数值计算方法计算习题
- 格式:doc
- 大小:63.50 KB
- 文档页数:2
fuxiti例1证明方程1-x-sin x=0在区间[0,1]内有一个根,使用二分法求误差不超过0.5×10-4的根要迭代多少次?证明令f(x)=1-x-sin x,∵f(0)=1>0,f(1)=-sin1<0∴f(x)=1-x-sin x=0在[0,1]有根.又f'(x)=1-c os x>0(x∈[0.1]),故f(x)=0在区间[0,1]内有唯一实根.给定误差限ε=0.5×10-4,有只要取n=14.例4选择填空题1. 设函数f(x)在区间[a,b]上连续,若满足,则方程f(x)=0在区间[a,b]一定有实根.答案:f(a)f(b)<0解答:因为f(x)在区间[a,b]上连续,在两端点函数值异号,由连续函数的介值定理,必存在c,使得f(c)=0,故f(x)=0一定有根.2. 用简单迭代法求方程f(x)=0的实根,把方程(x)=0表成x=ϕ(x),则f(x)=0的根是( )(A)y=x与y=ϕ(x)的交点(B) y=x与y=ϕ(x)交点的横坐标(C) y=x与x轴的交点的横坐标(D) y=ϕ(x)与x轴交点的横坐标答案:(B)解答:把f(x)=0表成x=ϕ(x), 满足x=ϕ(x)的x是方程的解,它正是y=x与y=ϕ(x)的交点的横坐标.3.为求方程x3―x2―1=0在区间[1.3,1.6]内的一个根,把方程改写成下列形式,并建立相应的迭代公式,迭代公式不收敛的是( )(A)(B)(C)(D)答案:(A)解答:在(A)中故迭代发散.在(B)中,故迭代收敛.在(C)中,,故迭代收敛.在(D)中,类似证明,迭代收敛.例3填空选择题:1. 用高斯列主元消去法解线性方程组作第1次消元后的第2,3个方程分别为。
解答1. 选a21=2为主元,作行互换,第1个方程变为:2x1+2x2+3x3=3,消元得到是应填写的内容。
一、解答下列问题:1) 数值计算中,最基础的五个误差概念(术语)是 , , , , .2) 分别用 2.718281, 2.718282 作数e 的近似值 ,它们的有效位数分别有位, 位; 又取73.13≈ (三位有效数字),则≤-73.13 .3)为减少乘除法运算次数,应将算式32)1(7)1(51318---+-+=x x x y 改写成4)为减少舍入误差的影响,应将算式 9910- 改写成 5)递推公式 ⎪⎩⎪⎨⎧=-==-,2,1,110210n y y y n n如果取41.120≈=y 作计算,则计算到10y 时,误差有这个计算公式数值稳定不稳定 ?1) 绝对误差 , 相对误差 , 有效数字 , 截断误差 , 舍入误差 。
第一章 绪论(12)1、设0>x ,x 的相对误差为δ,求x ln 的误差。
[解]设0*>x 为x 的近似值,则有相对误差为δε=)(*x r ,绝对误差为**)(x x δε=,从而x ln 的误差为δδεε=='=*****1)()(ln )(ln x x x x x , 相对误差为****ln ln )(ln )(ln x x x x rδεε==。
2、设x 的相对误差为2%,求n x 的相对误差。
[解]设*x 为x 的近似值,则有相对误差为%2)(*=x r ε,绝对误差为**%2)(x x =ε,从而nx 的误差为nn x x nxn x x n x x x **1***%2%2)()()()(ln *⋅=='=-=εε,相对误差为%2)()(ln )(ln ***n x x x nr==εε。
3、下列各数都是经过四舍五入得到的近似数,即误差不超过最后一位的半个单位,试指出它们是几位有效数字:1021.1*1=x ,031.0*2=x ,6.385*3=x ,430.56*4=x ,0.17*5⨯=x 。
[解]1021.1*1=x 有5位有效数字;0031.0*2=x 有2位有效数字;6.385*3=x 有4位有效数字;430.56*4=x 有5位有效数字;0.17*5⨯=x 有2位有效数字。
4、利用公式(3.3)求下列各近似值的误差限,其中*4*3*2*1,,,x x x x 均为第3题所给的数。
(1)*4*2*1x x x ++; [解]3334*4*2*11***4*2*1*1005.1102110211021)()()()()(----=⨯=⨯+⨯+⨯=++=⎪⎪⎭⎫ ⎝⎛∂∂=++∑x x x x x f x x x e nk k k εεεε;(2)*3*2*1x x x ;[解]52130996425.010********.2131001708255.01048488.2121059768.01021)031.01021.1(1021)6.3851021.1(1021)6.385031.0()()()()()()()()(3333334*3*2*1*2*3*1*1*3*21***3*2*1*=⨯=⨯+⨯+⨯=⨯⨯+⨯⨯+⨯⨯=++=⎪⎪⎭⎫⎝⎛∂∂=-------=∑x x x x x x x x x x x f x x x e n k k kεεεε;(3)*4*2/x x 。
数值计算方法倪勤习题答案数值计算方法倪勤习题答案数值计算方法是一门研究如何利用计算机进行数值计算的学科。
它在科学计算、工程计算、金融计算等领域中有着广泛的应用。
倪勤的《数值计算方法》是该领域的经典教材之一,其中的习题是帮助学生巩固所学知识的重要资源。
下面是一些数值计算方法倪勤习题的答案,供大家参考。
一、插值与拟合1. 设有下列数据点:(0, 0),(1, 1),(2, 4),(3, 9)。
试用拉格朗日插值多项式求x=2.5处的函数值。
解答:拉格朗日插值多项式的表达式为:P(x) = ∑[f(xi) * l(x)] / ∑[l(xi)]其中,l(x) = ∏[(x - xj) / (xi - xj)],i ≠ j根据给定的数据点,可以得到:l0(x) = (x - 1)(x - 2)(x - 3) / (0 - 1)(0 - 2)(0 - 3) = -x(x - 1)(x - 2) / 6l1(x) = (x - 0)(x - 2)(x - 3) / (1 - 0)(1 - 2)(1 - 3) = x(x - 2)(x - 3) / 2l2(x) = (x - 0)(x - 1)(x - 3) / (2 - 0)(2 - 1)(2 - 3) = -x(x - 1)(x - 3) / 2l3(x) = (x - 0)(x - 1)(x - 2) / (3 - 0)(3 - 1)(3 - 2) = x(x - 1)(x - 2) / 6代入公式,得到:P(x) = 0 * l0(x) + 1 * l1(x) + 4 * l2(x) + 9 * l3(x)= -x(x - 1)(x - 2) / 6 + 4x(x - 1)(x - 3) / 2 + 9x(x - 1)(x - 2) / 6= -x(x - 1)(x - 2) / 6 + 2x(x - 1)(x - 3) + 3x(x - 1)(x - 2) / 2= x^3 - 3x^2 + 3x将x=2.5代入上式,得到:P(2.5) = 2.5^3 - 3 * 2.5^2 + 3 * 2.5 = 2.375因此,当x=2.5时,函数值为2.375。
第一章 绪论1.把下列各数按四舍五入规则舍入为有3位小数的近似数,并写出近似数的绝对误差和相对误差,指出近似数有几位有效数字: 93.1822 4.32250 15.9477 17.3675 2.按四舍五入原则,将下列数舍成五位有效数字:816.9567 6.000015 17.32250 1.235651 93.18213 0.015236233.设 **,671.3,6716.3x x x 则==有几位有效数字? 4.若1/4用0.25来表示,问有多少位有效数字? 5.若 1.1062,0.947a b ==是经过舍入后得到的近似值,问:,a b a b +⨯各有几位有效数字?6.设120.9863,0.0062y y ==是经过舍入后作为12,x x 的近似值, 求11y 和21y 的计算值与真值的相对误差限及12y y 和得到真值的相对误差限. 7.设0,x x >的相对误差为δ,求ln x 的绝对误差.8.正方形的边长约为100cm ,应该怎样测量,才能使其面积的误差不超过12cm . 9.设x 的相对误差为a %,求x n 的相对误差.10.计算球的体积,为了使相对误差限为1%,问度量半径R 时允许的相对误差限如何?11.5631.2*=x 是经四舍五入得到的近似值,则其相对误差≤*r e __________ 12. 设 0000073.0,1416.3,1415926.3**=-==x x x x 则称_________误差13.设⎰+=1061dx xx I nn ,设计一个计算10I 的算法,并说明你的算法的合理性。
14.设028Y =,按递推公式1n n Y Y -= (1,2,n = ), 计算到100Y27.982≈(5位有效数字),试问计算100Y 将有多大误差. 15.求方程25610x x -+=的两个根,使它至少具有4位有效数字27.982≈).16.当N 充分大时,怎样求121d 1N N x x ++⎰?17.序列{}n y 满足递推关系101n n y y =- (1,2,n = ),若0 1.41y =≈(三位有效数字),计算到10y 时误差有多大?这个计算过程稳定吗?18.计算61)f =1.41≈,利用下列算式计算,哪一个得到的结果最好?,3(3-,99- 19.()ln(f x x =,求(30)f 的值,若开平方用6位函数表,问求对数时误差有多大?若改用另一等价公式ln(ln(x x =- 计算,求对数时误差有多大?第二章 解线性方程组的直接方法1.用高斯消去法解方程组123234011921261x x x ⎡⎤⎡⎤⎡⎤⎢⎥⎢⎥⎢⎥=⎢⎥⎢⎥⎢⎥⎢⎥⎢⎥⎢⎥-⎣⎦⎣⎦⎣⎦ 2.用LU 分解,将上题系数矩阵分解为L 和U 的乘积,L 是对角线元素为1的下三角矩阵,U 是上三角矩阵。
数值分析(p11页)4 试证:对任给初值x 0,0)a >的牛顿迭代公式 112(),0,1,2,......ka k kx x x k +=+=恒成立下列关系式:2112(1)(,0,1,2,....(2)1,2,......kk kx k x x k x k +-=-=≥=证明: (1)(2211222k k k k k k k kx a x ax x x x x +⎫⎛-+=+-==⎪ ⎝⎭(2) 取初值0>x ,显然有0>kx,对任意0≥k ,a a x a x x a x x k k k k k ≥+⎪⎪⎭⎫ ⎝⎛-=⎪⎪⎭⎫ ⎝⎛+=+2121216 证明:若kx 有n 位有效数字,则n kx-⨯≤-110218,而()k k k kk x x x x x 288821821-=-⎪⎪⎭⎫⎝⎛+=-+nnk k x x 2122110215.22104185.28--+⨯=⨯⨯<-∴>≥Θ1k x +∴必有2n 位有效数字。
8 解:此题的相对误差限通常有两种解法. ①根据本章中所给出的定理:(设x 的近似数*x 可表示为mna a a x 10 (02)1*⨯±=,如果*x 具有l 位有效数字,则其相对误差限为()11**1021--⨯≤-l a xx x ,其中1a 为*x 中第一个非零数) 则7.21=x ,有两位有效数字,相对误差限为 025.010221111=⨯⨯≤--x x e 71.22=x ,有两位有效数字,相对误差限为 025.010221122=⨯⨯≤--x x e 3 2.718x =,有两位有效数字,其相对误差限为: 00025.010221333=⨯⨯≤--x e x ②第二种方法直接根据相对误差限的定义式求解对于7.21=x ,0183.01<-e x∴其相对误差限为00678.07.20183.011≈<-x e x 同理对于71.22=x,有 003063.071.20083.022≈<-x e x对于718.23=x,有00012.0718.20003.033≈<-x e x备注:(1)两种方法均可得出相对误差限,但第一种是对于所有具有n 位有效数字的近似数都成立的正确结论,故他对误差限的估计偏大,但计算略简单些;而第二种方法给出较好的误差限估计,但计算稍复杂。
,。
第一章 绪论(12)1、设0>x ,x 的相对误差为δ,求x ln 的误差。
[解]设0*>x 为x 的近似值,则有相对误差为δε=)(*x r ,绝对误差为**)(x x δε=,从而x ln 的误差为δδεε=='=*****1)()(ln )(ln x xx x x , 相对误差为****ln ln )(ln )(ln x x x x rδεε==。
2、设x 的相对误差为2%,求n x 的相对误差。
[解]设*x 为x 的近似值,则有相对误差为%2)(*=x r ε,绝对误差为**%2)(x x =ε,从而nx 的误差为nn x x nxn x x n x x x **1***%2%2)()()()(ln *⋅=='=-=εε,相对误差为%2)()(ln )(ln ***n x x x nr==εε。
3、下列各数都是经过四舍五入得到的近似数,即误差不超过最后一位的半个单位,试指出它们是几位有效数字:1021.1*1=x ,031.0*2=x ,6.385*3=x ,430.56*4=x ,0.17*5⨯=x 。
[解]1021.1*1=x 有5位有效数字;0031.0*2=x 有2位有效数字;6.385*3=x 有4位有效数字;430.56*4=x 有5位有效数字;0.17*5⨯=x 有2位有效数字。
4、利用公式(3.3)求下列各近似值的误差限,其中*4*3*2*1,,,x x x x 均为第3题所给的数。
(1)*4*2*1x x x ++;[解]3334*4*2*11***4*2*1*1005.1102110211021)()()()()(----=⨯=⨯+⨯+⨯=++=⎪⎪⎭⎫ ⎝⎛∂∂=++∑x x x x x f x x x e nk k k εεεε;(2)*3*2*1x x x ;[解]52130996425.010********.2131001708255.01048488.2121059768.01021)031.01021.1(1021)6.3851021.1(1021)6.385031.0()()()()()()()()(3333334*3*2*1*2*3*1*1*3*21***3*2*1*=⨯=⨯+⨯+⨯=⨯⨯+⨯⨯+⨯⨯=++=⎪⎪⎭⎫⎝⎛∂∂=-------=∑x x x x x x x x x x x f x x x e n k k kεεεε;(3)*4*2/x x 。
1数值计算方法(李有法)习题一1.设x>0相对误差为2%,4x的相对误差。
解:由自变量的误差对函数值引起误差的公式:(())(())'()()()()f x xf x f x xf x f xδδ∆=≈得(1)()f x=11()()*2%1%22x xδδδ≈===;(2)4()f x x=时444()()'()4()4*2%8%xx x x xxδδδ≈===2.设下面各数都是经过四舍五入得到的近似数,即误差不超过最后一位的半个单位,试指出他们各有几位有效数字。
(1)12.1x =;(2)12.10x =;(3)12.100x =。
解:由教材9P关于1212.m nx a a a bb b=±型数的有效数字的结论,易得上面三个数的有效数字位数分别为:3,4,53.用十进制四位浮点数计算(1)31.97+2.456+0.1352;(2)31.97+(2.456+0.1352)哪个较精确?解:(1)31.97+2.456+0.1352≈21((0.3197100.245610)0.1352)fl fl⨯+⨯+=2(0.3443100.1352)fl⨯+=0.3457210⨯(2)31.97+(2.456+0.1352)21(0.319710(0.245610))fl fl≈⨯+⨯= 21(0.3197100.259110)fl⨯+⨯=0.3456210⨯2易见31.97+2.456+0.1352=0.345612210⨯,故(2)的计算结果较精确。
4.计算正方形面积时,若要求面积的允许相对误差为1%,测量边长所允许的相对误差限为多少?解:设该正方形的边长为x,面积为2()f x x=,由(())(())'()()()()f x xf x f x xf x f xδδ∆=≈解得(())()()'()f x f xxxf xδδ≈=2(())(())22f x x f xx xδδ==0.5%5.下面计算y的公式哪个算得准确些?为什么?(1)已知1x<<,(A)11121xyx x-=-++,(B)22(12)(1)xyx x=++;(2)已知1x>>,(A)y=,(B)y=;(3)已知1x<<,(A)22sin xyx=,(B)1cos2xyx-=;(4)(A)9y=(B)y=解:当两个同(异)号相近数相减(加)时,相对误差可能很大,会严重丧失有效数字;当两个数相乘(除)时,大因子(小除数)可能使积(商)的绝对值误差增大许多。
上机作业题程序1 编写程序计算下列向量范数∑==+++=ni i n x x x x X1211||||||||∑==+++=ni inxx x x X12222212或),(2X X X=|}{|max |}|,|,||,max{|121i n i n x x x x X≤≤∞==输入:向量的阶数n ,向量X 的元素 输出:向量范数程序2 编写程序计算下列矩阵范数||||max ||A a j nij i n111=≤≤=∑Aa i ni j j n∞≤≤==∑max ||11||||||A a E i n ij j n=⎛⎝⎫⎭⎪⎪⎪==∑∑12112输入:方程组的阶数n ,矩阵A 的元素 输出:矩阵范数程序3 编写程序计算如下级数,要求误差小于1.06e -11()()k x k k x ∞=ψ=+∑并计算0.1,0.2,,1.0,10.0,20.0,,300.0x = 的值 输入:无 输出:,()x x ψ的值程序4 下面给出美国从1920年到1970年的人口表:的人口。
在1910年的实际人口约为91772000,请判断插值计算得到的1965年和2002年的人口数据准确性是多少?程序5 数据同上表,用牛顿插值估计: (1)1965年的人口数; (2)2002年的人口数。
程序6 数据同上表,用自然样条函数预测在1910,1965和2002年的人口数。
请比较以上三种方法所求值的效果。
那一种方法最优?程序7 给定1+n 个插值节点,构造n 次拉格朗日插值多项式,并计算)(x f 。
输入:插值节点数n ,插值点{}n i x f x i i ,,2,1,0)(, =,;要计算的函数点x 。
输出:)(x L n 的值。
程序8 对函数21() , [5,5](1)f x x x =∈-+以如下两组节点为插值节点构造插值函数,(1)105,0,1,i x i i N N =-+= (2)215cos ,0,1,22i i x i NN π+=-=+并用式子55max ()()max ()(),5,0,10010i i i x iif x p x f y p y y i -≤≤-≈-=-=对5,10,20,40N =估计两组节点的误差输入:无。
数值计算方法练习题习题一1。
下列各数都是经过四舍五入得到的近似数,试指出它们有几位有效数字以及它们的绝对误差限、相对误差限。
(1);(2); (3);(4);(5);(6);(7);2。
为使下列各数的近似值的相对误差限不超过,问各近似值分别应取几位有效数字?3。
设均为第1题所给数据,估计下列各近似数的误差限.(1);(2); (3)4. 计算,取,利用下列等价表达式计算,哪一个的结果最好?为什么?(1); (2); (3) (4)5。
序列满足递推关系式若(三位有效数字),计算时误差有多大?这个计算过程稳定吗?6。
求方程的两个根,使其至少具有四位有效数字(要求利用。
7。
利用等式变换使下列表达式的计算结果比较精确。
(1);(2)(3);(4)8. 设,求证:(1)(2)利用(1)中的公式正向递推计算时误差增大;反向递推时误差函数减小。
9。
设x〉0,x*的相对误差为δ,求f(x)=ln x的误差限.10。
下列各数都是经过四舍五入得到的近似值,试指出它们有几位有效数字,并给出其误差限与相对误差限.11.下列公式如何才比较准确?(1)(2)12.近似数x*=0。
0310,是位有数数字。
13。
计算取,利用式计算误差最小。
四个选项:习题二1. 已知,求的二次值多项式。
2. 令求的一次插值多项式,并估计插值误差。
3。
给出函数的数表,分别用线性插值与二次插值求的近似值,并估计截断误差.0.40.50.60.70。
80.389420.479430.564640.644220。
717364. 设,试利用拉格朗日余项定理写出以为节点的三次插值多项式。
5. 已知,求及的值.6。
根据如下函数值表求四次牛顿插值多项式,并用其计算和的近似值。
X1。
615 1.634 1.702 1.828 1.921F (x) 2.41450 2.464592。
652713。
030353。
340667. 已知函数的如下函数值表,解答下列问题(1)试列出相应的差分表;(2)分别写出牛顿向前插值公式和牛顿向后插值公式。
习 题 一1、下列各数都是经过四舍五入得到的近似值。
试分别指出它们的绝对误差、相对误差和有效数字的位数。
35801=x ,00476.02=x ,33101430.0⨯=x ,24102958-⨯=x ,85000.55=x 。
解:2、已知2031.1=a ,978.0=b 是经过四舍五入后得到的近似值,问b a b a ⨯+,有几位有效数字?解:321110,1022a ab b *-*--≤⨯-≤⨯,而 2.1811, 1.1766a b a b +=⨯=()()3212111101010222a b a b a a b b ****---+-+≤-+-≤⨯+⨯≤⨯故a b +至少具有2位有效数字。
()()32120.978 1.2031110100.006510222ab a b b a a a b b *****----≤-+-≤⨯+⨯=≤⨯ 故a b +至少具有2位有效数字。
3、求二次方程01162=+-x x 的较小正根,取94.763≈,要求有3位有效数字。
解:*1228887.940.06x x x ==-==,*2x 只有一位有效数字。
若改用2180.062715.94x =≈,具有三位有效数字。
4、正方形的边长约cm 100,问测量边长时误差应多大,才能保证面积的误差不超过21cm ?解:正方形的面积函数为2()A x x =(*)2*(*)A A x εε∴=.当*100x =时,若(*)1A ε≤, 则21(*)102x ε-≤⨯故测量中边长误差限不超过0.005cm 时,才能使其面积误差不超过21cm 5、改变下列表达式,使其计算结果比较精确。
(1)1,11>>--+x xx x x ; (2)1),1ln(2>>--x x x ; (3)1,1<<-x e x ; (4)xxsin cos 1-。
解:(1(2) (3)(4)22sin 1cos 2tan sin 22sin cos 22x x xx x x -==习 题 二1、已知314567.032.0sin =,333487.034.0sin =,352274.036.0sin =,用线性插值及抛物插值计算3367.0sin 的值并估计截断误差。
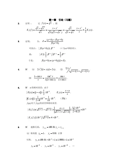
第一章 引论(习题)2. 证明 : 记 x x f =)( ,则)()(***x x x x x xx x f E r +-=-=)(21**x E x x x x x xr ≈-⋅+=.3. 证明: 令: )()()(b a fl b a fl b a **-*=δ可估计: 1|)(|-≥*c b a fl β (c 为b a *阶码), 故: 121||--≤c t c ββδt-=121β 于是: )1()()(δ+*=*b a b a fl .4. 解 (1) )21()1(22x x x ++. (2))11(2x x x x x-++.(3) xxx x x x x cos 1sin )cos 1(sin cos 12+≈+=-.6. 解 a 的相对误差:由于 31021|)(|-⋅≤-=a x x E . x a x x E r -=)(, 221018110921)(--⋅=⨯≤x E r . (1Th ) )(a f 对于)(x f 的误差和相对误差. |11||)(|a x f E ---==()25.021011321⨯⋅≤-+---ax x a =310-33104110|)(|--⨯=-≤a f E r .9. 解 递推关系: 1101.100-+-=n n n y y y (1) 取初值 10=y , 01.01=y 计算可得: 11001.10022-⨯=-y 10001.1-=410-= 6310-=y , 8410-=y , 10510-=y , …(2) 取初值 50101-+=y , 2110-=y , 记: n n n y y -=ε,序列 {}n ε ,满足递推关系,且 5010--=ε , 01=ε1101.100-+-=n n n εεε, 于是: 5210-=ε,531001.100-⨯=ε, 55241010)01.100(---⨯=ε,55351002.20010)01.100(--⨯-⨯=ε, 可见随着 n ε 的主项 5210)01.100(--⨯n 的增长,说明该递推关系式是不稳定的.第二章 多项式插值 (习 题)1. 方法一. 由 Lagrange 插值公式)()()()()(332211003x l f x l f x l f x l f x L ⋅+⋅+⋅+⋅=)1)((31)2)()(1()1)(()(123210---=-----=x x x x x x x l , ))(1(2)1)()(1()(21221211--=--+=x x x x x x l , x x x x x x l )1()()1()1!()(2382121232--=-⋅⋅-+=, )()1(12)()1()(2121213-+=⋅⋅-+=x x x x x x x l . 可得: )21()(23-=x x x L方法二. 令:)()21()(3B Ax x x x L +-=由 23)1(3-=-L , 21)1(3=L , 定A ,B (称之为待定系数法)2. 证明(1) 由于 j i j i x l ,)(δ= 故: =)(x L n ∑=ni i k i x l x0)( ,当 j x x = 时 有: k j j n x x L =)( , n j ,,1,0 =)(x L n 也即为 kx 的插值多项式,由唯一性,有:∑==ni k i ki x x l x)( , n k ,,1,0 =证明(2):利用Newton 插值多项式)(],[)()(0100x x x x f x f x N n -+=)()(],,[100---++n n x x x x x x f )()()()()()(00101x l x x x x x x x x x f n n =----=差商表:f(x) 一阶 二阶 … n 阶差商0x 1 1x 0101x x -)()(11020x x x x --n x 0 0)()(1010n x x x x --代入)(*式有:)()()()()(1)(020*******n n n x x x x x x x x x x x x x x x N -----++--+=- . )(0x l 为n 次代数多项式,由插值多项式的唯一性:有 )()(0x N x l n ≡.4. 解 作)(x f 以b a a ,,ε+为节点的Lagrange 插值多项式,有: )()()(22x R x L x f +=, 其中:)()()()()()()()()()(2εεεεε+-+--+-----=a fb a b x a x a f b a b x a x x L)()()()()(b f a b a b a x a x εε------+,)()()(!3)()(2b x a x a x f x R ----'''=εζ , b a <<ζ 令: 0→ε 有 )()(6)()()(22b x a x f x R x R --'''=→ζ, 又:)()()()([)()(2a f a b ax a f a b a x x b x L εεεεε----+----= )]()()()()(a f a b a x a f a b a x -------+εεεε )()()()()(b f a b a b a x a x εε------+)()()2()(2a f ab a b x x b --+-→)()()()(a f a b a x x b '---+ )()()()(22x P b f a b a x =--+ 故当 0→ε 时,成立公式: )()()(x R x P x f +=.5. 解:因为34)(3'-=x x f ,2''12)(x x f =)(x f 为凹函数.又从数值表可见:当]5.0,1.0[∈x 时,)(x f 单调下降.有反函数)(1y fx -=)(y f的Newton 插值多项式:)17440.0)(10810.0)(40160.0)(70010.0(01225.0)10810.0)(40160.0)(70010.0(01531.0)40160.0)(70010.0(0096436.0)70010.0(33500.01.0)(4+---+------+--=y y y y y y y y y y y N.337.0)0(4*≈=N x7. 解 1)(37++=x x x f .有:=]2,,2,2[71f !7)()7(ξf =1, !8)(]2,,2,2[)8(810ηf f = 0=.9. 证明:(1) =⋅-⋅=⋅∆++i i i i i i g f g f g f 11)(i i i i i i i i g f g f g f g f ⋅-⋅+⋅-⋅++++1111i i i i f g g f ∆+∆=+1.(3) n x n n)1()1(-=∆!)()(nh x h x x h n ++此题可利用数学归纳法:设 k n = 成立,证明 1+=k n 成立.又 1=n 时是成立的.10. 证明: 记: 2]2/)1([)(+=n n n f ,33321)(n n g +++=有: 3)1()()1()(+=-+=∆n n f n f n f 故: ∑-=∆=10)()(n k k f n g ∑-=-+=1)]()1([n k k f k f2]2/)1([)0()(+=-=n n f n f .13. 解 作重节点差商的Newton 插值公式)1(]1,1[)1()(+--+-=x f f x P 22)1(]1,0,1,1[)1(]0,1,1[+--++--+x x f x f )1()1(]1,1,0,1,1[2-+--+x x x f 重节点差商表:i x i f 一阶 二阶 三阶 四阶10-=x 110-=x 1 201=x 1 0 -212=x 1 0 0 112=x 1 2 2 1 0得 22)1()1(2)1(21)(+++-++=x x x x x P 13+-=x x .17. 证: 取 ,00=x 211=x , 12=x , 21=h00=f , 11=f , 12=f 记: )(i i x s M ''= , 2,1,0=i有 hx x M h x x M x S 01101)(-+-=''x M x M 102)21(2+-= )21(2)1(2)(212-+-=''x M x M x S 又三弯矩方程为:( 2],,[210-=x x x f )244210-=++M M M , )24(41201M M M ++-=.分段积分:⎰⎰+''=''∆1021221)]([)]([dx x s dx x s ⎰''12221)]([dx x s ⎰+-+=21201)]21([4dx x M x M ⎰-+-121221)]21()1([4dx x M x M⎰⎰-+-+-+-=121121221201)]21()1([4)]1()21([4dxx M x M dx x M x M由于 ⎰=-1212241)21(dx x ,⎰=-1212241)1(dx x ,⎰=--121481)1()21(dx x x ,于是:⎰++++=''∆1022212110202]2[61))((M M M M M M M dx x S 又: )24(41201M M M ++-=记 =),(20M M I ⎰∆''12))((dx x S=)()24(41[6120202220M M M M M M +++-+ ])24(81220M M +++由00=∂∂M I, 02=∂∂M I . 得:⎩⎨⎧=+-=-07072020M M M M 即当: 020==M M 时, ),(20M M I 达最小故:⎰=⋅⋅≥''∆102212)24(8161))((dx x S ,由最小模原理: ⎰≥''1212)]([dx x f .20. 解 利用三弯矩方法 )(i i x s M ''= , 2,1,0=i 10=x , 22=x , 32=x⎪⎩⎪⎨⎧-=+=++=+542364622121010M M M M M M M解得: 70-=M , 201=M , 372-=M]2,1[∈x 72431729)(231-+-=x x x x s ]3,2[∈x 105229367219)(232+-+-=x x x x s .第三章 最佳逼近及其实现 (习 题)2. 解 (1) ⎰'⋅'=badx x g x f g f )()(),( 不是 ),(b a c '中的内积,事实上容易验证:),(),(f g g f = , ),(),(g f g f λλ= ),(),(),(w g w f w g f +=+但是 0),(=f f 当且仅当 0)(≡x f . 条件不满足,因为: ⎰='⋅'=badx x f x f f f 0)()(),(推出0)(≡'x f ,0)(≠=const x f . 因而 ),(g f 不是 ),(b a C '中的内积.(2) ),(g f 是 =],[10b a C {}],[)(,0)(:)(b a C x f a f x f '∈'=空间的内积,这是因为: 0),(=f f 推出 0)(='x f , C x f =)(,又],[10b a C f ∈ ,故 0)(=x f .4. 解:由于 0)(],,[2≠''∈x f b a c f ,则)(x f ''于],[b a 上保号,由定理5的推论2可知:)()(1x P x f -的交错点组恰有三个交错点,且 a x =1,b x =3,即: ⎪⎪⎩⎪⎪⎨⎧=-'='-=+-==+-==+-=0)()(,)()()(,)()()(,)()()(122210223103311011αρααρααρααx f x e x x f x e x x f x e x x f x e 故: a b a f b f x f --='=)()()(21α,2)()(2)()(220x a a b a f b f x f a f +⋅---+=α 记 c x =2 ,即证得(1).(2) 若 x x f cos )(= ,]2,0[],[π=b a此时由 ab a f b fc f --=')()()( 得:π2sin =c , )2sin(πarc c =,πα21-=πππα2)4(2120-+=2)/2sin(2ππarc ⋅+)4(212-+=πππππ)2sin(arc +. 误差估计:)()(10b f b f E -+=-=ααρ)4(212-+=πππ1)2sin(-+ππarc5. 解:选取α ,使得:=)(αI ||max 211x x x α-≤≤ ,达到极小,即要求 x x *)(*αϕ= ,于]1,0[上一致逼近于2x ,如图 应选 *α ,使得:x x x *)(2αϕ-=,于 ]1,0[ 上有两个轮流为正负偏差点,其中之一为1,另一个假设为 ζ 于是: )()1(ζϕα-=, 0)(='ζϕ , ( ζ为)(x ϕ的极值点) 得: αζζα+-=-2102=-αζ 解得:ζα2= ,0122=-+ζζ, 212,1±-=ζ取12-=ζ , 222-=α. 又: α 是唯一的.6. 证明:由最佳一致逼近的特征定理,)(*x P n 为)(x f 的最佳一致逼近多项式,则存在2+n 个点b x x x a n ≤<<<≤+110使得: )()()(*k n k k x P x f x e -==*)1(n kP f --σ.又由于 ],[)(b a C x f ∈ ,于 ),(1+i i x x 中有一个点 i η ,1+<<i i i x x η , 使得: 0)()()(*=-=i n i i P f e ηηη, n i ,,1,0 =即: )(*x P n 为)(x f 满足插值条件: )()(*i i n f P ηη= , n i ,,1,0 = 的插值多项式.7. 解:求C*,使得:C x f C I bx a R C -=≤≤∈)(max min *)(记 C x f x e -=)()(, 依最佳一致逼近的特征定理:应取 )](min )(max [21*],[],[x f x f C b a b a +=*)()(C x f x e -=于 ],[b a 才有两个轮流正负的偏差点,(即 )(x f 于],[b a 上的最大值点和最小值点)1x ,2x )(max )(],[1x f x f b a = , )(min )(],[2x f x f b a =此时: *)(m a x )1()(],[C x f x e b a ii --=σ即 *C 为)(x f 的零次最佳逼近多项式.8. 解: 436)(23+++=x x x x f 2)(34)3(62031T T T T +++=014T T ++01232112112323T T T T +++= 因为)(413x T 与零偏差最小,故: 012221121123)(T T T x P ++=421132++=x x . 为)(x f 的最佳一致逼近多项式.9. 证明:我们仅证明)(x f 是偶函数时,)(x P n 亦是偶函数.由于)(x P n 为)(x f的最佳一致逼近多项式,有:)()()(max ],[f E x P x f n n a a =--和: [,max ()()()]n n a af x P x E f ----=即: )()()(m a x ],[f E x P x f n n a a =---)(x P n -亦是)(x f 的最佳一致逼近多项式,由最佳一致逼近多项式的惟一性,有: )()(x P x P n n =-即: )(x P n 为偶函数.11. 解: 设 x a a x P 10*1)(+= , 2210*2)(x b x b b x P ++= 分别为)(x f 的一次、二次最佳平方逼近多项式。
《数值计算方法》课后题答案详解吉 林 大 学第一章 习 题 答 案1. 已知(1)2,(1)1,(2)1f f f −===,求()f x 的Lagrange 插值多项式。
解:由题意知:()01201212001020211012012202121,1,2;2,1,1()()(1)(2)()()6()()(1)(2)()()2()()(1)(1)()()3(1)(2)(1)(2)()2162nj j j x x x y y y x x x x x x l x x x x x x x x x x l x x x x x x x x x x l x x x x x x x x L x y l x ==−=====−−−−==−−−−+−==−−−−−+−==−−−−+−==×+×−∴∑()2(1)(1)131386x x x x +−+×=−+2. 取节点01210,1,,2x x x ===对x y e −=建立Lagrange 型二次插值函数,并估计差。
解11201201210,1,;1,,2x x x y y e y e −−======1)由题意知:则根据二次Lagrange插值公式得:02011201201021012202110.510.520.51()()()()()()()()()()()()()2(1)(0.5)2(0.5)4(1)(224)(43)1x x x x x x x x x x x x L x y y y x x x x x x x x x x x x x x x x e x x e e e x e e x −−−−−−−−−−−−=++−−−−−−=−−+−−−=+−+−−+22)Lagrange 根据余项定理,其误差为(3)2210122()1|()||()||(1)(0.5)|3!61max |(1)(0.5)|,(0,1)6()(1)(0.5),()330.5030.2113()61()0.2113(0.21131)(0.21130.5)0.008026x f R x x e x x x x x x t x x x x t x x x x t x R x ξξωξ−+≤≤==−−≤−−∈′=−−=−+=−==≤××−×−=∴取 并令 可知当时,有极大值3. 已知函数y =在4, 6.25,9x x x ===处的函数值,试通过一个二次插值函数求的近似值,并估计其误差。
习题九1.取步长h = 0.1,分别用欧拉法与改进的欧拉法解下列初值问题7 4 F "0 < A< 0.4y r = Ay<0 < < 0 斗(1)沁)-0(2),丄①)-1准确解:(1)卩(X)二匕Yx十H —1(2)陀)=n亡卄£ ;欧拉法:儿丹就山,沟就血9,片二:005(5改进的欧拉法: 丹=0005?, = 0 019025片= 0.C41217625 v. =010*******2.用四阶标准龙格一库塔法解第1题中的初值问题,比较各法解的精度。
厲=叽04巧巧y2= 0.013730901 = 0.04088421 = 0 0703202833.用欧拉法计算下列积分在点-:-匚】处的近似值。
0.5000,1.1420,2.5011,7.24504.求下列差分格式局部截断误差的首项,并指出其阶数。
5用Euler 法解初值问题h=0.1,计算到x=0.3保留到小数点后4位). 解:直接将Eulerr 法应用于本题,得到(4)二」取步长,直接代入计算,得到由于6.用改进Euler法和梯形法解初值问题取步长h=0.1,计算到x=0.5,并与相比较.准确解解:用改进Euler法求解公式,得计算结果见下表用梯形法求解公式,得解得精确解为7证明中点公式(739)是二阶的, 并求其局部截断误差主项.证明根据局部截断误差定义,得将右端Taylor展开,得故方法是二阶的,且局部截断误差主项是上式右端含h3的项8用四阶R-K方法求解初值问题取步长h=0.2.解直接用四阶R— K方法其中计算结果如表所示:9对于初值问题解 因f(y)=-100 ,故由绝对稳定区间要求(1)用Euler 法解时,(2)用梯形法解时,绝对稳定区间,由因f 对y 是线性的,故不 h 仍无限制。
(3)用四阶R-K 方法时,为用迭代,10. (1)用Euler法求解,步长h应取在什么范围内计算才稳定?(2)若用梯形法求解,对步长h有无限制? (3)若用四阶R-K方法求解,步长h如何选取?解:用四阶显式Adams公式先要算出,其余3点可用四阶R-K方法计算。
第一章引论(习题)2. 明 :f ( x)x ,xx * x x * xx x * 1E r ( f )xx( x x * )xx *x2E r( x) .3. 明:令:(a b)fl (a b)fl (a b)可估 : | fl (a b) |c 1( c a b ),故:| |1c t c 11 1 t22于是:fl ( a b) (a b) (1) .4.解 (1)2x 2 (1 x) (1 2x) .(2)2 x.( x 1 xx 1 x )1 cos xsin 2 xsin x .(3) xx(1 cos x)1 cos x6.解a 的相 差:由于| E( x) | x a1 10 3 . E r ( x)x a ,2xE r (x)1 102 1 10 2 . ( Th1)2 918f (a) 于 f (x) 的 差和相 差 .| E( f ) | | 1 x1 a |=a x 2110 3 =10 3x1 a 21| E r ( f ) | 10 3 1 a 4 10 3 .9.解 推关系: y n 1 100.01 y ny n 1(1)取初y 01, y 1算可得:y 210 2 1 1.0001 1 10 4y 310 6 , y 4 10 8 , y 5 10 10, ⋯(2)取初值y0110 5, y110 2,记:n y n y n,序列n,满足递推关系,且010 5,1 0n 1100.01 n n 1 ,于是:210 5,310 5,4 (100.01) 210 510 5,5(100.01)3 10 5 200.02 10 5 ,可见随着n的主项(100.01)n 2105的增添,说明该递推关系式是不牢固的.第二章多项式插值 ( 习题)1.方法一 . 由 Lagrange 插值公式L3 ( x) f 0 l 0 ( x) f 1 l1 (x) f 2 l 2 ( x)f3 l 3 ( x)l 0 (x)x(x 21 )( x1)111) , (1)(23 )(2)x( x2 )( x3(x 1)( x21 )( x 1)2(x21)( x21 ) ,l1 (x)12l 2 (x)(x !1) x( x1)821) x , l 3( x1)x( x21 )13 113 ( x( x)1( x 1)x( x2 ) .2 2( 2 ) 2 1 2可得:L3 ( x)x 2 ( x 1 2)方法二 . 令:L3(x)x( x 1 2) (Ax B)由 L3 (1)31, L3(1),定 A, B (称之为待定系数法)222.证明 (1)由于l i ( x j )i , j故: L n ( x)nx i k l i (x)x k j,j 0,1,i 0,当x x j时有:L n( x j), nL n ( x) 也即为x k的插值多项式,由独一性,有:nx i k l i (x)x k,k0,1,, ni 0明 (2) :利用 Newton 插 多 式N n ( x) f (x 0 ) f [ x 0 , x 1 ] ( x x 0 )f [ x 0 , , x n ] ( x x 0 )(x x n 1 )f ( x)( x x 1 ) (x x n ) (x)(x 0 x 1 ) (x 0l 0x n )差商表:f(x)一二⋯n差商x 01x 11x 0 x 11( x 0x 2 ) ( x 0x 1 )x n1(x 0x 1 ) ( x 0 x n )代入 ( ) 式有: N n ( x)x x 0 (x x 0 ) ( x x n 1 )1( x 0 x 1 ) (x 0 x 2 ) ( x 0.x 0 x 1x n )l 0 ( x)n 次代数多 式,由插 多 式的独一性:有l 0 ( x) N n (x) .4.解作 f ( x) 以 a, a , b 点的Lagrange 插 多 式,有:f ( x) L 2 ( x) R 2 (x) ,其中:L 2 ( x) ( x a) ( x b) f ( a) ( x a) (x b) f (a )( ) ( a b)( a b) ( x a) (x a )f (b) ,(b a) (b a)R 2 ( x)f ( )( x a) ( x a) ( x b) , ab3!f ( ) (x令:0 有 R 2 ( x)R( x)a) 2 ( x b) ,x a6a又: L 2 ( x)(b x) [f (a)x (a)(b (b fa)a )xa( x a)(b a f ( a)(bf (a)])a)( x a) ( x a )f (b)(b a) (b a)(b x) ( x b 2a) f (a)(b x) ( x a) f ( a)(b a) 2(b a)( x a)2f (b)P( x)(b a) 2故当0 时,建立公式: f (x)P(x)R( x) .5.解:由于 f ' ( x)4x33, f '' (x)12x 2f ( x) 为凹函数.又从数值表可见:当 x [0.1,0.5] 时, f (x) 单调下降.有反函数 x f 1 ( y)x 于及之间有一个根y if 1 ( y i )作差商表:y i f1 ( y i )一阶差商二阶差商三阶差商四阶差商-------f1( y)的 Newton 插值多项式:N 40.33500( y 0.70010)0.0096436 ( y0.70010)( y 0.40160)0.01531( y0.70010)( y0.40160 )( y 0.10810)0.01225( y0.70010)( y0.40160)( y0.10810)( y0.17440)x*N 4 (0)0.337.7.解 f (x) x7x 31.有:f [ 20 , 21 ,, 27 ]f ( 7) ()=1, f [ 20 , 21 , , 28 ] f (8) ( )0 .7!8!9.证明: (1)( f i g i ) f i1gi 1fi g ifi 1gi 1figi 1figi 1figif ig i gi 1f i.(3)n( 1x )( 1)n n! h nh)( x nh)x( x此题可利用数学归纳法:设 n k建立,证明n k 1 建立.又 n1时是建立的 . 10.证明:记: f (n)[n(n1) / 2]2, g(n)1323n3有: f (n)f ( n 1)f ( n) ( n 1)3n 1n 1故:g( n)f (k) [ f ( k 1)f (k)]k 0k 0f (n)f (0) [ n(n 1) / 2] 2 .13.解 作重节点差商的 Newton 插值公式P(x)f ( 1) f [ 1, 1] ( x 1) f [ 1, 1, 0] ( x1) 2f [ 1, 1, 0, 1] x(x 1) 2f [ 1, 1, 0, 1, 1] x( x 1) 2 ( x 1)重节点差商表:x if i一阶二阶三阶四阶x 0 1 1x 0 11 2x 1 0 1 0 -2x 2 1 1 0 0 1x 21 1221得 P( x) 12( x1) 2(x 1) 2 x(x 1) 2 x 3x 1 .17.证: 取 x 00,x 11 , x2 1 , h 122f 0 0 , f 1 1 ,f 21记:M is ( x i ), i0, 1, 2有x 1 x x x 01S 1 ( x) M 0hM 1h2M 0 (2x) 2M 1 xS 2 ( x) 2M 1 (1 x) 2M 2 ( x1 )2又三弯矩方程为: (f [ x 0 , x 1 , x 2 ]2 )M 0 4M 1M 224, M 11(24 M 0 M 2 ) .41 [ s ( x)] 2dx121[ s 2 ( x)] 2dx2分段积分:[ s 1 (x)] dx121 21 x)] 2dx1[ M 1 (1 x) M 2 (x1)] 2dx4M 0 (0 [ M 1 x 4 1 22211x)] 2 dx 11 )]2 dx 4 1 [ M 1 ( x2) M 0 (1 4 1 [ M 1 (1 x)M 2 (x2221 ( x 1 ) 2dx1 1(1 x) 2dx 1由于2 ,, 224 1 22411( x 1 ) (1 x)dx12,于是: 2 48112dx1[ M 02M 0 M 12M 12M 1 M 2 M 22 ](S (x))6又: M 11(24 M 0M 2 )4记I (M 0 , M 2 )1 (S (x)) 2dx= 1[ M 02M 221(24 M 0M 2 ) ( M 0 M 2 )641( 24M 0M 2 ) 2 ]8由I0 ,I0 .7M 0 M 2 0M 0 M 2 得:M 0 7M 2即当:M 0M 2 0 时,I ( M 0 , M 2 ) 达最小1( x)) 2dx 1 1 (24) 212 ,由最小模原理:故:( S6 81(x)] 2dx 12[ f .20.解利用三弯矩方法M i s ( x i ) , i 0, 1, 2x 0 1 , x 22 , x 232M 0 MM 0 4MM 1 2M161 M2 362 54解得:M 0 7 , M 1 20 , M 2 37x [1, 2]s 1 (x) 9 x 3 17x 2 43 x 72 2 x [ 2, 3]s 2 ( x)19 x 3 67x 2293 x105.22第三章 最正确逼近及其实现 ( 习 题)2.解 (1)( f , g )b (x) g ( x) dxc (a, b) 中的内积,f不是a事实上简单考据:( f , g ) (g,f ) , (f ,g )( f , g )( fg, w)( f , w)( g, w)但是( f , f ) 0 当且仅当f (x)0.条件不满足,由于:b( f , f )f ( x) f ( x)dx 0a推出 f ( x) 0 , f ( x) const 0. 所以 ( f , g ) 不是 C (a, b) 中的内积 . (2)( f , g) 是 C 01 [ a, b]f (x) : f (a)0, f (x) C [a, b]空间的内积,这是由于:( f , f ) 0 推出 f (x) 0 , f ( x) C ,又fC 01 [a, b] ,故 f (x) 0 .4.解:由于f c 2 [a, b], f ( x)0 ,则 f ( x) 于 [a, b] 上保号,由定理 5 的推论 2 可知: f (x) P 1 (x) 的交叉点组恰有三个交叉点,且 x 1a ,x 3b ,即:e( x 1 ) f (x 1 ) ( e( x 3 ) f (x 3 ) ( e( x 2 ) f (x 2 ) ( e ( x 2 ) f (x 2 )0 1x 1 ),1 x 3 ),1 f (x2 )f (b) f (a)1x 2 )故 :b ,0 ,a1f (a) f (x 2 )f (b) f (a) ax 2 记x 2 c ,即证得 (1).b a22(2) 若 f (x) cos x , [ a, b] [ 0,2]此时由f (b) f (a)f (c)得:b asin c2 , c arc sin( 2) , 12( 212 arc sin( 2 / )1 4) 22(22误差估计: E ( f )b f (b) 1(125.解:采用,使得:2 2arc sin( 2)4 ).arc sin(2)4)1I ( )max | x 2x | ,达到极小,1 x 1即要求 * (x)* x ,于 [ 0, 1] 上一致逼近于 x 2 ,如图应选* ,使得:( x)x 2* x ,于 [ 0, 1] 上有两个轮流为正负误差点,其中之一为1,另一个假设为 于是: (1) () ,( )0 , (为 (x) 的极值点)得:122解得: 2,22 10 ,1, 212取2 1 ,2 2 2 . 又:是独一的 .6.证明:由最正确一致逼近的特色定理, P n * ( x) 为 f ( x) 的最正确一致逼近多项式,则存在 n2 个点ax 0x 1x n 1 b使得: e( x k ) f (x k ) P n * ( x k ) = ( 1) kfP n * .又由于 f ( x)C[ a, b] ,于 ( x i , x i 1 ) 中有一个点i, x iix i 1 ,使得:e( i ) f ( i) P n * ( i )0 , i0, 1, , n即: P n *( x) 为 f (x) 满足插值条件:P n * ( i )f ( i ) , i 0, 1, , n的插值多项式 .7.解:求 C* ,使得:I (C*) min max f ( x) CC R a x b记e( x) f ( x) C , 依最正确一致逼近的特色定理:应取C*1[ max f (x) min f (x)]2[ a ,b][ a ,b]e(x) f (x) C *于 [a, b] 才有两个轮流正负的误差点,(即f ( x) 于 [a, b] 上的最大值点和最小值点)x 1 , x 2f ( x 1 ) max f ( x) , f (x 2 )min f (x)[ a, b][ a, b]此时:e( x i ) ( 1) i max f (x)C *[ a, b]即 C * 为 f ( x) 的零次最正确逼近多项式 .8.解:f (x) 6 x 3 3x 2 x 46(3T 1T 3)43(T 0 T 2 ) 2T 1 4T 03311 112T32T22 T 12 T 0由于1T 3 (x) 与零误差最小,故:4311 1111P 2 (x)3x2 x 42 T 22 T12 T2.为 f (x) 的最正确一致逼近多项式 .9.证明:我们仅证明f (x) 是偶函数时, P n ( x) 亦是偶函数 .由于 P n ( x) 为 f ( x)的最正确一致逼近多项式,有:max f ( x) P n ( x)E n ( f )[ a,a ]和:max f ( x ) P n ( x ) E n ( f )[ a ,a ]即:max f ( x)P n ( x)E n ( f )[ a ,a ]P n ( x) 亦是 f ( x) 的最正确一致逼近多项式,由最正确一致逼近多项式的独一性,有: P n ( x)P n ( x)即: P n ( x) 为偶函数 .11.解: 设P * ( x) a0 a x , P * ( x) bb x b x 21121 2分别为 f ( x) 的一次、二次最正确平方逼近多项式。
1.已知ln(
2.0)=0.6931;ln(2.2)=0.7885,ln(2.3)=0.8329, 试用线性插值和抛物插值计算.ln2.1的值并估计误差(牛顿插值和拉格朗日插值)
2.已知函数y=sinx 的数表如下,分别用前插和后插公式计算sin0.57891的值,并
3. 已知
求)(x f 的二次拟合曲线)(2x p ,并求)0(f '的近似值。
4. 数值积分公式形如
⎰'+'++=≈1
)1()0()1()0()()(f D f C Bf Af x S dx x xf 试确定参数D C B A ,,,使公式代数
精度尽量高;(2)设]1,0[)(4
C x f ∈,推导余项公式⎰-=1
)
()()(x S dx x xf x R ,并估计
误差。
5. 已知数值积分公式为:
)]
()0([)]()0([2)(''20
h f f h h f f h
dx x f h
-++≈⎰
λ,试确定积分公式中的参数
λ,使其代数精确度尽量高,并指出其代数精确度的次数。
6. 用复化Simpson 公式计算积分
()⎰
=1
0sin dx x x I 的近似值,要求误差限为
5105.0-⨯。
7. 已知012113,,4
2
4
x x x ===,给出以这3个点为求积节点在[]0.1上的插值型求积公
式。
8. 给出 900,cos ≤≤x x 的函数表,步长
)60/1(1='=h ,若函数具有5位有效数字,研究用线性插值求x cos 近似值时的总误差界。
9. 求一个次数不高于4次的多项式)(x P ,使它满足0)0()0(='=P P ,
1)1()1(='=P P ,1)2(=P 。
10. 单原子波函数的形式为bx
ae y -=,试按照最小二乘法决定参数a 和b ,已
11. 分别用梯形公式和辛普森公式计算下列积分:⎰
+1
02
4dx x x。
并估算误差。
12. 用矩阵的克劳特和克利特尔三角分解法求解方程组:⎪⎪⎪⎪⎪⎭⎫ ⎝⎛=⎪⎪⎪⎪⎪⎭⎫ ⎝⎛⎪⎪⎪⎪⎪⎭⎫ ⎝⎛7173530103421101002014321x x x x。