《微积分(下)》第7章 多元函数微积分学--练习题
- 格式:doc
- 大小:353.50 KB
- 文档页数:12
考研数学三(多元函数微积分学)-试卷4(总分:68.00,做题时间:90分钟)一、选择题(总题数:9,分数:18.00)1.选择题下列每题给出的四个选项中,只有一个选项符合题目要求。
(分数:2.00)__________________________________________________________________________________________ 解析:2.二元函数f(x,y)在点(0,0)处可微的一个充分条件是(分数:2.00)A.B.C. √D.解析:解析:按可微定义, f(x,y)在(0,0)C项即A=B=0的情形,因此可得出f(x,y)在(0,0)可微.故选C.3.设函数f(x,y)连续,则二次积分等于(分数:2.00)A.B. √C.D.解析:解析:本题更换二次积分的积分次序,先根据二次积分确定积分区域,然后写出新的二次积分.由sinx≤y≤1,则0≤y≤1,π—arcsiny≤x≤π,故应选B.(分数:2.00)A.B.C.D. √D.5.累次积分可以写成(分数:2.00)A.B.C.D. √解析:解析:由累次积分f(rcosθ,rsinθ)rdr可知,积分区域D为由r=cosθ为圆心在x轴上,直径为1的圆可作出D的图形如图4—3所示.该圆的直角坐标方程为故用直角坐标表示区域D可见A、B、C均不正确,故选D.6.设g(x)有连续的导数,g(0)=0,g’(0)=a≠0,f(a,y)在点(0,0)的某邻域内连续,则=((分数:2.00)A.B.C. √D.C.7.设f(x)为连续函数,F(t)=∫ 1t dy∫ y t f(x)dx,则F’(2)等于( )(分数:2.00)A.2f(2).B.f(2).√C.一f(2).D.0.解析:解析:交换累次积分的积分次序,得F(t)=∫ 1t dy∫ y t f(x)=∫ 1t dx∫ 1x f(x)dy =∫ 1t(x-1)f(x)dx 于是F’(t)=(t一1)f(t),从而F’(2)=f(2).故选B.8.设有平面闭区域,D={(x,y)|一a≤x≤a,x≤y≤a},D 1={(x,y)|0≤x≤a,x≤y≤a},则=( )(分数:2.00)A. √B.C.D.解析:解析:将闭区间D={(x,y)|一a≤x≤a,x≤y≤a}按照直线y=一x将其分成两部分D 1和D 2,如图4—4所示,其中D 1关于y轴对称,D 2关于x轴对称,xy关于x和y均为奇函数,因此在D 1和D 2上,均有=0.而cosxsiny是关于x的偶函数,关于y的奇函数,在D 1积分不为零,在D 2积分值为零.因此故选项A正确.9.累次积分∫ 01dx∫ x1 f(x,y)dt+∫ 12dy∫ 02-y f(x,y)dx可写成( )(分数:2.00)A.∫ 02dx∫ x2-x f(x,y)dy.B.∫ 01dy∫ 02-y f(x,y)dx.C.∫ 01dx∫ x2-x f(x,y)dy.√D.∫ 01dy∫ 12-x f(x,y)dx.解析:解析:原积分域为直线y=x,x+y=2,与y轴围成的三角形区域,故选C.二、填空题(总题数:12,分数:24.00)10.设函数f(u)可微,且z=f(4x 2一y 2 )在点(1,2)处的全微分dz| (1,2) = 1.(分数:2.00)填空项1:__________________ (正确答案:正确答案:4dx一2dy)11.二元函数f(x,y)=x 2 (2+y 2 )+ylny的极小值为 1.(分数:2.00)填空项1:__________________ (正确答案:正确答案:[*])解析:解析:由题干可知 f x "=2x(2+y 2 ),f y "=2x 2 y+lny+1.12.函数f(x,y)=x 2 y(4一x一y)在由直线x+y=6,x轴和y轴所围成的闭区域D上的最小值是 1.(分数:2.00)填空项1:__________________ (正确答案:正确答案:一64)解析:解析:根据题意可知,得区域D内驻点(2,1),则有 f xx "=8y一6xy一2y 2; f xy "=8x 一3x 2一4xy; f yy "=-2x 2.则A=一6,B=一4,C=一8,有AC—B 2 =32>0,且A<0.所以,点(2,1)是z=f(x,y)的极大值点,且f(2,1)=4.当y=0(0≤x≤6)时,z=0;当x=0(0≤y≤6)时,z=0;当x+y=6(0≤y≤6)时,z=2x 3一12x 2(0≤x≤6),且令.解得x=4.则y=2,f(4,2)=一64,且f(2,1)=4,f(0,0)=0.则z=f(x,y)在D上的最大值为f(2,1)=4,最小值为f(4,2)=一64.13.设D={(x,y)|x 2 +y 2≤1},则(分数:2.00)填空项1:__________________14.设z=(x+e y ) x,则(分数:2.00)填空项1:__________________ (正确答案:正确答案:2ln2+1)解析:解析:由z=(x+e y ) x,故z(x,0)=(x+1) x,代入x=1得,15.设某产品的需求函数为Q=Q(p),其对应价格P的弹性E p =0.2,则当需求量为10000件时,价格增加1元会使产品收益增加 1元.(分数:2.00)填空项1:__________________ (正确答案:正确答案:8000)解析:解析:本题考查弹性和微分的经济意义.根据已知收益函数为R=pQ(p);对收益函数做微分为当Q=10000,dp=1时,产品的收益会增加dR=8000.16.设函数dz| (1,1) = 1.(分数:2.00)填空项1:__________________ (正确答案:正确答案:(1+2ln2)dx+(一1一2ln2)dy)17.设连续函数z=f(x,y)满足dz| (0,1) = 1(分数:2.00)填空项1:__________________ (正确答案:正确答案:2dx一dy)解析:解析:根据以及函数z的连续性可知f(0,1)=1,从而已知的极限可以转化为的定义可知,f(x,y)在点(0,1)处是可微的,且有f x’(0,1)=2,f y’(0,1)=一1,所以dz| (0,1)=2dx 一dy.18.设函数z=z(x,y)由方程(z+y) x =xy确定(分数:2.00)填空项1:__________________ (正确答案:正确答案:2—2ln2)解析:解析:把点(1,2)代入(z+y) x=xy,得z(1,2)=0.在(z+y) x=xy两边同时对x求偏导数,有将x=1,y=2,z(1,2)=0代入得19.设函数z=z(x,y)由方程z=e 2x-3z +2y确定,则(分数:2.00)填空项1:__________________ (正确答案:正确答案:2)解析:解析:在z=e 2x-3z +2y的两边分别对x,y求偏导,z为x,y的函数.20.设函数y=y(x)由方程y=1一xe y确定,则(分数:2.00)填空项1:__________________ (正确答案:正确答案:一e)解析:解析:将x=0代入方程y=1一xe y,得y=1.方程两边对x求导,得y’=一e y一xe y y’.y’(1+xe y )=一e y,因此21.设f(u,v)(分数:2.00)填空项1:__________________三、解答题(总题数:13,分数:26.00)22.解答题解答应写出文字说明、证明过程或演算步骤。
微积分练习册[第八章]多元函数微分学习题8—1 多元函数的基本概念1。
填空题:(1)若yx xy y x y x f tan ),(22-+=,则___________),(=ty tx f (2)若xy y x y x f 2),(22+=,则(2,3)________,(1,)________y f f x-== (3)若)0()(22 y yy x x y f +=,则__________)(=x f (4)若22),(y x x yy x f -=+,则____________),(=y x f(5)函数)1ln(4222y x y x z ---=的定义域是_______________(6)函数y x z -=的定义域是_______________(7)函数xy z arcsin =的定义域是________________ (8)函数xy x y z 2222-+=的间断点是_______________ 2。
求下列极限:(1)xy xy y x 42lim0+-→→班级: 姓名: 学号:(2) x xy y x sin lim0→→(3) 22222200)()cos(1lim y x y x y x y x ++-→→微积分练习册[第八章] 多元函数微分学3.证明0lim 22)0,0(),(=+→y x xy y x4。
证明:极限0lim 242)0,0(),(=+→y x y x y x 不存在班级: 姓名: 学号:5。
函数⎪⎩⎪⎨⎧=≠+=(0,0)),( ,0)0,0(),(,1sin ),(22y x y x y x x y x f 在点(0,0)处是否连续?为什么?微积分练习册[第八章] 多元函数微分学习题 8—2偏导数及其在经济分析中的应用1.填空题(1)设y x z tan ln =,则__________________,=∂∂=∂∂yz x z ; (2)设)(y x e z xy+=,则__________________,=∂∂=∂∂y z x z ; (3)设zy x u =,则________,__________________,=∂∂=∂∂=∂∂z u y u x u ;(4)设x y axc z tan =,则_________________,_________,22222=∂∂∂=∂∂=∂∂y x z yz x z (5)设z yx u )(=,则________2=∂∂∂y x u ; (6)设),(y x f 在点),(b a 处的偏导数存在,则_________),(),(lim 0=--+→xb x a f b x a f x 2。
第2章 多元函数微分学一、二元函数的极限专题练习:1.求下列二元函数的极限: (1) ()211(,)2,2lim2;y xy x y xy +⎛⎫→- ⎪⎝⎭+ (2)()()2222(,),3limsin ;x y x yxy→∞∞++(3) ()(,)0,1sin lim;x y xy x→ (4)()(,)0,0limx y →2.证明:当()(,)0,0x y →时,()44344(,)x yf x y xy=+的极限不存在。
二、填空题3. 若 22(,)f x y y x y +=-,则 (,)f x y = ;4.函数22(,)ln(1)f x y x y =+-的定义域是D = ; 5. 已知 2(,)x y f x y e = ,则 '(,)x f x y = ; 6. 当 23(,)5f x y x y =,则 '(0,1)x f = ; 7. 若 2xy Z e yx =+,则 Z y∂=∂ ;8. 设 (,)ln()2y f x y x x=+,则 '(1,0)y f =;9. xyZ xe Z ==二元函数全微分d ; 10. arctan()Z xy =设,则dz= .11.1,0xyx y Z e Z====二元函数全微分d三、选择题12.设函数 ln()Z xy =,则Z x∂=∂ ( )A1yBx yC 1xDy x13.设 2sin(),Z xy = 则Z x∂=∂ ( )A 2cos()xy xyB 2cos()xy xy -C 22cos()y xy -D 22cos()y xy14.设 3xy Z =,则Z x∂=∂ ( )A 3xy yB 3ln 3xyC 13xy xy - D3ln 3xyy四、计算与应用题15. (1) 22e x yz +=, 求(0,1),(1,0)xy z z ''; (2) arctan y z x=, 求(1,1),(1,1)xy z z ''--;16.2(,),(,)(,)xy x y f x y e yx f x y f x y ''=+已知求和17.已知 2242(3),x y Z Z Z x y xy+∂∂=+∂∂设求和18.22exyz x y=+,求y xz z '';。
《微积分》复习参考资料第一章 函数一、据定义用代入法求函数值:典型例题:设函数f(x-1)=x 2,则f(x+1)=(x+2)2 ; 二、求函数的定义域:(答案只要求写成不等式的形式,可不用区间表示)对于用数学式子来表示的函数,它的定义域就是使这个式子有意义的自变量x 的取值范围(集合) 主要根据:①分式函数:分母≠0②偶次根式函数:被开方式≥0③对数函数式:真数式>0④反正(余)弦函数式: 自变量 ≤1在上述的函数解析式中,上述情况有几种就列出几个不等式组成不等式组解之。
例1:求y=x x 212-+的定义域。
(答案:212<≤-x ) 三、判断函数的奇偶性:奇函数:f(-x)=-f(x),偶函授:f(-x)=f(x); 四、反函数 五、初等函授1.基本初等函数:幂函数、指数函数、对数函数、三角函数、反三角函数。
2.复合函数3.初等函数:由基本初等函数和常数经过有限次的四则运算和有限次的函数复合步骤所构成并可用一个式子表示的函数,称为初等函数。
注:分段函数一般不是初等函数。
特例:,0,0x x y x x ≥⎧==⎨-<⎩为初等函数。
例2:设)(x f 是偶函数,)(x g 是奇函数,则函数)]([x g f 是( A ).A. 偶函数B. 奇函数C. 非奇非偶函数D.以上均不对.例3:设)(x f 的定义域为)2,1(, 则)(lg x f 的定义域为__)100,10(_____.A. )100,10(B. )2,1(C. )2lg ,0(D. ]2lg ,0[第二章 极限与连续1、极限定义:n lim n a a →∞=⇔对任给0ε>,存在,N 当n N >时,有||n a a ε-<.(等价定义)2、无穷小的定义与性质:1)若函数f(x)当x x 0→(或∞→x )时的极限为零,则称f(x)当x x 0→(或∞→x )时为无穷小量。
注:(1)无穷小量是个变量而不是个很小的数. (2)零是常数中唯一的无穷小量。
习题7.1(A)1、求点(2,1,3)A -关于(1)各坐标面;(2)各坐标轴;(3)坐标原点的对称点的坐标。
解 (1)(2,1,3)--,(2,1,3)--, (2,1,3);(2)x 轴:(2,1,3)-,y 轴:(2,1,3)---,z 轴:(2,1,3)-; (3) (2,1,3)--。
2、在空间直角坐标系中,指出下列各点在哪个卦限?(4,3,5)A -,(2,3,4)B -,(2,3,4)C --,(2,3,1)D --并求点(4,3,5)A -分别到(1)坐标原点;(2)各坐标轴;(3)各坐标面的距离。
解 A 点在第4卦限; B 点在第5卦限;C 点在第8卦限;D 点在第3卦限。
(1) A =(4,3,5)-(2) A 到x =A 到y =A 到z 5=;(3) A 到坐标面xy 5=;A 到坐标面yz 4=;A 到坐标面xz 3=。
3、在z 轴上求一点M ,使该点与点(4,1,7)A 和(3,5,2)B 的距离相等。
解 因为所求点在z 轴上, 所以设该点为(0,0,)M z , 由题意有MA MB , 即222222(4)1(7)35(2)z z两边平方, 解得149z, 于是所求点为14(0,0,)9M . 4、写出球心在点(1,3,2)--处,且通过点(1,1,1)-的球面方程。
解 由2222000()()()xx yy zz R ,得2222(1())(113())(12)R则3R ,从而球面方程为2222(1)(3)(2)3x yz5、下列各题中方程组各表示什么曲线?(1)2248,8;x y z z(2)2225,3;x y z x(3)2224936,1;x y z y (4)2244,2.x y z y解 (1) 双曲线;(2) 圆;(3) 椭圆;(4) 抛物线。
6、描绘下列各组曲面在第一卦限内所围成的立体的图形。
(1) 0,0,0,1x y z x y z ===++=;(2) 2222220,0,0,,x y z x y R y z R ===+=+=。
第七章不完全竞争的市场一.选择题1.C2.B3.B4.B5.D6.A7.C8.D9.A10.C11.D12.B13.A14.D15.C16.B17.B18.B19.A20.B21.D22.B23.D24.D25.D26.C27.C28.B29.A30.C二.名词解释1.垄断:是指一个厂商独占市场控制整个市场的产品的供给和产品的市场价格以攫取最大的 利润。
2.自然垄断:所谓自然垄断,就是行业存在规模报酬递增,产量越多平均成本越低,使得一 般厂商无法与一个超大规模的厂商竞争,从而形成的垄断。
3.垄断势力:又称垄断势力,指垄断厂商对价格的控制程度,一般用P —MC 来测量。
4.价格歧视:所谓价格歧视,是指完全垄断厂商对不同的消费者,或对同一消费者不同的购 买量,分别以不同的价格销售。
5.寡头垄断:寡头垄断是指少数几家厂商控制某一市场的产品供给及销售价格的一种市场组 织。
在这种市场组织中,每一厂商都必须考虑它的对手对它的行动做出的反应。
6.垄断竞争:所谓“垄断竞争”,就是指有许多厂商在市场中销售近似但不相同的产品。
厂 商对市场略有影响。
7.多余的生产能力:经济学家一般把完全竞争企业在长期平均成本LAC 最低点上的产量称为 理想的产量,把实际产量与理想产量之间的差额称作为多余的生产能力。
8.消费者剩余:就是消费者对一定量的商品或劳务最多愿意支付的价钱与实际支付的价钱之 差,是对消费者从交易中所得利益的一种货币度量。
9产品变异:产品变异指变换产品的颜色、款式、质地、做工和附带的服务等来改变原有的 产品,以形成产品差异,影响市场均衡。
10.拐折(弯折)需求曲线:根据寡头垄断厂商推测其他寡头跟跌不跟涨的假定,得出自己产 品的需求曲线在开始的市场价格处形成拐折点,拐折点之上的需求曲线段比较平坦,拐折点 之下的需求曲线段比较陡峭。
三.问答题1.在不完全竞争市场的产品市场中,厂商的需求曲线向右下方倾斜,试说明MR与P 的差距会随着产量Q 的增加而越来越大。
微积分上册 一元函数微积分与无穷级数第2章 极限与连续2.1 数列的极限1.对于数列n x ,若a x k →2(∞→k ),a x k →+12(∞→k ),证明:a x n → (∞→n ). 证. 0>∀ε, a x k →2 (∞→k ), Z K ∈∃∴1, 只要122K k >, 就有ε<-a x k 2; 又因a x k →+12(∞→k ), Z K ∈∃∴2, 只要12122+>+K k , 就有ε<-+a x k 12. 取{}12,2m ax 21+=K K N , 只要N n >, 就有ε<-a x n , 因此有a x n → (∞→n ). 2.若a x n n =∞→lim ,证明||||lim a x n n =∞→,并举反例说明反之不一定成立.证明: a x n n =∞→lim ,由定义有:N ∃>∀,0ε,当N n >时恒有ε<-||a x n又 ε<-≤-||||||a x a x n n对上述同样的ε和N ,当N n >时,都有ε<-||||a x n 成立 ∴ ||||lim a x n n =∞→反之,不一定成立.如取 ,2,1,)1(=-=n x nn显然 1||lim =∞→n n x ,但n n x ∞→lim 不存在.2.2 函数的极限1. 用极限定义证明:函数()x f 当0x x →时极限存在的充要条件是左、右极限各自存在且相等.证: 必要性. 若()A x f x x =→0lim , 0>∀ε, 0>∃δ, 当δ<-<00x x 时, 就有()ε<-A x f . 因而, 当δ<-<00x x 时, 有()ε<-A x f , 所以()A x f x x =+→0lim ; 同时当δ<-<x x 00时, 有()ε<-A x f , 所以()A x f x x =-→0lim .充分性. 若()A x f x x =+→0lim ,()A x f x x =-→0lim . 0>∀ε, 01>∃δ, 当100δ<-<x x 时, 就有()ε<-A x f , 也02>∃δ, 当200δ<-<x x 时, 有()ε<-A x f . 取{}21,m in δδδ=,则当δ<-<00x x 时, 就有()ε<-A x f . 所以()A x f x x =→0lim .2.写出下列极限的精确定义:(1)A x f x x =+→)(lim 0,(2)A x f x =-∞→)(lim ,(3)+∞=+→)(lim 0x f x x ,(4)-∞=+∞→)(lim x f x ,(5)A x f x =+∞→)(lim .解:(1)设R x U f →)(:0是一个函数,如果存在一个常数R A ∈,满足关系:0,0>∃>∀δε,使得当δ<-<00x x 时,恒有ε<-|)(|A x f ,则称A 是)(x f 当+→0x x 时的极限,记作A x f x x =+→)(lim 0或 )()(0+→=x x A x f . (2)设R f D f →)(:是一函数,其中0,),,()(>>--∞⊃αααR f D .若存在常数R A ∈,满足关系:0)(,0>∈∃>∀R X ε,使得当X x -<时,恒有ε<-|)(|A x f 成立,则称A 是)(x f 当-∞→x 时的极限,记作:A x f x =-∞→)(lim 或 A x f =)()(-∞→x .(3)设R x U f →)(:0是任一函数,若0>∀M ,0>∃δ,使得当δ<-<00x x 时,恒有M x f >)(,则称当+→0x x 时)(x f 的极限为正无穷大,记作+∞=+→)(lim 0x f x x 或 +∞=)(x f )(0+→x x . (4)设R f D f →)(:是一函数,其中R f D ∈>+∞⊃ααα,0),,()(,若存在常数R A ∈,满足关系:0>∀M ,0)(>∈∃R X ,使得当X x >时,恒有M x f -<)(则称当+∞→x 时)(x f 的极限为负无穷大,记作:-∞=+∞→)(lim x f x 或 -∞=)(x f )(+∞→x .(5)设R f D f →)(:是一函数,其中R f D ∈>+∞⊃ααα,0),,()(,若存在常数R A ∈,满足关系:0,0>∃>∀X ε,使得当X x >时,恒有ε<-|)(|A x f 成立,则称A是)(x f 当+∞→x 时的极限,记作:A x f x =+∞→)(lim 或 A x f =)()(+∞→x .2.3 极限的运算法则1.求∑=∞→+⋯++Nn N n 1211lim. 解. ()()⎪⎭⎫ ⎝⎛+-=+=+=+⋯++111212211211n n n n n n n⎪⎭⎫ ⎝⎛+-=⎥⎦⎤⎢⎣⎡⎪⎭⎫ ⎝⎛+-++⎪⎭⎫ ⎝⎛-+⎪⎭⎫ ⎝⎛-=+⋯++∑=1112111312121122111N N N n Nn 21112lim 211lim1=⎪⎭⎫ ⎝⎛+-=+⋯++∴∞→=∞→∑N nN Nn N 2.求xe e xxx 1arctan11lim110-+→. 解. +∞=+→x x e 10lim , 0lim 10=-→xx e,,21arctan lim 11lim 1arctan11lim 0110110π=-+=-++++→--→→x ee x e e x xxx xxx ,21arctan lim 11lim 1arctan11lim 0110110π=-+=-+---→→→x e e x e e x x xx x x x 21arctan 11lim 110π=-+∴→x e e x xx3.设)(lim 1x f x →存在,)(lim 2)(12x f x x x f x →+=,求)(x f . 解:设 )(lim 1x f x →=A ,则A x x x f ⋅+=2)(2再求极限:A A A x x x f x x =+=⋅+=→→21)2(lim )(lim 211⇒ 1-=A∴ x x xA x x f 22)(22-=+=.4.确定a ,b ,c ,使 0)1(3)1()1(lim 2221=-+-+-+-→x x c x b x a x 成立.解:依题意,所给函数极限存在且 0)1(lim 21=-→x x∴ 0]3)1()1([lim 221=+-+-+-→x c x b x a x ⇒ 2=c∴ 上式左边=])32)(1(11[lim ))1(321(lim 21221++-+--+=-+-+-+→→x x x x b a x x x b a x x])32)(1(1)32([lim 221++---+++=→x x x x b a x同理有 0]1)32([lim 21=--++→x x b x ⇒ 21=b ∴ 163)23)(1(8)1(3lim )32)(1(1)32(21lim221221=++---=++---++-=→→x x x x x x xx a x x 故 2,21,163===c b a 为所求.2.4 极限存在准则1. 设1x =10,n n x x +=+61,( ,2,1=n ).试证数列{n x }的极限存在,并求此极限. 证: 由101=x , 4612=+=x x , 知21x x >. 假设1+>k k x x , 则有21166+++=+>+=k k k k x x x x . 由数学归纳法知, 对一切正整数n , 有1+>n n x x ,即数列{n x }单调减少. 又显然, () ,2,10=>n x n , 即{n x }有界. 故n n x ∞→lim 存在.令a x n n =∞→lim , 对n n x x +=+61两边取极限得a a +=6, 从而有062=--a a ,,3=∴a 或2-=a , 但0,0≥∴>a x n , 故3lim =∞→n n x2.证明数列 nn n x x x x ++=<<+3)1(3,3011收敛,并求其极限.证明:利用准则II ,单调有界必有极限来证明.∴301<<x ,由递推公式33312131213213)1(30111112=++<++=++=++=<x x x x x x∴ 302<<x 同理可证:30<<n x 有界又 03)3)(3(333)1(311112111112>++-=+-=-++=-x x x x x x x x x x∴ 12x x > 同理 23x x > ,… ,1->n n x x ∴数列 }{n x 单调递增,由准则II n n x ∞→lim 存在,设为A ,由递推公式有:AA A ++=3)1(3 ⇒ 3±=A (舍去负数)∴ 3lim =∞→n n x .3.设}{n x 为一单调增加的数列,若它有一个子列收敛于a ,证明a x n n =∞→lim .证明:设}{k n x 为}{n x 的一子列,则}{k n x 也为一单调增加的数列,且a x k k n n =∞→lim对于1=ε,N ∃,当N n >时有1||<-a x k n 从而||1||||||||a a a x a a x x k k k n n n +<+-≤+-=取|}|1|,|,|,max {|1a x x M N n n += ,对一切k n 都有 M x k n ≤|| 有界.由子列有界,且原数列}{n x 又为一单调增加的数列,所以,对一切n 有M x n ≤||有界,由准则II ,数列}{n x 极限存在且a x n n =∞→lim .2.5 两个重要极限1. 求]cos 1[cos lim n n n -++∞→.解: 原式 =21sin 21sin2lim nn n n n -+++-+∞→⎪⎪⎭⎫⎝⎛++=-+=-+-+-+++-=+∞→n n n n n n nn nn nn n 1110212121sin21sin2lim 2. 求)1sin(lim 2++∞→n n π.解. 原式=()()n nn n n nn n -+-=-+++∞→+∞→1sin 1lim )1sin(lim 22ππππ()()()()0111sin 1lim 222=-+⋅-+-+-=+∞→n nn n nnnn πππ3. 求x x xx )1cos 1(sinlim +∞→. 解. 原式=()[]()e t t t tttt tt xt =⎥⎦⎤⎢⎣⎡+=+=→→=22sin 2sin 10212012sin 1lim cos sin lim 令4. 设 ⎩⎨⎧+-=32)cos 1(2)(x x x x f 00≥<x x 求 20)(lim x x f x →. 解: 1lim )(lim 232020=+=++→→x x x x x f x x ,1)cos 1(2lim )(lim 2020=-=--→→x x x x f x x ∴ 1)(lim2=→xx f x .2.6 函数的连续性1. 研究函数()[]x x x g -=的连续性,并指出间断点类型. 解. n x =,Z n ∈ (整数集)为第一类 (跳跃) 间断点.2. 证明方程)0(03>=++p q px x 有且只有一个实根.证. 令()()()0,0,3>∞+<∞-++=f f q px x x f , 由零点定理, 至少存在一点ξ使得()0=ξf , 其唯一性, 易由()x f 的严格单调性可得.3.设⎪⎩⎪⎨⎧≤<-+>=-01),1ln(0 ,)(11x x x e x f x ,求)(x f 的间断点,并说明间断点的所属类型. 解. )(x f 在()()()+∞-,1,1,0,0,1内连续, ∞=-→+111lim x x e,0lim 111=-→-x x e, ()00=f , 因此,1=x 是)(x f 的第二类无穷间断点; (),lim lim 1110--→→==++e ex f x x x()()01ln lim lim 00=+=--→→x x f x x , 因此0=x 是)(x f 的第一类跳跃间断点.4.讨论nx nxn e e x x x f ++=∞→1lim )(2的连续性.解. ⎪⎩⎪⎨⎧<=>=++=∞→0,0,00,1lim)(22x x x x x e e x x x f nxnxn , 因此)(x f 在()()+∞∞-,0,0,内连续, 又()()00lim 0==→f x f x , ()x f ∴在()+∞∞-,上连续.5.设函数),()(+∞-∞在x f 内连续,且0)(lim=∞→xx f x ,证明至少存在一点ξ,使得0)(=+ξξf .证:令x x f x F +=)()(,则01]1)([lim )(lim>=+=∞→∞→x x f x x F x x ,从而0)(>xx F .由极限保号性定理可得,存在01>x 使0)(1>x F ;存在02<x 使0)(2<x F .)(x F 在],[12x x 上满足零点定理的条件,所以至少存在一点ξ使得0)(=ξF ,即0)(=+ξξf .6.讨论函数nnx x x x f 2211lim )(+-=∞→的连续性,若有间断点,判别其类型.解: ⎪⎩⎪⎨⎧-=101)(x f 1||1||1||>=<x x x ,显然 1±=x 是第一类跳跃间断点,除此之外均为连续区间.7.证明:方程)0,0(sin >>+=b a b x a x 至少有一个正根,且不超过b a +. 证明:设b x a x x f --=sin )(,考虑区间],0[b a +0)0(<-=b f ,0))sin(1()(≥+-=+b a a b a f ,当0))sin(1()(=+-=+b a a b a f 时,b a x +=是方程的根;当0))sin(1()(>+-=+b a a b a f 时,由零点定理,至少),0(b a +∈∃ξ使0)(=ξf ,即 0sin =--b a ξξ成立,故原方程至少有一个正根且不超过b a +.2.7 无穷小与无穷大、无穷小的比较1. 当0→x 时,下面等式成立吗?(1))()(32x o x o x =⋅;(2))()(2x o xx o =;(3) )()(2x o x o =. 解. (1)()()()002232→→=⋅x xx o x x o x , ()()()032→=⋅∴x x o x o x (2) ()()()0)(,00)()(2222→=∴→→=x x o x x o x x x o xxx o(3) ()2xx o不一定趋于零, )()(2x o x o =∴不一定成立(当0→x 时) 2. 当∞→x 时,若)11(12+=++x o c bx ax ,则求常数c b a ,,.解. 因为当∞→x 时,若)11(12+=++x o c bx ax , 所以01lim 111lim 22=+++=++++∞→+∞→c bx ax x x c bx ax x x , 故c b a ,,0≠任意.3.写出0→x 时,无穷小量3x x +的等价无穷小量.解: 11lim 1lim lim303630=+=+=+→→→x xx xxx x x x∴ 当0→x ,3x x +~6x第3章 导数与微分3.1 导数概念1. 设函数)(x f 在0x 处可导,求下列极限值. (1)hh x f h x f h )3()2(lim000--+→;(2)000)()(lim 0x x x xf x f x x x --→.解.(1) 原式()()()000000533)3(22)2(lim x f h x f h x f h x f h x f h '=⎥⎦⎤⎢⎣⎡⋅---+⋅-+=→(2) 原式()[]()()()()00000000)(limx f x f x x x x x x f x f x f x x x -'=----=→2.设函数R f →+∞),0(:在1=x 处可导,且),0(,+∞∈∀y x 有)()()(y xf x yf xy f += 试证:函数f 在),0(+∞内可导,且)1()()(f xx f x f '+='. 解:令1==y x ,由()()()y xf x yf xy f +=有()()121f f =得()01=f .()+∞∈∀,0x ,()()()()()()()()()()xx f f x x f xx f x x f x x f x f x x x x xf x x f x x x f x x f x x f x f x x x x +'=+∆-⎪⎭⎫⎝⎛∆+=∆-⎪⎭⎫ ⎝⎛∆++⎪⎭⎫ ⎝⎛∆+=∆-⎥⎦⎤⎢⎣⎡⎪⎭⎫ ⎝⎛∆+=∆-∆+='→∆→∆→∆→∆111lim 11lim 1lim lim 0000 故()x f 在()+∞,0内处处可导,且()()()xx f f x f +'='1. 3.设()f x 在(,)-∞+∞内有意义,且(0)0f =,(0)1f '=, 又121221()()()()()f x x f x x f x x ϕϕ+=+,其中22()cos xx x x e ϕ-=+, 求()f x '.解: ()()()()()()()()x x f x x f x x f x x f x x f x f x x ∆-∆+∆=∆-∆+='→∆→∆ϕϕ00lim lim()()()()()()()()()001lim 0lim 00ϕϕϕϕ'+'=∆-∆+∆-∆=→∆→∆x f x f xx x f x x f x f x x ()x e x x x 22cos -+==ϕ4.设函数0)(=x x f 在处可导,且21arctan lim )(0=-→x f x e x,求)0(f '.解:由已知,必有0]1[lim )(0=-→x f x e,从而0)(lim 0=→x f x ,而0)(=x x f 在连续,故0)0(=f .于是)0(1)0()(1lim )(lim 1arctan lim200)(0f xf x f x f x e x x x x f x '=-==-=→→→. 故21)0(='f .5.设)(x f 具有二阶导数,)(,sin )()2(lim )(2x dF t xx f t x f t x F t 求⎥⎦⎤⎢⎣⎡-+=∞→.解: 令t h 1=,则)(2 sin )()2(lim)(0x f x hhxh x f h x f x F t '=⋅-+=→.从而)(2)(2)(x f x x f x F ''+'=',dx x f x x f dx x F x dF )]()([2)()(''+'='=.6.设f 是对任意实数y x ,满足方程 22)()()(xy y x y f x f x f +++= 的函数,又假设1)(lim=→xx f x ,求:(1))0(f ;(2))0(f '; (3))(x f '. 解:(1)依题意 R y x ∈∀,,等式 22)()()(xy y x y f x f y x f +++=+ 成立令0==y x 有 )0(2)0(f f = ⇒ 0)0(=f(2)又 1)(lim=→x x f x ,即 )0(10)0()(lim 0f x f x f x '==--→,∴ 1)0(='f(3)xx f x x f x f x ∆-∆+='→∆)()(lim )(0x x f x x x x x f x f x ∆-∆⋅+∆⋅+∆+=→∆)()()()(lim 220 x x x x x x f x ∆∆⋅+∆⋅+∆=→∆220)()(lim ])([lim 20x x x xx f x ∆⋅++∆∆=→∆ ]1)0(22x x f +=+'=∴ 21)(x x f +='.7.设曲线)(x f y =在原点与x y sin =相切,试求极限 )2(lim 21nf nn ∞→. 解:依题意有 1)0()0(='='f y 且0)0(=f∴ 222)0()2(lim )2(lim 2121=⋅-⋅=⋅∞→∞→n nf n f n nf n n n .8.设函数)(x f 在0=x 处可导且0)0(,0)0(='≠f f ,证明1])0()1([lim =∞→nn f n f .证:n n n n f f n f f n f ])0()0()1(1[lim ])0()1([lim -+=∞→∞→.=10)0(11)0()01(lim )0()0()1(lim ===⋅-+-∞→∞→e ee f nf n f f f n f n n n .1.计算函数baxax xb ab y )()()(= (0,0>>b a )的导数.解. a xb bx a b a x xb a b a a x b a x a b x b x b a a x x b a b a b y )(1)()()()(ln )(121⎪⎭⎫ ⎝⎛⎪⎭⎫ ⎝⎛+⎪⎭⎫ ⎝⎛⎪⎭⎫ ⎝⎛-⎪⎭⎫⎝⎛+='-- ⎥⎦⎤⎢⎣⎡+-=x b x a a b a x x b a b b a x ln )()()( 2.引入中间变量,1)(2x x u +=计算1111ln 411arctan 21222-+++++=x x x y 的导数dx dy .解. 引入,1)(2x x u += 得11ln 41arctan 21-++=u u u y ,于是dxdudu dy dx dy ⋅=, 又 ()()4242422111111111141121x x x u u u u du dy +-=+-=-=⎪⎭⎫ ⎝⎛--+++=,21xx dx du +=, 则()22242121121xx x x x x x dx dy ++-=+⋅⎪⎭⎫⎝⎛+-= 3.设y y x +=2,232)(x x u +=,求dudy. 解. dudxdx dy du dy ⋅= , 又()()1223,12212++=+=x x x dx du y dy dx ,得121+=y dx dy , ()x x x du dx ++=21232, 则得()()xx x y du dy +++=2121232 4.已知 2arctan )(),2323(x x f x x f y ='+-=,求=x dx dy .解:22)23(12)2323arctan()2323()2323(+⋅+-='+-⋅+-'='x x x x x x x f y π43)23(12)2323arctan(02200=+⋅+-='=∴===x x x x x x y dxdy .1. 计算下列各函数的n 阶导数. (1) 6512-+=x x y ; (2) x e y xcos =. 解 (1)⎪⎭⎫⎝⎛+--=611171x x y ,()()()()()()⎥⎦⎤⎢⎣⎡+---=⎥⎥⎦⎤⎢⎢⎣⎡⎪⎭⎫ ⎝⎛+-⎪⎭⎫⎝⎛-=∴++1161117!1611171n n nn n n x x n x x y (2) ()⎪⎭⎫ ⎝⎛+=⎥⎦⎤⎢⎣⎡-=-='4cos 2sin 21cos 212sin cos πx e x x e x x e y x x x()⎪⎭⎫ ⎝⎛⋅+=⎥⎦⎤⎢⎣⎡⎪⎭⎫ ⎝⎛+-⎪⎭⎫ ⎝⎛+=''42cos 24sin 4cos 22πππx ex x e y xx由此推得 ()()⎪⎭⎫ ⎝⎛⋅+=4cos 2πn x eyxnn2. 设x x y 2sin 2=, 求()50y .解 ()()()()()()()()()()"+'+=248250249150250502sin 2sin 2sin x x C x x C x x y⎪⎭⎫ ⎝⎛⋅+⋅⨯+⎪⎭⎫ ⎝⎛⋅+⋅+⎪⎭⎫ ⎝⎛⋅+=2482sin 2249502492sin 2502502sin 24950250πππx x x x xx x x x x 2sin 212252cos 2502sin 24950250⋅+⋅+-= ()[]x x x x 2cos 1002sin 212252249+-=3. 试从y dy dx '=1, 0≠'y , 其中y 三阶可导, 导出()322y y dy x d '''-=, ()()52333y y y y dy x d '''''-''= 解 y dy dx '=1 ,()()322211y y y y y dy dx y dx d dyx d '''-='⋅'-''=⋅⎪⎪⎭⎫ ⎝⎛'=∴ ()()()()()()52623333313y y y y y y y y y y y dy dx y y dx d dy x d '''''-''='⋅'''⋅'⋅''+''''-=⋅⎪⎪⎭⎫ ⎝⎛'''-=∴ 4. 设()x f 满足()()0 312≠=⎪⎭⎫⎝⎛+x xx f x f , 求()()()()x f x f x f n ,,'.解 以x 1代x ,原方程为()x x f x f 321==⎪⎭⎫ ⎝⎛,由()()⎪⎪⎩⎪⎪⎨⎧=+⎪⎭⎫ ⎝⎛=⎪⎭⎫ ⎝⎛+x x f x f x x f x f 321 312,消去⎪⎭⎫⎝⎛x f 1,求得()x x x f 12-=,且得()212xx f +=',()()()()2!111≥-=++n x n x f n n n . 5.设()arcsin f x x =,试证明()f x 满足 (1)2(1)()()0x f x xf x '''--= (2) ,1,0,0)()()12()()1()(2)1()2(2==-+--++n x f n x xf n x f x n n n(3)求()(0)n f解 (1)()211x x f -=',()()()22221112211xx xx x x x f --=-⋅--='', ()()()012='-''-∴x f x x f x ,(2)上式两边对x 求n 阶导数得()()[]()()[]()()()()()()()()()()()()()()()[]x f n x xf x f n n x f x n x f x x f x x f x n n n n n nn⋅⋅+-⋅-⋅---+-='-''-=+++1221211021222即 ()()()()()()()()01212122=-+--++x f nx xf n x f xn n n 。
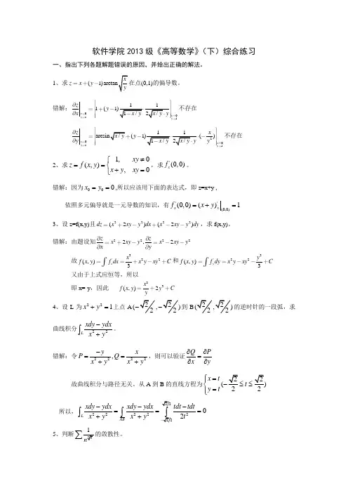
软件学院2013级《高等数学》(下)综合练习一、指出下列各题解题错误的原因,并给出正确的解法。
1、求(zxy 在点(0,1)的偏导数。
错解:0011111(1)1/2/x x y y z y x x y x y y不存在2001111arcsin /(1)()1/2/x x y y z x x yy yy x y x y y不存在2、求1,0(,),0xy z f x y x y xy ≠⎧==⎨+=⎩,求'(0,0)x f 。
错解:因为000x y ==,所以应该用下面的表达式,即z=x+y ,依照多元偏导就是一元导数的知识,有''(0,0)(0,0)()1x xf x y =+=3、设z=f(x,y)且2222(2)(2)dz x xyy dxx xyy dy ,求f(x,y)。
错解:由题设知22222,2z z x xy y x xy y xy故3'22(,)3xx f x y f dxx yxyC 和3'22(,)3yy f x y f dyx yxyC又由于上式应恒等,所以 即x=-y ,因此33(,)2x f x y y C y4、设L 为221x y +=上点A (到B 的逆时针的一段弧,求曲线积分22L xdy ydxx y-+⎰。
错解:令2222,y x P Q x y x y -==++,则可以验证Q Px y∂∂=∂∂故曲线积分与路径无关。
从A 到B 的直线方程为(22x t t y t ⎧=⎪-≤≤⎨=⎪⎩所以,2222202L AB xdy ydx xdy ydx tdt tdtx y x y t ---===++⎰⎰ 5、判断的敛散性。
错解:因为1p =>(n>1时),按p-级数的收敛结论可知,该级数收敛。
6、判断级数(1)112nn n ∞+-=∑的敛散性解:记(1)12nn n u +-=,则11(1)1(1)1(1)(1)12421212lim lim lim 11142122222n n n nn n n n n n n n m u n m u ++-++-+-→∞→∞→∞+-⎧⎧=⎪⎪===⋅=⎨⎨=+⎪⎪⎩⎩不存在由于极限不存在,所以极级数发散。
1. 指出下列各点所在的坐标轴、坐标面或卦限:A (2,1,-6),B (0,2,0),C (-3,0,5),D (1,-1,-7).解:A 在V 卦限,B 在y 轴上,C 在xOz 平面上,D 在VIII 卦限。
2. 已知点M (-1,2,3),求点M 关于坐标原点、各坐标轴及各坐标面的对称点的坐标. 解:设所求对称点的坐标为(x ,y ,z ),则(1) 由x -1=0,y +2=0,z +3=0,得到点M 关于坐标原点的对称点的坐标为:(1,-2,-3). (2) 由x =-1,y +2=0,z +3=0,得到点M 关于x 轴的对称点的坐标为:(-1,-2,-3). 同理可得:点M 关于y 轴的对称点的坐标为:(1, 2,-3);关于z 轴的对称点的坐标为:(1,-2,3).(3)由x =-1,y =2,z +3=0,得到点M 关于xOy 面的对称点的坐标为:(-1, 2,-3).同理,M 关于yOz 面的对称点的坐标为:(1, 2,3);M 关于zOx 面的对称点的坐标为:(-1,-2,3).3. 在z 轴上求与两点A (-4,1,7)和B (3,5,-2)等距离的点. 解: 设所求的点为M (0,0,z ),依题意有|MA |2=|MB |2,即(-4-0)2+(1-0)2+(7-z)2=(3-0)2+(5-0)2+(-2-z)2.解之得z =11,故所求的点为M (0,0,149). 4. 证明以M 1(4,3,1),M 2(7,1,2),M 3(5,2,3)三点为顶点的三角形是一个等腰三角形. 解:由两点距离公式可得21214M M =,2213236,6M M M M ==所以以M 1(4,3,1),M 2(7,1,2),M 3(5,2,3)三点为顶点的三角形是一个等腰三角形. 5. 设平面在坐标轴上的截距分别为a =2,b =-3,c =5,求这个平面的方程.解:所求平面方程为1235y x z++=-。
第2章 多元函数微分学一、二元函数的极限专题练习:1.求下列二元函数的极限: (1)()11(,)2,2lim2;y xy x y xy +⎛⎫→- ⎪⎝⎭+ (2)()()2222(,),3limsin;x y x y x y →∞∞++(3) ()(,)0,1sin lim;x y xyx →(4)((,)0,0limx y →解: (1) 当1(,)2,2x y ⎛⎫→- ⎪⎝⎭时,10xy +→,因此()[]1112(1)11(,)2,(,)2,22lim2lim1(1)e yxy y xy x y x y xy xy -++⎛⎫⎛⎫→-→- ⎪⎪⎝⎭⎝⎭⎧⎫+=++=⎨⎬⎩⎭。
(2) 当()(,),x y →-∞+∞时,2230x y →+,因此222233sin ~x y x y++, ()()()()22222222(,),(,),33limsinlim 3x y x y x y x y x y x y →∞∞→∞∞+=+⋅=++。
(3) 当()(,)0,1x y →时,0xy →,因此sin ~xy xy ,()()(,)0,1(,)0,1sin limlim 1x y x y xy xyx x →→==。
(4) 当()(,)0,0x y →10,0xy →→,因此,(())())(,)0,0(,)0,0(,)0,01limlimlim12x y x y x y xy xy→→→===。
2.证明:当()(,)0,0x y →时,()44344(,)x y f x y xy=+的极限不存在。
证明: 取2(0)y kx k =≠,则()()()()()()()444484433334444444(,)0,0(,)0,0(,)0,0limlimlim11x y x y x y x y k x x k k xyxk xk k →→→===++++显然此极限值与k 的取值相关,因此当()(,)0,0x y →时,()44344(,)x y f x y xy=+的极限不存在。
成人高考《高等数学一》章节练习题答案及解析- 1 -2021 年专升本数学一习题第一章极限、连续1.已知f(x) = � 3x + 2,x ≥0x 2 −1,x < 0。
求f(0)=2. limx→∞sinxx=3. limx→2 (x −2)sin1x−2=4. limx→0xln(3x+1)=5. limx→0sin4xx=6. limx→∞�1 +5x �x =7. limx→0tan2x2x=8. limx→0 (1 −x)1x =9. limx→0 (1 + x)−1x =10. limx→∞�1 +1x �x+2 =11. limx→0x ⋅tanx= 12. limx→0sinxsin2x =13. limx→0ln (2x+1)sin3x14. limx→1x−1x 2 −1=15. limx→4x−4√x+5−3=- 2 -- 2 -16. limx→∞2x 3 +3x 2 +5 7x 3 +4x 2 −1 = 17.设f(x) = �x −1,x < 0 0,x = 0x + 1,x > 0,求limx→0f(x)18. limx→2x 2 +x−6x 2 −4=19. limx→0x−sinxx 2 +x=20.设函数f(x) = �√x3,x < 0,x 2 + 1,x ≥0, 则在点x=0 处是否连续。
21.函数f(x) =x 2 +1x−3的间断点是()。
22.设函数f(x) = �e x,x < 0x + a,x ≥0 在x=0 处连续,则a=()第二章一元函数微分学1.已知f ′(2) = 2,求limΔx→0f(2−3Δx)−f(2)Δx=2.已知f ′(4) = 1,求limΔx→0f(4+2Δx)−f(4)Δx=3x + lnx在点(1,0)处切线斜率K。
4lnx在点(1,0)处的切线方程和法线方程。
5x 2 上的一点,使该点处的切线与直线y = 2x + 2平行。
《微积分学教程》г.м 菲赫金哥尔茨第一卷第一分册绪论实数(四节1-33 共33 页)第一章极限论(四节34-84 共51页)第二章一元函数(五节85-178 共94页)第三章导数及微分(六节179-264 共86页)第四章利用导数研究函数(五节265-338 共74页)第二分册第五章多元函数(五节339-443 共105页)第六章函数行列式及其应用(四节444-505 共62页)第七章微分学在几何上的应用(五节506-592 共87页)附录函数推广的问题(593-606 共14页)第二卷第一分册第八章原函数(不定积分)(五节1-84 共84页)第九章定积分(五节85-159 共75页)第十章积分学在几何学、力学与物理学中的应用(四节160-254 共95页)第二分册第十一章常数项无穷级数(八节255-377 共123页)第十二章函数序列与函数级数(五节378-482 共105页)第三分册第十三章瑕积分(五节483-573 共91页)第十四章依赖于参数的积分(五节574-724 共151页)附录极限的一般观点(725-746 共22页)第三卷第一分册第十五章曲线积分*斯底尔吉斯积分(五节1-119 共119页)第十六章二重积分(五节120-247 共128页)第二分册第十七章曲面面积*曲面积分(四节249-320 共72页)第十八章三重积分及多重积分(五节321-423 共103页)第三分册第十九章傅立叶级数(七节425-590 共166页)第二十章傅立叶级数(续)(四节591-668 共78页)三卷共8分册,分为3个Pdf文档,共32.1M(Http下载)。
高等数学练习题 第七章 多元函数微积分系 专业 班 姓名 学号 第一节 空间解析几何基础知识 第二节 多元函数的概念一.选择题1.方程22480x y z +-+=表示 (D ) (A )平面 (B )柱面 (C )球 (D )抛物面 2.函数)ln(1y x z +=的定义域 ( C )(A )0>+y x (B )0)ln(≠+y x (C )1>+y x (D )1≠+y x 3.设)1(-+=x f y z ,且当1=y x z =时,则)(y f = ( D )(A )1-y (B )y (C )2+y (D ))2(+y y4.若)0()l n(),(22>>--=y x y x x y x f ,则),(y x y x f -+= ( B )(A ))ln(y x - (B ))ln(2y x -(C ))ln (ln 21y x - (D ))ln(2y x - 二.填空题1.点(4,3,5)M -到x 轴的距离d2.若一球面以点(1,3,2)-为球心且过原点,则其方程为3.与Z 轴和点)1,3,1(-A 等距离的点的轨迹方程是_____ _ ___4. 球面:07442222=--+-++z y x z y x 的球心是点__________,半径=R __; 5. ln()z y x =-+的定义域6.设函数32(,)23f x y x xy y =-+,则(x f y =7.已知22),(y x xy y x f -=+,则=),(y x f 8.已知vu ww u w v u f ++=),,(,则),,(xy y x y x f -+=222(1)(3)(2)14x y z -+-++=2262110z x y z --++=(1,2,2)-422{(,)|1,0}x y x y y x +<>≥3()3x xy y -+2222(1)1(1)x xy x y y y --=++2()()xy xx y xy ++三.计算题1.y xy y x )sin(lim)0,2(),(→解:sin()xy xy ≤∴ 当(,)(2,0)x y →时,sin()2xy y→ 则原式=2 2.24lim)0,0(),(-+→xy xy y x解:2==∴原式=(,)(0,0)lim 2)4x y →=3.2222222)0,0(),()(cos 1limy x y x ey x y x +→++-解:2211()2x y -+∴原式=2222222(,)(0,0)1()2lim ()x y x y x y x y e+→++ =222(,)(0,0)1lim2x y x y e+→=12高等数学练习题 第七章 多元函数微积分系 专业 班 姓名 学号第三节 偏导数 第四节 全微分一.选择题1.设),(y x f z =,则),(00y x xz ∂∂= ( B )(A )x y x f y y x x f x ∆-∆+∆+→∆),(),(lim00000(B )xy x f y x x f x ∆-∆+→∆),(),(lim 00000(C )x y x f y x x f x ∆-∆+→∆),(),(lim0000(D )xy x f y y x f x ∆-∆+→∆),(),(lim 000002.若xy z ln =,则dz 等于 ( B )(A )y x y x y y x x ln ln ln ln + (B )dy yxy dx x y y x x ln ln ln ln +(C )ln ln ln ln x xy x y ydx dy x + (D )xyy x ln ln 3.设22()z yf x y =-,则 11z zx y y∂∂+=∂∂ ( A ) (A )221()f x y y -; (B )4f yf y '+; (C )0; (D )1y二.填空题1.设)cos(2y x z =,则yz∂∂= 2.设22),(y x y x y x f +-+=,则=')4,3(x f3.设)sin(),(223y x ey x y x f xy--+=,则=)1,1(x f4.设432),,(z y x z y x f =,则),,(z y x f z =5.设函数2sin()(1y z y xy y e -=+-,则(1,0)|z x∂=∂6.设2232),(y xy x y x f -+=,则),(y x f xy''= 7.设y x e u xsin -=,则yx u∂∂∂2在点)1,2(π处的值为22sin()x x y -251e +2234x y z 14322e π-8.函数y x xy z ++=22arctan 的全微分=dz三.计算题 1.设xzyau )(1=, 求z y x u u u ''',,解: 1()'ln ln xz xzyx u zayy a -=-⋅ 1()1'ln xz xz yy u xzyaa --=- 1()'ln ln xz xzyz u xy aa y -=-⋅2.设)ln(2y x z +=,求在点(1,0)处的全微分 解:22dx ydydz x y+=+ (1,0)|d z d x = 3.设)11(yx ez +-=,求证z yz y x z x222=∂∂+∂∂ 证:11()21x y z e x x -+∂=∂ 11()21x y z ey y-+∂=∂ 1111()()22222211x yx yz z x y x e y ex y x y-+-+∂∂+=+∂∂=11()22x yez -+=4.验证 nx ey tkn sin 2-=满足22xyk t y ∂∂=∂∂证:22sin kn t y kn e nx t -∂=-∂ 2c o s k n t y n e n x x -∂=∂ 2222s i n k n ty n e n x x-∂=-∂ ∴22xy k t y ∂∂=∂∂22(4)(1)1()1()y x x dx dy xy xy +++++高等数学练习题 第七章 多元函数微积分系 专业 班 姓名 学号第五节 多元复合函数与隐函数微分法(一)一.选择题1.设)(),,(,ln 2y v y x u v u z ψϕ===均为可微函数,则=∂∂yz( C ) (A )vu v u 2ln 2+(B )v u v y 2ln 2+ϕ (C )ψϕ'+v u v u y 2ln 2 (D )vu y ψϕ'22.设(,)2323z f x y x y =+,f 具有二阶连续偏导数,则2zx y∂=∂∂ (B )(A )226621112222615276f x y f x y f x yf '''''''+++ (B )()235211122226666f xy x y f x y f xy f '''''''++++ (C )()235111222666f xy x y f x y f ''''''+++ (D )226611122261527f x y f x y f ''''''++ 二.填空题1.设22v u z +=,而y x v y x u -=+=,,则yzx z ∂∂+∂∂= 2.设yx ez 2-=,而t x sin =,3t y =,则dtdz = 3.设z =)()(1y x y xy f x ++ϕ,f 和ϕ具有二阶连续导数,则yx z ∂∂∂2= '''()''(y f x y y x yϕϕ++++ 4.设f 具有一阶连续偏导数,),(22xye y xf u -=,则u x∂=∂ ;uy∂=∂ . 三.计算题1.设y x z arctan =,而v u x +=,v u y -=,求vz u z ∂∂+∂∂ 解:2211[]1()xz u x y yy∂=-∂+2211[]1()z x v y y y ∂=+∂+ 4()x y +22(cos 6)x y t t e--122''xy xf ye f +122''xy yf xe f -+222z z y u v x y ∂∂+=∂∂+2.设1)(2--=a z y e u ax ,而x a y sin =,xz cos =,求dx du 解:222cos sin ()111ax ax ax du a ae x e xe y z dx a a a =-++--- 2()1ax e yay az az a a=-++- 2222(1)sin (1)(1)1ax axa e x a e y a a a ++==-- 3.设sin()(,)x z xy x y =+ϕ,求2zx y∂∂∂,其中(,)u v ϕ有二阶偏导数。
第七章 多元函数微积分学 第一部分:多元函数微分学一、二元函数的极限专题练习:1.求下列二元函数的极限: (1) ()211(,)2,2lim2;y xy x y xy +⎛⎫→- ⎪⎝⎭+ (2)()()2222(,),3limsin;x y x y x y→∞∞++ (3) ()(,)0,1sin lim;x y xyx → (4)((,)0,0limx y →2.证明:当()(,)0,0x y →时,()44344(,)x y f x y xy=+的极限不存在。
二、填空题3. 若22),(y x y y x f -=+,则=),(y x f ;4.函数22(,)ln(1)f x y x y =+-的定义域是D = ; 5. 已知2(,)x y f x y e = ,则 '(,)x f x y = ; 6. 当23(,)5f x y x y =,则 '(0,1)x f = ; 7. 若2yx e z xy +=,则=∂∂yz ;8. 设)2ln(),(xyx y x f +=,则'(1,0)y f =;9. 二元函数xyxe z =的全微分=dz ;10.arctan()Z xy =设,则dz= .三、选择题11.设函数 ln()Z xy =,则Zx∂=∂ ( ) A 1y B x yC 1xD y x12.设2sin(),Z xy = 则Zx∂=∂ ( ) A 2cos()xy xy B 2cos()xy xy - C 22cos()y xy - D 22cos()y xy13.设 3xy Z =,则Zx∂=∂ ( ) A 3xy y B 3ln 3xy C 13xy xy - D 3ln 3xy y14.已知0>∂∂xf,则( ) A ()y x f ,关于x 为单调递增;B ()0,>y x f ;C 022>∂∂xf;D ()()1,2+=y x y x f .15函数()y x f z ,=在点()00,y x 处具有偏导数是它在该点存在全微分的( )A 必要而非充分条件;B 充分而非必要条件;C 充分必要条件 ;D 既非充分又非必要条件.四、计算与应用题16. (1) 22e x y z +=, 求(0,1),(1,0)x y z z ''; (2) arctan yz x=, 求(1,1),(1,1)x y z z ''--;17.2(,),(,)(,)xy x y f x y e yx f x y f x y ''=+已知求和18.已知 2242(3),x y Z Z Z x y x y+∂∂=+∂∂设求和19.22e xyz x y=+,求y x z z '';。
20.设函数 2ln()Z x y =+,求 dZ21.222ln(),,ZZZ x x y xx y∂∂=+∂∂∂设求22.计算下列函数的二阶偏导数:(1) 22x z x y=+; (2) (cos sin )e xyz x y x =+;23.求复合函数的偏导数或导数:(1) 222ln ,,y z u v u v x y x ===+,求,z z x y∂∂∂∂;(2) e ,arctan uvy z u v x ===,求,z zx y∂∂∂∂;24.设 (,)Z Z x y = 由方程 2ln 0Z e x y Z ++= 确定,求 dZ25.设z y x z y x 32)32sin(2-+=-+,求yz x z ∂∂+∂∂26.求下列函数的极值(1) 333z x y xy =+-; (2) 222ln 2ln z x y x y =+--; (3) ()122ex z x y =+;27.求下列函数的最值(选做题):(1) 32242,14,11=-+--≤≤-≤≤z x x xy y x y ;(2) 22,3,0,0=+---+≤≥≥z x y x y xy x y x y ;28. (选做题)设由方程0),(=++xzy y z x F 确定),(y x z z =,F 具有一阶连续偏导数,证明:xy z yz y x z x-=∂∂+∂∂第二部分:多元函数积分学—二重积分一、填空题1、当函数),(y x f 在闭区域D 上________时,则其在D 上的二重积分必定存在2、若),(y x f 在有界闭区域D 上可积,且21D D D ⊃⊃,当0),(≥y x f 时,则⎰⎰⎰⎰21),(_____________),(D D d y x f d y x f δδ;当0),(≤y x f 时,则⎰⎰⎰⎰21),(_____________),(D D d y x f d y x f δδ3、设βα,为常数,则()()[]⎰⎰+Dd y x g y x f σβα,,=______________________4、区域D 由闭区域21,D D 构成,则()⎰⎰Dd y x f σ,=______________________5、设函数()y x f z ,=在闭区域D 上连续,σ是D 的面积, 则在D 上至少存在一点()ηξ,使得()⎰⎰Dd y x f σ,=______________________6、计算⎰⎰Dxyd σ=__________,其中 D 是由直线x y x y ===,2,1所围成的闭区域。
7、设D 是顶点分别为()()()()1,0,2,1,0,1,0,0的直边梯形,计算()⎰⎰+Dyd x σ1=_________8、改变下列二次积分的积分次序⎰⎰1010fdy dx =______________________; ⎰⎰--21222x x x fdy dx =________________;⎰⎰⎰⎰-+10313020yyfdx dy fdx dy =______________;()⎰⎰xudv v f du 0=________________;9、把下列二重积分表示为极坐标形式的二次积分()⎰⎰≤++422y x dxdy y x =____________; ⎰⎰≤+⎪⎭⎫ ⎝⎛+xy x dxdy x y y x f 22222arctan ,=____________;⎰⎰+Dy x dxdy e22=_______________((){}x y y x y x D >≤+≤=,41,22);10、⎰⎰--Dy x dxdy e 22=________,其中 D 是由中心在原点、半径为a 的圆周所围成的闭区域。
1、4321,,,D D D D 分别为圆122≤+y x 在一、二、三、四象限的部分,则⎰⎰12D yd xσ=( )A⎰⎰22D yd x σ; B ⎰⎰32D yd x σ; C ⎰⎰42D yd x σ; (D)0. 2、()⎭⎬⎫⎩⎨⎧-≥≤+=21,1,22x y x y x D ,则()⎰⎰+Dd y xσ22=( )A()d y y x dx x x ⎰⎰----+221122121; B()d x y x dy x x⎰⎰----+221122121; C()d y y xdx x ⎰⎰---+212122121; D()dy y x dx ⎰⎰--+1122121.3、设有平面闭区域(){}a y x a x a y x D ≤≤≤≤-=,,,(){}a y x a x y x D ≤≤≤≤=,0,1,则()⎰⎰+Ddxdy y x xy sin cos =( )A ⎰⎰1sin cos 2D ydxdy x ; B ⎰⎰12D xydxdy;C ()⎰⎰+1sin cos 4D dxdy y x xy ; D 0.4、二次积分⎰⎰-10x10dy )y ,x (f dx 等于( ).A.⎰⎰-10y10dx )y ,x (f dyB.⎰⎰-1010),(xdx y x f dyC.⎰⎰-xdx y x f dy 101),( D.⎰⎰1010dx )y ,x (f dy1、计算围成的平面区域为其中x y ,x y D ydxdy x 22D2==⎰⎰2、设区域(){}1,≤+=y x y x D ,计算⎰⎰+Dy x dxdy e .3、计算⎰⎰Dxydxdy ,其中D 是由抛物线x y =2及直线2-=x y 所围成的闭区域. 4、计算()⎰⎰-+Ddxdy x y x22,其中D 是由抛物线x y =,2=y 及直线x y 2=所围成的闭区域.5、计算⎰⎰+D y x dxdy e 22,其中D 是由422=+y x 所围成的闭区域.6、计算()⎰⎰+D dxdy y x22,其中D 是由21y x --=,直线1-=y ,1-=x 所围成的闭区域.7、计算下列二重积分:(1)22x y D xye d δ+⎰⎰,其中{}d y c b x a y x D ≤≤≤≤=,),( (2) 22()D xy d δ+⎰⎰,其中D 是由直线x y y ==,2,及x y 2=所围成的闭区域.8、计算下列二重积分(1) 22ln(1)Dx y d δ++⎰⎰,其中D 是由圆周122=+y x 及坐标轴所围成的在第一象限内的闭区域.(2)D δ,其中D 是由圆周Rx y x =+22所围成的闭区域(3)222D x y d δ+-⎰⎰,其中3:22≤+y x D9、计算二次积分1 1 0y xdy dx ⎰10、计算二重积分⎰⎰-D y x dxdy e,其中D 由0,2,1,====x y y x y 围成。