α|+|β|={2√m,m>1 2,0⩽m⩽12√1−m,m<0.。
复数练习题含答案一、单选题1.已知m 为实数,则“1m =”是“复数()211i z m m =-++为纯虚数”的( ) A .充分不必要条件 B .必要不充分条件 C .充要条件 D .既不充分也不必要条件 2.已知复数()1i z a a =-+(a ∈R ),则1a =是1z =的( )A .充分不必要条件B .必要不充分条件C .充要条件D .既不充分也不必要条件3.设复数z 满足()1i 2i z -=,则z 在复平面内对应的点在第几象限.( )A .一B .二C .三D .四4.复数(2i 的虚部为( )A .2B .C .2-D .05.设集合A 实数 ,{}B =纯虚数,{}C =复数,若全集SC ,则下列结论正确的是( ) A .AB C =B .A B =C .()S A B ⋂=∅D .SSABC6.若0a <,则a 的三角形式为( ) A .()cos0isin0a + B .()cos isin a ππ+ C .()cos isin a ππ-+ D .()cos isin a ππ-- 7.复数(sin 10°+icos 10°)(sin 10°+icos 10°)的三角形式是( )A .sin 30°+icos 30°B .cos 160°+isin 160°C .cos 30°+isin 30°D .sin 160°+icos 160°8.下列命题正确的是( )①若复数z 满足2z ∈R ,则z R ∈; ②若复数z 满足i R z∈,则z 是纯虚数;③若复数12,z z 满足12=z z ,则12=±z z ; ④若复数12,z z 满足2121z z z =且10z ≠,则12=z z .A .①③B .②④C .①④D .①③9.已知复数13i z a =-,22i z =+(i 为虚数单位),若12z z 是纯虚数,则实数=a ( ) A .32-B .32C .6-D .610.已知复数12i1iz -=+(i 是虚数单位),则复数z 在复平面内对应的点位于( ) A .第一象限 B .第二象限 C .第三象限 D .筹四象限11.复数1i1i+-(i 为虚数单位)的共轭复数的虚部等于( ) A .1 B .1- C .i D .i - 12.已知复数z 满足(12i)43i z -=-(i 为虚数单位),则z =( )AB .5CD .213.设z 的共轭复数是z ,若4i z z -=,8z z ⋅=,则z =( ) A .22i --B .22i +C .22i -+D .22i +或22i -+14.设i 为虚数单位,()1i 2i z -+=+,则复数z 的虚部是( ) A .12- B .1i 2C .32- D .3i 2-15.设复数z 满足i 1i(i z ⋅=+为虚数单位),则复数z 在复平面内所对应的点位于( ) A .第一象限 B .第二象限 C .第三象限 D .第四象限 16.已知复数i(1i)z =-,则其共轭复数z =( )A .1i --B .1i -+C .1i -D .1i +17.已知z1,z 2∈C ,|z 1+z 2|=|z 1|=2,|z 2|=2,则|z 1-z 2|等于( ) A .1 B .12 C .2 D .18.向量a =(-2,1)所对应的复数是( )A .z =1+2iB .z =1-2iC .z =-1+2iD .z =-2+i19.设a ,b ∈R ,i 为虚数单位,则“ab >0”是“复数a -b i 对应的点位于复平面上第二象限”的( ) A .充分不必要条件B .必要不充分条件C .充要条件D .既不充分又不必要条件20.若复数i (2i)z m m =++在复平面内对应的点在第二象限,则实数m 的取值范围是( ) A .(1,0)- B .(0,1) C .(,0)-∞ D .(1,)-+∞二、填空题21.已知复数z =(,a b ∈R 且0,0a b ≠≠)的模等于1,则12b a b++的最小值为______.22.已知i 是虚数单位,则202220221i 1i 1i ⎛⎫+⎛⎫+= ⎪ ⎪ ⎪--⎝⎭⎝⎭________.23.若i(,)i+∈a b a b R 与3+4i 互为共轭复数,则a b -=___________. 24.已知复数z 满足211iz -=+,则z 的最小值为___________; 25.18世纪末期,挪威测量学家威塞尔首次利用坐标平面上的点来表示复数,使复数及其运算具有了几何意义,例如,z OZ =,也即复数z 的模的几何意义为z 对应的点Z 到原点的距离,在复数平面内,复数02i1ia z +=+ (i 是虚数单位,)a R ∈是纯虚数,其对应的点为0Z ,Z 为曲线1z =上的动点,则0Z 与Z 之间的最小距离为________________.26.设i 是虚数单位,若复数z =1+2i ,则复数z 的模为__________. 27.计算:()()12i 34i 2i-+=+_________.28.定义12,C z z ∈,221212121(||||)4z z z z z z ⊕=+--,121212i(i )z z z z z z ⊗=⊕+⊕.若134i z =+,21z =+,则12||z z ⊗=___________.29.设i 为虚数单位,若复数(1i)(i)a -+的实部与虚部相等,其中a 是实数,则|1i |-+=a ________.30.若复数()2i m m m -+为纯虚数,则实数m 的值为________.31.设i 是虚数单位,复数z =,则z =___________.32.甲、乙、丙、丁四人对复数z 的陈述如下(i 为虚数单位):甲:z z +=;乙:2z z -=;丙:26;:4z z z z z ⋅==丁,在甲、乙、丙、丁四人陈述中,有且只有两个人的陈述正确,则z =___________. 33.计算cos 40isin 40cos10isin10________.34.已知4cosisin1212z ππ⎛⎫=+ ⎪⎝⎭,则1z 的辐角主值为________. 35.已知i 是虚数单位,则202220211()1+⎛⎫+= ⎪-⎝⎭i i i ___________.36.已知复数21ii z +=,则z =______. 37.方程()()2223256i 0x x x x --+-+=的实数解x =________.38.若z 1=2-i ,z 2=-12+2i ,则z 1,z 2在复平面上所对应的点为Z 1,Z 2,这两点之间的距离为________. 39.若i 是虚数单位,则复数310i3i =-________.(写成最简结果) 40.已知复数z =,则复数z 的虚部为__________. 三、解答题41.设复数z =log 2(m 2-3m -3)+ilog 2(m -2)(m ∈R ),对应的向量为OZ .(1)若OZ 的终点Z 在虚轴上,求实数m 的值及|OZ |; (2)若OZ 的终点Z 在第二象限内,求m 的取值范围. 42.根据要求完成下列问题:(1)已知复数1z 在复平面内对应的点在第四象限,1||1z =,且111z z +=,求1z ;(2)已知复数225(15i)3(2i)12im z m =-+-+-为纯虚数,求实数m 的值. 43.在复数集C 内方程610x -=有六个根分别为123456ωωωωωω,,,,, (1)解出这六个根;(2)在复平面内,这六个根对应的点分别为A ,B ,C ,D ,E ,F ;求多边形ABCDEF 的面积 . 44.已知z 为复数,1i z -为实数,i1z-为纯虚数,求复数z . 45.数列{}n a 满足1112,1n n n a a a a +-==+,试研究数列{}n a 的周期性.【参考答案】一、单选题1.C2.A3.B4.C5.D6.C7.B8.B9.A10.C11.B12.A13.D14.C15.D16.C17.D18.D19.B20.A二、填空题21.72223.1241##1-25.12627.43i-##3i4-+ 28.352930.131.32.2 3312i 34.2312π353637.2 3839.13i +##3i 1+ 40.三、解答题41.(1)m =4,|1OZ =(2)4m ⎫∈⎪⎪⎝⎭. 【解析】 【分析】(1)显然是复数z 的实部为0,即可求解; (2)z 的实部为负数,虚部为正数即可. (1)因为OZ 的终点z 在虚轴上,所以复数z 的实部为0, 则有log 2(m 2-3m -3)=0,所以m 2-3m -3=1, 所以m =4或m =-1; 因为20m -> ,所以m =4, 此时z =i ,()0,1OZ =,1OZ = ; (2)因为OZ 的终点Z 在第二象限内,则有()()2222log 330log 2033020m m m m m m ⎧--<⎪⎪->⎨-->⎪⎪->⎩4m << ,所以4m ⎫∈⎪⎪⎝⎭42.(1)112z = (2)2m =- 【解析】 【分析】(1)设1i z a b =+,由题设可得关于,a b 的方程组,求出其解后可得1z . (2)根据复数的四则运算可求2z ,根据其为纯虚数可求实数m 的值. (1)设1i z a b =+(a b R ∈、),由题意得22121a b a ⎧+=⎨=⎩,解得12a =,b =∵复数1z 在复平面内对应的点在第四象限,∴b =112z =; (2)()()()()2222515i 32i 6253i 12im z m m m m m =-+-+=--+---,依题意得260m m --=,解得3m =或2m =-, 又∵22530m m --≠,∴3m ≠且12m ≠-, ∴2m =-.43.(1)12345611111,1,2222ωωωωωω==-=-=-=+=-【解析】 【分析】(1)原式可因式分解为22(1)(1)(1)(1)0x x x x x x -+++-+=,令21=0x x ++,设i,,x a b a b R =+∈可求解出21=0x x ++的两个虚根,同理可求解21=0x x -+的两个虚根,即得解;(2)六个点构成的图形为正六边形,边长为1,计算即可 (1)由题意,610x -=22(1)(1)(1)(1)0x x x x x x ∴-+++-+=当21=0x x ++时,设i,,x a b a b R =+∈故222(i)i 1=+1(2)i=0a b a b a b a ab b ++++-+++,所以22+1=2=0a b a ab b -++ 解得:13,2a b =-=±,即13i 2x =-± 当21=0x x -+时,设i,,x c d c d R =+∈ 故222(i)i 1=1(2)i=0c d c d c d c cd d +--+--++- 所以221=2=0c d c cd d --+- 解得:13,2c d ==±,即13i 2x =±故:123456131313131,1,i,i,i,i 2222ωωωωωω==-=-+=--=+=- (2)六个根对应的点分别为A ,B ,C ,D ,E ,F , 其中13131313(1,0),(1,0),(,),(,),(,),(,)2222A B C D E F ----- 在复平面中描出这六个点如图所示:六个点构成的图形为正六边形,边长为1 故233361S ==44.1i z =+ 【解析】 【分析】i z a b =+(,R a b ∈),代入1i z -化简由其为实数可求出a ,再代入i1z-化简由其为纯虚数可求出b ,从而可求出复数z 【详解】设i z a b =+(,R a b ∈),所以1(1)i(1)i i iz a b b a --+==--, 因为1iz -为实数,所以10a -=,得1a =, 所以()()()()i 1i i ()()i i 1i 1i 1i 1i 222a b z a b a b a b a b a b +++-++-+====+---+, 因为i1z-为纯虚数, 所以02a b -=且02a b+≠, 所以1a b ==, 所以1i z =+ 45.周期为4 【解析】 【分析】根据通项公式,写出特征方程为210x +=,由方程根的情况求出数列{}n a 的周期. 【详解】数列{}n a 的递归函数为()11x f x x -=+,其特征方程为210x +=. 因为Δ=01440-⨯=-<,解得:i,i m k ==-()1i 36arg arg arg i 1i 24a mc a kc ππ--⎛⎫⎛⎫==-== ⎪ ⎪-+⎝⎭⎝⎭所以数列{}n a 是周期4T =的周期函数.。
复数的四则运算同步练习题文科附答案Last updated on the afternoon of January 3, 2021复数的四则运算同步练习题一、选择题1.若复数z 满足z +i -3=3-i ,则z 等于 ( D )A .0B .2iC .6D .6-2i2.复数i +i 2在复平面内表示的点在( B )A .第一象限B .第二象限C .第三象限D .第四象限3.复数z 1=3+i ,z 2=-1-i ,则z 1-z 2等于( C )A .2B .2+2iC .4+2iD .4-2i4.设z 1=2+b i ,z 2=a +i ,当z 1+z 2=0时,复数a +b i 为( D )A .1+iB .2+IC .3D .-2-i5.已知|z |=3,且z +3i 是纯虚数,则z 等于( B )A .-3iB .3iC .±3iD .4i6.复数-i +等于( A )A .-2i i C .0 D .2i7.i 为虚数单位,+++等于( A )A .0 B .2i C .-2iD .4i8.若a ,b ∈R ,i 为虚数单位,且(a +i)i =b +i ,则( D )A .a =1,b =1B .a =-1,b =1C .a =-1,b =-1D .a =1,b =-19.在复平面内,复数+(1+i)2对应的点位于( B )A .第一象限B .第二象限C .第三象限D .第四象限10.设复数z 的共轭复数是,若复数z 1=3+4i ,z 2=t +i ,且z 1·是实数,则实数t 等于( A )C .-D .-11.若z =,则复数等于( D )A .-2-iB .-2+IC .2-iD .2+i12.复数11z i =-的共轭复数是(B )A .i 2121+ B .i 2121- C .i -1 D .i +1 13.=++-i i i 1)21)(1((C)A .i --2 B .i +-2 C .i -2 D .i +214.若复数z 1=1+i ,z 2=3-i ,则z 1·z 2等于( A )A .4+2iB .2+iC .2+2iD .3+i15.已知=b +i(a ,b ∈R ),其中i 为虚数单位,则a +b 等于( B )A .-1B .1C .2D .316.若x -2+y i 和3x -i 互为共轭复数,则实数x 与y 的值是( D )A .x =3,y =3B .x =5,y =1C .x =-1,y =-1D .x =-1,y =117.在复平面内,复数+(1+i)2对应的点位于( B )A.第一象限B.第二象限C.第三象限D.第四象限18.设i 是虚数单位,_z 是复数z 的共轭复数,若,z?z̅i +2=2z ,则z =(A)(A )1+i (B )1i -(C )1+i -(D )1-i -19.若复数z 满足(3-4i)z =|4+3i|,则z 的虚部为( D)(A)-4 (B )- (C )4 (D ) 20.设复数z 满足,2)1(i z i =-则z =(A )(A )i +-1(B )i --1(C )i +1(D )i -121.复数z 满组(3)(2)5--=z i (z 为虚数单位),则z 的共轭复数z 为(D)(A)2+i (B)2-i (C)5+i (D)5-i22.在复平面内,复数(2-i)2对应的点位于(D)A.第一象限B.第二象限C.第三象限D.第四象限23.若复数z 满足24iz i =+,则在复平面内,z 对应的点的坐标是(C)A.(2,4)B.(2,-4)C.(4,-2)D.(4,2)24.复数的11Z i =-模为(B)(A )12(B )2(C )(D )225.()3=(A)(A )8-(B )8(C )8i -(D )8i26.i 是虚数单位,3(1)(2)i i i -++等于(D ) A .1+i B .-1-i C .1+3i D .-1-3i27.设复数z=1,则z 2-2z 等于(A )A .-3B .3C .-3iD .3i28.已知i 是虚数单位,则31i i +-=(D) ++2i29.下面是关于复数21z i=-+的四个命题:其中的真命题为(C ) 1:2p z =22:2p z i =3:p z 的共轭复数为1i +4:p z 的虚部为1-30.复数2(1)2i i-=(B )A 、1B 、1-C 、i D 、i - 31.若复数z 满足(2)117z i i -=+(i 为虚数单位),则z 为(A)(A )35i +(B )35i -(C )35i -+(D )35i --32.设i 为虚数单位,则复数56i i-=(D)A .6+5iB .6-5iC .-6+5iD .-6-5i 33.复数z 满足:()(2)5z i i --=;则z =(D )34.若(2)a i i b i -=-,其中a 、b R ∈,i 使虚数单位,则22a b +=(D)A .0B .2C .52D .535.复数z =i +i 2+i 3+i 4的值是(B )A .-1B .0C .1D .i 36.()()221111ii i i -++=+-(D )A .i B .i -C .1D .1-37.复数(1+1i)4的值是(D )A .4i B .-4i C .4 D .-4 二、填空题38.若复数z 1=-1,z 2=2+i 分别对应复平面上的点P 、Q ,则向量对应的复数是__3+i__.39.设复数i 满足i(z +1)=-3+2i(i 为虚数单位),则z 的实部是____1____.40.复数的虚部是___-____.41.已知z 是纯虚数,是实数,那么z =___-2i____.42.已知,43,2121i z i z +=-=则=⋅21z z ___11-2i _____.43.已知复数512i z i =+(i 是虚数单位),则_________z=44.若bi a i i +=++)2)(1(,其中,,a b R i ∈为虚数单位,则a b +=445.设a b ∈R ,,117i i 12ia b -+=-(i 为虚数单位),则a b +的值为8. 46.若12z a i =+,234z i =-,且12z z 为纯虚数,则实数a 的值为38. 47.已知312i a i--=+(i 是虚数单位),那么a 4=-4. 48.已知复数z 与(z +2)2-8i 均是纯虚数,则z=-2i .三、解答题49.复平面内有A ,B ,C 三点,点A 对应的复数是2+i ,向量对应的复数是1+2i ,向量对应的复数是3-i ,求C 点在复平面内的坐标.解 ∵=-,∴对应的复数为(3-i)-(1+2i)=2-3i ,设C (x ,y ),则(x +y i)-(2+i)=2-3i ,∴x +y i =(2+i)+(2-3i)=4-2i ,故x =4,y =-2.∴C 点在复平面内的坐标为(4,-2).50.在复平面内A ,B ,C 三点对应的复数分别为1,2+i ,-1+2i.(1)求,,对应的复数;(2)判断△ABC 的形状;(3)求△ABC 的面积.解析: (1)对应的复数为2+i -1=1+i ,对应的复数为-1+2i -(2+i)=-3+i ,对应的复数为-1+2i -1=-2+2i.(2)∵||=,||=,||==2,∴||2+||2=||2,∴△ABC 为直角三角形.(3)S △ABC =××2=2.51.已知复数z=1+i,求实数a,b 使得az +2b z =(a +2z)2.52.已知复数z=1+i ,如果221z az b z z ++-+=1-i,求实数a,b 的值. 解析:由z=1+i 得221z az b z z ++-+=()(2)a b a i i +++=(a +2)-(a +b)i 从而21()1a a b +=⎧⎨-+=-⎩,解得12a b =-⎧⎨=⎩.。
复数练习题(有答案)1.复数选择题1.若复数 $z=1+i$,则 $z$ 的共轭复数为()解析:$z$ 的共轭复数为 $\bar{z}=1-i$。
答案:C2.若复数 $z=1-i$,则 $z$ 的共轭复数为()解析:$z$ 的共轭复数为 $\bar{z}=1+i$。
答案:D3.在复平面内,复数 $z=3+4i$ 对应的点的坐标为()解析:$z$ 对应的点的坐标为 $(3,4)$。
答案:A4.已知复数 $z=\frac{1}{1+i}$,则 $z$ 的共轭复数为()解析:$\bar{z}=\frac{1}{1-i}=\frac{1+i}{2}$。
答案:B5.已知复数 $z=\frac{3-2i}{5}$,则 $z$ 的虚部是()解析:$z$ 的虚部为$\operatorname{Im}(z)=\frac{-2}{5}$。
答案:C6.已知复数 $z$ 满足 $z(1+i)=1-i$,则复数 $z$ 对应的点在直线 $y=-\frac{1}{2}x$ 上。
解析:将 $z$ 的实部和虚部表示出来,得到 $z=\frac{-1}{2}+\frac{1}{2}i$,对应的点在直线 $y=-\frac{1}{2}x$ 上。
答案:A7.已知复数 $z$ 满足 $z^2=2i$,则 $z\cdot\bar{z}$ 的值为$4$。
解析:$z\cdot\bar{z}=|z|^2=2$,$z^2\cdot\bar{z}^2=(2i)(-2i)=-4$,因此 $z\cdot\bar{z}=\sqrt{-4}=2i$,$|z\cdot\bar{z}|=2$,所以 $z\cdot\bar{z}=4$。
答案:B8.已知复数 $z$ 满足 $z(1-i)=2i$,则在复平面内 $z$ 对应的点位于第二象限。
解析:将 $z$ 的实部和虚部表示出来,得到 $z=-\frac{2}{2i}-i=-1-i$,对应的点在第二象限。
答案:B9.满足 $i^3\cdot z=1-3i$ 的复数 $z$ 的共轭复数是 $3+i$。
一、复数选择题1.若复数(1)()(i a i i -+是虚数单位)为纯虚数,则实数a 的值为( ) A .2 B .1 C .0D .1-2.i =( )A .i -B .iC i -D i 3.若20212zi i =+,则z =( )A .12i -+B .12i --C .12i -D .12i +4.已知i 为虚数单位,则复数23ii-+的虚部是( ) A .35 B .35i - C .15- D .15i -5.已知a 为正实数,复数1ai +(i 为虚数单位)的模为2,则a 的值为( )A 3B .1C .2D .36.已知复数z 满足()311z i i +=-,则复数z 对应的点在( )上A .直线12y x =- B .直线12y x = C .直线12x =- D .直线12y7.复数z 满足12i z i ⋅=-,z 是z 的共轭复数,则z z ⋅=( )A B C .3D .58.已知i 为虚数单位,若复数()12iz a R a i+=∈+为纯虚数,则z a +=( )A B .3C .5D .9.设()2211z i i=+++,则||z =( )A B .1C .2D10.若复数z 满足421iz i+=+,则z =( ) A .13i +B .13i -C .3i +D .3i -11.若复数z 满足()322iz i i-+=+,则复数z 的虚部为( ) A .35B .35i -C .35D .35i12.复数11z =,2z 由向量1OZ 绕原点O 逆时针方向旋转3π而得到.则21arg()2z z -的值为( )A .6π B .3π C .23π D .43π 13.在复平面内,已知平行四边形OABC 顶点O ,A ,C 分别表示25-+i ,32i +,则点B 对应的复数的共轭复数为( ) A .17i -B .16i -C .16i --D .17i --14.已知i 是虚数单位,设复数22ia bi i-+=+,其中,a b ∈R ,则+a b 的值为( ) A .75B .75-C .15D .15-15.在复平面内,复数z 对应的点的坐标是(1,1),则zi=( ) A .1i - B .1i --C .1i -+D .1i +二、多选题16.i 是虚数单位,下列说法中正确的有( ) A .若复数z 满足0z z ⋅=,则0z =B .若复数1z ,2z 满足1212z z z z +=-,则120z z =C .若复数()z a ai a R =+∈,则z 可能是纯虚数D .若复数z 满足234z i =+,则z 对应的点在第一象限或第三象限 17.若复数351iz i-=-,则( )A .z =B .z 的实部与虚部之差为3C .4z i =+D .z 在复平面内对应的点位于第四象限18.已知复数z 满足220z z +=,则z 可能为( ). A .0B .2-C .2iD .2i+1-19.已知复数z 满足220z z +=,则z 可能为( ) A .0B .2-C .2iD .2i -20.已知复数12z =-,则下列结论正确的有( )A .1z z ⋅=B .2z z =C .31z =-D .2020122z =-+ 21.(多选题)已知集合{},nM m m i n N ==∈,其中i 为虚数单位,则下列元素属于集合M 的是( )A .()()11i i -+B .11ii-+ C .11ii+- D .()21i -22.下面关于复数的四个命题中,结论正确的是( ) A .若复数z R ∈,则z R ∈ B .若复数z 满足2z ∈R ,则z R ∈ C .若复数z 满足1R z∈,则z R ∈ D .若复数1z ,2z 满足12z z R ∈,则12z z =23.下列说法正确的是( ) A .若2z =,则4z z ⋅=B .若复数1z ,2z 满足1212z z z z +=-,则120z z =C .若复数z 的平方是纯虚数,则复数z 的实部和虛部相等D .“1a ≠”是“复数()()()211z a a i a R =-+-∈是虚数”的必要不充分条件24.已知i 为虚数单位,复数322iz i+=-,则以下真命题的是( ) A .z 的共轭复数为4755i - B .z 的虚部为75i C .3z =D .z 在复平面内对应的点在第一象限25.已知复数1z =-+(i 为虚数单位),z 为z 的共轭复数,若复数zw z=,则下列结论正确的有( )A .w 在复平面内对应的点位于第二象限B .1w =C .w 的实部为12-D .w 26.已知复数z 的共轭复数为z ,且1zi i =+,则下列结论正确的是( )A .1z +=B .z 虚部为i -C .202010102z =-D .2z z z +=27.下面四个命题,其中错误的命题是( )A .0比i -大B .两个复数当且仅当其和为实数时互为共轭复数C .1x yi i +=+的充要条件为1x y ==D .任何纯虚数的平方都是负实数28.已知复数z a =+在复平面内对应的点位于第二象限,且2z = 则下列结论正确的是( ).A .38z =B .zC .z 的共轭复数为1D .24z =29.以下命题正确的是( )A .0a =是z a bi =+为纯虚数的必要不充分条件B .满足210x +=的x 有且仅有iC .“在区间(),a b 内()0f x '>”是“()f x 在区间(),a b 内单调递增”的充分不必要条件D .已知()f x =()1878f x x '=30.设复数z 满足12z i =--,i 为虚数单位,则下列命题正确的是( )A .|z |=B .复数z 在复平面内对应的点在第四象限C .z 的共轭复数为12i -+D .复数z 在复平面内对应的点在直线2y x =-上【参考答案】***试卷处理标记,请不要删除一、复数选择题 1.D 【分析】由复数乘法化复数为代数形式,然后根据复数的分类求解. 【详解】 ,它为纯虚数, 则,解得. 故选:D . 解析:D 【分析】由复数乘法化复数为代数形式,然后根据复数的分类求解. 【详解】2(1)()1(1)i a i a i ai i a a i -+=+--=++-,它为纯虚数,则1010a a +=⎧⎨-≠⎩,解得1a =-. 故选:D .2.B 【分析】由复数除法运算直接计算即可. 【详解】 . 故选:B.解析:B 【分析】由复数除法运算直接计算即可.()21iii+==-.故选:B.3.C【分析】根据复数单位的幂的周期性和复数除法的运算法则进行求解即可.【详解】由已知可得,所以.故选:C解析:C【分析】根据复数单位i的幂的周期性和复数除法的运算法则进行求解即可.【详解】由已知可得202150541222(2)21121i i i i i iz ii i i i i⨯+++++⋅-======-⋅-,所以12z i=-.故选:C4.A【分析】先由复数的除法运算化简复数,再由复数的概念,即可得出其虚部. 【详解】因为,所以其虚部是.故选:A.解析:A【分析】先由复数的除法运算化简复数23ii-+,再由复数的概念,即可得出其虚部.【详解】因为22(3)26133(3)(3)1055i i i iii i i-----===--++-,所以其虚部是35.故选:A.5.A【分析】利用复数的模长公式结合可求得的值.【详解】,由已知条件可得,解得.故选:A.【分析】利用复数的模长公式结合0a >可求得a 的值. 【详解】0a >,由已知条件可得12ai +==,解得a =故选:A.6.C 【分析】利用复数的乘法和除法运算求得复数z 的标准形式,得到对应点的坐标,然后验证即可. 【详解】解:因为,所以复数对应的点是,所以在直线上. 故选:C. 【点睛】本题考查复数的乘方和除法运解析:C 【分析】利用复数的乘法和除法运算求得复数z 的标准形式,得到对应点的坐标,然后验证即可. 【详解】解:因为33111(1)1(1)2(1)2i i z i i z i i --+=-⇔===-+-,所以复数z 对应的点是1,02⎛⎫- ⎪⎝⎭,所以在直线12x =-上. 故选:C. 【点睛】本题考查复数的乘方和除法运算,复数的坐标表示,属基础题.注意:()()()()()3211i 12121i i i i i +=++=-+=-.7.D【分析】求出复数,然后由乘法法则计算. 【详解】 由题意, . 故选:D .解析:D 【分析】求出复数z ,然后由乘法法则计算z z ⋅.由题意12122i z i i i-==-+=--, 22(2)(2)(2)5z z i i i ⋅=---+=--=.故选:D .8.A 【分析】根据复数运算,化简后由纯虚数的概念可求得,.进而求得复数,再根据模的定义即可求得 【详解】由复数为纯虚数,则,解得 则 ,所以,所以 故选:A解析:A 【分析】根据复数运算,化简后由纯虚数的概念可求得a ,.进而求得复数z ,再根据模的定义即可求得z a + 【详解】()()()()()()2221222121122111i a i a a i a ii a z a i a i a i a a a +-++--++====+++-+++由复数()12i z a R a i +=∈+为纯虚数,则222012101a a a a +⎧=⎪⎪+⎨-⎪≠⎪+⎩,解得2a =-则z i =- ,所以2z a i +=--,所以z a += 故选:A9.D 【分析】利用复数的乘除法运算法则将化简,然后求解. 【详解】 因为, 所以,则. 故选:D . 【点睛】本题考查复数的运算,解答时注意复数的乘法运算符合多项式乘法的运算法则,计算复数的除法时,解析:D 【分析】利用复数的乘除法运算法则将z 化简,然后求解||z . 【详解】 因为()()()()2221211*********i z i i i i i i i i i -=++=+++=-++-=+++-,所以1z i =-,则z = 故选:D . 【点睛】本题考查复数的运算,解答时注意复数的乘法运算符合多项式乘法的运算法则,计算复数的除法时,需要给分子分母同乘以分母的共轭复数然后化简.10.C 【分析】首先根据复数的四则运算求出,然后根据共轭复数的概念求出. 【详解】 ,故. 故选:C.解析:C 【分析】首先根据复数的四则运算求出z ,然后根据共轭复数的概念求出z . 【详解】()()()()421426231112i i i i z i i i i +-+-====-++-,故3z i =+. 故选:C.11.A 【分析】由复数的除法法则和乘法法则计算出,再由复数的定义得结论. 【详解】 由题意,得, 其虚部为, 故选:A.解析:A 【分析】由复数的除法法则和乘法法则计算出z ,再由复数的定义得结论. 【详解】由题意,得()()()()()23343313343434552i i ii z ii i i i ----====-++-+, 其虚部为35, 故选:A.12.C 【分析】写出复数的三角形式,绕原点逆时针方向旋转得到复数的三角形式,从而求得的三角形式得解. 【详解】 ,,所以复数在第二象限,设幅角为, 故选:C 【点睛】在复平面内运用复数的三解析:C 【分析】写出复数11z =的三角形式1cos 0sin 0z i =+,绕原点O 逆时针方向旋转3π得到复数2z 的三角形式,从而求得212z z -的三角形式得解. 【详解】11z =,1cos 0sin 0z i ∴=+,121(cossin )332Z i O OZ ππ=+=2111()2222z z i --∴=+所以复数在第二象限,设幅角为θ,tan θ=23πθ∴=故选:C 【点睛】在复平面内运用复数的三角形式是求得幅角的关键.13.A【分析】根据复数的几何意义得出坐标,由平行四边形得点坐标,即得点对应复数,从而到共轭复数. 【详解】 由题意,设,∵是平行四边形,AC 中点和BO 中点相同, ∴,即,∴点对应是,共轭复数为.解析:A 【分析】根据复数的几何意义得出,A C 坐标,由平行四边形得B 点坐标,即得B 点对应复数,从而到共轭复数. 【详解】由题意(2,5),(3,2)A C -,设(,)B x y ,∵OABC 是平行四边形,AC 中点和BO 中点相同, ∴023052x y +=-+⎧⎨+=+⎩,即17x y =⎧⎨=⎩,∴B 点对应是17i +,共轭复数为17i -.故选:A .14.D 【分析】先化简,求出的值即得解. 【详解】 , 所以. 故选:D解析:D 【分析】 先化简345ia bi -+=,求出,ab 的值即得解. 【详解】22(2)342(2)(2)5i i ia bi i i i ---+===++-,所以341,,555a b a b ==-∴+=-. 故选:D15.A 【分析】根据复数对应的点的坐标是,得到,再利用复数的除法求解.【详解】因为在复平面内,复数对应的点的坐标是,所以,所以,故选:A解析:A【分析】根据复数z 对应的点的坐标是(1,1),得到1z i =+,再利用复数的除法求解.【详解】因为在复平面内,复数z 对应的点的坐标是(1,1),所以1z i =+, 所以11i i i z i+==-, 故选:A 二、多选题16.AD【分析】A 选项,设出复数,根据共轭复数的相关计算,即可求出结果;B 选项,举出反例,根据复数模的计算公式,即可判断出结果;C 选项,根据纯虚数的定义,可判断出结果;D 选项,设出复数,根据题解析:AD【分析】A 选项,设出复数,根据共轭复数的相关计算,即可求出结果;B 选项,举出反例,根据复数模的计算公式,即可判断出结果;C 选项,根据纯虚数的定义,可判断出结果;D 选项,设出复数,根据题中条件,求出复数,由几何意义,即可判断出结果.【详解】A 选项,设(),z a bi a b R =+∈,则其共轭复数为(),z a bi a b R =-∈, 则220z z a b ⋅=+=,所以0a b ,即0z =;A 正确;B 选项,若11z =,2z i =,满足1212z z z z +=-,但12z z i =不为0;B 错;C 选项,若复数()z a ai a R =+∈表示纯虚数,需要实部为0,即0a =,但此时复数0z =表示实数,故C 错;D 选项,设(),z a bi a b R =+∈,则()2222234z a bi a abi b i =+=+-=+,所以22324a b ab ⎧-=⎨=⎩,解得21a b =⎧⎨=⎩或21a b =-⎧⎨=-⎩,则2z i =+或2z i =--, 所以其对应的点分别为()2,1或()2,1--,所以对应点的在第一象限或第三象限;D 正确. 故选:AD.17.AD【分析】根据复数的运算先求出复数z ,再根据定义、模、几何意义即可求出.【详解】解:,,z 的实部为4,虚部为,则相差5,z 对应的坐标为,故z 在复平面内对应的点位于第四象限,所以AD 正解析:AD【分析】根据复数的运算先求出复数z ,再根据定义、模、几何意义即可求出.【详解】 解:()()()()351358241112i i i i z i i i i -+--====---+,z ∴==z 的实部为4,虚部为1-,则相差5,z 对应的坐标为()41-,,故z 在复平面内对应的点位于第四象限,所以AD 正确, 故选:AD.18.AC【分析】令,代入原式,解出的值,结合选项得出答案.【详解】令,代入,得,解得,或,或,所以,或,或.故选:AC【点睛】本题考查复数的运算,考查学生计算能力,属于基础题.解析:AC【分析】令()i ,z a b a b R =+∈,代入原式,解出,a b 的值,结合选项得出答案.【详解】令()i ,z a b a b R =+∈,代入220z z +=,得222i 0a b ab -+=,解得00a b =⎧⎨=⎩,或02a b =⎧⎨=⎩,或02a b =⎧⎨=-⎩, 所以0z =,或2i z =,或2i z =-.故选:AC【点睛】本题考查复数的运算,考查学生计算能力,属于基础题.19.ACD【分析】令代入已知等式,列方程组求解即可知的可能值.【详解】令代入,得:,∴,解得或或∴或或.故选:ACD【点睛】本题考查了已知等量关系求复数,属于简单题.解析:ACD【分析】令z a bi =+代入已知等式,列方程组求解即可知z 的可能值.【详解】令z a bi =+代入22||0z z +=,得:2220a b abi -+=,∴22020a b ab ⎧⎪-+=⎨=⎪⎩,解得0,0a b =⎧⎨=⎩或0,2a b =⎧⎨=⎩或0,2,a b =⎧⎨=-⎩ ∴0z =或2z i =或2z i =-.故选:ACD【点睛】本题考查了已知等量关系求复数,属于简单题.20.ACD【分析】分别计算各选项的值,然后判断是否正确,计算D 选项的时候注意利用复数乘方的性质.因为,所以A 正确;因为,,所以,所以B 错误;因为,所以C 正确;因为,所以,所以D 正确解析:ACD【分析】分别计算各选项的值,然后判断是否正确,计算D 选项的时候注意利用复数乘方的性质.【详解】因为111312244z z ⎛⎫⎛⎫=+= ⎪⎪ ⎪⎪⎝⎭⎭=⎝⋅,所以A 正确;因为221122z ⎛⎫-=-- ⎪ ⎪⎝⎭=,122z =+,所以2z z ≠,所以B 错误;因为3211122z z z ⎛⎫⎛⎫=⋅=-=- ⎪⎪ ⎪⎪⎝⎭⎝⎭,所以C 正确;因为6331z z z =⋅=,所以()202063364431112222z z z z z ⨯+⎛⎫===⋅=-⋅-=-+ ⎪ ⎪⎝⎭,所以D 正确,故选:ACD.【点睛】本题考查复数乘法与乘方的计算,其中还涉及到了共轭复数的计算,难度较易.21.BC【分析】根据集合求出集合内部的元素,再对四个选项依次化简即可得出选项.【详解】根据题意,中,时,;时,;时,;时,,.选项A 中,;选项B 中,;选项C 中,;选项D 中,.解析:BC根据集合求出集合内部的元素,再对四个选项依次化简即可得出选项.【详解】 根据题意,{},n M m m i n N ==∈中, ()4n k k N =∈时,1n i =;()41n k k N =+∈时,n i i =;()42n k k N =+∈时,1n i =-;()43n k k N =+∈时,n i i =-,{}1,1,,M i i ∴=--.选项A 中,()()112i i M -+=∉;选项B 中,()()()211111i i i i i i M --==-+-∈+; 选项C 中,()()()211111i i i i i i M ++==-+∈-; 选项D 中,()212i i M -=-∉.故选:BC.【点睛】此题考查复数的基本运算,涉及复数的乘方和乘法除法运算,准确计算才能得解. 22.AC【分析】根据复数的运算法则,以及复数的类型,逐项判断,即可得出结果.【详解】A 选项,设复数,则,因为,所以,因此,即A 正确;B 选项,设复数,则,因为,所,若,则;故B 错;C 选项,设解析:AC【分析】根据复数的运算法则,以及复数的类型,逐项判断,即可得出结果.【详解】A 选项,设复数(,)z a bi a b R =+∈,则(i ,)z a b a b =-∈R ,因为z R ∈,所以0b =,因此z a R =∈,即A 正确;B 选项,设复数(,)z a bi a b R =+∈,则()22222z a bi a b abi =+=-+,因为2z ∈R ,所0ab =,若0,0a b =≠,则z R ∉;故B 错;C 选项,设复数(,)z a bi a b R =+∈,则22222211a bi a b i z a bi a b a b a b -===-++++, 因为1R z∈,所以220b a b =+,即0b =,所以z a R =∈;故C 正确; D 选项,设复数1(,)z a bi a b R =+∈,2(,)z c di c d R =+∈,则()()()()12z z a bi c di ac bd ad bc i =++=-++,因为12z z R ∈,所以0ad bc +=,若11a b =⎧⎨=⎩,22c d =⎧⎨=-⎩能满足0ad bc +=,但12z z ≠,故D 错误.故选:AC.【点睛】本题主要考查复数相关命题的判断,熟记复数的运算法则即可,属于常考题型.23.AD【分析】由求得判断A ;设出,,证明在满足时,不一定有判断B ;举例说明C 错误;由充分必要条件的判定说明D 正确.【详解】若,则,故A 正确;设,由,可得则,而不一定为0,故B 错误;当时解析:AD【分析】 由z 求得z z ⋅判断A ;设出1z ,2z ,证明在满足1212z z z z +=-时,不一定有120z z =判断B ;举例说明C 错误;由充分必要条件的判定说明D 正确.【详解】 若2z =,则24z z z ⋅==,故A 正确;设()11111,z a bi a b R =+∈,()22222,z a b i a b R =+∈ 由1212z z z z +=-,可得()()()()222222121212121212z z a a b b z z a a b b +=+++=-=-+-则12120a a b b +=,而()()121122121212121212122z z a bi a b i a a bb a b i b a i a a a b i b a i =++=-++=++不一定为0,故B 错误;当1z i =-时22z i =-为纯虚数,其实部和虚部不相等,故C 错误;若复数()()()211z a a i a R =-+-∈是虚数,则210a -≠,即1a ≠± 所以“1a ≠”是“复数()()()211z a a i a R =-+-∈是虚数”的必要不充分条件,故D 正确; 故选:AD【点睛】本题考查的是复数的相关知识,考查了学生对基础知识的掌握情况,属于中档题.24.AD【分析】先利用复数的除法、乘法计算出,再逐项判断后可得正确的选项.【详解】,故,故A 正确.的虚部为,故B 错,,故C 错,在复平面内对应的点为,故D 正确.故选:AD.【点睛】本题考解析:AD【分析】先利用复数的除法、乘法计算出z ,再逐项判断后可得正确的选项.【详解】()()32232474725555i i i i i z i ++++====+-,故4755i z =-,故A 正确.z 的虚部为75,故B 错,355z ==≠,故C 错, z 在复平面内对应的点为47,55⎛⎫ ⎪⎝⎭,故D 正确. 故选:AD.【点睛】本题考查复数的概念、复数的运算以及复数的几何意义,注意复数(),z a bi a b R =+∈的虚部为b ,不是bi ,另外复数的除法运算是分子分母同乘以分母的共轭复数.25.ABC【分析】对选项求出,再判断得解;对选项,求出再判断得解;对选项复数的实部为,判断得解;对选项,的虚部为,判断得解.【详解】对选项由题得.所以复数对应的点为,在第二象限,所以选项正确解析:ABC【分析】对选项,A 求出1=2w -+,再判断得解;对选项B ,求出1w =再判断得解;对选项,C 复数w 的实部为12-,判断得解;对选项D ,w 判断得解. 【详解】对选项,A 由题得1,z =-1=2w ∴===-.所以复数w 对应的点为1(2-,在第二象限,所以选项A 正确;对选项B ,因为1w ==,所以选项B 正确; 对选项,C 复数w 的实部为12-,所以选项C 正确;对选项D ,w 所以选项D 错误. 故选:ABC【点睛】 本题主要考查复数的运算和共轭复数,考查复数的模的计算,考查复数的几何意义,考查复数的实部和虚部的概念,意在考查学生对这些知识的理解掌握水平.26.ACD【分析】先利用题目条件可求得,再根据复数的模的计算公式,以及复数的有关概念和复数的四则运算法则即可判断各选项的真假.【详解】由可得,,所以,虚部为;因为,所以,.故选:ACD .【解析:ACD【分析】先利用题目条件可求得z ,再根据复数的模的计算公式,以及复数的有关概念和复数的四则运算法则即可判断各选项的真假.【详解】由1zi i =+可得,11i z i i+==-,所以12z i +=-==,z 虚部为1-;因为2422,2z i z =-=-,所以()5052020410102z z ==-,2211z z i i i z +=-++=-=.故选:ACD .【点睛】本题主要考查复数的有关概念的理解和运用,复数的模的计算公式的应用,复数的四则运算法则的应用,考查学生的数学运算能力,属于基础题. 27.ABC【分析】根据虚数不能比大小可判断A 选项的正误;利用特殊值法可判断B 选项的正误;利用特殊值法可判断C 选项的正误;利用复数的运算可判断D 选项的正误.【详解】对于A 选项,由于虚数不能比大小,解析:ABC【分析】根据虚数不能比大小可判断A 选项的正误;利用特殊值法可判断B 选项的正误;利用特殊值法可判断C 选项的正误;利用复数的运算可判断D 选项的正误.【详解】对于A 选项,由于虚数不能比大小,A 选项错误;对于B 选项,()()123i i ++-=,但1i +与2i -不互为共轭复数,B 选项错误; 对于C 选项,由于1x yi i +=+,且x 、y 不一定是实数,若取x i =,y i =-,则1x yi i +=+,C 选项错误;对于D 选项,任取纯虚数()0,ai a a R ≠∈,则()220ai a =-<,D 选项正确. 故选:ABC.【点睛】本题考查复数相关命题真假的判断,涉及共轭复数的概念、复数相等以及复数的计算,属于基础题.28.AB【分析】利用复数的模长运算及在复平面内对应的点位于第二象限求出 ,再验算每个选项得解.【详解】解:,且,复数在复平面内对应的点位于第二象限选项A:选项B: 的虚部是选项C:解析:AB【分析】利用复数2z =的模长运算及z a =+在复平面内对应的点位于第二象限求出a ,再验算每个选项得解.【详解】解:z a =+,且2z =224a +∴=,=1a ±复数z a =+在复平面内对应的点位于第二象限1a ∴=-选项A : 3323(1)(1)+3(1)+3())8-+=---+=选项B : 1z =-选项C : 1z =-的共轭复数为1z =--选项D : 222(1)(1)+2()2-+=--=--故选:AB .【点睛】本题考查复数的四则运算及共轭复数,考查运算求解能力.求解与复数概念相关问题的技巧:复数的分类、复数的相等、复数的模及共轭复数的概念都与复数的实部、虚部有关,所以解答与复数相关概念有关的问题时,需把所给复数化为代数形式,即()a bi a b R ∈+,的形式,再根据题意求解.29.AC【分析】利用纯虚数的概念以及必要不充分条件的定义可判断A 选项的正误;解方程可判断B 选项的正误;利用导数与函数单调性的关系结合充分不必要条件的定义可判断C 选项的正误;利用基本初等函数的导数公式解析:AC【分析】利用纯虚数的概念以及必要不充分条件的定义可判断A 选项的正误;解方程210x +=可判断B 选项的正误;利用导数与函数单调性的关系结合充分不必要条件的定义可判断C 选项的正误;利用基本初等函数的导数公式可判断D 选项的正误.综合可得出结论.【详解】对于A 选项,若复数z a bi =+为纯虚数,则0a =且0b ≠,所以,0a =是z a bi =+为纯虚数的必要不充分条件,A 选项正确;对于B 选项,解方程210x +=得x i =±,B 选项错误;对于C 选项,当(),x a b ∈时,若()0f x '>,则函数()f x 在区间(),a b 内单调递增, 即“在区间(),a b 内()0f x '>”⇒“()f x 在区间(),a b 内单调递增”.反之,取()3f x x =,()23f x x '=,当()1,1x ∈-时,()0f x '≥, 此时,函数()y f x =在区间()1,1-上单调递增,即“在区间(),a b 内()0f x '>”⇐/“()f x 在区间(),a b 内单调递增”.所以,“在区间(),a b 内()0f x '>”是“()f x 在区间(),a b 内单调递增”的充分不必要条件.C 选项正确;对于D 选项,()11172488f x x x ++===,()1878f x x -'∴=,D 选项错误. 故选:AC.【点睛】本题考查命题真假的判断,涉及充分条件与必要条件的判断、实系数方程的根以及导数的计算,考查推理能力与计算能力,属于中等题. 30.AC【分析】根据复数的模、复数对应点的坐标、共轭复数等知识,选出正确选项.【详解】,A 正确;复数z 在复平面内对应的点的坐标为,在第三象限,B 不正确;z 的共轭复数为,C 正确;复数z 在复平面内对解析:AC【分析】根据复数的模、复数对应点的坐标、共轭复数等知识,选出正确选项.【详解】||z ==A 正确;复数z 在复平面内对应的点的坐标为(1,2)--,在第三象限,B 不正确;z 的共轭复数为12i -+,C 正确;复数z 在复平面内对应的点(1,2)--不在直线2y x =-上,D 不正确.故选:AC【点睛】本小题主要考查复数的有关知识,属于基础题.。
(完整版)复数基础练习题附答案一、单选题1.设z 的共轭复数是z ,若4i z z -=,8z z ⋅=,则z =( ) A .22i --B .22i +C .22i -+D .22i +或22i -+2.已知复数1i z =-,则2i z z -=( ) A .2 B .3 C.D.3.已知复数12z i =-,则z 在复平面内对应的点关于虚轴对称的点是( ) A .(1,2)-B .(1,2)C .(2,1)-D .(1,2)--4.已知复数z 满足()2i 32i +=+z 则||z =( ) ABCD5.复数(2i 的虚部为( ) A .2 B.C.2-D .06.在复平面内,复数z 满足()()1i 1i ,z a b a b R +=++∈,且z 所对应的点在第一象限或坐标轴的非负半轴上,则2+a b 的最小值为( ) A .2-B .1-C .1D .27.向量1OZ ,2OZ ,分别对应非零复数z 1,z 2,若1OZ ⊥2OZ ,则12Z Z 是( ) A .负实数 B .纯虚数C .正实数D .虚数a +b i(a ,b ∈R ,a ≠0) 8.设复数z 满足i 3i z z --=,则z 的虚部为( )A .2i -B .2iC .2-D .2 9.复数z 满足:(2i)5z +=(i 是虚数单位),则复数z 的虚部为( )A .2-B .2C .i -D .1-10.已知m 为实数,则“1m =”是“复数()211i z m m =-++为纯虚数”的( )A .充分不必要条件B .必要不充分条件C .充要条件D .既不充分也不必要条件 11.向量a =(-2,1)所对应的复数是( )A .z =1+2iB .z =1-2iC .z =-1+2iD .z =-2+i12.若(-3a +b i)-(2b +a i)=3-5i ,a ,b ∈R ,则a +b =( )A .75B .-115C .-185D .513.已知12z i =-,则(i)z z -的模长为( ) A .4 BC .2D .10 14.已知i 为虚数单位,则复数1i -+在复平面内对应的点位于( ) A .第一象限B .第二象限C .第三象限D .第四象限15.已知复数z 满足()43i 5i z +=,则z =( ) A .1BC .15D .516.已知34i z =+,则()i z z -=( ) A .1117i +B .1917i +C .1117i -D .1923i +17.已知复数z 满足(34i)5(1i)z +⋅=-,则z 的虚部是( ) A .15-B .75-C .1i 5-D .7i 5-18.设复数1i z =-(i 是虚数单位),则复数22z z+=( ) A .1i - B .1i +C .2i +D .2i -19.复数5ii 2iz -=-+在复平面内对应的点位于( ) A .第一象限B .第二象限C .第三象限D .第四象限20.若复数()()2i ,z a b a b =+-∈R ,在复平面内对应的点在直线20x y --=上,则a b -=( )A .4-B .0C .2D .4二、填空题21.已知复数z 满足1z =,则22z i +-的最大值为______. 22.若复数z 满足i 3i=iz -+,则z =________. 23.若复数2iiz -=-,则z =_______. 24.若()1i 1i z +=-,则z =_______ 25.已知复数z =,则复数z 的虚部为__________. 26.设z C ∈,且1i 0z z +--=,则i z +的最小值为________.27.若()i 1)(,x y x x y R +=-∈,则2x y +的值为__________. 28.设复数z 满足()1i 22i z +=-(i 为虚数单位),则z =______.29.在复平面内,复数1z 和2z 对应的点分别是(21)A ,和(01)B ,,则12zz=_______.30.若复数2(1i)34iz +=+,则z =__________.31.设i是虚数单位,复数z =,则z =___________. 32.若存在复数z 同时满足i 1z -=,33i z t -+=,则实数t 的取值范围是_______.33.若z 1=a +2i ,z 2=3-4i ,且12z z 为纯虚数,则实数a 的值为________.34.计算cos 40isin 40cos10isin10________.35.方程()()2223256i 0x x x x --+-+=的实数解x =________.36.下列命题:①若a R ∈,则()1i a +是纯虚数;②若()()()22132i x x x x R -+++∈是纯虚数,则1x =±;③两个虚数不能比较大小. 其中正确命题的序号是________.37.若复数22(9)(23)i z m m m =-++-是纯虚数,其中m ∈R ,则|z |=________. 38.已知复数z 满足2i z +∈R ,4zz-是纯虚数,则z 的共轭复数z =______. 39.已知复数z 1=a 2-3-i ,z 2=-2a +a 2i ,若z 1+z 2是纯虚数,则实数a =________.40.若复数1z ,2z 满足112i z =-,234i z =+(i 是虚数单位),则12z z ⋅的虚部为___________. 三、解答题41.已知复数z满足||z =z 2的虚部为2. (1)求复数z ;(2)设22,,z z z z -在复平面上的对应点分别为A 、B 、C ,求△ABC 的面积.42.若43i 3i m m -+(m ∈R)为纯虚数,求42i 2i m m +⎛⎫⎪-⎝⎭的值. 43.已知复数z 1i ,z 2=12-+ (1)求|z 1|及|z 2|并比较大小;(2)设C z ∈,满足条件|z 2|≤|z |≤|z 1|的点Z 的轨迹是什么图形?44.(1)解方程()20x x x C +=∈;(2)已知32i -+是方程()220,x px q p q R ++=∈的一个根,求实数,p q 的值.45.(1)已知设方程α,β是方程220x x a ++=的两根,其中a R ∈,则||||αβ+的值;(2)关于x的方程243i0∈,求||a的最小值,并求取+++=有实根,其中a Cx ax得最小值时方程的根.【参考答案】一、单选题1.D2.D3.D4.A5.C6.B7.B8.C9.D10.C11.D12.B13.B14.B15.A16.B17.B18.A19.C20.B二、填空题21.12223.12i-24.i25.26. 27.1 28.229.12i -##2i+1- 30.825i 625-31.32.[]4,6 33.833412i 35.2 36.③ 37.1238.22i +##2i 2+ 39.3 40.-2 三、解答题41.(1)1i z =+或1i z =-- (2)1 【解析】 【分析】(1)设()i ,R z x y x y =+∈,根据已知条件列方程求得,x y ,由此求得z . (2)求得,,A B C 的坐标,从而求得三角形ABC 的面积. (1)设()i ,R z x y x y =+∈,222x y +=①,2222i z x y xy =-+的虚部为2,所以22,1xy xy ==②,由①②解得11x y =⎧⎨=⎩或11y x =-⎧⎨=-⎩. 所以1i z =+或1i z =--.(2)当1i z =+时,22i z =,21i z z -=-, 所以()()()1,1,0,2,1,1A B C -,2AC =,所以三角形ABC 的面积为11212⨯⨯=. 当1i z =--时,22i z =,213i z z -=--, 所以()()()1,1,0,2,1,3A B C ----,2AC =,所以三角形ABC 的面积为12112⨯⨯=.42.【解析】 【分析】由题可得21230130m m ⎧-=⎨-≠⎩,进而即得.【详解】因为243i (43i)(3i)3i 9m m m m m ---=++=22(123)13i 9m m m --+是纯虚数, 所以21230130m m ⎧-=⎨-≠⎩,,解得m =±2.于是当m =2时,4442i 22i 1i 2i 22i 1i m m +++⎛⎫⎛⎫⎛⎫== ⎪ ⎪ ⎪---⎝⎭⎝⎭⎝⎭=i 4=1; 当2m =-时,4442i 22i 1i 2i 22i 1i m m +--⎛⎫⎛⎫⎛⎫== ⎪ ⎪ ⎪-++⎝⎭⎝⎭⎝⎭=4(i)-=1. 综上,42i 2i m m +⎛⎫⎪-⎝⎭=1.43.(1)12122,1,z z z z ==>(2)以O 为圆心,以1和2为半径的两圆之间的圆环(包含圆周) 【解析】 【分析】(1)根据复数模的计算公式可求得1||z ,2||z 的值; (2)根据复数几何意义可解决此问题. (1)解:(1)13i z =+,212z =-,1||2z ∴,2||1z =,∴12z z >; (2)解:由21||||||z z z ≤≤,得1||2z ≤≤,根据复数几何意义可知复数z 对应的点到原点的距离, 所以|z |≥1表示|z |=1所表示的圆外部所有点组成的集合, |z |≤2表示|z |=2所表示的圆内部所有点组成的集合,所以复数z 对应的点Z 的轨迹是以原点O 为圆心,以1和2为半径的圆之间的部分(包括两边界).44.(1)0x =或i x =±;(2)12,26p q ==. 【解析】 【分析】(1)设出()i ,x a b a b =+∈R ,带入等式,再利用两复数相等:实部等于实部,虚部等于虚部.列出方程组即可解出答案.(2)将32i -+带入()220,x px q p q R ++=∈,化简后再利用两复数相等:实部等于实部,虚部等于虚部.列出方程组即可解出答案. 【详解】(1)设()i ,x a b a b =+∈R ,由20x x +=,得222i 0a b ab -+,所以220,0,a b ab ⎧⎪-=⎨=⎪⎩当0a =时,1,1,0b =-; 当0b =时,0a =. 所以0x =或i x =±.(2)因为32i -+是方程()220,x px q p q ++=∈R 的一个根,所以()22(32i)32i 0p q -++-++=,整理,得()310212i 0q p p -++-=, 即()2120,3100p q p ⎧-=⎨-+=⎩解得12,26p q ==. 【点睛】本题考查复数的运算,属于基础题.解本类题型的关键在于利用两复数相等:实部等于实部,虚部等于虚部.45.(1)()()()0201a a a a αβ⎧<⎪+=≤≤⎨⎪>⎩;(2)min ||a =3i)+或3i)+.【解析】 【分析】(1)求出判别式4(1)a ∆=-,对a 分类讨论:当01a 时,当0a <时,当1a >时三种情况,分别求出||||αβ+;(2)设0x 为方程的实根,代入原方程,表示出a ,利用基本不等式求出||a 的最小值,并求取得最小值时方程的根. 【详解】(1)判别式444(1)a a ∆=-=-, ①若0∆,即1a ,则α,β是实根,则2αβ+=-,a αβ=,则2222(||||)2||()22||422||a a αβαβαβαβαβαβ+=++=+-+=-+,故||||αβ+,当01a 时,||||2αβ+=, 当0a <时,||||αβ+=②若∆<0,即1a >,则α,β是虚根,1α=-,1β=-,故||||αβ+==综上:()()()0201a a a a αβ⎧<⎪+=≤≤⎨⎪>⎩.(2)设0x 为方程的实根,则20043i 0x ax +++=, 所以00043i a x x x =---,则20020004325||2()2()2818a x x xx x =++=++, 当202025x x =即0x =||min a =当0x =3i)+,当0x =3i)+.。
复数练习题(有答案)1.复数选择题1.若复数 $z=\frac{1}{1-i}$,则 $z$ 的共轭复数为()。
A。
$\frac{1+i}{2}$ B。
$\frac{1-i}{2}$ C。
$\frac{-1+i}{2}$ D。
$\frac{-1-i}{2}$2.已知复数 $z=\frac{11+22i}{1-i(m-m^2i)}$ 为纯虚数,则实数 $m=$()。
A。
$1$ B。
$-1$ C。
$i$ D。
$-i$3.若复数 $z=(2+i)i$(其中 $i$ 为虚数单位),则复数$z$ 的模为()。
A。
$5$4.复数 $z=\frac{3i}{5-2i}$ 的虚部是()。
A。
$\frac{15}{29}$ B。
$\frac{3}{29}$ C。
$-\frac{3}{29}$ D。
$-\frac{15}{29}$5.已知 $2i+1=z\cdot5\left(5-\frac{1}{z}\right)$,则$z=$()。
A。
$1$ B。
$3$ C。
$2$ D。
$-2$6.复数 $z$ 满足 $i\cdot z=1-2i$,$z$ 是 $z$ 的共轭复数,则 $z\cdot z=$()。
A。
$5$ B。
$-5$ C。
$5i$ D。
$-5i$7.已知 $i$ 是虚数单位,则复数 $\frac{4i}{1+i}$ 在复平面内对应的点在()。
A。
第一象限 B。
第二象限 C。
第三象限 D。
第四象限8.已知 $i$ 为虚数单位,若复数 $z=5+3i$,则$\frac{z}{i}=$()。
A。
$-3+5i$ B。
$5-3i$ C。
$-5+3i$ D。
$3+5i$9.若复数 $z=\frac{a+i}{1-i}$,$a\in R$,为纯虚数,则$z+a=$()。
A。
$1+2i$ B。
$2i-1$ C。
$2+2i$ D。
$-2i+1$10.已知复数 $z$ 满足 $\frac{z}{2+i}=2-i$,则复数 $z$ 在复平面内对应的点在()。
1 复数的四则运算精练(附答案)1.2i12i -=+( )A .1B .−1C .iD .−i2.若312i i z =++,则||=z ( )A .0B .1CD .23.已知z =131ii ++,(i 是虚数单位)的共轭复数为z ,则z 在复平面上对应的点位于( )A .第一象限B .第二象限C .第三象限D .第四象限 4.计算312i i +-的值是 ( )A .715i -B .715i + C .713i - D .713i +5.已知2i z =-,则()i z z +=( )A .62i -B .42i -C .62i +D .42i + 6.已知2(1)32i z i -=+,则z =( )A .312i -- B .312i -+ C .32i -+ D .32i --7.已知复数z 满足11i zz -=-,则z =( )A .21i 55-+B .21i 55-- C .21i 55+ D .21i 55- 8.若()11+=-z i i ,则z =( )A .1–iB .1+iC .–iD .i 9.已知a R ∈,()13ai i i +=+,(i 为虚数单位),则=a ( ) A .1- B .1 C .3- D .3 10.i 是虚数单位,复数92i2i +=+_____________.11.已知复数()()112z i i =++,其中i 是虚数单位,则z 的虚部为___________. 12.已知复数i 3i z =+(i 为虚数单位),则z =__________.213.根据下列条件,求z .(1)()1i 2z +=;(2)1i 44i z z -+=-+.14.已知复数2(1)(23)z m m m m i =-++-,当m 取何实数值时,复数z 是: (1)纯虚数;(2)25z i =+.15.复数()()()2152615z i m i m i =++-+-.(1)实数m 取什么数时,z 是实数;(2)实数m 取什么数时,z 是纯虚数;(3)实数m 取什么数时,z 对应的点在直线70x y ++=上.3参考答案:1.D2.C3.D4.A5.C6.B7.D8.D9.C10.4i -11.3.1213.(1)1i - (2)17i 22+14.(1)0m =;(2)2m =. 15.(1)5m =或3-;(2)2m =-;(3)12m =或2-。
一、复数选择题1.复数11z i=-,则z 的共轭复数为( )A .1i -B .1i +C .1122i + D .1122i - 2.已知复数()2m m m iz i--=为纯虚数,则实数m =( )A .-1B .0C .1D .0或13.若复数(2)z i i =+(其中i 为虚数单位),则复数z 的模为( )A .5BC .D .5i4.复数312iz i=-的虚部是( ) A .65i - B .35iC .35D .65-5.))5511--+=( )A .1B .-1C .2D .-2 6.复数z 满足12i z i ⋅=-,z 是z 的共轭复数,则z z ⋅=( )A B C .3D .57.已知i 是虚数单位,则复数41ii+在复平面内对应的点在( ) A .第一象限B .第二象限C .第三象限D .第四象限8.已知i 为虚数单位,若复数()12iz a R a i+=∈+为纯虚数,则z a +=( )A B .3C .5D .9.若复数1211iz i+=--,则z 在复平面内的对应点位于( ) A .第一象限B .第二象限C .第三象限D .第四象限10.已知复数z 满足202122z i i i+=+-+,则复数z 在复平面内对应的点在( )A .第一象限B .第二象限C .第三象限D .第四象限11.复数12iz i=+(i 为虚数单位)在复平面内对应的点位于( ) A .第一象限B .第二象限C .第三象限D .第四象限12.在复平面内,复数z 对应的点为(,)x y ,若22(2)4x y ++=,则( ) A .22z +=B .22z i +=C .24z +=D .24z i +=13.设a +∈R ,复数()()()242121i i z ai ++=-,若1z =,则a =( )A .10B .9C .8D .714.若复数()()1i 3i a +-(i 为虚数单位)的实部和虚部互为相反数,则实数a =( ) A .1-B .12-C .13D .115.设复数满足(12)i z i +=,则||z =( )A .15B C D .5二、多选题16.已知复数z 满足220z z +=,则z 可能为( ). A .0B .2-C .2iD .2i+1-17.已知复数(),z x yi x y R =+∈,则( )A .20zB .z 的虚部是yiC .若12z i =+,则1x =,2y =D .z =18.(多选题)已知集合{},nM m m i n N ==∈,其中i 为虚数单位,则下列元素属于集合M 的是( ) A .()()11i i -+ B .11ii-+ C .11ii+- D .()21i -19.设复数z 满足1z i z+=,则下列说法错误的是( ) A .z 为纯虚数B .z 的虚部为12i -C .在复平面内,z 对应的点位于第三象限D .z =20.若复数z 满足()234z i i +=+(i 为虚数单位),则下列结论正确的有( )A .z 的虚部为3B .z =C .z 的共轭复数为23i +D .z 是第三象限的点21.已知复数1cos 2sin 222z i ππθθθ⎛⎫=++-<< ⎪⎝⎭(其中i 为虚数单位),则( )A .复数z 在复平面上对应的点可能落在第二象限B .z 可能为实数C .2cos z θ=D .1z 的实部为12- 22.下列说法正确的是( ) A .若2z =,则4z z ⋅=B .若复数1z ,2z 满足1212z z z z +=-,则120z z =C .若复数z 的平方是纯虚数,则复数z 的实部和虛部相等D .“1a ≠”是“复数()()()211z a a i a R =-+-∈是虚数”的必要不充分条件23.已知i 为虚数单位,复数322iz i+=-,则以下真命题的是( ) A .z 的共轭复数为4755i - B .z 的虚部为75i C .3z =D .z 在复平面内对应的点在第一象限24.已知i 为虚数单位,以下四个说法中正确的是( ).A .234i i i i 0+++=B .3i 1i +>+C .若()2z=12i +,则复平面内z 对应的点位于第四象限D .已知复数z 满足11z z -=+,则z 在复平面内对应的点的轨迹为直线 25.任何一个复数z a bi =+(其中a 、b R ∈,i 为虚数单位)都可以表示成:()cos sin z r i θθ=+的形式,通常称之为复数z 的三角形式.法国数学家棣莫弗发现:()()()n cos sin co i s s nn n z i n r i r n n N θθθθ+==+⎡⎤⎣∈⎦+,我们称这个结论为棣莫弗定理.根据以上信息,下列说法正确的是( ) A .22z z = B .当1r =,3πθ=时,31z =C .当1r =,3πθ=时,122z =- D .当1r =,4πθ=时,若n 为偶数,则复数n z 为纯虚数26.已知复数12ω=-,其中i 是虚数单位,则下列结论正确的是( )A .1ω=B .2ω的虚部为C .31ω=-D .1ω在复平面内对应的点在第四象限27.对于复数(,)z a bi a b R =+∈,下列结论错误..的是( ). A .若0a =,则a bi +为纯虚数 B .若32a bi i -=+,则3,2a b == C .若0b =,则a bi +为实数 D .纯虚数z 的共轭复数是z -28.已知复数z 满足23z z iz ai ⋅+=+,a R ∈,则实数a 的值可能是( )A .1B .4-C .0D .529.给出下列命题,其中是真命题的是( ) A .纯虚数z 的共轭复数是z -B .若120z z -=,则21z z =C .若12z z +∈R ,则1z 与2z 互为共轭复数D .若120z z -=,则1z 与2z 互为共轭复数 30.已知i 为虚数单位,下列命题中正确的是( ) A .若x ,y ∈C ,则1x yi i +=+的充要条件是1x y == B .2(1)()a i a +∈R 是纯虚数C .若22120z z +=,则120z z == D .当4m =时,复数22lg(27)(56)m m m m i --+++是纯虚数【参考答案】***试卷处理标记,请不要删除一、复数选择题 1.D 【分析】先由复数的除法化简该复数,再由共轭复数的概念,即可得出结果. 【详解】 因为,所以其共轭复数为. 故选:D. 解析:D 【分析】先由复数的除法化简该复数,再由共轭复数的概念,即可得出结果. 【详解】 因为()()11111111222i i z i i i i ++====+--+, 所以其共轭复数为1122i -. 故选:D.2.C 【分析】结合复数除法运算化简复数,再由纯虚数定义求解即可 【详解】解析:因为为纯虚数,所以,解得, 故选:C.解析:C【分析】结合复数除法运算化简复数z,再由纯虚数定义求解即可【详解】解析:因为()()22m m m iz m m mii--==--为纯虚数,所以20m mm⎧-=⎨≠⎩,解得1m=,故选:C.3.B【分析】由已知等式,利用复数的运算法则化简复数,即可求其模. 【详解】,所以,故选:B解析:B【分析】由已知等式,利用复数的运算法则化简复数,即可求其模.【详解】(2)21z i i i=+=-,所以|z|=故选:B4.C【分析】由复数除法法则计算出后可得其虚部.【详解】因为,所以复数z的虚部是.故选:C.解析:C【分析】由复数除法法则计算出z后可得其虚部.【详解】因为33(12)366312(12)(12)555i i i iii i i+-===-+--+,所以复数z的虚部是35.故选:C.5.D 【分析】先求和的平方,再求4次方,最后求5次方,即可得结果. 【详解】 ∵,, ∴,, ∴, , ∴, 故选:D.解析:D 【分析】先求)1-和)1+的平方,再求4次方,最后求5次方,即可得结果.【详解】∵)211-=--,)2+1=-,∴)()42117-=--=-+,)()42+17=-=--,∴)()51711-=-+-=--, )()51711+=--+=-,∴))55121-+=--,故选:D.6.D 【分析】求出复数,然后由乘法法则计算. 【详解】 由题意, . 故选:D .解析:D 【分析】求出复数z ,然后由乘法法则计算z z ⋅. 【详解】 由题意12122i z i i i-==-+=--, 22(2)(2)(2)5z z i i i ⋅=---+=--=.故选:D .7.A 【分析】利用复数的乘除运算化简复数的代数形式,得到其对应坐标即知所在象限. 【详解】,所以复数对应的坐标为在第一象限, 故选:A解析:A 【分析】利用复数的乘除运算化简复数的代数形式,得到其对应坐标即知所在象限. 【详解】44(1)2(1)12i i i i i -==++,所以复数对应的坐标为(2,2)在第一象限, 故选:A 8.A 【分析】根据复数运算,化简后由纯虚数的概念可求得,.进而求得复数,再根据模的定义即可求得 【详解】由复数为纯虚数,则,解得 则 ,所以,所以 故选:A解析:A 【分析】根据复数运算,化简后由纯虚数的概念可求得a ,.进而求得复数z ,再根据模的定义即可求得z a + 【详解】()()()()()()2221222*********i a i a a i a ii a z a i a i a i a a a +-++--++====+++-+++ 由复数()12i z a R a i +=∈+为纯虚数,则222012101a a a a +⎧=⎪⎪+⎨-⎪≠⎪+⎩,解得2a =-则z i =- ,所以2z a i +=--,所以z a += 故选:A9.B【分析】利用复数的运算法则和复数的几何意义求解即可 【详解】 ,所以,在复平面内的对应点为,则对应点位于第二象限 故选:B解析:B 【分析】利用复数的运算法则和复数的几何意义求解即可 【详解】()()12i 1i 12i33i 33i 111i 2222z +++-+=-=-==-+-, 所以,z 在复平面内的对应点为33,22⎛⎫- ⎪⎝⎭,则对应点位于第二象限故选:B10.C 【分析】由已知得到,然后利用复数的乘法运算法则计算,利用复数的周期性算出的值,最后利用复数的几何意义可得结果. 【详解】 由题可得,,所以复数在复平面内对应的点为,在第三象限, 故选:C .解析:C 【分析】由已知得到2021(2)(2)i i iz -++-=,然后利用复数的乘法运算法则计算(2)(2)i i -++,利用复数n i 的周期性算出2021i 的值,最后利用复数的几何意义可得结果. 【详解】由题可得,2021(2)(2)5i z i ii -+=+-=--,所以复数z 在复平面内对应的点为(5,1)--,在第三象限, 故选:C .11.A 【分析】对复数进行分母实数化,根据复数的几何意义可得结果. 【详解】 由,知在复平面内对应的点位于第一象限, 故选:A. 【点睛】本题主要考查了复数除法的运算以及复数的几何意义,属于基础题解析:A 【分析】对复数z 进行分母实数化,根据复数的几何意义可得结果. 【详解】 由()()()122112121255i i i z i i i i -===+++-, 知在复平面内对应的点21,55⎛⎫⎪⎝⎭位于第一象限,故选:A. 【点睛】本题主要考查了复数除法的运算以及复数的几何意义,属于基础题.12.B 【分析】利用复数模的计算公式即可判断出结论. 【详解】因为复数对应的点为,所以 ,满足则 故选:B解析:B 【分析】利用复数模的计算公式即可判断出结论. 【详解】因为复数z 对应的点为(,)x y ,所以z x yi =+x ,y 满足22(2)4x y ++=则22z i +=故选:B13.D 【分析】根据复数的模的性质求模,然后可解得. 【详解】 解:,解得. 故选:D . 【点睛】本题考查复数的模,掌握模的性质是解题关键.设复数,则,模的性质:,,.解析:D 【分析】根据复数的模的性质求模,然后可解得a . 【详解】解:()()()()24242422221212501111i i i i aai ai++++====+--,解得7a =. 故选:D . 【点睛】本题考查复数的模,掌握模的性质是解题关键.设复数(,)z a bi a b R =+∈,则z =模的性质:1212z z z z =,(*)nnz z n N =∈,1122z z z z =. 14.B 【分析】利用复数代数形式的乘法运算化简,再由实部加虚部为0求解. 【详解】解:,所以复数的实部为,虚部为,因为实部和虚部互为相反数,所以,解得 故选:B解析:B 【分析】利用复数代数形式的乘法运算化简,再由实部加虚部为0求解. 【详解】解:()()()()21i 3i 33331a i ai ai a a i +-=-+-=++-,所以复数()()1i 3i a +-的实部为3a +,虚部为31a -,因为实部和虚部互为相反数,所以3310a a ++-=,解得12a =-故选:B 15.B 【分析】利用复数除法运算求得,再求得. 【详解】 依题意, 所以. 故选:B【分析】利用复数除法运算求得z ,再求得z .【详解】 依题意()()()12221121212555i i i i z i i i i -+====+++-,所以5z == 故选:B二、多选题16.AC【分析】令,代入原式,解出的值,结合选项得出答案.【详解】令,代入,得,解得,或,或,所以,或,或.故选:AC【点睛】本题考查复数的运算,考查学生计算能力,属于基础题.解析:AC【分析】令()i ,z a b a b R =+∈,代入原式,解出,a b 的值,结合选项得出答案.【详解】令()i ,z a b a b R =+∈,代入220z z +=,得222i 0a b ab -+=,解得00a b =⎧⎨=⎩,或02a b =⎧⎨=⎩,或02a b =⎧⎨=-⎩, 所以0z =,或2i z =,或2i z =-.故选:AC【点睛】本题考查复数的运算,考查学生计算能力,属于基础题.17.CD取特殊值可判断A 选项的正误;由复数的概念可判断B 、C 选项的正误;由复数模的概念可判断D 选项的正误.【详解】对于A 选项,取,则,A 选项错误;对于B 选项,复数的虚部为,B 选项错误;解析:CD【分析】取特殊值可判断A 选项的正误;由复数的概念可判断B 、C 选项的正误;由复数模的概念可判断D 选项的正误.【详解】对于A 选项,取z i ,则210z =-<,A 选项错误;对于B 选项,复数z 的虚部为y ,B 选项错误;对于C 选项,若12z i =+,则1x =,2y =,C 选项正确;对于D 选项,z =D 选项正确.故选:CD.【点睛】本题考查复数相关命题真假的判断,涉及复数的计算、复数的概念以及复数的模,属于基础题. 18.BC【分析】根据集合求出集合内部的元素,再对四个选项依次化简即可得出选项.【详解】根据题意,中,时,;时,;时,;时,,.选项A 中,;选项B 中,;选项C 中,;选项D 中,.解析:BC【分析】根据集合求出集合内部的元素,再对四个选项依次化简即可得出选项.根据题意,{},n M m m i n N ==∈中, ()4n k k N =∈时,1n i =;()41n k k N =+∈时,n i i =;()42n k k N =+∈时,1n i =-;()43n k k N =+∈时,n i i =-,{}1,1,,M i i ∴=--.选项A 中,()()112i i M -+=∉;选项B 中,()()()211111i i i i i i M --==-+-∈+; 选项C 中,()()()211111i i i i i i M ++==-+∈-; 选项D 中,()212i i M -=-∉.故选:BC.【点睛】此题考查复数的基本运算,涉及复数的乘方和乘法除法运算,准确计算才能得解. 19.AB【分析】先由复数除法运算可得,再逐一分析选项,即可得答案.【详解】由题意得:,即,所以z 不是纯虚数,故A 错误;复数z 的虚部为,故B 错误;在复平面内,对应的点为,在第三象限,故C 正确解析:AB【分析】 先由复数除法运算可得1122z i =--,再逐一分析选项,即可得答案. 【详解】由题意得:1z zi +=,即111122z i i -==---, 所以z 不是纯虚数,故A 错误;复数z 的虚部为12-,故B 错误;在复平面内,z 对应的点为11(,)22--,在第三象限,故C 正确;2z ==,故D 正确. 故选:AB【点睛】本题考查复数的除法运算,纯虚数、虚部的概念,复平面内点所在象限、复数求模的运算等知识,考查计算求值的能力,属基础题.20.BC【分析】利用复数的除法求出复数,利用复数的概念与几何意义可判断各选项的正误.【详解】,,所以,复数的虚部为,,共轭复数为,复数在复平面对应的点在第四象限. 故选:BD.【点睛】本题考解析:BC【分析】利用复数的除法求出复数z ,利用复数的概念与几何意义可判断各选项的正误.【详解】()234z i i +=+,34232i z i i+∴=-=-+,所以,复数z 的虚部为3-,z =共轭复数为23i +,复数z 在复平面对应的点在第四象限.故选:BD.【点睛】 本题考查复数的四则运算、虚部、模、共轭复数以及几何意义,考查计算能力,属于基础题.21.BC【分析】由可得,得,可判断A 选项,当虚部,时,可判断B 选项,由复数的模计算和余弦的二倍角公式可判断C 选项,由复数的运算得,的实部是,可判断D 选项.【详解】因为,所以,所以,所以,所以A 选解析:BC【分析】 由22ππθ-<<可得2πθπ-<<,得01cos22θ<+≤,可判断A 选项,当虚部sin 20θ=,,22ππθ⎛⎫∈- ⎪⎝⎭时,可判断B 选项,由复数的模计算和余弦的二倍角公式可判断C 选项,由复数的运算得11cos 2sin 212cos 2i z θθθ+-=+,1z 的实部是1cos 2122cos 22θθ+=+,可判断D 选项.【详解】 因为22ππθ-<<,所以2πθπ-<<,所以1cos21θ-<≤,所以01cos22θ<+≤,所以A 选项错误;当sin 20θ=,,22ππθ⎛⎫∈- ⎪⎝⎭时,复数z 是实数,故B 选项正确;2cos z θ===,故C 选项正确:()()111cos 2sin 21cos 2sin 21cos 2sin 21cos 2sin 21cos 2sin 212cos 2i i z i i i θθθθθθθθθθθ+-+-===+++++-+,1z 的实部是1cos 2122cos 22θθ+=+,故D 不正确. 故选:BC【点睛】本题主要考查复数的概念,复数模的计算,复数的运算,以及三角恒等变换的应用,属于中档题.22.AD【分析】由求得判断A ;设出,,证明在满足时,不一定有判断B ;举例说明C 错误;由充分必要条件的判定说明D 正确.【详解】若,则,故A 正确;设,由,可得则,而不一定为0,故B 错误; 当时解析:AD【分析】由z 求得z z ⋅判断A ;设出1z ,2z ,证明在满足1212z z z z +=-时,不一定有120z z =判断B ;举例说明C 错误;由充分必要条件的判定说明D 正确.【详解】 若2z =,则24z z z ⋅==,故A 正确;设()11111,z a bi a b R =+∈,()22222,z a b i a b R =+∈ 由1212z z z z +=-,可得()()()()222222121212121212z z a a b b z z a a b b +=+++=-=-+-则12120a a b b +=,而()()121122121212121212122z z a bi a b i a a bb a b i b a i a a a b i b a i =++=-++=++不一定为0,故B 错误;当1z i =-时22z i =-为纯虚数,其实部和虚部不相等,故C 错误;若复数()()()211z a a i a R =-+-∈是虚数,则210a -≠,即1a ≠± 所以“1a ≠”是“复数()()()211z a a i a R =-+-∈是虚数”的必要不充分条件,故D 正确; 故选:AD【点睛】本题考查的是复数的相关知识,考查了学生对基础知识的掌握情况,属于中档题.23.AD【分析】先利用复数的除法、乘法计算出,再逐项判断后可得正确的选项.【详解】,故,故A 正确.的虚部为,故B 错,,故C 错,在复平面内对应的点为,故D 正确.故选:AD.【点睛】本题考解析:AD【分析】先利用复数的除法、乘法计算出z ,再逐项判断后可得正确的选项.【详解】()()32232474725555i i i i i z i ++++====+-,故4755i z =-,故A 正确.z 的虚部为75,故B 错,355z ==≠,故C 错, z 在复平面内对应的点为47,55⎛⎫ ⎪⎝⎭,故D 正确. 故选:AD.【点睛】本题考查复数的概念、复数的运算以及复数的几何意义,注意复数(),z a bi a b R =+∈的虚部为b ,不是bi ,另外复数的除法运算是分子分母同乘以分母的共轭复数.24.AD【分析】根据复数的运算判断A ;由虚数不能比较大小判断B ;由复数的运算以及共轭复数的定义判断C ;由模长公式化简,得出,从而判断D.【详解】,则A 正确;虚数不能比较大小,则B 错误;,则,解析:AD【分析】根据复数的运算判断A ;由虚数不能比较大小判断B ;由复数的运算以及共轭复数的定义判断C ;由模长公式化简11z z -=+,得出0x =,从而判断D.【详解】234110i i i i i i +++=--+=,则A 正确;虚数不能比较大小,则B 错误;()221424341z i i i i =++=+-+=,则34z i =--,其对应复平面的点的坐标为(3,4)--,位于第三象限,则C 错误; 令,,z x yi x y R =+∈,|1||1z z -=+∣,=,解得0x =则z 在复平面内对应的点的轨迹为直线,D 正确;故选:AD【点睛】本题主要考查了判断复数对应的点所在的象限,与复数模相关的轨迹(图形)问题,属于中档题.25.AC【分析】利用复数的三角形式与模长公式可判断A 选项的正误;利用复数的棣莫弗定理可判断B 选项的正误;计算出复数,可判断C 选项的正误;计算出,可判断D 选项的正误.【详解】对于A 选项,,则,可得解析:AC【分析】利用复数的三角形式与模长公式可判断A 选项的正误;利用复数的棣莫弗定理可判断B 选项的正误;计算出复数z ,可判断C 选项的正误;计算出4z ,可判断D 选项的正误.【详解】对于A 选项,()cos sin z r i θθ=+,则()22cos2sin 2z r i θθ=+,可得()222cos 2sin 2z r i r θθ=+=,()222cos sin z r i r θθ=+=,A 选项正确;对于B 选项,当1r =,3πθ=时,()33cos sin cos3sin3cos sin 1z i i i θθθθππ=+=+=+=-,B 选项错误;对于C 选项,当1r =,3πθ=时,1cos sin 3322z i ππ=+=+,则12z =,C 选项正确;对于D 选项,()cos sin cos sin cos sin 44n n n n z i n i n i ππθθθθ=+=+=+, 取4n =,则n 为偶数,则4cos sin 1z i ππ=+=-不是纯虚数,D 选项错误.故选:AC.【点睛】本题考查复数的乘方运算,考查了复数的模长、共轭复数的运算,考查计算能力,属于中等题.26.AB【分析】求得、的虚部、、对应点所在的象限,由此判断正确选项.【详解】依题意,所以A 选项正确;,虚部为,所以B 选项正确;,所以C 选项错误;,对应点为,在第三象限,故D 选项错误.故选解析:AB【分析】 求得ω、2ω的虚部、3ω、1ω对应点所在的象限,由此判断正确选项.【详解】依题意1ω==,所以A 选项正确; 2211312442ω⎛⎫=-+=-=- ⎪ ⎪⎝⎭,虚部为,所以B 选项正确;22321111222ωωω⎛⎫⎛⎫⎛⎫=⋅=--⋅-+=-+=⎪ ⎪ ⎪⎪ ⎪⎝⎭⎝⎭⎝⎭⎝⎭,所以C选项错误;22111122212222ω---====-⎛⎛⎫-+⎪⎝⎭⎝⎭⎝⎭⎝⎭,对应点为1,22⎛⎫--⎪⎪⎝⎭,在第三象限,故D选项错误.故选:AB【点睛】本小题主要考查复数的概念和运算,考查复数对应点所在象限,属于基础题.27.AB【分析】由复数的代数形式的运算,逐个选项验证可得.【详解】解:因为当且时复数为纯虚数,此时,故A错误,D正确;当时,复数为实数,故C正确;对于B:,则即,故B错误;故错误的有AB解析:AB【分析】由复数的代数形式的运算,逐个选项验证可得.【详解】解:因为(,)z a bi a b R=+∈当0a=且0b≠时复数为纯虚数,此时z bi z=-=-,故A错误,D正确;当0b=时,复数为实数,故C正确;对于B:32a bi i-=+,则32ab=⎧⎨-=⎩即32ab=⎧⎨=-⎩,故B错误;故错误的有AB;故选:AB【点睛】本题考查复数的代数形式及几何意义,属于基础题.28.ABC【分析】设,从而有,利用消元法得到关于的一元二次方程,利用判别式大于等于0,从而求得a 的范围,即可得答案.【详解】设,∴,∴,∴,解得:,∴实数的值可能是.故选:ABC.【点解析:ABC【分析】设z x yi =+,从而有222()3x y i x yi ai ++-=+,利用消元法得到关于y 的一元二次方程,利用判别式大于等于0,从而求得a 的范围,即可得答案.【详解】设z x yi =+,∴222()3x y i x yi ai ++-=+, ∴222223,23042,x y y a y y x a ⎧++=⇒++-=⎨=⎩, ∴244(3)04a ∆=--≥,解得:44a -≤≤, ∴实数a 的值可能是1,4,0-.故选:ABC.【点睛】本题考查复数的四则运算、模的运算,考查函数与方程思想,考查逻辑推理能力和运算求解能力.29.AD【分析】A .根据共轭复数的定义判断.B.若,则,与关系分实数和虚数判断.C.若,分可能均为实数和与的虚部互为相反数分析判断.D.根据,得到,再用共轭复数的定义判断.【详解】A .根据共轭解析:AD【分析】A .根据共轭复数的定义判断.B.若120z z -=,则12z z =,1z 与2z 关系分实数和虚数判断.C.若12z z +∈R ,分12,z z 可能均为实数和1z 与2z 的虚部互为相反数分析判断.D. 根据120z z -=,得到12z z =,再用共轭复数的定义判断.【详解】A .根据共轭复数的定义,显然是真命题;B .若120z z -=,则12z z =,当12,z z 均为实数时,则有21z z =,当1z ,2z 是虚数时,21≠z z ,所以B 是假命题;C .若12z z +∈R ,则12,z z 可能均为实数,但不一定相等,或1z 与2z 的虚部互为相反数,但实部不一定相等,所以C 是假命题;D. 若120z z -=,则12z z =,所以1z 与2z 互为共轭复数,故D 是真命题.故选:AD【点睛】本题主要考查了复数及共轭复数的概念,还考查了理解辨析的能力,属于基础题. 30.BD【分析】选项A :取,满足方程,所以错误;选项B :,恒成立,所以正确;选项C :取,,,所以错误;选项D :代入,验证结果是纯虚数,所以正确.【详解】取,,则,但不满足,故A 错误;,恒成解析:BD【分析】选项A :取x i =,y i =-满足方程,所以错误;选项B :a ∀∈R ,210a +>恒成立,所以正确;选项C :取1z i =,21z =,22120z z +=,所以错误;选项D :4m =代入 22lg(27)(56)m m m m i --+++,验证结果是纯虚数,所以正确.【详解】取x i =,y i =-,则1x yi i +=+,但不满足1x y ==,故A 错误;a ∀∈R ,210a +>恒成立,所以2(1a i +)是纯虚数,故B 正确;取1z i =,21z =,则22120z z +=,但120z z ==不成立,故C 错误; 4m =时,复数2212756=42g m m m m i i --+++()()是纯虚数,故D 正确.故选:BD .【点睛】本题考查复数有关概念的辨析,特别要注意复数的实部和虚部都是实数,解题时要合理取特殊值,属于中档题.。
复数的四则运算同步练习题一、选择题1. 若复数z 满足z +i -3=3-i ,则z 等于 ( D )A .0B .2iC .6D .6-2i2. 复数i +i 2在复平面内表示的点在( B )A .第一象限B .第二象限C .第三象限D .第四象限3. 复数z 1=3+i ,z 2=-1-i ,则z 1-z 2等于( C )A .2B .2+2iC .4+2iD .4-2i4. 设z 1=2+b i ,z 2=a +i ,当z 1+z 2=0时,复数a +b i 为( D )A .1+iB .2+IC .3D .-2-i5. 已知|z |=3,且z +3i 是纯虚数,则z 等于( B )A .-3iB .3iC .±3iD .4i6. 复数-i +1i 等于( A ) A .-2i B.12i C .0 D .2i 7. i 为虚数单位,1i +1i 3+1i 5+1i 7等于( A ) A .0 B .2i C .-2i D .4i8. 若a ,b ∈R ,i 为虚数单位,且(a +i)i =b +i ,则( D )A .a =1,b =1B .a =-1,b =1C .a =-1,b =-1D .a =1,b =-19. 在复平面内,复数i1+i +(1+3i)2对应的点位于( B )A .第一象限B .第二象限C .第三象限D .第四象限10. 设复数z 的共轭复数是z ,若复数z 1=3+4i ,z 2=t +i ,且z 1·z 2是实数,则实数t 等于( A)A.34B.43 C .-43 D .-3411. 若z =1+2ii ,则复数z 等于( D ) A .-2-i B .-2+I C .2-i D .2+i12.复数11z i =-的共轭复数是( B ) A .i 2121+ B .i 2121- C .i -1 D .i +113.=++-i i i 1)21)(1(( C ) A .i --2 B .i +-2 C .i -2 D .i +214. 若复数z 1=1+i ,z 2=3-i ,则z 1·z 2等于( A )A .4+2iB .2+iC .2+2iD .3+i15. 已知a +2ii =b +i(a ,b ∈R ),其中i 为虚数单位,则a +b 等于( B )A .-1B .1C .2D .316.若x -2+y i 和3x -i 互为共轭复数,则实数x 与y 的值是( D )A .x =3,y =3B .x =5,y =1C .x =-1,y =-1D .x =-1,y =117.在复平面内,复数i1+i +(1+3i)2对应的点位于( B )A. 第一象限B. 第二象限C. 第三象限D. 第四象限18.设i 是虚数单位,_z 是复数z 的共轭复数,若,,则z =( A )(A )1+i (B )1i - (C )1+i - (D )1-i -19.若复数z 满足 (3-4i)z =|4+3i |,则z 的虚部为( D )(A)-4 (B )-45 (C )4 (D )4520.设复数z 满足,2)1(i z i =-则z =( A )(A )i +-1 (B )i --1 (C )i +1 (D )i -121.复数z 满组(3)(2)5--=z i (z 为虚数单位),则z 的共轭复数z 为( D )(A) 2+i (B) 2-i (C) 5+i (D) 5-i22.在复平面内,复数(2-i)2对应的点位于( D )A.第一象限B. 第二象限C.第三象限D. 第四象限23.若复数z 满足24iz i =+,则在复平面内,z 对应的点的坐标是( C )A.(2,4)B.(2,-4)C.(4,-2)D.(4,2)24.复数的11Z i =-模为( B ) (A )12 (B (C (D )225.()3=( A ) (A )8- (B )8 (C )8i - (D )8i26. i 是虚数单位,3(1)(2)i i i -++等于 ( D ) A .1+i B .-1-i C .1+3i D .-1-3i27.设复数z=1,则z 2-2z 等于 ( A )A .-3B .3C .-3iD .3i28.已知i 是虚数单位,则31i i+-=( D ) A .1-2i B.2-i C.2+i D .1+2i29.下面是关于复数21z i=-+的四个命题:其中的真命题为( C ) 1:2p z = 22:2p z i = 3:p z 的共轭复数为1i + 4:p z 的虚部为1-()A 23,p p ()B 12,p p ()C ,p p 24 ()D ,p p 3430.复数2(1)2i i-=( B ) A 、1 B 、1- C 、i D 、i - 31.若复数z 满足(2)117z i i -=+(i 为虚数单位),则z 为( A )(A )35i + (B )35i - (C )35i -+ (D )35i --32.设i 为虚数单位,则复数56i i-=( D ) A .6+5i B .6-5i C .-6+5i D .-6-5i 33.复数z 满足:()(2)5z i i --=;则z =( D )()A 22i -- ()B 22i -+()C i 2-2 ()D i 2+2 34.若(2)a i i b i -=-,其中a 、b R ∈,i 使虚数单位,则22a b +=( D )A .0B .2C . 52D .5 35.复数z =i +i 2+i 3+i 4的值是( B ) A .-1B .0C .1D .i 36.()()221111ii i i -++=+-( D ) A .i B .i - C .1 D .1- 37.复数(1+1i )4的值是 ( D ) A .4iB .-4iC .4D .-4 二、填空题38. 若复数z 1=-1,z 2=2+i 分别对应复平面上的点P 、Q ,则向量PQ →对应的复数是_ _3+i __.39.设复数i 满足i(z +1)=-3+2i(i 为虚数单位),则z 的实部是____1____.40.复数2i -1+3i的虚部是___-12____. 41.已知z 是纯虚数,z +21-i是实数,那么z =___-2i____. 42.已知,43,2121i z i z +=-=则=⋅21z z ___11-2i _____.43.已知复数512i z i =+(i 是虚数单位),则_________z =44.若bi a i i +=++)2)(1(,其中,,a b R i ∈为虚数单位,则a b += 4 45.设a b ∈R ,,117i i 12ia b -+=-(i 为虚数单位),则a b +的值为 8 . 46.若 12z a i =+, 234z i =-,且12z z 为纯虚数,则实数a 的值为 38 . 47.已知312i a i--=+(i 是虚数单位),那么a 4= -4 . 48.已知复数z 与(z +2)2-8i 均是纯虚数,则z= -2i .三、解答题49.复平面内有A ,B ,C 三点,点A 对应的复数是2+i ,向量BA →对应的复数是1+2i ,向量BC →对应的复数是3-i ,求C 点在复平面内的坐标.解 ∵AC →=BC →-BA →,∴AC →对应的复数为(3-i)-(1+2i)=2-3i ,设C (x ,y ),则(x +y i)-(2+i)=2-3i , ∴x +y i =(2+i)+(2-3i)=4-2i ,故x =4,y =-2.∴C 点在复平面内的坐标为(4,-2).50.在复平面内A ,B ,C 三点对应的复数分别为1,2+i ,-1+2i.(1)求AB →,BC →,AC →对应的复数;(2)判断△ABC 的形状;(3)求△ABC 的面积.解析: (1)AB →对应的复数为2+i -1=1+i ,BC →对应的复数为-1+2i -(2+i)=-3+i ,AC →对应的复数为-1+2i -1=-2+2i.(2)∵|AB →|=2,|BC →|=10,|AC →|=8=22,∴|AB →|2+|AC →|2=|BC →|2,∴△ABC 为直角三角形.(3)S △ABC =12×2×22=2. 51.已知复数z=1+i,求实数a,b 使得az +2b z =(a +2z)2.52.已知复数z=1+i ,如果221z az b z z ++-+=1-i,求实数a,b 的值. 解析:由z=1+i 得221z az b z z ++-+=()(2)a b a i i +++=(a +2)-(a +b)i 从而21()1a a b +=⎧⎨-+=-⎩,解得12a b =-⎧⎨=⎩.P4。
高中数学复数练习题含答案一、单选题1.若复数2(1i)-的实部为a ,虚部为b ,则a b +=( ) A .3-B .2-C .2D .32.已知a R ∈,“实系数一元二次方程2904x ax ++=的两根都是虚数”是“存在复数z 同时满足2z =且1z a +=”的( )条件. A .充分非必要 B .必要非充分 C .充分必要D .既非充分又非必要3.在复平面内,复数z 满足()()1i 1i ,z a b a b R +=++∈,且z 所对应的点在第一象限或坐标轴的非负半轴上,则2+a b 的最小值为( ) A .2- B .1- C .1 D .2 4.设||(12i)34i z -=+,则z 的共轭复数对应的点在( )A .第一象限B .第二象限C .第三象限D .第四象限5.在复平面内,复数z 满足()1i 3i z -=-+,则复数z 对应的点位于( )A .第一象限B .第二象限C .第三象限D .第四象限6.下列命题正确的是( )①若复数z 满足2z ∈R ,则z R ∈; ②若复数z 满足i R z∈,则z 是纯虚数;③若复数12,z z 满足12=z z ,则12=±z z ; ④若复数12,z z 满足2121z z z =且10z ≠,则12=z z .A .①③B .②④C .①④D .①③7.已知复数z 满足(1i)32i +=+z ,则z 的虚部为( ) A .12 B .1i 2-C .12-D .1i 28.设i 为虚数单位,()1i 2i z -+=+,则复数z 的虚部是( ) A .12-B .1i 2C .32-D .3i 2-9.下列说法正确的是( )A .若复数()i ,z a b a b R =+∈,则z 为纯虚数的充要条件是0a =且0b =.B .若()()21i 0,x y x y R -+->∈,则2x >且1y >.C .若()()2212230Z Z Z Z -++=,则123Z Z Z ==.D .若复数z 满足i 2z -=,则复数z 对应点的集合是以()0,1为圆心,以2为半径的圆.10.若复数z 在复平面内对应的点为(1,1),则其共轭复数z 的虚部是( ) A .i B .i - C .1 D .1-11.复数1i1i+-(i 为虚数单位)的共轭复数的虚部等于( ) A .1B .1-C .iD .i -12.已知i 是虚数单位,复数1z 、2z 在复平面内对应的点分别为()1,2-、()1,1-,则复数21z z 的共轭复数的虚部为( ) A .15-B .15C .1i 5-D .1i 513.已知i 为虚数单位,则复数1i -+在复平面内对应的点位于( ) A .第一象限 B .第二象限C .第三象限D .第四象限14.已知复数()()31i z m m =++-在复平面内对应的点在第四象限,则实数m 的取值范围是( ). A .()3,1- B .()1,3- C .()1,+∞D .(),3-∞15.已知34i z =+,则()i z z -=( ) A .1117i +B .1917i +C .1117i -D .1923i +16.下列关于复数的命题中(其中i 为虚数单位),说法正确的是( ) A .若复数1z ,2z 的模相等,则1z ,2z 是共轭复数B .已知复数1z ,2z ,3z ,若()()2212230z z z z -+-=,则123z z z ==C .若关于x 的方程()21i 14i 0x ax +++-=(a ∈R )有实根,则52a =-D .12i +是关于x 的方程20x px q ++=的一个根,其中,p q 为实数,则5q = 17.复数5ii 2iz -=-+在复平面内对应的点位于( ) A .第一象限 B .第二象限 C .第三象限 D .第四象限 18.已知复数i(1i)z =-,则其共轭复数z =( )A .1i --B .1i -+C .1i -D .1i +19.设向量OP ,PQ ,OQ 对应的复数分别为z 1,z 2,z 3,那么( )A .z 1+z 2+z 3=0B .z 1-z 2-z 3=0C .z 1-z 2+z 3=0D .z 1+z 2-z 3=020.复数2i z =-(i 为虚数单位)的虚部为( ) A .2 B .1 C .i D .1-二、填空题21.若i 为虚数单位,复数z 满足42ii 12iz --=+,则z =___________. 22.设复数1z ,2z 是共轭复数,且12229i,-=-+z z ,则1z =___________.23.已知复数z i =,i 为虚数单位,则z =______ 24.若i(,)i+∈a b a b R 与3+4i 互为共轭复数,则a b -=___________. 25.已知复数20202023i i z =+(i 为虚数单位),则z 在复平面内对应的点位于第________象限.26.复数2i z a =+,a ∈R ,若13i i+-z 为实数,则=a ________. 27.设i 是虚数单位,若复数z =1+2i ,则复数z 的模为__________. 28.已知复数()3iR ib z b -=∈的实部和虚部相等,则z =___________. 29.已知复数z 满足()1i 42i z -=+,则z =_________(用代数式表示). 30.定义12,C z z ∈,221212121(||||)4z z z z z z ⊕=+--,121212i(i )z z z z z z ⊗=⊕+⊕.若134i z =+,21z =+,则12||z z ⊗=___________.31.已知i 是虚数单位,复数12iiz -=,则z 的共轭复数z =___________.32.已知复数z =(,a b ∈R 且0,0a b ≠≠)的模等于1,则12b a b++的最小值为______.33.甲、乙、丙、丁四人对复数z 的陈述如下(i 为虚数单位):甲:z z +=;乙:2z z -=;丙:26;:4z z z z z ⋅==丁,在甲、乙、丙、丁四人陈述中,有且只有两个人的陈述正确,则z =___________.34i 对应的向量绕原点按逆时针方向旋转90,则所得向量对应的复数为________. 35.计算cos 40isin 40cos10isin10________.36.已知z =,则22022z z z ++⋅⋅⋅+=___________. 37.已知复数z 1=a 2-3-i ,z 2=-2a +a 2i ,若z 1+z 2是纯虚数,则实数a =________.38.若复数z 满足|z -i|=3,则复数z 对应的点Z 的轨迹所围成的图形的面积为________.39.若i 是虚数单位,则复数310i3i =-________.(写成最简结果) 40.已知2i +是关于x 的方程()20,R x ax b a b ++=∈的根,则b a -=________. 三、解答题 41.已知复数023i z =+,(1)若复数z 满足003zz z z =+,求z ;(2)若z C ∈,0z z =,0z z +=0z z -的值.42.已知复数z 和它的共轭复数z 满足232i z z +=+.(1)求z ;(2)若z 是关于x 的方程()20,x px q p q R ++=∈的一个根,求复数()4i zp q +-的模.43.已知i 为虚数单位,实数m 分别取什么数值时,复数()22(1)iz m m m =+-+-满足下列条件: (1)纯虚数;(2)复平面内对应的点在直线y x =上. 44.根据要求完成下列问题:(1)已知复数1z 在复平面内对应的点在第四象限,1||1z =,且111z z +=,求1z ;(2)已知复数225(15i)3(2i)12im z m =-+-+-为纯虚数,求实数m 的值. 45.已知ABC 中,AB ,AC 对应的复数分别为12i -+,23i --,通过几何作图求出这两个复数和与差对应的向量.【参考答案】一、单选题 1.B 2.D 3.B 4.D 5.C 6.B7.A8.C9.D10.D11.B12.A13.B14.A15.B16.D17.C18.C19.D20.D二、填空题21.12223.124.125.四26.3-2728.29.13i+##3i+1 30.3531.2i-+32.733.234.1-1-351i236.037.338.9π39.13i +##3i 1+ 40.9 三、解答题41.(1)79i 1010z =-;【解析】 【分析】(1)根据复数的乘法列出方程,由复数相等求解即可;(2)根据复数的几何意义及条件可知以OA ,OB 为邻边的平行四边形是菱形,解三角形后知AOB 是正三角形即可得解. (1)设i z a b =+ (),a b ∈R , 因为023i z =+,003zz z z =+所以0(i)(23i)3(i)(23i)zz a b a b =++=+++, 所以(23)(32)i (32)(33)i a b a b a b -++=+++由3233a b a b +=-⎧⎨-=⎩, 解得710910a b ⎧=⎪⎪⎨⎪=-⎪⎩,所以79i 1010z =-(2)设复数0z ,z ,0zz +在复平面内对应点分别为A ,B ,C由0z z =OA ,OB 为邻边的平行四边形是菱形, 在OAC 中,AC OA =OC 所以,1cos 2OAC ∠=-,所以,23OAC π∠=,所以,3AOB π∠= 因此,AOB 为正三角形,故00z z z -==42.(1)12z i =+; (2)1. 【解析】 【分析】(1)设()i ,z a b a b R =+∈,根据复数的运算以及复数相等,即可求得结果; (2)将(1)中所求z 代入方程,根据复数相等求得,p q ,结合复数的运算,即可求得()4i zp q ++及其模长.(1)设()i ,z a b a b R =+∈,则i z a b =-,()()22i i 3i 32i z z a b a b a b +=++-=+=+,所以332a b =⎧⎨=⎩,即12a b =⎧⎨=⎩,所以i 12z =+.(2)将i 12z =+代入已知方程可得()()212i 12i 0p q ++++=, 整理可得()()24i 30p p q +++-=,所以24030p p q +=⎧⎨+-=⎩,解得25p q =-⎧⎨=⎩,所以()()()()()12i 2i 12i 5ii 4i 2i 2i 2i 5z p q +--+-====-+--+-+--,又i 1-=,所以复数()4i zp q +-的模为1.43.(1)2m =- (2)1m =± 【解析】 【分析】(1)实部为0,虚部不为0即可; (2)实部等于虚部即可得解. (1)由已知22010m m m ⎧+-=⎨-≠⎩ 解得211m m m =-=⎧⎨≠⎩或2m =-所以(2)由已知212m m m -=+-21m =1m =±44.(1)112z = (2)2m =- 【解析】 【分析】(1)设1i z a b =+,由题设可得关于,a b 的方程组,求出其解后可得1z . (2)根据复数的四则运算可求2z ,根据其为纯虚数可求实数m 的值. (1)设1i z a b =+(a b R ∈、),由题意得22121a b a ⎧+=⎨=⎩,解得12a =,32b =±,∵复数1z 在复平面内对应的点在第四象限,∴32b =-,∴113i 22z =-; (2)()()()()2222515i 32i 6253i 12im z m m m m m =-+-+=--+---,依题意得260m m --=,解得3m =或2m =-, 又∵22530m m --≠,∴3m ≠且12m ≠-, ∴2m =-. 45.见解析 【解析】 【分析】分别表示出复数对应的向量,结合向量的运算求解. 【详解】以A 为复平面的坐标原点,以,AB AC 为邻边作平行四边形,如图,所以12i -+,23i --的和对应的向量为AD .()()12i 23i -+---对应的向量为CB ,如图,()()----+对应的向量为BC,如图,23i12i。