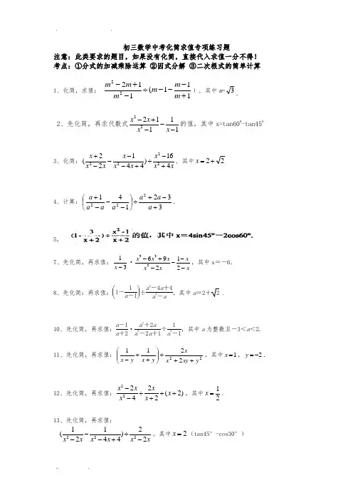
初三数学中考化简求值专项练习题
- 格式:doc
- 大小:109.50 KB
- 文档页数:5
完整word版)中考数学化简求值专项训练中考数学化简求值专项训练注意:此类题目的要求是化简之后再代入求值,直接代入求值不得分。
考点包括分式的加减乘除运算(注意去括号,添括号时要变号,分子相减时要看做整体)、因式分解(十字相乘法、完全平方式、平方差公式、提公因式)以及二次根式的简单计算(分母有理化,一定要是最简根式)。
类型一:化简之后直接带值,有两种基本形式:1.含根式,这类带值需要对分母进行有理化,一定要保证最后算出的值是最简根式。
例如,化简并求值:$\frac{m^2-2m+1}{m-1-\frac{1}{m+1}}$,其中$m=3$。
解:先化简分母,得到$\frac{m^2-1}{m^2-1}$,然后将分子分母同时化简,得到$\frac{(m-1)^2}{m}$。
代入$m=3$,得到$\frac{4}{3}$。
2.常规形,不含根式,化简之后直接带值。
例如,化简并求值:$\frac{x^3-6x^2+9x-1}{x^2-3x}$,其中$x=-6$。
解:先化简,得到$\frac{(x-3)^2}{x(x-3)}$。
代入$x=-6$,得到$\frac{1}{6}$。
3.化简并求值:$\frac{11+2x}{x-y}$,其中$x=1$,$y=-2$。
解:先化简,得到$\frac{11+2x}{x-y}=\frac{13}{3}$。
代入$x=1$,$y=-2$,得到$\frac{13}{3}$。
4.化简并求值:$\frac{x^2-2x}{2x-4}+\frac{2}{x+2}$,其中$x=0.5$。
解:先化简,得到$\frac{x(x-2)}{2(x-2)}+\frac{2}{x+2}=\frac{x}{2}+\frac{1}{x+2}$。
代入$x=0.5$,得到$\frac{5}{4}$。
5.化简并求值:$\frac{1-x}{2x}+\frac{2x}{x^2-4x+3}$,其中$x=2$。
解:先化简,得到$\frac{1}{2}-\frac{2x-3}{x-1}\cdot\frac{1}{x-3}=\frac{5}{6}$。
1、化简,求值:111(11222+---÷-+-m m m m m m ), 其中m =3.2、先化简,再求代数式2221111x x x x -+---的值,其中x=tan600-tan4503、化简:xx x x x x x x x 416)44122(2222+-÷+----+, 其中22+=x4、计算:332141222+-+÷⎪⎭⎫ ⎝⎛---+a a a a a a a .1、2、先化简,再求值:13x -·32269122x x x x x x x-+----,其中x =-6.3、先化简:再求值:⎝⎛⎭⎫1-1a -1÷a 2-4a +4a 2-a ,其中a =2+ 2 .4、先化简,再求值:a -1a +2·a 2+2a a 2-2a +1÷1a 2-1,其中a 为整数且-3<a <2.1、先化简,再求值:222211yxy x x y x y x ++÷⎪⎪⎭⎫⎝⎛++-,其中1=x ,2-=y .2、先化简,再求值:2222(2)42x x x x x x -÷++-+,其中12x =.3、先化简,再求值:222112()2442x x x x x x-÷--+-,其中2x =(tan45°-cos30°)4、22221(1)121a a a a a a +-÷+---+.1、先化简再求值:1112421222-÷+--∙+-a a a a a a ,其中a 满足20a a -=.2、先化简:144)113(2++-÷+-+a a a a a ,并从0,1-,2中选一个合适的数作为a 的值代入求值。
3、先化简,再求值:)11(x -÷11222-+-x x x ,其中x =24、化简:22222369x y x y y x y x xy y x y--÷-++++.1、先化简,再求值:2224441x x x x x x x --+÷-+-,其中32x =.2.先化简,再求值:12112---x x ,其中x =-2.3、先化简,再求值:,其中a=﹣1.4、(2011•綦江县)先化简,再求值:,其中x=.1、先化简,再求值:,其中.2、先化简,再求值,其中x 满足x 2﹣x ﹣1=0.3、化简:b a b a b a b 3a -++--4、先化简,再求值:,其中a=.初三数学中考化简求值专项练习题(八)1、先化简211111x x x x -÷-+-(),再从﹣1、0、1三个数中,选择一个你认为合适的数作为x 的值代入求值.2、先化简,再求值:(+1)÷,其中x=2.3、先化简,再求值:3x –3 – 18x 2 – 9 ,其中x = 10–34、(先化简下列式子,再从2,﹣2,1,0,﹣1中选择一个合适的数进行计算..1、先化简,再求值:12-x x (x x 1--2),其中x =2.2、先化简,再求值:,其中.3、先化简22()5525x x x x x x -÷---,然后从不等组23212x x --≤⎧⎨<⎩的解集中,选取一个你认为符合题意的x 的值代入求值.4、先化简,再求值:62296422+-÷++-a a a a a ,其中5-=a .1、先化简,再求值:232()111x x x x x x --÷+--,其中32x =.2、先化简。
九年级计算化简求值专题训练一.计算: 1. ()()130sin 5813121-︒--+-+--2. ()()2009111245cos 212314.314.3-+-+-⎪⎪⎭⎫⎝⎛+÷+π--︒二.先化简,再求值:3. (12x 1-+)4x 1x 2x 22-++÷ 其中x=160tan -︒4. )b 1a 1()ab ab 2a (aba ab 2222+•++÷-- 其中a=32+,b=32-.11解①不等式组⎪⎩⎪⎨⎧++≤+〈+13x 212x 13-x 1x 32(x-1)-5x <13 31(3-2x )>313先化简,再求值:(2252++-x x x +1)÷44422++-x x x ;其中x 满足不等式组 且为整数.14先化简,再求值 :)()(y x x yy x y x +-+,其中13+=x ,13-=y .15先化简2228224a a a a a a +-⎛⎫+÷ ⎪--⎝⎭,然后从33a -<<的范围内选取一个你认为合适的整数作为a 的值代入求值16先化简,再求值:22)11(y x yy x y x -÷++-,其中实数x ,y 满足09162=++-++y x x x .17先化简再求值)11(2)2(yx y x xy y x y y x x +÷+•+++, 其中23,23-=+=y x18、化简,求值: 111(11222+---÷-+-m m m m m m ), 其中m =3.19、先化简,再求值:a -1a +2·a 2+2a a 2-2a +1÷1a 2-1,其中a 为整数且-3<a <2.20、先化简,再求值:2222(2)42x x x x x x -÷++-+,其中12x =.21、先化简,再求值:222112()2442x x x x x x -÷--+-,其中2x =(tan45°-cos30°)22、先化简再求值:1112421222-÷+--•+-a a a a a a ,其中a 满足20a a -=.23、先化简:144)113(2++-÷+-+a a a a a ,并从0,1-,2中选一个合适的数作为a 的值代入求值。
考点:①分式的加减乘除运算②因式分解③二次根式的简单计算1、化简,求值:111(11222m m m m m m ),其中m =.2、先化简,再求代数式2221111x x x x 的值,其中x=tan600-tan4503、化简:x x xx x x x x x416)44122(2222, 其中22x 4、计算:332141222a a a a a a a .5.6、先化简,再求值:13x ·32269122x xx x x x x ,其中x =-6.7、先化简:再求值:1-1a -1÷a 2-4a +4a 2-a ,其中a =2+ 2 .8.先化简,再求值:a -1a +2·a 2+2a a 2-2a +1÷1a 2-1,其中a 为整数且-3<a <2.9、先化简,再求值:222211y xy x xy x y x ,其中1x,2y .10、先化简,再求值:2222(2)42x x xx x x ,其中12x .11、先化简,再求值:222112()2442x x x x x x ,其中2x 12、22221(1)121a a a a a a .13、先化简再求值:1112421222?a a a aa a,其中a 满足20a a .14、先化简:,并从0,,2中选一个合适的数作为的值代入求值。
15、先化简,再求值:)11(x ÷,其中x =216、化简:.17、先化简,再求值:,其中.18.当2x 时,求22111x x x x 的值.19..先化简,再把x 取一个你最喜欢的数代入求值:2)22444(22x xx x x x x20.先化简,再选择一个你喜欢的数代入求值。
2011aa2-2a+1÷(a+1a2-1+1)21、(2011?湘潭)先化简,再求值:,其中.22、(2011?娄底)先化简:()÷.再从1,2,3中选一个你认为合适的数作为a的值代入求值.23、(2011?衡阳)先化简,再求值.(x+1)2+x(x﹣2).其中.24、(2011?常德)先化简,再求值,(+)÷,其中x=2.。
中考数学化简求值专项练习(较高难度)一. 已知条件不化简,所给代数式化简 例1.先化简,再求值: ()a a a a a a a a -+--++÷-+221444222,其中a 满足:a a 2210+-=例2. 已知x y =+=-2222,,求()yxy y xxy x xy x y x yx y++-÷+⋅-+的值。
例3. 已知条件化简,所给代数式不化简 例 3. 已知a b c 、、为实数,且ab a b +=13,bc b c ac a c +=+=1415,,试求代数式abcab bc ac++的值。
例4. 已知条件和所给代数式都要化简例4.若x x+=13,则x x x 2421++的值是( ) A. 18 B. 110 C. 12D.14例5. 已知a b +<0,且满足a ab b a b 2222++--=,求a b ab3313+-的值。
中考数学化简求值专项练习解析卷一. 已知条件不化简,所给代数式化简 例1.先化简,再求值:()a a a a a a a a -+--++÷-+221444222,其中a 满足:a a 2210+-= 解:()a a a a a a a a -+--++÷-+221444222=-+--+÷-+=-+--+÷-+[()()][()()()]a a a a a a a a a a a a a a a a 2212424212422222=-++⨯+-=+4224122a a a a a a a ()()=+122a a由已知a a 2210+-= 可得a a 221+=,把它代入原式: 所以原式=+=1212a a 例2. 已知x y =+=-2222,,求()yxy y xxy xxy x y x yx y++-÷+⋅-+的值。
解:()yxy y xxy x xy x y x yx y++-÷+⋅-+=++-⨯+⋅-+()y x yxy x x y xy x yx y=-++-⋅-=-+y xy x xy y x x yxyy x xy当x y =+=-2222,时 原式=-++-+-=-222222222()()二. 已知条件化简,所给代数式不化简 例 3. 已知a b c 、、为实数,且ab a b +=13,bc b c ac a c +=+=1415,,试求代数式abcab bc ac++的值。
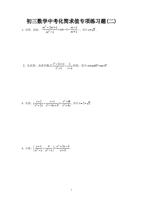
初三数学中考化简求值专项练习题注意:此类要求的题目,如果没有化简,直接代入求值一分不得!考点:①分式的加减乘除运算 ②因式分解 ③二次根式的简单计算1、化简,求值: 111(11222+---÷-+-m m m m m m ), 其中m =3. 2、先化简,再求代数式2221111x x x x -+---的值,其中x=tan600-tan450 3、化简:xx x x x x x x x 416)44122(2222+-÷+----+, 其中22+=x 4、计算:332141222+-+÷⎪⎭⎫ ⎝⎛---+a a a a a a a . 5、先化简,再求值:13x -·32269122x x x x x x x-+----,其中x =-6. 6、先化简:再求值:⎝⎛⎭⎫1-1a -1÷a 2-4a +4a 2-a ,其中a =2+ 27、先化简,再求值:a -1a +2·a 2+2a a 2-2a +1÷1a 2-1,其中a 为整数且-3<a <2. 8、先化简,再求值:222211yxy x x y x y x ++÷⎪⎪⎭⎫ ⎝⎛++-,其中1=x ,2-=y . 9、先化简,再求值:2222(2)42x x x x x x -÷++-+,其中12x =. 10、先化简,再求值:222112()2442x x x x x x-÷--+-,其中2x =(tan45°-cos30°) 11、先化简,再求值:22221(1)121a a a a a a +-÷+---+其中a=5 12、先化简再求值:1112421222-÷+--∙+-a a a a a a ,其中a 满足20a a -= 13、先化简:144)113(2++-÷+-+a a a a a ,并从0,1-,2中选一个合适的数作为a 的值代入求值。
初三数学中考专项化简求值练习题初三数学中考化简求值专项练习题注意:此类要求的题⽬,如果没有化简,直接代⼊求值⼀分不得!考点:①分式的加减乘除运算②因式分解③⼆次根式的简单计算1、化简,求值:111(11222+---÷-+-m m m m m m ), 其中m =3.2、先化简,再求代数式2221111x x x x -+---的值,其中x=tan600-tan4503、化简:xx x x x x x x x 416)44122(2222+-÷+----+, 其中22+=x4、计算:332141222+-+÷---+a a a a a a a .5,7、先化简,再求值:13x -·32269122x x x xx x x-+----,其中x =-6.8、先化简:再求值:1-1a -1÷a 2-4a +4a 2-a ,其中a =2+ 2 .10、先化简,再求值:a -1a +2·a 2+2a a 2-2a +1÷1a 2-1,其中a 为整数且-3<a <2.11、先化简,再求值:222211y xy x x y x y x ++÷++-,其中1=x ,2-=y .12、先化简,再求值:2222(2)42x x x x x x -÷++-+,其中1213、先化简,再求值:222112()2442x x x x x x-÷--+-,其中2x =(tan45°-cos30°)14、22221(1)121a a a a a a +-÷+---+.15、先化简再求值:1112421222-÷+--?+-a a a a a a ,其中a 满⾜20a a -=.16、先化简:144)113(2++-÷+-+a a a a a ,并从0,1-,2中选⼀个合适的数作为a 的值代⼊求值。
初三数学中考化简求值专项练习题注意:此类要求的题目,如果没有化简,直接代入求值一分不得! 考点:①分式的加减乘除运算 ②因式分解 ③二次根式的简单计算1、化简,求值: 111(11222+---÷-+-m m m m m m ), 其中m =3.2、先化简,再求代数式2221111x x x x -+---的值,其中x=tan600-tan4503、化简:xx x x x x x x x 416)44122(2222+-÷+----+, 其中22+=x4、计算:332141222+-+÷⎪⎭⎫ ⎝⎛---+a a a a a a a .5,7、先化简,再求值:13x -·32269122x x x xx x x-+----,其中x =-6.8、先化简:再求值:⎝ ⎛⎭⎪⎫1-1a -1÷a 2-4a +4a 2-a ,其中a =2+ 2 .10、先化简,再求值:a -1a +2·a 2+2a a 2-2a +1÷1a 2-1,其中a 为整数且-3<a <2.11、先化简,再求值:222211y xy x xy x y x ++÷⎪⎪⎭⎫ ⎝⎛++-,其中1=x ,2-=y .12、先化简,再求值:2222(2)42x x x x x x -÷++-+,其中12x =.13、先化简,再求值:222112()2442x x x x x x-÷--+-,其中2x =(tan45°-cos30°)14、22221(1)121a a a a a a +-÷+---+.15、先化简再求值:1112421222-÷+--•+-a a a a a a ,其中a 满足20a a -=.16、先化简:144)113(2++-÷+-+a a a a a ,并从0,1-,2中选一个合适的数作为a 的值代入求值。
初三数学中考化简求值专项练习题考点:①分式的加减乘除运算 ②因式分解 ③二次根式的简单计算1、化简,求值: 111(11222+---÷-+-m m m m m m ),其中m =3.2、先化简,再求代数式2221111x x x x -+---的值,其中x=tan600-tan4503、化简:x x x x x x x x x 416)44122(2222+-÷+----+, 其中22+=x4、计算:332141222+-+÷⎪⎭⎫ ⎝⎛---+a a a a a a a .5.6、先化简,再求值:13x -·32269122x x x x x x x -+----,其中x =-6.7、先化简:再求值:⎝ ⎛⎭⎪⎫1-1a -1÷a2-4a +4a2-a,其中a =2+2 .8.先化简,再求值:a -1a +2·a2+2a a2-2a +1÷1a2-1,其中a 为整数且-3<a <2.9、先化简,再求值:222211y xy x x y x y x ++÷⎪⎪⎭⎫ ⎝⎛++-,其中1=x ,2-=y .10、先化简,再求值:2222(2)42x x x x x x -÷++-+,其中12x =.11、先化简,再求值:222112()2442x x x x x x -÷--+-,其中2x =12、22221(1)121a a a a a a +-÷+---+.13、先化简再求值:1112421222-÷+--•+-a a a a a a ,其中a 满足20a a -=.14、先化简:144)113(2++-÷+-+a a a a a ,并从0,1-,2中选一个合适的数作为a 的值代入求值。
15、先化简,再求值:)11(x -÷11222-+-x x x ,其中x =216、化简:22222369x y x y y x y x xy y x y--÷-++++.17、先化简,再求值:2224441x x x x x x x --+÷-+-,其中32x =.18.当2x =-时,求22111x x x x ++++的值.19..先化简,再把 x 取一个你最喜欢的数代入求值:2)22444(22-÷+-++--x x x x x x x20.先化简,再选择一个你喜欢的数代入求值。
中考数学化简求值专项练习(较高难度)一. 已知条件不化简,所给代数式化简 例1。
先化简,再求值:()a a a a a a a a -+--++÷-+221444222,其中a 满足:a a 2210+-=例2。
已知x y =+=-2222,,求()yxy y xxy x xy x y x yx y++-÷+⋅-+的值.例3。
已知条件化简,所给代数式不化简例3. 已知a b c 、、为实数,且ab a b +=13,bc b c ac a c +=+=1415,,试求代数式abcab bc ac++的值。
例4。
已知条件和所给代数式都要化简例4.若x x+=13,则x x x 2421++的值是( )A 。
18B 。
110C 。
12D 。
14例5. 已知a b +<0,且满足a ab b a b 2222++--=,求a b ab3313+-的值.中考数学化简求值专项练习解析卷一. 已知条件不化简,所给代数式化简 例1。
先化简,再求值:()a a a a a a a a -+--++÷-+221444222,其中a 满足:a a 2210+-= 解:()a a a a a a a a -+--++÷-+221444222 =-+--+÷-+=-+--+÷-+[()()][()()()]a a a a a a a a a a a a a a a a 2212424212422222 =-++⨯+-=+4224122a a a a a a a ()()=+122a a由已知a a 2210+-= 可得a a 221+=,把它代入原式: 所以原式=+=1212a a 例2. 已知x y =+=-2222,,求()yxy yxxy xxy x y x yx y++-÷+⋅-+的值。
解:()yxy y xxy xxy x y x yx y++-÷+⋅-+=++-⨯+⋅-+()y x yxy x x y xy x yx y=-++-⋅-=-+y xy x xy y x x yxyy x xy当x y =+=-2222,时 原式=-++-+-=-222222222()()二. 已知条件化简,所给代数式不化简例3. 已知a b c 、、为实数,且ab a b +=13,bc b c ac a c +=+=1415,,试求代数式abcab bc ac++的值. 解:由ab a b bc b c ac a c +=+=+=131415,,,可得:113114115a b b c a c+=+=+=,,所以1116a b c ++= 所以ab bc ac abc++=6 所以abc ab bc ac ++=16 三。
注意:此类要求的题目,如果没有化简,直接代入求值一分不得!考点:①分式的加减乘除运算 ②因式分解 ③二次根式的简单计算m 22m 1m 1 . 1、化简,求值:21(m 1) , 其中 m= 3mm12、先化简,再求代数式 x22x 11的值,其中 x=tan600-tan450x 2 1 x 13、化简: ( x 2x 1 ) x 2 16 , 其中 x 22 x 2 2x x 24 x 4 x 2 4xa 1 4a 22a 3 .4、计算:2a a 2 1a3a5.6、先化简,再求值:1 · x 36x 29 x1 x,其中 x =- 6.x 3x 2 2x 2 x1a 2 - 4a +47、先化简:再求值:1-a - 1 ÷ a 2-a ,其中a = 2+2 .a -1 a 2 +2a18.先化简,再求值: a +2·a 2-2a +1÷a 2- 1,其中a为整数且-3<a <2.1 12 x ,其中 x1 , y2 .9、先化简,再求值:x yx 2 2xy y 2 x yx 2 2x 2x1 10、先化简,再求值:24 x 2( x 2) ,其中 x.x211、先化简,再求值:(11 )2 2,其中 x 2 2 2x x 24x 4xx 2x2a 2 a 2 1.12、(a 1)a 22a 1 a113 、先化简再求值:a 1? a 2 4 1 ,其中 a 满足 a 2 a 0 .a 2 a 2 2a 1 a 2 114、先化简: (3 a 1)a 24a 4,并从 0, 1, 2 中选一个合适的数作为a 的a 1a1值代入求值。
1x 2 2x 1 ,其中 x=215、先化简,再求值: (1) ÷x 21xx y x 2 y 2 2y .16、化简:6xy 9y 2x yx 3y x 217、先化简,再求值:x 2 4 x 2 x x ,其中 x3 24x 4x1 .x218.当 x2 x 2 2x 1 的值.时,求x1x 119.先化简,再把. x 取一个你最喜欢的数代入求值:(x 24 2 x x 24x 4x 2)xx 220.先化简,再选择一个你喜欢的数代入求值。
初三数学中考化简求值专项练习题注意:此类要求的题目,如果没有化简,直接代入求值一分不得! 考点:①分式的加减乘除运算 ②因式分解 ③二次根式的简单计算1、化简,求值:111(11222+---÷-+-m m m m m m ), 其中m =3. 2、先化简,再求代数式2221111x x x x -+---的值,其中x=tan600-tan4503、化简:xx x x x x x x x 416)44122(2222+-÷+----+, 其中22+=x4、计算:332141222+-+÷⎪⎭⎫ ⎝⎛---+a a a a a a a .5、6、先化简,再求值:13x -·32269122x x x xx x x-+----,其中x =-6. 7、先化简:再求值:⎝⎛⎭⎫1-1a -1÷a 2-4a +4a 2-a ,其中a =2+ 2 .8、先化简,再求值:a -1a +2·a 2+2a a 2-2a +1÷1a 2-1,其中a 为整数且-3<a <2.9、先化简,再求值:222211y xy x x y x y x ++÷⎪⎪⎭⎫⎝⎛++-,其中1=x ,2-=y . 10、先化简,再求值:2222(2)42x x x x x x -÷++-+,其中12x =. 11、先化简,再求值:222112()2442x x x x x x-÷--+-,其中2x =(tan45°-cos30°)12、先化简,再求值:22221(1)121a a a a a a +-÷+---+. 13、先化简再求值:1112421222-÷+--∙+-a a a a a a ,其中a 满足20a a -=. 14、先化简:144)113(2++-÷+-+a a a a a ,并从0,1-,2中选一个合适的数作为a 的值代入求值。
初中数学化简求值经典练习题(含答案)先化简再求值: 1.(1+ 1x +1x+1)÷x (x+1)+2(x+1)−1x 2−1-1,其中:x=√2-1 ;2.1-(1x−1-1)( 1x-1),其中:x=√5+2 ;3.25x -12x−3y ·(4x 2-9y 2+4x−6y 5x),其中:x=√3+12,y= √3−13;4.2(x-2y )+3(2x-3y )-4(3x-4y ),其中:x= - 34,y= 23;5.7x 3-2x (3x-5)-(4+5x-6x 2+7x 3),其中:x=2;6.(x+1)(x-3)+3x 2- 2〔2(x-2)(x+1)+(5x+4〕),其中:x= 34 ;7.x (x-1)-(x-2)(x+3)+6[32(6+x )+ 13(5-x )],其中x= -1.2 ;8.x−9x 2−9·x 2−6x+99−x+(4x−142x 2−x−21+3),其中x=√3-3 ;9.x−2y 3x+4y ÷(x +−2xy+4y 2x−2y)·3x 2+7xy+4y 2x 2−y 2,其中:x=√5-1,y=√3-1 ;10.12(2x+4)(x-2)+x−5x 2−10x+25·(x 2-x-20),其中:x 是大于3且小于6的自然数; 11.(4x+31x−5+x+5)-x 2−9x−5·x−2x+3,其中:x 满足|x |=4 ;12.(x+3)÷ x 2+x−6x 2−6x+8-x−1x+1×2x 2−x−3x−1,其中:x=2sin60°-1 ;参考答案1.(1+ 1x +1x+1)÷x (x+1)+2(x+1)−1x 2−1-1,其中:x=√2-1 ; 解:(1+ 1x + 1x+1)÷x (x+1)+2(x+1)−1x 2−1-1=(x+1x+ 1x+1)÷x 2+x+2x+2−1(x+1)(x−1)-1=x 2+3x+1x (x+1)÷x 2+3x+1(x+1)(x−1)-1 = x 2+3x+1x (x+1) ·(x+1)(x−1)x 2+3x+1-1=x−1x-1=1 - 1x-1 = - 1x将x=√2-1代入 原式= - √2−1= -√2+1(√2−1)(√2+1)= -√2−1故当 x=√2-1时原代数式的值是:-√2−1 2. 1-(1x−1-1)( 1x-1),其中:x=√5+2 ;解:1-(1x−1 -1)( 1x-1)=1-(1x−1-x−1x−1)( 1x- xx)=1- −x+2x−1 ·1−xx=1-x−2x=1-(1- 2x) = 2x将x=√5+2代入 原式= √5+2=√5−2(√5+2)(√5−2)=2√5-4故当 x=√5+2时原代数式的值是:2√5-4 3.25x -12x−3y ·(4x 2-9y 2+4x−6y5x ),其中:x= √3+12,y= √3−13 ; 解:25x - 12x−3y (4x 2-9y 2+4x−6y 5x)= 25x -12x−3y〔(2x+3y )(2x-3y ) +2(x−3y )5x〕= 25x - 〔(2x+3y )+ 25x〕 = -(2x+3y ) = -2x-3y将x= √3+12,y= √3−13代入原式= -2·√3+12 -3·√3−13= -(√3+1)-(√3−1)=2√3故当x= √3+12,y= √3−13时原代数式的值是:2√34.2(x-2y)+3(2x-3y)-4(3x-4y),其中:x= - 34,y= 23;解:2(x-2y)+3(2x-3y)-4(3x-4y) =2x-4y+6x-9y-12x+16y= -4x+3y将x= - 34,y= 23代入原式= -4·(- 34)+3·23=3+2=5故当 x=2时原代数式的值是:55. 7x3-2x(3x-5)-(4+5x-6x2+7x3),其中:x=2;解:7x3-2x(3x-5)-(4+5x-6x2+7x3)=7x3-6x2+10x-4-5x+6x2-7x3=5x-4将x=2代入原式=5·2-4=6故当 x=2时原代数式的值是:66.(x+1)(x-3)+3x 2- 2〔2(x-2)(x+1)+(5x+4〕),其中:x= 34 ;解:(x+1)(x-3)+3x 2- 2〔2(x-2)(x+1)+(5x+4〕) = x 2-2x-3+3x 2-2〔2(x 2-x-2)+(5x+4〕) =4x 2-2x-3-2〔2x 2-2x-4+5x+4) =4x 2-2x-3-2(2x 2+3x ) =4x 2-2x-3-4x 2-6x = -8x-3 将x= 34 代入原式= -8·34-3= -9故当 x= 34 时原代数式的值是:-97.x (x-1)-(x-2)(x+3)+6[32(6+x )+ 13(5-x )],其中x= -1.2 ;解:x (x-1)-(x-2)(x+3)+6[32(6+x )+ 13(5-x )]=x 2-x-(x 2+x-6)+ [6*32(6+x )+ 6*13(5-x )]=-2x+6+[9(6+x )+ 2(5-x )] =6-2x+(54+9x+10-2x ) =6-2x+(64+7x )=70+5x 将x= -1.2代入 原式=70+5×(-1.2)=64故当x= -1.2时原代数式的值是:64 8.x−9x 2−9·x 2−6x+99−x+(4x−142x 2−x−21+3),其中x=√3-3 ; 解:x−9x 2−9·x 2−6x+99−x +(4x−142x 2−x−21 +3)=x−9(x+3)(x−3)·(x−3)2−(x−9)+〔2(2x−7)(2x−7)(x+3)+3〕= - x−3x+3+2x+3+3= 5−x x+3+3= 5−x+3x+9x+3= 2x+14x+3=(2x+6)+8x+3=2+8x+3将x=√3-3代入 原式=2+(√3−3)+3=2+8√33故当x=√3-3时原代数式的值是:2+ 8√339.x−2y 3x+4y÷(x +−2xy+4y 2x−2y)·3x 2+7xy+4y 2x 2−y 2,其中:x=√5-1,y=√3-1;解:x−2y3x+4y ÷(x + −2xy+4y2x−2y)·3x2+7xy+4y2x2−y2= x−2y3x+4y ÷x2−4xy+4y2x−2y·(3x+4y)(x+y)(x+y)(x−y)=x−2y3x+4y ÷(x−2y)2x−2y·3x+4yx−y=x−2y3x+4y ·1x−2y·3x+4yx−y= 1x−y将x=√5-1,y=√3-1代入原式=(√5−1)−(√3−1)=√5−√3= √5+√3(√5−√3)(√5+√3)= √5+√35−3= √5+√32故当x=√5-1,y=√3-1时原代数式的值是:√5+√3210.12(2x+4)(x-2)+ x−5x2−10x+25·(x2-x-20),其中:x是大于3且小于6的自然数;解:12(2x+4)(x-2)+ x−5x2−10x+25·(x2-x-20)=(x+2)(x-2)+ x−5(x−5)2·(x+4)(x-5)=x2 -4 +x+4=x2 +xx是大于3且小于6的自然数那么x 是自然数4或5,但是当x=5时,分式 x−5x 2−10x+25的分母等于0,故x 不能为5,所以x 只能是自然数4。
注意:此类要求的题目,如果没有化简,直接代入求值一分不得! 考点:①分式的加减乘除运算 ②因式分解 ③二次根式的简单计算 1、化简,求值: 111(11222+---÷-+-m m m m m m ), 其中m =3.
2、先化简,再求代数式2221111
x x x x -+---的值,其中x=tan600-tan450
3、化简:x
x x x x x x x x 416)44122(2222+-÷+----+, 其中22+=x
4、计算:332141222+-+÷⎪⎭
⎫ ⎝⎛---+a a a a a a a .
5.
6、先化简,再求值:13x -·32269122x x x x x x x
-+----,其中x =-6.
7、先化简:再求值:⎝⎛⎭⎫1-1a -1÷a 2
-4a +4a 2-a ,其中a =2+ 2 .
8.先化简,再求值:a -1a +2·a 2+2a a 2-2a +1÷1a 2-1
,其中a 为整数且-3<a <2.
9、先化简,再求值:222211y xy x x y x y x ++÷⎪⎪⎭
⎫ ⎝⎛++-,其中1=x ,2-=y .
10、先化简,再求值:2222(2)42
x x x x x x -÷++-+,其中12x =.
11、先化简,再求值:
222112(
)2442x x x x x x
-÷--+-,其中2x =
12、22221(1)121
a a a a a a +-÷+---+.
13、先化简再求值:1
112421222-÷+--•+-a a a a a a ,其中a 满足20a a -=.
14、先化简:1
44)113(2++-÷+-+a a a a a ,并从0,1-,2中选一个合适的数作为a 的值代入求值。
15、先化简,再求值:)11(x -÷1
1222-+-x x x ,其中x =2
16、化简:22222369x y x y y x y x xy y x y
--÷-++++.
17、先化简,再求值:2224441x x x x x x x --+÷-+-,其中32
x =.
18.当2x =-时,求22111
x x x x ++++的值.
19..先化简,再把 x 取一个你最喜欢的数代入求值:2
)22444(22-÷+-++--x x x x x x x
20.先化简,再选择一个你喜欢的数代入求值。
2011a a 2-2a+1÷(a+1
a 2-1+1)
21、(2011•湘潭)先化简,再求值:
,其中.
22、(2011•娄底)先化简:(
)÷.再从1,2,3中选一个你认为合适的数作为a 的值代入求值.
23、(2011•衡阳)先化简,再求值.(x+1)2+x (x ﹣2).其中.
24、(2011•常德)先化简,再求值,(+)÷,其中x=2.。