角函数常用积分表
- 格式:doc
- 大小:328.50 KB
- 文档页数:7
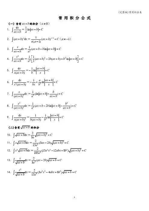
导数公式:基本积分表:三角函数的有理式积分:ax x a a a ctgx x x tgx x x x ctgx x tgx a x x ln 1)(log ln )(csc )(csc sec )(sec csc )(sec )(22='='⋅-='⋅='-='='222211)(11)(11)(arccos 11)(arcsin x arcctgx x arctgx x x x x +-='+='--='-='⎰⎰⎰⎰⎰⎰⎰⎰⎰⎰+±+=±+=+=+=+-=⋅+=⋅+-==+==Ca x x a x dx C shx chxdx C chx shxdx Ca a dx a Cx ctgxdx x Cx dx tgx x Cctgx xdx x dx C tgx xdx x dx xx)ln(ln csc csc sec sec csc sin sec cos 22222222C axx a dx C x a xa a x a dx C a x ax a a x dx C a xarctg a x a dx Cctgx x xdx C tgx x xdx Cx ctgxdx C x tgxdx +=-+-+=-++-=-+=++-=++=+=+-=⎰⎰⎰⎰⎰⎰⎰⎰arcsin ln 21ln 211csc ln csc sec ln sec sin ln cos ln 22222222⎰⎰⎰⎰⎰++-=-+-+--=-+++++=+-===-Cax a x a x dx x a Ca x x a a x x dx a x Ca x x a a x x dx a x I nn xdx xdx I n n nn arcsin 22ln 22)ln(221cos sin 2222222222222222222222ππ222212211cos 12sin ududx x tg u u u x u u x +==+-=+=, , , (一)含有ax b +的积分(0a ≠)1.d x ax b +⎰=1ln ax b C a ++2.()d ax b x μ+⎰=11()(1)ax b C a μμ++++(1μ≠-)3.d x x ax b +⎰=21(ln )ax b b ax b C a +-++4.2d x x ax b +⎰=22311()2()ln 2ax b b ax b b ax b C a ⎡⎤+-++++⎢⎥⎣⎦5.d ()xx ax b +⎰=1ln ax b C b x+-+ 6.2d ()xx ax b +⎰=21ln a ax b C bx b x +-++ 7.2d ()x x ax b +⎰=21(ln )b ax b C a ax b++++ 8.22d ()x x ax b +⎰=231(2ln )b ax b b ax b C a ax b+-+-++ 9.2d ()xx ax b +⎰=211ln ()ax b C b ax b b x +-++的积分10.x ⎰C11.x ⎰=22(3215ax b C a -+12.x x ⎰=22232(15128105a x abx b C a-++13.x⎰=22(23ax b C a -+14.2x ⎰=22232(34815a x abx b C a -++ 15.⎰(0)(0)C b C b ⎧+>+<16.⎰=2a bx b --17.x ⎰=b +18.x ⎰=2a +(三)含有22x a ±的积分19.22d x x a +⎰=1arctan xC a a+ 20.22d ()n xx a +⎰=2221222123d 2(1)()2(1)()n n x n xn a x a n a x a ---+-+-+⎰21.22d xx a -⎰=1ln 2x a C a x a -++(四)含有2(0)ax b a +>的积分22.2d x ax b +⎰=(0)(0)x C b C b ⎧+>⎪⎪⎨+< 23.2d x x ax b +⎰=21ln 2ax b C a++ 24.22d x x ax b +⎰=2d x b xa a ax b-+⎰25.2d ()x x ax b +⎰=221ln 2x C b ax b++ 26.22d ()x x ax b +⎰=21d a xbx b ax b --+⎰27.32d ()x x ax b +⎰=22221ln 22ax b a C b x bx +-+28.22d ()x ax b +⎰=221d 2()2x xb ax b b ax b+++⎰ (五)含有2ax bx c ++(0)a >的积分29.2d x ax bx c ++⎰=22(4)(4)C b ac Cb ac +<+>30.2d x x ax bx c ++⎰=221d ln 22b x ax bx c a a ax bx c++-++⎰(0)a >的积分31.⎰=1arshxC a+=ln(x C + 32.⎰C +33.x ⎰C +34.x ⎰=C +35.2x2ln(2a x C -++36.2x ⎰=ln(x C +++37.⎰1lnaC a x +38.⎰C +39.x ⎰2ln(2a x C +++40.x ⎰=2243(25ln(88x x a a x C +++41.x ⎰C42.x x ⎰=422(2ln(88x a x a x C+-++43.d x x ⎰a C +44.2d x x ⎰=ln(x C x-+++(0)a >的积分45.=1arch x xC x a+=ln x C ++ 46.⎰C +47.x ⎰C +48.x ⎰=C +49.2x 2ln 2a x C ++50.2x ⎰=ln x C +++51.⎰1arccos aC a x +52.⎰C +53.x ⎰2ln 2a x C ++54.x ⎰=2243(25ln 88x x a a x C -+55.x ⎰C56.x x ⎰=422(2ln 88x a x a x C --++57.x ⎰arccos a a C x +58.x ⎰=ln x C +++(0)a >的积分59.⎰=arcsinxC a+ 60.⎰C +61.x ⎰=C62.x ⎰C +63.2x =2arcsin 2a x C a + 64.2x ⎰arcsinxC a-+65.⎰1C a +66.⎰2C a x -+67.x ⎰2arcsin 2a x C a+68.x ⎰=2243(52arcsin 88x x a x a C a-++69.x ⎰=C70.x x ⎰=422(2arcsin 88x a x x a C a-++71.x ⎰a C +72.x ⎰=arcsin xC a-+(0)a >的积分73.⎰2ax b C +++74.x ⎰22ax b C +++75.x ⎰2ax b C -+++76.⎰=C +77.x ⎰2C +78.x ⎰=C79.x ⎰=((x b b a C --++80.x ⎰=((x b b a C --81.⎰=C ()a b <82.x ⎰2()4b a C -+ ()a b <(十一)含有三角函数的积分 83.sin d x x ⎰=cos x C -+84.cos d x x ⎰=sin x C + 85.tan d x x ⎰=ln cos x C -+ 86.cot d x x ⎰=ln sin x C +87.sec d x x ⎰=ln tan()42x C π++=ln sec tan x x C ++ 88.csc d x x ⎰=ln tan2xC +=ln csc cot x x C -+ 89.2sec d x x ⎰=tan x C +90.2cscd x x ⎰=cot x C -+91.sec tan d x x x ⎰=sec x C + 92.csc cot d x x x ⎰=csc x C -+93.2sin d x x ⎰=1sin 224x x C -+ 94.2cos d x x ⎰=1sin 224x x C ++95.sin d n x x ⎰=1211sin cos sin d n n n x x x x n n----+⎰ 96.cos d n x x ⎰=1211cos sin cos d n n n x x x x n n---+⎰ 97.d sin n x x ⎰=121cos 2d 1sin 1sin n n x n xn x n x ----⋅+--⎰ 98.d cos n x x ⎰=121sin 2d 1cos 1cos n n x n xn x n x---⋅+--⎰ 99.cos sin d m n x x x ⎰=11211cos sin cos sin d m n m nm x x x x x m n m n-+--+++⎰ =11211cos sin cos sin d m n m n n x x x x x m n m n+----+++⎰ 100.sin cos d ax bx x ⎰=11cos()cos()2()2()a b x a b x C a b a b -+--++-101.sin sin d ax bx x ⎰=11sin()sin()2()2()a b x a b x C a b a b -++-++-102.cos cos d ax bx x ⎰=11sin()sin()2()2()a b x a b x C a b a b ++-++-103.d sin xa b x +⎰tanx a b C ++22()a b >104.d sin xa b x +⎰C+22()a b <105.d cos xa b x +⎰)2x C +22()a b >106.d cos x a b x +⎰C +22()a b <107.2222d cos sin x a x b x +⎰=1arctan(tan )bx C ab a + 108.2222d cos sin xa xb x -⎰=1tan ln 2tan b x a C ab b x a ++-109.sin d x ax x ⎰=211sin cos ax x ax C a a -+ 110.2sin d x ax x ⎰=223122cos sin cos x ax x ax ax C a a a -+++111.cos d x ax x ⎰=211cos sin ax x ax C a a ++112.2cos d x ax x ⎰=223122sin cos sin x ax x ax ax C a a a+-+(十二)含有反三角函数的积分(其中0a >)113.arcsin d x x a ⎰=arcsin x x C a+114.arcsin d x x x a⎰=22()arcsin 24x a x C a -+115.2arcsin d x x x a ⎰=3221arcsin (239x x x a C a +++116.arccos d x x a ⎰=arccos x x C a117.arccos d x x x a⎰=22()arccos 24x a x C a --+118.2arccos d x x x a ⎰=3221arccos (239x x x a C a -+ 119.arctan d x x a ⎰=22arctan ln()2x a x a x C a -++ 120.arctan d x x x a ⎰=221()arctan 22x a a x x C a +-+ 121.2arctan d x x x a ⎰=33222arctan ln()366x x a a x a x C a -+++ (十三)含有指数函数的积分122.d x a x ⎰=1ln x a C a+ 123.e d ax x ⎰=1e ax C a+ 124.e d ax x x ⎰=21(1)e ax ax C a-+ 125.e d n ax x x ⎰=11e e d n ax n ax n x x x a a --⎰ 126.d x xa x ⎰=21ln (ln )x x x a a C a a -+ 127.d n x x a x ⎰=11d ln ln n x n x n x a x a x a a --⎰128.e sin d ax bx x ⎰=221e (sin cos )ax a bx b bx C a b-++ 129.e cos d ax bx x ⎰=221e (sin cos )ax b bx a bx C a b +++130.e sin d ax n bx x ⎰=12221e sin (sin cos )ax n bx a bx nb bx a b n--+ 22222(1)e sin d ax n n n b bx x a b n --++⎰131.e cos d ax n bx x ⎰=12221e cos (cos sin )ax n bx a bx nb bx a b n-++ 22222(1)e cos d ax n n n b bx x a b n--++⎰ (十四)含有对数函数的积分132.ln d x x ⎰=ln x x x C -+ 133.d ln x x x ⎰=ln ln x C +134.ln d n x x x ⎰=111(ln )11n x x C n n +-+++ 135.(ln )d n x x ⎰=1(ln )(ln )d n n x x n x x --⎰ 136.(ln )d m n x x x ⎰=111(ln )(ln )d 11m n m n n x x x x x m m +--++⎰ (十五)含有双曲函数的积分137.sh d x x ⎰=ch x C + 138.ch d x x ⎰=sh x C + 139.th d x x ⎰=lnch x C + 140.2sh d x x ⎰=1sh224x x C -++ 141.2ch d x x ⎰=1sh224x x C ++ (十六)定积分142.cos d nx x π-π⎰=sin d nx x π-π⎰=0 143.cos sin d mx nx x π-π⎰=0144.cos cos d mx nx x π-π⎰=0,,m n m n ≠⎧⎨π=⎩145.sin sin d mx nx x π-π⎰=0,,m n m n ≠⎧⎨π=⎩ 146.0sin sin d mx nx x π⎰=0cos cos d mx nx x π⎰=0,,2m n m n ≠⎧⎪⎨π=⎪⎩ 147.n I =20sin d n x x π⎰=20cos d n x x π⎰n I =21n n I n -- 1342253n n n I n n --=⋅⋅⋅⋅-L (n 为大于1的正奇数),1I =1 13312422n n n I n n --π=⋅⋅⋅⋅⋅-L (n 为正偶数),0I =2π。
高等数学公式根本积分表〔1〕kdx kx C =+⎰ 〔k 是常数〕〔2〕1,1x x dx C μμμ+=++⎰(1)u ≠- 〔3〕1ln ||dx x C x =+⎰〔4〕2tan 1dxarl x C x =++⎰ 〔5〕arcsin x C =+〔6〕cos sin xdx x C =+⎰ 〔7〕sin cos xdx x C =-+⎰〔8〕21tan cos dx x C x =+⎰〔9〕21cot sin dx x C x =-+⎰〔10〕sec tan sec x xdx x C =+⎰ 〔11〕csc cot csc x xdx x C =-+⎰ 〔12〕x x e dx e C =+⎰〔13〕ln xxa a dx C a=+⎰,(0,1)a a >≠且 〔14〕shxdx chx C =+⎰ 〔15〕chxdx shx C =+⎰〔16〕2211tan xdx arc C a x a a =++⎰ 〔17〕2211ln ||2x adx C x a a x a -=+-+⎰ 〔18〕sinxarc C a=+〔19〕ln(x C =++〔20〕ln |x C =++〔21〕tan ln |cos |xdx x C =-+⎰ 〔22〕cot ln |sin |xdx x C =+⎰ 〔23〕sec ln |sec tan |xdx x x C =++⎰ 〔24〕csc ln |csc cot |xdx x x C =-+⎰注:1、从导数根本公式可得前15个积分公式,(16)-(24)式后几节证。
2、以上公式把x 换成u 仍成立,u 是以x 为自变量的函数。
3、复习三角函数公式:2222sin cos 1,tan 1sec ,sin 22sin cos ,x x x x x x x +=+==21cos 2cos 2xx +=, 21cos 2sin 2xx -=。
注:由[()]'()[()]()f x x dx f x d x ϕϕϕϕ=⎰⎰,此步为凑微分过程,所以第一类换元法也叫凑微分法。
高等数学公式基本积分表(1)kdx kx C =+⎰ (k 是常数)(2)1,1x x dx C μμμ+=++⎰ (1)u ≠- (3)1ln ||dx x C x =+⎰(4)2tan 1dxarl x C x =++⎰ (5)arcsin x C =+(6)cos sin xdx x C =+⎰ (7)sin cos xdx x C =-+⎰(8)21tan cos dx x C x =+⎰(9)21cot sin dx x C x =-+⎰(10)sec tan sec x xdx x C =+⎰ (11)csc cot csc x xdx x C =-+⎰ (12)x x e dx e C =+⎰(13)ln xxa a dx C a=+⎰,(0,1)a a >≠且 (14)shxdx chx C =+⎰ (15)chxdx shx C =+⎰(16)2211tan xdx arc C a x a a =++⎰ (17)2211ln ||2x adx C x a a x a -=+-+⎰ (18)sinxarc C a=+(19)ln(x C =++(20)ln |x C =++(21)tan ln |cos |xdx x C =-+⎰ (22)cot ln |sin |xdx x C =+⎰ (23)sec ln |sec tan |xdx x x C =++⎰ (24)csc ln |csc cot |xdx x x C =-+⎰注:1、从导数基本公式可得前15个积分公式,(16)-(24)式后几节证。
2、以上公式把x 换成u 仍成立,u 是以x 为自变量的函数。
3、复习三角函数公式:2222sin cos 1,tan 1sec ,sin 22sin cos ,x x x x x x x +=+==21cos 2cos 2xx +=, 21cos 2sin 2xx -=。
注:由[()]'()[()]()f x x dx f x d x ϕϕϕϕ=⎰⎰,此步为凑微分过程,所以第一类换元法也叫凑微分法。
1)—dx cosx—V-dxsin xtan x C cot x Cdx a x 1~2 ------- 2dxx a1 x a2aln|着* 1 C参考医学基本积分表kdx kx C(k 是常数) 1xx dxC, (u 11dx In | x | C xdxsin xdx cosx Csecx tanxdx secx C (1) (2)(3)(4)(5)(6)(7) (8) (9) (10)(11)(⑵(13)(14) (15) (16) (17)cosxdx sinx Ce xdx e xCa x dx-C , (a 0,且 a 1) In ashxdx chx Cchxdx shx Ccscx cot xdx cscx C1arc tan注:由 f[ (x)] '(x)dxf[ (x)]d (x),此步为凑微分过程,所以第类换元法也叫凑微分法。
此方法是非常重要的一种积分法,要运用自如, 务必熟记基本积分表,并掌握常见的凑微分形式及“凑”的技巧。
小结:1常用凑微分公式参考医学(18)arc sin 仝 Ca(19)_1_ _a^x 2<(20)/ 2 2x aIn |x , x a(21) tan xdx ln | cosx | C (22) cot xdx ln |sinx| C (23) secxdx In | secx tanx| (24) cscxdx In | cscx cotx| C C 注:1、 从导数基本公式可得前15个积分公式,(16)-(24)式后几节证。
2、以上公式把x 换成u 仍成立,u 是以x 为自变量的函数。
3、复习三角函数公式: 2 2 2sin x cos x 1,tan x 1 2 2sec x,sin 2x 2sin xcosx, cos x1 cos2xsin 2x1 cos2x 2参考医学积分类型换元公式1.1 f(ax b)dx — af (ax b)d(ax b) (a 0)u ax bf(x )x 1dx -u x2.-f(x )d(x ) ( 0)3. 1f(l nx) —dxx f(ln x)d(ln x) u In x 第 4.. f(e x ) e xdxf(e x)de xuxe5. f(a x ) a xdx — - F(a x )da x换In auxa元 6. f (sin x) cosxdxf (sin x)d sin xu sin x 积u cosx分 7. f (cosx) sin xdxf (cosx)d cosx法 8. f (tan x) sec xdxf (tan x)d tanxu tan x9. 2 f (cot x)csc xdxf (cot x)d cot xu cot x10. 1f (arctanx) --1 x… .、 1 -dx f (arctan x)d (arctanx) u arcta nx 11. 1 jp / __ ■ _ \ u arcsin xf (arcsin x):——dxT (arcsin x)d (arcsin x)(注:表格素材和资料部分来自网络,供参考。
常 用 积 分 公 式(一)含有ax b +的积分(0a ≠)1.d x ax b +⎰=1ln ax b C a ++2.()d ax b x μ+⎰=11()(1)ax b C a μμ++++(1μ≠-)3.d x x ax b +⎰=21(ln )ax b b ax b C a+-++ 4.2d x x ax b +⎰=22311()2()ln 2ax b b ax b b ax b C a ⎡⎤+-++++⎢⎥⎣⎦ 5.d ()xx ax b +⎰=1lnax b C b x +-+ 6.2d ()xx ax b +⎰=21ln a ax b C bx b x +-++ 7.2d ()x x ax b +⎰=21(ln )b ax b C a ax b++++ 8.22d ()x x ax b +⎰=231(2ln )b ax b b ax b C a ax b +-+-++ 9.2d ()xx ax b +⎰=211ln ()ax b C b ax b b x +-++(二)的积分10.x C +11.x ⎰=22(3215ax b C a -12.x x ⎰=22232(15128105a x abx b C a -+13.x=22(23ax b C a -14.2x=22232(34815a x abx b C a -+15.=(0)(0)C b C b ⎧+><16.=2a b - 17.d x x ⎰=b ⎰18.x=2a + (三)含有22x a ±的积分 19.22d x x a +⎰=1arctan x C a a+ 20.22d ()n x x a +⎰=2221222123d 2(1)()2(1)()n n x n xn a x a n a x a ---+-+-+⎰ 21.22d xx a -⎰=1ln 2x a C a x a-++ (四)含有2(0)ax b a +>的积分22.2d x ax b +⎰=(0)(0)C b C b ⎧+>+<23.2d x x ax b +⎰=21ln 2ax b C a++ 24.22d x x ax b +⎰=2d x b xa a axb -+⎰25.2d ()x x ax b +⎰=221ln 2x C b ax b ++ 26.22d ()x x ax b +⎰=21d a xbx b ax b--+⎰(完整版)常用积分表27.32d ()x x ax b +⎰=22221ln 22ax b a C b x bx+-+ 28.22d ()x ax b +⎰=221d 2()2x xb ax b b ax b+++⎰(五)含有2ax bx c ++(0)a >的积分29.2d x ax bx c ++⎰=22(4)(4)C b ac Cb ac +<+>30.2d x x ax bx c ++⎰=221d ln 22b x ax bx c a a ax bx c++-++⎰(0)a >的积分 31.=1arshxC a +=ln(x C + 32.C +33.xC34.x=C +35.2x2ln(2a x C ++ 36.2x=ln(x C +++37.=1C a + 38.2C a x -+ 39.x2ln(2a x C ++40.x =2243(25ln(88x x a a x C +++41.x ⎰C +42.x x ⎰=422(2ln(88x a x a x C +++43.x ln a a C x +44.x =ln(x C +++((0)a >的积分45.=1arch x xC x a+=ln x C ++ 46.C +47.x C48.x =C +49.2x 2ln 2a x C +++50.2x =ln x C +++51.=1arccos aC a x +52.2C a x +53.x 2ln 2a x C -++54.x =2243(25ln 88x x a a x C -++55.x ⎰C56.x x ⎰=422(2ln 88x a x a x C -++57.x x⎰arccos aa C x -+58.2d x x ⎰=ln x C x-+++((0)a >的积分 59.=arcsinxC a + 60.C +61.x =C +62.x C +63.2x =2arcsin 2a x C a + 64.2x arcsinxC a-+65.=1C a +66.C +67.x 2arcsin 2a x C a+68.x =2243(52arcsin 88x xa x a C a -+69.x ⎰=C70.xx ⎰=422(2arcsin 88x a x x a C a-+71.x ln a a C x ++72.2d x x ⎰=arcsin xC x a--+(0)a >的积分73.2ax b C +++74.x22ax b C +++75.x2ax b C -+++76.=C +77.x 2C +78.x =C ++(十)79.x =((x b b a C --+80.x =((x b b a C -+-81.C ()a b <82.x 2()arcsin 4b a C -+()a b < (十一)含有三角函数的积分 83.sin d x x ⎰=cos x C -+ 84.cos d x x ⎰=sin x C + 85.tan d x x ⎰=ln cos x C -+ 86.cot d x x ⎰=ln sin x C +87.sec d x x ⎰=ln tan()42xC π++=ln sec tan x x C ++88.csc d x x ⎰=ln tan2xC +=ln csc cot x x C -+ 89.2sec d x x ⎰=tan x C + 90.2csc d x x ⎰=cot x C -+ 91.sec tan d x x x ⎰=sec x C + 92.csc cot d x x x ⎰=csc x C -+93.2sin d x x ⎰=1sin 224x x C -+ 94.2cos d x x ⎰=1sin 224x x C ++95.sin d n x x ⎰=1211sin cos sin d n n n x x x x n n----+⎰ 96.cos d n x x ⎰=1211cos sin cos d n n n x x x x n n---+⎰ 97.d sin n x x ⎰=121cos 2d 1sin 1sin n n x n xn x n x ----⋅+--⎰ 98.d cos n x x ⎰=121sin 2d 1cos 1cos n n x n xn x n x---⋅+--⎰ 99.cos sin d m n x x x ⎰=11211cos sin cos sin d m n m nm x x x x x m n m n-+--+++⎰ =11211cos sin cos sin d m n m n n x x x x x m n m n +----+++⎰100.sin cos d ax bx x ⎰=11cos()cos()2()2()a b x a b x C a b a b -+--++-101.sin sin d ax bx x ⎰=11sin()sin()2()2()a b x a b x C a b a b -++-++-102.cos cos d ax bx x ⎰=11sin()sin()2()2()a b x a b x C a b a b ++-++-103.d sin xa b x +⎰tanxa b C ++22()a b >104.d sin x a b x +⎰C+22()a b <105.d cos xa b x +⎰)2x C +22()a b >106.d cos x a b x +⎰C +22()a b <107.2222d cos sin x a x b x +⎰=1arctan(tan )bx C ab a + 108.2222d cos sin xa xb x -⎰=1tan ln 2tan b x a C ab b x a++- 109.sin d x ax x ⎰=211sin cos ax x ax C a a -+ 110.2sin d x ax x ⎰=223122cos sin cos x ax x ax ax C a a a -+++111.cos d x ax x ⎰=211cos sin ax x ax C a a ++112.2cos d x ax x ⎰=223122sin cos sin x ax x ax ax C a a a+-+(十二)含有反三角函数的积分(其中0a >)113.arcsin d x x a ⎰=arcsin xx C a +114.arcsin d xx x a ⎰=22()arcsin 24x a x C a -+115.2arcsin d xx x a⎰=3221arcsin (239x x x a C a +++116.arccos d x x a ⎰=arccos xx C a117.arccos d xx x a ⎰=22()arccos 24x a x C a --+118.2arccos d xx x a⎰=3221arccos (239x x x a C a -++119.arctan d x x a ⎰=22arctan ln()2x ax a x C a -++120.arctan d x x x a ⎰=221()arctan 22x aa x x C a +-+121.2arctan d xx x a⎰=33222arctan ln()366x x a a x a x C a -+++(十三)含有指数函数的积分122.d x a x ⎰=1ln xa C a +123.e d ax x ⎰=1e ax C a +124.e d ax x x ⎰=21(1)e ax ax C a -+125.e d n ax x x ⎰=11e e d n ax n ax nx x x a a --⎰126.d x xa x ⎰=21ln (ln )x x x a a C a a -+ 127.d n x x a x ⎰=11d ln ln n x n xn x a x a x a a --⎰128.e sin d ax bx x ⎰=221e (sin cos )ax a bx b bx C a b -++ 129.e cos d ax bx x ⎰=221e (sin cos )axb bx a bx C a b+++ 130.e sin d ax n bx x ⎰=12221e sin (sin cos )ax n bx a bx nb bx a b n --+ 22222(1)e sin d ax n n n b bx x a b n --++⎰ 131.e cos d ax n bx x ⎰=12221e cos (cos sin )ax n bx a bx nb bx a b n-++ 22222(1)e cos d ax n n n b bx x a b n --++⎰ (十四)含有对数函数的积分 132.ln d x x ⎰=ln x x x C -+ 133.d ln xx x⎰=ln ln x C +134.ln d n x x x ⎰=111(ln )11n x x C n n +-+++ 135.(ln )d nx x ⎰=1(ln )(ln )d n nx x n x x --⎰136.(ln )d m n x x x ⎰=111(ln )(ln )d 11m n m n n x x x x x m m +--++⎰ (十五)含有双曲函数的积分 137.sh d x x ⎰=ch x C + 138.ch d x x ⎰=sh x C + 139.th d x x ⎰=lnch x C +140.2sh d x x ⎰=1sh224x x C -++ 141.2ch d x x ⎰=1sh224x x C ++(十六)定积分 142.cos d nx x π-π⎰=sin d nx x π-π⎰=0143.cos sin d mx nx x π-π⎰=0144.cos cos d mx nx x π-π⎰=0,,m nm n≠⎧⎨π=⎩145.sin sin d mx nx x π-π⎰=0,,m nm n ≠⎧⎨π=⎩146.0sin sin d mx nx x π⎰=0cos cos d mx nx x π⎰=0,,2m nm n ≠⎧⎪⎨π=⎪⎩147. n I =20sin d nx x π⎰=20cos d n x x π⎰n I =21n n I n-- 1342253n n n I n n --=⋅⋅⋅⋅- (n 为大于1的正奇数),1I =1 13312422n n n I n n --π=⋅⋅⋅⋅⋅-(n 为正偶数),0I =2π(完整版)常用积分表换元积分法一、第一换元积分法(凑微分法)。
导数公式:基本积分表:三角函数的有理式积分:ax x aa a ctgx x x tgx x x xctgx x tgx a x x ln 1)(log ln )(csc )(csc sec )(sec csc )(sec )(22='='⋅-='⋅='-='='222211)(11)(11)(arccos 11)(arcsin x arcctgx x arctgx x x x x +-='+='--='-='⎰⎰⎰⎰⎰⎰⎰⎰⎰⎰+±+=±+=+=+=+-=⋅+=⋅+-==+==Ca x x a x dx C shx chxdx C chx shxdx Ca a dx a Cx ctgxdx x C x dx tgx x Cctgx xdx x dx C tgx xdx x dx xx)ln(ln csc csc sec sec csc sin sec cos 22222222C axx a dx C x a xa a x a dx C a x ax a a x dx C a xarctg a x a dx Cctgx x xdx C tgx x xdx Cx ctgxdx C x tgxdx +=-+-+=-++-=-+=++-=++=+=+-=⎰⎰⎰⎰⎰⎰⎰⎰arcsin ln 21ln 211csc ln csc sec ln sec sin ln cos ln 22222222⎰⎰⎰⎰⎰++-=-+-+--=-+++++=+-===-Cax a x a x dx x a Ca x x a a x x dx a x Ca x x a a x x dx a x I nn xdx xdx I n n nn arcsin 22ln 22)ln(221cos sin 2222222222222222222222ππ222212211cos 12sin u dudx x tg u u u x u u x +==+-=+=, , , (一)含有ax b +的积分(0a ≠)1.d x ax b +⎰=1ln ax b C a ++2.()d ax b x μ+⎰=11()(1)ax b C a μμ++++(1μ≠-)3.d x x ax b +⎰=21(ln )ax b b ax b C a +-++4.2d x x ax b +⎰=22311()2()ln 2ax b b ax b b ax b C a ⎡⎤+-++++⎢⎥⎣⎦5.d ()x x ax b +⎰=1ln ax b C b x+-+ 6.2d ()x x ax b +⎰=21ln a ax b C bx b x+-++ 7.2d ()xx ax b +⎰=21(ln )b ax b C a ax b++++ 8.22d ()x x ax b +⎰=231(2ln )b ax b b ax b C a ax b +-+-++9.2d ()x x ax b +⎰=211ln ()ax bC b ax b b x+-++的积分10.x C11.x ⎰=22(3215ax b C a -12.x x ⎰=22232(15128105a x abx b C a-+13.x=22(23ax b C a -14.2x=22232(34815a x abx b C a -+ 15.=(0)(0)C b C b ⎧+>+<16.2a bx b --17.x=b 18.x=2a +(三)含有22x a ±的积分19.22d x x a +⎰=1arctan xC a a+ 20.22d ()n xx a +⎰=2221222123d 2(1)()2(1)()n n x n x n a x a n a x a ---+-+-+⎰21.22d x x a -⎰=1ln 2x a C a x a-++(四)含有2(0)ax b a +>的积分22.2d x ax b +⎰=(0)(0)C b C b ⎧+>+<23.2d x x ax b +⎰=21ln 2ax b C a++24.22d x x ax b +⎰=2d x b xa a axb -+⎰25.2d ()xx ax b +⎰=221ln 2x C b ax b++ 26.22d ()xx ax b +⎰=21d a x bx b ax b --+⎰27.32d ()xx ax b +⎰=22221ln 22ax b a C b x bx +-+ 28.22d ()xax b +⎰=221d 2()2x xb ax b b ax b+++⎰ (五)含有2ax bx c ++(0)a >的积分29.2d x ax bx c ++⎰=22(4)(4)C b ac C b ac +<+>30.2d x x ax bx c ++⎰=221d ln 22b x ax bx c a a ax bx c++-++⎰(0)a >的积分31.=1arshxC a+=ln(x C ++ 32.=C +33.x=C +34.x=C +35.2x =2ln(2a x C -++36.2x =ln(x C ++37.1C a +38.C +39.x 2ln(2a x C ++40.x =2243(25ln(88x x a a x C +++41.x ⎰C +42.xx ⎰=422(2ln(88x a x a x C +++43.x a C +44.x =ln(x C +++(0)a >的积分45.=1arch x xC x a+=ln x C + 46.C +47.x =C48.x =C +49.2x 2ln 2a x C +++50.2x =ln x C +++51.1arccos aC a x +52.C +53.x =2ln 2a x C ++54.x =2243(25ln 88x x a a x C -+++55.x ⎰C +56.xx ⎰=422(2ln 88x a x a x C -++57.x x⎰=arccos a a C x +58.x =ln x C +++(0)a >的积分59.=arcsinxC a+ 60.C +61.x =C62.x C +63.2x =2arcsin 2a x C a ++ 64.2x arcsinxC a-+65.1C a +66.C +67.x =2arcsin 2a x C a+68.x =2243(52arcsin 88x x a x a C a -+69.x ⎰=C70.xx ⎰=422(2arcsin 88x a x x a C a-+71.d x x⎰a C +72.2d x x ⎰=arcsin xC x a--+(0)a >的积分73.2ax b C +++08070141常用导数和积分公式74.x =2n 2a x b c C+++75.xn 2a x b c C+++ 76.C +77.x =2C +78.x =C +79.x =((x b b a C --+80.x =((x b b a C -+-81.C ()a b <82.x 2()4b a C -+ ()a b <(十一)含有三角函数的积分 83.sin d x x ⎰=cos x C -+84.cos d x x ⎰=sin x C + 85.tan d x x ⎰=ln cos x C -+ 86.cot d x x ⎰=ln sin x C +87.sec d x x ⎰=ln tan()42xC π++=ln sec tan x x C ++ 88.csc d x x ⎰=ln tan 2xC +=ln csc cot x x C -+ 89.2secd x x ⎰=tan x C +90.2csc d x x ⎰=cot x C -+91.sec tan d x x x ⎰=sec x C + 92.csc cot d x x x ⎰=csc x C -+93.2sin d x x ⎰=1sin 224x x C -+ 94.2cos d x x ⎰=1sin 224x x C ++95.sin d nx x ⎰=1211sin cos sin d n n n x x x x n n----+⎰ 96.cos d n x x ⎰=1211cos sin cos d n n n x x x x n n---+⎰ 97.d sin n x x ⎰=121cos 2d 1sin 1sin n n x n xn x n x ----⋅+--⎰ 98.d cos n x x ⎰=121sin 2d 1cos 1cos n n x n xn x n x---⋅+--⎰99.cos sin d m nx x x ⎰=11211cos sin cos sin d m n m n m x x x x x m n m n -+--+++⎰ =11211cos sin cos sin d m n m n n x x x x x m n m n+----+++⎰ 100.sin cos d ax bx x ⎰=11cos()cos()2()2()a b x a b x C a b a b -+--++-101.sin sin d ax bx x ⎰=11sin()sin()2()2()a b x a b x C a b a b -++-++-102.cos cos d ax bx x ⎰=11sin()sin()2()2()a b x a b x C a b a b ++-++-103.d sin x a b x +⎰tan xa b C ++22()a b >104.d sin x a b x+⎰C+22()a b <105.d cos xa b x +⎰)2x C +22()a b >106.d cos x a b x +⎰C +22()a b <107.2222d cos sin x a x b x +⎰=1arctan(tan )bx C ab a + 108.2222d cos sin x a x b x -⎰=1tan ln 2tan b x a C ab b x a ++-109.sin d x ax x ⎰=211sin cos ax x ax C a a -+ 110.2sin d x ax x ⎰=223122cos sin cos x ax x ax ax C a a a -+++111.cos d x ax x ⎰=211cos sin ax x ax C a a ++112.2cos d x ax x ⎰=223122sin cos sin x ax x ax ax C a a a+-+(十二)含有反三角函数的积分(其中0a >)113.arcsin d x x a ⎰=arcsin x x C a+114.arcsin d x x x a ⎰=22()arcsin 24x a x C a -+115.2arcsin d x x x a ⎰=3221arcsin (239x x x a C a +++116.arccos d x x a ⎰=arccos x x C a-117.arccos d x x x a ⎰=22()arccos 24x a x C a --118.2arccos d x x x a ⎰=3221arccos (239x x x a C a -+ 119.arctan d x x a ⎰=22arctan ln()2x a x a x C a -++ 120.arctan d x x x a ⎰=221()arctan 22x a a x x C a +-+ 121.2arctan d x x x a ⎰=33222arctan ln()366x x a a x a x C a -+++ (十三)含有指数函数的积分122.d x a x ⎰=1ln x a C a+ 123.e d ax x ⎰=1e ax C a+ 124.e d ax x x ⎰=21(1)e ax ax C a-+ 125.e d n ax x x ⎰=11e e d n ax n ax n x x x a a --⎰ 126.d x xa x ⎰=21ln (ln )x x x a a C a a -+ 127.d n x x a x ⎰=11d ln ln n x n x n x a x a x a a--⎰ 128.e sin d ax bx x ⎰=221e (sin cos )ax a bx b bx C a b-++ 129.e cos d ax bx x ⎰=221e (sin cos )ax b bx a bx C a b +++130.e sin d ax n bx x ⎰=12221e sin (sin cos )ax n bx a bx nb bx a b n--+ 22222(1)e s i n d a x n n n b b x x a b n--++⎰ 131.e cos d ax n bx x ⎰=12221e cos (cos sin )ax n bx a bx nb bx a b n-++ 22222(1)e c o s d a x n n n b b x x a b n--++⎰ (十四)含有对数函数的积分132.ln d x x ⎰=ln x x x C -+ 133.d ln x x x ⎰=ln ln x C + 134.ln d n x x x ⎰=111(ln )11n x x C n n +-+++ 135.(ln )d n x x ⎰=1(ln )(ln )d n n x x n x x --⎰ 136.(ln )d m n x x x ⎰=111(ln )(ln )d 11m n m n n x x x x x m m +--++⎰ (十五)含有双曲函数的积分137.sh d x x ⎰=ch x C + 138.ch d x x ⎰=sh x C + 139.th d x x ⎰=ln ch x C + 140.2sh d x x ⎰=1sh224x x C -++ 141.2ch d x x ⎰=1sh224x x C ++ (十六)定积分142.cos d nx x π-π⎰=sin d nx x π-π⎰=0 143.cos sin d mx nx x π-π⎰=0 144.cos cos d mx nx x π-π⎰=0,,m n m n ≠⎧⎨π=⎩145.sin sin d mx nx x π-π⎰=0,,m n m n ≠⎧⎨π=⎩ 146.0sin sin d mx nx x π⎰=0cos cos d mx nx x π⎰=0,,2m n m n ≠⎧⎪⎨π=⎪⎩ 147.n I =20sin d n x x π⎰=20cos d n x x π⎰n I =21n n I n -- 1342253n n n I n n --=⋅⋅⋅⋅- (n 为大于1的正奇数),1I =1 13312422n n n I n n --π=⋅⋅⋅⋅⋅- (n 为正偶数),0I =2π。
2.基本积分公式表(1)∫0d x=C(2)=ln|x|+C(3)(m≠-1,x>0)(4) (a>0,a≠1)(5)(6)∫cos x d x=sin x+C(7)∫sin x d x=-cos x+C(8)∫sec2x d x=tan x+C(9)∫csc2x d x=-cot x+C(10)∫sec x tan x d x=sec x+C(11)∫csc x cot x d x=-csc x+C(12)=arcsin x+C(13)=arctan x+C注.(1)不是在m=-1的特例.(2)=ln|x|+C,ln后面真数x要加绝对值,原因是(ln|x|)' =1/x.事实上,对x>0,(ln|x|)' =1/x;若x<0,则(ln|x|)' =(ln(-x))' =.(3)要特别注意与的区别:前者是幂函数的积分,后者是指数函数的积分.下面我们要学习不定积分的计算方法,首先是四则运算.3.不定积分的四则运算根据微分运算公式d(f(x)g(x))=d f(x)d g(x)d(kf(x))=k d f(x)我们得不定积分的线性运算公式(1)∫[f(x)±g(x)]d x=∫f(x)d x±∫g(x)d x(2)∫kf(x)d x=k∫f(x)d x,k是非零常数.现在可利用这两个公式与基本积分公式来计算简单不定积分.例求∫(x3+3x++5sin x-4cos x)d x解.原式=∫x3d x+∫3x d x+7∫d x+5∫sin x d x-4∫cos x d x= +7ln|x|-5cos x-4sin x+C .注.此例中化为五个积分,应出现五个任意常数,它们的任意性使其可合并成一个任意常数C,因此在最后写出C即可.例求∫(1+)3d x解.原式=∫(1+3+3x+)d x=∫d x+3∫d x+3∫x d x+∫d x=x+3+C=x+2x++C .注.∫d x与∫1d x是相同的,其中1可省略.例求解.原式===-x+arctan x+C .注.被积函数是分子次数不低于分母次数的分式,称为有理假分式.先将其分出一个整式x2-1,余下的分式为有理真分式,其分子次数低于分母的次数.例求 .解.原式==∫csc2x d x-∫sec2x d x=-cot x-tan x+C .注.利用三角函数公式将被积函数化简成简单函数以便使用基本积分公式.例求 .解.原式==+C .为了得到进一步的不定积分计算方法,我们先用微分的链锁法则导出不定积分的重要计算方法换元法.思考题.被积函数是有理假分式时,积分之前应先分出一个整式,再加上一个有理真分式,一般情形怎样实施这一步骤4.第一换元法(凑微分法)我们先看一个例子:例求 .解.因(1+x2)' =2x,与被积函数的分子只差常数倍数2,如果将分子补成2x,即可将原式变形:原式=(令u=1+x2)=(代回u=1+x2).注.此例解法的关键是凑了微分d(1+x2).一般地在F'(u)=f(u),u=(x)可导,且' (x)连续的条件下,我们有第一换元公式(凑微分):u= (x) 积分代回u= (x)∫f[(x)]' (x)d x∫f[(x)]d(x)∫f(u)d u F(u)+C F[(x)]+C 其中函数(x)是可导的,且F(u)是f(u)的一个原函数.从上述公式可看出凑微分法的步骤:凑微分————→换元————→积分————→再换元' (x)d x=d(x) u=(x) 得F(u)+C得F[(x)]+C 注.凑微分法的过程实质上是复合函数求导的链锁法则的逆过程.事实上,在F'(u)=f(u)的前提下,上述公式右端经求导即得:[F[(x)]+C]' =F '[(x)]' (x)=f[(x)]' (x)这就验证了公式的正确性.例求∫(ax+b)m d x.(m≠-1,a≠0)解.原式= (凑微分d(ax+b))=(换元u=ax+b)= (积分)=. (代回u=ax+b)例求 .解.原式= (凑微分d(-x3)=-3x2d x)==(换元u=-x3)=.注.你熟练掌握凑微分法之后,中间换元u=(x)可省略不写,显得计算过程更简练,但要做到心中有数.例求∫tan x d x .解.原式==-ln|cos x|+C .同理可得∫cot x d x=ln|sin x|+C .例求(a>0).解.原式== .例求(a>0).解.原式== .例求.解.原式====.例解.原式=(换元u=sin x)=== (代回u=sin x)===ln|sec x+tan x|+C .公式:∫sec x d x=ln|sec x+tan x|+C .例.求∫csc x d x .解.原式===ln|csc x-cot x|+C .公式:∫csc x d x=ln|csc x-cot x|+C .凑微分法是不定积分换元法的第一种形式,其另一种形式是下面的第二换元法.5.第二换元法不定积分第一换元法的公式中核心部分是∫f[(x)]'(x)d x=∫f(u)d u我们从公式的左边演算到右边,即换元:u=(x).与此相反,如果我们从公式的右边演算到左边,那么就是换元的另一种形式,称为第二换元法.即若f(u),u=(x),'(x)均连续,u=(x)的反函数x=-1(u)存在且可导,F(x)是f[(x)]'(x)的一个原函数,则有∫f(u)d u∫f[(x)]'(x)d x F(x)+C F[-1(u)]+C .第二换元法常用于被积函数含有根式的情况.例求解.令 (此处(t)=t2).于是原式===(代回t=-1(x)=)注.你能看到,换元=t的目的在于将被积函数中的无理式转换成有理式,然后积分.第二换元法除处理形似上例这种根式以外,还常处理含有根式,,(a>0)的被积函数的积分.被积函数含根式换元方法运用的三角公式x=a sec t sec2t-1=tan2tx=a tan t tan2t+1=sec2tx=a sin t1-sin2t=cos2t例求. (a>0)解.令x=a sec t,则d x=a sec t tan t d t,于是原式==∫sec t d t=ln|sec t+tan t|+C1 .到此需将t代回原积分变量x,用到反函数t=arcsec,但这种做法较繁.下面介绍一种直观的便于实施的图解法:作直角三角形,其一锐角为t及三边a,x,满足:sec t=由此,原式=ln|sec t+tan t|+C1==.注.C1是任意常数,-ln a是常数,由此C=C1-ln a仍是任意常数.例求(a>0).解.令x=a tan t,则d x=a sec2t d t,于是原式==∫sec t d t=ln|sec t+tan t|+C1 .图解换元得原式=ln|sec t+tan t|+C1=.公式:.(a>0)例求.解.令x=a sin t,则d x=a cos t d t,于是原式===+C.图解换元得:原式=+C=+C .除了换元法积分外,还有一个重要的积分公式,即分部积分公式.思考题.在第二换元法公式中,请你注意加了一个条件“u=(x)的反函数x=(u)存在且可导”,你能否作出解释,为什么要加此条件6.分部积分公式我们从微分公式d(uv)=v d u+u d v两边积分,即∫d(uv)=∫v d u+∫u d v由此导出不定积分的分部积分公式∫u d v=uv -∫v d u下面通过例子说明公式的用法.例求∫x2ln x d x解.∫x2ln x d x= (将微分dln x算出)==.例求∫x2sin x d x.解.原式=∫x2d(-cos x) (凑微分)=-x2cos x-∫(-cos x)d(x2) (用分部积分公式)=-x2cos x+∫2x cos x d x=-x2cos x+2∫x dsin x (第二次凑微分)=-x2cos x+2[x sin x-∫sin x d x] (第二次用分部积分公式)=-x2cos x+2x sin x+2cos x+C .例求∫e x sin x d x.解.∫e x sin x d x=∫sin x d e x (凑微分)=e x sin x-∫e x dsin x (用分部积分公式)=e x sin x-∫e x cos x d x (算出微分)=e x sin x-∫cos x d e x (第二次凑微分)=e x sin x-[e x cos x-∫e x dcos x] (第二次用分部积分公式)=e x(sin x-cos x)-∫e x sin x d x (第二次算出微分)由此得:2∫e x sin x d x=e x(sin x-cos x)+2C因此∫e x sin x d x=(sin x-cos x)+C .注.(1)此例中在第二次凑微分时,必须与第一次凑的微分形式相同.否则若将∫e x cos x d x凑成∫e x dsin x,那将产生恶性循环,你可试试.(2)积分常数C可写在积分号∫一旦消失之后.例求∫arctan x d x解.此题被积函数可看作x0arctan x,x0d x=d x,即适合分部积分公式中u=arctan x,v=x.故原式=x arctan x - ∫x d(arctan x) (用分部积分公式)=x arctan x - d x (算出微分)=x arctan x - (凑微分)=x arctan x - ln(1+x2)+C .小结.(1)分部积分公式常用于被积函数是两种不同类型初等函数之积的情形,例如x3arctan x,x3ln x 幂函数与反正切或对数函数x2sin x,x2cos x幂函数与正弦,余弦x2e x幂函数与指数函数e x sin x,e x cos x 指数函数与正弦,余弦等等.(2)在用分部积分公式计算不定积分时,将哪类函数凑成微分d v,一般应选择容易凑的那个.例如被积函数凑微分d vx3arctan x,x3ln x arctan x d,ln x dx2sin x,x2cos x,x2e x x2d(-cos x),x2dsin x,x2d e xe x sin x,e x cos x sin x d e x,cos x d e x我们已学习了不定积分的几种常用方法,除了熟练运用这些方法外,在许多数学手册中往往列举了几百个不定积分公式,它们不是基本的,不需要熟记,但可以作为备查之用,称为积分表.思考题.你仔细观察分部积分公式,掌握其中使用的规律,特别是第一步凑微分时如何选择微分.7.积分表的使用除了基本积分公式之外,在许多数学手册中往往列举了几百个补充的积分公式,构成了积分表.下面列出本节已得到的基本积分公式.(1)∫0d x=C(2)=ln|x|+C(3)(m≠-1,x>0)(4) (a>0,a≠1)(5)(6)∫cos x d x=sin x+C(7)∫sin x d x=- cos x+C(8)∫sec2x d x=tan x+C(9)∫csc2x d x=- cot x+C(10)∫sec x tan x d x=sec x +C(11)∫csc x cot x d x=-csc x+C(12)=arcsin x+C(13)=arctan x+C(14)∫tan x d x=-ln|cos x|+C(15)∫cot x d x=ln|sin x|+C(16)= (a>0)(17)= (a>0)(18)(a>0)(19)=(a>0)(20)∫sec x d x=ln|sec x+tan x|+C(21)∫csc x d x=ln|csc x-cot x|+C利用积分表中的公式,可使积分计算大大简化.积分表的使用方法比较简单,现举一例说明之.例求解.从积分表中查得公式则将a=3,b=-1,c=4代入上式并添上积分常数C即得解答:=.。
高等数学公式之南宫帮珍创作基本积分表(1(k是常数)(2(3(4(5(6(7(8(9(10(11(12(13(14(15(16(17(18(19(20(21(22(23(24注:1、从导数基本公式可得前15个积分公式,(16)-(24)式后几节证。
23、复习三角函数公式:注一类换元法也叫凑微分法。
此方法是非常重要的一种积分法,要运用自如,务必熟记基本积分表,并掌握罕见的凑微分形式及“凑”的技巧。
小结:1经常使用凑微分公式导数公式: 基本积分表:三角函数的有理式积分:ax x aa a ctgx x x tgx x x x ctgx x tgx a x x ln 1)(log ln )(csc )(csc sec )(sec csc )(sec )(22='='⋅-='⋅='-='='222211)(11)(11)(arccos 11)(arcsin x arcctgx x arctgx x x x x +-='+='--='-='⎰⎰⎰⎰⎰⎰⎰⎰⎰⎰+±+=±+=+=+=+-=⋅+=⋅+-==+==Ca x x a x dx C shx chxdx C chx shxdx Ca a dx a Cx ctgxdx x Cx dx tgx x Cctgx xdx x dx C tgx xdx x dx xx)ln(ln csc csc sec sec csc sin sec cos 22222222C axx a dx C x a xa a x a dx C a x ax a a x dx C a xarctg a x a dx Cctgx x xdx C tgx x xdx Cx ctgxdx C x tgxdx +=-+-+=-++-=-+=++-=++=+=+-=⎰⎰⎰⎰⎰⎰⎰⎰arcsin ln 21ln 211csc ln csc sec ln sec sin ln cos ln 22222222⎰⎰⎰⎰⎰++-=-+-+--=-+++++=+-===-Cax a x a x dx x a Ca x x a a x x dx a x Ca x x a a x x dx a x I nn xdx xdx I n n nn arcsin 22ln 22)ln(221cos sin 2222222222222222222222ππ一些初等函数: 两个重要极限: 三角函数公式: ·诱导公式:·和差角公式: ·和差化积公式: ·倍角公式: ·半角公式: ·正弦定理:·余弦定理:高阶导数公式——莱布尼兹(Leibniz )公式: 中值定理与导数应用: 曲率:2sin2sin 2cos cos 2cos2cos 2cos cos 2sin2cos 2sin sin 2cos2sin2sin sin βαβαβαβαβαβαβαβαβαβαβαβα-+=--+=+-+=--+=+αββαβαβαβαβαβαβαβαβαβαβαctg ctg ctg ctg ctg tg tg tg tg tg ±⋅=±⋅±=±=±±=±1)(1)(sin sin cos cos )cos(sin cos cos sin )sin(定积分的近似计算:定积分应用相关公式:空间解析几何和向量代数:多元函数微分法及应用微分法在几何上的应用:方向导数与梯度:多元函数的极值及其求法:重积分及其应用:柱面坐标和球面坐标:曲线积分:曲面积分:高斯公式:斯托克斯公式——曲线积分与曲面积分的关系:常数项级数:级数审敛法:绝对收敛与条件收敛:幂级数:函数展开成幂级数:一些函数展开成幂级数:欧拉公式:三角级数:傅立叶级数:微分方程的相关概念:一阶线性微分方程:全微分方程:二阶微分方程:二阶常系数齐次线性微分方程及其解法:二阶常系数非齐次线性微分方程。
导数公式:基本积分表:三角函数的有理式积分:ax x a a a ctgx x x tgx x x x ctgx x tgx a x x ln 1)(log ln )(csc )(csc sec )(sec csc )(sec )(22='='⋅-='⋅='-='='222211)(11)(11)(arccos 11)(arcsin x arcctgx x arctgx x x x x +-='+='--='-='⎰⎰⎰⎰⎰⎰⎰⎰⎰⎰+±+=±+=+=+=+-=⋅+=⋅+-==+==Ca x x a x dx C shx chxdx C chx shxdx Ca a dx a Cx ctgxdx x Cx dx tgx x Cctgx xdx x dx C tgx xdx x dx xx)ln(ln csc csc sec sec csc sin sec cos 22222222C axx a dx C x a xa a x a dx C a x ax a a x dx C a xarctg a x a dx Cctgx x xdx C tgx x xdx Cx ctgxdx C x tgxdx +=-+-+=-++-=-+=++-=++=+=+-=⎰⎰⎰⎰⎰⎰⎰⎰arcsin ln 21ln 211csc ln csc sec ln sec sin ln cos ln 22222222⎰⎰⎰⎰⎰++-=-+-+--=-+++++=+-===-Cax a x a x dx x a Ca x x a a x x dx a x Ca x x a a x x dx a x I nn xdx xdx I n n nn arcsin 22ln 22)ln(221cos sin 2222222222222222222222ππ222212211cos 12sin u dudx x tg u u u x u u x +==+-=+=, , , (一)含有ax b +的积分(0a ≠)1.d x ax b +⎰=1ln ax b C a ++2.()d ax b x μ+⎰=11()(1)ax b C a μμ++++(1μ≠-)3.d x x ax b +⎰=21(ln )ax b b ax b C a +-++4.2d x x ax b +⎰=22311()2()ln 2ax b b ax b b ax b C a ⎡⎤+-++++⎢⎥⎣⎦5.d ()xx ax b +⎰=1ln ax b C b x+-+ 6.2d ()xx ax b +⎰=21ln a ax b C bx b x +-++ 7.2d ()x x ax b +⎰=21(ln )b ax b C a ax b++++ 8.22d ()x x ax b +⎰=231(2ln )b ax b b ax b C a ax b+-+-++ 9.2d ()xx ax b +⎰=211ln ()ax b C b ax b b x +-++的积分10.x C11.x ⎰=22(3215ax b C a -12.x x ⎰=22232(15128105a x abx b C a-+13.x=22(23ax b C a -14.2x=22232(34815a x abx b C a -+ 15.=(0)(0)C b C b ⎧+><16.=2a bx b --⎰17.d x x ⎰=b 18.2d x x ⎰=2a +(三)含有22x a ±的积分19.22d x x a +⎰=1arctan xC a a+ 20.22d ()n x x a +⎰=2221222123d 2(1)()2(1)()n n x n xn a x a n a x a ---+-+-+⎰21.22d xx a -⎰=1ln 2x a C a x a -++(四)含有2(0)ax b a +>的积分22.2d x ax b +⎰=(0)(0)C b C b ⎧+>+<23.2d x x ax b +⎰=21ln 2ax b C a++24.22d x x ax b +⎰=2d x b xa a ax b-+⎰ 25.2d ()x x ax b +⎰=221ln 2x C b ax b++ 26.22d ()x x ax b +⎰=21d a xbx b ax b --+⎰27.32d ()x x ax b +⎰=22221ln 22ax b a C b x bx +-+28.22d ()x ax b +⎰=221d 2()2x xb ax b b ax b+++⎰ (五)含有2ax bx c ++(0)a >的积分29.2d x ax bx c ++⎰=22(4)(4)C b ac Cb ac +<+>30.2d x x ax bx c ++⎰=221d ln 22b x ax bx c a a ax bx c++-++⎰(0)a >的积分31.=1arshxC a +=ln(x C ++ 32.=C +33.x=C34.x=C +35.2x =2ln(2a x C ++36.2x =ln(x C +++37.=1ln aC a x +38.C +39.x 2ln(2a x C ++40.x =2243(25ln(88x x a a x C +++41.x ⎰C +42.x x ⎰=422(2ln(88x a x a x C+++43.d x x ⎰a C +44.x =ln(x C +++(0)a >的积分45.=1arch x xC x a+=ln x C ++ 46.C +47.x =C48.x =C +49.2x 2ln 2a x C ++50.2x =ln x C +++51.=1arccos aC a x +52.2C a x+53.x 2ln 2a x C -++54.x =2243(25ln 88x x a a x C -+++55.x ⎰C +56.x x ⎰=422(2ln 88x a x a x C -++57.x =arccos aa C x -+58.x =ln x C ++(0)a >的积分59.=arcsinxC a + 60.C +61.x =C +62.x =C +63.2x =2arcsin 2a x C a ++ 64.2x arcsinxC a-+65.=1C a +66.2C a x -+67.x 2arcsin 2a x C a++68.x =2243(52arcsin 88x x a x a C a-+69.x ⎰=C70.x x ⎰=422(2arcsin 88x a x x a C a-+71.x ln a a C x +72.x =arcsin xC a-+(0)a >的积分73.2ax b C +++74.x22ax b C +++75.x2ax b C +++76.=C +77.x 2C +78.x =C ++79.x =((x b b a C -+-+80.x =((x b b a C -+-+81.2arcsinC +()a b <82.x 2()4b a C - ()a b <(十一)含有三角函数的积分 83.sin d x x ⎰=cos x C -+84.cos d x x ⎰=sin x C + 85.tan d x x ⎰=ln cos x C -+ 86.cot d x x ⎰=ln sin x C +87.sec d x x ⎰=ln tan()42x C π++=ln sec tan x x C ++ 88.csc d x x ⎰=ln tan 2xC +=ln csc cot x x C -+ 89.2secd x x ⎰=tan x C +90.2csc d x x ⎰=cot x C -+91.sec tan d x x x ⎰=sec x C + 92.csc cot d x x x ⎰=csc x C -+93.2sin d x x ⎰=1sin 224x x C -+ 94.2cos d x x ⎰=1sin 224x x C ++95.sin d n x x ⎰=1211sin cos sin d n n n x x x x n n----+⎰ 96.cos d n x x ⎰=1211cos sin cos d n n n x x x x n n---+⎰ 97.d sin n x x ⎰=121cos 2d 1sin 1sin n n x n x n x n x----⋅+--⎰ 98.d cos n x x ⎰=121sin 2d 1cos 1cos n n x n xn x n x---⋅+--⎰ 99.cos sin d m nx x x ⎰=11211cos sin cos sin d m n m n m x x x x x m n m n-+--+++⎰ =11211cos sin cos sin d m n m n n x x x x x m n m n+----+++⎰ 100.sin cos d ax bx x ⎰=11cos()cos()2()2()a b x a b x C a b a b -+--++-101.sin sin d ax bx x ⎰=11sin()sin()2()2()a b x a b x C a b a b -++-++-102.cos cos d ax bx x ⎰=11sin()sin()2()2()a b x a b x C a b a b ++-++-103.d sin xa b x +⎰tanx a b C ++22()a b >104.d sin xa b x +⎰C+22()a b <105.d cos xa b x +⎰)2x C +22()a b >106.d cos x a b x +⎰C +22()a b <107.2222d cos sin x a x b x +⎰=1arctan(tan )bx C ab a + 108.2222d cos sin xa xb x -⎰=1tan ln 2tan b x a C ab b x a ++-109.sin d x ax x ⎰=211sin cos ax x ax C a a -+ 110.2sin d x ax x ⎰=223122cos sin cos x ax x ax ax C a a a -+++111.cos d x ax x ⎰=211cos sin ax x ax C a a ++112.2cos d x ax x ⎰=223122sin cos sin x ax x ax ax C a a a+-+(十二)含有反三角函数的积分(其中0a >)113.arcsin d x x a ⎰=arcsin x x C a+114.arcsin d x x x a⎰=22()arcsin 24x a x C a -+115.2arcsin d x x x a ⎰=3221arcsin (239x x x a C a +++116.arccos d x x a ⎰=arccos x x C a117.arccos d x x x a⎰=22()arccos 24x a x C a --+118.2arccos d x x x a ⎰=3221arccos (239x x x a C a -++ 119.arctan d x x a ⎰=22arctan ln()2x a x a x C a -++ 120.arctan d x x x a ⎰=221()arctan 22x a a x x C a +-+ 121.2arctan d x x x a ⎰=33222arctan ln()366x x a a x a x C a -+++ (十三)含有指数函数的积分122.d x a x ⎰=1ln x a C a+ 123.e d ax x ⎰=1e ax C a+ 124.e d ax x x ⎰=21(1)e ax ax C a-+ 125.e d n ax x x ⎰=11e e d n ax n ax n x x x a a --⎰ 126.d x xa x ⎰=21ln (ln )x x x a a C a a -+ 127.d n x x a x ⎰=11d ln ln n x n x n x a x a x a a--⎰ 128.e sin d ax bx x ⎰=221e (sin cos )ax a bx b bx C a b-++ 129.e cos d ax bx x ⎰=221e (sin cos )ax b bx a bx C a b +++130.e sin d ax n bx x ⎰=12221e sin (sin cos )ax n bx a bx nb bx a b n--+ 22222(1)e sin d ax n n n b bx x a b n --++⎰131.e cos d ax n bx x ⎰=12221e cos (cos sin )ax n bx a bx nb bx a b n-++ 22222(1)e cos d ax n n n b bx x a b n--++⎰ (十四)含有对数函数的积分132.ln d x x ⎰=ln x x x C -+ 133.d ln x x x ⎰=ln ln x C +134.ln d n x x x ⎰=111(ln )11n x x C n n +-+++ 135.(ln )d n x x ⎰=1(ln )(ln )d n n x x n x x --⎰ 136.(ln )d m n x x x ⎰=111(ln )(ln )d 11m n m n n x x x x x m m +--++⎰ (十五)含有双曲函数的积分137.sh d x x ⎰=ch x C + 138.ch d x x ⎰=sh x C + 139.th d x x ⎰=lnch x C + 140.2sh d x x ⎰=1sh224x x C -++ 141.2ch d x x ⎰=1sh224x x C ++ (十六)定积分142.cos d nx x π-π⎰=sin d nx x π-π⎰=0 143.cos sin d mx nx x π-π⎰=0144.cos cos d mx nx x π-π⎰=0,,m n m n ≠⎧⎨π=⎩145.sin sin d mx nx x π-π⎰=0,,m n m n ≠⎧⎨π=⎩ 146.0sin sin d mx nx x π⎰=0cos cos d mx nx x π⎰=0,,2m n m n ≠⎧⎪⎨π=⎪⎩ 147.n I =20sin d n x x π⎰=20cos d n x x π⎰n I =21n n I n -- 1342253n n n I n n --=⋅⋅⋅⋅- (n 为大于1的正奇数),1I =1 13312422n n n I n n --π=⋅⋅⋅⋅⋅-(n 为正偶数),0I =2π。
22kdx = kx + ca + 1 x a dx = x + c a + 11dx = ln x + cx 1 dx = arctan x + c1+x 2 1-1x 2 dx =arcsin x +ccos xdx = sin x + csin xdx = -cos x +c 1 dx = sec 2xdx =tan x +c cos 2 x 1 dx = csc 2 xdx = -cot x +c sin 2 x sec x tan xdx =sec x +c csc x cot xdx = -csc x +c xx e x dx = e x + cx a x dx = a + c ln a基本积分表1、 2、 3、 4、 5、 6、 7、 8、9、 10、 11、12、 13、 14、 15、shxdx = chx + c 其中 shxx - x e x - e -x chxdx = shx + c其中chx x - x e x + e -x 为双曲正弦函数 为双曲余弦函数基本积分表的扩充16、 tan xdx = -ln cos x +c17、 cot xdx = ln sin x +c18、 sec xdx = ln sec x + tan x +c19、 csc xdx = ln csc x - cot x + c = ln tan x + c2-x 24、 1 dx = ln x + x 2 + a 2 + c x2 + a 2 25、 1 dx = ln x + x 2 -a 2 + c x 2 - a 2sinαsinβ=-[cos(α+β)-cos(α-β)]/2【注意右式前的负号】cosαcosβ=[cos(α+β)+cos(α-β)]/2sinαcosβ=[sin(α+β)+sin(α-β)]/2cosαsinβ=[sin(α+β)-sin(α-β)]/2sin α+sin β=2sin[(α+β)/2]·cos[(α-β)/2] sin α-sinβ=2cos[(α+β)/2]·sin[(α-β)/2]cos α+cos β=2cos[( α+β)/2]·cos[(α-β)/2]cos α-cos β=-2sin[(α+β)/2]·sin[(α-β)/2] 【注 意右式 前的负号】20、1 dx = a2 + x 2 1x arctan + c aa22、 23、 22 a 2 - x 2dx = dx 1 ln 2a 1 ln 2a x -a x +a a +x a -x +c +c dx = arcsin + c 21、三角函数公式大全同角三角函数的基本关系倒数关系: tanα ·cotα =1 sinα ·cscα =1 cosα ·secα =1 商的关系:sinα/cosα=tanα=secα/cscα cosα/sinα=cotα=cscα/secα平方关系:sin^2(α)+cos^2(α)=1 1+tan^2(α)=sec^2(α) 1+cot^2(α)=csc^2(α) 平常针对不同条件的常用的两个公式sin² α+cos² α=1 tan α *cot α=1 一个特殊公式(sina+sinθ )*(sina+sinθ )=sin(a+θ )*sin(a-θ) 证明:(sina+sinθ)*(sina+sinθ)=2 sin[(θ+a)/2] cos[(a-θ)/2] *2 cos[(θ+a)/2] sin[(a-θ)/2] =sin(a+θ)*sin(a-θ) 锐角三角函数公式正弦:sin α= ∠ α的对边/ ∠ α的斜边余弦:cos α= ∠ α的邻边/∠ α的斜边正切:tan α=∠α的对边/∠α的邻边余切:cot α=∠α的邻边/∠α的对边二倍角公式正弦sin2A=2sinA·cosA 余弦 1.Cos2a=Cos^2(a)-Sin^2(a) =2Cos^2(a)-1 =1-2Sin^2(a) 2.Cos2a=1-2Sin^2(a) 3.Cos2a=2Cos^2(a)-1 正切tan2A=(2tanA)/(1-tan^2(A)) 三倍角公式sin3α=4sinα·sin(π/3+α)sin(π/3-α) cos3α=4cosα·cos(π/3+α)cos(π/3-α) tan3a = tan a · tan(π/3+a)· tan(π/3-a) 半角公式tan(A/2)=(1-cosA)/sinA=sinA/(1+cosA); cot(A/2)=sinA/(1-cosA)=(1+cosA)/sinA. sin^2(a/2)=(1-cos(a))/2 cos^2(a/2)=(1+cos(a))/2tan(a/2)=(1-cos(a))/sin(a)=sin(a)/(1+cos(a)) 和差化积sinθ+sinφ = 2 sin[(θ+φ)/2] cos[(θ-φ)/2]sinθ-sinφ = 2 cos[(θ+φ)/2] sin[(θ-φ)/2] cosθ+cosφ = 2 cos[(θ+φ)/2] cos[(θ-φ)/2] cosθ-cosφ = -2 sin[(θ+φ)/2] sin[(θ-φ)/2]tanA+tanB=sin(A+B)/cosAcosB=tan(A+B)(1-tanAtanB) tanA-tanB=sin(A-B)/cosAcosB=tan(A-B)(1+tanAtanB) 两角和公式cos(α+β)=cosαcosβ-sinαsinβcos(α-β)=cosαcosβ+sinαsinβsin(α+β)=sinαcosβ+ cosαsinβsin(α-β)=sinαcosβ -cosαsinβ积化和差sinαsinβ = [cos(α-β)-cos(α+β)] /2 cosαcosβ = [cos(α+β)+cos(α-β)]/2 sinαcosβ = [sin(α+β)+sin(α-β)]/2 cosαsinβ = [sin(α+β)-sin(α-β)]/2 双曲函数sinh(a) = [e^a-e^(-a)]/2 cosh(a) = [e^a+e^(-a)]/2 tanh(a) = sin h(a)/cos h(a) 公式一:设α 为任意角,终边相同的角的同一三角函数的值相等:sin(2kπ+α)= sinαcos(2kπ+α)= cosα tan(2kπ+α)= tanαcot (2kπ+α)= cotα 公式二:设α 为任意角,π+α 的三角函数值与α 的三角函数值之间的关系:sin(π+α)= -sinαcos(π+α)= -cosα tan(π+α)= tanα cot(π+α)= cotα 公式三:任意角α 与-α 的三角函数值之间的关系:sin(-α)= -sinα cos(-α)= cosα tan(-α)= -tanα cot (-α)= -cotα公式四:利用公式二和公式三可以得到π-α 与α 的三角函数值之间的关系:sin(π-α)= sinαcos(π-α)= -cosα tan(π-α)= -tanαcot(π-α)= -cotα公式五:利用公式-和公式三可以得到2π-α 与α 的三角函数值之间的关系:sin(2π-α)= -sinα cos(2π-α)= cosα tan(2π-α) = -tanαcot(2π-α)= -cotα 公式六:π/2±α 及3π/2±α 与α 的三角函数值之间的关系:sin(π/2+α)= cosα cos(π/2+α)= -sinαtan(π/2+α)= -cotα co(t π/2+α )= -tanα sin(π/2-α)= cosα cos(π/2-α)= sinα tan (π/2-α)= cotαcot(π/2-α)= tanα sin(3π/2+α)= -cosα cos(3π/2+α)= sinα tan(3π/2+α)= -cotαcot(3π/2+α)= -tanαsin(3π/2-α)= -cosαcos(3π/2-α)= -sinα tan(3π/2-α)= cotα cot(3π/2-α)= tanα (以上k∈Z)A·sin(ωt+θ)+ B·sin(ωt+φ) = √{(A² +B² +2ABcos(θ-φ)} · sin{ ωt +arcsin[ (A·sinθ+B·sinφ) / √{A^2 +B^2; +2ABcos(θ-φ)} } √表示根号,包括{……} 中的内容诱导公式sin(-α) = -sinα cos(-α) = cosα tan (-α)=-tanα sin(π/2-α) = cosα cos(π/2-α) = sinα sin(π/2+α) = cosα cos(π/2+α) = -sinα sin(π-α) = sinα cos(π-α) = -cosα sin(π+α) = -sinα cos(π+α) = -cosα tanA= sinA/cosA tan(π/2+α)=-cotα tan(π/2-α)=cotαtan(π-α)=-tanαtan(π+α)=tanα诱导公式记背诀窍:奇变偶不变,符号看象限万能公式sinα=2tan(α/2)/[1+(tan(α/2))²] cosα=[1-(tan(α/2))²]/[1+(tan(α/2))²]tanα=2tan(α/2)/[1-(tan(α/2))²] 其它公式(1) (sinα)²+(cosα)²=1 (2)1+(tanα)²=(secα)² (3)1+(cotα)²=(cscα)² 证明下面两式,只需将一式,左右同除(sinα)²,第二个除(cosα)²即可(4)对于任意非直角三角形,总有tanA+tanB+tanC=tanAtanBtanC 证: A+B=π-Ctan(A+B)=tan(π-C) (tanA+tanB)/(1-tanAtanB)=(tanπ-tanC)/(1+tanπtanC) 整理可得tanA+tanB+tanC=tanAtanBtanC 得证同样可以得证,当x+y+z=nπ(n∈Z)时,该关系式也成立由tanA+tanB+tanC=tanAtanBtanC 可得出以下结论(5)cotAcotB+cotAcotC+cotBcotC=1(6)cot(A/2)+cot(B/2)+cot(C/2)=cot(A/2)cot(B/2)cot(C/2) (7)(cosA)²+(cosB)²+(cosC)²=1-2cosAcosBcosC (8)(sinA)²+ (sinB)²+ (sinC)²=2+2cosAcosBcosC 其他非重点三角函数csc(a) = 1/sin(a) sec(a) =1/cos(a)编辑本段内容规律三角函数看似很多,很复杂,但只要掌握了三角函数的本质及内部规律就会发现三角函数各个公式之间有强大的联系。
以下是一些常用的积分公式:
幂函数积分公式
∫x^n dx = x^(n+1)/(n+1) + C,其中n不等于-1
正弦函数积分公式
∫sin(x) dx = -cos(x) + C
余弦函数积分公式
∫cos(x) dx = sin(x) + C
正切函数积分公式
∫tan(x) dx = -ln|cos(x)| + C
余切函数积分公式
∫cot(x) dx = ln|sin(x)| + C
指数函数积分公式
∫e^x dx = e^x + C
对数函数积分公式
∫(1/x) dx = ln|x| + C,其中x不等于0
反三角函数积分公式
∫arcsin(x) dx = x·arcsin(x) + sqrt(1-x^2) + C
∫arccos(x) dx = x·arccos(x) - sqrt(1-x^2) + C
∫arctan(x) dx = x·arctan(x) - ln|1+x^2| + C
∫arccot(x) dx = x·arccot(x) + ln|1+x^2| + C
这里只列举了一些基本的积分公式,实际上还有很多其他的积分公式,可以通过积分表来查阅。
同时,积分是一种重要的数学工具,在不同的领域中都有广泛的应用。
微积分公式⼤全导数公式:基本积分表:三⾓函数的有理式积分:2222212sin cos 1121u u x dux x u tg dx u u u -====+++, , , 22(tan )sec (cot )csc (sec )sec tan (csc )csc cot ()ln ()(ln 1)1(log )ln x x x x a x x x x x x x x x x a a a x x x x x a '='=-'=?'=-?'='=+'=222(arcsin )(arccos )1(arctan )11(arc cot )11()x x x x x x thx ch '='='=+'=-+'=2222sec tan cos csc cot sin sec tan sec csc cot csc ln ln(xxdx xdx x C x dx xdx x Cx x xdx x C x xdx x Ca shxdx chx C chxdx shx C x C==+==-+?=+?=-+=+=+=+=+222222tan ln cos cot ln sin sec ln sec tan csc ln csc cot 1arctan 1ln 21ln 2arcsin xdx x C xdx x C xdx x x C xdx x x Cdx xC a x a a dx x aC x a a x a dx a xC a x a a x xC a=-+=+=++=-+=++-=+-++=+--=+++-=-+-+--=-+++++=+-===-Cax a x a x dx x a Ca x x a a x x dx a x Ca x x a a x x dx a x I nn xdx xdx I n n nn arcsin 22ln 22)ln(221cos sin 2222222222222222222222ππ⼀些初等函数:两个重要极限:三⾓函数公式:·和差化积公式: ·积化和差公式:·和差⾓公式: ·万能公式、正切代换、其他公式:·倍⾓公式:[][][]1sin cos sin()sin()21cos sin sin()sin()21cos cos cos()cos()21sin sin cos()cos()2αβαβαβαβαβαβαβαβαβαβαβαβ=++-=+--=++-=-+--sin sin 2sincos22sin sin 2cos sin22cos cos 2cos cos22cos cos 2sin sin22αβαβαβαβαβαβαβαβαβαβαβαβ+-+=+--=+-+=+--=-xxarthx x x archx x x arshx e e e e chx shx thx e e chx e e shx x xxx xx xx -+=-+±=++=+-==+=-=----11ln21)1ln(1ln(:2:2:22)双曲正切双曲余弦双曲正弦...590457182818284.2)11(lim 1sin lim0==+=∞→→e xxxx x x 3332sin 33sin 4sin cos34cos 3cos 3tan tan tan 313tan αααααααα=-=--=-222222sin 22sin cos cos 22cos 112sin cos sin cot 1cot 22cot 2tan tan 21tan αααααααααααααα==-=-=--==-2222222222222tan1tan 22sin cos 1tan 1tan 221tan cos sin 1tan 1tan tan sec 1cot csc 1|sin ||||tan |x xx x x xx x x x xx x x x x x x -==++==++=-=-<<,,, sin()sin cos cos sin cos()cos cos sin sin tan tan tan()1tan tan cot cot 1 cot()cot cot αβαβαβαβαβαβαβαβαβαβαββα±=±±=±±=±=±m m m·半⾓公式:sin cos 221cos sin 1cos sin tancot 2sin 1cos 2sin 1cos αααααααααααα+-·正弦定理:R C cB b A a 2sin sin sin === ·余弦定理:C ab b a c cos 2222-+=·反三⾓函数性质:arcsin arccos arctan arccot 22x x x xππ=-=-⾼阶导数公式——莱布尼兹(Leibniz )公式:)()()()2()1()(0)()()(!)1()1(!2)1()(n k k n n n n nk k k n k n n uv v u k k n n n v u n n v nu v u v u C uv +++--++''-+'+==---=-∑ΛΛΛ中值定理与导数应⽤:拉格朗⽇中值定理。
三角函数不定积分公式表三角函数不定积分公式表————————————在数学中,三角函数是一类重要的函数,可以用来描述物体的角度和距离。
三角函数也可以用来计算不定积分。
掌握三角函数不定积分公式表是很有必要的。
## 一、三角函数不定积分公式表1. $\int \sin x \, dx = -\cos x + C$2. $\int \cos x \, dx = \sin x + C$3. $\int \tan x \, dx = \ln|\sec x| + C$4. $\int \sec x \, dx = \ln|\sec x+\tan x| + C$5. $\int \csc x \, dx = -\ln|\csc x - \cot x| + C$6. $\int \cot x \, dx = \ln|\sin x| + C$7. $\int \sec^2x \, dx = \tan x + C$8. $\int \csc^2x \, dx = -\cot x + C$## 二、如何使用三角函数不定积分公式表1. 确定积分项的形式:在做三角函数不定积分时,首先要确定所要求积分项的形式,即是否是三角函数,是正弦函数还是余弦函数,或者是其他形式。
2. 将积分项写成标准形式:接下来,可以将积分项写成标准形式,即三角函数不定积分公式表中所列出的公式形式。
例如,如果要求积分 $\int 2\sin x\, dx$,可以将其写成 $\int \sin x\, dx$ 的形式。
3. 根据公式表选择合适的公式:根据步骤2的结果,在三角函数不定积分公式表中选择合适的公式。
例如,在上面的例子中,可以选择第一个公式 $\int \sin x\, dx = -\cos x + C$ 。
4. 计算结果并添加常数项:最后,根据所选择的公式计算结果,并添加常数项 $C$ 。
例如,在上面的例子中,可以得到 $2\int \sin x\, dx = -2\cos x + C$ 。