山东大学2019博士学位研究生复试及拟录取情况汇总表
- 格式:pdf
- 大小:14.20 KB
- 文档页数:2
山东大学材料科学与工程学院2019考研复试方今天小编为大家提供山东大学材料科学与工程学院2019考研复试方案,有需要参加考研复试的同学请仔细查看考研复试方案!祝你考研复试成功!山东大学材料科学与工程学院2019考研复试方案一、学术型1.复试方式采用笔试和面试相结合的方式。
笔试采用闭卷形式,考试时间2小时,满分为100分。
面试满分100分。
复试成绩=笔试成绩×60%+面试成绩×35%+外语听力及口语测试成绩(占复试成绩5%),复试成绩总分为100分。
2.复试笔试科目工程材料成形与机械制造基础3.面试内容学院组成面试小组,面试主要考查考生专业课知识,实验技能及外语水平。
4.拟录取排名方法报考材料科学与工程专业的学术型考生按本类型的最终总成绩进行排序,以排序的先后顺序来确定录取名次。
总成绩=(初试成绩÷5)×60%+复试成绩×40%在复试之后,专业学位招生计划若有余额,符合复试基本要求的学术型考生可向专业学位调剂。
参加我院夏令营的考生,表现优异者在同等条件下优先录取。
符合我校调剂要求的校外调剂考生单独排名,单独录取。
录取政策会根据报考情况和学校政策进行调整。
如有调整,以复试前发布的最新通知为准。
5.复试笔试科目参考书目《现代工程材料成形与机械制造基础》(上册),孙康宁、张景德主编,高等教育出版社,第2版。
二、专业学位1.复试方式采用笔试和面试相结合的方式。
笔试采用闭卷形式,考试时间2小时,满分为100分。
面试满分100分。
复试成绩=笔试成绩×60%+面试成绩×35%+外语听力及口语测试成绩(占复试成绩5%),复试成绩总分为100分。
2.复试笔试科目工程材料成形与机械制造基础3.面试内容由学院组成面试小组,面试主要考查考生专业课知识,实验技能及外语水平,注重考查考生的理论运用、实践动手能力。
4.拟录取排名方法报考材料工程专业的专业学位考生按本类型的最终总成绩进行排序,以排序的先后顺序来确定录取名次。
山东师范大学2019年博士招生考博成绩查询及复试人员名单
华慧考博频道将第一时间发布各招生单位2019年博士研究生招生考试、考博初试成绩、考博复试录取分数绩、及考博拟录取名单等博士招考信息及内容,请考博考生密切关注。
更多考博备考资料及考博真题请收藏华慧考博频道。
根据我校2019年博士生招生计划和考生报名、考试情况,经学校研究生招生工作领导小组研究,现就有关复试要求通知如下:
一、复试基本要求
心理学院“申请考核”制考生:初试外国语要求不低于50分;
美术学专业考生:初试外国语要求不低于45分,每门专业课要求不低于60分;
其他专业(含“高校思政骨干”专项)考生:初试外国语要求不低于50分,每门专业课要求不低于60分。
二、符合复试基本要求获得复试资格的考生,请携带银行卡、信用卡于4月15日下午2:00—4:00到财务处收费管理科(办公楼一层)缴纳复试费180元,凭缴费单据到研招办(办公楼三层南0331)领取《复试记录表》,办理复试手续。
三、我校招收的博士研究生学习方式均为全日制,专项计划考生均为定向培养。
我校理科不再接收定向考生,文科定向考生不超过本单位招生计划的10%。
拟录取为非定向就业的考生,须在拟录取时将本人人事档案、工资关系等转入我校。
拟录取为定向就业的考生,须在拟录取时签订定向就业合同。
人事档案、工资关系等不能按规定时间转入我校或不能签订定向就业合同的考生不予录取,规定时间另行通知。
更改录报考类别(定向、非定向)的考生,请于复试之前向所在招生单位提交书面更改申请。
想看更多考博资料、技巧
扫描二维码添加好友
备注:华慧考博
华慧考博—考博高端品牌华慧网第1页共1页。
山东大学2019年硕士研究生招生考试拟录取名单
单位代码:_____ 单位名称(公章):___________________ 本表共含:_______人,其中_____人不占学院计划 分管领导签字:_____________
说明:
1.考生编号、专业代码与专业名称等务必填写完整、准确;
2.本表应按照考生录取专业代码及考生编号排序,请不要按照录取名次排序;
3.显示不全的内容请设置格式为缩小字体填充(选中表格,右键设置单元格格式,文本控制勾选“缩小字体填充”);
4.表格预留行数较多,打印前请根据实际内容删除多余的行数后再行打印;
5.保留入学资格返回(非18年录取)不需要在此表中上报;
6.推荐免试务必一并上报,如有考生放弃入学资格,请另附考生签字确认的书面说明;
7.本表作为考生录取存档材料,请勿修改格式;。
山东大学2019年以“申请-考核”方式招收
博士研究生简章
为全面落实立德树人根本任务,完善拔尖创新人才选拔机制,提高研究生教育质量,助推学校“双一流”建设,根据《关于印发〈山东大学博士研究生“申请-考核制”实施方案〉的通知》(山大研字〔2017〕82号),结合学校实际,特制定本简章。
一、招生专业
我校2019年博士研究生招生专业目录中所列的专业,除只接收硕博连读研究生的专业外,均可以“申请-考核”的方式招录博士研究生。
二、招生导师
我校2019年博士研究生招生专业目录中所列的导师,除限招硕博连读生的导师外,均可以“申请-考核”的方式招录博士研究生。
三、招生计划
各招生单位可根据学校下达的招生计划自主确定“申请-考核”招生计划。
四、申请条件
以“申请-考核”方式申请我校博士研究生的考生,须符合下列条件:
(一)符合我校当年博士生招生简章中普通招考的报考条件。
(二)全日制本科毕业学校(不含独立学院)为具有硕士学位授予权的高校或境外高水平大学。
全日制本科毕业学校不是具有硕士学。
山大考博辅导班:2019山大海洋研究所考博难度解析及经验分享博士生招生方式分为普通招考、“申请-考核”、硕博连读、本科直博等。
因招生计划有限,招考方式多样,考生报考前,请自行联系报考导师或招生单位,以确认报考导师是否还有招生计划。
除专项计划、工程博士、统一战线学专业外,各招生单位招收的定向就业考生比例人文类各单位不超过30%,社科类各单位不超过20%,理工医类各专业除我校专职教师、为本科生(研究生)开设实验课程的工程实验人员外均不招收定向就业考生。
部分招生单位、招生专业设置了其他招生要求,可查看招生专业目录中的备注栏。
下面是启道考博辅导班整理的关于山东大学海洋研究所考博相关内容。
一、院系简介山东大学海洋研究院是学校直属独立建制的科研机构。
海洋研究院以服务海洋强国战略,服务国家重大需求为导向,以国际海洋科技前沿为引领,以陆海统筹、理工交叉、科技融合为特色,积极组织校内涉海相关领域专家,加强国际和区域合作,建立跨学科的科学研究平台,在海洋科技若干前沿领域组建优势学术团队,确立了以海洋蓝色碳汇为核心,以微生物海洋学为主导,海洋装备与信息工程为支撑,涉及海洋生物学、海洋化学、海洋环境、海洋地质、机械制造及其自动化、电子科学与技术、控制科学与工程等多学科、跨领域交叉融合发展的新兴学科。
目前,海洋研究院具体海洋科学一级博士学位授予权,海洋科学与技术入选第二批学校高峰交叉学科计划。
二、招生信息070704海洋地质 01 海洋工程地质及水文地质02 海洋岩土工程03 波浪-结构-基础相互作用①501英语 ②653土力学 ③778水文地质学同等学力加试:1.地球科学概论2.有限元原理 080201机械制造及其自动化01 海洋能利用技术①501英语 ②673有限元法 同等学力加试: 1.机械制造技术基础三、报考条件(一)《山东大学博士研究生招生“申请-考核”申请表》(二)个人陈述书。
内容包括学习及学术研究的简要经历、原创性研究成果、攻读博士学位期间本人拟从事的研究方向和科研设想等。
山大考博辅导班:2019山大经济学院考博难度解析及经验分享博士生招生方式分为普通招考、“申请-考核”、硕博连读、本科直博等。
因招生计划有限,招考方式多样,考生报考前,请自行联系报考导师或招生单位,以确认报考导师是否还有招生计划。
除专项计划、工程博士、统一战线学专业外,各招生单位招收的定向就业考生比例人文类各单位不超过30%,社科类各单位不超过20%,理工医类各专业除我校专职教师、为本科生(研究生)开设实验课程的工程实验人员外均不招收定向就业考生。
部分招生单位、招生专业设置了其他招生要求,可查看招生专业目录中的备注栏。
下面是启道考博辅导班整理的关于山东大学经济学院考博相关内容。
一、院系简介山东大学经济学科历史悠久,1901年山东大学堂成立之初,即设有理财科目。
百余年间,踔厉奋发,薪火相传,不仅从这里走出了莘莘学子,更有薛暮桥、孙冶方、马家驹等一大批知名经济学家在此执掌教鞭或蒙沐教泽。
山东大学经济学院是在原山东大学经济学系的基础上,于1988年组建而成的。
学院下设经济学系、财政学系、金融学系、国际经济与贸易学系、风险管理与保险学系等5个系,以及产业经济研究所、泰岳经济研究中心、博弈论与经济行为研究中心等研究机构,拥有应用经济学、理论经济学一级学科博士学位授予权和应用经济学博士后流动站,目前设有10个博士专业、20个硕士专业(含6个专业学位硕士专业)和6个本科专业。
二、招生信息三、报考条件1.考生简历(个人基本情况及从大学开始的学习和科研经历);2.攻读硕士学位期间的学习成绩单(须授课单位盖章);3.硕士学位论文全文及评议书(应届生提交论文主要结果和详细摘要);4.最高学位证书、各类获奖证书、反映本人外语水平的最高等级证书复印件;5.有关科研成果、专利、发表论文等情况的目录、内容简述及证书、论文的复印件;6.考生根据招生专业目录上拟报考导师的研究方向撰写一份至少3000字的攻读博士学位的科研计划书;7.两封与报考专业相关的副教授(或相当职称)以上的专家推荐信;8.政审表四、选拨程序普通招考的报名时间为2019年3月1日-3月20日,其他招生方式的报名时间另行通知。
山东大学(威海)2019考研复试方案今天为大家提供山东大学(威海)2019考研复试方案,有需要参加考研复试的同学请仔细查看考研复试方案!祝你考研复试成功!威海校区排名录取规则:(1)一志愿报考本专业的考生,根据录取成绩从高到低排名录取。
(2)符合我校调剂要求的校外考生分专业单独排名,单独录取。
(3)对同一批次参加复试的考生,一志愿名额先录取一志愿报考本专业的考生,再录取一志愿报考威海校区本学院其他专业的调剂考生。
如还有剩余名额,其他校内调剂考生和未录取的校外调剂考生统一排名,统一录取。
(4)全日制与非全日制考生分别排名,分别录取。
在名额许可的情况下,全日制考生和非全日制考生可相互调剂。
(5)学术型专业和专业学位专业分别排名,分别录取。
(6)个别专业的录取政策会根据报考情况和学校政策进行调整。
如有调整,以复试前发布的最新通知为准。
威海校区培养地点:山东大学(威海)的研究生在山东大学(威海)培养。
一、文化传播学院(0631-5688313刘老师)1.复试方式笔试和面试相结合。
复试重点考查考生的综合素质。
笔试时间2小时,笔试成绩满分100分,面试成绩满分100分。
复试成绩=(笔试成绩×60%+面试成绩×40%)×95%+外语听力及口语测试成绩,满分100分。
2.复试笔试科目中国现当代文学专业:中国现当代文学史、文学概论比较文学与世界文学专业:世界文学史、比较文学语言学及应用语言学:汉语(含古代汉语和现代汉语)新闻学专业:新闻传播理论与实务、新闻传播史文艺学:文学理论、美学理论3.复试面试内容由各专业复试小组具体确定,一般应注重专业水平和知识背景的考查。
4.拟录取排名方法按总成绩分专业排列拟录取名次总成绩=(初试成绩÷5)×60%+复试成绩×40%5.复试笔试科目参考书目中国现当代文学:《二十世纪中国文学史》,孔范今主编,山东文艺出版社1997年版;《中国当代文学史》,王庆生主编,高等教育出版社xx年版;《中国现代文学三十年》,钱理群等编,北京大学出版社1997年版。
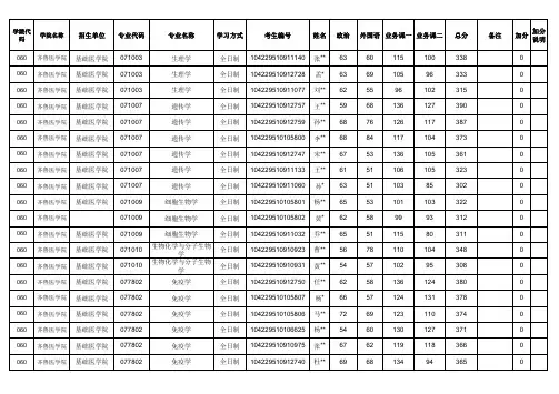
014|儒学高等研究院(盖章) 制表日期:2019-05-29
考生编号考 生姓 名考试方式初试成绩复试成绩最终成绩是否拟录取录取专业导师姓名录取类别备注
外语
业务课一业务课二研究方向
导师ID
104229101101135何刚刚公开招考59.090.783.52是(010102)中国哲学黄玉顺非定向83.087.0(03)儒学与西方哲学、伦理
学比较研究104229101101137杨谦公开招考67.089.883.4是(010102)中国哲学颜炳罡非定向85.079.0(05)宋明理学104229101101153肖艳歌公开招考65.092.685.3是(010102)中国哲学颜炳罡非定向78.091.0(01)儒家哲学104229101101157姚莺歌公开招考75.094.490.37是(010102)中国哲学翟奎凤非定向90.094.0(05)宋明理学104229101101162秦超公开招考61.088.681.47是(010102)中国哲学姚中秋定向84.078.0(07)经学104229519900309李伟申请考核71.087.881.15是(010102)中国哲学曾振宇非定向90.062.0(01)儒家哲学2019-104229519900314刘飞飞申请考核79.089.286.9是(010102)中国哲学许嘉璐非定向91.083.0(01)儒家哲学2019-104229519900328曲斌申请考核66.085.877.13是(010102)中国哲学陈来非定向70.069.0(05)宋明理学2019-104229519900331曾燚申请考核64.088.682.43是(010102)中国哲学沈顺福非定向92.071.0(01)儒家哲学2019-104229101101173韩雪春公开招考73.096.487.87是(030304)民俗学王加华非定向85.080.0(03)田野民俗志
104229519900312杨来来申请考核72.090.085.2是(050101)文艺学
戚良德非定向76.092.0(01)《文心雕龙》与中国文
论
2019-
104229101101182刘尚公开招考75.090.284.93是(050104)中国古典文
献学
杜泽逊非定向77.087.0(05)版本目录与文献整理
104229101101184曹景年公开招考88.084.883.73是(050104)中国古典文
献学
杜泽逊定向77.083.0(05)版本目录与文献整理
104229101101189陈伟公开招考57.084.277.93是(050104)中国古典文
献学
杜泽逊非定向73.085.0(05)版本目录与文献整理
104229101101198葛恒新公开招考60.086.277.77是(050104)中国古典文献学
刘心明非定向77.071.0(06)中国古代石刻文献研究
104229101101205靳亚萍公开招考67.087.680.8是(050104)中国古典文献学王承略非定向83.072.0(02)文史文献研究(先秦两
汉文献与文学)
104229101101217宋恩来公开招考70.088.484.03是(050104)中国古典文献学郑杰文非定向78.091.0(02)文史文献研究(先秦两
汉文献与文学)
104229519900333宋雅娴申请考核67.091.287.15是(050104)中国古典文
献学
刘心明非定向90.090.0(03)汉籍与汉学研究
104229519900334裴苏皖申请考核76.089.085.83是(050105)中国古代文
学
赵睿才非定向88.083.0(01)唐宋文学2019-104229519900480张其秀申请考核79.090.887.35是(050105)中国古代文
学
孙微非定向88.084.0(01)唐宋文学2019-104229101101220荀朋星公开招考70.095.486.2是(0501Z1)中国民间文
学
刘宗迪非定向83.078.0(01)中国民间文学史论
104229101101225倪慧丽公开招考71.079.6779.67是(060200)中国史陈峰非定向86.082.0(01)史学理论104229101101226
王超群
公开招考
82.0
85.67
84.17
是
(060200)中国史陈峰
非定向
86.0
80.0
(01)史学理论
学院复试领导小组组长签名:
014|儒学高等研究院(盖章) 制表日期:2019-05-29
考生编号考 生
姓 名
考试方式
初试成绩
复试
成绩
最终
成绩
是否
拟录取
录取专业
导师
姓名
录取类别备注外语
业务
课一
业务
课二
研究方向
导师
ID
104229101101229刘艳公开招考69.073.6775.5是(060200)中国史王学典定向
75.088.0(01)史学理论
学院复试领导小组组长签名:。