浙江大学2015 年硕士研究生入学考试试题(高等代数)
- 格式:pdf
- 大小:225.45 KB
- 文档页数:2
2015年考研数学(二)试题答案速查一、选择题(1)D (2)B (3)A (4)C (5)D (6)B (7)D (8)A 二、填空题(9)48 (10))1()2(ln 2−−n n n (11)2 (12)2e 2e x x −+(13)1(d 2d )3x y −+ (14)21 三、解答题 (15)111,,23a b k =−=−=−. (16)8πA =. (17)1)1,0(−=−f 为极小值. (18)π245−. (19)零点个数为2. (20)还需冷却30min. (21)略.(22)(Ⅰ)0a =.(Ⅱ)312111211−⎛⎫⎪=− ⎪ ⎪−⎝⎭X .(23)(Ⅰ)4,5a b ==.(Ⅱ)1231100101,010011005−−−⎛⎫⎛⎫ ⎪ ⎪=−= ⎪ ⎪ ⎪ ⎪⎝⎭⎝⎭P P AP .2015年全国硕士研究生入学统一考试数学(二)参考答案一、选择题:1~8小题,每小题4分,共32分.下列每题给出的四个选项中,只有一个选项是符合题目要求的.请将所选项前的字母填在答题纸...指定位置上. (1)【答案】D .【解答】因为12lim 1x x →+∞=且112<,故2+∞⎰发散,不选A . 同理2ln ln2ln2d x ,x x x x+∞=+∞⎰,故2ln d x x x +∞⎰发散,不选B .221d lnln ln x x x x +∞+∞=⎰,故21d ln x x x +∞⎰发散,不选C .故选择D .(2)【答案】B .【解答】20sin ()lim(1)e x x tt t f x x→=+=,0x ≠,显然0)(=x x f 在处没有定义.因为1)(lim 0=→x f x ,所以0=x 为可去间断点,故选择B .(3)【答案】A .【解答】当0,()0x f x '=;10()(0)1(0)lim lim cos x x f x f f x x x αβ++−+→→−'==, 当1α>时,(0)0f +'=存在,且0)0(='f . 当0x >时,1111()cossin f x xx x xααβββαβ−−−'=+, 若0)(='x x f 在处连续,则1,10ααβ>−−>,即1αβ−>,故选择A .(4)【答案】C .【解答】拐点出现在二阶导数等于0,或二阶导数不存在的点,并且在这点的左右两侧二阶导函数异号,因此,由)(x f ''的图形可得,曲线)(x f y =存在两个拐点,故选C . (5)【答案】D .【解答】令,.x y u y v x +=⎧⎪⎨=⎪⎩得,11u uv x y v v ==++,故2(1)(,)1u v f u v v −=+. 2221211f u(v )f u ,u v v (v )∂−∂−==∂+∂+,所以21,01111−=∂∂=∂∂====v u v u vf u f,故选择D .(6)【答案】B .【解答】如图,利用极坐标cos sin x r y r θθ=⎧⎨=⎩,对于积分区域D ,ππ,43θ⎛⎫∈ ⎪⎝⎭,再由244cos sin 1xy r θθ==,解得212sin 2r θ=; 222cos sin 1xy r θθ==,解得21sin 2r θ=; 故可得答案B .(7)【答案】D .【解答】2211111111(,)1201111400(1)(2)(1)(2)ad a d a d a a d d ⎛⎫⎛⎫⎪ ⎪=→−− ⎪ ⎪ ⎪ ⎪−−−−⎝⎭⎝⎭A b , 由()(,)3r r =<A A b 得12,12a a d d ====或同时或,故选D . (8)【答案】A .【解答】由题意知T200010001⎛⎫ ⎪= ⎪ ⎪−⎝⎭P AP ,又100001010⎛⎫ ⎪== ⎪ ⎪−⎝⎭Q P PC ,T T T 200()010001⎛⎫ ⎪==− ⎪ ⎪⎝⎭Q AQ C P AP C ,故选择A .二、填空题:9~14小题,每小题4分,共24分.请将答案写在答题纸...指定位置上. (9)【答案】48.【解答】2222d 333(1)1d 1y t t x t +==++,2222d d ()d d d 12(1)d d d yy t x t t x x t==+,得212d 48d t y x ==.(10)【答案】)1()2(ln 2−−n n n .【解答】+⋅⋅=n x n n x C x f )2(ln 2)(20)(+⋅⋅⋅−11)2(ln 22n x nx C 22)2(ln 22−⋅⋅⋅n x n C , 所以,=)0()(n f)1()2(ln 2−−n n n .(11)【答案】2.x【解答】由22()()d ()d x x x xf t t x f t t ϕ==⎰⎰,得2220()()d 2()x 'x f t t x f x ϕ=+⎰,再由(1)1(1)5,ϕϕ'==,得10()d 1f t t =⎰,解得(1)2f =. (12)【答案】2e2e xx −+.【解答】由题可知特征方程为220λλ+−=,特征根121,2λλ==−,所以通解为212e e x x y C C −=+,再有0)0(,3)0(='=y y ,得122,1C C ==,所以2()e 2e x x y x −=+.(13)【答案】1(d 2d )3x y −+.【解答】当00x ,y ==时解得0z =,对该式两边分别对,x y 求偏导得,2323(3e )e x y z x y z zxy yz x++++∂+=−−∂, 2323(3e )2e x y z x y z zxy xz y ++++∂+=−−∂,将)0,0,0(带入得(0,0)d z =1(d 2d )3x y −+. (14)【答案】21.【解答】由矩阵A 的特征值为221,,−,由21B A A λλλ=−+可知矩阵B 的特征值分别为3,7,1,由行列式与特征值的关系可得,37121=⨯⨯=B .三、解答题:15~23小题,共94分.解答应写出文字说明、证明过程或演算步骤.请将答案写在答题纸...指定位置上. (15)(本题满分10分) 解:由题可知极限3ln(1)sin lim1x x a x bx xkx →+++=.而,原式2333330()()236limx x x x x a x o x bx x o x kx →⎡⎤⎡⎤+−+++−+⎢⎥⎢⎥⎣⎦⎣⎦=23330(1)()()23lim x a aa xb x x o x kx →++−++=. 要使得该极限值为1,必有10,0,23a a a b k +=−==,所以111,,23a b k =−=−=−.(16)(本题满分10分)解:由旋转体的体积公式可得,ππ22222210ππ()d π(sin )d 4A V f x x A x x ===⎰⎰, π2202π()d 2πV xf x x A ==⎰,由21V V =,解得8πA =.(17)(本题满分10分)解:(,)2(1)e xxyf x y y ''=+,两边对y 积分得 221(,)2()e ()(2)e ()2x x x f x y y y x y y x φφ'=++=++,又 (,0)(1)e xx f x x '=+,故()(1)e xx x φ=+. 所以,221(,)2()e ()(2)e (1)e 2x x x x f x y y y x y y x φ'=++=+++,两边对x 积分得, 2(,)(2)e e (1)d x x f x y y y x x =+++⎰2(2)e e (1)e ()x x x y y x C y =+++−+2(2)e e ()xxy y x C y =+++.由 2(0,)2f y y y =+,得()0C y =,2(,)(2)e e x xf x y y y x =++.令 0,0.x yf f '=⎧⎪⎨'=⎪⎩解得0,1.x y =⎧⎨=−⎩ 且有2(2)e 2e e ,2(1)e ,2e x x x x x xxxy yy f y y x f y f ''''''=+++=+=, 当1,0−==y x 时,2)1,0(,0)1,0(,1)1,0(=−''==−''==−''=yy xy xxf C f B f A , 因为0,02>>−A B AC ,故存在极小值,且1)1,0(−=−f 为极小值.(18)(本题满分10分)解:由条件可知积分区域关于y 轴对称,所以由二重积分的对称性可知,d d 0Dxy x y =⎰⎰,所以2()d d d d D Dx x y x y x x y +=⎰⎰⎰⎰.而π222402d d 2sin 2cos d 5Dx x t t t ⋅−⎰⎰⎰π22021π2π22sin d 522545u t u u =−=⋅−=−⎰.(19)(本题满分10分)解:因为2221)12(121)(x x x x x x f +−=+++−=', 令()0f x '=,得12x =为其驻点. 当1(,),()2x f x ∈−∞时单调递减,当1(,),()2x f x ∈+∞时单调递增. 故)21(f 是唯一的极小值,也是最小值.又121()2f t t =+⎰111224=+t t t ⎛⎫− ⎪⎝⎭⎰⎰⎰.在区间1,12⎛⎫ ⎪⎝⎭<1122t t <⎰⎰,从而0)21(<f .又21lim ()lim[]x x x f x t t →+∞→+∞=+⎰⎰211lim[]x x t t →+∞=−⎰⎰.考虑2lim x x t =+∞,所以lim ()x f x →+∞=+∞.而+∞=−∞→)(lim x f x ,所以函数()f x 在区间1,2⎛⎫−∞ ⎪⎝⎭和1,2⎛⎫+∞ ⎪⎝⎭上各有一个零点,故零点个数为2.(20)(本题满分11分)解:设t 时刻物体温度为)(t x ,比例常数为)0(,>k k ,介质温度为m ,则d ()()e d kt xk x m x t C m t−=−−⇒=+. 又(0)12020x ,m ,==得100C =,即()100e 20ktx t −=+.又(30)30,x =得ln10,30k =即ln1030()10020t x t −=+. 所以,当21x =时60t =. 603030(min)−=,故还需冷却30min .(21)(本题满分11分)证明:根据题意得点))(,(b f b 处的切线方程为))(()(b x b f b f y −'=−.令0y =,得0()()f b x b f b =−',因为0)(>'x f ,所以)(x f 递增,又 因为()0,f a =得()0f b >,又0)(>'b f ,所以b b f b f b x <'−=)()(0. 又)()(0b f b f a b a x '−−=−,在),(b a 上利用拉格朗日中值定理得, ()()(),(,)f b f a f a b b aξξ−'=∈−,所以0()()()()f b f b x a f f b ξ−=−'')()()()()(b f f f b f b f '''−'=ξξ. 再由()0f x ''>,可知()f x '单调递增.所以()()f b f ξ''>,可得0x a >.从而结论得证.(22)(本题满分11分)解:(I )由3=A O ,得31011001a a a a=−==A ,故可得0a =.(II )由条件22−−+=X XA AX AXA E ,可知222()()()()A −−−=−−=X E AX E A E A X E A E .所以1212121()()[()()]()E A −−−−=−−=−−=−−X E A E A E A E A A .因为2011111112−⎛⎫ ⎪−−=− ⎪ ⎪−−⎝⎭E A A ,利用初等变换可得21312()111211−−⎛⎫ ⎪−−=− ⎪ ⎪−⎝⎭E A A ,所以312111211−⎛⎫ ⎪=− ⎪ ⎪−⎝⎭X .(23)(本题满分11分)解:(Ⅰ)因为,A B 相似,所以()()tr tr =A B 且=A B ,即31123a b a b +=++⎧⎨−=⎩①② 联合①②两式,解得45a b =⎧⎨=⎩. (Ⅱ)因为,A B 相似,所以21200(1)(5)031b λλλλλλλ−−=−=−=−−−−E A E B , 得矩阵A 的特征值为11λ=(二重),25λ=.当11λ=时,解方程组()−=0E A x ,得基础解系为T T12(2,1,0),(3,0,1)==−ξξ, 当25λ=时,解方程组(5)−=0E A x ,得基础解系为T3(1,1,1)=−−ξ.令可逆矩阵123231(,,)101011−−⎛⎫⎪==− ⎪⎪⎝⎭P ξξξ,使得1100010005−⎛⎫ ⎪= ⎪ ⎪⎝⎭P AP .。
浙江大学
攻读硕士学位研究生入学考试试题
考试科目高等代数(A卷)编号 601 注意:答案必须写在答题纸上,写在试卷或者草稿纸上均无效。
本试卷共计十道试题,每题满分15分;用E表示单位矩阵,矩
阵A的转置矩阵表示为.
1.如果),且n阶方阵A有一个
特征值等于1,证明都不是可逆矩阵。
2.解下列方程组:
3.设n阶方阵A的伴随矩阵为,当时,证明
.
4.设n阶方阵A满足证明是不可逆矩
阵。
5.设是欧式空间的常用基,
一个矩阵P被称为置换矩阵假如存在一个全排列阶
使得矩阵,例如
就是一个四阶置换矩阵,假如n方阵A的秩等于r,证明存在置换矩阵使得,其中的秩等于r。
6.设是实数域上三维线性空间,定
义,证明T是V上的线性变换,并求其特征值和特征向量。
7.设B是实数域上矩阵,,对任意一个大于零的
常数a,证明定义了一个内积使得成为欧式空间,其中表示列向量的转置,E表示单位矩阵。
8.试证明满足的n阶方阵A都相似于一个对角矩阵。
9.假设是半正定矩阵,证明满足的所有
组成的维子空间。
10.已知矩阵,求矩阵,使为
若当()标准型。
目 录2012年浙江大学601高等代数考研真题2011年浙江大学601高等代数考研真题及详解2010年浙江大学360高等代数考研真题2009年浙江大学360高等代数考研真题2008年浙江大学724高等代数考研真题及详解2007年浙江大学741高等代数考研真题及详解2006年浙江大学341高等代数考研真题及详解2005年浙江大学341高等代数考研真题2004年浙江大学341高等代数考研真题2003年浙江大学344高等代数考研真题2002年浙江大学365高等代数考研真题2001年浙江大学359高等代数考研真题2000年浙江大学226高等代数考研真题1999年浙江大学高等代数考研真题及详解2012年浙江大学601高等代数考研真题浙江大学2012年攻读硕士学位研究生入学试题考试科目:高等代数(601)考生注意:1.本试卷满分为150 分,共计10道题,每题满分15分,考试时间总计180 分钟;2.答案必须写在答题纸上,写在试题纸上或草稿纸上均无效。
一、设是阶单位矩阵,,矩阵满足,证明的行列式等于.二、设是阶幂零矩阵满足,.证明所有的都相似于一个对角矩阵,的特征值之和等于矩阵的秩.三、设是维欧氏空间的正交变换,证明最多可以表示为个镜面反射的复合.四、设是阶复矩阵,证明存在常数项等于零的多项式使得是可以对角化的矩阵,是幂零矩阵,且.五、设.当为何值时,存在使得为对角矩阵并求出这样的矩阵和对角矩阵;求时矩阵的标准型.六、令二次型.求次二次型的方阵;当均为实数,给出次二次型为正定的条件.七、令和是域上的线性空间,表示到所有线性映射组成的线性空间.证明:对,若,则和在中是线性无关的.八、令线性空间,其中是的线性变换的不变子空间.证明;证明若是有限维线性空间,则;举例说明,当时无限维的,可能有,且.九、令.求阶秩为的矩阵,使得(零矩阵);假如是满足的阶矩阵,证明:秩.十、令是有限维线性空间上的线性变换,设是的不变子空间.那么,的最小多项式整除的最小多项式.2011年浙江大学601高等代数考研真题及详解2010年浙江大学360高等代数考研真题2009年浙江大学360高等代数考研真题浙江大学2009年攻读硕士学位研究生入学试题考试科目:高等代数(360)考生注意:1.本试卷满分为150 分,共计10道题,每题满分15分,考试时间总计180 分钟;2.答案必须写在答题纸上,写在试题纸上或草稿纸上均无效。
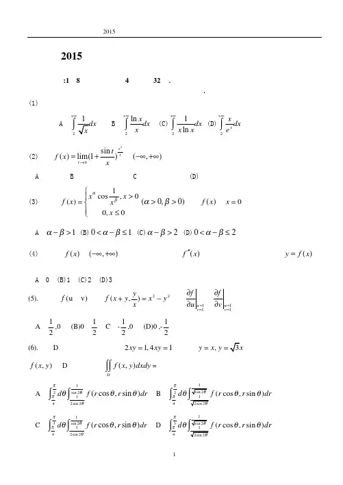
2015年全国硕士研究生入学统一考试数学(二)试题解析、选择题:18小题,每小题4分,共32分.下列每题给出的四个选项中题目要求的,请将所选项前的字母填在答题纸 指定位置上.(1)下列反常积分收敛的是()2・t 工函数f x 齐叫1 ^x 》)t 在(」:,::)内()a 1门x cos —p — 01 f 0 二 lim ------ x---- 二 lim x 4cos j10xX T x(A) :1 」x dx (B)(C)三丄dx2xlnx(D)::x2护【答案】(D) 【解析】=_(x 1)e_ ,则 ^dx = _(x 1)e*e-bo2,只有一个选项符合(A) 连续 (B) 有可去间断点 (C) 有跳跃间断点 有无穷间断点【答案】(B)(D) x 1 2sin t x 2Sin t — lim -------- 【解析】f(x)=1叫(1 ■—)t 二 &0,xt二e x , x = 0,故f (x)有可去间断点x = 0 . ⑶设函数f x =x :cos*,x 0G 0/ 0),若f ' x 在x = 0处连续则:()(A)—>0(C)# >2 -T- < 2【答案】(A)【解析】x :0时,f x ]=0 f_ 0 =0x 0时,二 x 4cos 丄 x _ ysinx1f x 在 x = 0 处连续则:f _ 0 = f. 0 = lim x - cos 0 得:-1 0xJ 0x 1 1 、•]f 0 = lim + f x = lim + :x A cos x^'Asi n =0 T T I x Hx HJ得::•-] -1 0,答案选择A ⑷设函数f (x)在—::,•二内连续,其中二阶导数 f “(X)的图形如图所示,则曲线y = f (x)的拐点的个数为【解析】此题考查二元复合函数偏导的求解数f x, y 在D 上连续,则11 f x, y dxdy 二D(A) 0 【答(B) 1 (C) 2(C)(D)3【解析】根据图像观察存在两点, 为2个.⑸设函数f u,v 满足f x y=x 1 2 -y 2,则,:u u =1 v =1u =1 v =1 依次是 (A) 2,0 【答案】(D)(B) 0,舟(D)令 u = x y,vx从而 f(x y 」)二 x 2xo -y 变为 因而fcuu -1 v =1Pl\2uv + v 」二 u^.故 -丄•故选(D ).2.:u(6)设D 是第一象限由曲线2u(1-v) 2u 2-:v2 ?(1 v)2xy = 1,4xy = 1 与直线 y =x , y = . 3x 围成的平面区域,函JI二阶导数变号•则拐点个数(B)JT J 為d 日 門2H f(rcos 日,rsin 日 ydr4;2sin2 (C) H 1-3dv sin i 2- f rcosv,rsin dr 4 2sin2-i (D) 匹 1启曲f(rcosO,rsin 日 pr 护sin 2 H【答案】 【解析】 (B )根据图可得,在极坐标系下计算该二重积分的积分区域为所以 =舟(r,8) — <0JT1 J_<r < 亠]3 ' 2sin 2二、sin 2=f(x,y)dxdy = 3d} D 1si;G f (r cosv,rsin = )rdr .2sin 2 d‘11 1 '*1、 ⑺设矩阵A = 1 2 a ,b = d J4 a丿 <d 2>故选B. •若集合门 解的充分必要条件为 ( ) =「12,则线性方程组 Ax = b 有无穷多 (A) (B) (C) (D) 广11 1 1、r 1 1 11 、 【解析】(A,b ) = 12 a d T 0 1 a-1 d-1J 4 2 a dje 0 (a-1)(a-2) (d-1)(d —2)」 【答案】 (D) =T (A,b) ::: 3,故 a =1 或 a = 2,同时 d =1或 d = 2 •故选(D ) 由 r(A) (8)设二次型f x 1,x 2, X 3在正交变换x = Py 下的标准形为2y 2y 2 y 3,其中P = (e 1,e 2,氏),若Q = (-氏,e 2)则f =(X 1,X 2,X 3)在正交变换x =Qy 下的标准形为()(A ) 2yj -y :住(B ) 2y f W2 2 2 2 2 2(C) 2y i -y 2 -y 3 (D) 2% g 七【答案】(A)【解析】由 x =Py ,故 f 二x T Ax 二 y T (P T AP)y =2y 2 y 2 - y 3(2 0 O' 且 P TAP = :O 1 0 .(0 0 -b广1 00A由已知可得Q = P 00 1 = PC<0-10」<2 0 0A故 Q TAQ =C T(P TAP)C = 0-10 L0 0b所以 f = x T Ax = y T (Q T AQ) y = 2 y 2 - y ; y ;.选(A ) 二、填空题:9 14小题,每小题4分,共24分.请将答案写在答题纸(10)函数f(x) =x 2公在x=0处的n 阶导数f n (0)二 【答案】n n T In 2 ° 【解析】根据莱布尼茨公式得:f (n )(0 ) = C :2(2x阳 =n(n T)2(l 门2厂=n(n- 1)(l n 2 )n X =O 2x 2(11)设 f x 连续,’ x l= ;0 xf t dt ,若1 =1^1 =5, 【答案】2指定位置上.(9)《y 【答案】x =arctant-3t t 3d 2ydx 2t土48 【解析】= 48.d 2y d dx 2dx212^=12t(1 t 2)2FTx1 2 3x2 2 2【解析】已知(x) =x o f(t)dt,求导得「(x) f(t)dt 2x2f(X2),故有1:⑴二0f(t)dt =1,:(1) =1 2f (1)=5,则f (1)=2.(12)设函数y = y x是微分方程y" • y' -2y =0的解,且在x=0处y x取得极值3,则y x= ----------- .【答案】e2x2e x【解析】由题意知:y0 =3,y 0 =0,由特征方程:,2…_2=0解得=1, = -2 所以微分方程的通解为:y=G e x•C2e°x代入y 0]=3,y 0]=0解得:G =2 C2=1 解得:y = 2e x■ e^x(13)若函数Z =z(x, y )由方程e x知卡z+xyz=1确定,则dz(0,0)= ________________ .1【答案】dx 2dy3【解析】当x = 0, y = 0时z =0,则对该式两边求偏导可得x 2y 3z zx 2y 3z(3e xy) yz -eex(3e x 2y 3z - xy)^ = -xz -2e x 2y 3z.将( 0,0,0)点值代入即有1 2 1则可得dz|(00)= __dx __ dy = __(dx + 2dy ).3 3 3(14)若3阶矩阵A的特征值为2,-2,1,B =A2- A • E,其中E为3阶单位阵,则行列式B = _____ .【答案】21【解析】A的所有特征值为2,-2」.B的所有特征值为3,7,1所以|B | = 3 7 1 =21・三、解答题:15〜23小题,共94分.请将解答写在答题纸指定位置上.解答应写出文字说明、.z:x (0,0) 1 _cz__3,石(0,0)证明过程或演算步骤. (15)(本题满分10分)设函数 f(x)=x aln(1 x) bxsinx , g(x)二 kx 3 •若 f(x)与 g(x)在 x > 0 时是等价无穷小,求a, b,k 的值.【答案】^-1,^ —,b3【解析】 方法一:那么,1=lim3=lim ix x aln(1>^)bxsinxx 0g(x) x fikxa 2 a 33(1 a)x (b )x 2x 3o(x 3)可得:b-a=0,2 a方法二: 由题意得= limJ 」 x 0kx 31 -lim x 0 g(x) 二 lim X —0x a ln(1 x) bx sin x kx 3 1 — bsinx bx cosx二 lim 2~ x ① 3kx 2由分母 lim 3kx 2 二 0,得分子 lim (1 a bsin x bxcosx) = lim (1 a) = 0,求得 x ]0 X 「0 ' 1 亠 x x >0X' c ; 是1二lim t g(x) 1 1 bsin x bx cosx 1 ■■ x =lim 1~x2 -------xQ 3kx x b(1 x)sin x bx(1 x)cosx 二 lim2x —3kx (1 x )_li m x +b(1 +x)s i nx +bx(1 +x)c oxxT3kx 2x 2x 3_ _ (3)因为 ln(1 x) = xo(x ), sin x =x3o(x 3),所以, a = -1*b = —12, 1 k = I 3li m 1 + bsin x +b(1 +x)cosx +b(1 +x) cosx + bxcosx — bx(1 + x)sin x_x 06kx由分母lim 6kx = 0,得分子x ]0 I 叫1 bsin x 2b(1 x) cosx - bxcosx -bx(1 x) sin x] = lim (1 2b cosx) = 0, 1 求得b --—; 2 b 值代入原式 进一步, f(x) 1 =lim x —0 g(x) 1 1 1 1 sin x -(1 x)cosx xcosx x(1 x)sinx Jim 2 2 2 x 「°6kx 1=lim - x )0 1 111 11 cosx - cosx (1 x)sinx cosx xsinx (1 x)sin x xsinx x(1 x)cosx2 2 2 2 2 2 6k 1-2 1 2,求得k 6k 3(16)(本题满分10分)设A>0 , D 是由曲线段y=Asin x(0乞x _ ?)及直线y = 0, 31^2所围成的平面区域,V 1, V 2分别表示D 绕x 轴与绕y 轴旋转成旋转体的体积,若 【答案】8【解析】由旋转体的体积公式,得Tt K o 2 二f 2(x)dx 二:二(Asinx)2dx 二-A亏1 一 cos2x ,2dx =n 22「xf (x)dx =-2二A 2 xd cox ^2A 0 0 0 由题V 1 =V2,求得A .JIV 2二(17)(本题满分11分) 已知函数 f (x, y)满足 fx ;(x, y) =2(y 1)e x,f x (x,O) x 2=(x 1)e ,f(0, y^y 2y ,求f (x,y)的极值. 【答案】极小值f(0, -1) = -1【解析】f xy (x, y)二2(y 1)e x两边对y 积分,得1 2 x 2 xf x (x, y)=2(—y y)e (x) =(y 2y)e (x),2故 f x (x,O) = :(x) =(x 1)e x , 求得「(x)二 e x (x 1),故 f x (x, y) =(y 2 • 2y)e x e x (V x),两边关于 x 积分,得 f (x, y) =(y 2 2y)e x 亠 i e x (1 x)dx二(y 2 2y)e x(1 x)de x=(y 22y)e x(1 x)e x- e xdx=(y 22y)e x(1 x)e x-e xC=(y 22y)e xxe xC由 f (0,y) =y 2 2y C =y 2 2y ,求得 C =0.所以 f (x, y) = (y 2 ■ 2y)e x xe x .f x = (y 22 y) e xe xxe xf ;=(2y+2)e x=0又 f xx =(y 2 2y)e x 2e x xe x ,f xy =2(v 1)e x, f yy=2e x,当 x =0,y =-1 时,A 二 f xx (0, -1)=1, B 二 f xy (0,-1) =0, C 二 f yy (0,-1) =2 ,2AC - B ・0, f(0, -1) = T 为极小值.(18)(本题满分10分)计算二重积分 nx(x y)dxdy ,其中 D - "x, y) x 2 y 2 _ 2, y _ x 2'DH 2 【答案】一-兰45【解析】iix(x y)dxdy 二x 2dxdyDD1 2/ 2=2 dx 2 x dyx2,求得丿x ==2 °x 6 7 8( 2 —x 2—x 2)dx2 u 謬t :少=2:sin 22tdt蔦匚角n 2udu飞 (19)(本题满分11分)已知函数f X i ;二・t 2dt • X .1 tdt ,求f X 零点的个数? 【答案】2个【解析】f (x) = - 1 x 22x. 1 x 2= . 1 x 2(2x -1)令f (x) =0,得驻点为X ^1,211在(-::,_) , f(x)单调递减,在(_,::) , f (x)单调递增2 21 故f()为唯一的极小值,也是最小值. 2_______ 1 _________________ ___________________ _________________而 f ㈠二1. 1 t 2dt 亠 I 9 , 1 tdt 二 1. 1 t 2dt - 八 1 tdt222 4________________ 1二 1.1 t 2dt - 1 .1td - 1 -1 td2 2 4< .1 t ,故 1.1 t 2dt - 1 , 1 tdt < 02 26 1所以函数f (X )在(-::,)及(-,•::)上各有一个零点,所以零点个数为 2.7 2(20)(本题满分10分)f(b) f(b) f(b) f(b)f(b)-f () f (b^ f ( ) f (b)「( ) f (b)f ()因为「(x)0所以f (x)单调递增所以 f (b) f ()所以怡一a 0,即X0 a ,所以a ■ x 0 ::: b ,结论得证=2 'x 2、2 -x 2dx -二5x • • 2sint71 4 2sin 2t2cos 2tdt1从而有f ( ) ::: 02lim f(x) = lim[ . 12t 2dt : .fldt]2x2-------t 2dt=+oC=Jim[ Fldt _「1 t 2dt]f / +tdt 2xJ1 +x2考虑lim _1X lim ,所以lim f(x)=::—.1 t2dt x心门x2 x心130min后该物体降至30 C,若要将该物体的温度继续降至21 C,还需冷却多长时间? 【答案】30min【解析】设t时刻物体温度为x(t),比例常数为k( . 0),介质温度为m,则dx k(x —m),从而x(t) =Ce 上七m,dtx(0) =120, m =20,所以C TOO ,即x(t) =100e» 201 1又x(—) =30,所以k= 2ln10,所以x(t) 口202 100当x =21时,t = 1,所以还需要冷却3 0 min.(21)(本题满分10分)已知函数f x在区间[a,+ ::1上具有2阶导数,f a]=0, f x 0, 设b a,曲线y = f x在点b, f b 处的切线与x轴的交点是x°,0 , a ::: x0 :: b .【证明】根据题意得点(b, f(b))处的切线方程为y - f (b) = f (b)(x-b)令y =0,得x0 =bf (b)因为f (x) 0所以f (x)单调递增,又因为f(a) =0所以f (b) 0,又因为f (b)・0又因为x0 -a =b - a -丄型,而在区间(a,b)上应用拉格朗日中值定理有0 f (b)f(b) -f(a)b -a =f ( )/(a,b )所以-a =b _a f '' x ■ 0,I 21 12一-J22=E-AX E-A [=E = X =[E - A E - A i ;=仲 - A E - A2 」二 X 二 E - A -AS-11、 2E-A —A= -111 ,厂1-1 2」P -1 1M0 0^5-1 -1MD -1 0"-1 1 1M0 1 0 T 0 -1 1 M1 0 0 l —1 -1 2M0 0 1」<-1 -1 2M0 0 b广1 -1 -1M0 -1 0^-1 -1M0-1 0" T1-1M1 00 T0 1 -1M10 0<0 -21 M0 -1 h卫 0-1M2 - -1 b-1 0憧0-r『10 0M3 1-2T1 0M1 1 -1 T 0 1 0M11 -1<0 0 1憧 1 -b<0 0 1血 1 T 」12 1 -1 丿(23)(本题满分11 分)'a 1 0、 设矩阵A =1 a -1 且 A 3=021 a >(1) 求a 的值;(22)(本题满分11分)(2⑵若矩阵X 满足X _ XA 2【答案】a = 0, X=-1a 1 01 0⑴ A 3=0二 A =0= 1 a -1 = 1-a 2a -10 1 a_a1 a【解析】=a = 0= a = 0 (II)由题意知 X -XA 2_AX AXA 2二E= X E _A 2-AX E _ A 2EE 为3阶单位阵,求X .-AX AXA 2- E-1(0 2 —3 计(1—2 0]设矩阵A = -1 3 -3 相似于矩阵B= 0 b 0J 一2 a 丿<0 3 1丿(1)求a,b的值;(2)求可逆矩阵P,使p二AP为对角阵.【答案】(1) a=4,b=5 ;(2)"2 -3 -1、P = 1 0 -1<0 1 1」【解析】(I) A ~ B = tr (A) =tr (B) = 3 a = 1 b 10 2 -3 1 -2 0A =B ―-1 3 -3 = 0 b 01 -2 a 03 1a -b = —1 1 a = 4{ 二彳2a-b=3 b=5S 2 -3^ ‘1 0 0、r-1 2 -3"(II) A =-1 3 -3 = 0 1 0 +-1 2 -3 =E+C J-23.<0 0 b J 一2 3」1 2 -3"C = -1 2 -3 = _1 (1-2 3)J -2 3」<1C的特征值\ -,2=0, ‘3 =4'_ 0时(0E -C)x =0 的基础解系为1=(2,1,0)T; 2 =(-3,0,1)T ■ =5时(4E-C)x=0 的基础解系为l=(T,T,1)TA的特征值扎A =1 +:1,1,5•2-3 -1、Z1令P =G,勺,J)= 1 0 _1 ,••• P,AP= 1<0 1 1」<51 1 1f x = : x,cos 1 x sin 彳1(A) :3d"sinjn f rcos^rsin^ rdr4 2sin 2 二已知高温物体置于低温介质中,任一时刻该物体温度对时间的变化率与该时刻物体和介质的温差成正比,现将一初始温度为120 C的物体在20 C的恒温介质中冷却,。
目 录2012年浙江大学601高等代数考研真题2011年浙江大学601高等代数考研真题及详解2010年浙江大学360高等代数考研真题2009年浙江大学360高等代数考研真题2008年浙江大学724高等代数考研真题及详解2007年浙江大学741高等代数考研真题及详解2006年浙江大学341高等代数考研真题及详解2005年浙江大学341高等代数考研真题2004年浙江大学341高等代数考研真题2003年浙江大学344高等代数考研真题2002年浙江大学365高等代数考研真题2001年浙江大学359高等代数考研真题2000年浙江大学226高等代数考研真题1999年浙江大学高等代数考研真题及详解2012年浙江大学601高等代数考研真题浙江大学2012年攻读硕士学位研究生入学试题考试科目:高等代数(601)考生注意:1.本试卷满分为150 分,共计10道题,每题满分15分,考试时间总计180 分钟;2.答案必须写在答题纸上,写在试题纸上或草稿纸上均无效。
一、设是阶单位矩阵,,矩阵满足,证明的行列式等于.二、设是阶幂零矩阵满足,.证明所有的都相似于一个对角矩阵,的特征值之和等于矩阵的秩.三、设是维欧氏空间的正交变换,证明最多可以表示为个镜面反射的复合.四、设是阶复矩阵,证明存在常数项等于零的多项式使得是可以对角化的矩阵,是幂零矩阵,且.五、设.当为何值时,存在使得为对角矩阵并求出这样的矩阵和对角矩阵;求时矩阵的标准型.六、令二次型.求次二次型的方阵;当均为实数,给出次二次型为正定的条件.七、令和是域上的线性空间,表示到所有线性映射组成的线性空间.证明:对,若,则和在中是线性无关的.八、令线性空间,其中是的线性变换的不变子空间.证明;证明若是有限维线性空间,则;举例说明,当时无限维的,可能有,且.九、令.求阶秩为的矩阵,使得(零矩阵);假如是满足的阶矩阵,证明:秩.十、令是有限维线性空间上的线性变换,设是的不变子空间.那么,的最小多项式整除的最小多项式.。
浙江大学攻读硕士学位研究生入学考试试题解答 一、()f x 是数域P 上的不可约多项式(1)()[]g x P x ∈,且与()f x 有一公共复根,证明:()|()f x g x 。
(2)若c 及1c 都是()f x 的根,b 是()f x 的任一根,证明:1b也是()f x 的根。
Proof :(1)()f x 是数域P 上的不可约多项式,故对于P 上任一多项式()g x 只有以下两种情形:01()|()f x g x, 02 ((),())1f x g x =下证不可能是情形二。
(反证法)若不然为情形二,就是((),())1f x g x =则(),()[].()()()()1(*)u x v x P x s tu x f x v x g x ∃∈+=由已知条件,f 与g 有一公共复根(设为α),则()()0f g αα==,将α代入(*)中得到10=的矛盾,故假设不正确,得证!(2)设b 是()f x 的任一根,下证1()0f b=。
证明见《高等代数题解精粹》钱吉林编20P 第42题. 二、计算行列式210...000121...000.. 00 (012)n D =Solution:我们已经知道:1111,1(1),1n n n n αβαβαβαβαβαβαβαβαββαβαβ+++++⎧-≠⎪=+-⎨⎪+=⎩+ 在此结论中令1αβ==,知1n D n =+三、(1)A 是正定矩阵,C 是实对称矩阵,证明:∃可逆矩阵P .st ,P AP P CP ''同时为对角形Proof: (1)A 正定,∴ ∃可逆矩阵T 使得T AT E '=,此时T CT '还是对称的,∴∃ 正交矩阵M 使得M T C T M ''为对角形,令P T M =,此时P AP E '=P CP '是对角形,得证!(2)由(1)知P ∃非异s.t 12n P AP E P ABP λλλ'=⎧⎪⎛⎫⎪⎨ ⎪'=⎪⎪ ⎪⎪⎝⎭⎩ 所以112n P BP λλλ-⎛⎫⎪= ⎪ ⎪⎝⎭,故AB 正定⇔0,1,2,,i i n λ>=得证!! 四、设n 维线性空间V 的线性变换A 有n 个互异的特征值,线性变换B A 与可交换的充分必要条件是B 是121,,,,n E A A A -的线性组合,其中E 为恒等变换。
2015年考研数学二真题一、选择题:(1~8小题,每小题4分,共32分。
下列每题给出的四个选项中,只有一个选项是符合题目要求的。
) (1)下列反常积分中收敛的是 (A)∫√x 2dx (B)∫lnxx +∞2dx (C)∫1xlnx +∞2dx (D) ∫xe x+∞2dx【答案】D 。
【解析】题干中给出4个反常积分,分别判断敛散性即可得到正确答案。
∫√x +∞2=2√x|2+∞=+∞;∫lnx x+∞2dx =∫lnx +∞2d(lnx)=12(lnx)2|2+∞=+∞;∫1xlnx+∞2dx =∫1lnx+∞2d(lnx)=ln (lnx)|2+∞=+∞; ∫x e x +∞2dx =−∫x +∞2de −x =−xe −x |2+∞+∫e −x +∞2dx =2e −2−e −x |2+∞=3e −2, 因此(D)是收敛的。
综上所述,本题正确答案是D 。
【考点】高等数学—一元函数积分学—反常积分 (2)函数f (x )=lim t→0(1+sin t x)x2t 在(-∞,+∞)内(A)连续(B)有可去间断点(C)有跳跃间断点 (D)有无穷间断点 【答案】B【解析】这是“1∞”型极限,直接有f (x )=lim t→0(1+sin t x)x 2t=elim t→0x 2t(1+sin t x −1)=ex limt→0sintt=e x (x ≠0),f (x )在x =0处无定义,且lim x→0f (x )=lim x→0e x =1,所以 x =0是f (x )的可去间断点,选B 。
综上所述,本题正确答案是B 。
【考点】高等数学—函数、极限、连续—两个重要极限 (3)设函数f (x )={x αcos 1x β,x >0,0,x ≤0(α>0,β>0).若f ′(x )在x =0处连续,则(A)α−β>1(B)0<α−β≤1(C)α−β>2 (D)0<α−β≤2 【答案】A 【解析】易求出f′(x )={αxα−1cos 1x β+βx α−β−1sin 1xβ,x >0,0,x ≤0 再有 f +′(0)=lim x→0+f (x )−f (0)x=lim x→0+x α−1cos1x β={0, α>1,不存在,α≤1,f −′(0)=0于是,f ′(0)存在⟺α>1,此时f ′(0)=0. 当α>1时,lim x→0x α−1cos1x β=0,lim x→0βxα−β−1sin1x β={0, α−β−1>0,不存在,α−β−1≤0,因此,f′(x)在x=0连续⟺α−β>1。
2015年全国硕士研究生入学统一考试数学二试题一、选择题:1~8小题,每小题4分,共32分.下列每题给出的四个选项中,只有一个选项符合题目要求的,请将所选项前的字母填在答题纸...指定位置上. (1)下列反常积分中收敛的是()(A)2+∞⎰(B )2ln xdx x+∞⎰(C)21ln dx x x+∞⎰(D)2xx dx e +∞⎰(2)函数20sin ()lim(1)x tt t f x x→=+在(,)-∞+∞内() (A )连续 (B )有可去间断点 (C )有跳跃间断点 (D)有无穷间断点(3)设函数1cos ,0()0,0x x f x xx αβ⎧>⎪=⎨⎪≤⎩(0,0)αβ>>,若()f x 在0x =处连续,则() (A )1αβ-> (B)01αβ<-≤ (C)2αβ-> (D)02αβ<-≤(4) 设函数()f x 在(,)-∞+∞连续,其二阶导函数()f x ''的图形如右图所示,则曲线()y f x =的拐点个数为()(A )0 (B)1 (C)2 (D)3(5).设函数(u v)f ,满足22(,)yf x y x y x +=-,则11u v fu ==∂∂与11u v f v==∂∂依次是()(A )12,0 (B)0,12(C )-12,0 (D)0 ,-12(6). 设D 是第一象限中曲线21,41xy xy ==与直线,y x y ==围成的平面区域,函数(,)f x y 在D 上连续,则(,)Df x y dxdy ⎰⎰=()(A )12sin 2142sin 2(cos ,sin )d f r r drπθπθθθθ⎰⎰(B)24(cos ,sin )d f r r dr ππθθθ⎰(C )13sin 2142sin 2(cos ,sin )d f r r dr πθπθθθθ⎰⎰(D)34(cos ,sin )d f r r dr ππθθθ⎰(7).设矩阵A=211112a 14a ⎛⎫ ⎪ ⎪ ⎪⎝⎭,b=21d d ⎛⎫ ⎪⎪ ⎪⎝⎭,若集合Ω=}{1,2,则线性方程组Ax b =有无穷多个解的充分必要条件为()(A ),a d ∉Ω∉Ω (B),a d ∉Ω∈Ω (C),a d ∈Ω∉Ω (D) ,a d ∈Ω∈Ω(8)设二次型123(,,)f x x x 在正交变换x Py =下的标准形为2221232,y y y +-其中123P=(e ,e ,e ),若132(,,)Q e e e =-,则123(,,)f x x x 在正交变换x Py =下的标准形为( )(A):2221232y y y -+ (B) 2221232y y y +- (C) 2221232y y y -- (D) 2221232y y y ++二、填空题:9~14小题,每小题4分,共24分.请将答案写在答题纸...指定位置上. (9) 设2231arctan ,3t x t d ydx y t t==⎧=⎨=+⎩则 (10)函数2()2xf x x =在0x =处的n 阶导数()(0)n f=(11)设函数()f x 连续,20()(),x x xf t dt ϕ=⎰若(1)ϕ1=,'(1)5ϕ=,则(1)f =(12)设函数()y y x =是微分方程'''20y y y +-=的解,且在0x =处()y x 取值3,则()y x = (13)若函数(,)z z x y =由方程231x y zexyz +++=确定,则(0,0)dz =(14)设3阶矩阵A 的特征值为2,-2,1,2B A A E =-+,其中E 为3阶单位矩阵,则行列式B =三、解答题:15~23小题,共94分.请将解答写在答题纸...指定位置上.解答应写出文字说明、证明过程或演算步骤. 15、(本题满分10分)设函数()ln(1)sin f x x x bx x α=+++,2()g x kx =,若()f x 与()g x 在0x →是等价无穷小,求,,a b k 的值。
目录Ⅰ历年考研真题试卷 (2)浙江大学2007年招收攻读硕士学位研究生入学考试试题 (2)浙江大学2008年招收攻读硕士学位研究生入学考试试题 (5)浙江大学2009年招收攻读硕士学位研究生入学考试试题 (7)浙江大学2010年招收攻读硕士学位研究生入学考试试题 (9)浙江大学2011年招收攻读硕士学位研究生入学考试试题 (11)浙江大学2012年招收攻读硕士学位研究生入学考试试题 (13)浙江大学2014年招收攻读硕士学位研究生入学考试试题 (15)浙江大学2015年招收攻读硕士学位研究生入学考试试题 (16)浙江大学2016年招收攻读硕士学位研究生入学考试试题 (17)浙江大学2017年招收攻读硕士学位研究生入学考试试题 (18)浙江大学2018年招收攻读硕士学位研究生入学考试试题 (19)浙江大学2019年招收攻读硕士学位研究生入学考试试题 (21)Ⅱ历年考研真题试卷答案解析 (23)浙江大学2007年招收攻读硕士学位研究生入学考试试题答案解析 (23)浙江大学2008年招收攻读硕士学位研究生入学考试试题答案解析 (31)浙江大学2009年招收攻读硕士学位研究生入学考试试题答案解析 (39)浙江大学2010年招收攻读硕士学位研究生入学考试试题答案解析 (46)浙江大学2011年招收攻读硕士学位研究生入学考试试题答案解析 (52)浙江大学2012年招收攻读硕士学位研究生入学考试试题答案解析 (57)浙江大学2014年招收攻读硕士学位研究生入学考试试题答案解析 (64)浙江大学2016年招收攻读硕士学位研究生入学考试试题答案解析 (70)Ⅰ历年考研真题试卷浙江大学2007年招收攻读硕士学位研究生入学考试试题考试科目:高等代数编号:601注意:答案必须写在答题纸上,写在试卷或草稿纸上均无效。
一、(17分)设整系数的线性方程组为),..2,1(,1n i b x ai j nj ij==∑=,证明该方程组对任意整数n b b b ,..,,21都有整数解的充分必要条件是该方程组的系数行列式等于1±。
2015年全国硕士研究生入学统一考试数学一试题及答案一、选择题:1〜8小题,每小题4分,共32分.下列每题给出的四个选项中,只有一个选项符合 题目要求的,请将所选项前的字母填在答题纸..指定位置上•1、 设函数f(X )在(-::,+ ::)连续,其2阶导函数f (x)的图形如下图所示,则曲线 y =f(x)的 拐点个数为() (A ) 0 ( B ) 1 (C ) 2 ( D ) 3【答案】(C) 【考点】拐点的定义 【难易度】★★【详解】拐点出现在二阶导数等于0,或二阶导数不存在的点上,并且在这点的左右两侧二阶导数异号,因此,由 「(X )的图形可知,曲线 y 二f (x)存在两个拐点,故选(C).1 f 1、”2、 设y = —e 2x 十I x -一 ©x 是二阶常系数非齐次线性微分方程y +ay" + by = ce x 的一个特解,2 I 3丿则()【答案】(A)【考点】常系数非齐次线性微分方程的解法 【难易度】★★—2 x — x ..2 【详解】 e , e 为齐次方程的解,所以 2、1为特征方程 '+^ b = 0的根,从而a - - 1 • 2 - -3,b =1 2=2,再将特解 y =xe x 代入方程 y :3y ,2y =ce x 得:c = -1.3、若级数送a n 条件收敛,则x = J 3与x = 3依次为幕级数送na n (x T 『的:n :—(A )收敛点,收敛点 (B )收敛点,发散点 (C )发散点,收敛点 (D )发散点,发散点【答案】(B)【考点】级数的敛散性a — -3,b = ——,c =-—(B ) a=3,b=2,c--1. (C ) a --3,b = 2, c = 1.(D ) a=3,b=2,c=1.n :—【难易度】★★★【详解】因为瓦a n 条件收敛,故x = 2为幕级数送a n (x -1 $的条件收敛点,进而得 n 4n 卫Q Q\」a n x -1 n 的收敛半径为1,收敛区间为 0,2,又由于幕级数逐项求导不改变收敛区间,故n 40C1、na nx -1 n的收敛区间仍为n a_ °°0,2,因而x = -、3与x=3依次为幕级数7 na nx_1的收敛n 4点、发散点4、设D 是第一象限中曲线 2xy =1,4xy =1与直线y 二x, y —、.3x 围成的平面区域,函数f (x, y) 在D 上连续,则11 f (x, y)dxdy 二D【难易度】★★★JI/【详解】由"X 得,"4 ; 由 y 「3x 得,"3 由 2xy =1 得,2r 2cos = sin ^-1,r2由 4xy =1 得,4r cos^sin )-1,r二 ?.所以 JJ f (x,y)dxdy = J ;d 日广晋日 f (rcos8,rsin 日)rdrq 1 1、「1 )5、设矩阵A=1 2 a ,b = d,若集合0 ={1,2},则线性方程组<14 2a丿<d2>Ax = b 有无穷多个解的充分必要条件为H1(A )2.dv sin i 2r f (r COST , rsin "rdr4 2sin2 71 H1(C )3出「in 严 f (rcosv,rsinRdr42sin 2 -71【答案】(D)【考点】二重积分的极坐标变换(B ) (D)_1 .即利祠严 f (r cos8,rsin8)rdr4:2si n2.^TL[第d&f (rcos^,r sin&)dr42sin2 =1 2sin 2^(A )1 1, d 1 1(B )1 1, d 1 1(C ) a",d(D , d -1【答案】(D)【考点】非齐次线性方程组的解法 【难易度】★★1 1 1【详解】lA,b 】=12 a 1 4 a 2Ax =b 有无穷多解二R(A)二R (代b) ::3 =a =1 或 a = 2 且 d = 1 或 d = 22 2 26、设二次型 仁为必压)在正交变换x =Py 下的标准形为2力• y 2 -y 3,其中PNet ,包),若Q=(e,-QG),则f(x 1,X 2,X 3)在正交变换x=Qy 下的标准形为222222(A )2y 1 - y 2 y 3( B ) 2% y ? -y ?222222(C )2y 1 -y 2 -y 3 ( D ) 2^ y ? y 3【答案】(A) 【考点】二次型 【难易度】★★2 0 0【详解】由 x = Py ,故 f =x T Ax = y T (P T AP)y =2y :+y ;-y :且:P T AP= 0 1■0 0 -1 _jT T T 2 2 2所以 f =x Ax =y (Q AA)y = 2y 1 f g ,故选(A)7、若A, B 为任意两个随机事件,则1 1 1 1 1a -1d —1 0 (a -1 丫 a -2 )(d -1 X d -2(A )P(AB)岂 P(A)P(B)(C )P(AB) ’恥貝2【答案】(C) 【考点】 【难易度】★★(B )P(AB) - P(A)P(B)(D )P(AB)-P(A) P(B)21 1d ——;0.2I丄d」V(C) a",d (D , d -1【详解】P(A) - P(AB), P(B) - P(AB)P(AB)乞 P (A )2P(B )故选(C )8、设随机变量 X, Y 不相关,且EX =2,EY=1,DX =3,则E X X ・丫一2二 (A ) -3 ( B ) 3(C ) -5( D ) 5【答案】(D) 【考点】 【难易度】★★★ 【详解】二、填空题:9〜14小题,每小题4分,共24分.请将答案写在答题纸 指定位置上•In cosx9、 lim2—二XX 2 1 【答案】-丄 2【考点】极限的计算【难易度】★★H 2【答案】 一4【考点】积分的计算【难易度】★★11、若函数 z=z(x,y)由方程 e z + xyz+x + cosx = 2 确定,则 dz (叩)= _______________【答案】【考点】隐函数求导 【难易度】★★【详解】lim^^T x 2=lim x —.0 ln(1 cosx -1)x 2cosx -12 x1 2-x =lim 22 x 10 x 210、和严-+ 1 cosx x )dx 二sin x 1 cosx Tt+|x)dx = 2『xdx = IT【详兀2【详解】令 F (x, y, z) = e z xyz x cosx -2,贝y F x = yz 1 -sin x , F y = xz , F z二 xy ,又当 x=0,y=1 时,z=0,所以—=_E =_1,竺C F/-h,"(0,1)F zCyy (0,1)12、设i ]是由平面x 亠y 亠z =1与二个坐标平面所围成的空间区域,贝U1【答案】-4【考点】三重积分的计算 【难易度】★★★【详解】由轮换对称性,得其中D z 为平面z = z 截空间区域 W 所得的截面,其面积为 -(1- z )2.所以2 -10 2 ■I ■1 III III Fi0 0 1i22rHI0 ■10 AIII q2 r2 13、n 阶行列式0 0 III -1 2【答案】2n1-2 【考点】行列式的计算 【难易度】★★★【详解】按第一行展开得14、设二维随机变量(X,Y)服从正态分布 N (1,0,1,1,0),贝U P(XY -Y ::: 0)=1【答案】12【考点】 【难易度】★★【详解】;(X,Y)~N(1,0,1,1,0), • X~N(1,1)Y~ N(0,1),且 X,Y 独立:、X -1~ N(0,1),卩仪丫-Y "} = p{(X -1)Y <01三、解答题:15〜23小题,共94分.请将解答写在答题纸.指定位置上.解答应写出文字说明、证 明过程或演算步骤. 15、(本题满分10分)设函数 f(x)=x al n(1 x) bx si nx , g(x) = kx 3,若 f (x)与 g(x)在 x —; 0 是等价无穷小, 求a , b , k 值。