有机化学制备与合成实验复习题新整理
- 格式:docx
- 大小:21.72 KB
- 文档页数:13
有机化学复习资料一.实验题(六个粗产物的提纯)1.环己烯的制备:镏出液先用食盐水饱和,然后加5﹪的碳酸钠溶液4~5ml中和微量的酸。
将液体转入分液漏斗中,震荡后静置分层,分出有机相(上层),上层的粗产品转入干燥的小三角烧瓶中,加入1~2g无水氯化钙干燥。
将干燥后清澈透明的溶液过滤到蒸馏瓶中,加入沸石,水浴蒸馏,用一干燥的小三角烧瓶收集80~85℃馏分。
2.1-溴丁烷的制备:镏出液转入分液漏斗中,加入等体积的水洗涤。
静止分层后转入另一干燥的分液漏斗中,用等体积的农硫酸洗涤,分去硫酸层,留取有机相,再一次用等体积的水、饱和碳酸氢钠溶液洗涤后转入干燥的三角烧瓶中,加无水氯化钙干燥。
将干燥后的产物过滤到蒸馏瓶中,加入几粒沸石,用一干燥的小三角烧瓶收集100~103的馏分。
3.正丁醚的制备:带粗产物冷却后,奖反应液连同分水器中的水一起倒入装有50ml水的分液漏斗中,充分振荡,静止后弃去下层。
粗产物一次用25ml的水、15ml 5﹪氢氧化钠溶液(洗去酸)、15ml的水(洗去碱)、15ml饱和氯化钙溶液(洗去醇)洗涤,用1~2g 无水氯化钙干燥。
将干燥后的粗产物过滤到25ml蒸馏瓶中,加沸石,安装蒸馏装置。
在石棉网上用空气冷凝管蒸馏收集140℃~144℃的馏分。
4.已二酸的制备:趁热抽滤混合物,滤渣二氧化锰用少量的热水洗涤3次,合成滤液与洗涤液,用约4ml浓盐酸酸化,使溶液呈酸性(刚果红试纸变蓝)。
加少量活性炭煮沸脱色后,趁热过滤,滤液在石棉网上加热浓缩,使溶液体积减少至10ml左右,放置结晶,抽滤,冰水洗涤滤饼,的白色已二酸结晶。
用水重结晶,产量1.5~2g.5.甲基橙的制备:Ⅰ高温制备,停止加热,在反应混合物中加入研细的氯化钠,知道氯化钠不在溶解为止。
静止,让混合物冷至室温,再置于冰水浴中冷却,使甲基橙全部结晶析出,抽滤,用10ml饱和食盐水洗涤结晶。
将粗产物用70ml沸水进行重结晶,抽滤时用少量的乙醇和乙醚洗涤产品,最后将其在50℃下烘干得到橙红色的甲基橙。
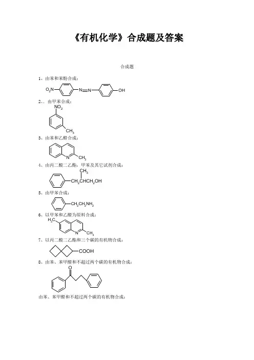
5. 合成题5-1.以环己醇为原料合成:1,2,3-三溴环己烷。
NBSBrBrBrBr2BrOHCCl45-2.从异丙醇为原料合成:溴丙烷。
CH2HBr3CH2CH3BrCHCH CH=CH2OH3ROOR5-3.由1-氯环戊烷为原料合成:顺-1,2-环戊二醇。
H2O2ClC2H5OH O s O4KOH5-4.以1-甲基环己烷为原料合成:CH3CO(CH2)4COOH。
Na(CH2)4 hvC2H5CH3CO3CH3BrBr2COOH CH3O5-5.由CH2OH为原料合成:OCH2CH+CO25-6.以1-溴环戊烷为原料合成:反-2-溴环戊醇。
Br2H2OBr5-7.由1,2-二甲基环戊醇为原料合成:2,6-庚二酮。
(1)(2)O3CH32CH33CH3(CH2)3OHCOCH3CO5-8.以2-溴丙烷为原料合成丙醇。
OHBrC2H5Na CH23CH2CH3CHCH CH=CHOH3OH5-9.由1-甲基环己烷合成:反-2-甲基环己醇。
NaC2H5OC2H53CH3CH35-10.以环戊烷为原料合成:反-1,2-环戊二醇。
Br2hvC2H5OHBrKOH5-11以苯及C 4以下有机物为原料合成:C 6H 5H H C C CH 3NBSCH 2CH2CH 3CH 2Cl+CO CH 2CH 3Br 2CH CH C 2H 5OHBr BrCC CH 3KOHCH CH C 6H 56H 5CHCH 3CH C 6H 5Br C 2H 5OH KOH 6H 5C 2H 5Na NH 3CH 3HC C CH 3C C液C 6H 5C 6H 5H5-12.用甲烷做唯一碳来源合成:CH 3CH 2CH O C O +Cu 2Cl 24CH241500℃OCHCH 4CH 3CHC 2=CH CH=CH C HgSO 4O 23250℃+CH 3OCH 2CH 3CH O CH 2=CH C 12O 2AgC O 5-13.以乙炔、丙烯为原料合成:Br Br CHOCHO Cu 2Cl 24CH NH 3CH CH=CH 2CH C 2=CH CH=CH 2液NaCH 2=CH Br Br Br 2CHO CHO , CHO ,CH 3CH 2=CH CH 2=CH Cu 2O 0.25MPa5-14.以1,3-丁二烯,丙烯,乙炔等为原料合成:CH 2CH 2CH 2OH+CH 2ClCH 2CH=CH2CH 2=CH CH 2=CH CH 2ClH 2催化剂Lindlar CHCH=CH 2CCH2CH 2CH 22)3OHCH=CH 2CH 2,Cl 2CH 3CH 2ClCH 2=CH CH 2=CH5-15.由乙炔和丙烯为原料合成正戊醛(CH 3(CH 2)3CHO ) +CH CH Na NH 3C 液NaNH 2CH+BrCH 23CH 2CH 3;CH=CH2ROORCH 2CHOCH 3CH 2(CH 2)33CH 2CH 2C35-16.由乙烯和乙炔为原料合成内消旋体3,4-己二醇。
有机合成题库及答案详解1. 题目一:给定化合物A为苯环上含有一个甲基和一个羟基的化合物,要求合成化合物B,其结构为苯环上含有两个相邻的甲基。
答案详解:首先,利用Friedel-Crafts反应在苯环上引入第一个甲基,生成化合物C。
然后,使用甲酸和硫酸的混合物在加热条件下对化合物C进行甲酰化反应,生成化合物D,该化合物含有一个醛基。
接下来,通过还原醛基得到醇,再利用另一次Friedel-Crafts反应在相邻位置引入第二个甲基,最终得到目标化合物B。
2. 题目二:已知化合物E为含有一个羧基的直链脂肪酸,如何合成化合物F,其结构为含有两个羧基的直链二元酸?答案详解:首先,将化合物E的羧基转化为酰氯,得到化合物G。
然后,利用酰氯化物G与另一个羧酸的钠盐进行酯化反应,生成酯化合物H。
最后,通过水解酯化合物H得到目标化合物F。
3. 题目三:给定化合物I为一个含有一个酮基的化合物,要求合成化合物J,其结构为含有一个α,β-不饱和酮。
答案详解:首先,利用还原剂(如LiAlH4)对酮基进行还原,得到醇化合物K。
然后,使用PCC(焦磷酸氯)或PDC(焦磷酸二氯化物)对醇进行氧化,得到α,β-不饱和酮化合物J。
4. 题目四:已知化合物L为一个含有一个氨基的化合物,如何合成化合物M,其结构为含有一个酰胺基?答案详解:首先,将氨基保护,例如使用BOC保护基团,得到化合物N。
然后,利用酸酐或酸氯化物与化合物N反应,形成酰胺键,得到目标化合物M。
最后,移除BOC保护基团,恢复氨基。
5. 题目五:给定化合物O为一个含有一个双键的烯烃,要求合成化合物P,其结构为含有一个环丙烷环。
答案详解:首先,使用一个溴化试剂(如NBS)对双键进行加成,得到化合物Q。
然后,利用一个强碱(如t-BuOK)对化合物Q进行消除反应,形成一个新的双键。
最后,使用一个环化试剂(如溴化氢和锌)进行分子内的环化反应,形成环丙烷环,得到目标化合物P。
请注意,上述内容仅为示例,实际的有机合成题库及答案详解需要根据具体的化合物结构和反应条件进行设计。
有机化学合成题总结引言有机化学合成是有机化学的重要分支,它研究有机物的合成方法和合成机理,为有机化学领域的发展和应用提供了重要的技术支持。
本文将对几类常见的有机化学合成题进行总结,包括酯的合成、醛的合成以及芳香化合物的合成等。
酯的合成酯是一类重要的有机化合物,具有广泛的应用价值。
酯的合成通常通过酸催化的酯化反应来实现,其一般反应方程式为:酸酯化反应:醇 + 酸酐 -> 酯 + 酸常用的酸催化剂有硫酸、磷酸等。
醇和酸酐在酸的催化下发生酯化反应,生成酯和水。
该反应在加热条件下进行,反应时间可根据具体情况进行调整。
酯的合成反应条件温和,反应产物纯度高,具有较广泛的适用范围。
醛的合成醛是有机化合物中的一类重要功能团,广泛存在于工业生产和有机合成中。
醛的合成方式多种多样,下面介绍两种常见的方法。
1. 通过氧化反应合成醛氧化反应是醛的一种重要合成方法,常用的氧化剂有氧气、过氧化氢等。
例如,氧化醇得到醛的反应方程式为:醇氧化反应:醇 + 氧气 -> 醛 + 水在催化剂的作用下,醇和氧气发生氧化反应,生成醛和水。
该方法具有反应条件温和,选择性好的特点,适用于合成不同种类的醛。
2. 通过卤代烃和水合成醛卤代烃可以通过与水反应生成醛。
该反应需要合适的催化剂和适当的反应条件。
例如,卤代烃水解得到醛的反应方程式为:卤代烃水解反应:卤代烃 + 水 -> 醛 + 盐酸在水的作用下,卤代烃和水发生水解反应,生成醛和盐酸。
该方法适用于合成不同种类的醛,反应条件相对较温和。
芳香化合物的合成芳香化合物是有机化学中一类重要的化合物,具有特殊的结构和性质。
芳香化合物的合成方法多种多样,下面介绍两种常用的方法。
1. 炔烃与卤代烃的芳香取代反应炔烃经过芳香取代反应可以合成芳香化合物。
该反应需要在适当的条件下进行,常用的芳香取代反应有炔烃与卤代烃的反应。
例如,苯乙炔与溴化氢反应生成苯基溴的反应方程式为:炔烃芳香取代反应:炔烃 + 卤代烃 -> 芳香化合物在催化剂的作用下,炔烃和卤代烃发生芳香取代反应,生成芳香化合物。
有机化学实验考试复习题有机化学实验考试复习题有机化学实验是化学专业的重要课程之一,它通过实验操作来加深学生对有机化学理论的理解和应用能力的培养。
而在考试前,复习是必不可少的一环。
本文将为大家提供一些有机化学实验考试的复习题,帮助大家更好地备考。
一、化合物鉴定1. 你在实验室中得到了一个无色液体,它的分子式为C4H10O,你需要确定它的结构。
请列出你将采取的实验步骤和理论依据。
2. 你在实验室中得到了一个白色晶体,它在酸性条件下溶解,但在碱性条件下不溶解。
请确定该化合物的性质,并给出理论依据。
二、有机合成1. 请设计一个合成方案,将苯甲酸转化为苯乙醇。
描述你的实验步骤和反应机理。
2. 你需要合成一个具有药物活性的化合物,它的分子式为C10H12O2。
请设计一个合成方案,并描述你的实验步骤和反应机理。
三、反应机理1. 请解释以下反应的机理:苯乙烯与溴反应生成1,2-二溴乙烷。
2. 请解释以下反应的机理:苯与氯化亚铜反应生成苯基氯。
四、实验操作1. 你需要从一个混合物中分离苯酚和对硝基苯酚。
请设计一个实验方案,并描述你的实验步骤。
2. 你需要从苯酚合成对硝基苯酚。
请设计一个实验方案,并描述你的实验步骤。
五、实验安全1. 你在实验室中进行苯烷酸与溴的反应时,突然发现有强烈的刺激性气味。
请列出你的应急处理步骤和理论依据。
2. 你在实验室中操作苯胺时,不小心溅到了手上。
请列出你的应急处理步骤和理论依据。
这些题目涵盖了有机化学实验的各个方面,包括化合物鉴定、有机合成、反应机理、实验操作和实验安全等。
通过对这些题目的复习,可以帮助学生巩固对有机化学实验的理论知识,并提高实验操作和问题解决能力。
在复习过程中,建议学生不仅要掌握实验操作的步骤,还要理解实验背后的原理和机理。
这样可以帮助学生更好地应对考试中的实验设计和问题解答。
总之,有机化学实验考试的复习是一个重要的环节,通过对复习题的仔细研究和理解,可以提高学生的备考效果。
有机化学合成题1、由甲苯、丙二酸二乙酯及必要试剂合成:OH 3CCH 2CH 3解:CH 3CH 3CH 2Cl + CH 2O + HCl2( I )2+2CH 2(COOEt)225-CH(COOEt)2Na +( I )H 3C CH 2CH(COOEt)225(2) C 2H 5BrH 3C CH 2C(COOEt)2CH 2CH 3H 3CCH 2CHCOOHCH 2CH 32H 3CCH 2CHCH 2CH 3COCl3CH 3OCH 2CH 3(TM)2、由C 3或C 3以下有机物合成:O COOHO解: CH 3CCH 3O2(CH 3)2C=CHCCH 3O(II)CH 2(COOEt)2(2) ( II )(1) NaOEt (CH 3)2C CH 2CCH 3OCH(COOEt)22+(2) ∆ , -CO 2(CH 3)2CCH 2CCH 3OCH 2COOHOO CN2CC CH 3OHOO CHO CN CH 3HOOH 2O/H ∆OO COOH3、由乙炔、C 2或C 2以下有机物合成:OH (叶醇,一种香料)解:CH 3CH 2CCMgBrO 干醚H 2O CH 3CH 2C CCH 2CH 2OHH 2lindlarC=CHHCH 2CH 2OH CH 3CH 2CH CHCH CNa CH CCH 2CH 33C H Br25(TM)4、由Br 为有机原料合成:COOCH 3解:BrNaCNCNH 2O +COOHCOClCHO2H/Pd-BaSOBr COOHCOOCH 3Br3+4COOCH 3ZnBrCHO干醚H 2O COOCH 3OH2∆COOCH 3(TM)5、由O合成3解:OCH3OHCH3 CH MgI H2O24(1) B H22CH3HOHH(TM)6、由丙二酸二乙酯合成COO-N+H3解:Br∆Br CH(COOEt)2CH2(COOEt)2NH OO KOHNKOONCH(COOEt)2OO(1) C H ONa322NC(COOEt)2OOCH2CH(CH3)22+2(CH3)2CHCH2CHCOOHNH2NH3COO-+即:7、由苯合成I ClClCl解:NO2NH2NHCOCH3 3H2SO432Fe + HClNHCOCH 3NH 2NHCOCH 3NH 2Cl ClFe + HCl2NaNO 2+过量HCl。
试题库五——合成题及解答1. 由苯或甲苯及其它无机试剂制备: 2.3. 4. 5.6.7.8.9.1011121314.15.HC ≡CH → CH 3CH 2CH 2CH 2OH 16. 17.O 2C CH 3OH CH 3CHCH 2CH 318. 19.20.CH 3CH=CHCH 3 →21.CH 3CH 2CH 2OH → CH 3CH 2CH 2CH 2OH22.写出由相应的羰基化合物及格氏试剂合成2-丁醇的两条路线。
232425262728 3031323334.35. HC ≡CH → CH 3COOC 2H 536.37.CH 3CH 2COOH → CH 3CH 2CH 2CH 2COOHC H 3C H -C H C H OOO CH 2CH 2CH 2OHCH 2CHCH 3OH38.CH 3COOH → CH 2(COOC 2H 5)2 39. 40.41. 42. 43444546474849505152.53.54.55.由CH 2(COOC 2H 5)2合成CH 3CH 2OHCH 3CHCH 2CH 3BrCH 3BrCH 3CHCOOH2CH=CH 2H 3C56.由CH 3COCH 2COOC 2H 5合成 57.58. 59. 60.616263646566676869707172.73. 由乙酰乙酸乙酯合成2,5-己二酮。
74. 由丙二酸二乙酯合成3-甲丁酸75. CH 3CH 2CH 2CH 2CH-CH 3COOHCH 3COOHCH 3(CH 2)3OHH 3(C H 2)3SO 2(C H 2)3C H 3C H 3C H 2BrCH 3CH=CH 2CH ≡CH ,3CH 2CH 22CH 2CH 2CH 3O76. 由丙二酸二乙酯合成环丁基甲酸。
77. 由乙醇合成乙酰乙酸乙酯。
78. 79.81.82.83. 84.85.87. 88.89. 91. 92.9495. NH 2NO 2由CH 3CH 2CH 2CH 2Br CH 3CH 2CH-CHCH 3CH 3CH 3CH 3BrCH 2CH 2CH 2CH 2Br由1-丁烯合成2CH 2CH 3296. 97. 98. 99.101102. 103.116.五个C 原子以下的有机物合成117.以不多于4个C 的有机物为原料合成: 118.以丙烯为原料合成: 119. 以丙烯为唯一有机原料合成:H 2C H =C H2C H 2C H 2 C H 3OHOCH 2Cl2CH 2 CH 3BrCH 2-CH-CH 2Cl CH 3-C-CH 2CH 2CH 3OHCH 3试题库之五:合成题答案1.3.30. 32.36414243444648495054585994109. 116. 117.118. 119.a.b.HNO 324CH 3Cl Clc.2FeCl COOHd.e.f.3KMnO 4P 2O 5△+Br △TMCH 2=CHCH Br 2CH 2=CHCH 2Cl 2CH 2-CH-CH 2ClCl Br。
有机化学制备与合成实验复习题一、填空题:1、蒸馏时,如果馏出液易受潮分解,可以在接受器上连接一个(干燥管)防止(空气中的水分)侵入。
2、(重结晶)只适宜杂质含量在(5%)以下的固体有机混合物的提纯。
从反应粗产物直接重结晶是不适宜的,必须先采取其他方法初步提纯。
3、液体有机物干燥前,应将被干燥液体中的( 水份 )尽可能( 除去 ),不应见到有(浑浊)。
4、水蒸气蒸馏是用来分离和提纯有机化合物的重要方法之一,常用于下列情况:(1)混合物中含有大量的( 固体 );(2)混合物中含有( 焦油状物质 )物质;(3)在常压下蒸馏会发生(氧化分解)的(高沸点)有机物质。
5、萃取是从混合物中抽取(有用的物质);洗涤是将混合物中所不需要的物质(除去)。
6、冷凝管通水是由(下)而(上),反过来不行。
因为这样冷凝管不能充满水,由此可能带来两个后果:其一:气体的(冷凝效果)不好。
其二,冷凝管的内管可能(破裂)。
7、羧酸和醇在少量酸催化作用下生成酯的反应,称为(酯化)反应。
常用的酸催化剂有(浓硫酸)等8、蒸馏时蒸馏烧瓶中所盛液体的量既不应超过其容积的(2/3),也不应少于( 1/3 )。
9、测定熔点使用的熔点管(装试样的毛细管)一般外径为1-1.2mm,长约70-80mm;装试样的高度约为( 2~3 mm ),要装得(均匀)和(结实)。
10、减压过滤结束时,应该先通(大气),再(关泵),以防止倒吸。
11、用羧酸和醇制备酯的合成实验中,为了提高酯的收率和缩短反应时间,可采取(提高反应物的用量)、(减少生成物的量)、(选择合适的催化剂)等措施。
12、利用分馏柱使(沸点相近)的混合物得到分离和纯化,这种方法称为分馏。
13、减压过滤的优点有:(过滤和洗涤速度快);(固体和液体分离的比较完全);(滤出的固体容易干燥)。
14、液体有机物干燥前,应将被干燥液体中的(水份)尽可能(分离净),不应见到有(水层)。
15、熔点为固-液两态在大气压下达到平衡状态的温度。
有机化学制备与合成实验复习题新GE GROUP system office room 【GEIHUA16H-GEIHUA GEIHUA8Q8-有机化学制备与合成实验复习题一、填空题:1、蒸馏时,如果馏出液易受潮分解,可以在接受器上连接一个(干燥管)防止(空气中的水分)侵入。
2、(重结晶)只适宜杂质含量在(5%)以下的固体有机混合物的提纯。
从反应粗产物直接重结晶是不适宜的,必须先采取其他方法初步提纯。
3、液体有机物干燥前,应将被干燥液体中的(水份)尽可能(除去),不应见到有(浑浊)。
4、水蒸气蒸馏是用来分离和提纯有机化合物的重要方法之一,常用于下列情况:(1)混合物中含有大量的(固体);(2)混合物中含有(焦油状)物质;(3)在常压下蒸馏会发生(氧化分解)的(高沸点)有机物质。
5、萃取是从混合物中抽取(有用的物质);洗涤是将混合物中所不需要的物质(除去)。
6、冷凝管通水是由(下)而(上),反过来不行。
因为这样冷凝管不能充满水,由此可能带来两个后果:其一:气体的(冷凝效果)不好。
其二,冷凝管的内管可能(破裂)。
7、羧酸和醇在少量酸催化作用下生成酯的反应,称为(酯化)反应。
常用的酸催化剂有(浓硫酸)等8、蒸馏时蒸馏烧瓶中所盛液体的量既不应超过其容积的(2/3),也不应少于(1/3)。
9、测定熔点使用的熔点管(装试样的毛细管)一般外径为(1-1.2mm),长约70-80mm;装试样的高度约为(2~3 mm),要装得(均匀)和(结实)。
10、减压过滤(抽滤)结束时,应该先(通大气),再(关泵),以防止倒吸。
11、用羧酸和醇制备酯的合成实验中,为了提高酯的收率和缩短反应时间,可采取(提高反应物的用量)、(减少生成物的量)、(选择合适的催化剂)等措施。
12、利用分馏柱使(沸点相近)的混合物得到分离和纯化,这种方法称为分馏。
13、减压过滤(抽滤)的优点有:(过滤和洗涤速度快);(固体和液体分离的比较完全);(滤出的固体容易干燥)。
10化学师范班有机合成化学复习题(此资料根据老师给的一部分,还有PPT上带★的复习题,以及综合部分同学的笔记整理的,这份题目不全面,请大家补充,一些合成题答案到时候将以图片形式上传到共享)一.选择题(2*10=20)1、构造式为CH3CHClCH=CHCH3的立体异构体数目是: B(A)2 (B)4 (C) 6 (D) 82、HBr与3,3-二甲基-1-丁烯加成生成2,3-二甲基-2-溴丁烷的反应机理是什么?A(A)碳正离子重排(B) 自由基反应(C) 碳负离子重排(D) 1,3-迁移3、CF3CH=CH2 + HCl 产物主要是: B (不太确定)(A) CF3CHClCH3(B) CF3CH2CH2Cl(C) CF3CHClCH3与CF3CH2CH2Cl 相差不多(D) 不能反应4、分子式为C7H14的化合物G与高锰酸钾溶液反应生成4-甲基戊酸,并有一种气体逸出, G 的结构式是: A(A) (CH3)2CHCH2CH2CH=CH2(B) (CH3)3CCH=CHCH3(C) (CH3)2CHCH=C(CH3)2(D) CH3CH2CH=CHCH(CH3)25、下列哪个化合物能生成稳定的格氏试剂? C(A) CH3CHClCH2OH (B) CH3CH2CH2Br(C) HC≡CCH2Cl (D) CH3CONHCH2CH2Cl6、不活泼的乙烯型卤代烃在下列哪种溶剂中也能生成格氏试剂? DA、高级醚B、60℃~90℃石油醚C、二甲亚砜D、四氢呋喃7、若已知某化合物分子中有两个手性碳原子,由此可以预测该化合物: D(A) 一定有手性(B) 一定没有手性(C) 一定存在外消旋体和内消旋体(D) 都不对下列化合物何者具有旋光性?8、哪一种化合物不能用于干燥甲醇? B(A) 无水氯化钙(B) 氧化钙(C) 甲醇镁(D) 无水硫酸钠二.反应式(15道)三.反应机理(3道)(本人只知道一道,欢迎大家补充)四.合成(5道)1、以乙烯为有机原料,无机试剂自选合成(Z)-3己烯(1)乙烯氧化成乙炔,乙炔与金属钠反应生成乙炔钠(2)乙炔与氢溴酸反应生成溴乙烷(3)乙炔钠与溴乙烷反应生成3己炔(4)3己炔在林德拉试剂催化下加氢还原成(Z)-3己烯2、以1-丙醇为唯一有机原料,其它无机试剂自选合成正丙基异丙基醚(1)1-丙醇与氢溴酸反应生成1-溴丙烷(2)1-丙醇消去生成1-丙烯,1-丙烯水化生成2-丙醇,与金属钠反应生成2-丙醇钠(3)2-丙醇钠与1-溴丙烷反应生成正丙基异丙基醚3、以2-丙醇和丙二酸二乙酯为原料合成(1) 2-丙醇消去生成丙烯,丙烯与XOH反应生成CH3CHOHCH2X(2) CH3CHOHCH2X浓硫酸加热下消去生成CH2=CHCH2X, CH2=CHCH2X与HX加成生成CH2XCH2CH2X(3)有机化学下册69页4、以苯为原料合成间溴苯胺(1)苯与浓硝酸(浓硫酸催化,加热)生成间二硝基苯(2)间二硝基苯在NH4HS还原下生成间硝基苯胺(3)间硝基苯胺与NaNO2、HBr反应生成间硝基溴苯(4)硝基溴苯与Fe、HBr反应生成间溴苯胺五.推断(1道)化合物A(C9H11Cl)与NaOH溶液加热反应生成构型为R的旋光性化合物B(C9H12O),B在浓硫酸存在下加热得到化合物C (C9H10),C与酸性KMnO4溶液在加热条件下反应生成一个二元羧酸D (C8H6O4),D能够脱水得到酸酐E。
有机化学合成考试试题一、选择题(每题 5 分,共 50 分)1、下列化合物中,不能发生傅克反应的是()A 苯B 甲苯C 硝基苯D 氯苯2、在下列试剂中,不能与醛酮发生亲核加成反应的是()A 氢氰酸B 格氏试剂C 亚硫酸氢钠D 氢氧化钠3、下列化合物中,酸性最强的是()A 乙醇B 苯酚C 碳酸D 乙酸4、下列反应中,属于亲电取代反应的是()A 苯的硝化反应B 乙烯的加成反应C 卤代烃的水解反应D 醇的氧化反应5、下列化合物中,能发生碘仿反应的是()A 乙醇B 乙醛C 丙酮D 乙酸6、下列碳正离子中,最稳定的是()A (CH₃)₃C⁺B (CH₃)₂CH⁺C CH₃CH₂⁺D CH₃⁺7、下列化合物进行卤代反应时,反应活性最高的是()A 苯B 甲苯C 硝基苯D 苯胺8、下列化合物中,能与 FeCl₃溶液发生显色反应的是()A 乙醇B 苯酚C 乙酸D 乙醚9、下列化合物在碱性条件下发生消除反应时,遵循扎依采夫规则的是()A 1-溴丁烷B 2-溴丁烷C 2-甲基-2-溴丁烷D 3-甲基-1-溴丁烷10、下列化合物中,属于手性分子的是()A 2-丁醇B 1,2-二氯乙烷C 2,3-二氯戊烷D 3-氯-1-丁烯二、填空题(每题 5 分,共 30 分)1、写出下列化合物的系统命名:(CH₃)₂CHCH₂CH₂OH __________________。
2、写出丙烯与 HBr 加成的主要产物的结构简式__________________。
3、苯甲醛与氢氰酸反应的产物是__________________。
4、醇在浓硫酸作用下加热脱水,主要生成__________________。
5、卤代烃与氢氧化钠的醇溶液共热发生__________________反应。
6、乙酸与乙醇在浓硫酸作用下发生酯化反应的化学方程式为__________________。
三、简答题(每题 10 分,共 20 分)1、简述卤代烃发生亲核取代反应的机理,并举例说明。
5. 合成题5-1.以环己醇为原料合成:1,2,3-三溴环己烷。
NBSBrBrBr Br 2Br OHCCl45-2.从异丙醇为原料合成:溴丙烷。
CH 2HBr3CH 2CH 3BrCHCH CH=CH 2OH 3ROOR5-3.由1-氯环戊烷为原料合成:顺-1,2-环戊二醇。
H 2O 2ClC 2H 5OH O s O 4KOH5-4.以1-甲基环己烷为原料合成:CH 3CO(CH 2)4COOH 。
Na (CH 2)4hvC 2H 5CH 3CO 3CH 3BrBr 2COOHCH3O5-5.由CH 2OH为原料合成:OCH 2CH +CO 25-6.以1-溴环戊烷为原料合成:反-2-溴环戊醇。
Br 2H 2OBr5-7.由1,2-二甲基环戊醇为原料合成:2,6-庚二酮。
(1)(2)O3CH 3Zn/H 2OCH CH 33CH 3(CH 2)3OH C O CH 3C O5-8.以2-溴丙烷为原料合成丙醇。
OHBr C 2H 5Na CH 23CH 2CH 3CH CH CH=CH OH3OH5-9.由1-甲基环己烷合成:反-2-甲基环己醇。
NaC 2H 5O C 2H 53CH 3CH 35-10.以环戊烷为原料合成:反-1,2-环戊二醇。
Br 2hvC 2H 5OH BrKOH5-11以苯及C 4以下有机物为原料合成:C 6H 5H H CC CH 3NBSCH 2CH 2CH 3CH 2Cl+CO CH 2CH 3Br 2CH CH C 2H 5OHBr BrCC CH 3KOHCH CH C 6H 56H 5CHCH 3CH C 6H 5Br C 2H 5OH KOH 6H 5C 2H 5NaNH 3CH 3HC C CH 3C C液C 6H 5C 6H 5H5-12.用甲烷做唯一碳来源合成:CH 3CH 2CH O C O +Cu 2Cl 24CH241500℃OCHCH 4CH 3CHC 2=CH CH=CH C HgSO 4O 23+CH 3OCH 2CH 3CH O CH 2=CH C 12O 2Ag C O5-13.以乙炔、丙烯为原料合成:BrBr CHOCHOCu 2Cl 2NH 4ClCHNH 3CHCH=CH 2CHC 2=CH CH=CH 2液NaCH 2=CH Br BrBr 2CHOCHO,CHO,CH3CH 2=CH CH 2=CH 20.25MPa5-14.以1,3-丁二烯,丙烯,乙炔等为原料合成:CH 2CH 2CH 2OH+CH 2ClCH 2CH=CH 2CH 2=CH CH 2=CH CH 2ClH 2催化剂Lindlar CHCH=CH 2CCH2CH 2CH 22)3OHCH=CH 2CH 2,Cl 2CH 3CH 2ClCH 2=CH CH 2=CH5-15.由乙炔和丙烯为原料合成正戊醛(CH 3(CH 2)3CHO ) +CH CH Na NH 3C 液NaNH 2CH+BrCH 23CH 2CH 3;CH=CH2ROORCH 2CHOCH 3CH 2(CH 2)33CH 2CH 2C35-16.由乙烯和乙炔为原料合成内消旋体3,4-己二醇。
有机化学制备与合成实验复习题一、填空题:1、蒸馏时,如果馏出液易受潮分解,可以在接受器上连接一个干燥管防止空气中的水分侵入;2、重结晶只适宜杂质含量在5%以下的固体有机混合物的提纯;从反应粗产物直接重结晶是不适宜的,必须先采取其他方法初步提纯;3、液体有机物干燥前,应将被干燥液体中的水份尽可能除去,不应见到有浑浊;4、水蒸气蒸馏是用来分离和提纯有机化合物的重要方法之一,常用于下列情况:1混合物中含有大量的固体;2混合物中含有焦油状物质;3在常压下蒸馏会发生氧化分解的高沸点有机物质;5、萃取是从混合物中抽取有用的物质;洗涤是将混合物中所不需要的物质除去;6、冷凝管通水是由下而上,反过来不行;因为这样冷凝管不能充满水,由此可能带来两个后果:其一:气体的冷凝效果不好;其二,冷凝管的内管可能破裂;7、羧酸和醇在少量酸催化作用下生成酯的反应,称为酯化反应;常用的酸催化剂有浓硫酸等8、蒸馏时蒸馏烧瓶中所盛液体的量既不应超过其容积的2/3,也不应少于1/3;9、测定熔点使用的熔点管装试样的毛细管一般外径为1-1.2mm,长约70-80mm;装试样的高度约为2~3 mm,要装得均匀和结实;10、减压过滤抽滤结束时,应该先通大气,再关泵,以防止倒吸;11、用羧酸和醇制备酯的合成实验中,为了提高酯的收率和缩短反应时间,可采取提高反应物的用量、减少生成物的量、选择合适的催化剂等措施;12、利用分馏柱使沸点相近的混合物得到分离和纯化,这种方法称为分馏;13、减压过滤抽滤的优点有:过滤和洗涤速度快;固体和液体分离的比较完全;滤出的固体容易干燥;14、液体有机物干燥前,应将被干燥液体中的水分尽可能分离干净,不应见到有水层;15、熔点为固-液两态在大气压下达到平衡状态的温度;对于纯粹的有机化合物,一般其熔点是固定的;即在一定压力下,固-液两相之间的变化都是非常敏锐的,初熔至全熔的温度不超过~1℃,该温度范围称之为熔程;如混有杂质则其熔点下降,熔程也变长;16、合成乙酰苯胺时,反应温度控制在100-110℃摄氏度左右,目的在于蒸出反应中生成的水,当反应接近终点时,蒸出的水分极少,温度计水银球不能被蒸气包围,从而出现温度计上下波动的现象;17、如果温度计水银球位于支管口之上,蒸汽还未达到温度计水银球就已从支管口流出,此时,测定的沸点数值将偏低;18、利用分馏柱使几种沸点相近的混合物得到分离和纯化,这种方法称为分馏;利用分馏柱进行分馏,实际上就是在分馏柱内使混合物进行多次气化和冷凝;19、萃取是提取和纯化有机化合物的常用手段;它是利用物质在两种不互溶或微溶溶剂中溶解度或分配比的不同来达到分离、提取或纯化目的;20、一般固体有机物在溶剂中的溶解度随温度的变化而改变;温度升高溶解度增大,反之则溶解度降低;热的饱和溶液,降低温度,溶解度下降,溶液变成过饱和而析出结晶;利用溶剂对被提纯化合物及杂质的溶解度的不同,以达到分离纯化的目的;21、学生实验中经常使用的冷凝管有:直形冷凝管,球形冷凝管及空气冷凝管;其中,球形冷凝管一般用于合成实验的回流操作,直形冷凝管一般用于沸点低于140℃的液体有机化合物的蒸馏操作中;高于140℃的有机化合物的蒸馏可用空气冷凝管;22、在水蒸气蒸馏开始时,应将T形管的螺旋夹夹子打开;在蒸馏过程中,应调整加热速度,以馏出速度2-3滴/秒为宜;二、判断下面说法的准确性,正确画√,不正确画×;1、用蒸馏法测沸点,烧瓶内装被测化合物的多少会影响测定结果;√2、进行化合物的蒸馏时,可以用温度计测定纯化合物的沸点,温度计的位置不会对所测定的化合物产生影响;×3、在合成液体化合物操作中,最后一步蒸馏仅仅是为了纯化产品;√4、用蒸馏法、分馏法测定液体化合物的沸点,馏出物的沸点恒定,此化合物一定是纯化合物;×5、没有加沸石,易引起暴沸;√6、在合成乙酸正丁酯的实验中,分水器中应事先加入一定量的水,以保证未反应的乙酸顺利返回烧瓶中;×7、在加热过程中,如果忘了加沸石;可以直接从瓶口加入;×8、在正溴丁烷的合成实验中,蒸馏出的馏出液中正溴丁烷通常应在下层;×9、熔点管不干净,测定熔点时不易观察,但不影响测定结果;×10、样品未完全干燥,测得的熔点偏低;×11、用蒸馏法测沸点,烧瓶内装被测化合物的多少影响测定结果;√12、测定纯化合物的沸点,用分馏法比蒸馏法准确;×13、在低于被测物质熔点10-20℃时,加热速度控制在每分钟升高5℃为宜;×14、样品管中的样品熔融后再冷却固化仍可用于第二次测熔点;×15、用MgSO4干燥粗乙酸乙酯,干燥剂的用量根据实际样品的量来决定;√16、在使用分液漏斗进行分液时,上层液体经漏斗的下口放出;×17、精制乙酸乙酯的最后一步蒸馏中,所用仪器均需干燥;√18、在肉桂酸制备实验中,在水蒸汽蒸馏前用氢氧化钠代替碳酸钠来中和水溶液;×19、会与水发生化学反应的物质可用水蒸气蒸馏来提纯;×20、在水蒸汽蒸馏实验中,当馏出液澄清透明时,一般可停止蒸馏;√21、样品中含有杂质,测得的熔点偏低;√22、在进行常压蒸馏、回流和反应时,可以在密闭的条件下进行操作;×23、在进行蒸馏操作时,液体样品的体积通常为蒸馏烧瓶体积的1/32/3;√24、球型冷凝管一般使用在蒸馏操作中;×25、在蒸馏实验中,为了提高产率,可把样品蒸干;×26、在正溴丁烷的制备中,气体吸收装置中的漏斗须置于吸收液面之下;×27、在反应体系中,沸石可以重复使用;×28、利用活性炭进行脱色时,其量的使用一般需控制在1%-3%;√29、“相似相溶”是重结晶过程中溶剂选择的一个基本原则;√30、样品中含有杂质,测得的熔点偏高;×31、A、B 两种晶体的等量混合物的熔点是两种晶体的熔点的算术平均值;×32、重结晶过程中,可用玻璃棒摩擦容器内壁来诱发结晶;√33、在合成液体化合物操作中,蒸馏仅仅是为了纯化产品;×34、用蒸馏法、分馏法测定液体化合物的沸点,馏出物的沸点恒定,此化合物一定是纯化合物;×35、熔点管壁太厚,测得的熔点偏高;√三、选择题1、在苯甲酸的碱性溶液中,含有C杂质,可用水蒸气蒸馏方法除去;A、MgSO4;B、CH3COONa;C、C6H5CHO;D、 NaCl2、正溴丁烷的制备中,第一次水洗的目的是AA、除去硫酸B、除去氢氧化钠C、增加溶解度D、进行萃取3、久置的苯胺呈红棕色,用C方法精制;A、过滤;B、活性炭脱色 ;C、蒸馏;D、水蒸气蒸馏.4、测定熔点时,使熔点偏高的因素是C;A、试样有杂质;B、试样不干燥;C、熔点管太厚;D、温度上升太慢;5、重结晶时,活性炭所起的作用是AA、脱色B、脱水C、促进结晶D、脱脂6、过程中,如果发现没有加入沸石,应该B;A、立刻加入沸石;B、停止加热稍冷后加入沸石;C、停止加热冷却后加入沸石7、进行脱色操作时,活性炭的用量一般为A;A、1%-3%;B、5%-10%;C、10%-20%四、实验操作:1、在正溴丁烷的合成实验中,蒸馏出的馏出液中正溴丁烷通常应在下层,但有时可能出现在上层,为什么若遇此现象如何处理答:若未反应的正丁醇较多,或因蒸馏过久而蒸出一些氢溴酸恒沸液,则液层的相对密度发生变化,正溴丁烷就可能悬浮或变为上层;遇此现象可加清水稀释,使油层正溴丁烷下沉;2、当加热后已有馏分出来时才发现冷凝管没有通水,怎么处理答:立即停止加热,待冷凝管冷却后,通入冷凝水,同时补加沸石,再重新加热蒸馏;如果不将冷凝管冷却就通冷水,易使冷凝管爆裂;3、遇到磨口粘住时,怎样才能安全地打开连接处答:1用热水浸泡磨口粘接处;2用软木胶塞轻轻敲打磨口粘接处;3将甘油等物质滴到磨口缝隙中,使渗透松开;4、在制备乙酰苯胺的饱和溶液进行重结晶时,在烧杯中有油珠出现,试解释原因;怎样处理才算合理答:这一油珠是熔融的乙酰苯胺,因其比重大于水而沉于烧杯底部,可补加少量热水,使其完全溶解,不可认为是杂质而将其舍去;5、重结晶时,如果溶液冷却后不析出晶体怎么办可采用下列方法诱发结晶:1 用玻璃棒摩擦容器内壁;2 用冰水冷却;3 投入“晶种”;6、怎样判断水蒸汽蒸馏是否完成蒸馏完成后,如何结束实验操作当流出液澄清透明不再含有有机物质的油滴时,即可断定水蒸汽蒸馏结束也可用盛有少量清水的锥形瓶或烧杯来检查是否有油珠存在;实验结束后,先打开螺旋夹,连通大气,再移去热源;待体系冷却后,关闭冷凝水,按顺序拆卸装置;7、冷凝管通水方向是由下而上,反过来行吗为什么答:冷凝管通水是由下口进,上口出,反过来不行;因为这样冷凝管不能充满水,由此可能带来两个后果:其一,气体的冷凝效果不好;其二,冷凝管的内管可能炸裂;8、合成乙酰苯胺时,柱顶温度为什么要控制在105oC左右答:为了提高乙酰苯胺的产率,反应过程中不断分出水,以打破平衡,使反应向着生成乙酰苯胺的方向进行;因水的沸点为100oC,反应物醋酸的沸点为118oC,且醋酸是易挥发性物质,因此,为了达到要将水份除去,又不使醋酸损失太多的目的,必需控制柱顶温度在105oC左右;9、选择重结晶用的溶剂时,应考虑哪些因素答:1溶剂不应与重结晶物质发生化学反应;2重结晶物质在溶剂中的溶解度应随温度变化,即高温时溶解度大,而低温时溶解度小;3杂质在溶剂中的溶解度或者很大,或者很小;4溶剂应容易与重结晶物质分离;10、在正溴丁烷的制备过程中,如何判断正溴丁烷是否蒸完正溴丁烷是否蒸完,可以从下列几方面判断:①蒸出液是否由混浊变为澄清;②蒸馏瓶中的上层油状物是否消失;③取一试管收集几滴馏出液;加水摇动观察无油珠出现;如无,表示馏出液中已无有机物、蒸馏完成;11、什么情况下需要采用水蒸汽蒸馏答:下列情况需要采用水蒸气蒸馏:1混合物中含有大量的固体,通常的蒸馏、过滤、萃取等方法都不适用;2混合物中含有焦油状物质,采用通常的蒸馏、萃取等方法都不适用;3在常压下蒸馏会发生分解的高沸点有机物质12、什么时候用气体吸收装置如何选择吸收剂答:反应中生成的有毒和刺激性气体如卤化氢、二氧化硫或反应时通入反应体系而没有完全转化的有毒气体如氯气,进入空气中会污染环境,此时要用气体吸收装置吸收有害气体;选择吸收剂要根据被吸收气体的物理、化学性质来决定;可以用物理吸收剂,如用水吸收卤化氢;也可以用化学吸收剂,如用氢氧化钠溶液吸收氯和其它酸性气体;13、什么是萃取什么是洗涤指出两者的异同点;答:萃取是从混合物中抽取所需要的物质;洗涤是将混合物中所不需要的物质除掉;萃取和洗涤均是利用物质在不同溶剂中的溶解度不同来进行分离操作,从混合物中提取的物质,如果是我们所需要的,这种操作叫萃取,如果不是我们所需要的,这种操作叫洗涤;14、什么情况下用水蒸气蒸馏用水蒸气蒸馏的物质应具备什么条件下列情况可采用水蒸气蒸馏:1混合物中含有大量的固体,通常的蒸馏、过滤、萃取等方法都不适用;2混合物中含有焦油状物质,采用通常的蒸馏、萃取等方法都不适用;3在常压下蒸馏会发生分解的高沸点有机物质;用水蒸气蒸馏的物质应具备下列条件:1随水蒸气蒸出的物质应不溶或难溶于水,且在沸腾下与水长时间共存而不起化学变化;2随水蒸气蒸出的物质,应在比该物质的沸点低得多的温度,而且比水的沸点还要低得多的温度下即可蒸出;15、为什么能止暴如果加热后才发现没加沸石怎么办由于某种原因中途停止加热,再重新开始蒸馏时,是否需要补加沸石为什么1沸石为多孔性物质,它在溶液中受热时会产生一股稳定而细小的空气泡流,成为液体分子的气化中心,从而使液体平稳地沸腾,防止了液体因过热而产生的暴沸;2如果加热后才发现没加沸石,应立即停止加热,待液体冷却后再补加,切忌在加热过程中补加,否则会引起剧烈的暴沸,甚至使部分液体冲出瓶外,有时会引起着火;3中途停止蒸馏,再重新开始蒸馏时,因液体已被吸入沸石的空隙中,再加热已不能产生细小的空气流而失效,必须重新补加沸石;16、何谓分馏它的基本原理是什么利用分馏柱使几种沸点相近的混合物得到分离和纯化,这种方法称为分馏;利用分馏柱进行分馏,实际上就是在分馏柱内使混合物进行多次气化和冷凝;当上升的蒸气与下降的冷凝液互相接触时,上升的蒸气部分冷凝放出热量使下降的冷凝液部分气化,两者之间发生了热量交换;其结果,上升蒸气中易挥发组份增加,而下降的冷凝液中高沸点组份增加;如果继续多次,就等于进行了多次的气液平衡,即达到了多次蒸馏的效果;这样,靠近分馏柱顶部易挥发物质的组份的比率高,而在烧瓶中高沸点的组份的比率高,当分馏柱的效率足够高时,开始从分馏柱顶部出来的几乎是纯净的易挥发组份,而最后的烧瓶里残留的几乎是纯净的高沸点组份;17、测定熔点时,常用的热浴有哪些如何选择测定熔点时,常用的热浴有液体石蜡,甘油,浓硫酸,磷酸,硅油以及浓硫酸与硫酸钾按一定比例配制的饱和溶液等;可根据被测物的熔点范围选择导热液,如:1被测物熔点<140℃时,可选用液体石蜡或甘油2被测物熔点>140℃时,可选用浓硫酸,但不要超过250℃,因此时浓硫酸产生的白烟,防碍温度的读数;3被测物熔点>250℃时,可选用浓硫酸与硫酸钾的饱和溶液;还可用磷酸或硅油,但价格较贵,实验室很少使用;18、蒸馏装置中,温度计应放在什么位置如果位置过高或过低会有什么影响如果温度计水银球位于支管口之上,蒸气还未达到温度计水银球就已从支管流出,测定沸点时,将使数值偏低;若按规定的温度范围收取馏份,则按此温度计位置收取的馏份比规定的温度偏高,并且将有一定量的该收集的馏份误作为前馏份而损失,使收集量偏少;如果温度计的水银球位于支管口之下或液面之上,测定沸点时,数值将偏高;但若按规定的温度范围收取馏份时,则按此温度计位置收取的馏份比要求的温度偏低,并且将有一定量的该收集的馏份误认为后馏份而损失;19、学生实验中经常使用的冷凝管有哪些各用在什么地方学生实验中经常使用的冷凝管有:直形冷凝管,空气冷凝管及球形冷凝管等;直形冷凝管一般用于沸点低于140℃的液体有机化合物的沸点测定和蒸馏操作中;沸点大于140℃的有机化合物的蒸馏可用空气冷凝管;球形冷凝管一般用于回流反应即有机化合物的合成装置中因其冷凝面积较大,冷凝效果较好;20、合成乙酰苯胺时,锌粉起什么作用加多少合适锌的加入是为了防止苯胺氧化;只加入微量的锌即可, 不能太多,否则会产生不溶于水的ZnOH2,给产物后处理带来麻烦;21、在乙酸正丁酯的制备实验中,使用分水器的目的是什么使用分水器的目的是为了除去反应中生成的水,促使反应完全,提高产率;22、装有电动搅拌器的回流反应装置安装有电动搅拌器的反应装置,除按一般玻璃仪器的安装要求外,还要求:1.搅拌棒必须与桌面垂直;2.搅拌棒与玻璃管或液封管的配合应松紧适当,密封严密;3.搅拌棒距烧瓶底应保持5mm上的距离;4.安装完成后应用手转动搅拌棒看是否有阻力;搅拌棒下端是否与烧瓶底温度计等相碰;如相碰应调整好以后再接通电源,使搅拌正常转动;23、如何除去液体化合物中的有色杂质如何除去固体化合物中的有色杂质除去固体化合物中的有色杂质时应注意什么答:除去液体化合物中的有色杂质,通常采用蒸馏的方法,因为杂质的相对分子质量大,留在残液中;除去固体化合物中的有色杂质,通常采用在重结晶过程中加入活性炭,有色杂质吸附在活性炭上,在热过滤一步除去;除去固体化合物中的有色杂质应注意:1加入活性炭要适量,加多会吸附产物,加少,颜色脱不掉;2不能在沸腾或接近沸腾的温度下加入活性炭,以免暴沸;3加入活性炭后应煮沸几分钟后才能热过滤;24、在使用分液漏斗进行分液时,操作中应防止哪几种不正确的做法答:1.分离液体时,分液漏斗上的小孔未于大气相通就打开旋塞;2.分离液体时,将漏斗拿在手中进行分离;3.上层液体经漏斗的下口放出;4.没有将两层间存在的絮状物放出;25、重结晶时,如果溶液冷却后不析出晶体怎么办答:可采用下列方法诱发结晶:1用玻璃棒摩擦容器内壁;2用冰水或其它制冷溶液冷却;3投入“晶种”;26、重结晶操作中,活性炭起什么作用为什么不能在溶液沸腾时加入答:1重结晶操作中,活性炭起脱色和吸附作用; 2千万不能在溶液沸腾时加入,否则会引起暴沸,使溶液溢出,造成产品损失;五、装置题了解画出分馏装置、蒸馏装置、带有分水器的加热回流装置、带有气体吸收的加热回流装置、带有机械搅拌加热回流装置及其水蒸气蒸馏装置图;画出环己烯合成的反应装置图; 画出制备正溴丁烷的反应装置图; 画出制备乙酸正丁酯的反应装置图;五、装置题1、水蒸气蒸馏装置主要由几大部分组成试画出装置图;答:水蒸气蒸馏装置主要由水蒸气发生器、三颈瓶和冷凝管三部分组成;2、以下装置中请指出它的错误之处并重新画出正确的装置答:主要错误有:1、温度计插入太深,应在支管处2、冷凝水的流向不对,应从下到上;3、冷凝管用错,应选择直形冷凝管4、反应液太满,不能超过2/3;正确装置图4、画出制备正溴丁烷的反应装置图。