常用积分表
- 格式:doc
- 大小:1.09 MB
- 文档页数:16
高等数学常用积分表高等数学常用的积分表是大家在学习高等数学的过程中经常使用的工具。
下面将为大家介绍一些常见的积分表和一些常用的积分公式,以供大家参考。
1. 幂函数及其积分(1) 幂函数求积分的基本公式:∫ x^n dx = (x^(n+1)) / (n+1) + C (n≠-1)其中,C为常数。
(2) 常见的幂函数积分:∫ x dx = (x^2) / 2 + C∫ x^n dx = (x^(n+1)) / (n+1) + C (n≠-1)∫ (1/x) dx = ln|x| + C∫ e^x dx = e^x + C∫ a^x dx = (a^x) / ln(a) + C (a>0, a≠1)∫ sinx dx = -cosx + C∫ cosx dx = sinx + C∫ sec^2x dx = tanx + C∫ csc^2x dx = -cotx + C∫ secx * tanx dx = secx + C∫ cscx * cotx dx = -cscx + C2. 三角函数及其积分(1) 基本三角函数和其逆函数的积分公式:∫ sinx dx = -cosx + C∫ cosx dx = sinx + C∫ sec^2x dx = tanx + C∫ csc^2x dx = -cotx + C∫ secx * tanx dx = secx + C∫ cscx * cotx dx = -cscx + C∫ dx / (1+x^2) = arctanx + C∫ dx / sqrt(1-x^2) = arcsinx + C∫ dx / (x sqrt(x^2-1)) = arcsecx + C (2) 积分中的三角函数恒等式:∫ sin^2x dx = (x/2) - (sin2x/4) + C∫ cos^2x dx = (x/2) + (sin2x/4) + C ∫ sin^3x dx = -(cos^3x)/3 + cosx + C ∫ cos^3x dx = (sin^3x)/3 + sinx + C 3. 指数函数及其积分(1) 指数函数的积分公式:∫ e^x dx = e^x + C∫ a^x dx = (a^x) / ln(a) + C (a>0, a≠1) (2) 指数函数的变换公式:∫ e^(ax) dx = (e^(ax)) / a + C4. 对数函数及其积分(1) 对数函数的积分公式:∫ ln(x) dx = xln(x) - x + C5. 三角函数与指数函数的积分(1) 涉及三角函数与指数函数积分的公式:∫ sin(ax) * cos(bx) dx = (sin((a-b)x))/(2(a-b)) +(sin((a+b)x))/(2(a+b)) + C∫ sin(ax) * e^(bx) dx = (a e^(bx) sin(ax) - b e^(bx) cos(ax)) /(a^2+b^2) + C∫ cos(ax) * e^(bx) dx = (b e^(bx) sin(ax) + a e^(bx) cos(ax)) /(a^2+b^2) + C以上是高等数学常用的积分表的一些内容,希望能够对大家学习高等数学中的积分有所帮助。
(完整word版)积分公式2.基本积分公式表(1)∫0d x=C(2)=ln|x|+C(3)(m≠-1,x>0)(4)(a>0,a≠1)(5)(6)∫cos x d x=sin x+C(7)∫sin x d x=-cos x+C(8)∫sec2x d x=tan x+C(9)∫csc2x d x=-cot x+C(10)∫sec x tan x d x=sec x+C(11)∫csc x cot x d x=-csc x+C(12)=arcsin x+C(13)=arctan x+C注.(1)不是在m=-1的特例.(2)=ln|x|+C,ln后⾯真数x要加绝对值,原因是(ln|x|)' =1/x.事实上,对x>0,(ln|x|)' =1/x;若x<0,则(ln|x|)' =(ln(-x))' =.(3)要特别注意与的区别:前者是幂函数的积分,后者是指数函数的积分.下⾯我们要学习不定积分的计算⽅法,⾸先是四则运算.3.不定积分的四则运算根据微分运算公式d(f(x)±g(x))=d f(x)±d g(x)d(kf(x))=k d f(x)我们得不定积分的线性运算公式(1)∫[f(x)±g(x)]d x=∫f(x)d x±∫g(x)d x(2)∫kf(x)d x=k∫f(x)d x,k是⾮零常数.现在可利⽤这两个公式与基本积分公式来计算简单不定积分.例2.5.4求∫(x3+3x++5sin x-4cos x)d x解.原式=∫x3d x+∫3x d x+7∫d x+5∫sin x d x-4∫cos x d x=+7ln|x|-5cos x-4sin x+C .注.此例中化为五个积分,应出现五个任意常数,它们的任意性使其可合并成⼀个任意常数C,因此在最后写出C即可.例2.5.5求∫(1+)3d x解.原式=∫(1+3+3x+)d x=∫d x+3∫d x+3∫x d x+∫d x=x+3+C=x+2x++C .注.∫d x与∫1d x是相同的,其中1可省略.例2.5.6求解.原式===-x+arctan x+C .注.被积函数是分⼦次数不低于分母次数的分式,称为有理假分式.先将其分出⼀个整式x2-1,余下的分式为有理真分式,其分⼦次数低于分母的次数.例2.5.7求.解.原式==∫csc2x d x-∫sec2x d x=-cot x-tan x+C .注.利⽤三⾓函数公式将被积函数化简成简单函数以便使⽤基本积分公式.例2.5.8求.解.原式==+C .为了得到进⼀步的不定积分计算⽅法,我们先⽤微分的链锁法则导出不定积分的重要计算⽅法??换元法.思考题.被积函数是有理假分式时,积分之前应先分出⼀个整式,再加上⼀个有理真分式,⼀般情形怎样实施这⼀步骤?4.第⼀换元法(凑微分法)我们先看⼀个例⼦:例2.5.9求.解.因(1+x2)' =2x,与被积函数的分⼦只差常数倍数2,如果将分⼦补成2x,即可将原式变形:原式=(令u=1+x2)=(代回u=1+x2).注.此例解法的关键是凑了微分d(1+x2).⼀般地在F'(u)=f(u),u=?(x)可导,且?' (x)连续的条件下,我们有第⼀换元公式(凑微分):u=? (x) 积分代回u=? (x)∫f[?(x)]?' (x)d x=∫f[?(x)]d?(x)=∫f(u)d u=F(u)+C=F[?(x)]+C其中函数?(x)是可导的,且F(u)是f(u)的⼀个原函数.从上述公式可看出凑微分法的步骤:凑微分————→换元————→积分————→再换元' (x)d x=d(x) u=(x) 得F(u)+C得F[?(x)]+C注.凑微分法的过程实质上是复合函数求导的链锁法则的逆过程.事实上,在F'(u)=f(u)的前提下,上述公式右端经求导即得:[F[?(x)]+C]' =F '[?(x)]?' (x)=f[?(x)]?' (x)这就验证了公式的正确性.例2.5.10求∫(ax+b)m d x.(m≠-1,a≠0)解.原式=(凑微分d(ax+b))=(换元u=ax+b)=(积分)=. (代回u=ax+b)例2.5.11求.解.原式=(凑微分d(-x3)=-3x2d x)===(换元u=-x3).注.你熟练掌握凑微分法之后,中间换元u=?(x)可省略不写,显得计算过程更简练,但要做到⼼中有数.例2.5.12求∫tan x d x.解.原式==-ln|cos x|+C .同理可得∫cot x d x=ln|sin x|+C .例2.5.13求(a>0).解.原式==.例2.5.14求(a>0).解.原式==.例2.5.15求.解.原式====.例2.5.16∫sec x d x.解.原式=(换元u=sin x)===(代回u=sin x)===ln|sec x+tan x|+C .公式:∫sec x d x=ln|sec x+tan x|+C .例.2.5.17求∫csc x d x .解.原式===ln|csc x-cot x|+C .公式:∫csc x d x=ln|csc x-cot x|+C .凑微分法是不定积分换元法的第⼀种形式,其另⼀种形式是下⾯的第⼆换元法.5.第⼆换元法不定积分第⼀换元法的公式中核⼼部分是∫f[?(x)]?'(x)d x=∫f(u)d u我们从公式的左边演算到右边,即换元:u=?(x).与此相反,如果我们从公式的右边演算到左边,那么就是换元的另⼀种形式,称为第⼆换元法.即若f(u),u=?(x),?'(x)均连续,u=?(x)的反函数x=?-1(u)存在且可导,F(x)是f[?(x)]?'(x)的⼀个原函数,则有∫f(u)d u=∫f[?(x)]?'(x)d x=F(x)+C=F[?-1(u)]+C .第⼆换元法常⽤于被积函数含有根式的情况.例2.5.18求解.令(此处?(t)=t2).于是原式===(代回t= -1(x)=) 注.你能看到,换元=t的⽬的在于将被积函数中的⽆理式转换成有理式,然后积分.第⼆换元法除处理形似上例这种根式以外,还常处理含有根式,,(a>0)的被积函数的积分.例2.5.19求. (a>0)解.令x=a sec t,则d x=a sec t tan t d t,于是原式==∫sec t d t=ln|sec t+tan t|+C1 .到此需将t代回原积分变量x,⽤到反函数t=arcsec,但这种做法较繁.下⾯介绍⼀种直观的便于实施的图解法:作直⾓三⾓形,其⼀锐⾓为t及三边a,x,满⾜:sec t=由此,原式=ln|sec t+tan t|+C1==.注.C1是任意常数,-ln a是常数,由此C=C1-ln a仍是任意常数.(a>0)例2.5.20求.解.令x=a tan t,则d x=a sec2t d t,于是原式==∫sec t d t=ln|sec t+tan t|+C1 .图解换元得原式=ln|sec t+tan t|+C1=.公式:.例2.5.21求(a>0).解.令x=a sin t,则d x=a cos t d t,于是原式===+C.图解换元得:原式=+C=+C .除了换元法积分外,还有⼀个重要的积分公式,即分部积分公式.思考题.在第⼆换元法公式中,请你注意加了⼀个条件“u=?(x)的反函数x=?1-(u)存在且可导”,你能否作出解释,为什么要加此条件?6.分部积分公式我们从微分公式d(uv)=v d u+u d v两边积分,即∫d(uv)=∫v d u+∫u d v由此导出不定积分的分部积分公式∫u d v=uv -∫v d u下⾯通过例⼦说明公式的⽤法.例2.5.22求∫x2ln x d x解.∫x2ln x d x=(将微分dln x算出)==.例2.5.23求∫x2sin x d x.解.原式=∫x2d(-cos x) (凑微分)=-x2cos x-∫(-cos x)d(x2) (⽤分部积分公式)=-x2cos x+∫2x cos x d x=-x2cos x+2∫x dsin x(第⼆次凑微分)=-x2cos x+2[x sin x-∫sin x d x] (第⼆次⽤分部积分公式)=-x2cos x+2x sin x+2cos x+C .例2.5.24求∫e x sin x d x.解.∫e x sin x d x=∫sin x d e x (凑微分)=e x sin x-∫e x dsin x(⽤分部积分公式)=e x sin x-∫e x cos x d x(算出微分)=e x sin x-∫cos x d e x(第⼆次凑微分)=e x sin x-[e x cos x-∫e x dcos x] (第⼆次⽤分部积分公式)=e x(sin x-cos x)-∫e x sin x d x(第⼆次算出微分)由此得:2∫e x sin x d x=e x(sin x-cos x)+2C因此∫e x sin x d x=(sin x-cos x)+C .注.(1)此例中在第⼆次凑微分时,必须与第⼀次凑的微分形式相同.否则若将∫e x cos x d x凑成∫e x dsin x,那将产⽣恶性循环,你可试试.(2)积分常数C可写在积分号∫⼀旦消失之后.例2.5.25求∫arctan x d x解.此题被积函数可看作x0arctan x,x0d x=d x,即适合分部积分公式中u=arctan x,v=x.故原式=x arctan x - ∫x d(arctan x) (⽤分部积分公式)=x arctan x - d x(算出微分)=x arctan x - (凑微分)=x arctan x - ln(1+x2)+C .⼩结.(1)分部积分公式常⽤于被积函数是两种不同类型初等函数之积的情形,例如x3arctan x,x3ln x 幂函数与反正切或对数函数x2sin x,x2cos x幂函数与正弦,余弦x2e x幂函数与指数函数e x sin x,e x cos x 指数函数与正弦,余弦等等.(2)在⽤分部积分公式计算不定积分时,将哪类函数凑成微分d v,⼀般应选择容易凑的那个.例如arctan x d,ln x d我们已学习了不定积分的⼏种常⽤⽅法,除了熟练运⽤这些⽅法外,在许多数学⼿册中往往列举了⼏百个不定积分公式,它们不是基本的,不需要熟记,但可以作为备查之⽤,称为积分表.思考题.你仔细观察分部积分公式,掌握其中使⽤的规律,特别是第⼀步凑微分时如何选择微分.7.积分表的使⽤除了基本积分公式之外,在许多数学⼿册中往往列举了⼏百个补充的积分公式,构成了积分表.下⾯列出本节已得到的基本积分公式.(1)∫0d x=C(2)=ln|x|+C(3)(m≠-1,x>0)(4)(a>0,a≠1)(5)(6)∫cos x d x=sin x+C(7)∫sin x d x=- cos x+C(8)∫sec2x d x=tan x+C(9)∫csc2x d x=- cot x+C(10)∫sec x tan x d x=sec x+C(11)∫csc x cot x d x=-csc x+C(12)=arcsin x+C(13)=arctan x+C(14)∫tan x d x=-ln|cos x|+C(15)∫cot x d x=ln|sin x|+C(16)=(a>0)(17)=(a>0)(18)(a>0)(19)=(a>0)(20)∫sec x d x=ln|sec x+tan x|+C(21)∫csc x d x=ln|csc x-cot x|+C利⽤积分表中的公式,可使积分计算⼤⼤简化.积分表的使⽤⽅法⽐较简单,现举⼀例说明之.例2.5.26求解.从积分表中查得公式则将a=3,b=-1,c=4代⼊上式并添上积分常数C即得解答:=.。
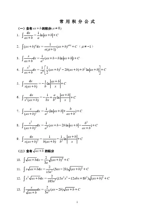
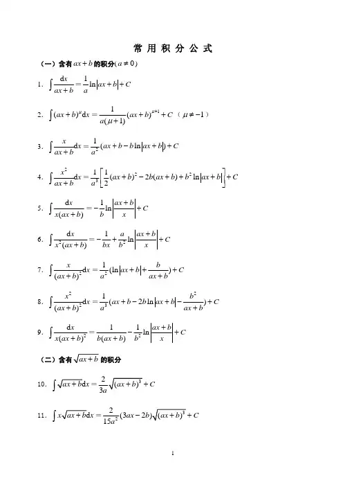
常 用 积 分 公 式(一)含有ax b +的积分(0a ≠)1.d x ax b +⎰=1ln ax b C a ++2.()d ax b x μ+⎰=11()(1)ax b C a μμ++++(1μ≠-) 3.d x x ax b +⎰=21(ln )ax b b ax b C a +-++4.2d x x ax b +⎰=22311()2()ln 2ax b b ax b b ax b C a ⎡⎤+-++++⎢⎥⎣⎦5.d ()x x ax b +⎰=1ln ax b C b x +-+6.2d ()x x ax b +⎰=21ln a ax b C bx b x +-++ 7.2d ()x x ax b +⎰=21(ln )b ax b C a ax b++++ 8.22d ()x x ax b +⎰=231(2ln )b ax b b ax b C a ax b+-+-++ 9.2d ()x x ax b +⎰=211ln ()ax b C b ax b b x +-++的积分10.x C +11.x ⎰=22(3215ax b C a-12.x x ⎰=22232(15128105a x abx b C a -+13.x⎰=22(23ax b C a -14.2x⎰=22232(34815a x abx b C a -+15.⎰(0)(0)C b C b ⎧+>< 16.⎰2a bx b -- 17.x ⎰=b ⎰18.2d x x ⎰=2a + (三)含有22x a ±的积分19.22d x x a +⎰=1arctan x C a a+ 20.22d ()n x x a +⎰=2221222123d 2(1)()2(1)()n n x n x n a x a n a x a ---+-+-+⎰21.22d x x a -⎰=1ln 2x a C a x a -++(四)含有2(0)ax b a +>的积分22.2d x ax b +⎰=(0)(0)C b C b ⎧+>+< 23.2d x x ax b +⎰=21ln 2ax b C a++ 24.22d x x ax b +⎰=2d x b x a a ax b-+⎰ 25.2d ()x x ax b +⎰=221ln 2x C b ax b++ 26.22d ()x x ax b +⎰=21d a x bx b ax b --+⎰27.32d ()x x ax b +⎰=22221ln 22ax b a C b x bx +-+28.22d ()x ax b +⎰=221d 2()2xxb ax b b ax b +++⎰(五)含有2ax bx c ++(0)a >的积分29.2d x ax bx c ++⎰=22(4)(4)Cb ac Cb ac +<+> 30.2d xx ax bx c ++⎰=221d ln 22b xax bx c a a ax bx c++-++⎰(0)a >的积分31.⎰=1arsh x C a +=ln(x C ++32.C +33.x ⎰C34.x=C +35.2x2ln(2ax C +36.2x=ln(x C +++37.⎰1ln aC a x -+38.⎰C +39.x2ln(2a x C ++40.x =2243(25ln(88x x a a x C ++41.x ⎰C +42.x x ⎰=422(2ln(88x a x a x C +++43.x ⎰a C +44.x ⎰=ln(x C +++(0)a >的积分45.⎰=1arch x x C x a+=ln x C + 46.C +47.x ⎰C48.x =C +49.2x 2ln 2a x C +++50.2x =ln x C +++ 51.⎰1arccos a C a x +52.⎰C +53.x 2ln 2a x C -++54.x =2243(25ln 88x x a a x C -++55.x ⎰C56.x x ⎰=422(2ln 88x a x a x C -+57.x ⎰arccos a a C x -+58.x ⎰=ln x C +++(0)a >的积分59.⎰=arcsin x C a+ 60.C +61.x ⎰=C +62.x C +63.2x =2arcsin 2a x C a + 64.2x arcsin x C a -+65.⎰1C a +66.⎰2C a x -+67.x 2arcsin 2a x C a +68.x =2243(52arcsin 88x x a x a C a-+69.x ⎰=C70.x x ⎰=422(2arcsin 88x a x x a C a -+71.x ⎰a C ++72.x ⎰=arcsin x C a -+(0)a >的积分73.⎰2ax b C +++74.x22ax b C ++++75.x ⎰2ax b C -+++ 76.⎰=C +77.x 2C +78.x ⎰=C ++79.x ⎰=((x b b a C --+80.x ⎰=((x b b a C -+-81.⎰=C ()a b <82.x 2()arcsin 4b a C -+()a b < (十一)含有三角函数的积分83.sin d x x ⎰=cos x C -+84.cos d x x ⎰=sin x C +85.tan d x x ⎰=ln cos x C -+86.cot d x x ⎰=ln sin x C +87.sec d x x ⎰=ln tan()42x C π++=ln sec tan x x C ++ 88.csc d x x ⎰=ln tan 2x C +=ln csc cot x x C -+ 89.2sec d x x ⎰=tan x C +90.2csc d x x ⎰=cot x C -+91.sec tan d x x x ⎰=sec x C +92.csc cot d x x x ⎰=csc x C -+ 93.2sin d x x ⎰=1sin 224x x C -+ 94.2cos d x x ⎰=1sin 224x x C ++ 95.sin d n x x ⎰=1211sin cos sin d n n n x x x x n n----+⎰ 96.cos d n x x ⎰=1211cos sin cos d n n n x x x x n n---+⎰ 97.d sin n x x ⎰=121cos 2d 1sin 1sin n n x n x n x n x----⋅+--⎰ 98.d cos n x x ⎰=121sin 2d 1cos 1cos n n x n x n x n x---⋅+--⎰ 99.cos sin d m n x x x ⎰=11211cos sin cos sin d m n m n m x x x x x m n m n-+--+++⎰ =11211cos sin cos sin d m n m n n x x x x x m n m n +----+++⎰ 100.sin cos d ax bx x ⎰=11cos()cos()2()2()a b x a b x C a b a b -+--++-101.sin sin d ax bx x ⎰=11sin()sin()2()2()a b x a b x C a b a b -++-++- 102.cos cos d ax bx x ⎰=11sin()sin()2()2()a b x a b x C a b a b ++-++- 103.d sin x a b x +⎰tan x a b C ++22()a b >104.d sin x a b x +⎰C +22()a b < 105.d cos x a b x +⎰)2x C +22()a b >106.d cos x a b x +⎰C +22()a b < 107.2222d cos sin x a x b x +⎰=1arctan(tan )b x C ab a+ 108.2222d cos sin x a x b x -⎰=1tan ln 2tan b x a C ab b x a ++- 109.sin d x ax x ⎰=211sin cos ax x ax C a a-+ 110.2sin d x ax x ⎰=223122cos sin cos x ax x ax ax C a a a-+++ 111.cos d x ax x ⎰=211cos sin ax x ax C a a++ 112.2cos d x ax x ⎰=223122sin cos sin x ax x ax ax C a a a+-+ (十二)含有反三角函数的积分(其中0a >)113.arcsin d x x a ⎰=arcsin x x C a ++ 114.arcsin d x x x a⎰=22()arcsin 24x a x C a -+ 115.2arcsin d x x x a ⎰=3221arcsin (239x x x a C a ++ 116.arccos d x x a ⎰=arccosx x C a117.arccos d x x x a⎰=22()arccos 24x a x C a -118.2arccos d x x x a ⎰=3221arccos (239x x x a C a -+ 119.arctand x x a ⎰=22arctan ln()2x a x a x C a -++ 120.arctan d x x x a ⎰=221()arctan 22x a a x x C a +-+ 121.2arctan d x x x a ⎰=33222arctan ln()366x x a a x a x C a -+++ (十三)含有指数函数的积分122.d xa x ⎰=1ln x a C a+ 123.e d ax x ⎰=1e ax C a+ 124.e d ax x x ⎰=21(1)e ax ax C a-+ 125.e d n ax x x ⎰=11e e d n ax n ax n x x x a a --⎰ 126.d x xa x ⎰=21ln (ln )x x x a a C a a -+ 127.d n x x a x ⎰=11d ln ln n x n x n x a x a x a a--⎰ 128.e sin d ax bx x ⎰=221e (sin cos )ax a bx b bx C a b-++ 129.e cos d ax bx x ⎰=221e (sin cos )ax b bx a bx C a b+++ 130.e sin d ax n bx x ⎰=12221e sin (sin cos )ax n bx a bx nb bx a b n --+ 22222(1)e sin d ax n n n b bx x a b n--++⎰ 131.e cos d ax n bx x ⎰=12221e cos (cos sin )ax n bx a bx nb bx a b n-++ 22222(1)e cos d ax n n n b bx x a b n--++⎰ (十四)含有对数函数的积分132.ln d x x ⎰=ln x x x C -+133.d ln x x x ⎰=ln ln x C +134.ln d n x x x ⎰=111(ln )11n x x C n n +-+++ 135.(ln )d n x x ⎰=1(ln )(ln )d n n x x n x x --⎰ 136.(ln )d m n x x x ⎰=111(ln )(ln )d 11m n m n n x x x x x m m +--++⎰ (十五)含有双曲函数的积分 137.sh d x x ⎰=ch x C +138.ch d x x ⎰=sh x C +139.th d x x ⎰=lnch x C + 140.2sh d x x ⎰=1sh224x x C -++ 141.2ch d x x ⎰=1sh224x x C ++ (十六)定积分142.cos d nx x π-π⎰=sin d nx x π-π⎰=0 143.cos sin d mx nx x π-π⎰=0144.cos cos d mx nx x π-π⎰=0,,m n m n ≠⎧⎨π=⎩ 145.sin sin d mx nx x π-π⎰=0,,m n m n ≠⎧⎨π=⎩ 146.0sin sin d mx nx x π⎰=0cos cos d mx nx x π⎰=0,,2m n m n ≠⎧⎪⎨π=⎪⎩ 147. n I =20sin d n x x π⎰=20cos d n x x π⎰ n I =21n n I n-- 1342253n n n I n n --=⋅⋅⋅⋅- (n 为大于1的正奇数),1I =1 13312422n n n I n n --π=⋅⋅⋅⋅⋅-(n 为正偶数),0I =2π。
导数公式:基本积分表:三角函数的有理式积分:ax x aa a ctgx x x tgx x x xctgx x tgx a x x ln 1)(log ln )(csc )(csc sec )(sec csc )(sec )(22='='⋅-='⋅='-='='222211)(11)(11)(arccos 11)(arcsin x arcctgx x arctgx x x x x +-='+='--='-='⎰⎰⎰⎰⎰⎰⎰⎰⎰⎰+±+=±+=+=+=+-=⋅+=⋅+-==+==Ca x x a x dx C shx chxdx C chx shxdx Ca a dx a Cx ctgxdx x C x dx tgx x Cctgx xdx x dx C tgx xdx x dx xx)ln(ln csc csc sec sec csc sin sec cos 22222222C axx a dx C x a xa a x a dx C a x ax a a x dx C a xarctg a x a dx Cctgx x xdx C tgx x xdx Cx ctgxdx C x tgxdx +=-+-+=-++-=-+=++-=++=+=+-=⎰⎰⎰⎰⎰⎰⎰⎰arcsin ln 21ln 211csc ln csc sec ln sec sin ln cos ln 22222222⎰⎰⎰⎰⎰++-=-+-+--=-+++++=+-===-Cax a x a x dx x a Ca x x a a x x dx a x Ca x x a a x x dx a x I nn xdx xdx I n n nn arcsin 22ln 22)ln(221cos sin 2222222222222222222222ππ222212211cos 12sin u dudx x tg u u u x u u x +==+-=+=, , , (一)含有ax b +的积分(0a ≠)1.d x ax b +⎰=1ln ax b C a ++2.()d ax b x μ+⎰=11()(1)ax b C a μμ++++(1μ≠-)3.d x x ax b +⎰=21(ln )ax b b ax b C a +-++4.2d x x ax b +⎰=22311()2()ln 2ax b b ax b b ax b C a ⎡⎤+-++++⎢⎥⎣⎦5.d ()x x ax b +⎰=1ln ax b C b x+-+ 6.2d ()x x ax b +⎰=21ln a ax b C bx b x+-++ 7.2d ()xx ax b +⎰=21(ln )b ax b C a ax b++++ 8.22d ()x x ax b +⎰=231(2ln )b ax b b ax b C a ax b +-+-++9.2d ()x x ax b +⎰=211ln ()ax bC b ax b b x+-++的积分10.x C11.x ⎰=22(3215ax b C a -12.x x ⎰=22232(15128105a x abx b C a-+13.x=22(23ax b C a -14.2x=22232(34815a x abx b C a -+ 15.=(0)(0)C b C b ⎧+>+<16.2a bx b --17.x=b 18.x=2a +(三)含有22x a ±的积分19.22d x x a +⎰=1arctan xC a a+ 20.22d ()n xx a +⎰=2221222123d 2(1)()2(1)()n n x n x n a x a n a x a ---+-+-+⎰21.22d x x a -⎰=1ln 2x a C a x a-++(四)含有2(0)ax b a +>的积分22.2d x ax b +⎰=(0)(0)C b C b ⎧+>+<23.2d x x ax b +⎰=21ln 2ax b C a++24.22d x x ax b +⎰=2d x b xa a axb -+⎰25.2d ()xx ax b +⎰=221ln 2x C b ax b++ 26.22d ()xx ax b +⎰=21d a x bx b ax b --+⎰27.32d ()xx ax b +⎰=22221ln 22ax b a C b x bx +-+ 28.22d ()xax b +⎰=221d 2()2x xb ax b b ax b+++⎰ (五)含有2ax bx c ++(0)a >的积分29.2d x ax bx c ++⎰=22(4)(4)C b ac C b ac +<+>30.2d x x ax bx c ++⎰=221d ln 22b x ax bx c a a ax bx c++-++⎰(0)a >的积分31.=1arshxC a+=ln(x C ++ 32.=C +33.x=C +34.x=C +35.2x =2ln(2a x C -++36.2x =ln(x C ++37.1C a +38.C +39.x 2ln(2a x C ++40.x =2243(25ln(88x x a a x C +++41.x ⎰C +42.xx ⎰=422(2ln(88x a x a x C +++43.x a C +44.x =ln(x C +++(0)a >的积分45.=1arch x xC x a+=ln x C + 46.C +47.x =C48.x =C +49.2x 2ln 2a x C +++50.2x =ln x C +++51.1arccos aC a x +52.C +53.x =2ln 2a x C ++54.x =2243(25ln 88x x a a x C -+++55.x ⎰C +56.xx ⎰=422(2ln 88x a x a x C -++57.x x⎰=arccos a a C x +58.x =ln x C +++(0)a >的积分59.=arcsinxC a+ 60.C +61.x =C62.x C +63.2x =2arcsin 2a x C a ++ 64.2x arcsinxC a-+65.1C a +66.C +67.x =2arcsin 2a x C a+68.x =2243(52arcsin 88x x a x a C a -+69.x ⎰=C70.xx ⎰=422(2arcsin 88x a x x a C a-+71.d x x⎰a C +72.2d x x ⎰=arcsin xC x a--+(0)a >的积分73.2ax b C +++08070141常用导数和积分公式74.x =2n 2a x b c C+++75.xn 2a x b c C+++ 76.C +77.x =2C +78.x =C +79.x =((x b b a C --+80.x =((x b b a C -+-81.C ()a b <82.x 2()4b a C -+ ()a b <(十一)含有三角函数的积分 83.sin d x x ⎰=cos x C -+84.cos d x x ⎰=sin x C + 85.tan d x x ⎰=ln cos x C -+ 86.cot d x x ⎰=ln sin x C +87.sec d x x ⎰=ln tan()42xC π++=ln sec tan x x C ++ 88.csc d x x ⎰=ln tan 2xC +=ln csc cot x x C -+ 89.2secd x x ⎰=tan x C +90.2csc d x x ⎰=cot x C -+91.sec tan d x x x ⎰=sec x C + 92.csc cot d x x x ⎰=csc x C -+93.2sin d x x ⎰=1sin 224x x C -+ 94.2cos d x x ⎰=1sin 224x x C ++95.sin d nx x ⎰=1211sin cos sin d n n n x x x x n n----+⎰ 96.cos d n x x ⎰=1211cos sin cos d n n n x x x x n n---+⎰ 97.d sin n x x ⎰=121cos 2d 1sin 1sin n n x n xn x n x ----⋅+--⎰ 98.d cos n x x ⎰=121sin 2d 1cos 1cos n n x n xn x n x---⋅+--⎰99.cos sin d m nx x x ⎰=11211cos sin cos sin d m n m n m x x x x x m n m n -+--+++⎰ =11211cos sin cos sin d m n m n n x x x x x m n m n+----+++⎰ 100.sin cos d ax bx x ⎰=11cos()cos()2()2()a b x a b x C a b a b -+--++-101.sin sin d ax bx x ⎰=11sin()sin()2()2()a b x a b x C a b a b -++-++-102.cos cos d ax bx x ⎰=11sin()sin()2()2()a b x a b x C a b a b ++-++-103.d sin x a b x +⎰tan xa b C ++22()a b >104.d sin x a b x+⎰C+22()a b <105.d cos xa b x +⎰)2x C +22()a b >106.d cos x a b x +⎰C +22()a b <107.2222d cos sin x a x b x +⎰=1arctan(tan )bx C ab a + 108.2222d cos sin x a x b x -⎰=1tan ln 2tan b x a C ab b x a ++-109.sin d x ax x ⎰=211sin cos ax x ax C a a -+ 110.2sin d x ax x ⎰=223122cos sin cos x ax x ax ax C a a a -+++111.cos d x ax x ⎰=211cos sin ax x ax C a a ++112.2cos d x ax x ⎰=223122sin cos sin x ax x ax ax C a a a+-+(十二)含有反三角函数的积分(其中0a >)113.arcsin d x x a ⎰=arcsin x x C a+114.arcsin d x x x a ⎰=22()arcsin 24x a x C a -+115.2arcsin d x x x a ⎰=3221arcsin (239x x x a C a +++116.arccos d x x a ⎰=arccos x x C a-117.arccos d x x x a ⎰=22()arccos 24x a x C a --118.2arccos d x x x a ⎰=3221arccos (239x x x a C a -+ 119.arctan d x x a ⎰=22arctan ln()2x a x a x C a -++ 120.arctan d x x x a ⎰=221()arctan 22x a a x x C a +-+ 121.2arctan d x x x a ⎰=33222arctan ln()366x x a a x a x C a -+++ (十三)含有指数函数的积分122.d x a x ⎰=1ln x a C a+ 123.e d ax x ⎰=1e ax C a+ 124.e d ax x x ⎰=21(1)e ax ax C a-+ 125.e d n ax x x ⎰=11e e d n ax n ax n x x x a a --⎰ 126.d x xa x ⎰=21ln (ln )x x x a a C a a -+ 127.d n x x a x ⎰=11d ln ln n x n x n x a x a x a a--⎰ 128.e sin d ax bx x ⎰=221e (sin cos )ax a bx b bx C a b-++ 129.e cos d ax bx x ⎰=221e (sin cos )ax b bx a bx C a b +++130.e sin d ax n bx x ⎰=12221e sin (sin cos )ax n bx a bx nb bx a b n--+ 22222(1)e s i n d a x n n n b b x x a b n--++⎰ 131.e cos d ax n bx x ⎰=12221e cos (cos sin )ax n bx a bx nb bx a b n-++ 22222(1)e c o s d a x n n n b b x x a b n--++⎰ (十四)含有对数函数的积分132.ln d x x ⎰=ln x x x C -+ 133.d ln x x x ⎰=ln ln x C + 134.ln d n x x x ⎰=111(ln )11n x x C n n +-+++ 135.(ln )d n x x ⎰=1(ln )(ln )d n n x x n x x --⎰ 136.(ln )d m n x x x ⎰=111(ln )(ln )d 11m n m n n x x x x x m m +--++⎰ (十五)含有双曲函数的积分137.sh d x x ⎰=ch x C + 138.ch d x x ⎰=sh x C + 139.th d x x ⎰=ln ch x C + 140.2sh d x x ⎰=1sh224x x C -++ 141.2ch d x x ⎰=1sh224x x C ++ (十六)定积分142.cos d nx x π-π⎰=sin d nx x π-π⎰=0 143.cos sin d mx nx x π-π⎰=0 144.cos cos d mx nx x π-π⎰=0,,m n m n ≠⎧⎨π=⎩145.sin sin d mx nx x π-π⎰=0,,m n m n ≠⎧⎨π=⎩ 146.0sin sin d mx nx x π⎰=0cos cos d mx nx x π⎰=0,,2m n m n ≠⎧⎪⎨π=⎪⎩ 147.n I =20sin d n x x π⎰=20cos d n x x π⎰n I =21n n I n -- 1342253n n n I n n --=⋅⋅⋅⋅- (n 为大于1的正奇数),1I =1 13312422n n n I n n --π=⋅⋅⋅⋅⋅- (n 为正偶数),0I =2π。
基本积分表(1)kdx kx C (k 是常数)(2)1,1x x dx C (1)u (3)1ln ||dx x C x (4)2tan 1dx arl x C x (5)2arcsin 1dx x C x (6)cos sin xdx x C (7)sin cos xdx x C (8)21tan cos dx x C x (9)21cot sin dx x C x (10)sec tan sec x xdx x C (11)csc cot csc x xdx x C (12)x x e dx e C (13)ln x x a a dx C a ,(0,1)a a 且(14)shxdx chx C (15)chxdx shx C (16)2211tan x dx arc C a x a a(18)221sin x dx arc C aa x (19)22221ln()dx x a x Ca x (20)2222ln ||dx x x a C x a (21)tan ln |cos |xdx x C(22)cot ln |sin |xdx x C(23)sec ln |sec tan |xdx x x C(24)csc ln |csc cot |xdx x x C注:1、从导数基本公式可得前15个积分公式,(16)-(24)式后几节证。
2、以上公式把x 换成u 仍成立,u 是以x 为自变量的函数。
3、复习三角函数公式:2222sin cos 1,tan 1sec ,sin 22sin cos ,x x x x x x x 21cos2cos 2xx ,21cos 2sin 2xx 。
注:由[()]'()[()]()f x x dxf x d x ,此步为凑微分过程,所以第一类换元法也叫凑微分法。
此方法是非常重要的一种积分法,要运用自如,务必熟记基本积分表,并掌握常见的凑微分形式及“凑”的技巧。
常用积分表(可以直接使用,可编辑实用优秀文档,欢迎下载)常 用 积 分 公 式(一)含有ax b +的积分(0a ≠)1.d x ax b +⎰=1ln ax b C a ++2.()d ax b x μ+⎰=11()(1)ax b C a μμ++++(1μ≠-) 3.d x x ax b +⎰=21(ln )ax b b ax b C a +-++4.2d x x ax b +⎰=22311()2()ln 2ax b b ax b b ax b C a ⎡⎤+-++++⎢⎥⎣⎦5.d ()x x ax b +⎰=1ln ax b C b x +-+6.2d ()x x ax b +⎰=21ln a ax b C bx b x +-++ 7.2d ()x x ax b +⎰=21(ln )b ax b C a ax b++++ 8.22d ()x x ax b +⎰=231(2ln )b ax b b ax b C a ax b+-+-++ 9.2d ()x x ax b +⎰=211ln ()ax b C b ax b b x +-++的积分10.x C +11.x ⎰=22(3215ax b C a-12.x x ⎰=22232(15128105a x abx b C a -+13.x⎰=22(23ax b C a -14.2x⎰=22232(34815a x abx b C a -+15.⎰(0)(0)C b C b ⎧+>< 16.⎰2a bx b -- 17.x ⎰=b ⎰18.2d x x ⎰=2a + (三)含有22x a ±的积分19.22d x x a +⎰=1arctan x C a a+ 20.22d ()n x x a +⎰=2221222123d 2(1)()2(1)()n n x n x n a x a n a x a ---+-+-+⎰21.22d x x a -⎰=1ln 2x a C a x a -++(四)含有2(0)ax b a +>的积分22.2d x ax b +⎰=(0)(0)C b C b ⎧+>+< 23.2d x x ax b +⎰=21ln 2ax b C a++ 24.22d x x ax b +⎰=2d x b x a a ax b-+⎰ 25.2d ()x x ax b +⎰=221ln 2x C b ax b++ 26.22d ()x x ax b +⎰=21d a x bx b ax b --+⎰27.32d ()x x ax b +⎰=22221ln 22ax b a C b x bx +-+28.22d ()x ax b +⎰=221d 2()2xxb ax b b ax b +++⎰(五)含有2ax bx c ++(0)a >的积分29.2d x ax bx c ++⎰=22(4)(4)Cb ac Cb ac +<+> 30.2d x x ax bx c ++⎰=221d ln 22b xax bx c a a ax bx c++-++⎰(0)a >的积分31.⎰=1arsh xC a +=ln(x C ++32.C +33.x ⎰C34.x=C +35.2x2ln(2a x C +36.2x=ln(x C +++37.⎰1ln aC a x -+38.⎰C +39.x2ln(2a x C ++40.x =2243(25ln(88x x a a x C ++41.x ⎰C +42.x x ⎰=422(2ln(88x a x a x C +++43.x ⎰a C +44.x ⎰=ln(x C +++(0)a >的积分45.⎰=1arch x x C x a+=ln x C ++ 46.C +47.x ⎰C48.x =C +49.2x 2ln 2a x C +++50.2x =ln x C +++ 51.⎰1arccos a C a x +52.⎰C +53.x 2ln 2a x C -++54.x =2243(25ln 88x x a a x C -++55.x ⎰C56.x x ⎰=422(2ln 88x a x a x C -+57.x ⎰arccos a a C x -+58.x ⎰=ln x C +++(0)a >的积分59.⎰=arcsin x C a+ 60.C +61.x ⎰=C +62.x C +63.2x =2arcsin 2a x C a + 64.2x arcsin x C a -+65.⎰1C a +66.⎰2C a x -+67.x 2arcsin 2a x C a +68.x =2243(52arcsin 88x x a x a C a-+69.x ⎰=C70.x x ⎰=422(2arcsin 88x a x x a C a -+71.x ⎰a C +72.x ⎰=arcsin x C a -+(0)a >的积分73.⎰2ax b C +++74.x 22ax b C +++75.x ⎰2ax b C +++ 76.⎰=C +77.x 2C +78.x ⎰=C ++79.x ⎰=((x b b a C --+80.x ⎰=((x b b a C -+-81.⎰=C ()a b <82.x 2()arcsin 4b a C -+()a b <(十一)含有三角函数的积分83.sin d x x ⎰=cos x C -+84.cos d x x ⎰=sin x C +85.tan d x x ⎰=ln cos x C -+86.cot d x x ⎰=ln sin x C +87.sec d x x ⎰=ln tan()42x C π++=ln sec tan x x C ++ 88.csc d x x ⎰=ln tan 2x C +=ln csc cot x x C -+ 89.2sec d x x ⎰=tan x C +90.2csc d x x ⎰=cot x C -+91.sec tan d x x x ⎰=sec x C +92.csc cot d x x x ⎰=csc x C -+ 93.2sin d x x ⎰=1sin 224x x C -+ 94.2cos d x x ⎰=1sin 224x x C ++ 95.sin d n x x ⎰=1211sin cos sin d n n n x x x x n n----+⎰ 96.cos d n x x ⎰=1211cos sin cos d n n n x x x x n n---+⎰ 97.d sin n x x ⎰=121cos 2d 1sin 1sin n n x n x n x n x----⋅+--⎰ 98.d cos n x x ⎰=121sin 2d 1cos 1cos n n x n x n x n x---⋅+--⎰ 99.cos sin d m n x x x ⎰=11211cos sin cos sin d m n m n m x x x x x m n m n-+--+++⎰ =11211cos sin cos sin d m n m n n x x x x x m n m n +----+++⎰ 100.sin cos d ax bx x ⎰=11cos()cos()2()2()a b x a b x C a b a b -+--++- 101.sin sin d ax bx x ⎰=11sin()sin()2()2()a b x a b x C a b a b -++-++-102.cos cos d ax bx x ⎰=11sin()sin()2()2()a b x a b x C a b a b ++-++- 103.d sin x a b x +⎰tan x a b C ++22()a b >104.d sin x a b x +⎰C +22()a b < 105.d cos x a b x +⎰)2x C +22()a b >106.d cos x a b x +⎰C +22()a b < 107.2222d cos sin x a x b x +⎰=1arctan(tan )b x C ab a+ 108.2222d cos sin x a x b x -⎰=1tan ln 2tan b x a C ab b x a ++- 109.sin d x ax x ⎰=211sin cos ax x ax C a a-+ 110.2sin d x ax x ⎰=223122cos sin cos x ax x ax ax C a a a-+++ 111.cos d x ax x ⎰=211cos sin ax x ax C a a++ 112.2cos d x ax x ⎰=223122sin cos sin x ax x ax ax C a a a+-+ (十二)含有反三角函数的积分(其中0a >)113.arcsin d x x a ⎰=arcsin x x C a ++ 114.arcsin d x x x a⎰=22()arcsin 24x a x C a -+ 115.2arcsin d x x x a ⎰=3221arcsin (239x x x a C a ++ 116.arccos d xx a ⎰=arccos x x C a117.arccos d x x x a⎰=22()arccos 24x a x C a -118.2arccos d x x x a ⎰=3221arccos (239x x x a C a -+ 119.arctand x x a ⎰=22arctan ln()2x a x a x C a -++ 120.arctan d x x x a ⎰=221()arctan 22x a a x x C a +-+ 121.2arctan d x x x a ⎰=33222arctan ln()366x x a a x a x C a -+++ (十三)含有指数函数的积分122.d xa x ⎰=1ln x a C a+ 123.e d ax x ⎰=1e ax C a+ 124.e d ax x x ⎰=21(1)e ax ax C a-+ 125.e d n ax x x ⎰=11e e d n ax n ax n x x x a a --⎰ 126.d x xa x ⎰=21ln (ln )x x x a a C a a -+ 127.d n x x a x ⎰=11d ln ln n x n x n x a x a x a a--⎰ 128.e sin d ax bx x ⎰=221e (sin cos )ax a bx b bx C a b-++ 129.e cos d ax bx x ⎰=221e (sin cos )ax b bx a bx C a b+++ 130.e sin d ax n bx x ⎰=12221e sin (sin cos )ax n bx a bx nb bx a b n --+ 22222(1)e sin d ax n n n b bx x a b n --++⎰131.e cos d ax n bx x ⎰=12221e cos (cos sin )ax n bx a bx nb bx a b n-++ 22222(1)e cos d ax n n n b bx x a b n--++⎰ (十四)含有对数函数的积分132.ln d x x ⎰=ln x x x C -+ 133.d ln x x x ⎰=ln ln x C +134.ln d n x x x ⎰=111(ln )11n x x C n n +-+++135.(ln )d nx x ⎰=1(ln )(ln )d n nx x n x x --⎰136.(ln )d m nx x x ⎰=111(ln )(ln )d 11m n m n nx x x x x m m +--++⎰ (十五)含有双曲函数的积分 137.sh d x x ⎰=ch x C + 138.ch d x x ⎰=sh x C + 139.th d x x ⎰=lnch x C +140.2sh d x x ⎰=1sh224x x C -++ 141.2ch d x x ⎰=1sh224x x C ++(十六)定积分 142.cos d nx x π-π⎰=sin d nx x π-π⎰=0143.cos sin d mx nx x π-π⎰=0144.cos cos d mx nx x π-π⎰=0,,m nm n ≠⎧⎨π=⎩145.sin sin d mx nx x π-π⎰=0,,m n m n≠⎧⎨π=⎩ 146.sin sin d mx nx x π⎰=0cos cos d mx nx x π⎰=0,,2m n m n ≠⎧⎪⎨π=⎪⎩147. =20sin d nx x π⎰=20cos d n x x π⎰=21n n I n-- 1342253n n n I n n --=⋅⋅⋅⋅- (为大于1的正奇数),=113312422n n n I n n --π=⋅⋅⋅⋅⋅-(为正偶数),=2π换元积分法一、第一换元积分法(凑微分法).二、常用凑微分公式注: 以上使用的多为三角代换, 三角代换的目的是化掉根式, 其一般规律如下: 当被积函数中含有a) 可令b) 可令c) 可令当有理分式函数中分母的阶较高时, 常采用倒代换.三、第二换元积分法,例题:凑微分法例1求不定积分.例2 求不定分例3计算不定积分.例4 计算不定积分例5求不定积分.例6 求下列不定积分(1) (2)例7 求下列不定积分:(1) ; (2)例8 求下列不定积分:(1) ; (2)例9求不定积分.例10 求下列不定积分:(1) ; (2)例11求下列不定积分(1) (2)例12求不定积分.例13求不定积分.例14求下列不定积分:(1) (2)例15 求下列不定积分:(1) (2)例16求不定积分.例17求.例18 用换元法求不定积分例19 试用换元法求不定积分例20试用换元法求不定积分例21求不定积分.例22 求不定积分第二换元法例23求不定积分例24求不定积分例25计算.例26 求不定积分例27求不定积分例28求不定积分.例29求不定积分例30求不定积分.例31求不定积分. 练习:求下列不定积分2.设, 求基本积分表1、⎰+=c kx kdx2、⎰++=+c a x dx x a a113、⎰+=c x dx x ln 14、⎰+=+c x dx x arctan 1125、⎰+=-c x dx xarcsin 1126、⎰+=c x xdx sin cos7、⎰+-=c x xdx cos sin8、⎰⎰+==c x xdx dx xtan sec cos 1229、⎰⎰+-==c x xdx dx xcot csc sin 122 10、⎰+=c x xdx x sec tan sec11、⎰+-=c x xdx x csc cot csc12、⎰+=c edx e xx13、⎰+=c aa dx a x xln 14、⎰+=c chx shxdx 其中2xx e e shx --=为双曲正弦函数15、⎰+=c shx chxdx 其中2xx e e chx -+=为双曲余弦函数基本积分表的扩充16、⎰+-=c x xdx cos ln tan17、⎰+=c x xdx sin ln cot18、⎰++=c x x xdx tan sec ln sec19、c xc x x xdx +=+-=⎰2tan ln cot csc ln csc20、⎰+=+c a xa dx xa arctan 1122 21、⎰++-=-c a x a x a dx ax ln 2112222、⎰+-+=-c xa x a a dx x a ln 2112223、⎰+=-c a xdx x a arcsin 12224、⎰+++=+c a x x dx a x 2222ln 1 25、⎰+-+=-c a x x dx a x 2222ln 1sinαsinβ=-[cos(α+β)-cos(α-β)]/2【注意右式前的负号】cosαcosβ=[cos(α+β)+cos(α-β)]/2 sinαcosβ=[sin(α+β)+sin(α-β)]/2cosαsinβ=[sin(α+β)-sin(α-β)]/2sin α+sin β=2sin[(α+β)/2]·cos[(α-β)/2] sin α-sin β=2cos[(α+β)/2]·sin[(α-β)/2]cos α+cos β=2cos[(α+β)/2]·cos[(α-β)/2]cos α-cos β=-2sin[(α+β)/2]·sin[(α-β)/2] 【注意右式前的负号】三角函数公式大全同角三角函数的基本关系倒数关系: tanα ·cotα=1 sinα ·cscα=1 cosα ·secα=1 商的关系:sinα/cosα=tanα=secα/cscα cosα/sinα=cotα=cscα/secα 平方关系:sin^2(α)+cos^2(α)=1 1+tan^2(α)=sec^2(α) 1+cot^2(α)=csc^2(α)平常针对不同条件的常用的两个公式sin² α+cos² α=1 tan α *cot α=1一个特殊公式(sina+sinθ)*(sina+sinθ)=sin(a+θ)*sin(a-θ)证明:(sina+sinθ)*(sina+sinθ)=2 sin[(θ+a)/2] cos[(a-θ)/2] *2 cos[(θ+a)/2] sin[(a-θ)/2] =sin (a+θ)*sin(a-θ)锐角三角函数公式正弦:sin α=∠α的对边/∠α 的斜边余弦:cos α=∠α的邻边/∠α的斜边正切:tan α=∠α的对边/∠α的邻边余切:cot α=∠α的邻边/∠α的对边二倍角公式正弦sin2A=2sinA·cosA 余弦 1.Cos2a=Cos^2(a)-Sin^2(a)=2Cos^2(a)-1 =1-2Sin^2(a) 2.Cos2a=1-2Sin^2(a) 3.Cos2a=2Cos^2(a)-1 正切tan2A=(2tanA)/(1-tan^2(A))三倍角公式sin3α=4sinα·sin(π/3+α)sin(π/3-α) cos3α=4cosα·cos(π/3+α)cos(π/3-α)tan3a = tan a · tan(π/3+a)· tan(π/3-a) 半角公式tan(A/2)=(1-cosA)/sinA=sinA/(1+cosA);cot(A/2)=sinA/(1-cosA)=(1+cosA)/sinA. sin^2(a/2)=(1-cos(a))/2cos^2(a/2)=(1+cos(a))/2 tan(a/2)=(1-cos(a))/sin(a)=sin(a)/(1+cos(a))和差化积sinθ+sinφ = 2 sin[(θ+φ)/2] cos[(θ-φ)/2]sinθ-sinφ = 2 cos[(θ+φ)/2] sin[(θ-φ)/2] cosθ+cosφ = 2 cos[(θ+φ)/2]cos[(θ-φ)/2] cosθ-cosφ = -2 sin[(θ+φ)/2] sin[(θ-φ)/2]tanA+tanB=sin(A+B)/cosAcosB=tan(A+B)(1-tanAtanB)tanA-tanB=sin(A-B)/cosAcosB=tan(A-B)(1+tanAtanB)两角和公式cos(α+β)=cosαcosβ-sinαsinβcos(α-β)=cosαcosβ+sinαsinβsin(α+β)=sinαcosβ+ cosαsinβsin(α-β)=sinαcosβ -cosαsinβ积化和差sinαsinβ = [cos(α-β)-cos(α+β)] /2 cosαcosβ = [cos(α+β)+cos(α-β)]/2sinαcosβ = [sin(α+β)+sin(α-β)]/2 cosαsinβ = [sin(α+β)-sin(α-β)]/2双曲函数sinh(a) = [e^a-e^(-a)]/2 cosh(a) = [e^a+e^(-a)]/2 tanh(a) = sin h(a)/cos h(a) 公式一:设α为任意角,终边相同的角的同一三角函数的值相等:sin(2kπ+α)= sinα cos(2kπ+α)= cosα tan(2kπ+α)= tanα cot (2kπ+α)= cotα 公式二:设α为任意角,π+α的三角函数值与α的三角函数值之间的关系:sin(π+α)= -sinα cos(π+α)= -cosα tan(π+α)= tanα cot(π+α)= cotα 公式三:任意角α与-α的三角函数值之间的关系:sin(-α)= -sinα cos(-α)= cosα tan(-α)= -tanα cot (-α)= -cotα 公式四:利用公式二和公式三可以得到π-α与α的三角函数值之间的关系:sin(π-α)= sinα cos(π-α)= -cosα tan(π-α)= -tanα cot(π-α)= -cotα 公式五:利用公式-和公式三可以得到2π-α与α的三角函数值之间的关系:sin(2π-α)= -sinα cos(2π-α)= cosα tan(2π-α)= -tanα cot(2π-α)= -cotα 公式六:π/2±α及3π/2±α与α的三角函数值之间的关系:sin(π/2+α)= cosα cos(π/2+α)= -sinα tan(π/2+α)= -cotα cot(π/2+α)= -tanα sin(π/2-α)= cosα cos(π/2-α)= sinα tan (π/2-α)= cotα cot(π/2-α)= tanα sin(3π/2+α)= -cosα cos(3π/2+α)= sinα tan(3π/2+α)= -cotα cot(3π/2+α)= -tanα sin(3π/2-α)= -c osα cos(3π/2-α)= -sinα tan(3π/2-α)= cotα cot(3π/2-α)= tanα (以上k∈Z) A·sin(ωt+θ)+ B·sin(ωt+φ) = √{(A² +B² +2ABcos(θ-φ)} · sin{ ωt + arcsin[ (A·sinθ+B·sinφ) / √{A^2 +B^2; +2ABcos(θ-φ)} } √表示根号,包括{……}中的内容诱导公式sin(-α) = -sinα cos(-α) = cosα tan (-α)=-tanα sin(π/2-α) = cosα cos(π/2-α) = sinα sin(π/2+α) = cosα cos(π/2+α) = -sinα sin(π-α) = sinα cos(π-α) = -cosα sin(π+α) = -sinα cos(π+α) = -cosα tanA= sinA/cosA tan(π/2+α)=-cotα tan(π/2-α)=cotα tan(π-α)=-tanα tan(π+α)=ta nα 诱导公式记背诀窍:奇变偶不变,符号看象限万能公式sinα=2tan(α/2)/[1+(tan(α/2))²] cosα=[1-(tan(α/2))²]/[1+(tan(α/2))²]tanα=2tan(α/2)/[1-(tan(α/2))²]其它公式(1) (sinα)²+(cosα)²=1 (2)1+(tanα)²=(secα)² (3)1+(cotα)²=(cscα)² 证明下面两式,只需将一式,左右同除(sinα)²,第二个除(cosα)²即可(4)对于任意非直角三角形,总有tanA+tanB+tanC=tanAtanBtanC 证: A+B=π-Ctan(A+B)=tan(π-C) (tanA+tanB)/(1-tanAtanB)=(tanπ-tanC)/(1+tanπtanC)整理可得tanA+tanB+tanC=tanAtanBtanC 得证同样可以得证,当x+y+z=nπ(n∈Z)时,该关系式也成立由tanA+tanB+tanC=tanAtanBtanC可得出以下结论(5)cotAcotB+cotAcotC+cotBcotC=1(6)cot(A/2)+cot(B/2)+cot(C/2)=cot(A/2)cot(B/2)cot(C/2) (7)(cosA)²+(cosB)²+(cosC)²=1-2cosAcosBcosC (8)(sinA)²+(sinB)²+(sinC)²=2+2cosAcosBcosC 其他非重点三角函数csc(a) = 1/sin(a) sec(a) =1/cos(a)编辑本段内容规律三角函数看似很多,很复杂,但只要掌握了三角函数的本质及内部规律就会发现三角函数各个公式之间有强大的联系。
22kdx = kx + ca + 1 x a dx = x + c a + 11dx = ln x + cx 1 dx = arctan x + c1+x 2 1-1x 2 dx =arcsin x +ccos xdx = sin x + csin xdx = -cos x +c 1 dx = sec 2xdx =tan x +c cos 2 x 1 dx = csc 2 xdx = -cot x +c sin 2 x sec x tan xdx =sec x +c csc x cot xdx = -csc x +c xx e x dx = e x + cx a x dx = a + c ln a基本积分表1、 2、 3、 4、 5、 6、 7、 8、9、 10、 11、12、 13、 14、 15、shxdx = chx + c 其中 shxx - x e x - e -x chxdx = shx + c其中chx x - x e x + e -x 为双曲正弦函数 为双曲余弦函数基本积分表的扩充16、 tan xdx = -ln cos x +c17、 cot xdx = ln sin x +c18、 sec xdx = ln sec x + tan x +c19、 csc xdx = ln csc x - cot x + c = ln tan x + c2-x 24、 1 dx = ln x + x 2 + a 2 + c x2 + a 2 25、 1 dx = ln x + x 2 -a 2 + c x 2 - a 2sinαsinβ=-[cos(α+β)-cos(α-β)]/2【注意右式前的负号】cosαcosβ=[cos(α+β)+cos(α-β)]/2sinαcosβ=[sin(α+β)+sin(α-β)]/2cosαsinβ=[sin(α+β)-sin(α-β)]/2sin α+sin β=2sin[(α+β)/2]·cos[(α-β)/2] sin α-sinβ=2cos[(α+β)/2]·sin[(α-β)/2]cos α+cos β=2cos[( α+β)/2]·cos[(α-β)/2]cos α-cos β=-2sin[(α+β)/2]·sin[(α-β)/2] 【注 意右式 前的负号】20、1 dx = a2 + x 2 1x arctan + c aa22、 23、 22 a 2 - x 2dx = dx 1 ln 2a 1 ln 2a x -a x +a a +x a -x +c +c dx = arcsin + c 21、三角函数公式大全同角三角函数的基本关系倒数关系: tanα ·cotα =1 sinα ·cscα =1 cosα ·secα =1 商的关系:sinα/cosα=tanα=secα/cscα cosα/sinα=cotα=cscα/secα平方关系:sin^2(α)+cos^2(α)=1 1+tan^2(α)=sec^2(α) 1+cot^2(α)=csc^2(α) 平常针对不同条件的常用的两个公式sin² α+cos² α=1 tan α *cot α=1 一个特殊公式(sina+sinθ )*(sina+sinθ )=sin(a+θ )*sin(a-θ) 证明:(sina+sinθ)*(sina+sinθ)=2 sin[(θ+a)/2] cos[(a-θ)/2] *2 cos[(θ+a)/2] sin[(a-θ)/2] =sin(a+θ)*sin(a-θ) 锐角三角函数公式正弦:sin α= ∠ α的对边/ ∠ α的斜边余弦:cos α= ∠ α的邻边/∠ α的斜边正切:tan α=∠α的对边/∠α的邻边余切:cot α=∠α的邻边/∠α的对边二倍角公式正弦sin2A=2sinA·cosA 余弦 1.Cos2a=Cos^2(a)-Sin^2(a) =2Cos^2(a)-1 =1-2Sin^2(a) 2.Cos2a=1-2Sin^2(a) 3.Cos2a=2Cos^2(a)-1 正切tan2A=(2tanA)/(1-tan^2(A)) 三倍角公式sin3α=4sinα·sin(π/3+α)sin(π/3-α) cos3α=4cosα·cos(π/3+α)cos(π/3-α) tan3a = tan a · tan(π/3+a)· tan(π/3-a) 半角公式tan(A/2)=(1-cosA)/sinA=sinA/(1+cosA); cot(A/2)=sinA/(1-cosA)=(1+cosA)/sinA. sin^2(a/2)=(1-cos(a))/2 cos^2(a/2)=(1+cos(a))/2tan(a/2)=(1-cos(a))/sin(a)=sin(a)/(1+cos(a)) 和差化积sinθ+sinφ = 2 sin[(θ+φ)/2] cos[(θ-φ)/2]sinθ-sinφ = 2 cos[(θ+φ)/2] sin[(θ-φ)/2] cosθ+cosφ = 2 cos[(θ+φ)/2] cos[(θ-φ)/2] cosθ-cosφ = -2 sin[(θ+φ)/2] sin[(θ-φ)/2]tanA+tanB=sin(A+B)/cosAcosB=tan(A+B)(1-tanAtanB) tanA-tanB=sin(A-B)/cosAcosB=tan(A-B)(1+tanAtanB) 两角和公式cos(α+β)=cosαcosβ-sinαsinβcos(α-β)=cosαcosβ+sinαsinβsin(α+β)=sinαcosβ+ cosαsinβsin(α-β)=sinαcosβ -cosαsinβ积化和差sinαsinβ = [cos(α-β)-cos(α+β)] /2 cosαcosβ = [cos(α+β)+cos(α-β)]/2 sinαcosβ = [sin(α+β)+sin(α-β)]/2 cosαsinβ = [sin(α+β)-sin(α-β)]/2 双曲函数sinh(a) = [e^a-e^(-a)]/2 cosh(a) = [e^a+e^(-a)]/2 tanh(a) = sin h(a)/cos h(a) 公式一:设α 为任意角,终边相同的角的同一三角函数的值相等:sin(2kπ+α)= sinαcos(2kπ+α)= cosα tan(2kπ+α)= tanαcot (2kπ+α)= cotα 公式二:设α 为任意角,π+α 的三角函数值与α 的三角函数值之间的关系:sin(π+α)= -sinαcos(π+α)= -cosα tan(π+α)= tanα cot(π+α)= cotα 公式三:任意角α 与-α 的三角函数值之间的关系:sin(-α)= -sinα cos(-α)= cosα tan(-α)= -tanα cot (-α)= -cotα公式四:利用公式二和公式三可以得到π-α 与α 的三角函数值之间的关系:sin(π-α)= sinαcos(π-α)= -cosα tan(π-α)= -tanαcot(π-α)= -cotα公式五:利用公式-和公式三可以得到2π-α 与α 的三角函数值之间的关系:sin(2π-α)= -sinα cos(2π-α)= cosα tan(2π-α) = -tanαcot(2π-α)= -cotα 公式六:π/2±α 及3π/2±α 与α 的三角函数值之间的关系:sin(π/2+α)= cosα cos(π/2+α)= -sinαtan(π/2+α)= -cotα co(t π/2+α )= -tanα sin(π/2-α)= cosα cos(π/2-α)= sinα tan (π/2-α)= cotαcot(π/2-α)= tanα sin(3π/2+α)= -cosα cos(3π/2+α)= sinα tan(3π/2+α)= -cotαcot(3π/2+α)= -tanαsin(3π/2-α)= -cosαcos(3π/2-α)= -sinα tan(3π/2-α)= cotα cot(3π/2-α)= tanα (以上k∈Z)A·sin(ωt+θ)+ B·sin(ωt+φ) = √{(A² +B² +2ABcos(θ-φ)} · sin{ ωt +arcsin[ (A·sinθ+B·sinφ) / √{A^2 +B^2; +2ABcos(θ-φ)} } √表示根号,包括{……} 中的内容诱导公式sin(-α) = -sinα cos(-α) = cosα tan (-α)=-tanα sin(π/2-α) = cosα cos(π/2-α) = sinα sin(π/2+α) = cosα cos(π/2+α) = -sinα sin(π-α) = sinα cos(π-α) = -cosα sin(π+α) = -sinα cos(π+α) = -cosα tanA= sinA/cosA tan(π/2+α)=-cotα tan(π/2-α)=cotαtan(π-α)=-tanαtan(π+α)=tanα诱导公式记背诀窍:奇变偶不变,符号看象限万能公式sinα=2tan(α/2)/[1+(tan(α/2))²] cosα=[1-(tan(α/2))²]/[1+(tan(α/2))²]tanα=2tan(α/2)/[1-(tan(α/2))²] 其它公式(1) (sinα)²+(cosα)²=1 (2)1+(tanα)²=(secα)² (3)1+(cotα)²=(cscα)² 证明下面两式,只需将一式,左右同除(sinα)²,第二个除(cosα)²即可(4)对于任意非直角三角形,总有tanA+tanB+tanC=tanAtanBtanC 证: A+B=π-Ctan(A+B)=tan(π-C) (tanA+tanB)/(1-tanAtanB)=(tanπ-tanC)/(1+tanπtanC) 整理可得tanA+tanB+tanC=tanAtanBtanC 得证同样可以得证,当x+y+z=nπ(n∈Z)时,该关系式也成立由tanA+tanB+tanC=tanAtanBtanC 可得出以下结论(5)cotAcotB+cotAcotC+cotBcotC=1(6)cot(A/2)+cot(B/2)+cot(C/2)=cot(A/2)cot(B/2)cot(C/2) (7)(cosA)²+(cosB)²+(cosC)²=1-2cosAcosBcosC (8)(sinA)²+ (sinB)²+ (sinC)²=2+2cosAcosBcosC 其他非重点三角函数csc(a) = 1/sin(a) sec(a) =1/cos(a)编辑本段内容规律三角函数看似很多,很复杂,但只要掌握了三角函数的本质及内部规律就会发现三角函数各个公式之间有强大的联系。
常 用 积 分 公 式(一)含有ax b +的积分(0a ≠)1.d x ax b +⎰=1ln ax b C a ++2.()d ax b x μ+⎰=11()(1)ax b C a μμ++++(1μ≠-) 3.d x x ax b +⎰=21(ln )ax b b ax b C a +-++4.2d x x ax b +⎰=22311()2()ln 2ax b b ax b b ax b C a ⎡⎤+-++++⎢⎥⎣⎦5.d ()x x ax b +⎰=1ln ax b C b x +-+6.2d ()x x ax b +⎰=21ln a ax b C bx b x +-++ 7.2d ()x x ax b +⎰=21(ln )b ax b C a ax b++++ 8.22d ()x x ax b +⎰=231(2ln )b ax b b ax b C a ax b+-+-++ 9.2d ()x x ax b +⎰=211ln ()ax b C b ax b b x +-++的积分10.x C11.x ⎰=22(3215ax b C a-+12.x x ⎰=22232(15128105a x abx b C a -+13.x=22(23ax b C a -+14.2x=22232(34815a x abx b C a -+15.=(0)(0)C b C b ⎧+>+< 16.=2a bx b -- 17.x=b + 18.x=2a x -+ (三)含有22x a ±的积分19.22d x x a +⎰=1arctan x C a a+ 20.22d ()n x x a +⎰=2221222123d 2(1)()2(1)()n n x n x n a x a n a x a ---+-+-+⎰21.22d x x a -⎰=1ln 2x a C a x a -++(四)含有2(0)ax b a +>的积分22.2d x ax b +⎰=(0)(0)x C b C b ⎧+>⎪⎪⎨+< 23.2d x x ax b +⎰=21ln 2ax b C a ++24.22d x x ax b +⎰=2d x b x a a ax b-+⎰ 25.2d ()x x ax b +⎰=221ln 2x C b ax b++ 26.22d ()x x ax b +⎰=21d a x bx b ax b --+⎰27.32d ()x x ax b +⎰=22221ln 22ax b a C b x bx +-+28.22d ()x ax b +⎰=221d 2()2xxb ax b b ax b +++⎰(五)含有2ax bx c ++(0)a >的积分29.2d x ax bx c ++⎰=22(4)(4)Cb ac Cb ac +<+> 30.2d xx ax bx c ++⎰=221d ln 22b xax bx c a a ax bx c++-++⎰(0)a >的积分31.=1arsh x C a +=ln(x C +32.C +33.xC +34.x=C +35.2x2ln(2ax C -++36.2x=ln(x C +++37.=1ln aC a x +38.C +39.x2ln(2ax C +++40.x =2243(25ln(88x x a a x C +++41.x ⎰C42.x x ⎰=422(2ln(88x a x a x C +-++43.d x x ⎰a C +44.2d x x ⎰=ln(x C x -+++(0)a >的积分45.=1arch x x C x a+=ln x C ++ 46.C +47.x C48.x =C +49.2x 2ln 2a x C ++50.2x =ln x C +++ 51.=1arccos a C a x+52.C +53.x 2ln 2a x C ++54.x =2243(25ln 88x x a a x C -+55.x ⎰C56.x x ⎰=422(2ln 88x a x a x C --++57.x arccos a a C x +58.x =ln x C +++(0)a >的积分59.=arcsin x C a+ 60.C +61.x =C62.x C +63.2x =2arcsin 2a x C a + 64.2x arcsin x C a -+65.=1ln a C a x -+66.C +67.x 2arcsin 2a x C a +68.x =2243(52arcsin 88x x a x a C a-++69.x ⎰=C70.x x ⎰=422(2arcsin 88x a x x a C a -++71.d x x ⎰a C +72.x =arcsin x C a -+(0)a >的积分73.2ax b C +++74.x 22ax b C ++++75.x2ax b C -+++ 76.=C +77.x 2C +78.x =C +79.x =((x b b a C --+80.x =(()arcsin x b b a C --81.C +()a b <82.x 2()4b a C -()a b <(十一)含有三角函数的积分83.sin d x x ⎰=cos x C -+84.cos d x x ⎰=sin x C +85.tan d x x ⎰=ln cos x C -+86.cot d x x ⎰=ln sin x C +87.sec d x x ⎰=ln tan()42x C π++=ln sec tan x x C ++ 88.csc d x x ⎰=ln tan 2x C +=ln csc cot x x C -+ 89.2sec d x x ⎰=tan x C +90.2csc d x x ⎰=cot x C -+91.sec tan d x x x ⎰=sec x C +92.csc cot d x x x ⎰=csc x C -+ 93.2sin d x x ⎰=1sin 224x x C -+ 94.2cos d x x ⎰=1sin 224x x C ++ 95.sin d n x x ⎰=1211sin cos sin d n n n x x x x n n----+⎰ 96.cos d n x x ⎰=1211cos sin cos d n n n x x x x n n ---+⎰97.d sin n x x ⎰=121cos 2d 1sin 1sin n n x n x n x n x----⋅+--⎰ 98.d cos n x x ⎰=121sin 2d 1cos 1cos n n x n x n x n x---⋅+--⎰ 99.cos sin d m n x x x ⎰=11211cos sin cos sin d m n m n m x x x x x m n m n-+--+++⎰ =11211cos sin cos sin d m n m n n x x x x x m n m n +----+++⎰ 100.sin cos d ax bx x ⎰=11cos()cos()2()2()a b x a b x C a b a b -+--++-101.sin sin d ax bx x ⎰=11sin()sin()2()2()a b x a b x C a b a b -++-++- 102.cos cos d ax bx x ⎰=11sin()sin()2()2()a b x a b x C a b a b ++-++- 103.d sin x a b x +⎰tan x a b C ++22()a b >104.d sin x a b x +⎰C +22()a b < 105.d cos x a b x +⎰)2x C +22()a b >106.d cos x a b x +⎰C +22()a b < 107.2222d cos sin x a x b x +⎰=1arctan(tan )b x C ab a+ 108.2222d cos sin x a x b x -⎰=1tan ln 2tan b x a C ab b x a ++- 109.sin d x ax x ⎰=211sin cos ax x ax C a a-+ 110.2sin d x ax x ⎰=223122cos sin cos x ax x ax ax C a a a-+++ 111.cos d x ax x ⎰=211cos sin ax x ax C a a++ 112.2cos d x ax x ⎰=223122sin cos sin x ax x ax ax C a a a+-+ (十二)含有反三角函数的积分(其中0a >)113.arcsin d x x a ⎰=arcsin x x C a + 114.arcsin d x x x a⎰=22()arcsin 24x a x C a -+ 115.2arcsin d x x x a ⎰=3221arcsin (239x x x a C a +++ 116.arccos d xx a ⎰=arccos x x C a-+117.arccos d x x x a⎰=22()arccos 24x a x C a --+118.2arccos d x x x a ⎰=3221arccos (239x x x a C a -++ 119.arctand x x a ⎰=22arctan ln()2x a x a x C a -++ 120.arctan d x x x a ⎰=221()arctan 22x a a x x C a +-+ 121.2arctan d x x x a ⎰=33222arctan ln()366x x a a x a x C a -+++ (十三)含有指数函数的积分122.d xa x ⎰=1ln x a C a+ 123.e d ax x ⎰=1e ax C a+ 124.e d ax x x ⎰=21(1)e ax ax C a-+ 125.e d n ax x x ⎰=11e e d n ax n ax n x x x a a --⎰ 126.d x xa x ⎰=21ln (ln )x x x a a C a a -+ 127.d n x x a x ⎰=11d ln ln n x n x n x a x a x a a--⎰ 128.e sin d ax bx x ⎰=221e (sin cos )ax a bx b bx C a b-++ 129.e cos d ax bx x ⎰=221e (sin cos )ax b bx a bx C a b+++ 130.e sin d ax n bx x ⎰=12221e sin (sin cos )ax n bx a bx nb bx a b n --+ 22222(1)e sin d ax n n n b bx x a b n --++⎰131.e cos d ax n bx x ⎰=12221e cos (cos sin )ax n bx a bx nb bx a b n-++ 22222(1)e cos d ax n n n b bx x a b n--++⎰ (十四)含有对数函数的积分132.ln d x x ⎰=ln x x x C -+133.d ln x x x ⎰=ln ln x C +134.ln d n x x x ⎰=111(ln )11n x x C n n +-+++ 135.(ln )d n x x ⎰=1(ln )(ln )d n n x x n x x --⎰136.(ln )d m n x x x ⎰=111(ln )(ln )d 11m n m n n x x x x x m m +--++⎰ (十五)含有双曲函数的积分 137.sh d x x ⎰=ch x C +138.ch d x x ⎰=sh x C +139.th d x x ⎰=lnch x C + 140.2sh d x x ⎰=1sh224x x C -++ 141.2ch d x x ⎰=1sh224x x C ++ (十六)定积分142.cos d nx x π-π⎰=sin d nx x π-π⎰=0 143.cos sin d mx nx x π-π⎰=0 144.cos cos d mx nx x π-π⎰=0,,m n m n≠⎧⎨π=⎩ 145.sin sin d mx nx x π-π⎰=0,,m n m n ≠⎧⎨π=⎩146.0sin sin d mx nx x π⎰=0cos cos d mx nx x π⎰=0,,2m n m n ≠⎧⎪⎨π=⎪⎩ 147. n I =20sin d n x x π⎰=2cos d n x x π⎰ n I =21n n I n-- 1342253n n n I n n --=⋅⋅⋅⋅- (n 为大于1的正奇数),1I =1 13312422n n n I n n --π=⋅⋅⋅⋅⋅-(n 为正偶数),0I =2π换元积分法一、第一换元积分法(凑微分法).二、常用凑微分公式注: 以上使用的多为三角代换, 三角代换的目的是化掉根式, 其一般规律如下: 当被积函数中含有a) 可令b) 可令c) 可令当有理分式函数中分母的阶较高时, 常采用倒代换.三、第二换元积分法,例题:凑微分法例1求不定积分.例2 求不定分例3计算不定积分.例4 计算不定积分例5求不定积分.例6 求下列不定积分(1) (2)例7 求下列不定积分:(1) ; (2)例8 求下列不定积分:(1) ; (2)例9求不定积分.例10 求下列不定积分:(1) ; (2)例11求下列不定积分(1) (2)例12求不定积分.例13求不定积分.例14求下列不定积分:(1) (2)例15 求下列不定积分:(1) (2)例16求不定积分.例17求.例18 用换元法求不定积分例19 试用换元法求不定积分例20试用换元法求不定积分例21求不定积分.例22 求不定积分第二换元法例23求不定积分例24求不定积分例25计算.例26 求不定积分例27求不定积分例28求不定积分.例29求不定积分例30求不定积分.例31求不定积分.练习:求下列不定积分2.设, 求精品文档word文档可以编辑!谢谢下载!。
常 用 积 分 公 式(一)含有ax b +的积分(0a ≠)1.d x ax b +⎰=1ln ax b C a ++2.()d ax b x μ+⎰=11()(1)ax b C a μμ++++(1μ≠-) 3.d x x ax b +⎰=21(ln )ax b b ax b C a +-++4.2d x x ax b +⎰=22311()2()ln 2ax b b ax b b ax b C a ⎡⎤+-++++⎢⎥⎣⎦5.d ()x x ax b +⎰=1ln ax b C b x +-+6.2d ()x x ax b +⎰=21ln a ax b C bx b x +-++ 7.2d ()x x ax b +⎰=21(ln )b ax b C a ax b++++ 8.22d ()x x ax b +⎰=231(2ln )b ax b b ax b C a ax b+-+-++ 9.2d ()x x ax b +⎰=211ln ()ax b C b ax b b x +-++的积分10.x C +11.x ⎰=22(3215ax b C a-12.x x ⎰=22232(15128105a x abx b C a -+13.x=22(23ax b C a -14.2x⎰=22232(34815a x abx b C a -+15.=(0)(0)C b C b ⎧+>< 16.2a bx b -- 17.x ⎰=b ⎰18.2d x x ⎰=2a + (三)含有22x a ±的积分19.22d x x a +⎰=1arctan x C a a + 20.22d ()n x x a +⎰=2221222123d 2(1)()2(1)()n n x n x n a x a n a x a ---+-+-+⎰21.22d x x a -⎰=1ln 2x a C a x a -++(四)含有2(0)ax b a +>的积分22.2d x ax b +⎰=(0)(0)C b C b ⎧+>+< 23.2d x x ax b +⎰=21ln 2ax b C a++ 24.22d x x ax b +⎰=2d x b x a a ax b-+⎰ 25.2d ()x x ax b +⎰=221ln 2x C b ax b++ 26.22d ()x x ax b +⎰=21d a x bx b ax b --+⎰27.32d ()x x ax b +⎰=22221ln 22ax b a C b x bx +-+28.22d ()x ax b +⎰=221d 2()2x x b ax b b ax b +++⎰(五)含有2ax bx c ++(0)a >的积分29.2d x ax bx c ++⎰=22(4)(4)C b ac C b ac +<+> 30.2d x x ax bx c ++⎰=221d ln 22b x ax bx c a a ax bx c++-++⎰(0)a >的积分31.=1arsh x C a+=ln(x C ++ 32.C + 33.xC34.x=C +35.2x2ln(2a x C ++ 36.2x=ln(x C +++ 37.⎰1ln a C a x -+ 38.⎰C + 39.x2ln(2a x C ++ 40.x=2243(25ln(88x x a a x C +++ 41.x ⎰C42.x x ⎰=422(2ln(88x a x a x C +++43.x ⎰ln a a C x +44.x ⎰=ln(x C +++(0)a >的积分45.=1arch x x C x a+=ln x C ++ 46.C +47.x C48.x =C +49.2x 2ln 2a x C +++50.2x =ln x C +++ 51.⎰1arccos a C a x +52.⎰=2C a x +53.x 2ln 2a x C ++54.x =2243(25ln 88x x a a x C -++55.x ⎰C56.x x ⎰=422(2ln 88x a x a x C -++58.x ⎰=ln x C +++(0)a >的积分59.=arcsin x C a+ 60.C +61.x =C +62.x C +63.2x =2arcsin 2a x C a + 64.2x arcsin x C a -+65.⎰1ln a C a x -+66.⎰=C +67.x 2arcsin 2a x C a +68.x =2243(52arcsin 88x x a x a C a-+69.x ⎰=C +70.x x ⎰=422(2arcsin 88x a x x a C a -+71.x ⎰a C ++a(0)a >的积分73.2ax b C +++74.x22ax b C ++++75.x2ax b C -+++ 76.=C +77.x 2C +78.x =C +79.x ⎰=((x b b a C --+80.x ⎰=((x b b a C -+-81.⎰=C ()a b <82.x 2()arcsin 4b a C -+ ()a b < (十一)含有三角函数的积分83.sin d x x ⎰=cos x C -+ 84.cos d x x ⎰=sin x C + 85.tan d x x ⎰=ln cos x C -+ 86.cot d x x ⎰=ln sin x C + 87.sec d x x ⎰=ln tan()42x C π++=ln sec tan x x C ++ 88.csc d x x ⎰=ln tan 2x C +=ln csc cot x x C -+ 89.2sec d x x ⎰=tan x C + 90.2csc d x x ⎰=cot x C -+ 91.sec tan d x x x ⎰=sec x C + 92.csc cot d x x x ⎰=csc x C -+93.2sin d x x ⎰=1sin 224x x C -+ 94.2cos d x x ⎰=1sin 224x x C ++ 95.sin d n x x ⎰=1211sin cos sin d n n n x x x x n n----+⎰ 96.cos d n x x ⎰=1211cos sin cos d n n n x x x x n n---+⎰ 97.d sin n x x ⎰=121cos 2d 1sin 1sin n n x n x n x n x ----⋅+--⎰ 98.d cos n x x ⎰=121sin 2d 1cos 1cos n n x n x n x n x---⋅+--⎰ 99.cos sin d m n x x x ⎰=11211cos sin cos sin d m n m n m x x x x x m n m n-+--+++⎰ =11211cos sin cos sin d m n m n n x x x x x m n m n +----+++⎰ 100.sin cos d ax bx x ⎰=11cos()cos()2()2()a b x a b x C a b a b -+--++- 101.sin sin d ax bx x ⎰=11sin()sin()2()2()a b x a b x C a b a b -++-++-102.cos cos d ax bx x ⎰=11sin()sin()2()2()a b x a b x C a b a b ++-++- 103.d sin x a b x +⎰tan x a b C ++22()a b >104.d sin x a b x +⎰C +22()a b < 105.d cos x a b x +⎰)2x C +22()a b >106.d cos x a b x +⎰C +22()a b < 107.2222d cos sin x a x b x +⎰=1arctan(tan )b x C ab a + 108.2222d cos sin x a x b x -⎰=1tan ln 2tan b x a C ab b x a ++-109.sin d x ax x ⎰=211sin cos ax x ax C a a-+ 110.2sin d x ax x ⎰=223122cos sin cos x ax x ax ax C a a a-+++ 111.cos d x ax x ⎰=211cos sin ax x ax C a a++ 112.2cos d x ax x ⎰=223122sin cos sin x ax x ax ax C a a a+-+ (十二)含有反三角函数的积分(其中0a >)113.arcsin d x x a ⎰=arcsin x x C a ++ 114.arcsin d x x x a⎰=22()arcsin 24x a x C a - 115.2arcsin d x x x a ⎰=3221arcsin (239x x x a C a ++ 116.arccos d xx a ⎰=arccos x x C a117.arccos d x x x a⎰=22()arccos 24x a x C a --118.2arccos d x x x a ⎰=3221arccos (239x x x a C a -+ 119.arctand x x a ⎰=22arctan ln()2x a x a x C a -++ 120.arctan d x x x a ⎰=221()arctan 22x a a x x C a +-+ 121.2arctan d x x x a ⎰=33222arctan ln()366x x a a x a x C a -+++ (十三)含有指数函数的积分122.d xa x ⎰=1ln x a C a+ 123.e d ax x ⎰=1e ax C a+ 124.e d ax x x ⎰=21(1)e ax ax C a-+ 125.e d n ax x x ⎰=11e e d n ax n ax n x x x a a --⎰ 126.d x xa x ⎰=21ln (ln )x x x a a C a a -+ 127.d n xx a x ⎰=11d ln ln n x n x n x a x a x a a--⎰ 128.e sin d ax bx x ⎰=221e (sin cos )ax a bx b bx C a b-++ 129.e cos d ax bx x ⎰=221e (sin cos )ax b bx a bx C a b+++ 130.e sin d ax n bx x ⎰=12221e sin (sin cos )ax n bx a bx nb bx a b n --+ 22222(1)e sin d ax n n n b bx x a b n --++⎰131.e cos d ax n bx x ⎰=12221e cos (cos sin )ax n bx a bx nb bx a b n-++ 22222(1)e cos d ax n n n b bx x a b n--++⎰ (十四)含有对数函数的积分132.ln d x x ⎰=ln x x x C -+ 133.d ln x x x ⎰=ln ln x C +134.ln d n x x x ⎰=111(ln )11n x x C n n +-+++135.(ln )d n x x ⎰=1(ln )(ln )d n n x x n x x --⎰136.(ln )d m n x x x ⎰=111(ln )(ln )d 11m n m n n x x x x x m m +--++⎰ (十五)含有双曲函数的积分 137.sh d x x ⎰=ch x C +138.ch d x x ⎰=sh x C + 139.th d x x ⎰=lnch x C +140.2sh d x x ⎰=1sh224x x C -++ 141.2ch d x x ⎰=1sh224x x C ++ (十六)定积分142.cos d nx x π-π⎰=sin d nx x π-π⎰=0 143.cos sin d mx nx x π-π⎰=0144.cos cos d mx nx x π-π⎰=0,,m n m n ≠⎧⎨π=⎩ 145.sin sin d mx nx x π-π⎰=0,,m n m n ≠⎧⎨π=⎩ 146.0sin sin d mx nx x π⎰=0cos cos d mx nx x π⎰=0,,2m n m n ≠⎧⎪⎨π=⎪⎩ 147. n I =20sin d n x x π⎰=20cos d n x x π⎰ n I =21n n I n-- 1342253n n n I n n --=⋅⋅⋅⋅-L (n 为大于1的正奇数),1I =1 13312422n n n I n n --π=⋅⋅⋅⋅⋅-L (n 为正偶数),0I =2π换 元 积 分 法一、第一换元积分法(凑微分法).二、常用凑微分公式注: 以上使用的多为三角代换, 三角代换的目的是化掉根式, 其一般规律如下: 当被积函数中含有a) 可令b) 可令c) 可令当有理分式函数中分母的阶较高时, 常采用倒代换.三、第二换元积分法,例题:凑微分法例1求不定积分.例2 求不定分例3计算不定积分.例4 计算不定积分例5求不定积分.例6 求下列不定积分(1) (2)例7 求下列不定积分:(1) ; (2)例8 求下列不定积分:(1) ; (2)例9求不定积分.例10 求下列不定积分:(1) ; (2)例11求下列不定积分(1) (2)例12求不定积分.例13求不定积分.例14求下列不定积分:(1) (2)例15 求下列不定积分:(1) (2)例16求不定积分.例17求.例18 用换元法求不定积分例19 试用换元法求不定积分例20试用换元法求不定积分例21求不定积分.例22 求不定积分第二换元法例23求不定积分例24求不定积分例25计算.例26 求不定积分例27求不定积分例28求不定积分.例29求不定积分例30求不定积分.例31求不定积分.练习:求下列不定积分2.设, 求如有侵权请联系告知删除,感谢你们的配合!。