数学分析考研试题 (1)
- 格式:doc
- 大小:67.00 KB
- 文档页数:1
数学分析考研试题及答案一、选择题(每题5分,共20分)1. 设函数f(x)在点x=a处可导,则下列说法正确的是:A. f(x)在x=a处连续B. f(x)在x=a处不可导C. f(x)在x=a处不一定连续D. f(x)在x=a处可微答案:A2. 极限lim(x→0)(sinx/x)的值为:A. 0B. 1C. 2D. 3答案:B3. 函数f(x)=x^3-6x^2+11x-6的极值点为:A. 1B. 2C. 3D. 1和2答案:D4. 若函数f(x)在区间(a,b)上连续,则下列说法错误的是:A. f(x)在(a,b)上必有最大值B. f(x)在(a,b)上必有最小值C. f(x)在(a,b)上可以没有最大值D. f(x)在(a,b)上可以没有最小值答案:C二、填空题(每题5分,共20分)1. 设函数f(x)=x^2+3x+2,则f'(x)=_________。
答案:2x+32. 函数y=x^3-3x+1在x=1处的切线斜率为_________。
答案:13. 设函数f(x)=ln(x),则f'(x)=_________。
答案:1/x4. 若函数f(x)=x^2-4x+c在x=2处取得极小值,则c=_________。
答案:4三、解答题(每题10分,共60分)1. 求函数f(x)=x^3-6x^2+11x-6的单调区间。
答案:函数f(x)的导数为f'(x)=3x^2-12x+11。
令f'(x)>0,解得x<1或x>3;令f'(x)<0,解得1<x<3。
因此,函数f(x)在(-∞,1)和(3,+∞)上单调递增,在(1,3)上单调递减。
2. 求极限lim(x→0)(x^2sinx/x^3)。
答案:lim(x→0)(x^2sinx/x^3) = lim(x→0)(sinx/x^2) = 0。
3. 证明函数f(x)=x^3+3x^2-9x+1在x=-3处取得极小值。
安徽工程大学数学分析考研真题安徽工程大学数学分析考研真题:一、选择题(共10小题,每小题2分;共20分)1. 设A是m×n(m≥n)矩阵,则“m-rank(A)=n”的正确表达是()A. A矩阵的行秩等于nB. A矩阵的列秩等于nC. A矩阵的秩等于nD. A矩阵的空间秩等于n2. 已知向量u = (a ,b ,c),v = (d,e,f),w = (g,h,k),则 (u * v)*w 的值等于()A. ae+bf+cgB. af+bd+ceC. de+fg+hkD. ad+be+cf3. 设a、b、c、d是实数,如果空间内两个向量x = (a,b)和y = (c,d)满足|x – y| = 1,则a2 + b2 + c2 + d2的值为()A. 2B. 4C. 8D. 164. 若函数f(x)在[2,4]上有极大值并且 f(4)=f'(4)=0,则f''(4)的值为()A. > 0B. < 0C. = 0D. 不能确定5. 设函数f(x)在区间[-1,1]上的图形呈现凹形态,则f'(-1)=f'(1)=()A. > 0B. < 0C. = 0D. 不能确定6. 若集合A={x∈R |x^2+x−6=0},则A与R的交集为()A. {-2, 0, 3}B. {-2, 2, 3}C. {-2, 2, 6}D. {-3, 0, 2}7. 设f (x ) 和g (x )为定义在R上的可导函数,若f (0 ) = g (0 ) , f' (0 ) = g' (0) , f'' (0 ) = g'' (0 ),则f (x)=g(x)成立的必要条件是()A. f(x)和g (x )同时为奇函数B. f(x)和g (x )同时为偶函数C. f(x)和g (x )均为常函数D. 以上都不正确8.运用投影原理,若一边长a的正方形投影到直角坐标系XOY上,一条边长为4a的矩形投影到直角坐标系XOY上,则该矩形的面积为()A. 16a2B. 12a2C. 8a2D. 4a29.若函数f(x)在区间[-1,1]上满足f(x)=2x2-1,则f(-2)的值为()A. 15B. 7C. 5D. -310.设P={(x, y)|2x+y≤3, x≥0, y≥0},若= (3,1)∈P,则P 的解集为()A. {(0, 3), (1,2)}B. {(0, 2), (1,1)}C. {(0, 3), (1,1)}D. {(0, 2), (1,2)}二、填空题(共5小题,每小题3分,共15分)11. 已知向量u=(1,2,3),v=(-1,1,2),则u*v的值为 _______。
华东师范大学数学分析历年考研真题(1997年-2010年)华东师范大学1997年攻读硕士学位研究生入学试题一(12分)设f(x)是区间I 上的连续函数。
证明:若f(x)为一一映射,则f(x)在区间I 上严格单调。
二(12分)设1,()0x D x x ⎧=⎨⎩为有理数,为无理数证明:若f(x), D(x)f(x) 在点x=0处都可导,且f(0)=0,则'(0)0f =三(16分)考察函数f(x)=xlnx 的凸性,并由此证明不等式: 2()(0,0)a b a ba b ab a b +≥>>四(16分)设级数1n a∞=∑收敛,试就1n n d ∞=∑为正项级数和一般项级数两种情况分别证明1nn a∞=∑五(20分)设方程(,)0F x y =满足隐函数定理条件,并由此确定了隐函数y=f(x)。
又设(,)Fx y 具有连续的二阶偏导数。
(1) 求''()f x(2)若0000(,)0,()F x y y f x ==为f(x)的一个极值,试证明:当00(,)y F x y 与00(,)xx F x y 同号时,0()f x 为极大值; 当00(,)y F x y 与00(,)xx F x y 异号时,0()f x 为极小值。
(3)对方程2227xxy y ++=,在隐函数形式下(不解出y )求y=f(x)的极值,并用(2)的结论判别极大或极小。
六(12分)改变累次积分4204842(4)x x xI dx y dy --=-⎰⎰的积分次序,并求其值。
七(12分)计算曲面积分222(cos cos cos )sI x y z ds αβγ=++⎰⎰其中s 为锥面z =上介于0z h ≤≤的一块,{}c o s,c o s ,c o s αβγ为s 的下侧法向的方向余弦。
华东师范大学1998年攻读硕士学位研究生入学试题一. 简答题(20分) (1) 用定义验证:22323lim 212n n n n →∞+=++;(2) '2cos ,0(),()ln(1),0x x f x f x x x <⎧=⎨+≥⎩求; (3)计算3.二(12分)设f(x)有连续的二阶导函数,且''0()2,[()()]sin 5,f f x f x xdx ππ=+=⎰求f(0).三(20分)(1)已知1n n a ∞=∑为发散的一般项级数,试证明11(1)n n a n∞=+∑也是发散级数。
数学分析考研试题及答案一、选择题(每题3分,共30分)1. 下列函数中,哪个不是有界函数?A. f(x) = sin(x)B. f(x) = e^xC. f(x) = x^2D. f(x) = 1/x2. 函数f(x) = x^3在区间(-∞, +∞)上是:A. 单调递增B. 单调递减C. 有增有减D. 常数函数3. 如果函数f(x)在点x=a处连续,那么:A. f(a)存在B. f(a) = 0C. lim(x->a) f(x) = f(a)D. lim(x->a) f(x) 不存在4. 定积分∫(0,1) x^2 dx的值是:A. 1/3B. 1/4C. 1/2D. 2/35. 函数序列fn(x) = x^n在[0, 1]上一致收敛的n的取值范围是:A. n = 1B. n > 1C. n < 1D. n = 26. 级数∑(1/n^2)是:A. 收敛的B. 发散的C. 条件收敛的D. 无界序列7. 如果函数f(x)在区间[a, b]上可积,那么:A. f(x)在[a, b]上连续B. f(x)在[a, b]上一定有界C. f(x)在[a, b]上单调递增D. f(x)在[a, b]上无界8. 函数f(x) = |x|在x=0处:A. 连续B. 可导C. 不连续D. 不可导9. 微分方程dy/dx + y = 0的通解是:A. y = Ce^(-x)B. y = Ce^xC. y = Csin(x)D. y = Ccos(x)10. 函数f(x) = e^x在x=0处的泰勒展开式是:A. f(x) = 1 + x + ...B. f(x) = x + ...C. f(x) = 1 + x^2 + ...D. f(x) = 1 + x^3 + ...二、填空题(每题4分,共20分)11. 极限lim(x->0) (sin(x)/x) 的值是 _______。
12. 函数f(x) = x^3 - 6x^2 + 11x - 6的拐点是 _______。
考研数学分析试题及答案一、选择题(每题3分,共30分)1. 设函数f(x)在区间[a, b]上连续,且f(a) = f(b) = 0,若f(x)在区间(a, b)内至少有一个最大值点,则下列说法正确的是()。
A. f(x)在[a, b]上必有最大值B. f(x)在[a, b]上必有最小值C. 函数f(x)在[a, b]上单调递增D. 函数f(x)在[a, b]上单调递减2. 下列级数中,发散的是()。
A. ∑(-1)^n / nB. ∑1/n^2C. ∑(1/n - 1/(n+1))D. ∑sin(n)3. 已知函数F(x)在点x=c处可导,且F'(c)≠0,那么下列说法中正确的是()。
A. F(x)在x=c处连续B. 函数F(x)在x=c处一定取得最大值或最小值C. 可导性不能保证函数的连续性D. F(x)在x=c处取得极值4. 对于函数f(x) = x^3 - 6x^2 + 9x + 5,其在区间[1, 5]上的最大值是()。
A. 5B. 10C. 15D. 205. 设f(x)在[a, b]上可积,若∫[a, b] f(x) dx = 10,则下列说法中错误的是()。
A. f(x)在[a, b]上非负B. 存在x₀∈[a, b],使得f(x₀) > 0C. 存在x₀∈[a, b],使得f(x₀) = 10/b - aD. f(x)可以是负函数6. 函数f(x) = e^x / (1 + e^x)的值域是()。
A. (-∞, 0)B. (0, 1/2)C. (0, 1)D. (1/2, +∞)7. 下列选项中,不是有界函数的是()。
A. y = sin xB. y = e^xC. y = x^2D. y = 1/x8. 设函数f(x)在点x=1处可导,且f'(1) = 2,那么f(1 + h) - f(1)在h趋近于0时的表达式是()。
A. 2hB. 2h + o(h)C. h^2D. o(h)9. 对于函数f(x) = x^2,其在区间[-1, 1]上满足拉格朗日中值定理的条件,且存在ξ∈(-1, 1),使得()。
第一部分 名校考研真题说明:本部分从指定伍胜健主编的《数学分析》为考研参考书目的名校历年考研真题中挑选最具代表性的部分,并对其进行了详细的解答。
所选考研真题既注重对基础知识的掌握,让学员具有扎实的专业基础;又对一些重难点部分(包括教材中未涉及到的知识点)进行详细阐释,以使学员不遗漏任何一个重要知识点。
第1章 函 数一、填空题设( ).[浙江大学研]A .0 B .1 C . D .【答案】B 【解析】二、解答题1.使用确界原理证明单调递减的有界数列必有极限。
[天津大学研]证明:确界原理,即有上界的非空集必有上确界,有下界的非空集必有下确界。
设为单调递减且有界的数列,则由确界原理可知,存在。
下面证该下确界就是的极限。
由下确界定义:(1)对任意的n ,有,当然成立,这ε为任意小的正数。
(2)对上述任意的ε,存在N ,当n>N 时,有。
又因为条件(1),所以成立。
2.设S 是非空集合,ξ=infS ,试证明:若ξ∈S,则S 中必存在一个严格单调递减的,使得[北京航空航天大学研]证明:若ξ=infS ,即(1)对任意的x∈S,有X≥ξ:(2)对任意的ε>0,存在,使得取,存在,使得。
改变n 的值,有依次类推,有而且满足很明显,为一个严格单调递减的数列,且3.设{xy}为所有xy 乘积的集合,其中,且x≥0及y≥0.证明:[武汉大学研]证明:设 ①②又,可取.且使③由,∴存在由③有 ④由②,④得证4.设.[同济大学研]解:当当-1≤x<0时,当x<-1时,5.证明:函数为R上的有界函数.[湖北大学2001研]证:∴取ε=1,存在N>0,当又f (x )在内连续.从而有界,即综上两式知f (x )在R 上有界.6.设,求f (x )的定义域和f (f (-7)).[中国人民大学研]解:由3-x >0,3-x≠1,49-x 2≥0,解得,从而f (x )的定义域为又第2章 序列的极限1.求下列极限:(1).[北京大学研](2)f (x )在[-1,1]上连续,恒不为0,求.[华中师范大学研]解法1:①由①式及两边夹法则,.(2)故解法2:f 在[-1,1]上连续;因而f (x )有界2.设数列单调递增趋于 ①证明:(1)(2)设 ②证明:,并利用(1),求极限.[中国人民大学研]证明:(1)(i )先设,由①式,,存在N>0,当n>N 时有特别取n=N+1,N +2,……将这些式子统统相加得此即 ③而由于以及③式,(ii )再当时.由①有 ④ ⑤下证递增趋于,由④知,.当n>N 1时,有 ⑥,即单调递增.由⑥式有,。
欢迎报考广东财经大学硕士研究生,祝你考试成功!(第 1 页 共 1 页) 广东财经大学硕士研究生入学考试试卷考试年度:2018年 考试科目代码及名称:614-数学分析(自命题)适用专业:071400 统计学[友情提醒:请在考点提供的专用答题纸上答题,答在本卷或草稿纸上无效!] 《数学分析》 [共150分]一、计算题(6题,每题10分,共60分)1.求极限()21sin 1lim 1x x x →-- 。
2.设函数()f x 在a 可导,求极限()()02lim 2t f a t f a t t →+-+ 。
3.求不定积分 。
4.求极限230lim 1nn x dx x→∞+⎰ 。
5.判别级数12!n n n n n ∞=∑的敛散性。
6.求复合函数的偏导数:(),,,u f x y x s t y st ==+= 。
二、应用题(4题,每题15分,共60分)1.已知圆柱形罐头盒的体积是V (定数),问它的高与底半径多大才能使罐头盒的表面积达到最小?2.求一条平面曲线方程,该曲线通过点(1,0)A ,并且曲线上每一点(,)P x y 的切线斜率是22,x x R -∈。
3.求以下曲线绕指定轴旋转所成旋转体的侧面积:2,06y x x =≤≤,绕x 轴。
4.已知矩形的周长为24cm ,将它绕其一边旋转而成一圆柱体,试求所得圆柱体体积最大时的矩形面积。
三、证明题(2题,每题15分,共30分)1.证明:若存在常数c ,n N ∀∈,有21321||||||n n x x x x x x c --+-++-< ,则数列{}n x 收敛。
2.证明:方程2sin (0)x x a a -=>至少有一个正实根。
欢迎报考广东财经大学硕士研究生,祝你考试成功!(第 1 页 共 1 页)广东财经大学硕士研究生入学考试试卷考试年度:2019年 考试科目代码及名称:601-数学分析(自命题) 适用专业:071400 统计学[友情提醒:请在考点提供的专用答题纸上答题,答在本卷或草稿纸上无效!]一、计算题(6题,每题10分,共60分)1.求数列极限();!)!2(!)!22(lim 1n n n n n -+++∞→2.求函数极限 ();sin 1ln sin tan lim 20x x x x x +-→3.设是可微函数,由所确定函数.求φ0),=--bz cy az cx (φ),(y x f z =. yz b x z a ∂∂+∂∂4.求函数级数的和函数和收敛域.∑+∞=-12n nx xe 5.设,确定使得满足方程 y x ex y x f 42),(-=ααf .122⎪⎭⎫ ⎝⎛∂∂∂∂=∂∂x f x x x y f 6.设.求全微分xyz u =.3u d 二、应用题(4题,每题15分,共60分)1.已知满足求的取值范围.,x y ()22+21.x y -=w =2.曲线在点处得切线与轴得正向所夹得角度是多⎪⎩⎪⎨⎧=+=4222y y x z )5,4,2(x 少?3.求由方程确定的隐函数的二阶导数012=-+y x e xy )(x y y =).(''x y 4.求不定积分.⎰xdx e x sin 三、证明题(2题,每题15分,共30分)1. 已知在区间上连续. 求证)(x f ],[b a ().)()()(2122⎪⎭⎫ ⎝⎛-≤⎪⎭⎫ ⎝⎛⎰⎰-b a n n b a dx x f a b dx x f n2. 已知证明存在唯一使得 .,0为自然数n x >),(10∈θ.11lim 00+==+→⎰n xe dt e x x x t n n θθ且。
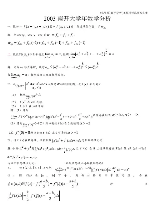
2003南开大学年数学分析一、设),,(x y x y x f w-+=其中),,(z y x f 有二阶连续偏导数,求xy w解:令u=x+y ,v=x-y ,z=x 则z v u x f f f w ++=;)1()1()1(-++-++-+=zv zu vv vu uv uu xy f f f f f f w二、设数列}{n a 非负单增且a a nn =∞→lim ,证明a a a a n n n n n n =+++∞→121][lim解:因为an 非负单增,故有n n n nnn n n n na a a a a 1121)(][≤+++≤由a a nn =∞→lim ;据两边夹定理有极限成立。
三、设⎩⎨⎧≤>+=0,00),1ln()(2x x x x x f α试确定α的取值范围,使f(x )分别满足:(1) 极限)(lim 0x f x +→存在(2) f(x )在x=0连续 (3) f (x )在x=0可导 解:(1)因为)(lim 0x f x +→=)1ln(lim 20x x x ++→α=)]()1(2[lim 221420n nn x x o nxx x x +-++--→+α极限存在则2+α0≥知α2-≥(2)因为)(lim 0x f x -→=0=f(0)所以要使f(x)在0连续则2->α(3)0)0(='-f 所以要使f (x )在0可导则1->α四、设f (x)在R 连续,证明积分ydy xdx y x f l ++⎰)(22与积分路径无关解;令U=22y x+则ydy xdx y x f l ++⎰)(22=21du u f l )(⎰又f (x )在R 上连续故存在F(u )使dF (u )=f(u )du=ydy xdx y x f ++)(22所以积分与路径无关。
(此题应感谢小毒物提供思路)五、设f(x)在[a,b ]上可导,0)2(=+b a f 且M x f ≤')(,证明2)(4)(a b M dx x f b a-≤⎰证:因f(x)在[a ,b]可导,则由拉格朗日中值定理,存在)2)(()2()(),(ba x fb a f x f b a +-'=+-∈ξξ使即有dx ba x f dx x f bab a)2)(()(+-'=⎰⎰ξ222)(4])2()2([)2)((a b M dx b a x dx x b a M dx b a x f bb a ba a ba-=+-+-+≤+-'≤⎰⎰⎰++ξ六、设}{n a 单减而且收敛于0。
复旦大学 数学分析考研真题一.填空题(1)0lim x →ln(1)1cos x x x+-=_____(2)微分方程'y =(1)y x x-的通解是____,这是变量可分离方程(3)设∑是锥面z=22x y +(0≤z ≤1)的下侧,则23(1)x d y d z y d z d x z d x d y ++-=∑⎰⎰____(4)点(2,1,0)到平面3x+4y+5z=0的距离d=____ (5)设A=2112⎛⎫⎪-⎝⎭,2阶矩阵B 满足BA=B+2E,则B =____(6)设随机变量X 与Y 相互独立,且均服从区间[]0,3上的均匀分布,则{m a x (,)1}P x y ≤=____一、 选择题(1) 设函数()y f x =具有二阶导数,且'()0f x >,''()0f x >,x 为自变量x 在x,处的增量,y 与dy 分别为()f x 在点x处对应的增量与微分,若0x >,则( )(A )0dx y << (B )0y dy << (C )0y dy << (D )0dy y << (2)设(,)f x y 为连续函数,则41(cos ,sin )d f r r rdr πθθθ⎰⎰等于( )(A )2210(,)xx dx f x y dy -⎰⎰(B )22100(,)xdx f x y dy -⎰⎰(C )2210(,)yydy f x y dx -⎰⎰(D )2210(,)ydy f x y dx -⎰⎰(3)若级数1nn a∞-∑收敛,则级数( )(A )1nn a∞-∑收敛 (B )1(1)n nn a ∞--∑收敛(C )11n n n a a ∞+-∑收敛 (D )112n n n a a ∞+-+∑收敛(4)设(,)f x y 和(,)x y ϕ均为可微函数,且'(,)y x y ϕ≠0,已知00(,)x y 是(,)f x y 在约束条件(,)0x y ϕ=下的一个极值点,下列选项正确的是( ) (A )若'00(,)0x f x y =,则'00(,)0y f x y = (B )若'00(,)0x f x y =,则'00(,)0y f x y ≠ (C )若'00(,)0x f x y ≠,则'00(,)0y f x y = (D )若'00(,)0x f x y ≠,则'00(,)0y f x y ≠ (5)设12,,,s ααα都是n 维向量,A 是m n ⨯矩阵,则( )成立(A)若12,,,s ααα线性相关,则12,,s A A A ααα线性相关 (B)若12,,,s ααα线性相关,则12,,s A A A ααα线性无关 (C)若12,,,s ααα线性无关,则12,,s A A A ααα线性相关 (D)若12,,,s ααα线性无关,则12,,s A A A ααα线性无关(6)设A是3阶矩阵,将A 的第2列加到第1列上得B ,将B 的第一列的1-倍加到第2列上得C ,记110010001P ⎛⎫⎪= ⎪ ⎪⎝⎭,则( )(A )1C P AP -= (B )1C PAP -= (C )TC P AP = (D )TC PAP =(7)设A ,B 为随机事件,()0P B >,()|1P A B =,则必有( ) (A )()()P A B P A ⋃> (B )()()P A B P B ⋃> (C )()()P A B P A ⋃= (D )()()P A B P B ⋃=(8)设随机变量X 服从正态分布211(,)N μσ,Y 服从正态分布222(,)N μσ,且12{1}{1}P X P Y μμ-<>-<,则( )(A )12σσ< (B )12σσ> (C )12μμ< (D)12μμ>三、简答题(1) 设区域22{(,)|1,0}D x y x y x =+≤≥,计算二重积分2211DxyI dxdy x y +=++⎰⎰ (2) 设数列{}n x 满足110,sin n n x x x π+<<=(n=1,2),求:(I )证明lim n x x →∞存在,并求之(II )计算211lim n x n x n x x +→∞⎛⎫ ⎪⎝⎭(3) 设函数()f u 在(0,∞)内具有二阶导数,且22()z f x y =+满足等式22220z zx y∂∂+=∂∂ (I )验证'''()()0f u f u u+= (II )若'(1)0,(1)1f f ==,求函数()f u 的表达式(4) 设在上半平面{(,)|0}D x y y =>内,函数(,)f x y 是有连续偏导数,且对任意的0t >都有2(,)(,)f tx ty t f x y =证明:对L 内的任意分段光滑的有向简单闭曲线L,都有(,)(,)0Lyf x y dx xf x y dy -=⎰(5)已知非齐次线性方程组1234123412341435131x x x x x x x x ax x x bx +++=-⎧⎪++-=-⎨⎪++-=⎩有3个线性无关的解(I)证明方程组系数矩阵A的秩 ()2r A = (II )求 a , b 的值及方程组的通解(6)设3阶实对称矩阵A 的各行元素之和均为3,向量1(1,2,1)T α=--,2(0,1,1)T α=-实线性方程组0Ax =的两个解,(I )求A 的特征值与特征向量(II )求:正交矩阵Q与对角矩阵A,使得TQ AQ A =(7)随机变量X 的概率密度为1,1021(),0240,X x f x x ⎧-<<⎪⎪⎪=≤<⎨⎪⎪⎪⎩其他令2,(,)y x F x y =为二维随机变量(,)X Y 的分布函数(I)求Y的概率密度()Y f y (II)1,42F ⎛⎫-⎪⎝⎭(8)设总体X 的概率密度,01(,0)1,120,x F X x θθ<<⎧⎪=-≤<⎨⎪⎩其他其中θ实未知参数(01θ<<),12,,,n X X X 为来自总体X 的简单随即样本,记N 为样本值12,,,n x x x 中小于1的个数,求θ的最大似然估计。
x n a z ) d x d y d z 考试科目:数学分析一、(10 分)将函数 f (x ) = arctan2x1- x 2在 x = 0 点展开为幂级数,并指出收敛区间。
+∞ ln(1+ x )二、(10 分)判别广义积分的收敛性: ⎰0 d x 。
x p 三、(15 分)设 f (x ) 在(-∞, +∞) 上有任意阶导数 f (n ) (x ) ,且对任意有限闭区间[a , b ] ,f (n ) (x ) 在[a , b ] 上一致收敛于φ(x )(n → +∞) ,求证:φ(x ) = ce x , c 为常数。
四、(15 分)设 x n > 0( n = 1, 2 ⋅⋅⋅) 及 lim x n = a ,用ε - N 语言证明: lim= 。
n →+∞n →+∞五、(15 分)求第二型曲面积分⎰⎰ (x d y d z + cos y d z d x + d x d y ) ,其中S 为Sx 2 + y 2 + z 2 = 1的外侧。
∂f ∂g 六、(20 分)设 x = f (u , v ) , y = g (u , v ) ,w = w (x , y ) 有二阶连续偏导数,满足 ∂u = ∂v,∂f = - ∂g∂v ∂u ∂2w , ∂x 2 ∂2w + = 0 ,证明: ∂y 2(1) ∂2( fg ) ∂u 2∂2( fg ) + = 0 , ∂v 2(2) w (u , v ) = w ( f (u , v ), g (u , v )) 满足 ∂2w ∂u 2 ∂2w+ = 0 。
∂v 2七、(15 分)计算三重积分⎰⎰⎰Ω:x 2+ y 2 + z 2 ≤2 z(x 2 + y 2 +25/ 2。
n 1+ a nx ∞∑ ⎰ y+ x = = = 考试科目:数学分析 一、(26 分)选一个最确切的答案,填入括号中:1.设 f (x ) 定义在[a , b ] 上,若对任意的 g ∈ R ([a , b ]) ,有 f ⋅ g ∈ R ([a , b ]) ,则( )A. f ∈ R ([a , b ]) ,B. g ∈ C ([a , b ]) ,C. f 可微,D. f 可导。
南京理工大学2005年数学分析试题
一、(10分)设0>n a ,n=1,2, )(,0∞→≠→n a a n ,证 1lim
=∞→n n n a 。
二、(15分)求积分
⎰⎰∑⋅ds n F ϖϖ其中),,=(x y yz x y F ϖ,∑为半球面,0z 1z y x 222≥,=++和圆1y x 0z 22≤+,
=的外侧 三、(15分)设f 为一阶连续可微函数,且)
(0f ''存在,f (0)=0, 定义⎪⎩⎪⎨⎧≠'0 x x f x
10 x 0f x g )(=)()=( 证 g 是一个可微,且g '在0点连续。
四、(15分)证明 级数
∑∞1n x n 2e =- 在),+(∞0上不一致收敛,但和函数在)
,+(∞0上无穷次可微。
五、(15分)设〕,〔b a C f ∈,证明,0>∀ε存在连续折线函数g ,使得 ε<)()-(x g x f ,〕〔b a,x ∈
∀。
六、(15分)设),(t x u 为二元二阶连续可微函数且u 的各一阶偏导关于x 是以1为周期
函数,且2222x
u t u ∂∂∂∂=,证明⎰∂∂∂∂E 1022dx x u t u 21t ))+()(()=(是一个与t 无关的函数。
七、(15分)设f 为〕
,+〔∞1上实值函数,且f (1)=1,)()(+)=(1x x f x 1x f 22≥',证明)(+x f lim x ∞→存在且小于4
1π+。
八、(15分)设∑∞1n n n x a
=为一幂函数,在(-R ,R )上收敛,和函数为f ,若数列{}j x 满足
0x x R 21>>>>Λ且0lim =∞
→j j x ,Λ1,2j 0x f j =,)=(,证明 Λ210n 0a n ,,=,= 九、(15)设f 是 〕〔〕,〔b a b a ⨯⨯上的二元连续映射,定义
{}〕
,〔),()=(b a y y x f max x g ∈,证明 g 在〔a ,b 〕上连续。
十、(20分)讨论二元函数连续、可偏导、可微三个概念之间的关系,要有论证和反例。