(完整版)常用函数积分表(增强版)
- 格式:doc
- 大小:112.34 KB
- 文档页数:17
高等数学常用积分表高等数学常用的积分表是大家在学习高等数学的过程中经常使用的工具。
下面将为大家介绍一些常见的积分表和一些常用的积分公式,以供大家参考。
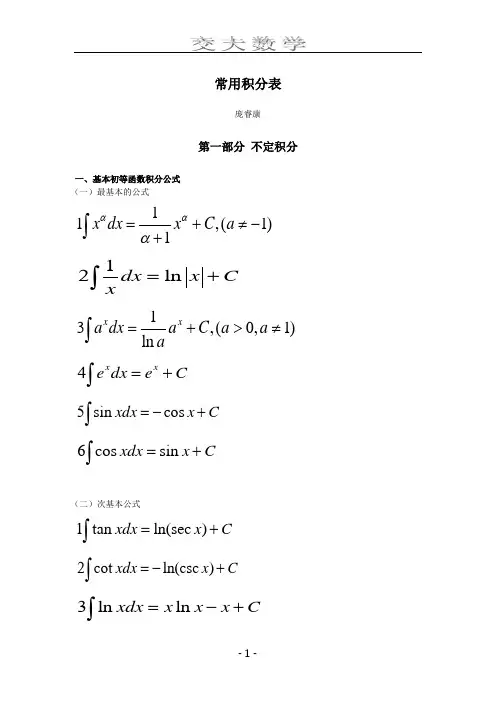
1. 幂函数及其积分(1) 幂函数求积分的基本公式:∫ x^n dx = (x^(n+1)) / (n+1) + C (n≠-1)其中,C为常数。
(2) 常见的幂函数积分:∫ x dx = (x^2) / 2 + C∫ x^n dx = (x^(n+1)) / (n+1) + C (n≠-1)∫ (1/x) dx = ln|x| + C∫ e^x dx = e^x + C∫ a^x dx = (a^x) / ln(a) + C (a>0, a≠1)∫ sinx dx = -cosx + C∫ cosx dx = sinx + C∫ sec^2x dx = tanx + C∫ csc^2x dx = -cotx + C∫ secx * tanx dx = secx + C∫ cscx * cotx dx = -cscx + C2. 三角函数及其积分(1) 基本三角函数和其逆函数的积分公式:∫ sinx dx = -cosx + C∫ cosx dx = sinx + C∫ sec^2x dx = tanx + C∫ csc^2x dx = -cotx + C∫ secx * tanx dx = secx + C∫ cscx * cotx dx = -cscx + C∫ dx / (1+x^2) = arctanx + C∫ dx / sqrt(1-x^2) = arcsinx + C∫ dx / (x sqrt(x^2-1)) = arcsecx + C (2) 积分中的三角函数恒等式:∫ sin^2x dx = (x/2) - (sin2x/4) + C∫ cos^2x dx = (x/2) + (sin2x/4) + C ∫ sin^3x dx = -(cos^3x)/3 + cosx + C ∫ cos^3x dx = (sin^3x)/3 + sinx + C 3. 指数函数及其积分(1) 指数函数的积分公式:∫ e^x dx = e^x + C∫ a^x dx = (a^x) / ln(a) + C (a>0, a≠1) (2) 指数函数的变换公式:∫ e^(ax) dx = (e^(ax)) / a + C4. 对数函数及其积分(1) 对数函数的积分公式:∫ ln(x) dx = xln(x) - x + C5. 三角函数与指数函数的积分(1) 涉及三角函数与指数函数积分的公式:∫ sin(ax) * cos(bx) dx = (sin((a-b)x))/(2(a-b)) +(sin((a+b)x))/(2(a+b)) + C∫ sin(ax) * e^(bx) dx = (a e^(bx) sin(ax) - b e^(bx) cos(ax)) /(a^2+b^2) + C∫ cos(ax) * e^(bx) dx = (b e^(bx) sin(ax) + a e^(bx) cos(ax)) /(a^2+b^2) + C以上是高等数学常用的积分表的一些内容,希望能够对大家学习高等数学中的积分有所帮助。
函数积分公式表函数积分公式表1. 常数函数积分公式∫c dx = cx + C(其中c为常数,C为任意常数)2. 幂函数积分公式∫x^n dx = (1/(n+1))x^(n+1) + C (其中n为实数,C为任意常数)3. 正弦函数积分公式∫sin(x) dx = -cos(x) + C (其中C为任意常数)4. 余弦函数积分公式∫cos(x) dx = sin(x) + C (其中C为任意常数)5. 指数函数积分公式∫e^x dx = e^x + C (其中C为任意常数)6. 对数函数积分公式∫(1/x)dx = ln|x| + C (其中C为任意常数)7. 三角函数积分公式(a) ∫tan(x) dx = ln|sec(x)| + C (其中C为任意常数)(b) ∫cot(x) dx = ln|sin(x)| + C (其中C为任意常数)(c) ∫sec(x) dx = ln|sec(x) + tan(x)| + C (其中C为任意常数)(d) ∫csc(x) dx = ln|csc(x) - cot(x)| + C (其中C为任意常数)8. 三角函数的积分公式(a) ∫ sin^n(x) cos^m(x) dx (其中m和n为非负整数,且其中至少一个为奇数。
详细公式略。
)(b) ∫ e^x sin(x) dx = (1/2)(e^x sin(x) - e^x cos(x)) + C(其中C为任意常数)(c) ∫ e^x cos(x) dx = (1/2)(e^x sin(x) + e^x cos(x)) + C(其中C为任意常数)9. 分部积分法公式∫u(x) v'(x) dx = u(x) v(x) - ∫u'(x) v(x) dx (其中u(x)和v(x)均为可导函数,C为任意常数)10. 代换积分法公式∫f(g(x)) g'(x) dx = ∫f(u) du (其中u=g(x),C为任意常数)。
基本积分表一、常数函数类1. ∫kdx=kx+C,k为常数,C为任意常数。
2. ∫f(x)+g(x)dx=∫f(x)dx+∫g(x)dx,其中f(x)和g(x)都可以是常数函数。
二、幂函数类1. ∫xn dx=(x^(n+1))/(n+1)+C,其中n≠-1,C为任意常数。
2. ∫x^-1 dx =ln|x|+C。
3. ∫a^xdx=(a^x)/ln(a)+C,其中a>0且a≠1,C为任意常数。
4. ∫e^xdx=e^x+C,其中e≈2.718,C为任意常数。
5. ∫loga(x)dx=xloga(x)-xlna+C,其中a>0且a≠1,C 为任意常数。
6. ∫sin(x)dx=-cos(x)+C,C为任意常数。
7. ∫cos(x)dx=sin(x)+C,C为任意常数。
8. ∫tan(x)dx=-ln|cos(x)|+C,C为任意常数。
9. ∫cot(x)dx=ln|sin(x)|+C,C为任意常数。
10. ∫sec(x)dx=ln|sec(x)+tan(x)|+C,C为任意常数。
11. ∫csc(x)dx=ln|csc(x)-cot(x)|+C,C为任意常数。
三、三角函数类1. ∫sin^2(x)dx=(x/2)-(1/4)sin(2x)+C,C为任意常数。
2. ∫cos^2(x)dx=(x/2)+(1/4)sin(2x)+C,C为任意常数。
3. ∫sin^3(x)dx=-(cos(x))/3+(1/3)cos^3(x)+C,C为任意常数。
4. ∫cos^3(x)dx=(sin(x))/3-(1/3)sin^3(x)+C,C为任意常数。
5. ∫sin(ax)dx=(-cos(ax))/a+C,C为任意常数。
6. ∫co s(ax)dx=(sin(ax))/a+C,C为任意常数。
7. ∫sin(mx)sin(nx)dx=(1/2)[(cos(m-n)x)/(m-n)-(cos(m+n)x)/(m+n)]+C,C为任意常数。
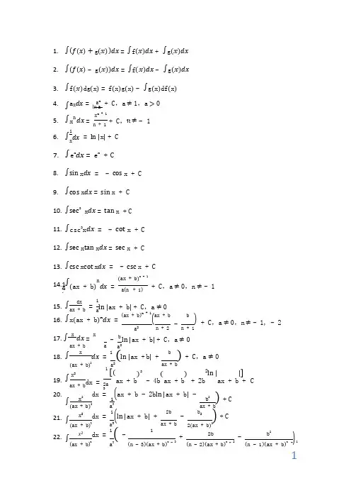
15. = - 1. ∫(f (x ) + g (x ))dx = ∫f (x )dx + ∫g (x )dx 2. ∫(f (x ) - g (x ))dx = ∫f (x )dx - ∫g (x )dx3. ∫f (x )dg (x ) = f (x )g (x ) - ∫g (x )df (x )∫ x a x 4. a dx = ln a+ C ,a ≠ 1,a > 0 ∫ nx n + 15.x dx = n + 1 + C ,n ≠ - 11xdx= ln |x | + C7. ∫e x dx = e x + C8. ∫sin x dx = - cos x + C9. ∫cos x dx = sin x + C10. ∫sec 2 x dx = tan x + C11. ∫csc 2x dx = - cot x + C12. ∫sec x tan x dx = sec x + C13. ∫csc x cot x dx = - csc x + C∫ n(ax + b )n + 114.14. (ax + b ) dx = a (n + 1) + C ,a ≠ 0,n ≠ - 1∫ dxax + b 1 aln |ax + b | + C ,a ≠ 0 16. ∫x (ax + b )ndx =(ax + b )n + 1(ax + bb)+ C ,a≠ 0,n ≠ - 1, - 2 a 2n + 2n + 1 17. ∫xdx = xb - ln |ax + b | + C ,a≠ 0 ax + b aa 218. ∫x dx =1(ln |ax + b | +b) + C ,a ≠ 0(ax + b )2∫ x2a 21[(ax + b)2 ( )2ln | |] 19. ax + bdx = 2a3ax + b - 4b ax + b + 2b ax + b + C20.dx = (ax + b - 2b ln |ax + b | -x 21 b2 )+ C (ax + b )2a 3 ax +b x 221. dx =1(ln |ax + b | +2b - b )+ C(ax + b )3x 222. a 3dx = 1( -1ax + b2(ax + b )22bb 2+-(ax + b )na 3(n - 3)(ax + b )n- 3(n - 2)(ax + b )n- 2(n - 1)(ax + b )n- 16. ∫ ∫ ∫ ∫2 )ax + bbdxx ax + bax + b||2 = - - a 2n +3 a 2n + 3) ( ∫ + C ,n ≠ 1,2,3 23. ∫dx= 1ln| x| + C ,b ≠ 0x (ax + b ) b ax + b 24. ∫ dx = - 1+ a ln |ax + b |+ C x 2(ax + b ) bx b2 x 25. ∫ dx = - a (1 + 1 -2 ln |ax + b|) + Cx 2(ax + b )2b 2(ax + b ) 2ab 2x b 3 x 3 26. ∫x ax + b dx =(3ax - 2b )(ax + b )2 + C15a 22327.∫x 2 ax + b dx =28. ∫( ax + b )n dx = (15a 2x 2- 12abx + 8b 2)(ax + b )2 + C105a 32( ax + b )n + 2a (n + 2)+ C ,a≠ 0,n ≠ - 229. ∫xnax + b dx = 2 3)x n (ax + b )2 - 2nb ( ∫x n - 1 ax + b dx 循环计算 xdx = 2+ b∫ dx= 2x- 2 b arctanh+ C ∫dxxax + b arctan - b+ C ,b < 0 32. ∫= 1lnax + b - b + C ,b > 0ax + b + b 33. xax + b ax+ 2 + C34.34.x n- 3(ax + b )2b (n - 1)x n- 1-(2n - 5)a∫ 2b (n - 1)dx ,n ≠ 1 循35.35. 环计算∫2dx =(x n- bn ∫ )+ C 循环计算36. ∫dxx 2ax + ba= - bx2bax + b ax + bax + b b2- b ax + b x n - 1x nax + b ax + b x n - 1ax + bdxx ax + b 30. ∫a (2n + 1) ∫ax + b+ C ,b≠ 037.37. ∫ dxx n ax + b = - b (n - 1)x n- 1(2n - 3)a ∫ 2b (n - 1) dx ,n ≠ 1 循环计算ax + b x n - 1 -a 2 + x 2 a 2+ x 2a 2+ x 2a 2+ x 2) a 2x a 2 + x 2 a 4x a 2 + x 2a 4x a 2 + x 22n + 1( ( 3 )2 (3 ) ( 3)(3)3 4 38.∫x n ax + b dx =2(x n + 1 39. ∫dx1+ bx n x- nb ∫x n - 1ax + b dx ) + C循环计算a 2+ x 2= a arctan a + C ,a ≠ 0 40. ∫ dx = x1 x + arctan + C ,a ≠ 0 (a2 + x 2)22a 2(a 2+ x 2) 2a 3a41. ∫dx = 1 ln |a + x| + C = 1arc tan h x+ C ,a ≠ 0,|a | > |x |a 2 - x 22a a - x a a42. ∫ dx= x+ 1 ln |x + a| + C(a 2 - x 2)2 2a 2(a 2- x 2) 4a3x - a43. ∫1dx = 1ln|x - a |+ C = - 1arccoth x+ C ,a ≠ 0,|x | > |a |x 2- a 22ax + aaa44. = ln (x + a 2 + x 2) + C45. ∫ xdx = 2 a 2+ x 2a 2+ 2 ln x +) + C x ( a 2+ x 2)346. ∫ a 2 + x 2 + a x+ 34ln (x + a 2 + x 2) + C dx = 4 8 8 55 5 5 47. ∫( 2 2)5 2 ( 2 2)3 46 a + x 624a x a + x + 16a x + 16a ln (x + a 2 + x 2) + C 2n + 348. ∫x ( a 2+ x 2)2n + 12n + 349. ∫ 2x(22)a(x dx = 8 a + 2x - 8ln x + + C x ( a 2+ x 2)5a 6 50. ∫x 2 a 2 + x 2 - - - dx = 6 ln (x + a 2 + x 2) + C 24 16 1651. ∫x 3 a 2 + x 2dx =( a 2+ x 2)55a 2( a 2 + x 2)3- 3+ C ( a 2+ x 2)7 52. ∫x 3 a 2 + x 2 - a 2( a 2 + x 2)5 + Cdx = 7 52n + 5a 2( a 2 + x 2)2n + 3 53. ∫x 3( a 2 + x 2)2n+ 1 + C54. ∫x 4 a 2 + x 2dx = x 3( a 2 + x 2)3 6 2n + 5 a 2x ( a 2 + x 2)3 - 82n + 3 + 16 a 6 + 16 ln (x + a 2 + x 2) + Cx 3( a 2 +x 2)5 55. ∫x 4 a 2 + x 2-a ax +b ax + b a 2+ x2a 2 + x 2 a 2 + x 2a2x(a2 + x2)5a4x(a2+x2)3+dx =8 16 64 1283a6x a2 + x2a 2+x 2) ( a 2+ x 2)3( a 2+ x 2)3 a + a 2 + x 2( a 2+ x 2)5 ( a 2+ x 2)7a 2+ x 2x a 2 + x 2a 2+x 2x 2a 2 - x 2 a 2 - x 2 ( 3 )ln + a - a + x |3 xx2 2 a x- a arcsinh x7 5||x 22 + C =3a 8ln ( + 128 x + + C ( a 2+ x 2)7 2a 2( a 2+ x 2)5 a 4( a 2+ x 2)356. ∫x 5 a 2 + x 2dx = - + + C3 ( a 2+ x 2)957. ∫x 5a 2 + x 2 - 2a 2( a 2 + x 2)7a 4( a 2 + x 2)5 ++ Cdx = 9 7 5 2a 2( a 2 + x 2)2n + 5 a 4( a 2 + x 2)2n + 3 58. ∫x 5( a 2 + x 2)2n + 1 ++ C∫2n + 7|a + a 2 + x2| 2n + 52n + 3a+ C60. ∫ x dx = 3+ a 2 a 2 + x 2- a 3ln |x| + C61. ∫ x dx = ( a 2 + x 2)5 5a 2( a 2 + x 2)34 2 2 53x+ C62. ∫ 7dx =( a 2+ x 2)7 7 a 2( a 2 + x 2)5 + 5a 4( a 2 + x 2)3+ + a 6 a 2 + x 2- a 7 a + a 2 + x 2ln + C ∫ 63.∫ dx = ln (x + a 2 ) - + C a 2x 64. dx = - ln (x +2+ C) + + C = - 2 arcsinh a + 65. ∫dx = - x ∫dx1aln |a + a 2 + x2|+ C = - 1 a aarcsinh x+ C66.x 2a 2 + x= -a 2x+ C ,a≠ 0 ∫ x= arcsin a + C ,a ≠ 0,|x | ≤ |a | ∫ a 2 x 68. dx = + 2 arcsin a+ C ,a ≠ 0,|x | ≤ |a | 69. ∫ a 2 - x 2dx = 1(x - sgn x arccosh |x |)+ C ,|x | ≥ |a |70. ∫x a 2 - x 2dx = - + C ,|x | ≤ |a | x a 2+ x 2a 2+ x 2xa 2 + x 2 a 2 + x 2 a + a 2 + x 2a 2+x 2a 2 + x 2x 2 x 2 a 2 + x 2a 2 + x 2 a 2+ x 2a 2 - x 2 ( a 2- x 2)359. dx = - a ln+ |3x a 2- x 2x 2 - a 2 x 2 - a 2x 2 -a 2| x 2 - a 2 ( x 2- a 2)3x 2- a 2( x 2- a 2)5 3( x 2- a 2)3 ( x 2- a 2)7 5( x 2- a 2)5∫x2 ∫2 n - 2∫ax2 4 ∫ 2a 4x122( 22)≠71. x dx = 8 arcsin a - 8x a - x a - 2x + C ,a 0a 2- x 272. xdx = ∫ - a ln |a + a 2 - x 2| + C ,|x | ≤ |a |x73.73.dx = - arcsin a - + C ,a ≠ 0 74. ∫ dx = a 2x 2 arcsin a - 2+ C ,a ≠ 0,x∫ = - 1ln|a + a 2 - x 2|+ C ,a ≠ 0 ax∫dx76.x 2a 2 - x= -a 2x+ C ,a≠ 0 ∫∫= ln |x + x 2- a 2| + Ca 278.dx = - ln |x + | + C79.∫( x 2 - a 2)n dx = na 2- 2 -≠ - 1 循环n + 1 计算dxx ( x 2 - a 2)2 - nn + 1n - 3 dxdx ,n 80. = +∫ ,n ≠ 2 循环(2 - n )a(2 - n )a ( x 2- a 2)计算81. ∫x ( x 2 - a 2)ndx =( x 2 - a 2)n + 2n + 2+ C ,n ≠ - 2 82. ∫ 2x ( 2 2) a | x dx = 8 2x - a - 8ln x + + C x 2 - a 283. xdx = - a arcsec |x|+ C = - a arccos |a| + C ,a≠ 0 84. ∫ x dx= + C x 2- a 285. ∫x dx=-1+ C86. ∫ x dx = - 1 + C 87. ∫ x dx = - 1+ C88. ∫ x dx( x 2 - a 2)2n + 1 1 = - 2n - 1 + C (2n - 1)( x 2- a 2)a 2 - x 2a 2 -x 2a 2- x 2x 2 a 2- x 2x 2 a 2- x 2a 2 - x 2a 2- x 2x 2 - a 2 x 2 x 2 - a 2 x 2 - a 2x ( x 2- a 2)n x 2 -a 2x 2-a 2 2x 2 - a 2x 2 x 2 - a 2 x 4x 2- a 2x 3x 2 - a 2( x 2- a 2)3a 2x 2 - a 2 x 2- a 22298.= - -+99. = -+ -101.dx = 3 -102. dx =- 63 - + x 2 (89. ∫∫ dx = ln |x + a 2| - + C 90.2 ∫ xdx = ln |x +x | + + C |x + x 2 - a 2| 91. ( x 23dx = -- a 2)+ lna+ C∫3 23 4 |x + x 2 - a 2| 92.dx = 4+ 8a x + 8a ln a+ C∫x 4a 2x3 2 |x + x 2 - a 2|93. ( x 23dx = - - a 2)2+ 2a ln a+ C∫ x4x x 3|x + x 2 - a 2|94. ( x 2 5dx = -- a 2)-3( x 23+ ln+ C- a2)a∫ x 2mdxx 2m - 1 2m - 1∫ x 2m- 295.( x 22n + 1 = -- a 2) (2n - 1)(2n - 1+ x 2- a2)2n - 1 ( x 22n- 1dx + C = - a 2)( - 1)n - m ∑n - m - 1 1(n - m - 1)x2(m + i ) + 1,n> m ≥ 0 a2(n - m ) i = 0 2(m + i ) + 1 i ( x 2 - a 2)2(m + i ) + 196. ∫ dx=-x∫dx1( + C x 3)97. = a 4∫ dx 1(-+ C32x 3x 5)a ∫ dx 1a∫ x 232x 33x353x 55x 77100. 5dx = - 3 + C ∫ x 23a 21(x 3x 5 )∫ x2a 3( x 2- a 2)1x 3a 3( x 2 - a 2) 52x 55x 77103.∫dx= 1arcsec|x | + C ,a ≠ 0104.xax 24 6 x 2 - a 2x 2- a 2x 2x 2 x 2 - a 2x 2 - a 2x 2- a 2x 2 -a 2x x 2 - a 2x 2 - a 2x 2- a 2xx 2- a 2xx 2- a 2xx 2- a 2+ C 8 + C + C + C ())a+ C,a ≠ 0a2x4ac - b24ac - b2b2- 4aca 4ac - b24ac - b2a b2- 4ac b2- 4acaaa105. ∫dx = 2ax2 + bx + carctan 2ax + b ,4ac - b2> 0106. dx 22= arctanh 2ax + b 1= lnax + bx + c,4ac - b2< 0107. ∫dx = - 2,4ac - b2 = 0ax2 + bx + c108.∫dx2ax + b= 1 ln |ax2 + bx + c| - b ∫dx + Cax2 + bx + c 2a 2a ax2 + bx + c109.∫mx + n dx = m ln |ax2 + bx + c| + 2an - bm arctan2ax + b+ C,ax2 + bx + c 2a4ac - b2> 0110.∫mx + n dx = m ln |ax2 + bx + c| + 2an - bm arctan h2ax + b+ C,ax2 + bx + c 2a4ac - b2< 0111.∫mx + n dx = m ln |ax2 + bx + c| -2an - bm+ C,4ac - b2 = 0ax2 + bx + c112.∫dx2a2ax + b=a(2ax + b)(2n - 3)2a+(ax2 + bx + c)n(n - 1)(4ac - b2)(ax2 + bx + c)n-1(n - 1)(4ac - b2)∫dx + C(ax2 + bx + c)n-1113.∫xdx = bx + 2cb(2n - 3)-(ax2 + bx + c)n(n - 1)(4ac - b2)(ax2 + bx + c)n-1(n - 1)(4ac - b2)∫dx + C(ax2 + bx + c)n-1∫dx 1 | x2| b ∫dx114.114. x(ax2 + bx + c)=2c ln ax2 + bx + c-2cax2 + bx + c+ C115.∫dxax2 + bx + c116.∫dxax2 + bx + c= 1 ln |21 2ax + b= arcsinh+ 2ax + b| + C,a > 0+ C,a > 0,4ac - b2> 0117.∫dxax2 + bx + c= 1 ln |2ax + b| + C,a > 0,4ac - b2 = 0118. ∫dx = -ax2 + bx + c2ax + barcsinb2- 4ac+ C,a < 0,4ac - b2< 0119.∫dx( ax2 + bx +c)3120.∫dx(ax2 + bx + c)5b2- 4ac b2- 4ac|2ax + b - b - 4ac22ax + b + b2- 4ac|a2x2 + abx + ac4ac - b21- a∫4ax + 2b=(4ac - b2) ax2 + bx + c = + C1ax2 + bx + c8a+4ac - b2) + C4ax + 2b3(4ac - b2) ax2 + bx + c(1112ax 2+ bx + c ax 2+ bx + ccx bx + 2c|x | 4ac - b 21 - sin x cvs xcvs x 2 2 22 2a( )2 a - b()121.∫ dx ( ax 2+ bx + c )2n + 1 4ax + 2b = 2n - 1 (2n - 1)(4ac - b 2)( ax 2+ bx + c ) 8a (n - 1) + (2n - 1)(4ac - b 2) ∫ dx + C ( ax 2+ bx + c )2n - 1∫ x dx 循环计算b ∫ dx122. 122.= ax + bx + c a - 2a + C ax + bx + c123. ∫ x dx( ax 2+ bx + c )32bx + 4c = - (4ac - b 2) ax 2+ bx + c + C 124. ∫ x dx ( ax 2 + bx + c )2n + 1 1 = -2n - 1 (2n - 1)a ( ax 2+ bx + c )b - 2a ∫ dx + C ( ax 2+ bx + c )2n - 1 125. ∫ dx = - x ax 2+ bx + c 1 2 acx 2 + bcx + c 2+ bx + 2c ln + C126. ∫dxx 1= - arcsinh ) + C127.∫sin 2 xdx = x sin 2x-4+ Cxx∫ ∫ cos 2 + sin 21 + sin x ,其中128. 128.dx = dx = 2 x x, = 2cos 2 - sin 2cvsx 是 conversine 函数∫nsin n- 1ax cos axn - 1∫n - 2129. 129.sin axdx = -an+ nsin axdx + C循环计算∫sin ax∑∞( - 1)i(ax )2i+ 1130. 130. xdx = i = 0(2i + 1)(2i + 1)!+ C131. ∫sin ax dx = -sin ax+ a ∫cos ax x n(n - 1)x n - 1n - 1x n - 1 dx132.∫cos n axdx = 1 cos n - 1axsin ax +n - 1∫cos n - 2axdx + C ,n≥ 2133.∫cos 2xdx = xannsin 2x + 4 + C i2i ∫cos ax ∑∞ ( - 1) (ax )134. 134.x dx = ln |ax | + i - 12i (2i )!,n≠ 1 135.∫cos ax cos ax-a ∫sin ax≠ 1x ndx = - (n - 1)x n- 1n - 1xn - 1dx ,n 136.∫sin ax cos axdx = 1sin 2 ax 137.∫sinax sin bxdx = sin [(a - b )x ]c (s in [(a + b)x]-+ C,a2≠ b22(a + b)1314( )2 a+b ( )2 a -b4a sin dx =sin ( )2 a - baa 42 138. ∫sin ax cos bxdx = - cos [(a + b )x ] cos [(a - b )x ] - 2(a - b ) + C ,a 2 ≠ b 2139. ∫cos ax cos bxdx = sin [(a - b )x ] sin [(a + b )x ] + 2(a + b ) + C ,a 2 ≠ b 2140.∫sin ax cos axdx =- cos 2ax+ C ,a ≠ 0 ∫ nsin n + 1ax141. 141. sin ∫ ax cos axdx = n (n + 1)a + C ,a ≠ 0,n ≠ - 1 cos n+ 1ax142. 142. cos ax sin axdx = - (n + 1)a + C ,a ≠ 0,n ≠ - 1 143. ∫tan axdx = ∫sin ax dx = - 1 |ax | + C ,a ≠ 0cos ax 144. ∫cot axdx = ∫cos ax1aln aln |sin cosax | + C ,a≠ 0 ∫ n m sin n - 1 ax cos m + 1 axn - 1∫n - 2m145. 145.sin ax cos axdx = -a (m + n )+ m + n sinax cos axdx + C =sin n + 1ax cos m- 1axa (m + n )+ m - 1∫ n n + max cos m - 2axdx + C ,a ≠ 0,m + n ≠ 0循环计算 146. ∫sin ax sin bxdx = x sin (a - b )x sin (a + b ) - 2(a + b )+ C ,|a | ≠ |b | ∫ dx sin ax cos ax 1 = a ln |tan ax | + C 148. ∫ dx = 1+ ∫ dx ,n ≠ 1 sin ax cos n a x 149. ∫ dx a (n - 1)cos n - 1 ax 1 = - sin a x cos n - 2a x + ∫ dx,n ≠ 1 cos axsin n ax a (n - 1)s in n - 1 ax co s ax s in n - 2 ax150.∫sin a xdxcos nax 1=a (n - 1)cos n- 1ax+ C ,n≠ 1 sin 2 a xdx 151. 151. = - 1sin ax + 1ln |tan (�� + ax)| + C∫sin 2axdxsin ax1∫dx152. 152. cos n ax= a (n - 1)cos n- 1ax -n - 1 cos n - 2,n≠ 1 ax153. 153. sin naxdxcos ax = - ∫sin naxdxsin n- 1axa (n - 1) +sin n+ 1axsin n- 2axdx cos ax + Cn - m + 2∫sin naxdx154. 154.cos max= a (m - 1)cos m- 1ax - m - 1cos m- 2ax+ C = -sin n - 1 axn - 1∫sin n- 2axdxsin n - 1 axn - 1∫sin n - 1axdxa (n - m )cos m-147. ∫ ∫ ∫ cos ax151ax +n - mcos max+ C = a (m - 1)cos m- 1ax -m - 1 cos m- 2ax+ C ,m ≠ 1,m ≠ n 155.∫cos a xdxsin nax1= -a (n - 1)sin n- 1ax+ C16∫ || | | ()2 a - b 2 8∫cos 2axdx 156. 156. =1(cos ax + ln |tan ax|) + Csin axacos 2axdx 1157. = -(cos ax 2+ ∫ dx ) + C ,n ≠ 1158.sin n axcos naxdx sin max= -n - 1 a sin n - 1 ax cos n+ 1axa (m - 1)sin m- 1ax - sin n - 2axn - m - 2 cos naxdxm - 1sin m- 2ax+ C =cos n- 1 axa (n - m )sin m- 1axn - 1∫cos n- 2axdxcos n - 1ax n - 1∫cos n - 2axdx ≠+ n - m sin max + C = - a (m - 1)sin m - 1ax - m - 1 sin m - 2 ax + C ,m 1 ,m≠ n 159. ∫dx=- 2arctan|b - ctan(π-ax)| + C ,a ≠ 0,b 2> c 2b +c sin axb +c 42160. ∫ dxb +c sin ax - 1 c + b sin ax + c 2- b 2cos ax ln b + c sin ax + C ,a ≠ 0,b 2< c 2161. ∫dx= - 1tan(π -ax ) + C ,a ≠ 01 + sin ax a42162. ∫dx = 1 n (π + ax ) ta + C ,a ≠ 0 1 - sin ax a 42163. ∫ x dx = x tan (ax - π) + 2 ln |cos (ax- π)| + C 1 + sin ax a 2 4 c 22 4 164. ∫ x dx = x cot (�� - ax ) + 2 ln |sin (�� - ax)| + C1 - sin ax a 42 c 24 2 165. ∫ sin axdx = ± x + 1tan (π∓ ax )+ C1± sin ax c42 166. ∫dx=2arctan|b - ctanax| + C ,a ≠ 0,b 2> c 2b +c cos axb +c 2167.∫ dxb +c cos ax 1 c + b cos ax + c 2 - b 2sin ax ln b + c cos ax + C ,a ≠ 0,b 2< c 2168. ∫dx 1 ax1 + cos ax = a tan 2+ C ,a ≠ 0169. ∫ dx 1 ax = - cot + C ,a ≠ 0 1 - cos ax 170. ∫ x dxa x ax = tan 2+ 2 ln |cos ax|+ C ,a ≠ 0 1 + cos ax a 2 a 22 171. ∫ x dx= - cot + ln |sin |+ C ,a ≠ 0 x ax 2 ax1 - cos ax172. ∫cos axdxa 2 a 221ax1 + cos ax = x - a tan2 + C 173. ∫cos axdx 1 ax1 - cos ax= - x - a cot 2 + C 174.∫cos ax cos bxdx = x sin (a - b )x sin (a + b )+ 2(a + b )+ C ,|a | ≠ |b |a b 2- c 2a c 2- b 2a b 2 - c 2a c 2- b 212a∫ = = ∫175. ∫dx = ln |tan (ax ± π)|+ Ccos ax ± sin ax17182a 2a 2a2a a cos ax (1 + sin ax ) 4a 2 4 2a2 4 cos ax (1 - sin ax ) 4a242a 24= = = = 176. ∫ dx = 1tan (ax ∓π) + C(cos ax + sin ax )22a4177. ∫ dx=1(sin x - cos x - 2(n - 2)∫dx) + C(cos x + sin x )n 178. ∫ dx(cos ax + sin ax )nn - 1 (cos x + sin x )n - 1= (cos x + sin x )n - 2∫ cos axdx x cos ax + sin ax2 ∫cos axdxxcos ax - sin ax 2 ∫sin axdxcos ax + sin ax2∫sin axdxcos ax - sin ax2 + 1ln |sin ax + cos ax | + C - 1 ln |sin ax - cos ax | + C - 1 ln |sin ax + cos ax | + C - 1ln |sin ax - cos ax | + C 183. ∫ cos axdx = - 1 tan 2ax + 1ln |tanax| + C sin ax (1 + cos ax ) 4a 2 2a 2 184. ∫ cos axdx =- 1 cot 2 ax -1ln |tan ax| + Csin ax (1 - cos ax )4a22a2185. ∫ sin axdx = 1 cot 2 (ax+ π) + 1ln |tan (ax + π)| + C 186. ∫sin axdx = 1tan 2(ax+ π) - 1 ln |tan (ax + π)| + C187.∫sin ax tan axdx = 1(ln |sec ax + tan ax | - sin ax ) + C∫tan naxdx1n - 1188. 188. sin 2ax =a (n - 1)tan ax ,n ≠ 1 ∫tan naxdx1n + 1189. 189.cos 2ax =a (n + 1)tan ax ,n ≠ - 1 ∫cot naxdx1n + 1190. 190. sin 2ax =∫cot naxdxa (n + 1)cot 1ax ,n ≠ - 1 1 - n191. 191. cos 2 ax =∫tan maxa (1 - n )tan 1ax ,n≠ 1 m + n - 1∫tan m- 2ax192. 192. cot nax = a (m + n - 1)tan ax -cot n ax dx ,m + n ≠ 1 193. ∫x sin axdx = 1 sin ax - x ax + C ,a ≠ 0a2 acos 194.∫x cos axdx = cos axa 2x sin ax+ a + C ∫ n x nn ∫ n - 1 195. 195.x sin a xdx = - a cos ax + a x cos axdx ,a≠ 0 循环计179. 180. 181. 182.19算∫ n x nn∫ n - 1196. 196.x cos axdx = a sin ax - a x sin axdx ,a≠ 0 循环计20a ln aln a tan 2a 2a 2a2a2a 2a a a 2 4 = 2 2 2 2 算197. ∫tan axdx =- 1|cosax | + C ,a ≠ 0198. ∫cot axdx = 1|sin ax | + C ,a ≠ 0199. ∫tan 2 axdx = 1ax - x + C ,a≠ 0 200.∫cot 2 axdx = - 1ax - x + C ,a≠ 0 a cot ∫ ntan n- 1ax∫ n - 2 201. 201.tan axdx = a (n - 1) -tan axdx ,a ≠ 0,n ≠ 1 循环计算∫ncot n- 1ax∫ n - 2202. 202.cot axdx = -a (n - 1)-cotaxdx ,a ≠ 0,n ≠ 1 循环计算∫ dx x tan ax + 12 + 1ln |sin ax + cos ax | + C ∫dxtan ax - 1 x =- 2 + 1ln |sin ax - cos ax | + C ∫ tan axdxtan ax + 1 ∫tan a xdxtan ax - 1 = x - 1 ln |sin ax + cos ax | + C = x+ 1ln |sin ax - cos ax | + C ∫dx1 + cot ax ∫dx1 - cot ax∫ tan axdx tan ax + 1 ∫ tan a xdx tan ax - 1 = x - 1 ln |sin ax + cos ax | + C = x + 1 ln |sin ax - cos ax | + C 209. ∫sec axdx = 1ln |sec ax + tan ax | + C = 1ln |tan(ax+ π)|,a ≠ 0210.∫csc axdx = - 1ln |csc ax + cot ax | + C = 1ln |tan ax| + C ,a ≠ 0a∫nsec n- 2ax tan axn - 2∫a2n - 2211. 211.sec axdx =a (n - 1)+ n - 1 secaxdx ,a ≠ 0,n ≠ 1 循环计 算∫ ncsc n- 2ax cot axn - 2∫n - 2212. 212.csc axdx = -a (n - 1)+ n - 1 cscaxdx ,a ≠ 0,n ≠ 1 循环 计算203. 204. 205. 206. 207. 208. = =∫n sec n ax213.sec ax tan axdx =+ C,a ≠ 0,n ≠ 0nax 2 + 2c 29 c - x 2 2 x 2+ 2a 29 a - x 2 2n + 1 2a 2 2 2a 2 2 3∫ ncsc nax214. 214. csc ax cot axdx = - na + C ,a ≠ 0,n ≠ 0 ∫dx sec x + 1x= x - tan 2 + C216.∫arcsin axdx = x arcsin ax + + C ,a ≠ 0 217.∫x arcsin x dx = (x 2a )arcsin x2- a ∫ 2x2 4 ax 3 x218. 218. x arcsin a dx = 3arcsin a + + C219.∫x n arcsin xdx = 1(x n + 1arcsin x +n - 1+ n ∫x n - 2arcsin xdx )+ C220.∫arccos axdx = x arccos ax - + C ,a ≠ 0 221.∫x arccos x dx = (x 2 a )arccos x2- a∫ 2 x2 4 ax 3x222. 222. x arccos a dx = 3arccos a - + C 223.∫arctan axdx = x arctan ax - 1ln (1 + a 2x 2) + C ,a ≠ 0∫x a 2 + x 2xax224. 224. x arctan a dx =2 arctan a - 2 + C∫ 2xxxax 2a 322225. 225. x arctan a dx = 3 arctan a -6+ 6 ln a + x + C∫ n xx n + 1x a ∫ x n + 1226. 226. x arctan a dx = n + 1arctan a - n + 1dx + C ,n ≠ 1 a + x227.∫arccot axdx = x arccot ax + 1ln (1 + a 2x 2) + C∫x a 2 + x 2xax228. 228. x arccot a dx =2 arccot a + 2 + C∫ 2arccotxxxax 2a( 22)229. x adx = 3 arccot a + 6- 6 ln a + x + C∫ n xx n + 1x a ∫ x n + 1 230. 230.x arccot a dx = n + 1arccot a + n + 1dx ,n ≠ 1 a + x1a 1 - a 2x 2x 4c 2 - x 2 x n1 - x2 - nx n- 1arcsin x 1a 1 - a 2x 2x 4a 2 - x 2 215.+ + C - + C33x 2- 1 2||xn + 1n231. ∫arcsec axdx = x arcsec ax +axln (x ± x 2- 1) + C 232. ∫x arcsec xdx = 1(x 2arcsec x - x 2 - 1) + C233.∫x n arcsec xdx =1 (x n + 1arcsec x - 1[x n - 1 + (1 - n )(x n - 1arcsec x + (1 - n )∫x n - 2arcsec xdx )])| |xacosh asinh n + 1 ∫n + 2 ∫ + C 234.∫arccsc axdx = x arccsc ax - axln (x ±x 2 - 1) + C235. ∫sinh axdx = 1236.∫cosh axdx = 1ax + C ax + C237. ∫sinh 2 axdx = 1 sinh 2ax - x+ C 4a 2 238. ∫cosh 2 axdx = 1 sinh 2ax + x+ C 4a2239.∫sinh n axdx =1 sinh n - 1ax cosh ax -n - 1∫sinh n - 2axdx + C ,n> 0 ann1 n +2 = sinh ax cosh ax - sinh axdx + C ,n < 0,n≠ - 1a (n + 1)n + 1240.∫cosh n axdx = 1 sinh ax cosh n - 1ax +n - 1∫cosh n + 2axdx ,n< 0,n ≠ ann- 1241. ∫ dx= 1ln |tanh ax|+ C = 1ln |cosh ax - 1|+ C = 1ln |sinh ax|sinh ax a2 a sinh axacosh ax + 1+ C = 1ln |cosh ax - 1|+ Ca∫dxcosh ax cosh ax + 1 2= aarctane ax+ C 243. ∫ dx cosh ax = -n - 2∫ dx,n≠ 1 sinh na xa (n - 1)sinh n- 1axn - 1 sinh n-2ax244.∫dxsinh ax=+n - 2∫dx,n≠ 1 cosh n a x a (n - 1)cosh n- 1ax n - 1 cosh n - 2 ax245. 245.cosh nax sinh maxdx = cosh n- 1 axa (n - m )sinh m- 1ax + n - 1 cosh n - 2axn - msinh maxdx = - cosh n+1axa (m - 1)sinh m- 1axn - m + 2∫cosh n axcosh n- 1 axn - 1∫cosh n - 2ax+ m -1sinh m-2dx + C = -ax a (m - 1)sinh m- 1ax+ m - 1 sinh m- 2ax dx + C,m≠ n,m ≠ 1 ∫sinh maxsinh m- 1axm - 1∫sinh m- 2axsinh m+ 1ax246. 246.cos n242. ∫ax dx =a(m -n)cosh n-1ax+m - n cosh naxdx+ C=a(n - 1)cosh n-1axm - n + 2∫ sinh m ax sinh m-1ax m - 1∫sinh m-2ax+n - 1 cosh n-2axdx + C =a(n - 1)cosh n-1ax+n - 1 cosh n - 2 ax dx + C,m ≠ n,n ≠ 1x 2 + a 2x 2- a 2 aln adx = x 247.∫x sinh 1 1 cosh ax - sinh ax + C248.∫x cos axdx = a x a 21 1 sinh ax - cosh ax + Ch axdx = a x 249.∫tanh axdx = 1|a 2 ax | + Caln 250.∫coth axdx = 1cosh|sinh ax | + C∫ntanh n- 1ax∫n - 2251. 251. tanh axdx = -a (n - 1)+ tanhaxdx + C ,n ≠ 1 ∫ncoth n- 1ax∫n - 2252. 252. coth axdx = -a (n - 1)+ cothaxdx ,n ≠ 1 253. ∫sinh ax sinh bxdx = a sinh bx cosh ax - b cosh bx sinh ax+ C a 2- b 2254. ∫cosh ax cos bxdx =a sinh ax cosh bx -b sinh bx cosh ax+ Ca 2- b 2255.∫cosh ax sinh bxdx =a sinh ax sinh bx -b cosh ax cosh bx+ Ca 2- b 2256. ∫sinh (ax + b )sin (cx + d )dx = acosh (ax + b )sin (cx + d ) -c22sinh (ax + b )cos (cx + d ) + Ca 2 + c 2 a + c257. ∫sinh (ax + b )cos (cx + d )dx =acosh (ax + b )cos (cx + d ) +c22sinh (ax + b )sin (cx + d ) + Ca 2+ c 2a + c258. ∫cosh (ax + b )sin (cx + d )dx =asinh (ax + b )sin (cx + d ) -c22cosh (ax + b )cos (cx + d ) + Ca 2+ c 2a + c259. ∫cosh (ax + b )cos (cx + d )dx =asinh (ax + b )cos (cx + d ) +c22cosh (ax + b )sin (cx + d ) + Ca 2+ c 2a + c260. ∫arcsinhxx arcsinh - + Cadx = x 261.∫arccosh xa xarccosh a - + C 262. ∫arctanh xx a arctanh +|a 2 - x 2| + C ,|x | < |a | a dx = x a 2ln 263.∫arccoth xx a arccoth +|x 2 - a 2| + C ,|x | < |a |a dx = x a 2ln2π2σdx = 2a dx = (1 + erf+ C)x ea - a 2+ a 3 x n= n - 1 - x n - 1 + a x n - 1dx 2∫x x264. arcsech a dx = x arcsech a - a arctan x - a + C ,x ∈ (0,a )∫ x x265. 265. arc cs ch a dx = x arcc sc h a + a ln a+ C ,x ∈ (0,a ) ∫ ax e ax266. 266. xe dx = (ax - 1) + C ,a ≠ 0a∫ ax b ax267. 267. b dx =a lnb+ C ,a≠ 0,b > 0,b ≠ 1 ∫ 2 ax ax (x 22x2 )∫ n ax x n e axn ∫ n - 1 ax269.x e dx = a- a xe dx ,a ≠ 0i ∫e axdx∑∞(ax )270. x= ln |x | +i = 1i·i !+ C∫e ax dx 1 ( e ax ∫e ax )272. ∫e ax ln 1 ax ln |x | - Ei (ax ) + Cxdx = a e∫ ax sin e ax ( sincos ) 273. e bxdx = a 2 + b 2a bx -b bx + C ∫ ax cos e ax ( cossin ) 274. e bxdx = a 2 + b 2a bx +b bx + C∫ ax n e ax sin n - 1 x () n (n - 1)∫ ax n - 2 275. e s in bxdx = a 2 + n 2a sin x - n cos x + a2 + n 2e sin xdx ∫ axne ax cosn - 1xn (n - 1)∫ axn - 2 276. e cos bxdx =(acos x + nsin x ) + a + na 2+ n 2e cos xdx 277.∫xe ax 21e ax 2+ C278.∫ 1 e - σ (x - μ)22σ21x - μ 2σ279.∫e x 2dx = ex 2(∑n - 1 a 2j) + (2n - 1)a2n - 2∫e x2dx ,n> 0 其中a 2jj = 0x 2j + 1x 2n1·3·5···(2j - 1) = 2j + 1= 2j !j !22j + 1 + C280.∫∞ e- ax 2the Gaussian integral - ∞dx =x 22n + 1281.∫∞x 2n e- a2dx =(a )x a + xa - xx + x 2+ a 2πa22268. dx = e + C271. + C ,n ≠ 1。
常用函数积分表增强版集团企业公司编码:(LL3698-KKI1269-TM2483-LUI12689-ITT289-1.∫(f(f)+f(f))ff=∫f(f)ff+∫f(f)ff2.∫(f(f)−f(f))ff=∫f(f)ff−∫f(f)ff3.∫f(f)ff(f)=f(f)f(f)−∫f(f)ff(f)4.∫f f ff=f fln f+f,a≠1,a>05.∫f f ff=f f+1f+1+f,f≠−16.∫1fff=ln|f|+f7.∫f f ff=f f+f8.∫sin f ff=−cos f+f9.∫cos f ff=sin f+f10.∫sec2f ff=tan f+f11.∫fff2f ff=−cot f+f12.∫sec f tan f ff=sec f+f13.∫csc f cot f ff=−csc f+f14.∫(ff+f)f ff=(ff+f)f+1f(f+1)+C,a≠0,n≠−115.∫ffff+f =1fln|ff+f|+f,a≠016.∫f(ff+f)f ff=(ff+f)f+1f2(ff+ff+2−ff+1)+f,f≠0,f≠−1,−217.∫fff+f ff=ff−ff2ln|ff+f|+f,a≠018.∫f(ff+f)2ff=1f2(ln|ff+f|+fff+f)+f,f≠019.∫f 2ff+f ff=12f3[(ff+f)2−4f(ff+f)+2f2ln|ff+f|]+f20.∫f 2(ff+f)2ff=1f3(ff+f−2f ln|ff+f|−f2ff+f)+C21.∫f 2(ff+f)3ff=1f3(ln|ff+f|+2fff+f−f22(ff+f)2)+f22.∫f 2(+)ff=1f(−1(−)(+)+2f(−)(+)−f2(−)(+)f1)+f,f≠1,2,323.∫fff(ff+f)=1fln|fff+f|+f,f≠024.∫fff2(+)=−1ff+ff2ln|ff+ff|+f25.∫fff2(+)2=−f(1f2(+)+1ff2f−2f3ln|ff+ff|)+f26.∫f√ff+fff=215f2(3ff−2f)(ff+f)32+C27.∫f2√ff+fff=2105f3(15f2f2−12fff+8f2)(ff+f)32+f28.∫(√ff+f)f ff=2(√ff+f)f+2f(f+2)+f,f≠0,f≠−229.∫f f√ff+f ff=2f(2f+3)f f(ff+f)32−2fff(2f+3)∫f f−1√ff+fff循环计算30.∫√ff+ff ff=2√ff+f+ff ff+f=2√ff+f−2√f arctanh√ff+ff+f31.f ff+f =√−f√ff+f−f+f,b<032.f ff+f =√f|√ff+f−√f√ff+f+√f|+f,f>033.∫√ff+ff2ff=−√ff+ff+f2f ff+f+f34.∫√ff+ff f ff=−(ff+f)32f(f−1)f f−1−(2f−5)f2f(f−1)∫√ff+ff f−1ff,f≠1循环计算35.f√ff+f=2f(2f+1)(f f√ff+f−ff f−1√ff+f)+f循环计算36.f2√ff+f =−ff+fff−f2f f ff+f+f,f≠037.f f√ff+f =−√ff+ff(f−1)f−(2f−3)f2f(f−1)∫√ff+ffff,f≠1循环计算38.∫f f√ff+fff=22f+1(f f+1√ff+f+ff f√ff+f−ff∫f f−1√ff+fff)+C循环计算39.∫fff2+f2=1farctan ff+f,a≠040.∫ff(f2+f2)2=f2f(+)+12farctan ff+f,f≠041.∫fff2−f2=12fln|f+ff−f|+f=1farctanh ff+f,f≠0,|f|>|f|42.∫ff(f2−f2)2=f2f2(f2−f2)+14f3ln|f+ff−f|+f43.∫1f2−f2ff=12fln|f−ff+f|+f=−1farccoth ff+f,f≠0,|f|>|f|44.√=ln(f+√f2+f2)+f45.∫√f2+f2ff=f2√f2+f2+f22ln(f+√f2+f2)+f46.∫(√f2+f2)3ff=f(√f2+f2)34+38f2f√f2+f2+38f4ln(f+√f2f2)+f47.∫(√f2+f2)5ff=f(√f2+f2)56+524f2f(√f2+f2)3+5 16f4f√f2+f2+516f6ln(f+√f2+f2)+f48.∫f(√f2f2)2f+1ff=(√f2+f2)2f+32f+3+f49.∫f2√f2+f2ff=f8(f2+2f2)√f2+f2−f48ln(f+√f2f2)+f50.∫f2(√f2+f2)3ff=f(√f2+f2)56−f2f√f2+f224−f4f√f2+f216−f616ln(f+√f2+f2)+f51.∫f3√f2+f2ff=(√f2+f2)55−f2(√f2+f2)33+f52.∫f3(√f2f2)3ff=(√f2+f2)77−f2(√f2+f2)55+f53.∫f3(√f2f2)2f+1ff=(√f2+f2)2f+52f+5−f2(√f2+f2)2f+32f+3+f54.∫f4√f2f2ff=f 3(√f2+f2)36−f2f(√f2+f2)38+f4f√f2+f216+f616ln(f+√f2f2)+f55.∫f4(√f2+f2)3ff=f3(√f2+f2)58−f2f(√f2+f2)516+f4f(√f2+f2)364+3f6f√f2+f2128+3f8128ln(f+√f2f2)+f56.∫f5√f2+f2ff=(√f2+f2)77−2f2(√f2+f2)55+f4(√f2+f2)33+f57.∫f5(√f2+f2)3ff=(√f2+f2)99−2f2(√f2+f2)77+f4(√f2+f2)55+f58.∫f5(√f2+f2)2f+1ff=(√f2+f2)2f+72f+7−2f2(√f2+f2)2f+52f+5+f4(√f2+f2)2f+32f+3+f59.∫√f2+f2fff=√f2+f2−f ln|f+√f2+f2f|+f=√f2+f2−f arcsinh ff+C60.∫(√f2+f2)3fff=(√f2+f2)33+f2√f2f2−f3ln|f+√f2+f2f|+f61.∫(√f2+f2)5fff=(√f2+f2)55+f2(√f2+f2)33+f4√f2+f2−f5ln|f+√f2+f2f|+C62.∫(√f2+f2)77ff=(√f2+f2)77+f2(√f2+f2)55+f4(√f2+f2)33+f6√f2+f2−f7ln|f+√f2+f2f|+f63.∫√f2+f2f2ff=ln(f+√f2f2)−√f2+f2f+f64.2=−f22ln(f+√f2f2)+f√f2+f22+f=−f22arcsinh ff+f√f2+f22+C65.√=−1fln|f+√f2+f2f|+f=−1farcsinh ff+f66.=−√f2+f2f2f+f,f≠067.=arcsin ff+f,f≠0,|f|≤|f|68.∫√f2−f2ff=f2√f2−f2+f22arcsin ff+f,f≠0,|f|≤|f|69.∫√f2−f2ff=12(f√f2−f2−sgn f arccosh|ff|)+f,|f|≥|f|70.∫f√f2f2ff=−(√f2−f2)33+f,|f|≤|f|71.∫f2√f2−f2ff=f48arcsin ff−18f√f2−f2(f2−2f2)+f,f≠072.∫√f2−f2fff=√f2−f2−f ln|f+√f2−f2f|+f,|f|≤|f|73.∫√f2−f2fff=−arcsin ff−√f2−f2f+f,f≠074.2=f22arcsin ff−f√f2−f22+f,f≠0,f√f2−f275.=−1f ln|f+√f2−f2f|+f,f≠076.=−√f2−f2f2f+f,f≠0 77.=ln|f+√f2−f2|+f78.∫√f2−f2ff=f2√f2−f2−f22ln|f+√f2−f2|+f79.∫(√f2f2)fff=f(√f2−f2)ff+1−ff2 f+1∫(√f2−f2)f−2ff,f≠−1循环计算80.f=f(√f2−f2)2−f(−)+f−3(−)∫ff(√f2−f2)f−2,f≠2循环计算81.∫f(√f2−f2)fff=(√f2−f2)f+2f+2+f,f≠−282.∫f2√f2f2ff=f8(2f2−f2)√f2f2−f48ln|f+√f2−f2|+C83. ∫√f 2−f 2fff =√f 2−f 2−f arcsec |ff |+f =√f 2−f 2−f arccos |ff |+f,f ≠084. =√f 2f 2+f85. ∫f ff(√f 2−f 2)3=√+f86. ∫f ff(√f 2−f 2)5=−13(√f 2−f 2)3+f 87. ∫f ff(√f 2−f 2)7=−15(√f 2−f 2)5+f88. ∫f ff(√f 2−f 2)2f +1=−1(2f −1)(√f 2−f 2)2f −1+f89. ∫√f 2−f 2f 2ff =ln |f +√f 2−f 2|−√f 2−f 2f+f 90. 2=f 22ln |f +√f 2−f 2|+f2√f 2−f 2+f91. ∫f 2(√f 2−f 2)3ff =+ln |f +√f 2−f 2f|+f 92. 4=f 3√f 2−f 24+38f 2f √f 2−f 2+38f 4ln |f +√f 2−f 2f|+f93. ∫f 4(√f 2−f 2)3ff =f √f 2−f 22−232f 2ln |f +√f 2−f 2f |+f 94. ∫f 4(√f 2−f 2)5ff =−f 33(√f 2−f 2)3+ln |f +√f 2−f 2f |+f 95. ∫f 2f ff(√f 2−f 2)2f +1=−f 2f −1(2f −1)(√f 2−f 2)2f −1+2f −12f −1∫f 2f −2(√f 2−f 2)2f −1ff +f =(−1)f −ff 2(f −f )∑12(f +f )+1(f −f −1f )f 2(f +f )+1(√f 2−f 2)2(f +f )+1f −f −1f =0,f >f ≥096. ∫ff(√f 2−f 2)3=+f97. ∫ff(√f 2−f 2)5=1f (√−f 33(√f 2−f 2)3)+f98.∫ff(√f2−f2)7=−1f6(√−2f33(√f2−f2)3+f55(√f2−f2)5)+f99.∫ff(√f2−f2)9=1f8(−2f33(√f2−f2)3+3f55(√f2−f2)5−f77(√f2−f2)7)+f100.∫f2(√f2−f2)5ff=−f33f2(√f2−f2)3+C101.∫f2(√f2−f2)7ff=1f(f33(√f2−f2)3−f55(√f2−f2)5)+f102.∫f2(√f2−f2)9ff=−1f6(f33(√f2−f2)3−2f55(√f2−f2)5+f77(√f2−f2)7)+f103.=1f arcsec|ff|+f,f≠0104.=√f2−f2f2f+f,f≠0105.∫ffff2+ff+f=−f2>0106.∫ffff2+ff+f =√√=√|√2−4ff√|,4ff−f2<0107.∫ffff++=−22ff+f,4ff−f2=0108.∫ffff2+ff+f =12fln|ff2+ff+f|−f2f∫ffff2+ff+f+f109.∫ff+fff2++ff=f2fln|ff2+ff+f|+√√+f,4ff−f2>0110.∫ff+fff2+ff+f ff=f2fln|ff2+ff+f|+√√+f,4ff−f2<0111.∫ff+fff2+ff+f ff=f2fln|ff2+ff+f|−2ff−fff(2ff+f)+f,4ff−f2=0112.∫ff(++)f =2ff+f(f−1)(4ff−f2)(ff2+ff+f)f−1+(2f−3)2f(f−1)(4ff−f2)∫ff(ff2+ff+f)f−1+f113.∫f(ff2+ff+f)f ff=ff+2f(f−1)(4ff−f2)(ff2+ff+f)f−1−f(2f−3)(f−1)(4ff−f2)∫ff(ff2+ff+f)f−1+f114.∫fff(ff2+ff+f)=12fln|f2ff2+ff+f|−f2f∫ffff2+ff+f+f115.√=√f|2√f2f2+fff+ff+2ff+f|+f,f>0116.=√f+f,f>0,4ff−f2> 0117.√=√f|2ff+f|+f,f>0,4ff−f2=0118.=√−f+f,f<0,4ff−f2<0119.∫ff(√ff2+ff+f)3=√+f120.∫ff(√ff2+ff+f)5=√(1ff2+ff+f+8f4ff−f2)+f121.∫ff(√ff2+ff+f)2f+1=4ff+2f(2f−1)(4ff−f2)(√ff2+ff+f)2f−1+8f(f−1)(2f−1)(4ff−f2)∫ff(√ff2+ff+f)2f−1+f循环计算122.=√ff2+ff+ff −f2f+f123.∫f ff(√ff2+ff+f)3=√C124.∫f ff(√ff2+ff+f)2f+1=−1(2f−1)f(√ff2+ff+f)2f−1−f 2f ∫ff(√ff2+ff+f)2f−1+f125.=√f (2√fff2+fff+f2+ff+2ff)+f126. =√f ()+f 127. ∫sin 2f ff =f 2−sin 2f 4+f 128. ∫√1−sin f ff =∫√cvs f ff =2cos f2+sin f2cos f 2−sin f 2,√cvs f =2√1+sin f ,其中cvsx 是conversine 函数129. ∫sin fff ff =−sin f −1ff cos ffff+f −1f∫sin f −2ff ff +f 循环计算130. ∫sin fffff =∑(−1)f (ff )2f +1(2f +1)(2f +1)!∞f =0+f131. ∫sin fff fff =−sin ff (f −1)f f −1+ff −1∫cos fff f −1ff132. ∫cos f ff ff =1ff cos f −1ff sin ff +f −1f∫cos f −2ff ff +f,f ≥2133. ∫cos 2f ff =f 2+sin 2f4+f 134. ∫cos fffff =ln |ff |+∑(−1)f (ff )2f 2f (2f )!∞f −1,f≠1135. ∫cos fff fff =−cos ff (f −1)f f −1−f f −1∫sin fff f −1ff,f ≠1136. ∫sin ff cos ff ff =12f sin 2ff 137. ∫sin ff sin ff ff =sin [(f −f )f ]2(f −f )−sin [(f +f )f ]2(f +f )+f,f 2≠f 2138. ∫sin ff cos ff ff =−cos [(f +f )f ]2(f +f )−cos [(f −f )f ]2(f −f )+f,f 2≠f 2139. ∫cos ff cos ff ff =sin [(f −f )f ]2(f −f )+sin [(f +f )f ]2(f +f)+f,f 2≠f 2140. ∫sin ff cos ff ff =−cos 2ff4f+f,f ≠0141. ∫sin fff cos ff ff =sin f +1ff(f +1)f+C,a ≠0,n ≠−1142.∫cos f ff sin ff ff=−cos f+1ff(f+1)f+f,f≠0,f≠−1143.∫tan ff ff=∫sin ffcos ff ff=−1fln|cos ff|+f,f≠0144.∫cot ff ff=∫cos ffsin ff ff=1fln|sin ff|+f,f≠0145.∫sin f ff cos f ff ff=−sin f−1ff cos f+1fff(f+f)+f−1 f+f ∫sin f−2ff cos f ff ff+f=sin f+1ff cos f−1fff(f+f)+f−1f+f∫sin f ff cos f−2ff ff+f,f≠0,f+f≠0循环计算146.∫sin ff sin ff ff=f sin(f−f)2(f−f)−f sin(f+f)2(f+f)+f,|f|≠|f|147.∫ffsin ff cos ff =1fln|tan ff|+f148.∫ffsin ff cos ff =1f(f−1)cos ff+∫ffsin ff cos ff,f≠1149.∫ffcos ff sin f ff =−1f(f−1)sin f−1ff+∫ffcos ff sin f−2ff,f≠1150.∫sin ffffcos f ff =1f(f−1)cos f−1ff+f,f≠1151.∫sin 2ffffcos ff =−1fsin ff+1fln|tan(f4+ff2)|+f152.∫sin 2ffffcos ff =sin fff(f−1)cos ff−1f−1∫ffcos ff,f≠1153.∫sin n ffffcos ff =−sin n−1fff(f−1)+∫sin n−2ffffcos ff+f154.∫sin n ffffcos m ff =sin n+1fff(f−1)cos m−1ff−f−f+2f−1∫sinn ffffcos m−2ff+f=−sin n−1fff(f−f)cos m−1ff +f−1f−f∫sinn−2ffffcos m ff+f=sin n−1fff(f−1)cos m−1ff−f−1 f−1∫sinn−1ffffcos m−2ff+f,f≠1,m≠n155.∫cos ffffsin n ff =−1f(f−1)sin n−1ff+f156.∫cos 2ffffsin ff =1f(cos ff+ln|tan ff2|)+f157.∫cos 2ffffsin n ff =−1f−1(cos fff sin n−1ff+∫ffsin n−2ff)+f,f≠1158.∫cos n ffffsin m ff =−cos f+1fff(f−1)sin m−1ff−f−f−2f−1∫cos n ffffsin m−2ff+f=cos n−1fff(f−f)sin m−1ff +f−1f−f∫cos n−2ffffsin m ff+f=−cos n−1fff(f−1)sin m−1ff−f−1 f−1∫cos n−2ffffsin m−2ff+f,f≠1,m≠n159.∫fff+f sin ff =√|√f−ff+ftan(f4−ff2)|+f,f≠0,f2>f2160.∫fff+f sin ff =|f+f sin ff+√f2−f2cos fff+f sin ff|+f,f≠0,f2<f2161.∫ff1+sin ff =−1ftan(f4−ff2)+f,f≠0162.∫ff1−sin ff =1ftan(f4+ff2)+f,f≠0163.∫f ff1+sin ff =fftan(ff2−f4)+2fln|cos(ff2−f4)|+C164.∫f ff1−sin ff =ffcot(f4−ff2)+2f2ln|sin(f4−ff2)|+C165.∫sin ffff1±sin ff =±f+1ftan(f4ff2)+f166.∫fff+f cos ff =|√f−ff+ftan ff2|+f,f≠0,f2>f2167.∫fff+f cos ff =√|f+f cos ff+√f2−f2sin fff+f cos ff|+f,f≠0,f2<f2168.∫ff1+cos ff =1ftan ff2+f,f≠0169.∫ff1−cos ff =−1fcot ff2+f,f≠0170.∫f ff1+cos ff =fftan ff2+2f2ln|cos ff2|+f,f≠0171.∫f ff1−cos ff =−ffcot ff2+2fln|sin ff2|+f,f≠0172.∫cos ffff1+cos ff =f−1ftan ff2+f173.∫cos ffff1−cos ff =−f−1fcot ff2+f174.∫cos ff cos ff ff=f sin(f−f)2(f−f)+f sin(f+f)2(f+f)+f,|f|≠|f|175.∫ffcos ff±sin ff =√2f|tan(ff2±f8)|+f176.∫ff(cos ff+sin ff)2=12ftan(ff f4)+f177.∫ff(cos f+sin f)f =1f−1(sin f−cos f(cos f+sin f)f−1−2(f−2)∫ff(cos f+sin f)f−2)+f178.∫ff(cos ff+sin ff)f=179.∫cos ffffcos ff+sin ff =f2+12fln|sin ff+cos ff|+f180.∫cos ffffcos ff−sin ff =f2−12fln|sin ff−cos ff|+f181.∫sin ffffcos ff+sin ff =f2−12fln|sin ff+cos ff|+f182.∫sin ffffcos ff−sin ff =f2−12fln|sin ff−cos ff|+f183.∫cos ffffsin ff(1+cos ff)=−14ftan2ff2+12fln|tan ff2|+f184.∫cos ffffsin ff(1−cos ff)=−14fcot2ff2−12fln|tan ff2|+f185.∫sin ffffcos ff(1+sin ff)=14fcot2(ff2+f4)+12fln|tan(ff2+f4)|+f186.∫sin ffffcos ff(1−sin ff)=14ftan2(ff2+f4)−12fln|tan(ff2+f4)|+f187.∫sin ff tan ff ff=1f(ln|sec ff+tan ff|−sin ff)+ f188.∫tan n ffffsin2ff =1f(f−1)tan n−1ff,n≠1189.∫tan n ffffcos2ff =1f(f+1)tan n+1ff,f≠−1190.∫cot n ffffsin2ff =1f(f+1)cot n+1ff,f≠−1191.∫cot n ffffcos ff =1f(1−f)tan1−n ff,f≠1192.∫tan m ffcot n ff =1f(f+f−1)tan m+n−1ff−∫tan m−2ffcot n ffff,f+f≠1193.∫f sin ff ff=1f2sin ff−ffcos ff+f,f≠0194. ∫f cos ff ff =cos fff +f sin fff+f 195. ∫f f sin ff ff=−f ff cos ff +f f∫f f −1cos ff ff ,f ≠0循环计算196. ∫f f cos ff ff=f f f sin ff −f f∫f f −1sin ff ff ,f ≠0循环计算197. ∫tan ff ff =−1f ln |cos ff |+f,f ≠0 198. ∫cot ff ff =1f ln |sin ff |+f,f ≠0 199. ∫tan 2ff ff =1f tan ff −f +f,f ≠0 200. ∫cot 2ff ff =−1f cot ff −f +f,f ≠0 201. ∫tan fff ff =tan f −1ff f (f −1)−∫tan f −2ff ff ,f ≠0,n ≠1循环计算202. ∫cot fff ff =−cot f −1fff (f −1)−∫cot f −2ff ff ,f ≠0,f ≠1循环计算203. ∫fftan ff +1=f 2+12f ln |sin ff +cos ff |+f 204. ∫ff tan ff −1=−f 2+12fln |sin ff −cos ff |+f 205. ∫tan fffftan ff +1=f 2−12f ln |sin ff +cos ff |+f 206. ∫tan ffff tan ff −1=f 2+12fln |sin ff −cos ff |+f 207. ∫ff1+cot ff =∫tan ffff tan ff +1=f 2−12f ln |sin ff +cos ff |+f 208. ∫ff1−cot ff =∫tan ffff tan ff −1=f 2+12fln |sin ff −cos ff |+f 209. ∫sec ff ff =1f ln |sec ff +tan ff |+f =1f ln |tan (ff2+f4)|,f ≠0210.∫csc ff ff=−1fln|csc ff+cot ff|+f=1 f ln|tan ff2|+f,f≠0211.∫sec f ff ff=sec f−2ff tan fff(f−1)+f−2f−1∫sec f−2ff ff,f≠0,f≠1循环计算212.∫fff f ff ff=−csc f−2ff cot fff(f−1)+f−2f−1∫csc f−2ff ff,f≠0,f≠1循环计算213.∫sec f ff tan ff ff=sec f ffff+f,f≠0,f≠0214.∫csc f ff cot ff ff=−csc f ffff+f,f≠0,f≠0215.∫ffsec f+1=f−tan f2+f216.∫arcsin ff ff=f arcsin ff+1f√1−f2f2+f,f≠0217.∫f arcsin ff ff=(f22−f24)arcsin ff+f4√f2−f2+f218.∫f2arcsin ff ff=f33arcsin ff+f2+2f29√f2−f2+f219.∫f f arcsin f ff=1f+1(f f+1arcsin f+f f√1−f2−ff f−1arcsin ff−1+f∫f f−2arcsin f ff)+f220.∫arccos ff ff=f arccos ff−1f√1−f2f2+f,f≠0221.∫f arccos ff ff=(f22−f24)arccos ff−f4√f2−f2+f222.∫f2arccos ff ff=f33arccos ff−f2+2f29√f2−f2+f223.∫arctan ff ff=f arctan ff−12fln(1+f2f2)+ f,f≠0224.∫f arctan ff ff=f2+f22arctan ff−ff2+f225.∫f2arctan ff ff=f33arctan ff−ff26+f36ln f2+f2+f226.∫f f arctan ff ff=f f+1f+1arctan ff−ff+1∫f f+1f2+f2ff+f,f≠1227.∫arccot ff ff=f arccot ff+12fln(1+f2f2)+f228.∫f arccot ff ff=f2+f22arccot ff+ff2+f229.∫f2arccot ff ff=f33arccot ff+ff26−f36ln(f2+f2)+f230.∫f f arccot ff ff=f f+1f+1arccot ff+ff+1∫f f+1f2+f2ff,f≠1231.∫arcsec ff ff=f arcsec ff+ff|f|ln(f±√f2−1)+f232.∫f arcsec f ff=12(f2arcsec f−√f2−1)+f233.∫f f arcsec f ff=1f+1(f f+1arcsec f−1f[f f−1√f2−1+(1−f)(f f−1arcsec f+(1−f)∫f f−2arcsec f ff)])+f234.∫arccsc ff ff=f arccsc ff−ff|f|ln(f±√f2−1)+f235.∫sinh ff ff=1fcosh ff+f236.∫cosh ff ff=1fsinh ff+f237.∫sinh2ff ff=14f sinh2ff−f2+f238.∫cosh2ff ff=14f sinh2ff+f2+C239.∫sinh f ff ff=1ffsinh f−1ff cosh ff−f−1f∫sinh f−2ff ff+f,f>0=1f(f+1)sinh f+1ff cosh ff−f+2f+1∫sinh f+2ff ff+f,f<0,f≠−1240.∫cosh f ff ff=1ffsinh ff cosh n−1ff+f−1f∫cosh f+2ff ff,f<0,f≠−1241. ∫ff sinh ff =1f ln |tanhff2|+f =1f ln |cosh ff −1sinh ff|+f =1f ln |sinh ff cosh ff +1|+f =1f ln |cosh ff −1cosh ff +1|+f242. ∫ffcosh ff =2f arctan f ff +f 243. ∫ffsinh n ff =cosh fff (f −1)sinh f −1ff−f −2f −1∫ffsinh f −2ff,f ≠1 244. ∫ff cosh f ff =sinh fff (f −1)coshf −1ff+f −2f −1∫ffcoshf −2ff,f ≠1245.∫cosh f ffsinh f ff ff =cosh f −1fff (f −f )sinh f −1ff+f −1f −f ∫cosh f −2ffsinh f ff ff=−cosh f +1ff f (f −1)sinh f −1ff +f −f +2f −1∫cosh f ffsinh f −2ffff +f =−cosh f −1fff (f −1)sinh f −1ff +f −1f −1∫cosh f −2ff sinh f −2ffff +f,f ≠f ,f ≠1246.∫sinh f ffcos ff ff =sinh f −1fff (f −f )cosh f −1ff+f −1f −f ∫sinh f −2ffcosh f ff ff +f=sinh f +1fff (f −1)cosh f −1ff +f −f +2f −1∫sinh m ff cosh f −2ffff +f=sinh f −1fff (f −1)cosh f −1ff+m −1n −1∫sinh f −2ffcosh f −2ffff +f,f ≠f ,f ≠1247. ∫f sinh ff ff =1f f cosh ff −1f 2sinh ff +f 248. ∫f cosh ff ff =1f f sinh ff −1f 2cosh ff +f 249. ∫tanh ff ff =1f ln |cosh ff |+f 250. ∫coth ff ff =1f ln |sinh ff |+f 251. ∫tanh nff ff =−tanh f −1ff f (f −1)+∫tanh f −2ff ff +f,f ≠1252. ∫coth fff ff =−coth f −1ff f (f −1)+∫coth f −2ff ff ,f≠1253. ∫sinh ff sinh ff ff =f sinh ff cosh ff −f cosh ff sinh fff 2−f 2+f254. ∫cosh ff cos ff ff =f sinh ff cosh ff −f sinh ff cosh fff 2−f 2+f255. ∫cosh ff sinh ff ff =f sinh ff sinh ff −f cosh ff cosh fff 2−f 2+f256.∫sinh(ff+f)sin(ff+f)ff=ff2+f2cosh(ff+f)sin(ff+f)−ff+sinh(ff+f)cos(ff+f)+f257.∫sinh(ff+f)cos(ff+f)ff=ff2+f2cosh(ff+f)cos(ff+f)+ff2+f2sinh(ff+f)sin(ff+f)+f258.∫cosh(ff+f)sin(ff+f)ff=ff+sinh(ff+f)sin(ff+f)−ff2+f2cosh(ff+f)cos(ff+f)+f259.∫cosh(ff+f)cos(ff+f)ff=ff2+f2sinh(ff+f)cos(ff+f)+ff2+2cosh(ff+f)sin(ff+f)+f260.∫arcsinh ff ff=f arcsinh ff−√f2f2+f261.∫arccosh ff ff=f arccosh ff−√f2−f2+f262.∫arctanh ff ff=f arctanh ff+f2ln|f2−f2|+f,|f|<|f|263.∫arccoth ff ff=f arccoth ff+f2ln|f2−f2|+f,|f|<|f|264.∫arcsech ff ff=f arcsech ff−f arctan f√f−ff+ff−f+C,x∈(0,f)265.∫arccsch ff ff=f arccsch ff+f ln f+√f2+f2f+C,x∈(0,f)266.∫ff ff ff=f fff2(ff−1)+f,f≠0267.∫f ff ff=f fff fff+f,f≠0,f>0,f≠1268.∫f2f ff ff=f ff(f2f −2ff2+2f3)+f269.∫f f f ff ff=f f f fff −ff∫f f−1f ff ff,f≠0270.∫f ff fff=ln|f|+∑(ff)ff·f!∞f=1+f271.∫f ff fff f=1f−1(−f fff f−1+f∫f fff f−1ff)+f,f≠1272.∫f ff ln f ff=1ff ff ln|f|−Ei(ff)+f273.∫f ff sin ff ff=f fff+(f sin ff−f cos ff)+f274. ∫f ff cos ff ff =f fff 2+f 2(f cos ff +f sin ff )+f 275. ∫f ff sin n ff ff=f ff sin n −1ff +(f sin f −f cos f )+f (f −1)f 2+f 2∫f ff sin n −2f ff 276. ∫f ff cos n ff ff =f ff cos n −1ff 2+f 2(f cos f +f sin f )+f (f −1)f 2+f2∫f ff cos n −2f ff 277. ∫ff ff 2ff =12f f ff 2+f 278.f 2f −(f −f )22f 2ff =12f (1+√2f)+f 279. ∫f f 2ff =f f 2(∑f2ff 2f +1f −1f =0)+(2f −1)f 2f −2∫f f2f ff,f>0 其中a 2f =1·3·5···(2f −1)2f +1=2f !f !22f +1+f280. ∫f −ff 2ff ∞−∞=√ff theGaussianintegral 281.∫f 2f f −f 2f 2ff∞0=√f (2f )!f !(f 2)2f +1282. ∫ln ff ff =f ln ff −f +f283. ∫(ln f )2ff =f (ln f )2−2f ln f +2f +f 284. ∫(ln ff )f ff =f (ln ff )f −n ∫(ln ff )f −1ff 285.∫ff ln f=ln |ln f |+ln f +∑(ln f )ff ·f !∞f =2+f286. ∫ff (ln )=−f (−)(ln )+1f −1∫ff(ln )+f,f ≠1 287. ∫f f ln f ff =f f +1(ln ff +1−1(+))+f ,n ≠−1 288. ∫f f (ln f )f ff=f f +1(ln f )ff +1−ff +1∫f f (ln f )f −1ff +f,f ≠−1289. ∫(ln f )f fff=(ln f )f +1f +1+f,f ≠−1290. ∫ln ffff f =−ln f(f −1)f f −1−1(f −1)2f f −1,f ≠1 291. ∫(ln f )f fff f=−(ln f )f(f −1)f f −1+ff −1∫(ln f )f −1ff f f,f ≠1292.∫f f ff (ln f )f=−f f +1(f −1)(ln f )f −1+f +1f −1∫f f ff(ln f )f −1,f≠1293. ∫f f (ln ff )f ff=f f +1(ln ff )ff +1−f f +1∫f f (ln ff )f −1ff ,f ≠−1294. ∫(ln ff )ff ff =(ln ff )f +1f +1+f,f ≠−1295. ∫fff ln ff =ln |ln ff |+f 296. ∫fff f ln f=ln |ln f |+∑(−1)f (f −1)f (ln f )ff ·f !∞f =1+f297. ∫ff f (ln f )f =−1(f −1)(ln f )f −1,f ≠1 298. ∫sin (ln f )ff =f2[sin (ln f )−cos (ln f )]+f 299. ∫cos (ln f )ff =f2[sin (ln f )+cos (ln f )]+f 300. ∫f f (f ln f −f −1f )ff =f f (f ln f −f −ln f )+C。
1.∫(f(x)+g(x))dx=∫f(x)dx+∫g(x)dx2.∫(f(x)−g(x))dx=∫f(x)dx−∫g(x)dx3.∫f(x)dg(x)=f(x)g(x)−∫g(x)df(x)4.∫a x dx=a xln a+C,a≠1,a>05.∫x n dx=x n+1n+1+C,n≠−16.∫1xdx=ln|x|+C7.∫e x dx=e x+C8.∫sin x dx=−cos x+C9.∫cos x dx=sin x+C10.∫sec2x dx=tan x+C11.∫csc2x dx=−cot x+C12.∫sec x tan x dx=sec x+C13.∫csc x cot x dx=−csc x+C14.∫(ax+b)n dx=(ax+b)n+1a(n+1)+C,a≠0,n≠−115.∫dxax+b =1aln|ax+b|+C,a≠016.∫x(ax+b)n dx=(ax+b)n+1a2(ax+bn+2−bn+1)+C,a≠0,n≠−1,−217.∫xax+b dx=xa−ba2ln|ax+b|+C,a≠018.∫x(ax+b)2dx=1a2(ln|ax+b|+bax+b)+C,a≠019.∫x2ax+b dx=12a3[(ax+b)2−4b(ax+b)+2b2ln|ax+b|]+C20.∫x2(ax+b)dx=1a(ax+b−2b ln|ax+b|−b2ax+b)+C21.∫x2(ax+b)dx=1a(ln|ax+b|+2bax+b−b22(ax+b))+C22.∫x2(ax+b)n dx=1a3(−1(n−3)(ax+b)n−3+2b(n−2)(ax+b)n−2−b2(n−1)(ax+b)n−1)+C,n≠1,2,323.∫dxx(ax+b)=1bln|xax+b|+C,b≠024.∫dxx2(ax+b)=−1bx+ab2ln|ax+bx|+C25.∫dxx2(ax+b)2=−a(1b2(ax+b)+1ab2x−2b3ln|ax+bx|)+C26.∫x√ax+bdx=215a2(3ax−2b)(ax+b)32+C27.∫x2√ax+bdx=2105a3(15a2x2−12abx+8b2)(ax+b)32+C28.∫(√ax+b)n dx=2(√ax+b)n+2a(n+2)+C,a≠0,n≠−229.∫x n√ax+b dx=2a(2n+3)x n(ax+b)32−2nba(2n+3)∫x n−1√ax+bdx循环计算30.∫√ax+bx dx=2√ax+b+bx√ax+b=2√ax+b−2√b arctanh√ax+bb+C31.x√ax+b =√−b√ax+b−b+C,b<032.x√ax+b =√b|√ax+b−√b√ax+b+√b|+C,b>033.∫√ax+bx2dx=−√ax+bx+a2x√ax+b+C34.∫√ax+bx n dx=−(ax+b)32b(n−1)x n−1−(2n−5)a2b(n−1)∫√ax+bx n−1dx,n≠1循环计算35.n√ax+b =2a(2n+1)(x n√ax+b−bn n−1√ax+b)+C循环计算36.x2√ax+b =−ax+bbx−a2b x√ax+b+C,b≠037.x n√ax+b =−√ax+bb(n−1)x n−1−(2n−3)a2b(n−1)∫√ax+bx n−1dx,n≠1循环计算38.∫x n√ax+bdx=22n+1(x n+1√ax+b+bx n√ax+b−nb∫x n−1√ax+bdx)+C循环计算39. ∫dx a 2+x 2=1a arctan xa +C ,a ≠040. ∫dx(a 2+x 2)2=x2a 2(a 2+x 2)+12a 3arctan xa +C ,a ≠041. ∫dxa 2−x 2=12a ln |a+xa−x |+C =1a arctanh xa +C ,a ≠0,|a |>|x | 42. ∫dx(a 2−x 2)2=x2a 2(a 2−x 2)+14a 3ln |x+ax−a |+C43. ∫1x −a dx =12a ln |x−ax+a |+C =−1a arccoth xa +C ,a ≠0,|x |>|a | 44. 22=ln(x +√a 2+x 2)+C45. ∫2+x 2dx =x2√a 2+x 2+a 22ln(x +√a 2+x 2)+C46. ∫(√a 2+x 2)3dx =x(√a 2+x 2)34+38a 2x√a 2+x 2+38a 4ln(x +√a 2+x 2)+C 47. ∫(√a 2+x 2)5dx =x(√a 2+x 2)56+524a2x(√a 2+x 2)3+516a 4x√a 2+x 2+516a 6ln(x +√a 2+x 2)+C48. ∫x(√a 2+x 2)2n+1dx =(√a 2+x 2)2n+32n+3+C 49. ∫x2√a 2+x 2dx=x8(a 2+2x2)√a 2+x 2−a 48ln(x +√a 2+x 2)+C50. ∫x 2(√a 2+x 2)3dx =x(√a 2+x 2)56−a 2x √a 2+x 224−a 4x √a 2+x 216−a 616ln(x +√a 2+x 2)+C 51. ∫x3√a 2+x 2dx=(√a 2+x 2)55−a 2(√a 2+x 2)33+C52. ∫x 3(√a 2+x 2)3dx =(√a 2+x 2)77−a 2(√a 2+x 2)55+C53. ∫x 3(√a 2+x 2)2n+1dx =(√a 2+x 2)2n+52n+5−a 2(√a 2+x 2)2n+32n+3+C54. ∫x4√a 2+x 2dx =x 3(√a 2+x 2)36−a 2x(√a 2+x 2)38+a 4x √a 2+x 216+a 616ln(x +√a 2+x 2)+C 55. ∫x 4(√a 2+x 2)3dx =x 3(√a 2+x 2)58−a 2x(√a 2+x 2)516+a 4x(√a 2+x 2)364+3a 6x √a 2+x 2128+3a 8128ln(x +√a 2+x 2)+C 56. ∫x 5√a 2+x 2dx =(√a 2+x 2)77−2a 2(√a 2+x 2)55+a 4(√a 2+x 2)33+C57. ∫x 5(√a 2+x 2)3dx =(√a 2+x 2)99−2a 2(√a 2+x 2)77+a 4(√a 2+x 2)55+C58. ∫x 5(√a 2+x 2)2n+1dx =(√a 2+x 2)2n+72n+7−2a 2(√a 2+x 2)2n+52n+5+a 4(√a 2+x 2)2n+32n+3+C59. ∫√a 2+x 2xdx =√a 2+x 2−a ln |a+√a 2+x 2x|+C =√a 2+x 2−a arcsinh ax +C 60. ∫(√a 2+x 2)3x dx =(√a 2+x 2)33+a2√a 2+x 2−a 3ln |a+√a 2+x 2x|+C61. ∫(√a 2+x 2)5x dx =(√a 2+x 2)55+a 2(√a 2+x 2)33+a 4√a 2+x 2−a 5ln |a+√a 2+x 2x|+C62. ∫(√a 2+x 2)77dx =(√a 2+x 2)77+a 2(√a 2+x 2)55+a 4(√a 2+x 2)33+a 6√a 2+x 2−a 7ln |a+√a 2+x 2x|+C63. ∫√a 2+x 2x 2dx =ln(x +√a 2+x 2)−√a 2+x 2x+C64. 2√22=−a 22ln(x +√a 2+x 2)+x √a 2+x 22+C =−a 22arcsinh xa +x √a 2+x 22+C65. √22=−1a ln |a+√a 2+x 2x|+C =−1a arcsinh ax +C66. x 2√a 2+x 2=−√a 2+x 2a 2x +C ,a ≠067. √22=arcsin xa +C ,a ≠0,|x |≤|a |68. ∫√a 2−x 2dx =x 2√a 2−x 2+a 22arcsin xa +C ,a ≠0,|x |≤|a |69. ∫√a 2−x 2dx =12(x√a 2−x 2−sgn x arccosh |xa |)+C ,|x |≥|a | 70. ∫2−x 2dx =−(√a 2−x 2)33+C ,|x |≤|a |71. ∫x 2√a 2−x 2dx =a 48arcsin xa −18x√a 2−x 2(a 2−2x 2)+C ,a ≠0 72. ∫√a 2−x 2x dx =√a 2−x 2−a ln |a+√a 2−x 2x|+C ,|x |≤|a |73. ∫√a 2−x 2x 2dx =−arcsin xa −√a 2−x 2x +C ,a ≠074. 2√22=a 22arcsin xa −x √a 2−x 22+C ,a ≠0,x√a 2−x 275. √22=−1a ln |a+√a 2−x 2x|+C ,a ≠076. x 2√a 2−x 2=−√a 2−x 2a 2x+C ,a ≠077. 22=ln|x +√x 2−a 2|+C 78. ∫√x 2−a 2dx =x2√x 2−a 2−a 22ln|x +√x 2−a 2|+C79. ∫2−a 2)ndx =x(√x 2−a 2)nn+1−na 2n+1∫(√x 2−a 2)n−2dx ,n ≠−1 循环计算 80. (√x 2−a 2)n=x(√x 2−a 2)2−n(2−n )a 2+n−3(2−n )a 2∫dx (√x 2−a 2)n−2,n ≠2 循环计算81. ∫x(√x 2−a 2)ndx =(√x 2−a 2)n+2n+2+C ,n ≠−2 82. ∫x 2√x 2−a 2dx =x8(2x 2−a2)√x 2−a 2−a 48ln|x +√x 2−a 2|+C83. ∫√x 2−a 2xdx =√x 2−a 2−a arcsec |xa |+C =√x 2−a 2−a arccos |ax |+C ,a ≠0 84. √22=√x 2−a 2+C 85. ∫x dx (√x 2−a 2)3=√22+C 86. ∫x dx (√x 2−a 2)5=−13(√x 2−a 2)3+C 87. ∫x dx (√x 2−a 2)7=−15(√x 2−a 2)5+C88. ∫x dx (√x 2−a 2)2n+1=−1(2n−1)(√x 2−a 2)2n−1+C89. ∫√x 2−a 2x 2dx =ln|x +√x 2−a 2|−√x 2−a 2x +C90. 2√22=a 22ln|x +√x 2−a 2|+x2√x 2−a 2+C91. ∫x 2(√x 2−a 2)3dx =√22ln |x+√x 2−a 2a|+C 92. 4√22=x 3√x 2−a 24+38a 2x√x 2−a 2+38a 4ln |x+√x 2−a 2a|+C93. ∫x 4(√x 2−a 2)3dx =x √x 2−a 22−2√x 2−a 2+32a 2ln |x+√x 2−a 2a |+C 94. ∫x 4(√x 2−a 2)5dx =√x 2−a2x 33(√x 2−a 2)3+ln |x+√x 2−a 2a |+C95. ∫x 2m dx (√x 2−a 2)2n+1=−x 2m−1(2n−1)(√x 2−a 2)2n−1+2m−12n−1∫x 2m−2(√x 2−a 2)2n−1dx +C =(−1)n−ma 2(n−m )∑12(m+i )+1(n−m−1i )x 2(m+i )+1(√x 2−a 2)2(m+i )+1n−m−1i=0,n >m ≥096. ∫dx (√x 2−a 2)3=222+C 97. ∫dx (√x 2−a 2)5=1a (√22−x 33(√x 2−a 2)3)+C98. ∫dx (√x 2−a 2)7=−1a (√22−2x 33(√x 2−a 2)3+x 55(√x 2−a 2)5)+C99. ∫dx (√x 2−a 2)9=1a 8(√x 2−a 2−2x 33(√x 2−a 2)3+3x 55(√x 2−a 2)5−x 77(√x 2−a 2)7)+C100. ∫x 2(√x 2−a 2)5dx =−x 33a 2(√x 2−a 2)3+C101.∫x 2(√x 2−a 2)7dx =1a4(x 33(√x 2−a 2)3−x 55(√x 2−a 2)5)+C102. ∫x 2(√x 2−a 2)9dx =−1a 6(x 33(√x 2−a 2)3−2x 55(√x 2−a 2)5+x 77(√x 2−a 2)7)+C103. √22=1a arcsec |xa |+C ,a ≠0 104. 2√22=√x 2−a 2a 2x +C ,a ≠0105. ∫dx ax +bx+c =√2√24ac −b 2>0106.∫dxax 2+bx+c =√b 2−4ac √b 2−4ac =√b 2−4ac |√b 2−4ac2ax+b+√b 2−4ac |,4ac −b 2<0 107. ∫dxax +bx+c =−22ax+b ,4ac −b 2=0108. ∫dxax 2+bx+c =12a ln |ax 2+bx +c |−b2a ∫dxax 2+bx+c +C109.∫mx+nax 2+bx+c dx =m2a ln |ax 2+bx +c |+√2√2+C ,4ac −b 2>0 110.∫mx+nax 2+bx+c dx =m2a ln |ax 2+bx +c |+√2√2+C,4ac−b2<0111.∫mx+nax2+bx+c dx=m2aln|ax2+bx+c|−2an−bma(2ax+b)+C,4ac−b2=0112.∫dx(ax2+bx+c)n =2ax+b(n−1)(4ac−b2)(ax2+bx+c)n−1+(2n−3)2a(n−1)(4ac−b2)∫dx(ax2+bx+c)n−1+C113.∫x(ax2+bx+c)n dx=bx+2c(n−1)(4ac−b2)(ax2+bx+c)n−1−b(2n−3) (n−1)(4ac−b)∫dx(ax+bx+c)+C114.∫dxx(ax2+bx+c)=12cln|x2ax2+bx+c|−b2c∫dxax2+bx+c+C115.√ax2+bx+c =√aln|2√a2x2+abx+ac+2ax+b|+C,a>0116.√ax2+bx+c =√a√4ac−b2+C,a>0,4ac−b2>0117.√2=a|2ax+b|+C,a>0,4ac−b2=0118.√2=√−a√2+C,a<0,4ac−b2<0119.∫dx(√ax2+bx+c)3=(4ac−b2)√ax2+bx+c+C120.∫dx(√ax2+bx+c)5=(2)√2(1ax2+bx+c+8a4ac−b2)+C121.∫dx(√ax2+bx+c)2n+1=4ax+2b(2n−1)(4ac−b2)(√ax2+bx+c)2n−1+8a(n−1) (2n−1)(4ac−b2)∫dx(√ax2+bx+c)2n−1+C循环计算122.√2=√ax2+bx+ca−b2a√2+C123.∫x dx(√ax2+bx+c)3=(4ac−b2)√ax2+bx+c+C124.∫x dx(√ax2+bx+c)2n+1=−1(2n−1)a(√ax2+bx+c)2n−1−b2a∫dx(√ax2+bx+c)2n−1+C125.√2=√c(2√acx2+bcx+c2+bx+2cx)+C126.2=√c(2)+C127.∫sin2x dx=x2−sin2x4+C128.∫√1−sin x dx=∫√cvs x dx=2cos x2+sin x2cos x2−sin x2,√cvs x=2√1+sin x,其中cvsx是conversine函数129.∫sin n ax dx=−sin n−1ax cos axan +n−1n∫sin n−2ax dx+C循环计算130.∫sin axx dx=∑(−1)i(ax)2i+1(2i+1)(2i+1)!∞i=0+C131.∫sin axx dx=−sin ax(n−1)x+an−1∫cos axxdx132.∫cos n ax dx=1an cos n−1ax sin ax+n−1n∫cos n−2ax dx+C,n≥2133.∫cos2x dx=x2+sin2x4+C134.∫cos axx dx=ln|ax|+∑(−1)i(ax)2i2i(2i)!∞i−1,n≠1135.∫cos axx n dx=−cos ax(n−1)x n−1−an−1∫sin axx n−1dx,n≠1136.∫sin ax cos ax dx=12asin2ax137.∫sin ax sin bx dx=sin[(a−b)x]2(a−b)−sin[(a+b)x]2(a+b)+C,a2≠b2138.∫sin ax cos bx dx=−cos[(a+b)x]2(a+b)−cos[(a−b)x]2(a−b)+C,a2≠b2139.∫cos ax cos bx dx=sin[(a−b)x]2(a−b)+sin[(a+b)x]2(a+b)+C,a2≠b2140.∫sin ax cos ax dx=−cos2ax4a+C,a≠0141.∫sin n ax cos ax dx=sin n+1ax(n+1)a+C,a≠0,n≠−1142.∫cos n ax sin ax dx=−cos n+1ax(n+1)a+C,a≠0,n≠−1143.∫tan ax dx=∫sin axcos ax dx=−1aln|cos ax|+C,a≠0144.∫cot ax dx=∫cos axsin ax dx=1aln|sin ax|+C,a≠0145.∫sin n ax cos m ax dx=−sin n−1ax cos m+1axa(m+n)+n−1 m+n ∫sin n−2ax cos m ax dx+C=sin n+1ax cos m−1axa(m+n)+m−1n+m∫sin n ax cos m−2ax dx+C,a≠0,m+n≠0循环计算146.∫sin ax sin bx dx=x sin(a−b)2(a−b)−x sin(a+b)2(a+b)+C,|a|≠|b|147.∫dxsin ax cos ax =1aln|tan ax|+C148.∫dxsin ax cos ax =1a(n−1)cos ax+∫dxsin ax cos ax,n≠1149.∫dxcos ax sin ax =−1a(n−1)sin ax+∫dxcos ax sin ax,n≠1150.∫sin axdxcos ax =1a(n−1)cos ax+C,n≠1151.∫sin2axdxcos ax =−1asin ax+1aln|tan(π4+ax2)|+C152.∫sin2axdxcos n ax =sin axa(n−1)cos n−1ax−1n−1∫dxcos n−2ax,n≠1153.∫sin n axdxcos ax =−sin n−1axa(n−1)+∫sin n−2axdxcos ax+C154.∫sin n axdxcos m ax =sin n+1axa(m−1)cos m−1ax−n−m+2m−1∫sin n axdxcos m−2ax+C=−sin n−1axa(n−m)cos ax +n−1n−m∫sin n−2axdxcos ax+C=sin n−1axa(m−1)cos ax−n−1 m−1∫sin n−1axdxcos ax+C,m≠1,m≠n155.∫cos axdxsin n ax =−1a(n−1)sin n−1ax+C156.∫cos2axdxsin ax =1a(cos ax+ln|tan ax2|)+C157.∫cos2axdxsin ax =−1n−1(cos axa sin ax+∫dxsin ax)+C,n≠1158.∫cos n axdxsin ax =−cos n+1axa(m−1)sin ax−n−m−2m−1∫cos n axdxsin ax+C=cos n−1axa(n−m)sin ax+n−1 n−m ∫cos n−2axdxsin m ax+C=−cos n−1axa(m−1)sin m−1ax−n−1m−1∫cos n−2axdxsin m−2ax+C,m≠1,m≠n159.∫dxb+c sin ax =22|√b−cb+ctan(π4−ax2)|+C,a≠0,b2>c2160.∫dxb+c sin ax =√22|c+b sin ax+√c2−b2cos axb+c sin ax|+C,a≠0,b2<c2161.∫dx1+sin ax =−1atan(π4−ax2)+C,a≠0162.∫dx1−sin ax =1atan(π4+ax2)+C,a≠0163.∫x dx1+sin ax =xatan(ax2−π4)+2c2ln|cos(ax2−π4)|+C164.∫x dx1−sin ax =xacot(π4−ax2)+2c2ln|sin(π4−ax2)|+C165.∫sin axdx1±sin ax =±x+1ctan(π4∓ax2)+C166.∫dxb+c cos ax =√22|√b−cb+ctan ax2|+C,a≠0,b2>c2167.∫dxb+c cos ax =a√c2−b2|c+b cos ax+√c2−b2sin axb+c cos ax|+C,a≠0,b2<c2168.∫dx1+cos ax =1atan ax2+C,a≠0169.∫dx1−cos ax =−1acot ax2+C,a≠0170.∫x dx1+cos ax =xatan ax2+2a2ln|cos ax2|+C,a≠0171.∫x dx1−cos ax =−xacot ax2+2a2ln|sin ax2|+C,a≠0172.∫cos axdx1+cos ax =x−1atan ax2+C173.∫cos axdx1−cos ax =−x−1acot ax2+C174.∫cos ax cos bx dx=x sin(a−b)2(a−b)+x sin(a+b)2(a+b)+C,|a|≠|b|175.∫dxcos ax±sin ax =√2a|tan(ax2±π8)|+C176.∫dx(cos ax+sin ax)=12atan(ax∓π4)+C177.∫dx(cos x+sin x)n =1n−1(sin x−cos x(cos x+sin x)n−1−2(n−2)∫dx(cos x+sin x)n−2)+C178.∫dx(cos ax+sin ax)=179.∫cos axdxcos ax+sin ax =x2+12aln|sin ax+cos ax|+C180.∫cos axdxcos ax−sin ax =x2−12aln|sin ax−cos ax|+C181.∫sin axdxcos ax+sin ax =x2−12aln|sin ax+cos ax|+C182.∫sin axdxcos ax−sin ax =x2−12aln|sin ax−cos ax|+C183.∫cos axdxsin ax(1+cos ax)=−14atan2ax2+12aln|tan ax2|+C184.∫cos axdxsin ax(1−cos ax)=−14acot2ax2−12aln|tan ax2|+C185.∫sin axdxcos ax(1+sin ax)=14acot2(ax2+π4)+12aln|tan(ax2+π4)|+C186.∫sin axdxcos ax(1−sin ax)=14atan2(ax2+π4)−12aln|tan(ax2+π4)|+C187.∫sin ax tan ax dx=1a(ln|sec ax+tan ax|−sin ax)+C188.∫tan n axdxsin2ax =1a(n−1)tan n−1ax,n≠1189.∫tan n axdxcos2ax =1a(n+1)tan n+1ax,n≠−1190.∫cot n axdxsin ax =1a(n+1)cot n+1ax,n≠−1191.∫cot n axdxcos ax =1a(1−n)tan1−n ax,n≠1192.∫tan m axcot n ax =1a(m+n−1)tan m+n−1ax−∫tan m−2axcot n axdx,m+n≠1193.∫x sin ax dx=1a2sin ax−xacos ax+C,a≠0194.∫x cos ax dx=cos axa2+x sin axa+C195.∫x n sin ax dx=−x na cos ax+na∫x n−1cos ax dx,a≠0循环计算196.∫x n cos ax dx=x na sin ax−na∫x n−1sin ax dx,a≠0循环计算197.∫tan ax dx=−1aln|cos ax|+C,a≠0198.∫cot ax dx=1aln|sin ax|+C,a≠0199.∫tan2ax dx=1atan ax−x+C,a≠0200.∫cot2ax dx=−1acot ax−x+C,a≠0201.∫tan n ax dx=tan n−1axa(n−1)−∫tan n−2ax dx,a≠0,n≠1循环计算202.∫cot n ax dx=−cot n−1axa(n−1)−∫cot n−2ax dx,a≠0,n≠1循环计算203.∫dxtan ax+1=x2+12aln|sin ax+cos ax|+C204.∫dxtan ax−1=−x2+12aln|sin ax−cos ax|+C205.∫tan axdxtan ax+1=x2−12aln|sin ax+cos ax|+C206.∫tan axdxtan ax−1=x2+12aln|sin ax−cos ax|+C207.∫dx1+cot ax =∫tan axdxtan ax+1=x2−12aln|sin ax+cos ax|+C208.∫dx1−cot ax =∫tan axdxtan ax−1=x2+12aln|sin ax−cos ax|+C209.∫sec ax dx=1a ln|sec ax+tan ax|+C=1aln|tan(ax2+π4)|,a≠0210.∫csc ax dx=−1a ln|csc ax+cot ax|+C=1aln|tan ax2|+C,a≠0211.∫sec n ax dx=sec n−2ax tan axa(n−1)+n−2n−1∫sec n−2ax dx,a≠0,n≠1循环计算212.∫csc n ax dx=−csc n−2ax cot axa(n−1)+n−2n−1∫csc n−2ax dx,a≠0,n≠1循环计算213.∫sec n ax tan ax dx=sec n axna+C,a≠0,n≠0214.∫csc n ax cot ax dx=−csc n axna+C,a≠0,n≠0215.∫dxsec x+1=x−tan x2+C216.∫arcsin ax dx=x arcsin ax+1a√1−a2x2+C,a≠0217.∫x arcsin xa dx=(x22−a24)arcsin xa+x4√c2−x2+C218.∫x2arcsin xa dx=x33arcsin xa+x2+2c29√c2−x2+C219.∫x n arcsin x dx=1n+1(x n+1arcsin x+x n√1−x2−nx n−1arcsin xn−1+n∫x n−2arcsin x dx)+C220.∫arccos ax dx=x arccos ax−1a√1−a2x2+C,a≠0221.∫x arccos xa dx=(x22−a24)arccos xa−x4√a2−x2+C222.∫x2arccos xa dx=x33arccos xa−x2+2a29√a2−x2+C223.∫arctan ax dx=x arctan ax−12aln(1+a2x2)+C,a≠0224.∫x arctan xa dx=a2+x22arctan xa−ax2+C225.∫x2arctan xa dx=x33arctan xa−ax26+a36ln a2+x2+C226.∫x n arctan xa dx=x n+1n+1arctan xa−an+1∫x n+1a2+x2dx+C,n≠1227.∫arccot ax dx=x arccot ax+12aln(1+a2x2)+C228.∫x arccot xa dx=a2+x22arccot xa+ax2+C229.∫x2arccot xa dx=x33arccot xa+ax26−a36ln(a2+x2)+C230.∫x n arccot xa dx=x n+1n+1arccot xa+an+1∫x n+1a+xdx,n≠1231.∫arcsec ax dx=x arcsec ax+ax|x|ln(x±√x2−1)+C232.∫x arcsec x dx=12(x2arcsec x−√x2−1)+C233.∫x n arcsec x dx=1n+1(x n+1arcsec x−1n[x n−1√x2−1+(1−n)(x n−1arcsec x+(1−n)∫x n−2arcsec x dx)])+C234.∫arccsc ax dx=x arccsc ax−ax|x|ln(x±√x2−1)+C235.∫sinh ax dx=1acosh ax+C236.∫cosh ax dx=1asinh ax+C237.∫sinh2ax dx=14a sinh2ax−x2+C238.∫cosh2ax dx=14a sinh2ax+x2+C239.∫sinh n ax dx=1an sinh n−1ax cosh ax−n−1n∫sinh n−2ax dx+C,n>0 =1a(n+1)sinh n+1ax cosh ax−n+2n+1∫sinh n+2ax dx+C,n<0,n≠−1240.∫cosh n ax dx=1an sinh ax cosh n−1ax+n−1n∫cosh n+2ax dx,n<0,n≠−1241.∫dxsinh ax =1aln|tanh ax2|+C=1aln|cosh ax−1sinh ax|+C=1aln|sinh axcosh ax+1|+C=1 a ln|cosh ax−1cosh ax+1|+C242.∫dxcosh ax =2aarctan e ax+C243.∫dxsinh ax =cosh axa(n−1)sinh ax−n−2n−1∫dxsinh ax,n≠1244.∫dxcosh ax =sinh axa(n−1)cosh ax+n−2n−1∫dxcosh ax,n≠1245.∫cosh n axsinh m ax dx=cosh n−1axa(n−m)sinh m−1ax+n−1n−m∫cosh n−2axsinh m axdx=−cosh n+1axa(m−1)sinh m−1ax +n−m+2m−1∫cosh n axsinh m−2axdx+C=−cosh n−1axa(m−1)sinh m−1ax+n−1 m−1∫cosh n−2axsinh m−2axdx+C,m≠n,m≠1246.∫sinh m axcos ax dx=sinh m−1axa(m−n)cosh ax+m−1m−n∫sinh m−2axcosh axdx+C=sinh m+1axa(n−1)cosh n−1ax +m−n+2n−1∫sinh m axcosh n−2axdx+C=sinh m−1axa(n−1)cosh n−1ax+m−1 n−1∫sinh m−2axcosh n−2axdx+C,m≠n,n≠1247.∫x sinh ax dx=1a x cosh ax−1asinh ax+C248.∫x cosh ax dx=1a x sinh ax−1acosh ax+C249.∫tanh ax dx=1aln|cosh ax|+C250.∫coth ax dx=1aln|sinh ax|+C251.∫tanh n ax dx=−tanh n−1axa(n−1)+∫tanh n−2ax dx+C,n≠1252.∫coth n ax dx=−coth n−1axa(n−1)+∫coth n−2ax dx,n≠1253.∫sinh ax sinh bx dx=a sinh bx cosh ax−b cosh bx sinh axa2−b2+C254.∫cosh ax cos bx dx=a sinh ax cosh bx−b sinh bx cosh axa2−b2+C255.∫cosh ax sinh bx dx=a sinh ax sinh bx−b cosh ax cosh bxa−b+C256.∫sinh(ax+b)sin(cx+d)dx=aa2+c2cosh(ax+b)sin(cx+d)−ca2+c2sinh(ax+b)cos(cx+d)+C257.∫sinh(ax+b)cos(cx+d)dx=aa2+c2cosh(ax+b)cos(cx+d)+ca+csinh(ax+b)sin(cx+d)+C258.∫cosh(ax+b)sin(cx+d)dx=aa+csinh(ax+b)sin(cx+d)−ca2+c2cosh(ax+b)cos(cx+d)+C259.∫cosh(ax+b)cos(cx+d)dx=aa2+c2sinh(ax+b)cos(cx+d)+ca2+c2cosh(ax+b)sin(cx+d)+C260.∫arcsinh xa dx=x arcsinh xa−√x2+a2+C261.∫arccosh xa dx=x arccosh xa−√x2−a2+C262.∫arctanh xa dx=x arctanh xa+a2ln|a2−x2|+C,|x|<|a|263.∫arccoth xa dx=x arccoth xa+a2ln|x2−a2|+C,|x|<|a|264.∫arcsech xa dx=x arcsech xa−a arctanx√a−xa+xx−a+C,x∈(0,a)265.∫arccsch xa dx=x arccsch xa+a ln x+√x2+a2a+C,x∈(0,a)266.∫xe ax dx=e axa2(ax−1)+C,a≠0267.∫b ax dx=b axa lnb+C,a≠0,b>0,b≠1268.∫x2e ax dx=e ax(x2a −2xa+2a)+C269.∫x n e ax dx=x n e axa −na∫x n−1e ax dx,a≠0270.∫e ax dxx =ln|x|+∑(ax)ii·i!∞i=1+C271.∫e ax dxx =1n−1(−e axx+a∫e axxdx)+C,n≠1272.∫e ax ln x dx=1ae ax ln|x|−Ei(ax)+C273.∫e ax sin bx dx=e axa2+b2(a sin bx−b cos bx)+C274. ∫e axcos bx dx =e axa 2+b 2(a cos bx +b sin bx )+C 275. ∫e ax sin nbx dx =e ax sin n−1x a 2+n 2(a sin x −n cos x )+n (n−1)a 2+n 2∫e ax sin n−2x dx276.∫eaxcos n bx dx =e ax cos n−1xa 2+n 2(a cos x +n sin x )+n (n−1)a 2+n 2∫e ax cos n−2x dx277. ∫xe ax 2dx =12a e ax 2+C 278. σ√2π−(x−μ)22σ2dx =12σ(1+√2σ+C279.∫e x 2dx =ex 2(∑a 2jx 2j+1n−1j=0)+(2n −1)a 2n−2∫e x2x 2n dx ,n >0 其中a 2j =1·3·5···(2j−1)2j+1=2j!j!22j+1+C280. ∫e −ax 2dx ∞−∞=√πa the Gaussian integral281. ∫x 2n e −x 2a 2dx∞0=√π(2n )!n!(a 2)2n+1282. ∫ln ax dx =x ln ax −x +C283. ∫(ln x )2dx =x (ln x )2−2x ln x +2x +C 284. ∫(ln ax )n dx =x (ln ax )n −n ∫(ln ax )n−1dx 285. ∫dxln x=ln |ln x |+ln x +∑(ln x )i i·i!∞i=2+C286. ∫dx (ln x )n =−x(n−1)(ln x )n−1+1n−1∫dx(ln x )n−1+C ,n ≠1 287. ∫x m ln x dx =x m+1(ln xm+1−1(m+1)2)+C ,n ≠−1 288. ∫x m (ln x )n dx =x m+1(ln x )nm+1−nm+1∫x m (ln x )n−1dx +C ,m ≠−1289. ∫(ln x )n dxx =(ln x )n+1n+1+C ,n ≠−1290. ∫ln xdx x m =−ln x(m−1)x m−1−1(m−1)2x m−1,m ≠1 291. ∫(ln x )n dxx =−(ln x )n(m−1)x +nm−1∫(ln x )n−1dxx ,m ≠1 292. ∫x m dx (ln x )=−x m+1(n−1)(ln x )+m+1n−1∫x m dx(ln x ),n ≠1293.∫x n (ln ax)mdx =x n+1(ln ax )mn+1−mn+1∫x n (ln ax )m−1dx ,n ≠−1294.∫(ln ax)mx dx=(ln ax)m+1m+1+C,m≠−1295.∫dxx ln ax=ln|ln ax|+C296.∫dxx ln x =ln|ln x|+∑(−1)i(n−1)i(ln x)ii·i!∞i=1+C297.∫dxx(ln x)=−1(n−1)(ln x),n≠1298.∫sin(ln x)dx=x2[sin(ln x)−cos(ln x)]+C299.∫cos(ln x)dx=x2[sin(ln x)+cos(ln x)]+C300.∫e x(x ln x−x−1x)dx=e x(x ln x−x−ln x)+C。
1.∫sec2x dx=tan x+C2.∫csc2x dx=−cot x+C3.∫sec x tan x dx=sec x+C4.∫csc x cot x dx=−csc x+C5.∫x(ax+b)n dx=(ax+b)n+1a2(ax+bn+2−bn+1)+C,a≠0,n≠−1,−26.∫xax+b dx=xa−ba2ln|ax+b|+C,a≠07.∫x(ax+b)dx=1a(ln|ax+b|+bax+b)+C,a≠08.∫x2ax+b dx=12a3[(ax+b)2−4b(ax+b)+2b2ln|ax+b|]+C9.∫x2(ax+b)2dx=1a3(ax+b−2b ln|ax+b|−b2ax+b)+C10.∫x2(ax+b)dx=1a(ln|ax+b|+2bax+b−b22(ax+b))+C11.∫x2(ax+b)n dx=1a3(−1(n−3)(ax+b)n−3+2b(n−2)(ax+b)n−2−b2(n−1)(ax+b)n−1)+C,n≠1,2,312.∫dxx(ax+b)=1bln|xax+b|+C,b≠013.∫dxx2(ax+b)=−1bx+ab2ln|ax+bx|+C14.∫dxx2(ax+b)2=−a(1b2(ax+b)+1ab2x−2b3ln|ax+bx|)+C15.∫x√ax+bdx=215a2(3ax−2b)(ax+b)32+C16.∫x2√ax+bdx=2105a(15a2x2−12abx+8b2)(ax+b)32+C17.∫(√ax+b)n dx=2(√ax+b)n+2a(n+2)+C,a≠0,n≠−218.∫x n√ax+b dx=2a(2n+3)x n(ax+b)32−2nba(2n+3)∫x n−1√ax+bdx循环计算19.∫√ax+bx dx=2√ax+b+bx√ax+b=2√ax+b−2√b arctanh√ax+bb+C20.x√ax+b =√−b√ax+b−b+C,b<021.x√ax+b =√b|√ax+b−√b√ax+b+√b|+C,b>022.∫√ax+bx2dx=−√ax+bx+a2x√ax+b+C23.∫√ax+bx n dx=−(ax+b)32b(n−1)x n−1−(2n−5)a2b(n−1)∫√ax+bx n−1dx,n≠1循环计算24.n√ax+b =2a(2n+1)(x n√ax+b−bn n−1√ax+b)+C循环计算25.x2√ax+b =−ax+bbx−a2b x√ax+b+C,b≠026.x n√ax+b =−√ax+bb(n−1)x n−1−(2n−3)a2b(n−1)∫√ax+bx n−1dx,n≠1循环计算27.∫x n√ax+bdx=22n+1(x n+1√ax+b+bx n√ax+b−nb∫x n−1√ax+bdx)+C循环计算28.∫dxa2+x2=1aarctan xa+C,a≠029.∫dx(a2+x2)2=x2a2(a2+x2)+12a3arctan xa+C,a≠030.∫dxa2−x2=12aln|a+xa−x|+C=1aarctanh xa+C,a≠0,|a|>|x|31.∫dx(a2−x2)2=x2a2(a2−x2)+14a3ln|x+ax−a|+C32.∫1x2−a2dx=12aln|x−ax+a|+C=−1aarccoth xa+C,a≠0,|x|>|a|33.√a2+x2=ln(x+√a2+x2)+C34.∫√a2+x2dx=x2√a2+x2+a22ln(x+√a2+x2)+C35.∫2+x2)3dx=x(√a2+x2)34+38a2x√a2+x2+38a4ln(x+√a2+x2)+C36.∫2+x2)5dx=x(√a2+x2)56+524a2x(√a2+x2)3+516a4x√a2+x2+516a6ln(x+√a2+x2)+C37. ∫2+x 2)2n+1dx =(√a 2+x 2)2n+32n+3+C 38. ∫x2√a 2+x 2dx=x8(a 2+2x2)√a 2+x 2−a 48ln(x +√a 2+x 2)+C39. ∫x 2(√a 2+x 2)3dx =x(√a 2+x 2)56−a 2x √a 2+x 224−a 4x √a 2+x 216−a 616ln(x +√a 2+x 2)+C 40. ∫x3√a 2+x 2dx=(√a 2+x 2)55−a 2(√a 2+x 2)33+C41. ∫x 3(√a 2+x 2)3dx =(√a 2+x 2)77−a 2(√a 2+x 2)55+C42. ∫x 3(√a 2+x 2)2n+1dx =(√a 2+x 2)2n+52n+5−a 2(√a 2+x 2)2n+32n+3+C43. ∫x4√a 2+x 2dx =x 3(√a 2+x 2)36−a 2x(√a 2+x 2)38+a 4x √a 2+x 216+a 616ln(x +√a 2+x 2)+C 44. ∫x4(√a 2+x 2)3dx =x 3(√a 2+x 2)58−a 2x(√a 2+x 2)516+a 4x(√a 2+x 2)364+3a 6x √a 2+x 2128+3a 8128ln(x +√a 2+x 2)+C 45. ∫x 5√a 2+x 2dx =(√a 2+x 2)77−2a 2(√a 2+x 2)55+a 4(√a 2+x 2)33+C46. ∫x 5(√a 2+x 2)3dx =(√a 2+x 2)99−2a 2(√a 2+x 2)77+a 4(√a 2+x 2)55+C47. ∫x 5(√a 2+x 2)2n+1dx =(√a 2+x 2)2n+72n+7−2a 2(√a 2+x 2)2n+52n+5+a 4(√a 2+x 2)2n+32n+3+C48. ∫√a 2+x 2x dx =√a 2+x 2−a ln |a+√a 2+x 2x|+C =√a 2+x 2−a arcsinh ax +C 49. ∫(√a 2+x 2)3xdx =(√a 2+x 2)33+a2√a 2+x 2−a 3ln |a+√a 2+x 2x|+C50. ∫(√a 2+x 2)5x dx =(√a 2+x 2)55+a 2(√a 2+x 2)33+a4√a 2+x 2−a 5ln |a+√a 2+x 2x|+C51. ∫(√a 2+x 2)77dx =(√a 2+x 2)77+a 2(√a 2+x 2)55+a 4(√a 2+x 2)33+a 6√a 2+x 2−a 7ln |a+√a 2+x 2x|+C52. ∫√a 2+x 2x 2dx =ln(x +√a 2+x 2)−√a 2+x 2x+C53. 2√22=−a 22ln(x +√a 2+x 2)+x √a 2+x 22+C =−a 22arcsinh xa +x √a 2+x 22+C54. √22=−1a ln |a+√a 2+x 2x|+C =−1a arcsinh ax +C55. 222=−√a 2+x 2a 2x +C ,a ≠056. √22=arcsin xa +C ,a ≠0,|x |≤|a | 57. ∫√a 2−x 2dx=x2√a 2−x 2+a 22arcsin xa +C ,a ≠0,|x |≤|a |58. ∫2−x 2dx =12(x√a 2−x 2−sgn x arccosh |xa |)+C ,|x |≥|a | 59. ∫x√a 2−x 2dx =−(√a 2−x 2)33+C ,|x |≤|a |60. ∫x 2√a 2−x 2dx =a 48arcsin xa −18x√a 2−x 2(a 2−2x 2)+C ,a ≠061. ∫√a 2−x 2xdx =√a 2−x 2−a ln |a+√a 2−x 2x|+C ,|x |≤|a |62. ∫√a 2−x 2x dx =−arcsin xa −√a 2−x 2x +C ,a ≠063. 2√22=a 22arcsin xa −x √a 2−x 22+C ,a ≠0,x√a 2−x 264. √22=−1a ln |a+√a 2−x 2x|+C ,a ≠065. x 2√a 2−x 2=−√a 2−x 2a 2x+C ,a ≠066. √22=ln|x +√x 2−a 2|+C 67. ∫√x 2−a 2dx =x 2√x 2−a 2−a 22ln|x +√x 2−a 2|+C68. ∫(√x 2−a 2)ndx =x(√x 2−a 2)nn+1−na 2n+1∫(√x 2−a 2)n−2dx ,n ≠−1循环计算69. (√x 2−a 2)n=x(√x 2−a 2)2−n(2−n )a 2+n−3(2−n )a 2∫dx (√x 2−a 2)n−2,n ≠2循环计算70. ∫x(√x 2−a 2)ndx =(√x 2−a 2)n+2n+2+C ,n ≠−2 71. ∫x 2√x 2−a 2dx=x8(2x 2−a2)√x 2−a 2−a 48ln|x +√x 2−a 2|+C72. ∫√x 2−a 2xdx =√x 2−a 2−a arcsec |xa |+C =√x 2−a 2−a arccos |ax |+C ,a ≠0 73. √22=√x 2−a 2+C 74. ∫xdx (√x 2−a 2)3=√22+C 75. ∫xdx (√x 2−a 2)5=−13(√x 2−a 2)3+C 76. ∫xdx (√x 2−a 2)7=−15(√x 2−a 2)5+C77. ∫xdx (√x 2−a 2)2n+1=−1(2n−1)(√x 2−a 2)2n−1+C78. ∫√x 2−a 2x 2dx =ln|x +√x 2−a 2|−√x 2−a 2x +C79. 2√22=a 22ln|x +√x 2−a 2|+x2√x 2−a 2+C80. ∫x 2(√x 2−a 2)3dx =√22ln |x+√x 2−a 2a|+C81. 4√22=x 3√x 2−a 24+38a 2x√x 2−a 2+38a 4ln |x+√x 2−a 2a|+C82. ∫x 4(√x 2−a 2)3dx =x √x 2−a 22−2√x 2−a2+32a 2ln |x+√x 2−a 2a |+C 83. ∫x 4(√x 2−a 2)5dx =√x 2−a 2x 33(√x 2−a 2)3+ln |x+√x 2−a 2a|+C84. ∫x 2m dx(√x 2−a 2)2n+1=−x 2m−1(2n−1)(√x 2−a 2)2n−1+2m−12n−1∫x 2m−2(√x 2−a 2)2n−1dx +C =(−1)n−ma ()∑12(m+i )+1(n−m−1i )x 2(m+i )+1(√x 2−a 2)2(m+i )+1n−m−1i=0,n >m ≥085. ∫dx (√x 2−a 2)3=a 2√x 2−a 2+C 86. ∫dx (√x 2−a 2)5=1a 4(√x 2−a 2−x 33(√x 2−a 2)3)+C87. ∫dx (√x 2−a 2)7=−1a 6(√x 2−a 2−2x 33(√x 2−a 2)3+x 55(√x 2−a 2)5)+C88. ∫dx (√x 2−a 2)9=1a 8(√22−2x 33(√x 2−a 2)3+3x 55(√x 2−a 2)5−x 77(√x 2−a 2)7)+C89. ∫x 2(√x 2−a 2)5dx =−x 33a 2(√x 2−a 2)3+C90. ∫x 2(√x 2−a 2)7dx =1a4(x 33(√x 2−a 2)3−x 55(√x 2−a 2)5)+C91. ∫x 2(√x 2−a 2)9dx =−1a (x 33(√x 2−a 2)3−2x 55(√x 2−a 2)5+x 77(√x 2−a 2)7)+C92. x √x 2−a2=1a arcsec |xa |+C ,a ≠0 93. 2√22=√x 2−a 2a x +C ,a ≠0 94. ∫dxax 2+bx+c =√4ac−b2√4ac−b 24ac −b 2>095.∫dxax+bx+c =√2√2=√2|√b2−4ac√2|,4ac−b2<096.∫dxax2+bx+c =−22ax+b,4ac−b2=097.∫dxax+bx+c =12aln|ax2+bx+c|−b2a∫dxax+bx+c+C98.∫mx+nax2+bx+c dx=m2aln|ax2+bx+c|+a√4ac−b2√4ac−b2+C,4ac−b2>099.∫mx+nax+bx+c dx=m2aln|ax2+bx+c|+√2√2+C,4ac−b2<0100.∫mx+nax+bx+c dx=m2aln|ax2+bx+c|−2an−bma(2ax+b)+C,4ac−b2=0101.∫dx(ax2+bx+c)n =2ax+b(n−1)(4ac−b2)(ax2+bx+c)n−1+(2n−3)2a(n−1)(4ac−b2)∫dx(ax2+bx+c)n−1+C102.∫x(ax2+bx+c)n dx=bx+2c(n−1)(4ac−b2)(ax2+bx+c)n−1−b(2n−3) (n−1)(4ac−b2)∫dx(ax2+bx+c)n−1+C103.∫dxx(ax2+bx+c)=12cln|x2ax2+bx+c|−b2c∫dxax2+bx+c+C104.√2=aln|2√a2x2+abx+ac+2ax+b|+C,a>0105.√2=√a√2+C,a>0,4ac−b2>0106.√2=√a|2ax+b|+C,a>0,4ac−b2=0107.√ax2+bx+c =√−a√b2−4ac+C,a<0,4ac−b2<0108.∫dx(√ax2+bx+c)3=(2)√2+C109.∫dx(√ax2+bx+c)5=(2)√2(1ax+bx+c+8a4ac−b)+C110.∫dx(√ax2+bx+c)2n+1=4ax+2b(2n−1)(4ac−b2)(√ax2+bx+c)2n−1+8a(n−1) (2n−1)(4ac−b2)∫dx(√ax2+bx+c)2n−1+C循环计算111.√2=√ax2+bx+ca−b2a√2+C112.∫xdx(√ax2+bx+c)3=(2)√2+C113.∫xdx(√ax2+bx+c)2n+1=−1(2n−1)a(√ax2+bx+c)2n−1−b2a∫dx(√ax2+bx+c)2n−1+C114.√2=√c(2√acx2+bcx+c2+bx+2cx)+C115.x√ax2+bx+c =√c(|x|√4ac−b2)+C116.∫sin2x dx=x2−sin2x4+C117.∫√1−sin x dx=∫√cvs x dx=2cos x2+sin x2cos x2−sin x2,√cvs x=2√1+sin x,其中cvsx是conversine函数118.∫sin n ax dx=−sin n−1ax cos axan +n−1n∫sin n−2ax dx+C循环计算119.∫sin axx dx=∑(−1)i(ax)2i+1(2i+1)(2i+1)!∞i=0+C120.∫sin axx n dx=−sin ax(n−1)x n−1+an−1∫cos axx n−1dx121.∫cos n ax dx=1an cos n−1ax sin ax+n−1n∫cos n−2ax dx+C,n≥2122.∫cos2x dx=x2+sin2x4+C123.∫cos axx dx=ln|ax|+∑(−1)i(ax)2i2i(2i)!∞i−1,n≠1124.∫cos axx n dx=−cos ax(n−1)x n−1−an−1∫sin axx n−1dx,n≠1125.∫sin ax cos ax dx=12asin2ax126.∫sin ax sin bx dx=sin[(a−b)x]2(a−b)−sin[(a+b)x]2(a+b)+C,a2≠b2127.∫sin ax cos bx dx=−cos[(a+b)x]2(a+b)−cos[(a−b)x]2(a−b)+C,a2≠b2128.∫cos ax cos bx dx=sin[(a−b)x]2(a−b)+sin[(a+b)x]2(a+b)+C,a2≠b2129.∫sin ax cos ax dx=−cos2ax4a+C,a≠0130.∫sin n ax cos ax dx=sin n+1ax(n+1)a+C,a≠0,n≠−1131.∫cos n ax sin ax dx=−cos n+1ax(n+1)a+C,a≠0,n≠−1132.∫tan ax dx=∫sin axcos ax dx=−1aln|cos ax|+C,a≠0133.∫cot ax dx=∫cos axsin ax dx=1aln|sin ax|+C,a≠0134.∫sin n ax cos m ax dx=−sin n−1ax cos m+1axa(m+n)+n−1 m+n ∫sin n−2ax cos m ax dx+C=sin n+1ax cos m−1axa(m+n)+m−1n+m∫sin n ax cos m−2ax dx+C,a≠0,m+n≠0循环计算135.∫sin ax sin bx dx=x sin(a−b)2(a−b)−x sin(a+b)2(a+b)+C,|a|≠|b|136.∫dxsin ax cos ax =1aln|tan ax|+C137.∫dxsin ax cos n ax =1a(n−1)cos n−1ax+∫dxsin ax cos n−2ax,n≠1138.∫dxcos ax sin n ax =−1a(n−1)sin n−1ax+∫dxcos ax sin n−2ax,n≠1139.∫sin axdxcos n ax =1a(n−1)cos n−1ax+C,n≠1140.∫sin2axdxcos ax =−1asin ax+1aln|tan(π4+ax2)|+C141.∫sin2axdxcos n ax =sin axa(n−1)cos n−1ax−1n−1∫dxcos n−2ax,n≠1142.∫sin n axdxcos ax =−sin n−1axa(n−1)+∫sin n−2axdxcos ax+C143.∫sin n axdxcos ax =sin n+1axa(m−1)cos ax−n−m+2m−1∫sin n axdxcos ax+C=−sin n−1axa(n−m)cos m−1ax +n−1n−m∫sin n−2axdxcos m ax+C=sin n−1axa(m−1)cos m−1ax−n−1 m−1∫sin n−1axdxcos m−2ax+C,m≠1,m≠n144.∫cos axdxsin n ax =−1a(n−1)sin n−1ax+C145.∫cos2axdxsin ax =1a(cos ax+ln|tan ax2|)+C146.∫cos2axdxsin ax =−1n−1(cos axa sin ax+∫dxsin ax)+C,n≠1147.∫cos n axdxsin m ax =−cos n+1axa(m−1)sin m−1ax−n−m−2m−1∫cos n axdxsin m−2ax+C=cos n−1axa(n−m)sin m−1ax+n−1 n−m ∫cos n−2axdxsin ax+C=−cos n−1axa(m−1)sin ax−n−1m−1∫cos n−2axdxsin ax+C,m≠1,m≠n148.∫dxb+c sin ax =a√b2−c2|√b−cb+ctan(π4−ax2)|+C,a≠0,b2>c2149.∫dxb+c sin ax =√22|c+b sin ax+√c2−b2cos axb+c sin ax|+C,a≠0,b2<c2150.∫dx1+sin ax =−1atan(π4−ax2)+C,a≠0151.∫dx1−sin ax =1atan(π4+ax2)+C,a≠0152.∫xdx1+sin ax =xatan(ax2−π4)+2c2ln|cos(ax2−π4)|+C153.∫xdx1−sin ax =xacot(π4−ax2)+2cln|sin(π4−ax2)|+C154.∫sin axdx1±sin ax =±x+1ctan(π4∓ax2)+C155.∫dxb+c cos ax =a√b2−c2|√b−cb+ctan ax2|+C,a≠0,b2>c2156.∫dxb+c cos ax =√22|c+b cos ax+√c2−b2sin axb+c cos ax|+C,a≠0,b2<c2157.∫dx1+cos ax =1atan ax2+C,a≠0158.∫dx1−cos ax =−1acot ax2+C,a≠0159.∫xdx1+cos ax =xatan ax2+2a2ln|cos ax2|+C,a≠0160.∫xdx1−cos ax =−xacot ax2+2aln|sin ax2|+C,a≠0161.∫cos axdx1+cos ax =x−1atan ax2+C162.∫cos axdx1−cos ax =−x−1acot ax2+C163.∫cos ax cos bx dx=x sin(a−b)2(a−b)+x sin(a+b)2(a+b)+C,|a|≠|b|164.∫dxcos ax±sin ax =√2a|tan(ax2±π8)|+C165.∫dx(cos ax+sin ax)2=12atan(ax∓π4)+C166.∫dx(cos x+sin x)n =1n−1(sin x−cos x(cos x+sin x)n−1−2(n−2)∫dx(cos x+sin x)n−2)+C167.∫dx(cos ax+sin ax)=168.∫cos axdxcos ax+sin ax =x2+12aln|sin ax+cos ax|+C169.∫cos axdxcos ax−sin ax =x2−12aln|sin ax−cos ax|+C170.∫sin axdxcos ax+sin ax =x2−12aln|sin ax+cos ax|+C171.∫sin axdxcos ax−sin ax =x2−12aln|sin ax−cos ax|+C172.∫cos axdxsin ax(1+cos ax)=−14atan2ax2+12aln|tan ax2|+C173.∫cos axdxsin ax(1−cos ax)=−14acot2ax2−12aln|tan ax2|+C174.∫sin axdxcos ax(1+sin ax)=14acot2(ax2+π4)+12aln|tan(ax2+π4)|+C175.∫sin axdxcos ax(1−sin ax)=14atan2(ax2+π4)−12aln|tan(ax2+π4)|+C176.∫sin ax tan ax dx=1a(ln|sec ax+tan ax|−sin ax)+C177.∫tan n axdxsin2ax =1a(n−1)tan n−1ax,n≠1178.∫tan n axdxcos2ax =1a(n+1)tan n+1ax,n≠−1179.∫cot n axdxsin2ax =1a(n+1)cot n+1ax,n≠−1180.∫cot n axdxcos ax =1a(1−n)tan1−n ax,n≠1181.∫tan m axcot n ax =1a(m+n−1)tan m+n−1ax−∫tan m−2axcot n axdx,m+n≠1182.∫x sin ax dx=1a sin ax−xacos ax+C,a≠0183.∫x cos ax dx=cos axa +x sin axa+C184.∫x n sin ax dx=−x na cos ax+na∫x n−1cos ax dx,a≠0循环计算185.∫x n cos ax dx=x na sin ax−na∫x n−1sin ax dx,a≠0循环计算186.∫tan ax dx=−1aln|cos ax|+C,a≠0187.∫cot ax dx=1aln|sin ax|+C,a≠0188.∫tan2ax dx=1atan ax−x+C,a≠0189.∫cot2ax dx=−1acot ax−x+C,a≠0190.∫tan n ax dx=tan n−1axa(n−1)−∫tan n−2ax dx,a≠0,n≠1循环计算191.∫cot n ax dx=−cot n−1axa(n−1)−∫cot n−2ax dx,a≠0,n≠1循环计算192.∫dxtan ax+1=x2+12aln|sin ax+cos ax|+C193.∫dxtan ax−1=−x2+12aln|sin ax−cos ax|+C194.∫tan axdxtan ax+1=x2−12aln|sin ax+cos ax|+C195.∫tan axdxtan ax−1=x2+12aln|sin ax−cos ax|+C196.∫dx1+cot ax =∫tan axdxtan ax+1=x2−12aln|sin ax+cos ax|+C197.∫dx1−cot ax =∫tan axdxtan ax−1=x2+12aln|sin ax−cos ax|+C198.∫sec ax dx=1a ln|sec ax+tan ax|+C=1aln|tan(ax2+π4)|,a≠0199.∫csc ax dx=−1a ln|csc ax+cot ax|+C=1aln|tan ax2|+C,a≠0200.∫sec n ax dx=sec n−2ax tan axa(n−1)+n−2n−1∫sec n−2ax dx,a≠0,n≠1循环计算201.∫csc n ax dx=−csc n−2ax cot axa(n−1)+n−2n−1∫csc n−2ax dx,a≠0,n≠1循环计算202.∫sec n ax tan ax dx=sec n axna+C,a≠0,n≠0203.∫csc n ax cot ax dx=−csc n axna+C,a≠0,n≠0204.∫dxsec x+1=x−tan x2+C205.∫arcsin ax dx=x arcsin ax+1a√1−a2x2+C,a≠0206.∫x arcsin xa dx=(x22−a24)arcsin xa+x4√c2−x2+C207.∫x2arcsin xa dx=x33arcsin xa+x2+2c29√c2−x2+C208.∫x n arcsin x dx=1n+1(x n+1arcsin x+x n√1−x2−nx n−1arcsin xn−1+n∫x n−2arcsin x dx)+C209.∫arccos ax dx=x arccos ax−1a√1−a2x2+C,a≠0210.∫x arccos xa dx=(x22−a24)arccos xa−x4√a2−x2+C211.∫x2arccos xa dx=x33arccos xa−x2+2a29√a2−x2+C212.∫arctan ax dx=x arctan ax−12aln(1+a2x2)+C,a≠0213.∫x arctan xa dx=a2+x22arctan xa−ax2+C214.∫x2arctan xa dx=x33arctan xa−ax26+a36ln a2+x2+C215.∫x n arctan xa dx=x n+1n+1arctan xa−an+1∫x n+1a2+x2dx+C,n≠1216.∫arccot ax dx=x arccot ax+12aln(1+a2x2)+C217.∫x arccot xa dx=a2+x22arccot xa+ax2+C218.∫x2arccot xa dx=x33arccot xa+ax26−a36ln(a2+x2)+C219.∫x n arccot xa dx=x n+1n+1arccot xa+an+1∫x n+1a2+x2dx,n≠1220.∫arcsec ax dx=x arcsec ax+ax|x|ln(x±√x2−1)+C221.∫x arcsec x dx=12(x2arcsec x−√x2−1)+C222.∫x n arcsec x dx=1n+1(x n+1arcsec x−1n[x n−1√x2−1+(1−n)(x n−1arcsec x+(1−n)∫x n−2arcsec x dx)])+C223.∫arccsc ax dx=x arccsc ax−ax|x|ln(x±√x2−1)+C224.∫sinh ax dx=1acosh ax+C225.∫cosh ax dx=1asinh ax+C226.∫sinh2ax dx=14a sinh2ax−x2+C227.∫cosh2ax dx=14a sinh2ax+x2+C228.∫sinh n ax dx=1an sinh n−1ax cosh ax−n−1n∫sinh n−2ax dx+C,n>0=1a(n+1)sinh n+1ax cosh ax−n+2n+1∫sinh n+2ax dx+C,n<0,n≠−1229.∫cosh n ax dx=1an sinh ax cosh n−1ax+n−1n∫cosh n+2ax dx,n<0,n≠−1230.∫dxsinh ax =1aln|tanh ax2|+C=1aln|cosh ax−1sinh ax|+C=1aln|sinh axcosh ax+1|+C=1 a ln|cosh ax−1cosh ax+1|+C231.∫dxcosh ax =2aarctan e ax+C232.∫dxsinh n ax =cosh axa(n−1)sinh n−1ax−n−2n−1∫dxsinh n−2ax,n≠1233.∫dxcosh ax =sinh axa(n−1)cosh ax+n−2n−1∫dxcosh ax,n≠1234.∫cosh n axsinh m ax dx=cosh n−1axa(n−m)sinh m−1ax+n−1n−m∫cosh n−2axsinh m axdx=−cosh n+1axa(m−1)sinh m−1ax +n−m+2m−1∫cosh n axsinh m−2axdx+C=−cosh n−1axa(m−1)sinh m−1ax+n−1 m−1∫cosh n−2axsinh m−2axdx+C,m≠n,m≠1235.∫sinh m axcos n ax dx=sinh m−1axa(m−n)cosh n−1ax+m−1m−n∫sinh m−2axcosh n axdx+C=sinh m+1axa(n−1)cosh ax +m−n+2n−1∫sinh m axcosh axdx+C=sinh m−1axa(n−1)cosh ax+m−1 n−1∫sinh m−2axcosh axdx+C,m≠n,n≠1236.∫x sinh ax dx=1a x cosh ax−1a2sinh ax+C237.∫x cosh ax dx=1a x sinh ax−1acosh ax+C238.∫tanh ax dx=1aln|cosh ax|+C239.∫coth ax dx=1aln|sinh ax|+C240.∫tanh n ax dx=−tanh n−1axa(n−1)+∫tanh n−2ax dx+C,n≠1241.∫coth n ax dx=−coth n−1axa(n−1)+∫coth n−2ax dx,n≠1+C 242.∫sinh ax sinh bx dx=a sinh bx cosh ax−b cosh bx sinh axa−b243.∫cosh ax cos bx dx=a sinh ax cosh bx−b sinh bx cosh axa−b+C244.∫cosh ax sinh bx dx=a sinh ax sinh bx−b cosh ax cosh bxa2−b2+C245.∫sinh(ax+b)sin(cx+d)dx=aa+ccosh(ax+b)sin(cx+d)−ca+csinh(ax+b)cos(cx+d)+C246.∫sinh(ax+b)cos(cx+d)dx=aa2+c2cosh(ax+b)cos(cx+d)+ca2+c2sinh(ax+b)sin(cx+d)+C247.∫cosh(ax+b)sin(cx+d)dx=aa2+c2sinh(ax+b)sin(cx+d)−ca2+c2cosh(ax+b)cos(cx+d)+C248.∫cosh(ax+b)cos(cx+d)dx=aa+csinh(ax+b)cos(cx+d)+ca2+c2cosh(ax+b)sin(cx+d)+C249.∫arcsinh xa dx=x arcsinh xa−√x2+a2+C250.∫arccosh xa dx=x arccosh xa−√x2−a2+C251.∫arctanh xa dx=x arctanh xa+a2ln|a2−x2|+C,|x|<|a|252.∫arccoth xa dx=x arccoth xa+a2ln|x2−a2|+C,|x|<|a|253.∫arcsech xa dx=x arcsech xa−a arctanx√a−xa+xx−a+C,x∈(0,a)254.∫arccsch xa dx=x arccsch xa+a ln x+√x2+a2a+C,x∈(0,a)255.∫xe ax dx=e axa2(ax−1)+C,a≠0256.∫b ax dx=b axalnb+C,a≠0,b>0,b≠1257.∫x2e ax dx=e ax(x2a −2xa2+2a3)+C258.∫x n e ax dx=x n e axa −na∫x n−1e ax dx,a≠0259.∫e ax dxx =ln|x|+∑(ax)ii·i!∞i=1+C260. ∫e ax dx x =1n−1(−e ax x +a ∫e axx dx)+C ,n ≠1261. ∫e ax ln x dx =1a e ax ln |x |−Ei (ax )+C 262. ∫e ax sin bx dx =e axa +b (a sin bx −b cos bx )+C 263. ∫e axcos bx dx =e axa 2+b 2(a cos bx +b sin bx )+C 264. ∫e ax sin nbx dx =e ax sin n−1x a +n (a sin x −n cos x )+n (n−1)a +n ∫e ax sin n−2x dx265.∫eaxcos n bx dx =e ax cos n−1xa 2+n 2(a cos x +n sin x )+n (n−1)a +n ∫e ax cos n−2x dx266. ∫xe ax 2dx =12a e ax 2+C 267. σ√2π−(x−μ)22σ2dx =12σ(1+√2σ+C268.∫e x 2dx =ex 2(∑a 2jx 2j+1n−1j=0)+(2n −1)a 2n−2∫e x2x 2n dx ,n >0其中a 2j =1·3·5···(2j−1)2=2j!j!2+C269. ∫e −ax 2dx ∞−∞=√πa the Gaussian integral270. ∫x 2n e −x 2a 2dx∞0=√π(2n )!n!(a 2)2n+1271. ∫ln ax dx =x ln ax −x +C272. ∫(ln x )2dx =x (ln x )2−2x ln x +2x +C 273. ∫(ln ax )n dx =x (ln ax )n −n ∫(ln ax )n−1dx 274. ∫dxln x=ln |ln x |+ln x +∑(ln x )i i·i!∞i=2+C275. ∫dx (ln x )n =−x(n−1)(ln x )n−1+1n−1∫dx(ln x )n−1+C ,n ≠1 276. ∫x m ln x dx =x m+1(ln xm+1−1(m+1)2)+C ,n ≠−1 277. ∫x m (ln x )n dx =x m+1(ln x )nm+1−nm+1∫x m (ln x )n−1dx +C ,m ≠−1278.∫(ln x )n dxx=(ln x )n+1n+1+C ,n ≠−1279.∫ln xdxx m =−ln x(m−1)x m−1−1(m−1)2x m−1,m≠1280.∫(ln x)n dxx m =−(ln x)n(m−1)x m−1+nm−1∫(ln x)n−1dxx m,m≠1281.∫x m dx(ln x)n =−x m+1(n−1)(ln x)n−1+m+1n−1∫x m dx(ln x)n−1,n≠1282.∫x n(ln ax)m dx=x n+1(ln ax)mn+1−mn+1∫x n(ln ax)m−1dx,n≠−1283.∫(ln ax)mx dx=(ln ax)m+1m+1+C,m≠−1284.∫dxx ln ax=ln|ln ax|+C285.∫dxx n ln x =ln|ln x|+∑(−1)i(n−1)i(ln x)ii·i!∞i=1+C286.∫dxx(ln x)n =−1(n−1)(ln x)n−1,n≠1287.∫sin(ln x)dx=x2[sin(ln x)−cos(ln x)]+C288.∫cos(ln x)dx=x2[sin(ln x)+cos(ln x)]+C289.∫e x(x ln x−x−1x)dx=e x(x ln x−x−ln x)+C(注:本资料素材和资料部分来自网络,仅供参考。
1.∫(f(x)+g(x))dx=∫f(x)dx+∫g(x)dx2.∫(f(x)−g(x))dx=∫f(x)dx−∫g(x)dx3.∫f(x)dg(x)=f(x)g(x)−∫g(x)df(x)4.∫a x dx=a xln a+C,a≠1,a>05.∫x n dx=x n+1n+1+C,n≠−16.∫1xdx=ln|x|+C7.∫e x dx=e x+C8.∫sin x dx=−cos x+C9.∫cos x dx=sin x+C10.∫sec2x dx=tan x+C11.∫csc2x dx=−cot x+C12.∫sec x tan x dx=sec x+C13.∫csc x cot x dx=−csc x+C14.∫(ax+b)n dx=(ax+b)n+1a(n+1)+C,a≠0,n≠−115.∫dxax+b =1aln|ax+b|+C,a≠016.∫x(ax+b)n dx=(ax+b)n+1a2(ax+bn+2−bn+1)+C,a≠0,n≠−1,−217.∫xax+b dx=xa−ba2ln|ax+b|+C,a≠018.∫x(ax+b)2dx=1a2(ln|ax+b|+bax+b)+C,a≠019.∫x2ax+b dx=12a3[(ax+b)2−4b(ax+b)+2b2ln|ax+b|]+C20.∫x2(ax+b)2dx=1a3(ax+b−2b ln|ax+b|−b2ax+b)+C21.∫x2(ax+b)3dx=1a3(ln|ax+b|+2bax+b−b22(ax+b)2)+C22.∫x2(ax+b)n dx=1a3(−1(n−3)(ax+b)n−3+2b(n−2)(ax+b)n−2−b2(n−1)(ax+b)n−1)+C,n≠1,2,323.∫dxx(ax+b)=1bln|xax+b|+C,b≠024.∫dxx2(ax+b)=−1bx+ab2ln|ax+bx|+C25.∫dxx2(ax+b)2=−a(1b2(ax+b)+1ab2x−2b3ln|ax+bx|)+C26.∫x√ax+bdx=215a2(3ax−2b)(ax+b)32+C27.∫x2√ax+bdx=2105a3(15a2x2−12abx+8b2)(ax+b)32+C28.∫(√ax+b)n dx=2(√ax+b)n+2a(n+2)+C,a≠0,n≠−229.∫x n√ax+b dx=2a(2n+3)x n(ax+b)32−2nba(2n+3)∫x n−1√ax+bdx循环计算30.∫√ax+bx dx=2√ax+b+bx√ax+b=2√ax+b−2√b arctanh√ax+bb+C31.x√ax+b =√−b√ax+b−b+C,b<032.x√ax+b =√b|√ax+b−√b√ax+b+√b|+C,b>033.∫√ax+bx2dx=−√ax+bx+a2x√ax+b+C34.∫√ax+bx n dx=−(ax+b)32b(n−1)x n−1−(2n−5)a2b(n−1)∫√ax+bx n−1dx,n≠1循环计算35.n√ax+b =2a(2n+1)(x n√ax+b−bn n−1√ax+b)+C循环计算36.x2√ax+b =−ax+bbx−a2b x√ax+b+C,b≠037.x n√ax+b =−√ax+bb(n−1)x n−1−(2n−3)a2b(n−1)∫√ax+bx n−1dx,n≠1循环计算38.∫x n√ax+bdx=22n+1(x n+1√ax+b+bx n√ax+b−nb∫x n−1√ax+bdx)+C循环计算39. ∫dx a 2+x 2=1a arctan xa +C ,a ≠040. ∫dx(a 2+x 2)2=x2a 2(a 2+x 2)+12a 3arctan xa +C ,a ≠041. ∫dxa 2−x 2=12a ln |a+xa−x |+C =1a arctanh xa +C ,a ≠0,|a |>|x | 42. ∫dx(a 2−x 2)2=x2a 2(a 2−x 2)+14a 3ln |x+ax−a |+C43. ∫1x 2−a 2dx =12a ln |x−ax+a |+C =−1a arccoth xa +C ,a ≠0,|x |>|a | 44. √a 2+x 2=ln(x +√a 2+x 2)+C45. ∫√a 2+x 2dx =x2√a 2+x 2+a 22ln(x +√a 2+x 2)+C46. ∫(√a 2+x 2)3dx =x(√a 2+x 2)34+38a 2x√a 2+x 2+38a 4ln(x +√a 2+x 2)+C 47. ∫(√a 2+x 2)5dx =x(√a 2+x 2)56+524a2x(√a 2+x 2)3+516a 4x√a 2+x 2+516a 6ln(x +√a 2+x 2)+C48. ∫x(√a 2+x 2)2n+1dx =(√a 2+x 2)2n+32n+3+C 49. ∫x2√a 2+x 2dx=x8(a 2+2x2)√a 2+x 2−a 48ln(x +√a 2+x 2)+C50. ∫x 2(√a 2+x 2)3dx =x(√a 2+x 2)56−a 2x √a 2+x 224−a 4x √a 2+x 216−a 616ln(x +√a 2+x 2)+C 51. ∫x3√a 2+x 2dx=(√a 2+x 2)55−a 2(√a 2+x 2)33+C52. ∫x 3(√a 2+x 2)3dx =(√a 2+x 2)77−a 2(√a 2+x 2)55+C53. ∫x 3(√a 2+x 2)2n+1dx =(√a 2+x 2)2n+52n+5−a 2(√a 2+x 2)2n+32n+3+C54. ∫x4√a 2+x 2dx =x 3(√a 2+x 2)36−a 2x(√a 2+x 2)38+a 4x √a 2+x 216+a 616ln(x +√a 2+x 2)+C 55. ∫x 4(√a 2+x 2)3dx =x 3(√a 2+x 2)58−a 2x(√a 2+x 2)516+a 4x(√a 2+x 2)364+3a 6x √a 2+x 2128+3a 8128ln(x +√a 2+x 2)+C 56. ∫x 5√a 2+x 2dx =(√a 2+x 2)77−2a 2(√a 2+x 2)55+a 4(√a 2+x 2)33+C57. ∫x 5(√a 2+x 2)3dx =(√a 2+x 2)99−2a 2(√a 2+x 2)77+a 4(√a 2+x 2)55+C58. ∫x 5(√a 2+x 2)2n+1dx =(√a 2+x 2)2n+72n+7−2a 2(√a 2+x 2)2n+52n+5+a 4(√a 2+x 2)2n+32n+3+C59. ∫√a 2+x 2xdx =√a 2+x 2−a ln |a+√a 2+x 2x|+C =√a 2+x 2−a arcsinh ax +C 60. ∫(√a 2+x 2)3x dx =(√a 2+x 2)33+a2√a 2+x 2−a 3ln |a+√a 2+x 2x|+C61. ∫(√a 2+x 2)5x dx =(√a 2+x 2)55+a 2(√a 2+x 2)33+a 4√a 2+x 2−a 5ln |a+√a 2+x 2x|+C62. ∫(√a 2+x 2)77dx =(√a 2+x 2)77+a 2(√a 2+x 2)55+a 4(√a 2+x 2)33+a 6√a 2+x 2−a 7ln |a+√a 2+x 2x|+C63. ∫√a 2+x 2x 2dx =ln(x +√a 2+x 2)−√a 2+x 2x+C64. 2√a 2+x 2=−a 22ln(x +√a 2+x 2)+x √a 2+x 22+C =−a 22arcsinh xa +x √a 2+x 22+C65. x √a 2+x 2=−1a ln |a+√a 2+x 2x|+C =−1a arcsinh ax +C66. x 2√a 2+x 2=−√a 2+x 2a 2x +C ,a ≠067. √a 2−x 2=arcsin xa +C ,a ≠0,|x |≤|a |68. ∫√a 2−x 2dx =x 2√a 2−x 2+a 22arcsin xa +C ,a ≠0,|x |≤|a |69. ∫√a 2−x 2dx =12(x√a 2−x 2−sgn x arccosh |xa |)+C ,|x |≥|a | 70. ∫x√a 2−x 2dx =−(√a 2−x 2)33+C ,|x |≤|a |71. ∫x 2√a 2−x 2dx =a 48arcsin xa −18x√a 2−x 2(a 2−2x 2)+C ,a ≠0 72. ∫√a 2−x 2x dx =√a 2−x 2−a ln |a+√a 2−x 2x|+C ,|x |≤|a |73. ∫√a 2−x 2x 2dx =−arcsin xa −√a 2−x 2x +C ,a ≠074. 2√a 2−x 2=a 22arcsin xa −x √a 2−x 22+C ,a ≠0,x√a 2−x 275. x √a 2−x 2=−1a ln |a+√a 2−x 2x|+C ,a ≠076. x 2√a 2−x 2=−√a 2−x 2a 2x+C ,a ≠077. √x 2−a 2=ln|x +√x 2−a 2|+C 78. ∫√x 2−a 2dx =x2√x 2−a 2−a 22ln|x +√x 2−a 2|+C79. ∫(√x 2−a 2)ndx =x(√x 2−a 2)nn+1−na 2n+1∫(√x 2−a 2)n−2dx ,n ≠−1 循环计算 80. (√x 2−a 2)n=x(√x 2−a 2)2−n(2−n )a 2+n−3(2−n )a 2∫dx (√x 2−a 2)n−2,n ≠2 循环计算81. ∫x(√x 2−a 2)ndx =(√x 2−a 2)n+2n+2+C ,n ≠−2 82. ∫x 2√x 2−a 2dx =x8(2x 2−a2)√x 2−a 2−a 48ln|x +√x 2−a 2|+C83. ∫√x 2−a 2xdx =√x 2−a 2−a arcsec |xa |+C =√x 2−a 2−a arccos |ax |+C ,a ≠0 84. √x 2−a 2=√x 2−a 2+C 85. ∫x dx (√x 2−a 2)3=√x 2−a 2+C 86. ∫x dx (√x 2−a 2)5=−13(√x 2−a 2)3+C 87. ∫x dx (√x 2−a 2)7=−15(√x 2−a 2)5+C88. ∫x dx (√x 2−a 2)2n+1=−1(2n−1)(√x 2−a 2)2n−1+C89. ∫√x 2−a 2x 2dx =ln|x +√x 2−a 2|−√x 2−a 2x +C90. 2√x 2−a 2=a 22ln|x +√x 2−a 2|+x2√x 2−a 2+C91. ∫x 2(√x 2−a 2)3dx =√x 2−a2ln |x+√x 2−a 2a|+C 92. 4√x 2−a 2=x 3√x 2−a 24+38a 2x√x 2−a 2+38a 4ln |x+√x 2−a 2a|+C93. ∫x 4(√x 2−a 2)3dx =x √x 2−a 22−2√x 2−a 2+32a 2ln |x+√x 2−a 2a |+C 94. ∫x 4(√x 2−a 2)5dx =√x 2−a2x 33(√x 2−a 2)3+ln |x+√x 2−a 2a |+C95. ∫x 2m dx (√x 2−a 2)2n+1=−x 2m−1(2n−1)(√x 2−a 2)2n−1+2m−12n−1∫x 2m−2(√x 2−a 2)2n−1dx +C =(−1)n−ma 2(n−m )∑12(m+i )+1(n−m−1i )x 2(m+i )+1(√x 2−a 2)2(m+i )+1n−m−1i=0,n >m ≥096. ∫dx (√x 2−a 2)3=a 2√x 2−a 2+C 97. ∫dx (√x 2−a 2)5=1a 4(√x 2−a 2−x 33(√x 2−a 2)3)+C98. ∫dx (√x 2−a 2)7=−1a 6(√x 2−a 2−2x 33(√x 2−a 2)3+x 55(√x 2−a 2)5)+C99. ∫dx (√x 2−a 2)9=1a 8(√x 2−a 2−2x 33(√x 2−a 2)3+3x 55(√x 2−a 2)5−x 77(√x 2−a 2)7)+C100. ∫x 2(√x 2−a 2)5dx =−x 33a 2(√x 2−a 2)3+C101.∫x 2(√x 2−a 2)7dx =1a4(x 33(√x 2−a 2)3−x 55(√x 2−a 2)5)+C102. ∫x 2(√x 2−a 2)9dx =−1a 6(x 33(√x 2−a 2)3−2x 55(√x 2−a 2)5+x 77(√x 2−a 2)7)+C103. x √x 2−a 2=1a arcsec |xa |+C ,a ≠0 104. x 2√x 2−a 2=√x 2−a 2a 2x +C ,a ≠0105. ∫dx ax 2+bx+c =√4ac−b 2√4ac−b 24ac −b 2>0106.∫dxax 2+bx+c =√b 2−4ac √b 2−4ac =√b 2−4ac |√b 2−4ac2ax+b+√b 2−4ac |,4ac −b 2<0 107. ∫dxax 2+bx+c =−22ax+b ,4ac −b 2=0108. ∫dxax 2+bx+c =12a ln |ax 2+bx +c |−b2a ∫dxax 2+bx+c +C109.∫mx+nax 2+bx+c dx =m2a ln |ax 2+bx +c |+a √4ac−b 2√4ac−b 2+C ,4ac −b 2>0 110.∫mx+nax 2+bx+c dx =m2a ln |ax 2+bx +c |+a √b 2−4ac √b 2−4ac +C,4ac−b2<0111.∫mx+nax2+bx+c dx=m2aln|ax2+bx+c|−2an−bma(2ax+b)+C,4ac−b2=0112.∫dx(ax2+bx+c)n =2ax+b(n−1)(4ac−b2)(ax2+bx+c)n−1+(2n−3)2a(n−1)(4ac−b2)∫dx(ax2+bx+c)n−1+C113.∫x(ax2+bx+c)n dx=bx+2c(n−1)(4ac−b2)(ax2+bx+c)n−1−b(2n−3) (n−1)(4ac−b2)∫dx(ax2+bx+c)n−1+C114.∫dxx(ax2+bx+c)=12cln|x2ax2+bx+c|−b2c∫dxax2+bx+c+C115.√ax2+bx+c =√aln|2√a2x2+abx+ac+2ax+b|+C,a>0116.√ax2+bx+c =√a√4ac−b2+C,a>0,4ac−b2>0117.√ax2+bx+c =√a|2ax+b|+C,a>0,4ac−b2=0118.√ax2+bx+c =√−a√b2−4ac+C,a<0,4ac−b2<0119.∫dx(√ax2+bx+c)3=(4ac−b2)√ax2+bx+c+C120.∫dx(√ax2+bx+c)5=3(4ac−b2)√ax2+bx+c(1ax2+bx+c+8a4ac−b2)+C121.∫dx(√ax2+bx+c)2n+1=4ax+2b(2n−1)(4ac−b2)(√ax2+bx+c)2n−1+8a(n−1) (2n−1)(4ac−b2)∫dx(√ax2+bx+c)2n−1+C循环计算122.√ax2+bx+c =√ax2+bx+ca−b2a√ax2+bx+c+C123.∫x dx(√ax2+bx+c)3=(4ac−b2)√ax2+bx+c+C124.∫x dx(√ax2+bx+c)2n+1=−1(2n−1)a(√ax2+bx+c)2n−1−b2a∫dx(√ax2+bx+c)2n−1+C125.x√ax2+bx+c =√c(2√acx2+bcx+c2+bx+2cx)+C126.x√ax2+bx+c =√c(|x|√4ac−b2)+C127.∫sin2x dx=x2−sin2x4+C128.∫√1−sin x dx=∫√cvs x dx=2cos x2+sin x2cos x2−sin x2,√cvs x=2√1+sin x,其中cvsx是conversine函数129.∫sin n ax dx=−sin n−1ax cos axan +n−1n∫sin n−2ax dx+C循环计算130.∫sin axx dx=∑(−1)i(ax)2i+1(2i+1)(2i+1)!∞i=0+C131.∫sin axx n dx=−sin ax(n−1)x n−1+an−1∫cos axx n−1dx132.∫cos n ax dx=1an cos n−1ax sin ax+n−1n∫cos n−2ax dx+C,n≥2133.∫cos2x dx=x2+sin2x4+C134.∫cos axx dx=ln|ax|+∑(−1)i(ax)2i2i(2i)!∞i−1,n≠1135.∫cos axx n dx=−cos ax(n−1)x n−1−an−1∫sin axx n−1dx,n≠1136.∫sin ax cos ax dx=12asin2ax137.∫sin ax sin bx dx=sin[(a−b)x]2(a−b)−sin[(a+b)x]2(a+b)+C,a2≠b2138.∫sin ax cos bx dx=−cos[(a+b)x]2(a+b)−cos[(a−b)x]2(a−b)+C,a2≠b2139.∫cos ax cos bx dx=sin[(a−b)x]2(a−b)+sin[(a+b)x]2(a+b)+C,a2≠b2140.∫sin ax cos ax dx=−cos2ax4a+C,a≠0141.∫sin n ax cos ax dx=sin n+1ax(n+1)a+C,a≠0,n≠−1142.∫cos n ax sin ax dx=−cos n+1ax(n+1)a+C,a≠0,n≠−1143.∫tan ax dx=∫sin axcos ax dx=−1aln|cos ax|+C,a≠0144.∫cot ax dx=∫cos axsin ax dx=1aln|sin ax|+C,a≠0145.∫sin n ax cos m ax dx=−sin n−1ax cos m+1axa(m+n)+n−1 m+n ∫sin n−2ax cos m ax dx+C=sin n+1ax cos m−1axa(m+n)+m−1n+m∫sin n ax cos m−2ax dx+C,a≠0,m+n≠0循环计算146.∫sin ax sin bx dx=x sin(a−b)2(a−b)−x sin(a+b)2(a+b)+C,|a|≠|b|147.∫dxsin ax cos ax =1aln|tan ax|+C148.∫dxsin ax cos n ax =1a(n−1)cos n−1ax+∫dxsin ax cos n−2ax,n≠1149.∫dxcos ax sin n ax =−1a(n−1)sin n−1ax+∫dxcos ax sin n−2ax,n≠1150.∫sin axdxcos n ax =1a(n−1)cos n−1ax+C,n≠1151.∫sin2axdxcos ax =−1asin ax+1aln|tan(π4+ax2)|+C152.∫sin2axdxcos n ax =sin axa(n−1)cos n−1ax−1n−1∫dxcos n−2ax,n≠1153.∫sin n axdxcos ax =−sin n−1axa(n−1)+∫sin n−2axdxcos ax+C154.∫sin n axdxcos m ax =sin n+1axa(m−1)cos m−1ax−n−m+2m−1∫sin n axdxcos m−2ax+C=−sin n−1axa(n−m)cos m−1ax +n−1n−m∫sin n−2axdxcos m ax+C=sin n−1axa(m−1)cos m−1ax−n−1 m−1∫sin n−1axdxcos m−2ax+C,m≠1,m≠n155.∫cos axdxsin n ax =−1a(n−1)sin n−1ax+C156.∫cos2axdxsin ax =1a(cos ax+ln|tan ax2|)+C157.∫cos2axdxsin n ax =−1n−1(cos axa sin n−1ax+∫dxsin n−2ax)+C,n≠1158.∫cos n axdxsin m ax =−cos n+1axa(m−1)sin m−1ax−n−m−2m−1∫cos n axdxsin m−2ax+C=cos n−1axa(n−m)sin m−1ax+n−1 n−m ∫cos n−2axdxsin m ax+C=−cos n−1axa(m−1)sin m−1ax−n−1m−1∫cos n−2axdxsin m−2ax+C,m≠1,m≠n159.∫dxb+c sin ax =a√b2−c2|√b−cb+ctan(π4−ax2)|+C,a≠0,b2>c2160.∫dxb+c sin ax =a√c2−b2|c+b sin ax+√c2−b2cos axb+c sin ax|+C,a≠0,b2<c2161.∫dx1+sin ax =−1atan(π4−ax2)+C,a≠0162.∫dx1−sin ax =1atan(π4+ax2)+C,a≠0163.∫x dx1+sin ax =xatan(ax2−π4)+2c2ln|cos(ax2−π4)|+C164.∫x dx1−sin ax =xacot(π4−ax2)+2c2ln|sin(π4−ax2)|+C165.∫sin axdx1±sin ax =±x+1ctan(π4∓ax2)+C166.∫dxb+c cos ax =a√b2−c2|√b−cb+ctan ax2|+C,a≠0,b2>c2167.∫dxb+c cos ax =a√c2−b2|c+b cos ax+√c2−b2sin axb+c cos ax|+C,a≠0,b2<c2168.∫dx1+cos ax =1atan ax2+C,a≠0169.∫dx1−cos ax =−1acot ax2+C,a≠0170.∫x dx1+cos ax =xatan ax2+2a2ln|cos ax2|+C,a≠0171.∫x dx1−cos ax =−xacot ax2+2a2ln|sin ax2|+C,a≠0172.∫cos axdx1+cos ax =x−1atan ax2+C173.∫cos axdx1−cos ax =−x−1acot ax2+C174.∫cos ax cos bx dx=x sin(a−b)2(a−b)+x sin(a+b)2(a+b)+C,|a|≠|b|175.∫dxcos ax±sin ax =√2a|tan(ax2±π8)|+C176.∫dx(cos ax+sin ax)2=12atan(ax∓π4)+C177.∫dx(cos x+sin x)n =1n−1(sin x−cos x(cos x+sin x)n−1−2(n−2)∫dx(cos x+sin x)n−2)+C178.∫dx(cos ax+sin ax)n=179.∫cos axdxcos ax+sin ax =x2+12aln|sin ax+cos ax|+C180.∫cos axdxcos ax−sin ax =x2−12aln|sin ax−cos ax|+C181.∫sin axdxcos ax+sin ax =x2−12aln|sin ax+cos ax|+C182.∫sin axdxcos ax−sin ax =x2−12aln|sin ax−cos ax|+C183.∫cos axdxsin ax(1+cos ax)=−14atan2ax2+12aln|tan ax2|+C184.∫cos axdxsin ax(1−cos ax)=−14acot2ax2−12aln|tan ax2|+C185.∫sin axdxcos ax(1+sin ax)=14acot2(ax2+π4)+12aln|tan(ax2+π4)|+C186.∫sin axdxcos ax(1−sin ax)=14atan2(ax2+π4)−12aln|tan(ax2+π4)|+C187.∫sin ax tan ax dx=1a(ln|sec ax+tan ax|−sin ax)+C188.∫tan n axdxsin2ax =1a(n−1)tan n−1ax,n≠1189.∫tan n axdxcos2ax =1a(n+1)tan n+1ax,n≠−1190.∫cot n axdxsin2ax =1a(n+1)cot n+1ax,n≠−1191.∫cot n axdxcos2ax =1a(1−n)tan1−n ax,n≠1192.∫tan m axcot n ax =1a(m+n−1)tan m+n−1ax−∫tan m−2axcot n axdx,m+n≠1193.∫x sin ax dx=1a2sin ax−xacos ax+C,a≠0194.∫x cos ax dx=cos axa2+x sin axa+C195.∫x n sin ax dx=−x na cos ax+na∫x n−1cos ax dx,a≠0循环计算196.∫x n cos ax dx=x na sin ax−na∫x n−1sin ax dx,a≠0循环计算197.∫tan ax dx=−1aln|cos ax|+C,a≠0198.∫cot ax dx=1aln|sin ax|+C,a≠0199.∫tan2ax dx=1atan ax−x+C,a≠0200.∫cot2ax dx=−1acot ax−x+C,a≠0201.∫tan n ax dx=tan n−1axa(n−1)−∫tan n−2ax dx,a≠0,n≠1循环计算202.∫cot n ax dx=−cot n−1axa(n−1)−∫cot n−2ax dx,a≠0,n≠1循环计算203.∫dxtan ax+1=x2+12aln|sin ax+cos ax|+C204.∫dxtan ax−1=−x2+12aln|sin ax−cos ax|+C205.∫tan axdxtan ax+1=x2−12aln|sin ax+cos ax|+C206.∫tan axdxtan ax−1=x2+12aln|sin ax−cos ax|+C207.∫dx1+cot ax =∫tan axdxtan ax+1=x2−12aln|sin ax+cos ax|+C208.∫dx1−cot ax =∫tan axdxtan ax−1=x2+12aln|sin ax−cos ax|+C209.∫sec ax dx=1a ln|sec ax+tan ax|+C=1aln|tan(ax2+π4)|,a≠0210.∫csc ax dx=−1a ln|csc ax+cot ax|+C=1aln|tan ax2|+C,a≠0211.∫sec n ax dx=sec n−2ax tan axa(n−1)+n−2n−1∫sec n−2ax dx,a≠0,n≠1循环计算212.∫csc n ax dx=−csc n−2ax cot axa(n−1)+n−2n−1∫csc n−2ax dx,a≠0,n≠1循环计算213.∫sec n ax tan ax dx=sec n axna+C,a≠0,n≠0214.∫csc n ax cot ax dx=−csc n axna+C,a≠0,n≠0215.∫dxsec x+1=x−tan x2+C216.∫arcsin ax dx=x arcsin ax+1a√1−a2x2+C,a≠0217.∫x arcsin xa dx=(x22−a24)arcsin xa+x4√c2−x2+C218.∫x2arcsin xa dx=x33arcsin xa+x2+2c29√c2−x2+C219.∫x n arcsin x dx=1n+1(x n+1arcsin x+x n√1−x2−nx n−1arcsin xn−1+n∫x n−2arcsin x dx)+C220.∫arccos ax dx=x arccos ax−1a√1−a2x2+C,a≠0221.∫x arccos xa dx=(x22−a24)arccos xa−x4√a2−x2+C222.∫x2arccos xa dx=x33arccos xa−x2+2a29√a2−x2+C223.∫arctan ax dx=x arctan ax−12aln(1+a2x2)+C,a≠0224.∫x arctan xa dx=a2+x22arctan xa−ax2+C225.∫x2arctan xa dx=x33arctan xa−ax26+a36ln a2+x2+C226.∫x n arctan xa dx=x n+1n+1arctan xa−an+1∫x n+1a2+x2dx+C,n≠1227.∫arccot ax dx=x arccot ax+12aln(1+a2x2)+C228.∫x arccot xa dx=a2+x22arccot xa+ax2+C229.∫x2arccot xa dx=x33arccot xa+ax26−a36ln(a2+x2)+C230.∫x n arccot xa dx=x n+1n+1arccot xa+an+1∫x n+1a2+x2dx,n≠1231.∫arcsec ax dx=x arcsec ax+ax|x|ln(x±√x2−1)+C232.∫x arcsec x dx=12(x2arcsec x−√x2−1)+C233.∫x n arcsec x dx=1n+1(x n+1arcsec x−1n[x n−1√x2−1+(1−n)(x n−1arcsec x+(1−n)∫x n−2arcsec x dx)])+C234.∫arccsc ax dx=x arccsc ax−ax|x|ln(x±√x2−1)+C235.∫sinh ax dx=1acosh ax+C236.∫cosh ax dx=1asinh ax+C237.∫sinh2ax dx=14a sinh2ax−x2+C238.∫cosh2ax dx=14a sinh2ax+x2+C239.∫sinh n ax dx=1an sinh n−1ax cosh ax−n−1n∫sinh n−2ax dx+C,n>0 =1a(n+1)sinh n+1ax cosh ax−n+2n+1∫sinh n+2ax dx+C,n<0,n≠−1240.∫cosh n ax dx=1an sinh ax cosh n−1ax+n−1n∫cosh n+2ax dx,n<0,n≠−1241.∫dxsinh ax =1aln|tanh ax2|+C=1aln|cosh ax−1sinh ax|+C=1aln|sinh axcosh ax+1|+C=1 a ln|cosh ax−1cosh ax+1|+C242.∫dxcosh ax =2aarctan e ax+C243.∫dxsinh n ax =cosh axa(n−1)sinh n−1ax−n−2n−1∫dxsinh n−2ax,n≠1244.∫dxcosh n ax =sinh axa(n−1)cosh n−1ax+n−2n−1∫dxcosh n−2ax,n≠1245.∫cosh n axsinh m ax dx=cosh n−1axa(n−m)sinh m−1ax+n−1n−m∫cosh n−2axsinh m axdx=−cosh n+1axa(m−1)sinh m−1ax +n−m+2m−1∫cosh n axsinh m−2axdx+C=−cosh n−1axa(m−1)sinh m−1ax+n−1 m−1∫cosh n−2axsinh m−2axdx+C,m≠n,m≠1246.∫sinh m axcos n ax dx=sinh m−1axa(m−n)cosh n−1ax+m−1m−n∫sinh m−2axcosh n axdx+C=sinh m+1axa(n−1)cosh n−1ax +m−n+2n−1∫sinh m axcosh n−2axdx+C=sinh m−1axa(n−1)cosh n−1ax+m−1 n−1∫sinh m−2axcosh n−2axdx+C,m≠n,n≠1247.∫x sinh ax dx=1a x cosh ax−1a2sinh ax+C248.∫x cosh ax dx=1a x sinh ax−1a2cosh ax+C249.∫tanh ax dx=1aln|cosh ax|+C250.∫coth ax dx=1aln|sinh ax|+C251.∫tanh n ax dx=−tanh n−1axa(n−1)+∫tanh n−2ax dx+C,n≠1252.∫coth n ax dx=−coth n−1axa(n−1)+∫coth n−2ax dx,n≠1253.∫sinh ax sinh bx dx=a sinh bx cosh ax−b cosh bx sinh axa2−b2+C254.∫cosh ax cos bx dx=a sinh ax cosh bx−b sinh bx cosh axa2−b2+C255.∫cosh ax sinh bx dx=a sinh ax sinh bx−b cosh ax cosh bxa2−b2+C256.∫sinh(ax+b)sin(cx+d)dx=aa2+c2cosh(ax+b)sin(cx+d)−ca2+c2sinh(ax+b)cos(cx+d)+C257.∫sinh(ax+b)cos(cx+d)dx=aa2+c2cosh(ax+b)cos(cx+d)+ca2+c2sinh(ax+b)sin(cx+d)+C258.∫cosh(ax+b)sin(cx+d)dx=aa2+c2sinh(ax+b)sin(cx+d)−ca2+c2cosh(ax+b)cos(cx+d)+C259.∫cosh(ax+b)cos(cx+d)dx=aa2+c2sinh(ax+b)cos(cx+d)+ca2+c2cosh(ax+b)sin(cx+d)+C260.∫arcsinh xa dx=x arcsinh xa−√x2+a2+C261.∫arccosh xa dx=x arccosh xa−√x2−a2+C262.∫arctanh xa dx=x arctanh xa+a2ln|a2−x2|+C,|x|<|a|263.∫arccoth xa dx=x arccoth xa+a2ln|x2−a2|+C,|x|<|a|264.∫arcsech xa dx=x arcsech xa−a arctanx√a−xa+xx−a+C,x∈(0,a)265.∫arccsch xa dx=x arccsch xa+a ln x+√x2+a2a+C,x∈(0,a)266.∫xe ax dx=e axa2(ax−1)+C,a≠0267.∫b ax dx=b axa lnb+C,a≠0,b>0,b≠1268.∫x2e ax dx=e ax(x2a −2xa2+2a3)+C269.∫x n e ax dx=x n e axa −na∫x n−1e ax dx,a≠0270.∫e ax dxx =ln|x|+∑(ax)ii·i!∞i=1+C271.∫e ax dxx n =1n−1(−e axx n−1+a∫e axx n−1dx)+C,n≠1272.∫e ax ln x dx=1ae ax ln|x|−Ei(ax)+C273.∫e ax sin bx dx=e axa2+b2(a sin bx−b cos bx)+C274. ∫e axcos bx dx =e axa 2+b 2(a cos bx +b sin bx )+C 275. ∫e ax sin nbx dx =e ax sin n−1x a 2+n 2(a sin x −n cos x )+n (n−1)a 2+n 2∫e ax sin n−2x dx276.∫eaxcos n bx dx =e ax cos n−1xa 2+n 2(a cos x +n sin x )+n (n−1)a 2+n 2∫e ax cos n−2x dx277. ∫xe ax 2dx =12a e ax 2+C 278. σ√2π−(x−μ)22σ2dx =12σ(1+√2σ+C279.∫e x 2dx =ex 2(∑a 2jx 2j+1n−1j=0)+(2n −1)a 2n−2∫e x2x 2n dx ,n >0 其中a 2j =1·3·5···(2j−1)2j+1=2j!j!22j+1+C280. ∫e −ax 2dx ∞−∞=√πa the Gaussian integral281. ∫x 2n e −x 2a 2dx∞0=√π(2n )!n!(a 2)2n+1282. ∫ln ax dx =x ln ax −x +C283. ∫(ln x )2dx =x (ln x )2−2x ln x +2x +C 284. ∫(ln ax )n dx =x (ln ax )n −n ∫(ln ax )n−1dx 285. ∫dxln x=ln |ln x |+ln x +∑(ln x )i i·i!∞i=2+C286. ∫dx (ln x )n =−x(n−1)(ln x )n−1+1n−1∫dx(ln x )n−1+C ,n ≠1 287. ∫x m ln x dx =x m+1(ln xm+1−1(m+1)2)+C ,n ≠−1 288. ∫x m (ln x )n dx =x m+1(ln x )nm+1−nm+1∫x m (ln x )n−1dx +C ,m ≠−1289. ∫(ln x )n dxx =(ln x )n+1n+1+C ,n ≠−1290. ∫ln xdx x m =−ln x(m−1)x m−1−1(m−1)2x m−1,m ≠1 291. ∫(ln x )n dxx m=−(ln x )n(m−1)x m−1+nm−1∫(ln x )n−1dxx m,m ≠1 292. ∫x m dx (ln x )n=−x m+1(n−1)(ln x )n−1+m+1n−1∫x m dx(ln x )n−1,n ≠1293.∫x n (ln ax)mdx =x n+1(ln ax )mn+1−mn+1∫x n (ln ax )m−1dx ,n ≠−1294.∫(ln ax)mx dx=(ln ax)m+1m+1+C,m≠−1295.∫dxx ln ax=ln|ln ax|+C296.∫dxx n ln x =ln|ln x|+∑(−1)i(n−1)i(ln x)ii·i!∞i=1+C297.∫dxx(ln x)n =−1(n−1)(ln x)n−1,n≠1298.∫sin(ln x)dx=x2[sin(ln x)−cos(ln x)]+C299.∫cos(ln x)dx=x2[sin(ln x)+cos(ln x)]+C300.∫e x(x ln x−x−1x)dx=e x(x ln x−x−ln x)+C。