半导体物理第六章习题答案培训讲学
- 格式:doc
- 大小:414.50 KB
- 文档页数:8
半导体物理学(第七版)课后习题答案.doc半导体物理习题解答1-1.(P 32)设晶格常数为a 的一维晶格,导带极小值附近能量E c (k )和价带极大值附近能量E v (k )分别为:E c (k)=0223m k h +022)1(m k k h -和E v (k)= 0226m k h -0223m k h ;m 0为电子惯性质量,k 1=1/2a ;a =0.314nm 。
试求:①禁带宽度;②导带底电子有效质量;③价带顶电子有效质量;④价带顶电子跃迁到导带底时准动量的变化。
[解] ①禁带宽度Eg根据dk k dEc )(=0232m k h +012)(2m k k h -=0;可求出对应导带能量极小值E min 的k 值:k min =143k ,由题中E C 式可得:E min =E C (K)|k=k min =2104k m h ;由题中E V 式可看出,对应价带能量极大值Emax 的k 值为:k max =0;并且E min =E V (k)|k=k max =02126m k h ;∴Eg =E min -E max =021212m k h =20248a m h =112828227106.1)1014.3(101.948)1062.6(----=0.64eV ②导带底电子有效质量m n0202022382322m h m h m h dkE d C =+=;∴ m n =022283/m dk E d h C= ③价带顶电子有效质量m ’02226m h dk E d V -=,∴0222'61/m dk E d h m Vn-== ④准动量的改变量h △k =h (k min -k max )= ahk h 83431=[毕] 1-2.(P 33)晶格常数为0.25nm 的一维晶格,当外加102V/m ,107V/m 的电场时,试分别计算电子自能带底运动到能带顶所需的时间。
第一章习题1.设晶格常数为a 的一维晶格,导带极小值附近能量E c (k)和价带极大值附近能量E V (k)分别为:E C(K )=0220122021202236)(,)(3m k h m k h k E m k k h m k h V -=-+ 0m 。
试求:为电子惯性质量,nm a ak 314.0,1==π(1)禁带宽度;(2)导带底电子有效质量; (3)价带顶电子有效质量;(4)价带顶电子跃迁到导带底时准动量的变化 解:(1)eVm k E k E E E k m dk E d k m kdk dE Ec k k m m m dk E d k k m k k m k V C g V V V c 64.012)0()43(0,060064338232430)(2320212102220202020222101202==-==<-===-==>=+===-+ 因此:取极大值处,所以又因为得价带:取极小值处,所以:在又因为:得:由导带:043222*83)2(1m dk E d mk k C nC===sN k k k p k p m dk E d mk k k k V nV/1095.7043)()()4(6)3(25104300222*11-===⨯=-=-=∆=-== 所以:准动量的定义:2. 晶格常数为0.25nm 的一维晶格,当外加102V/m ,107 V/m 的电场时,试分别计算电子自能带底运动到能带顶所需的时间。
解:根据:tkhqE f ∆∆== 得qE k t -∆=∆sat sat 137192821911027.810106.1)0(1027.810106.1)0(----⨯=⨯⨯--=∆⨯=⨯⨯--=∆ππ补充题1分别计算Si (100),(110),(111)面每平方厘米的原子个数,即原子面密度(提示:先画出各晶面原子的位置和分布图)Si 在(100),(110)和(111)面上的原子分布如图1所示:(a )(100)晶面 (b )(110)晶面(c )(111)晶面补充题2一维晶体的电子能带可写为)2cos 81cos 87()22ka ka ma k E +-= (, 式中a 为 晶格常数,试求(1)布里渊区边界; (2)能带宽度;(3)电子在波矢k 状态时的速度; (4)能带底部电子的有效质量*n m ;(5)能带顶部空穴的有效质量*p m 解:(1)由0)(=dk k dE 得 an k π= (n=0,±1,±2…) 进一步分析an k π)12(+= ,E (k )有极大值,214221422142822/1083.7342232212414111/1059.92422124142110/1078.6)1043.5(224141100cm atom a a a cm atom a a a cm atom a a ⨯==⨯+⨯+⨯⨯==⨯⨯+⨯+⨯=⨯==⨯+-):():():(222)mak E MAX=( ank π2=时,E (k )有极小值所以布里渊区边界为an k π)12(+=(2)能带宽度为222)()ma k E k E MIN MAX =-( (3)电子在波矢k 状态的速度)2sin 41(sin 1ka ka ma dk dE v -== (4)电子的有效质量)2cos 21(cos 222*ka ka mdkEd m n-==能带底部 an k π2=所以m m n 2*= (5)能带顶部 an k π)12(+=, 且**n p m m -=,所以能带顶部空穴的有效质量32*mm p =半导体物理第2章习题1. 实际半导体与理想半导体间的主要区别是什么?答:(1)理想半导体:假设晶格原子严格按周期性排列并静止在格点位置上,实际半导体中原子不是静止的,而是在其平衡位置附近振动。
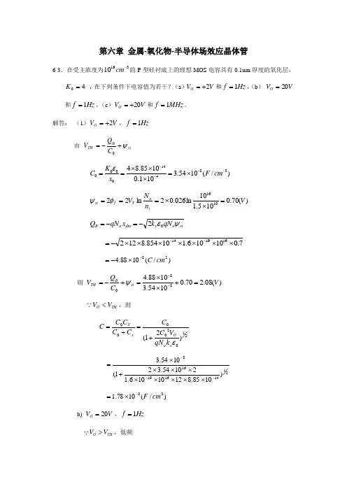
第六章 金属-氧化物-半导体场效应晶体管6-3.在受主浓度为31610-cm 的P 型硅衬底上的理想MOS 电容具有0.1um 厚度的氧化层,40=K ,在下列条件下电容值为若干?(a )V V G 2+=和Hz f 1=,(b ) VV G 20=和Hz f 1=,(c )V V G 20+=和MHz f 1=。
解答: (1)V V G 2+=,Hz f 1= 由 si BTH C Q V ψ+-=014830004048.8510 3.5410(/)0.110K C F cm x ε----⨯⨯===⨯⨯ )(70.0105.110ln 026.02ln 221016V n N V i a T f si =⨯⨯===φψ si a s dm a B qN k x qN Q ψε02-=-=7.010106.110854.8122161914⨯⨯⨯⨯⨯⨯⨯-=-- )/(1088.428cm C -⨯-= 则 )(08.270.01054.31088.4880V C Q V si B TH=+⨯⨯=+-=--ψTH G V V < ,则21020000)21(εs a G sSk qN V C C C C C C C +=+=21141619168)1085.81210106.121054.321(1054.3---⨯⨯⨯⨯⨯⨯⨯⨯+⨯=)/(1078.128cm F -⨯=b) V V G 20=,Hz f 1=G TH V V >,低频)/(1054.3280cm F C C -⨯==∴c)V V G 20+=,MHz f 1=G TH V V >,因为高频,总电容为0C 与S C 串联820min 3.4810(/)s s s dmk C C F cm x ε-=====⨯则 )/(1075.1280cm F C C C C C s s -⨯=+=6-4.采用叠加法证明当氧化层中电荷分布为)(x ρ时,相应的平带电压变化可用下式表示:()x FBqx x V dx C x ρ∆=-⎰解答:如右图所示, 消除电荷电荷片dx x q )(ρ的影响所需平带电压:000000)()()()(C x dx x xq x x x k dx x q x C dx x q dV FBρερρ-=-=-=由 00x →积分:()x FBq x x V dx C x ρ∆=-⎰6-6.利用习题6-3中的结果对下列情形进行比较。
半导体物理课后习题解答半导体物理习题解答1-1.(P 32)设晶格常数为a 的一维晶格,导带极小值附近能量E c (k )和价带极大值附近能量E v (k )分别为:E c (k)=0223m k h +022)1(m k k h -和E v (k)= 0226m k h -0223m k h ;m 0为电子惯性质量,k 1=1/2a ;a =0.314nm 。
试求: ①禁带宽度;②导带底电子有效质量; ③价带顶电子有效质量;④价带顶电子跃迁到导带底时准动量的变化。
[解] ①禁带宽度Eg根据dk k dEc )(=0232m kh +012)(2m k k h -=0;可求出对应导带能量极小值E min 的k 值:k min =143k ,由题中E C 式可得:E min =E C (K)|k=k min =2104k m h ; 由题中E V 式可看出,对应价带能量极大值Emax 的k 值为:k max =0;并且E min =E V (k)|k=k max =02126m k h ;∴Eg =E min -E max =021212m k h =20248a m h =112828227106.1)1014.3(101.948)1062.6(----⨯⨯⨯⨯⨯⨯⨯=0.64eV ②导带底电子有效质量m n202022382322m h m h m h dk E d C =+=;∴ m n =022283/m dk E d h C= ③价带顶电子有效质量m ’02226m h dk E d V -=,∴0222'61/m dk E d h m Vn-== ④准动量的改变量h △k =h (k min -k max )= ah k h 83431=[毕]1-2.(P 33)晶格常数为0.25nm 的一维晶格,当外加102V/m ,107V/m 的电场时,试分别计算电子自能带底运动到能带顶所需的时间。
第6章 p-n 结1、一个Ge 突变结的p 区n 区掺杂浓度分别为N A =1017cm -3和N D =5´1015cm -3,求该pn 结室温下的自建电势。
解:pn 结的自建电势结的自建电势 2(ln)D A D iN N kT V qn=已知室温下,0.026kT =eV ,Ge 的本征载流子密度1332.410 cm i n -=´代入后算得:1517132510100.026ln0.36(2.410)D V V ´´=´=´4.4.证明反向饱和电流公式(证明反向饱和电流公式(证明反向饱和电流公式(6-356-356-35)可改写为)可改写为)可改写为2211()(1)i s n n p p b k T J b q L L s s s =++ 式中npb m m =,n s 和p s 分别为n 型和p 型半导体电导率,i s 为本征半导体电导率。
证明:将爱因斯坦关系式p p kT D qm =和nnkT D q m =代入式(式(6-356-356-35))得 0000()p n p n S p n n pn p n p p nn p J kT n kT p kT L L L L m m m m m m =+=+因为002i p p n n p=,002i n nn p n =,上式可进一步改写为,上式可进一步改写为00221111()()S n p i n p i n p p p n n n p p nJ kT n qkT n L p L n L L m m m m m m s s =+=+ 又因为又因为()i i n p n q s m m =+22222222()(1)i i n p i p n q n q b s m m m =+=+即22222222()(1)i i i n p p n q q b s s m m m ==++ 将此结果代入原式即得证将此结果代入原式即得证2222221111()()(1)(1)n p i i Sp np pn np pnqkT b kT J q b LL q b L L m m s s mssss=+=××+++ 注:严格说,迁移率与杂质浓度有关,因而同种载流子的迁移率在掺杂浓度不同的p 区和n区中并不完全相同,因而所证关系只能说是一种近似。
第一章习题1.设晶格常数为a 的一维晶格,导带极小值附近能量E c (k)和价带极大值附近能量E V (k)分别为:E C (K )=0220122021202236)(,)(3m k h m k h k E m k k h m k h V -=-+ 0m 。
试求:为电子惯性质量,nm a ak 314.0,1==π(1)禁带宽度;(2)导带底电子有效质量; (3)价带顶电子有效质量;(4)价带顶电子跃迁到导带底时准动量的变化 解:(1)eVm k E k E E E k m dk E d k m kdk dE Ec k k m m m dk E d k k m k k m k V C g V V V c 64.012)0()43(0,060064338232430)(2320212102220202020222101202==-==<-===-==>=+===-+ 因此:取极大值处,所以又因为得价带:取极小值处,所以:在又因为:得:由导带:043222*83)2(1m dk E d mk k C nC===sN k k k p k p m dk E d mk k k k V nV/1095.7043)()()4(6)3(25104300222*11-===⨯=-=-=∆=-== 所以:准动量的定义:2. 晶格常数为0.25nm 的一维晶格,当外加102V/m ,107 V/m 的电场时,试分别计算电子自能带底运动到能带顶所需的时间。
解:根据:t k hqE f ∆∆== 得qEk t -∆=∆ sat sat 137192821911027.810106.1)0(1027.810106.1)0(----⨯=⨯⨯--=∆⨯=⨯⨯--=∆ππ补充题1分别计算Si (100),(110),(111)面每平方厘米内的原子个数,即原子面密度(提示:先画出各晶面内原子的位置和分布图)Si 在(100),(110)和(111)面上的原子分布如图1所示:(a )(100)晶面 (b )(110)晶面(c )(111)晶面补充题2一维晶体的电子能带可写为)2cos 81cos 87()22ka ka ma k E +-=(, 式中a 为 晶格常数,试求(1)布里渊区边界;(2)能带宽度;(3)电子在波矢k 状态时的速度;(4)能带底部电子的有效质量*n m ;(5)能带顶部空穴的有效质量*p m解:(1)由0)(=dk k dE 得 an k π= (n=0,1,2…)进一步分析an k π)12(+= ,E (k )有极大值,222)mak E MAX =( ank π2=时,E (k )有极小值所以布里渊区边界为an k π)12(+=(2)能带宽度为222)()ma k E k E MIN MAX =-( (3)电子在波矢k 状态的速度)2sin 41(sin 1ka ka ma dk dE v -== (4)电子的有效质量)2cos 21(cos 222*ka ka mdkEd m n-== 能带底部 an k π2=所以m m n 2*= (5)能带顶部 an k π)12(+=, 且**n p m m -=,所以能带顶部空穴的有效质量32*mm p =半导体物理第2章习题1. 实际半导体与理想半导体间的主要区别是什么?答:(1)理想半导体:假设晶格原子严格按周期性排列并静止在格点位置上,实际半导体中原子不是静止的,而是在其平衡位置附近振动。
半导体物理学刘恩科课后习题解答半导体物理学是研究半导体材料的电学、热学和光学性质的学科。
它是现代电子技术和光电子技术的基础,对于理解和应用半导体器件和集成电路有着重要的意义。
以下是刘恩科《半导体物理学》课后习题的解答:1.请简述半导体材料的能带结构和载流子的概念。
半导体材料的能带结构是指半导体中电子的能级分布情况。
在半导体中,电子可以占据价带或导带中的能级。
价带是指最高填充电子的能级,导带是指最低未填充电子的能级。
两者之间的能级称为禁带(带隙),禁带的宽度决定了半导体的导电性能。
载流子是指在半导体中参与电荷运动的带电粒子。
在固体中,载流子可以是电子或空穴。
电子是带有负电荷的粒子,其带负电荷的能力使其成为半导体中的载流子。
空穴是带有正电荷的粒子,它是由电子从价带跃迁到导带留下的,因此也可以参与电荷运动。
2.请解释半导体的n型和p型材料是如何形成的。
n型半导体是指掺杂了能够提供自由电子的杂质的半导体材料。
通常使用磷(P)、砷(As)等元素来掺杂硅(Si)或锗(Ge)材料。
这些杂质原子在半导体晶体中取代了一部分硅或锗原子,形成了额外的电子。
这些额外的电子成为自由电子,增加了半导体的导电性能。
p型半导体是指掺杂了能够提供自由空穴的杂质的半导体材料。
通常使用硼(B)、铝(Al)等元素来掺杂硅或锗材料。
这些杂质原子在半导体晶体中取代了一部分硅或锗原子,形成了缺电子的空位。
这些空位称为空穴,它们可以参与电荷运动,增加了半导体的导电性能。
3.请解释pn结的形成原理和特性。
pn结是由n型半导体和p型半导体的结合形成的。
当n型和p型半导体接触时,由于两者之间的能带结构不同,会形成一个电势差,这个电势差被称为内建电势。
内建电势的产生是由于在接触面上发生了电子和空穴的扩散,使得电子从n区域扩散到p区域,空穴从p区域扩散到n区域。
pn结的特性包括正向偏置和反向偏置。
正向偏置是指在外加电源的作用下,将正电压施加在p区域,负电压施加在n区域,使得电子从n区域向p区域移动,空穴从p区域向n区域移动,电流得以通过。
半导体物理学习题答案(有目录)半导体物理习题解答目录1-1.(P32)设晶格常数为a的一维晶格,导带极小值附近能量E c(k)和价带极大值附近能量E v(k)分别为: (2)1-2.(P33)晶格常数为0.25nm的一维晶格,当外加102V/m,107V/m的电场时,试分别计算电子自能带底运动到能带顶所需的时间。
(3)3-7.(P81)①在室温下,锗的有效状态密度Nc=1.05×1019cm-3,Nv=5.7×1018cm-3,试求锗的载流子有效质量mn*和mp*。
(3)3-8.(P82)利用题7所给的Nc和Nv数值及Eg=0.67eV,求温度为300k和500k时,含施主浓度ND=5×1015cm-3,受主浓度NA=2×109cm-3的锗中电子及空穴浓度为多少? (4)3-11.(P82)若锗中杂质电离能△ED=0.01eV,施主杂质浓度分别为ND=1014cm-3及1017cm-3,计算(1)99%电离,(2)90%电离,(3)50%电离时温度各为多少? (5)3-14.(P82)计算含有施主杂质浓度ND=9×1015cm-3及受主杂质浓度为1.1×1016cm-3的硅在300k 时的电子和空穴浓度以及费米能级的位置。
(6)3-18.(P82)掺磷的n型硅,已知磷的电离能为0.04eV,求室温下杂质一般电离时费米能级的位置和磷的浓度。
(7)3-19.(P82)求室温下掺锑的n型硅,使EF=(EC+ED)/2时的锑的浓度。
已知锑的电离能为0.039eV。
(7)3-20.(P82)制造晶体管一般是在高杂质浓度的n型衬底上外延一层n型的外延层,再在外延层中扩散硼、磷而成。
①设n型硅单晶衬底是掺锑的,锑的电离能为0.039eV,300k时的EF位于导带底下面0.026eV处,计算锑的浓度和导带中电子浓度。
(8)4-1.(P113)300K时,Ge的本征电阻率为47Ω.cm,如电子和空穴迁移率分别为3900cm2/V.S和1900cm2/V.S,试求本征Ge的载流子浓度。
第一章半导体中的电子状态例1.证明:对于能带中的电子,K状态和-K状态的电子速度大小相等,方向相反。
即:v(k)= -v(-k),并解释为什么无外场时,晶体总电流等于零。
解:K状态电子的速度为:(1)同理,-K状态电子的速度则为:(2)从一维情况容易看出:(3)同理有:(4)(5)将式(3)(4)(5)代入式(2)后得:(6)利用(1)式即得:v(-k)= -v(k)因为电子占据某个状态的几率只同该状态的能量有关,即:E(k)=E(-k)故电子占有k状态和-k状态的几率相同,且v(k)=-v(-k)故这两个状态上的电子电流相互抵消,晶体中总电流为零。
例2.已知一维晶体的电子能带可写成:式中,a为晶格常数。
试求:(1)能带的宽度;(2)能带底部和顶部电子的有效质量。
解:(1)由E(k)关系(1)(2)令得:当时,代入(2)得:对应E(k)的极小值。
当时,代入(2)得:对应E(k)的极大值。
根据上述结果,求得和即可求得能带宽度。
故:能带宽度(3)能带底部和顶部电子的有效质量:习题与思考题:1 什么叫本征激发?温度越高,本征激发的载流子越多,为什么?试定性说明之。
2 试定性说明Ge、Si的禁带宽度具有负温度系数的原因。
3 试指出空穴的主要特征。
4 简述Ge、Si和GaAs的能带结构的主要特征。
5 某一维晶体的电子能带为其中E0=3eV,晶格常数a=5×10-11m。
求:(1)能带宽度;(2)能带底和能带顶的有效质量。
6原子中的电子和晶体中电子受势场作用情况以及运动情况有何不同?原子中内层电子和外层电子参与共有化运动有何不同?7晶体体积的大小对能级和能带有什么影响?8描述半导体中电子运动为什么要引入“有效质量”的概念?用电子的惯性质量描述能带中电子运动有何局限性?9 一般来说,对应于高能级的能带较宽,而禁带较窄,是否如此?为什么?10有效质量对能带的宽度有什么影响?有人说:“有效质量愈大,能量密度也愈大,因而能带愈窄。
第一章习题1.设晶格常数为a 的一维晶格,导带极小值附近能量E c (k)和价带极大值附近能量E V (k)分别为:E C (K )=0220122021202236)(,)(3m k h m k h k E m k k h m k h V -=-+ 0m 。
试求:为电子惯性质量,nm a ak 314.0,1==π(1)禁带宽度;(2)导带底电子有效质量; (3)价带顶电子有效质量;(4)价带顶电子跃迁到导带底时准动量的变化 解:(1)eVm k E k E E E k m dk E d k m kdk dE Ec k k m m m dk E d k k m k k m k V C g V V V c 64.012)0()43(0,060064338232430)(2320212102220202020222101202==-==<-===-==>=+===-+ 因此:取极大值处,所以又因为得价带:取极小值处,所以:在又因为:得:由导带:043222*83)2(1m dk E d mk k C nC===sN k k k p k p m dkE d mk k k k VnV/1095.7043)()()4(6)3(25104300222*11-===⨯=-=-=∆=-== 所以:准动量的定义:2. 晶格常数为0.25nm 的一维晶格,当外加102V/m ,107 V/m 的电场时,试分别计算电子自能带底运动到能带顶所需的时间。
解:根据:tkhqE f ∆∆== 得qE k t -∆=∆sat sat 137192821911027.810106.1)0(1027.810106.1)0(----⨯=⨯⨯--=∆⨯=⨯⨯--=∆ππ补充题1分别计算Si (100),(110),(111)面每平方厘米内的原子个数,即原子面密度(提示:先画出各晶面内原子的位置和分布图)Si 在(100),(110)和(111)面上的原子分布如图1所示:(a )(100)晶面 (b )(110)晶面(c )(111)晶面补充题2一维晶体的电子能带可写为)2cos 81cos 87()22ka ka ma k E +-= (, 式中a 为 晶格常数,试求(1)布里渊区边界; (2)能带宽度;(3)电子在波矢k 状态时的速度;(4)能带底部电子的有效质量*n m ;(5)能带顶部空穴的有效质量*p m解:(1)由0)(=dkk dE 得 a n k π=(n=0,±1,±2…) 进一步分析an k π)12(+= ,E (k )有极大值,214221422142822/1083.7342232212414111/1059.92422124142110/1078.6)1043.5(224141100cm atom a a a cm atom a a a cm atom a a ⨯==⨯+⨯+⨯⨯==⨯⨯+⨯+⨯=⨯==⨯+-):():():(222)mak E MAX=( ank π2=时,E (k )有极小值所以布里渊区边界为an k π)12(+=(2)能带宽度为222)()ma k E k E MIN MAX =-( (3)电子在波矢k 状态的速度)2sin 41(sin 1ka ka ma dk dE v -== (4)电子的有效质量)2cos 21(cos 222*ka ka mdkEd m n-==能带底部 an k π2=所以m m n 2*= (5)能带顶部 an k π)12(+=, 且**n p m m -=,所以能带顶部空穴的有效质量32*mm p =半导体物理第2章习题1. 实际半导体与理想半导体间的主要区别是什么?答:(1)理想半导体:假设晶格原子严格按周期性排列并静止在格点位置上,实际半导体中原子不是静止的,而是在其平衡位置附近振动。
实用文档第6章 p-n 结1、一个Ge 突变结的p 区n 区掺杂浓度分别为N A =1017cm -3和N D =51015cm -3,求该pn 结室温下的自建电势。
解:pn 结的自建电势 2(ln )D A D iN N kTV q n =已知室温下,0.026kT =eV ,Ge 的本征载流子密度1332.410 cm i n -=⨯代入后算得:1517132510100.026ln0.36(2.410)D V V ⨯⨯=⨯=⨯ 4.证明反向饱和电流公式(6-35)可改写为20211()(1)i s n n p pb k T J b q L L σσσ=++ 式中npb μμ=,n σ和p σ分别为n 型和p 型半导体电导率,i σ为本征半导体电导率。
证明:将爱因斯坦关系式p p kT D q μ=和n n kT D qμ=代入式(6-35)得 0000()p n pnS p n n p npn pp nn p J kTn kTp kT L L L L μμμμμμ=+=+因为002i p p n n p =,002i n n n p n =,上式可进一步改写为221111()()S n p i n p i n p p p n n n pp nJ kT n qkT n L p L n L L μμμμμμσσ=+=+实用文档又因为()i i n p n q σμμ=+22222222()(1)i i n p i p n q n q b σμμμ=+=+实用文档即22222222()(1)i i i n p p n q q b σσμμμ==++ 将此结果代入原式即得证2222221111()()(1)(1)n p i i S p n p p n n p p nqkT b kT J q b L L q b L L μμσσμσσσσ=+=⋅⋅+++ 注:严格说,迁移率与杂质浓度有关,因而同种载流子的迁移率在掺杂浓度不同的p 区和n 区中并不完全相同,因而所证关系只能说是一种近似。
第6章 p-n 结1、一个Ge 突变结的p 区n 区掺杂浓度分别为N A =1017cm -3和N D =5⨯1015cm -3,求该pn 结室温下的自建电势。
解:pn 结的自建电势 2(ln )D A D iN N kTV q n =已知室温下,0.026kT =eV ,Ge 的本征载流子密度1332.410 cm i n -=⨯代入后算得:1517132510100.026ln0.36(2.410)D V V ⨯⨯=⨯=⨯ 4.证明反向饱和电流公式(6-35)可改写为20211()(1)i s n n p pb k T J b q L L σσσ=++ 式中npb μμ=,n σ和p σ分别为n 型和p 型半导体电导率,i σ为本征半导体电导率。
证明:将爱因斯坦关系式p p kT D q μ=和n n kT D qμ=代入式(6-35)得 0000()p n pnS p n n p npn pp nn p J kTn kTp kT L L L L μμμμμμ=+=+因为002i p p n n p =,002i n n n p n =,上式可进一步改写为221111()()S n p i n p i n p p p n n n pp nJ kT n qkT n L p L n L L μμμμμμσσ=+=+又因为()i i n p n q σμμ=+22222222()(1)i i n p i p n q n q b σμμμ=+=+即22222222()(1)i i i n p p n q q b σσμμμ==++ 将此结果代入原式即得证2222221111()()(1)(1)n p i i S p n p p n n p p nqkT b kT J q b L L q b L L μμσσμσσσσ=+=⋅⋅+++ 注:严格说,迁移率与杂质浓度有关,因而同种载流子的迁移率在掺杂浓度不同的p 区和n区中并不完全相同,因而所证关系只能说是一种近似。
5.一硅突变pn 结的n 区ρn =5Ω⋅cm ,τp =1μs ;p 区ρp =0.1Ω⋅cm ,τn =5μs ,计算室温下空穴电流与电子电流之比、饱和电流密度,以及在正向电压0.3V 时流过p-n 结的电流密度。
解:由5n cm ρ=Ω⋅,查得143910D N cm -=⨯,3420/p cm V s μ=⋅由0.1p cm ρ=Ω⋅,查得173510A N cm -=⨯,3500/n cm V s μ=⋅∴由爱因斯坦关系可算得相应的扩散系数分别为2142010.5 cm /40p p kT D s q μ==⨯=,2150012.5 cm /40n n kT D s q μ==⨯= 相应的扩散长度即为33.2410p L cm-===⨯37.910n L cm -===⨯对掺杂浓度较低的n 区,因为杂质在室温下已全部电离,0143910n n cm -=⨯,所以0021025314(1.510) 2.510910i n n n p cm n -⨯===⨯⨯ 对p 区,虽然N A =5⨯1017cm -3时杂质在室温下已不能全部电离,但仍近似认为p p0=N A ,0021022317(1.510) 4.510510i p p n n cm p -⨯===⨯⨯ 于是,可分别算得空穴电流和电子电流为∴0195UU 31.61010.52.510(1)(1)3.2410q q n kTkTp PPp J qD ee L --⨯⨯⨯⨯=-=-⨯101.3010(1)qVkTe-=⨯-019231.61012.5 4.510(1)(1)7.910qVqV p kTkTn nnn J qD ee L --⨯⨯⨯⨯=-=-⨯131.1410(1)qVkTe-=⨯-空穴电流与电子电流之比 103131.3010 1.14101.1410pn J J --⨯==⨯⨯饱和电流密度:0010131021.3010 1.1410 1.3010/n p S PnPnp n J qD qD A cm L L ---=+=⨯+⨯=⨯当U =0.3V 时:0.30.310100.0260.026(1) 1.3010(1) 1.3010qVkTS J J eee--=-=⨯⨯-=⨯⨯=521.2910A /cm -⨯6.条件与上题相同,计算下列电压下的势垒区宽度和单位面积上的势垒电容: ①-10V ;②0V ;③0.3V 。
解:对上题所设的p +n 结,其势垒宽度D X ===式中,1417021021910510()ln 0.026ln 0.74(1.510)n p A D D F F i k T N N V E E V q q n ⋅⨯⨯⨯=-===⨯ 外加偏压U 后,势垒高度D V 变为()D V U -,因而 ① U =-10V 时,势垒区宽度和单位面积势垒电容分别为43.9410D X cm -===⨯ 14920411.68.8510 2.610 F/cm 3.9410r T DC x εε---⨯⨯===⨯⨯ ② U =0V 时,势垒区宽度和单位面积势垒电容分别为41.0310D x cm -==⨯ 1492411.68.85109.9710 F /cm 1.0310T C ---⨯⨯==⨯⨯ ③ U =0.3V57.9710D x cm -===⨯ 正向偏压下的pn 结势垒电容不能按平行板电容器模型计算,但近似为另偏压势垒电容的4倍,即982T 4(0)49.9710410 F /cm T C C --==⨯⨯=⨯7.计算当温度从300K 增加到400K 时,硅pn 结反向电流增加的倍数。
解:根据反向饱和电流J S 对温度的依赖关系(讲义式(6-26)或参考书p.193):(3/2)(0)exp()g S E J T kTγ+∝-式中,E g (0)表示绝对零度时的禁带宽度。
由于3/2T γ+比其后之指数因子随温度的变化缓慢得多,S J 主要是由其指数因子决定,因而1.24 1.2440012.4512001.24300(400) 2.4310(300)kS k S kJ K ee e J K e --====⨯12、分别计算硅p +n 结在平衡和反向电压45V 时的最大电场强度。
已知V D =0.7V ,153510D N cm -=⨯。
解:势垒宽度:D X ==⑴平衡时,即U=0V 时54.2710D X cm -==⨯ 最大场强:191554141.610510 4.2710 3.3310/8.851011.6B mm r qN X V cm εεε---⨯⨯⨯⨯⨯===⨯⨯⨯ ⑵45D V V =-时:43.4510D X cm -==⨯ 最大场强191545141.610510 3.45102.710/8.851011.6B mm r qN X V cm εεε---⨯⨯⨯⨯⨯===⨯⨯⨯ 13. 求题5所给硅p +n 的反向击穿电压、击穿前的空间电荷区宽度及其中的平均电场强度。
解:按突变结击穿电压与低掺杂区电阻率的关系,可知其雪崩击穿电压U B = 95.1443ρ=95.14⨯751/4=318 V或按其n 区掺杂浓度9⨯1014/cm 3按下式算得U B =603164(10/)B N =60⨯ (100/9)3/4=365(V )二者之间有计算误差。
以下计算取300V 为击穿前的临界电压。
击穿前的空间电荷区宽度32.110cm D X -===⨯ 空间电荷区中的平均电场强度53300/ 1.4310 V /cm 2.110B D E U X -===⨯⨯ 注:硅的临界雪崩击穿电场强度为3⨯105 V/cm ,计算结果与之基本相符。
14.设隧道长度40x nm =V ,求硅、锗、砷化镓在室温下电子的隧穿几率。
解:隧穿几率])2(38ex p[2/12*x hE m P g n ∆-=π ⑴对硅:*01.08nm m =, 1.12g E ev =,121 1.610ev -=⨯尔格 128212830.714227282 1.089.110P exp[()(1.12 1.610)410] 4.65103(6.6210)e π------⨯⨯⨯=-⋅⋅⨯⨯⋅⨯==⨯⨯ ⑵对锗:*00.56nm m =,0.67g E ev = 128212816.782272820.569.110exp[()(0.67 1.610)410] 5.4103(6.6210)p e π-----⨯⨯⨯=-⋅⋅⨯⨯⋅⨯==⨯⨯ ⑶对砷化镓:*00.068nm m =, 1.35g E ev = 12821288.2742272820.0689.110exp[()(1.35 1.610)410] 2.5103(6.6210)p e π------⨯⨯⨯=-⋅⋅⨯⨯⋅⨯==⨯⨯ 第7章 金属和半导体的接触1、求Al-Cu 、Au-Cu 、W-Al 、Cu-Ag 、Al-Au 、Mo-W 、Au-Pt 的接触电势差,并标出电势的正负。
对功函数不同的两种材料的理想化接触,其接触电势差为:()()A B B AAB A B W W W W V V V q q q-=-=---= 故: 4.59 4.180.41Cu Al Al Cu W W V ev q q ---=== 4.59 5.200.61Cu Au Au Cu W W V ev q q ---===- 4.18 4.550.37Al W W Al W W V ev q q ---===- 4.42 4.590.17Ag CuCu Ag W W V ev qq---===- 5.20 4.181.02Au Al Al Au W W V ev q q ---=== 4.59 4.180.34W Mo Mo W W W V ev q q ---=== 5.43 5.200.23Pt Au Au Pt W W V ev q q---=== 2、两种金属A 和B 通过金属C 相接触,若温度相等,证明其两端a 、b 的电势差同A 、B 直接接触的电势差一样。
如果A 是Au ,B 是Ag ,C 是Cu 或Al ,则V ab 为多少伏?解:∵温度均相等,∴不考虑温差电动势∵C A AC W W V q -=,B CCB W W V q-= 两式相加得:B AAC CB AB W W V V V q-==+ 显然,V AB 与金属C 无关。
若A 为Au ,B 为Ag ,C 为Al 或Cu ,则V AB 与Cu 、Al 无关,其值只决定于W Au =5.2eV ,W Ag =4.42eV ,即4.425.200.78V Ag AuAu Ag W W V qq---===- 3、求N D =1017cm -3的n 型硅在室温下的功函数。