倍角公式练习题
- 格式:docx
- 大小:500.67 KB
- 文档页数:11
教材习题点拨练习A1.(1)错误!;(2)错误!;(3)错误!;(4)-错误!;(5)1;(6)错误!。
2.由cos α=-1213,α∈错误!,解得sin α=错误!,则cos 2α=2cos2α-1=2×错误!2-1=错误!。
(由cos 2α=1-2sin2α也可以求得)sin 2α=2sin αcos α=2×错误!×错误!=-错误!。
3.因为tan α=错误!,所以tan 2α=错误!=错误!=错误!,cot 2α=错误!=错误!。
4.y=cos2x-sin2x=cos 2x,则该函数的周期是π,最大值是1,最小值是-1。
练习B1.(1)(sin α-cos α)2=sin2α+cos2α-2sin αcos α=1-sin 2α;(2)sin错误!cos错误!=错误!sin θ;(3)cos4φ-sin4φ=(cos2φ-sin2φ)(cos2φ+sin2φ)=cos 2φ;(4)错误!-错误!=错误!=tan 2θ.2.因为cos(α-β)=-错误!,而且α-β=错误!,所以sin(α-β)=错误!.因为cos(α+β)=错误!,而且α+β∈错误!,所以sin(α+β)=-错误!. 所以cos 2α=cos(α+β+α-β)=cos (α+β)cos(α-β)-sin (α+β)·sin(α-β)=-错误!。
3.原式=2sin 20°cos 20°cos 40°cos 80°2sin 20°=2sin 40°cos 40°cos 80°4sin 20°=错误!=错误!=错误!。
4.设∠AOC =θ,θ∈(0°,60°).OC =1,OF =cos θ,CF =sin θ,OE =错误!=错误!=错误!,EF =OF -OE =cos θ-错误!。
倍角公式与半角公式复习倍角公式和半角公式是三角函数中的重要公式之一,可以用来求解角的倍数关系和角的半数关系。
下面将详细介绍倍角公式和半角公式,并给出一些例题进行练习。
一、倍角公式倍角公式是用来计算角的倍数关系的公式,根据三角函数的性质,可以推导出如下三个倍角公式:1.正弦倍角公式sin(2θ) = 2sinθcosθ2.余弦倍角公式cos(2θ) = cos²θ - sin²θ = 2cos²θ - 1 = 1 - 2sin²θ3.正切倍角公式tan(2θ) = (2tanθ)/(1 - tan²θ)二、半角公式半角公式是用来计算角的半数关系的公式,根据三角函数的性质,可以推导出如下三个半角公式:1.正弦半角公式sin(θ/2) = ±√[(1 - cosθ)/2],取决于θ的正负性。
2.余弦半角公式cos(θ/2) = ±√[(1 + cosθ)/2],取决于θ的正负性。
3.正切半角公式tan(θ/2) = ±√[(1 - cosθ)/(1 + cosθ)],取决于θ的正负性。
以上公式都可以通过使用三角函数的定义,以及用倍角公式和半角公式递归求解推导得到。
接下来,我们通过一些例题进行练习。
例题1:已知sinθ = 3/5,求cos2θ。
解:根据已知,我们可以得到cosθ = √(1 - sin²θ) = √(1 -9/25) = 4/5利用余弦倍角公式,可以计算cos2θ = cos²θ - sin²θ = (4/5)² - (3/5)² = 16/25 - 9/25 = 7/25例题2:已知sin(θ/2) = 2/3,且θ ∈ [0, π/2],求sinθ。
解:根据已知,我们可以得到cos(θ/2) = ±√[(1 + cosθ)/2] =±√[(1 + (√(1 - sin²θ)))/2] = ±√[(1 + (√(1 - 4/9)))/2] =±√(5/9)。
三角函数的两角和差及倍角公式练习题一、选择题:1、若)tan(,21tan ),2(53sin βαβπαπα-=<<=则的值是 A .2 B .-2 C .211 D .-2112、如果sin cos ,sin cos x x x x =3那么·的值是A .16B .15C .29D .3103、如果的值是那么)4tan(,41)4tan(,52)tan(παπββα+=-=+ A .1318 B .322 C .1322 D .-13184、若f x x f (sin )cos ,=⎛⎝ ⎫⎭⎪232则等于 A .-12 B .-32 C .12 D .325、在∆ABC A B A B 中,··sin sin cos cos ,<则这个三角形的形状是A .锐角三角形B .钝角三角形C .直角三角形D .等腰三角形二、填空题:6、角αβαβ终边过点,角终边过点,则(,)(,)sin()4371--+= ;7、若αα23tan ,则=所在象限是 ; 8、已知=+-=⎪⎭⎫ ⎝⎛+θθθθθπsin 2cos cos sin 234cot ,则 ; 9、=︒︒-︒+︒70tan 65tan 70tan 65tan ·; 10、化简3232sin cos x x +=。
三、解答题:11、求的值。
·︒︒+︒100csc 240tan 100sec12、的值。
,求已知)tan 1)(tan 1(43βαπβα--=+13、已知求的值。
cos ,sin cos 23544θθθ=+14、已知)sin(2)(sin 053tan ,tan 22βαβαβα+++=-+的两个根,求是方程x x·cos()αβ+的值。
答案:一、1、B2、D 提示: tan x = 3, 所求122sin x , 用万能公式。
3、B 提示: ()απαββπ+=+--⎛⎝ ⎫⎭⎪444、A 提示: 把x =π3代入5、B 提示: ∵cos(A + B ) > 0 ∴角C 为钝角。
两角和与差及倍角公式【知识梳理】1.基本公式(1)sin(α±β)= . (2)cos(α±β)=. (3)tan(α±β)= . (4)sin2α= .(5)cos2α= = = 。
(6)tan2α= . 2.几个有用的公式变形式(1)变形: tan α±tan β=. (2)降幂:cos 2α= ,sin 2α= .3. 形如a sin α+b cos α的化简a sin α+b cos α=a 2+b 2sin(α+β).其中cos β= , sin β= ,tan β= ,β的终边所在象限由a 、b 的值来确定.【基础练习】1. (2010·福建)计算sin 43°cos 13°-cos 43° sin 13°的结果等于( )A. 12B. 33C. 22D. 322.sin163sin 223sin 253sin313+= ___________.3. (教材改编题)已知cos 2α=12,其中α∈⎝⎛⎭⎫-π4,0,则sin α的值为( ) A. 12 B. -12 C. 32 D. -324. 下列各式中,值为32的是( ) A. 2sin 15°cos 15° B. cos 215°-sin 215°C. 2sin 215°-1D. sin 215°+cos 215°5. 1sin 2x x -=___________ 【题型探究】1.求tan20°+tan40°+3tan20°tan40°的值;2. 已知cos α=17,cos(α+β)=-1114,α、β∈(0,π2),则cos β=________.【当堂检测】08.11、函数()cos 22sin f x x x =+的最小值和最大值分别为( )A. -3,1B. -2,2C. -3,32D. -2,32 07.9.若cos 2π2sin 4αα=-⎛⎫- ⎪⎝⎭cos sin αα+的值为A.B.12- C.123. (2010·山东威海模拟)设sin α=35⎝⎛⎭⎫π2<α<π,tan(π-β)=12,则tan(α-2β)=( ) A. -247 B. -724 C. 247 D. 7244. (2010·聊城模拟)化简2+cos 2-sin 21的结果是( )A. -cos 1B. cos 1C. 3cos 1D. -3cos 1 5.sin(65°-x )cos(x -20°)+cos(65°-x )cos(110°-x )的值为( )A. 2B.22C.12D.326. 函数y =sin x +cos ⎝⎛⎭⎫x -π6的最大值和最小值分别为____________ . 7.已知sin θ+cos θ=15,且π2≤θ≤3π4,则cos2θ的值是________. 8.(2008·上海春)化简:cos(π3+α)+sin(π6+α)=______ 9.若锐角α、β满足(1+3tan α)(1+3tan β)=4,则tan(α+β)=________.10.已知α为第二象限角,sin α=53,β为第一象限角, cos β= 135,则tan(α-β)= .。
倍角公式练习题倍角公式是学习三角函数中的重要内容,它可以用来求解一些特殊的三角函数值。
通过练习题的形式来巩固和应用倍角公式的知识,可以帮助我们更好地理解和掌握这一内容。
本文将给出一些关于倍角公式的练习题,并逐一解答,帮助读者更好地掌握倍角公式的应用。
1. 求解sin(2θ) = √3/2 的解θ。
解析:根据倍角公式sin(2θ) = 2sin(θ)cos(θ),将已知条件带入公式,得到2sin(θ)cos(θ) = √3/2。
可以将√3/2 写成sin(π/3) 的形式,即2sin(θ)cos(θ) = sin(π/3)。
由此可得sin(2θ) = sin(π/3)。
根据三角函数的周期性,sin(2θ) = sin(π/3) 的解为2θ = π/3 + 2kπ 或2θ = π - π/3 + 2kπ,其中 k 是整数。
化简得θ = π/6 + kπ 或θ = π/2 - π/6 + kπ,其中 k 是整数。
所以,求解sin(2θ) = √3/2 的解θ为θ = π/6 + kπ 或θ = π/2 - π/6 + kπ,其中 k 是整数。
2. 已知 cos(2α) = -1/4,求解cosα的值。
解析:根据倍角公式cos(2α) = cos^2(α) - sin^2(α),将已知条件带入公式,得到cos^2(α) - sin^2(α) = -1/4。
由此可得cos^2(α) = sin^2(α) - 1/4。
根据三角函数的平方和差公式,sin^2(α) - 1/4 = sin(2α),将之前已知条件带入公式,得到sin^2(α) - 1/4 = -1/4。
化简得sin^2(α) = 0。
因此,sin(α) = 0。
根据三角函数的定义,sin(α) = 0 的解为α = kπ,其中 k 是整数。
利用cosα = ±√(1 - sin^2α),可求解出cosα的两个解为cosα = ±1。
人教B版必修第三册《8.2.3 倍角公式》练习题(2) 一、单选题(本大题共12小题,共60.0分)1.在△ABC中,角A、B、C所对的边分别为a、b、c,若a=6,c=4,sin B2=√33,则b=()A. 9B. 36C. 6√2D. 62.若z∈C且z=cosα+isinα,α∈R,则|z−3−4i|的最大值是()A. 3B. 4C. 5D. 63.在平面直角坐标系xOy中,角α与角β的始边为x轴正半轴,顶点为坐标原点,终边关于x轴对称,已知sinα=35,则cosβ=()A. 35B. −45C. ±35D. ±454.给出下列四个命题:①映射不一定是函数,但函数一定是其定义域到值域的映射;②函数f(x)的反函数是y=log5x,则f(log515)=−1;③函数f(x)=sin(ωx+π4) (ω>0)在(π2,π)上递减,则ω的范围为[12,54];④若α是第一象限的角,则α2也是第一象限的角.其中所有正确命题的序号是()A. ①③B. ②③C. ①④D. ②④5.在△ABC中,A,B,C为三个内角,f(B)=4cosB⋅sin2(π4+B2)+√3cos2B−2cosB,若f(B)=2,则角B为()A. π12B. π6C. π4D. π36.已知π4<α<3π4,0<β<π4,cos(π4−α)=35,sin(3π4+β)=513,则sin(α+β)=()A. −5665B. 5665C. −1665D. 16657.函数的最小正周期为()A. 4B. 2C.D.8.下列函数中,在区间(0,)上为增函数且以为周期的函数是()A. B. C. D.9.已知:,则A. 4B.C. 5D. 310.若点在函数的图像上,则=()A. 2B. 4C. 6D. 811.若α为第三象限角,则√1−sinα2的结果为()A. sinαB. −sinαC. cosαD. −cosα12.已知α,β∈(0,π),tanα,tanβ是方程x2+4x+2=0的两根,则cos(α+β)的值是()A. √1717B. −√1717C. 45D. −45二、解答题(本大题共3小题,共36.0分)13.求值:(1)sin6°sin42°sin66°sin78°;(2)sin220°+cos250°+sin20°cos50°.14.在△ABC中,角A,B,C所对的边分别为a,b,c,且8sin2(A+B2)+3cos2C=3.(1)求cos C;(2)若B=π2,2AM⃗⃗⃗⃗⃗⃗ =MC⃗⃗⃗⃗⃗⃗ ,求tan∠ABM.15.在△ABC中,角A、B、C的对边分别为a、b、c,且a≥b,sinA+√3cosA=2sinB.(Ⅰ)求角C的大小;(Ⅱ)若c=√3,求a+b的最大值.【答案与解析】1.答案:D解析:解:∵a =6,c =4,sin B2=√33,∴cosB =1−2sin 2B2=1−2×(√33)2=13,∴由余弦定理可得:b =√a 2+c 2−2accosB =√36+16−2×6×4×13=6.故选:D .由已知利用二倍角的余弦函数公式可求cos B 的值,根据余弦定理即可计算得解b 的值.本题主要考查了二倍角公式以及余弦定理在解三角形中的应用,考查了计算能力和转化思想,属于基础题.2.答案:D解析:解:∵z =cosα+isinα,α∈R , ∴|z −3−4i|=|(cosα−3)+(sinα−4)i| =√(cosα−3)2+(sinα−4)2 =√26−10sin(α+θ),∴|z −3−4i|的最大值是√26+10=6, 故选D .把z =cosα+isinα代入|z −3−4i|,利用三角恒等变换可求. 该题考查复数的模、三角恒等变换,属基础题.3.答案:D解析:解:由sinα=35,可得α的终边在第一或第二象限,β的终边在第三或第四象限,且cosβ=cosα. 若α的终边在第一象限,则β的终边在第四象限, ∵cosα=√1−sin 2α=45,∴cosβ=cosα=45.若α的终边在第二象限,则β的终边在第三象限, ∵cosα=−√1−sin 2α=−45,∴cosβ=cosα=−45. 综上可得,cosβ=cosα=±45, 故选:D .根据同角三角函数的基本关系,以及三角函数在各个象限中的符号,分类讨论求得cosβ的值. 本题主要考查同角三角函数的基本关系,以及三角函数在各个象限中的符号,属于基础题.4.答案:A解析:解:对于选项:①映射不一定是函数,但函数一定是其定义域到值域的映射;正确. 对于选项②:函数f(x)的反函数是y =log 5x ,则:f(x)=5x ,则f(log 515)=15;故错误. 对于选项③:函数f(x)=sin(ωx +π4) (ω>0)在(π2,π)上递减, 故π2+2kπ≤ωx +π4≤3π2+2kπ,(k ∈Z) 整理得π4ω+2kπω≤x ≤5π4ω+2kπω,(k ∈Z)由于函数在(π2,π)上递减,故π4ω+2kπω≤π2<x <π≤5π4ω+2kπω,即:{π≤5π4ω+2kπωπ4ω+2kπω≤π2,解得ω的范围为[12,54];故正确.对于选项④若α是第一象限的角,故则α2也是第一或第三象限的角,故错误. 故选:A .直接利用函数的定义的应用,反函数的应用,正弦型函数的性质的应用,象限角的应用求出结果. 本题考查的知识要点:函数的定义的应用,反函数的应用,正弦型函数的性质的应用,象限角的应用,主要考查学生的运算能力和转换能力及思维能力,属于基础题型.5.答案:A解析:解:∵f(B)=4cosB1−cos(π2+B)2+√3cos2B −2cosB =2cosB(1+sinB)+√3cos2B −2cosB =sin2B +√3cos2B =2sin(2B +π3)=2, ∴sin(2B +π3)=1, ∵B ∈(0,π),2B +π3∈(π3,7π3),∴2B +π3=π2,∴B =π12. 故选:A .先利用三角函数的和角公式、二倍角公式将原函数化成一个三角函数的形式,由f(B)=2得到sin(2B+π3)=1,结合B的范围,利用正弦函数的性质即可求解B的值.本题主要考查了二倍角公式,两角和的正弦函数公式以及正弦函数的性质的综合应用,考查了转化思想和函数思想,属于基础题.6.答案:B解析:解:∵π4<α<3π4,0<β<π4,cos(π4−α)=35,sin(3π4+β)=513,∴π4−α∈(−π2,0),3π4+β∈(π2,π),∴sin(π4−α)=√1−cos2(π4−α)=−45,cos(3π4+β)=−√1−sin2(3π4+β)=−1213,则sin(α+β)=sin[(3π4+β)−(π4−α)−π2]=−cos[(3π4+β)−(π4−α)]=−cos(3π4+β)cos(π4−α)−sin(3π4+β)sin(π4−α)=−1213⋅35−513⋅(−45)=−1665,故选:B.利用同角三角函数的基本关系、诱导公式、两角差的余弦公式,求得sin(α+β)的值.本题主要考查同角三角函数的基本关系、诱导公式、两角差的余弦公式的应用,属于基础题.7.答案:C解析:试题分析:;;则,函数的周期.所以本题答案选.考点:1.诱导公式;2.正弦二倍角公式;3.三角函数的周期.8.答案:D解析:试题分析:A项的周期为;B项周期;C项在上是减函数;D项满足在区间(0,)上为增函数且以为周期考点:三角函数周期性单调性点评:函数,的周期为,的周期为9.答案:A解析:解析:本题考查同角三角函数的基本关系。
两角和、差及倍角公式一、选择题(每小题5分,共35分)1.(2018·成都模拟)计算:sin 20°cos10°-cos 160°·sin 10°=( )A. B.- C.- D.【解析】选D.原式=sin 20°cos10°+cos20°sin10°=sin(20°+10°)=sin30°=.2.已知sin=,则sin 2θ= ( )A.-B.-C.D.【解析】选A.因为sin=,所以(sin θ+cos θ)=,两边平方得(1+sin 2θ)=,解得sin 2θ=-.3.(2018·大庆模拟)已知α,β都是锐角,且sin αcos β=cos α(1+sin β),则( )A.3α-β=B.2α-β=C.3α+β=D.2α+β=【解析】选B.因为sin αcos β=cos α(1+sin β),所以sin(α-β)=cos α=sin,所以α-β=-α,即2α-β=.4.已知sin α=,sin=-,α,β均为锐角,则cos 2β=( )A.-B.-1C.0D.1【解析】选C.由题意知:cos α==,cos(α-β)==.所以cos β=cos[α-(α-β)]=cos αcos(α-β)+sin αsin(α-β)=.所以cos 2β=2cos2β-1=2×-1=0.【变式备选】已知cos α=,cos(α+β)=-,且α∈,α+β∈,则cos β的值为( )A.-B.C. D.-【解析】选 C.因为α∈,α+β∈,cosα=,cos(α+β)=-,所以sinα==,sin(α+β)==,故cos β= cos[(α+β)-α]=cos(α+β)cos α+sin(α+β)sin α=.5.若tan α=,tan(α+β)=,则tan β= ( )A. B. C. D.【解析】选 A.tanβ=tan[(α+β)-α]===.6.已知角θ的顶点在坐标原点,始边与x轴的正半轴重合,终边上有一点A(3,-4),则sin(2θ+)的值为( )A. B.- C.-1 D.1【解题指南】先根据任意角三角函数的定义求出sin θ及cos θ的值,再用诱导公式及倍角公式求解.【解析】选B.由题意知sin θ=,cos θ=,故sin=cos2θ= cos2θ -sin2θ=-=-.7.(2018·郑州模拟)已知sin α+cos α=,则sin2=( )A. B. C. D.【解析】选B.因为sin α+cos α=,所以1+2sin αcos α=,即2sin αcos α=-,因此sin2==(1-2sin αcos α)=.二、填空题(每小题5分,共15分)8.(2017·江苏高考)若tan=, 则tan α=__________ ____.【解析】tan α=tan===.答案:9.(2018·长沙模拟)已知P,Q 是圆心在坐标原点O 的单位圆上的两点,分别位于第一象限和第四象限,且P 点的纵坐标为,Q 点的横坐标为,则cos ∠POQ= __________.【解题指南】由条件利用直角三角形中的边角关系求得sin ∠xOP 和cos ∠xOQ 的值,利用同角三角函数的基本关系求得cos ∠xOP 和sin ∠xOQ,再利用两角和的余弦公式求得cos ∠POQ=cos(∠xOP+∠xOQ )的值.【解析】由题意可得,sin ∠xOP=,cos ∠xOQ=,所以cos ∠xOP=,sin ∠xOQ=.所以cos ∠POQ=cos(∠xOP+∠xOQ)=cos ∠xOP ·cos ∠xOQ-sin ∠xOP ·sin ∠xOQ=×-×=-.答案:-10.(2018·青岛模拟)在锐角△ABC中,B>,sin =,cos =,则sin(A+B)=__________.【解析】因为sin=,所以cos=±,因为cos=-<-=cosπ,所以A+>⇒A>(舍),所以cos=,由cos=⇒sin=,所以sin(A+B)=sin=sin cos+cos sin=×+×=.答案:1.(5分)若sin(α+β)=,sin(α-β)=,则等于( )A.5B.-1C.6D.【解析】选A.因为sin(α+β)=,所以sin αcos β+cos αsin β=.①因为sin(α-β)=,所以sin αcos β-cos αsin β=.②①+②得sin αcos β=.②-①得cos αsin β=.==5.2.(5分)化简:·=________.【解析】原式=tan(90°-2α)·=··=··=. 答案:3.(5分)(2018·大连模拟)已知cos4α-sin4α=且α∈,则cos=________.【解析】因为cos4α-sin4α=(cos2α-sin2α)(cos2α+sin2α)=cos2α-sin2α= cos 2α=,又因为α∈,所以2α∈(0,π),故sin 2α==,所以原式=cos 2αcos -sin 2αsin =×-×=-.答案:-4.(12分)已知α,β均为锐角,且sin α=,tan(α-β)=-.(1)求sin(α-β)的值.(2)求cos β的值.【解题指南】(1)根据α,β的范围,利用同角三角函数的基本关系求得sin(α-β)的值.(2)由(1)可得cos(α-β)的值,根据已知求出cos α的值,再由cos β= cos[α-(α-β)],利用两角差的余弦公式求得结果.【解析】(1)因为α,β∈,从而-<α-β<.又因为tan(α-β)=-<0,所以-<α-β<0.利用同角三角函数的基本关系可得sin2(α-β)+cos2(α-β)=1,且=-,解得sin(α-β)=-.(2)由(1)可得,cos(α-β)=.因为α为锐角,sin α=,所以cos α=.所以cos β=cos[α-(α-β)]=cos αcos(α-β)+sin αsin(α-β)=×+×=.5.(13分)如图,在平面直角坐标系xOy中,以x轴正半轴为始边的锐角α与钝角β的终边与单位圆分别交于A,B两点,x轴正半轴与单位圆交于点M,已知S△OAM= ,点B的纵坐标是.(1)求cos(α-β)的值.(2)求2α-β的值.【解析】(1)由题意,OA=OM=1,因为S△OAM=和α为锐角,所以sin α=,cos α=.又点B的纵坐标是.所以sin β=,cos β=-,所以cos(α-β)=cos αcos β+sin αsin β=×+×=-.(2)因为cos 2α=2cos2α-1=2×-1=-,sin 2α=2sin α·cos α=2××=,所以2α∈.因为β∈,所以2α-β∈.因为sin(2α-β)=sin 2α·cos β-cos 2α·sin β=-,所以2α-β=-.。
两角和与差的三角函数及倍角公式练习及答案一、选择题: 1、若)tan(,21tan ),2(53sin βαβπαπα-=<<=则的值是A .2B .-2C .211D .-2112、如果sin cos ,sin cos x x x x =3那么·的值是A .16B .15C .29D .3103、如果的值是那么)4tan(,41)4tan(,52)tan(παπββα+=-=+A .1318B .322C .1322D .-13184、若f x x f (sin )cos ,=⎛⎝⎫⎭⎪232则等于A .-12B .-32C .12D .325、在∆ABC A B A B 中,··sin sin cos cos ,<则这个三角形的形状是 A .锐角三角形 B .钝角三角形C .直角三角形D .等腰三角形二、填空题:6、角αβαβ终边过点,角终边过点,则(,)(,)sin()4371--+=;8、已知=+-=⎪⎭⎫⎝⎛+θθθθθπsin 2cos cos sin 234cot ,则 ;12、的值。
,求已知)tan 1)(tan 1(43βαπβα--=+ 两角和与差练习题一、选择题:2.已知)2,0(πα∈,sin(6πα+)=53,则cos α的值为( )A .-10334+ B .10343- C .10334- D .10334+7.已知cos(α-π6)+sin α=453,则sin(α+7π6)的值是 ( )A .-235 B.235 C .-45 D.458.f(x)=sinx cosx1+sinx +cosx 的值域为( )A .(―3―1,―1) ∪(―1, 3―1)B .[-2-12,―1] ∪(―1, 2-12)C .(-3-12,3-12)D .[-2-12,2-12]解析:令t =sin x +cos x =2sin(x +π4)∈[―2,―1]∪(―1, 2). 则f(x)=t 2-121+t =t -12∈[-2-12,―1]∪(―1, 2-12).B9 .sin()cos()cos()θθθ+︒++︒-+︒7545315的值等于( ) A. ±1B. 1C. -1D. 010.等式sin α+3cos α=4m -64-m有意义,则m 的取值范围是( ) A .(-1,73)B .[-1,73]C .[-1,73]D .[―73,―1]11、已知αβγ,,均为锐角,且1tan 2α=,1tan 5β=,1tan 8γ=,则αβγ++的值( ) A.π6B.π4C.π3D.5π412.已知α,β是锐角,sin α=x,cos β=y,cos(α+β)=-53,则y 与x 的函数关系式为( ) A .y=-5321x -+54x (53<x<1) B .y=-5321x -+54x (0<x<1)C .y=-5321x --54x (0<x<53)D .y=-5321x --54x (0<x<1)13、若函数()(1)cos f x x x =+,02x π≤<,则()f x 的最大值为( )A .1B .2 C1 D2 15. 设0)4tan(tan 2=++-q px x 是方程和θπθ的两个根,则p 、q 之间的关系是( )A .p+q+1=0B .p -q+1=0C .p+q -1=0D .p -q -1=016.若()1cos 3A B -=, 则()()22cos cos sin sin B A B A +++的值是( )A. 83-B . 83 C. 73D. 5317. 若()()17tan 411tan 4=-+βα,则()βα-tan 的值为( ) A. 14 B. 12C . 4 D. 1218. 已知)tan(),sin(4sin ,cos βαβααβ++==则a 的值是 ( )A .412--a aB .-412--a aC .214a a --±D .412--±a a19.已知)cos(,32tan tan ,7)tan(βαβαβα-=⋅=+则的值 ( )A .21B .22C .22-D .22±21.已知tan α,tan β是方程x 2+4=0的两根,且2π-<α<2π,2π-<β<2π,则α+β等于 ( )A .23π- B .3π C .3π或23π- D .-3π或23π22.如果sin()sin()m n αβαβ+=-,那么tan tan βα等于( )A.m n m n -+ B.m nm n+- C.n mn m-+ D.n mn m+-23.在△ABC 中,已知2sinAcosB =sinC ,则△ABC 一定是( )A .直角三角形B .等腰三角形C .等腰直角三角形D .正三角形24.在ABC ∆中,若3tan =C , 且()B B B A sin 120cos cos sin 0-=,则ABC ∆的形状是( )A. 等腰三角形B.等腰但非直角三角形C. 等腰直角三角形 D . 等边三角形25.若A B ,为锐角三角形的两个锐角,则tan tan A B 的值( ) A.不大于1 B.小于1 C.等于1 D.大于126.在ABC △中,90C >,sin E C =,sin sin F A B =+,cos cos G A B =+,则E F G ,,之间的大小关系为( ) A.G F E >> B.E F G >>C.F E G >> D.F G E >>27.ABC ∆中,若135cos ,53in ==B A s ,则C cos 的值是( ) A。
倍角度公式在我们学习三角函数的奇妙世界里,倍角度公式就像是一把神奇的钥匙,能为我们打开很多难题的大门。
记得我曾经给一群可爱的高中生讲解倍角度公式的时候,有个叫小李的同学,他那迷茫的小眼神让我至今难忘。
当时,我在黑板上写下了倍角公式:sin2α = 2sinαcosα 、cos2α = cos²α - sin²α 、tan2α = 2tanα / (1 - tan²α) 。
看着这些公式,同学们都露出了或困惑、或思考的表情。
小李更是直接举起手说:“老师,这也太复杂了,怎么能记住啊?”我笑着告诉他:“别着急,咱们慢慢来。
”咱们先来看sin2α = 2sinαcosα 这个公式。
大家想想,一个角扩大了两倍,它对应的正弦值会怎么变化呢?其实就像是把一块蛋糕切成两半,原本的那块蛋糕对应的正弦值,现在变成了两倍大的角度,那它的正弦值自然就和原来角度的正弦值、余弦值都有关系啦。
再说说cos2α = cos²α - sin²α 。
我们可以把它想象成一场拔河比赛,余弦的平方是一方的力量,正弦的平方是另一方的力量,两者较量的结果就决定了扩大两倍后的角度的余弦值。
至于tan2α = 2tanα / (1 - tan²α) ,大家可以把正切值tanα 看作是跑步的速度,角度扩大两倍后,速度的变化就由这个公式来决定。
为了让大家更好地理解和记住这些公式,我给同学们出了一些练习题。
小李一开始做得磕磕绊绊,但经过几次错误和纠正后,他终于掌握了窍门,脸上露出了开心的笑容。
在之后的学习中,倍角度公式的应用那可是无处不在。
比如求解三角形的角度和边长问题,或者是研究函数的周期性和对称性。
比如说,有这样一道题:已知sinα = 3/5,α 是锐角,求sin2α 的值。
这时候,我们先根据sinα 的值求出cosα 的值,因为α 是锐角,所以cosα = 4/5。
然后直接代入sin2α = 2sinαcosα 这个公式,就能算出sin2α = 24/25 。
和差倍角公式练习题一、选择题1.sin20°cos10°-cos160°sin10°=( D )A .-32 B.32 C .-12 D.12 2.已知53)2cos(2-=+∈παππα),,(则)4tan(πα+等于( A ) A.17 B .7 C .-17 D .-73.已知sin α-cos α=43,则sin2α=( A )A .-79B .-29 C.29 D.794.若33)6cos(-=-πα,则=+-απαcos )3cos(( C )A .-223B .±223 C .-1 D .±15.在△ABC 中,tan A +tan B +3=3tan A tan B ,则C 等于( A )A.π3B.2π3C.π6D.π46.已知π4<α<3π4,54)4sin(=-πα,则cos α=( B )A.210 B .-210 C.7210 D .-25二、填空题7.若]2,4[ππθ∈,sin2θ=378,则sin θ=_43_______.8.已知51)45tan(=-πα,则tan α=___-23_____.9.已知sin α=cos2α,),2(ππα∈,则tan α=__33-______.10.若sin(α+β)=15,sin(α-β)=35,则tan αtan β=__-2______.三、解答题11.已知),2(ππα∈,sin α=55.(1)求)4sin(απ+的值;(2)求)265cos(απ-的值. 12.已知函数f (x )=cos 2x +)6(cos 2π-x ,x ∈R . (1)求f (x )的最小正周期;(2)求f (x )在]4,3[ππ-上的最大值和最小值. 解答过程 2.已知53)2cos(2-=+∈παππα),,(则)4tan(πα+等于( A ) 解答:考察诱导公式,两角和的正切公式,注重基本公式的考察.71tan 11tan )4tan(,54cos .53sin sin 53)2cos(2=-+=+∴-=∴=∴-=-=+∈ααπααααπαππα),,( 3.已知sin α-cos α=43,则sin2α=( A )A .-79B .-29 C.29 D.79解答:把sin α-cos α=43两边平方,得到.972sin ,9162sin -1-=∴=αα 考察二倍角的基本公式,考察平方得基本方法,是高考的重点4.若33)6cos(-=-πα,则=+-απαcos )3cos(( C ) A .-223 B .±223 C .-1 D .±1解析:方向很重要,先化简再求值,不去化简已知条件1)33(3)6cos(3 )sin 21cos 23(3 sin 23cos 23 cos sin 23cos 21cos )3cos(-=-=-=+=+=++=+-παααααααααπα 5.在△ABC 中,tan A +tan B +3=3tan A tan B ,则C 等于( A ) A.π3 B.2π3 C.π6 D.π4解答:.3323tan tan 1tan tan )tan()1tan (tan 3tan tan ππ=∴=+∴-=-+=+∴-=+C B A B A B A B A B A B A 6.已知π4<α<3π4,54)4sin(=-πα,则cos α=( B ) A.210 B .-210 C.7210 D .-25 解答:两角和差的基本公式,另外拼凑角的技巧是高考的重点。
三角函数公式汇总及练习题一、倍角公式1、Sin2A=2SinA*CosA2、Cos2A=CosA^2-SinA^2=1-2SinA^2=2CosA^2-13、tan2A=(2tanA)/(1-tanA^2)(注:SinA^2是sinA的平方sin2(A))向左转|向右转二、降幂公式1、sin^2(α)=(1-cos(2α))/2=versin(2α)/22、2cos^2(α)=(1+cos(2α))/2=covers(2α)/23、tan^2(α)=(1-cos(2α))/(1+cos(2α))三、推导公式1、1tanα+cotα=2/sin2α2、tanα-cotα=-2cot2α3、1+cos2α=2cos^2α4、、4-cos2α=2sin^2α5、1+sinα=(sinα/2+cosα/2)^2=2sina(1-sin2a)+(1-2sin2a)sina四、两角和差1、1cos(α+β)=cosα·cosβ-sinα·sinβ2、cos(α-β)=cosα·cosβ+sinα·sinβ3、sin(α±β)=sinα·cosβ±cosα·sinβ4、4tan(α+β)=(tanα+tanβ)/(1-tanα·tanβ)5、tan(α-β)=(tanα-tanβ)/(1+tanα·tanβ)五、和差化积1、sinθ+sinφ=2sin[(θ+φ)/2]cos[(θ-φ)/2]2、sinθ-sinφ=2cos[(θ+φ)/2]sin[(θ-φ)/2]3、cosθ+cosφ=2cos[(θ+φ)/2]cos[(θ-φ)/2]4、cosθ-cosφ=-2sin[(θ+φ)/2]sin[(θ-φ)/2]5、tanA+tanB=sin(A+B)/cosAcosB=tan(A+B)(1-tanAtanB)六、积化和差1、sinαsinβ=[cos(α-β)-cos(α+β)]/22、sinαcosβ=[sin(α+β)+sin(α-β)]/23、cosαsinβ=[sin(α+β)-sin(α-β)]/2七、诱导公式1、(-α)=-sinα、cos(-α)=cosα2、tan(—a)=-tanα、sin(π/2-α)=cosα、cos(π/2-α)=sinα、sin(π/2+α)=cosα3、3cos(π/2+α)=-sinα4、(π-α)=sinα、cos(π-α)=-cosα5、5tanA=sinA/cosA、tan(π/2+α)=-cotα、tan(π/2-α)=cotα6、tan(π-α)=-tanα、tan(π+α)=tanα八、锐角三角函数公式1、sinα=∠α的对边/斜边2、α=∠α的邻边/斜边3、tanα=∠α的对边/∠α的邻边4、cotα=∠α的邻边/∠α的对边例1下列说法中,正确的是[]A.第一象限的角是锐角B.锐角是第一象限的角C.小于90°的角是锐角D.0°到90°的角是第一象限的角【分析】本题涉及了几个基本概念,即“第一象限的角”、“锐角”、“小于90°的角”和“0°到90°的角”.在角的概念推广以后,这些概念容易混淆.因此,弄清楚这些概念及它们之间的区别,是正确解答本题的关键.【解】第一象限的角可表示为{θ|k·360°<θ<90°+k·360°,k∈Z},锐角可表示为{θ|0°<θ<90°},小于90°的角为{θ|θ<90°},0°到90°的角为{θ|0°≤θ<90°}.因此,锐角的集合是第一象限角的集合当k=0时的子集,故(A),(C),(D)均不正确,应选(B).例2(90°-α)分别是第几象限角?【分析】由sinα·cosα<0,所以α在二、四象限;由sin α·tanα<0,所以α在二、三象限.因此α为第二象限的角,然后由角α的【解】(1)由题设可知α是第二象限的角,即90°+k·360°<α<180°+k·360°(k∈Z),的角.(2)因为180°+2k·360°<2α<360°+2k·360°(k∈Z),所以2α是第三、第四象限角或终边在y轴非正半轴上的角.(3)解法一:因为90°+k·360°<α<180°+k·360°(k∈Z),所以-180°-k·360°<-α<-90°-k·360°(k∈Z).故-90°-k·360°<90°-α<-k·360°(k∈Z).因此90°-α是第四象限的角.。
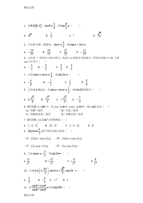
1.若[]0,q p Î,3cos 4q =,则tan 2q =()A .7 B B..17C C..7D 7 D..772.已知a 为第二象限角,54sin =a ,则=-)2sin(a p A .2425- B B..2425 C C..1225 D D..1225-3.已知角θ的顶点与原点重合,始边与x 轴的正半轴重合,终边在直线y =2x 上则cos 2θ等于()A .-54B B.-.-53C C..53D D..544.已知1sin cos 3a a +=,则sin 2a =()A .89-B B..21-C C..21D D..895.已知),0(p a Î,且1sin cos 2a a +=,则a 2cos 的值为()A .47±B B..47C C..47-D D..43-6.【原创】在△【原创】在△ABC ABC 中,若sin sin((A+B-C A+B-C))=sin =sin((A-B+C A-B+C)),则△,则△ABC ABC 必是()(A )等腰三角形(B )直角三角形(C )等腰或直角三角形(D )等腰直角三角形7.【原创】x y 2sin 2=的值域是()A .[-2,2]B 2] B..[0[0,,2]C 2] C..[-2,0]D 0] D..R8.x f(x)=cos ,2则下列等式成立的是()(A ))()2(x f x f =-p (B ))()2(x f x f =+p (C ))()(x f x f -=-(D ))()(x f x f =-9.已知3tan 5a =-,则sin2=a ()A.1517B.1517-C.817- D.8171010.已知.已知35,,cos ,tan 225p a p a a æöÎ=-ç÷èø = =(()A .43B B..-43 C C..2- D D..21111.若.若sin cos 2sin cos q qq q +=-则sin 2q =()A .1B 1 B..3C 3 C..12D D..351212.已知.已知,41)4cos()43sin(-=--p p x x 则x 4cos 的值等于(的值等于( )) A. 14 B. 42 C. 21 D. 221313.若.若(0,)a p Î,且1cos sin 3a a +=-,则cos2a =( )) (A )917 ((B )179± ((C )179- ((D )317 1414.已知.已知a 是第二象限角,且3sin()5p a +=-,则tan 2a 的值为(的值为( )) A .54 B B..723- C C..724- D D..3- 1515.已知.已知41)4sin(=-x p ,则x 2sin 的值为(的值为()) A .87 B B..169 C C..1615 D D..1615±1616.已知.已知33)6cos(-=-p x ,则=-+)3cos(cos p x x .. 1717.已知.已知1sin cos 2a a =+,且0,2p a æöÎç÷èø,则cos 2sin 4a p a æö-ç÷èø的值为的值为 .. 1818.函数.函数2324cos2x y x =-+在区间[0,]2p 上的最大值是上的最大值是 .. 1919.若.若3sin()25p a +=,则cos2a = .. 2020.若.若2sin cos q q =,则cos2sin 2q q +的值等于的值等于_________________________________2121.已知.已知1tan 2a =,则sin 2a = .. 2222.若.若3tan =a ,则=a 2sin ..2323.若.若tan α=2,则sin α·cos α的值为的值为 ..2424.函数.函数π()sin 22cos()4f x x x =++的最大值是的最大值是 ..2525.函数.函数sin()sin 24y x x p =+-()x ÎR 的最大值是的最大值是 .. 2626.已知函数.已知函数log (1)3a y x =-+,(0a >且1)a ¹的图象恒过点P ,若角a 的终边经过点P ,则2sin sin 2a a -的值等于的值等于_____________________..2727.①存在.①存在)2,0(p a Î使31cos sin =+a a ;②存在区间(,)a b 使x y cos =为减函数而sin 0x <;③x y tan =在其定义域内为增函数;④)2sin(2cos x x y -+=p 既有最大、最小值,又是偶函数;又是偶函数;⑤|62|sin p +=x y 最小正周期为p, 以上命题错误的为以上命题错误的为以上命题错误的为____________________________________。
(完整)三角函数的两角和差及倍角公式练习题编辑整理:尊敬的读者朋友们:这里是精品文档编辑中心,本文档内容是由我和我的同事精心编辑整理后发布的,发布之前我们对文中内容进行仔细校对,但是难免会有疏漏的地方,但是任然希望((完整)三角函数的两角和差及倍角公式练习题)的内容能够给您的工作和学习带来便利。
同时也真诚的希望收到您的建议和反馈,这将是我们进步的源泉,前进的动力。
本文可编辑可修改,如果觉得对您有帮助请收藏以便随时查阅,最后祝您生活愉快业绩进步,以下为(完整)三角函数的两角和差及倍角公式练习题的全部内容。
三角函数的两角和差及倍角公式练习题一、选择题:1、若)tan(,21tan ),2(53sin βαβπαπα-=<<=则的值是 A .2 B .-2 C .211 D .-2112、如果sin cos ,sin cos x x x x =3那么·的值是A .16B .15C .29D .310 3、如果的值是那么)4tan(,41)4tan(,52)tan(παπββα+=-=+ A .1318 B .322 C .1322 D .-13184、若f x x f (sin )cos ,=⎛⎝ ⎫⎭⎪232则等于 A .-12 B .-32 C .12 D .325、在∆ABC A B A B 中,··sin sin cos cos ,<则这个三角形的形状是A .锐角三角形B .钝角三角形C .直角三角形D .等腰三角形二、填空题:6、角αβαβ终边过点,角终边过点,则(,)(,)sin()4371--+= ;7、若αα23tan ,则=所在象限是 ;8、已知=+-=⎪⎭⎫ ⎝⎛+θθθθθπsin 2cos cos sin 234cot ,则 ;9、=︒︒-︒+︒70tan 65tan 70tan 65tan ·; 10、化简3232sin cos x x += 。
cos2x的倍角公式在我们的数学世界里,cos2x 这个倍角公式就像是一把神奇的钥匙,能帮我们打开很多难题的大门。
还记得我读高中的时候,有一次数学考试,最后一道大题就是关于cos2x 倍角公式的应用。
那道题可把我们班好多同学都难住了,我当时心里也直打鼓。
题目是这样的:已知 sinx = 3/5,且 x 在第一象限,求 cos2x 的值。
我一开始有点懵,脑袋里拼命回忆老师讲过的知识点。
cos2x = cos²x - sin²x ,这公式在我脑海里不断闪现。
我先根据 sinx 的值和三角函数的平方关系,算出了 cosx = 4/5 。
然后把它们代入公式,cos2x = (4/5)² - (3/5)²。
经过一番计算,得出cos2x = 7/25 。
当我算出答案的那一刻,心里别提多高兴了,就像是在黑暗中找到了光明。
咱们说回 cos2x 的倍角公式,它主要有三个常见的形式:cos2x =cos²x - sin²x ;cos2x = 2cos²x - 1 ;cos2x = 1 - 2sin²x 。
这三个公式就像是三胞胎兄弟,长得有点像,但又各有特点。
比如说,当题目中给出了 cosx 的值,那我们就优先考虑第一个公式;要是给出了 sinx 的值,那可能用第三个公式会更方便。
在解题的时候,一定要灵活运用这些公式。
有时候,可能需要把它们变形,或者结合其他的三角函数公式一起使用。
这就像是搭积木,要把不同的零件巧妙地组合在一起,才能搭出想要的形状。
再举个例子,如果让我们证明 cos2x = 2cos²x - 1 ,那该怎么做呢?我们可以从 cos2x = cos²x - sin²x 入手,因为 sin²x = 1 - cos²x ,把它代入进去,就能得到 cos2x = cos²x - (1 - cos²x),展开括号一化简,可不就得到了 2cos²x - 1 嘛。