自动控制原理 题库 第四章 线性系统根轨迹 习题
- 格式:doc
- 大小:1.16 MB
- 文档页数:8
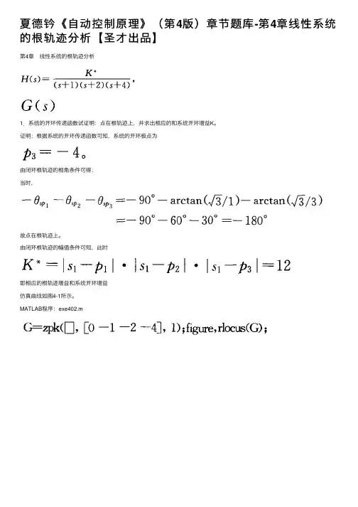
夏德钤《⾃动控制原理》(第4版)章节题库-第4章线性系统的根轨迹分析【圣才出品】第4章 线性系统的根轨迹分析1.系统的开环传递函数试证明:点在根轨迹上,并求出相应的和系统开环增益K。
证明:根据系统的开环传递函数可知,系统的开环极点为由闭环根轨迹的相⾓条件可得:当时,故点在根轨迹上。
由闭环根轨迹的幅值条件可知,此时即相应的根轨迹增益和系统开环增益仿真曲线如图4-1所⽰。
MATLAB程序:exe402.m2.设单位反馈控制系统的开环传递函数为试⽤解析法绘出K*从零变到⽆穷时的闭环根轨迹图,并判断下列点是否在根轨迹上:(﹣2+j0),(0+j1),(﹣3+j2)解:闭环传递函数为则闭环特征⽅程为闭环特征根为当。
可逐个描点得闭环根轨迹如图4-2所⽰,从图4-2中明显可见,只有(-2,j0)在根轨迹上。
图4-23.设单位反馈控制系统的开环传递函数如下,试概略绘制闭环根轨迹图。
解:(1)系统的开环传递函数令为根轨迹增益。
①实轴上的根轨迹:[0,-2],[-5,-∞)。
②根轨迹的渐近线:③根轨迹的分离点:根轨迹的分离点坐标满⾜解得④根轨迹与虚轴的交点:由系统的开环传递函数可知系统的闭环特征⽅程令s=jω,将其代⼊上式可得即由于ω≠0,故可解得则根轨迹与虚轴的交点为±j3.16。
根据以上⼏点,可以画出概略根轨迹如图4-3所⽰。
图4-3 系统(1)概略根轨迹图(2)系统的开环传递函数①实轴上的根轨迹[0,-2],[-3,-5]。
③根轨迹的分离点:根轨迹的分离点坐标满⾜通过试凑可得d=-0.89。
根据以上⼏点,可以画出概略根轨迹如图4-4所⽰。
图4-4 系统(2)概略根轨迹图(3)系统的开环传递函数①实轴上的根轨迹:[-1,-3],[-10,-5]。
②根轨迹的渐近线:③根轨迹的分离点:根轨迹的分离点坐标满⾜通过试凑可得d=-7.27。
根据以上⼏点,可以画出概略根轨迹如图4-5所⽰。
图4-5 系统(3)概略根轨迹图(4)系统的开环传递函数实轴上的根轨迹为[-2,-1],系统概略根轨迹如图4-6所⽰。
第四章 根轨迹分析法习题4-2 单位回馈控制系统的开环传递函数1)(+=s K s G r,试用解析法绘出r K 从零变化到无穷时的死循环根轨迹图,并判断-2, j1, (-3+j2)是否在根轨迹上。
解:1-s 01s 0r=⇒=+=时,K2-s 02s 1r=⇒=+=时,K3-s 03s 2r=⇒=+=时,K……-2 在根轨迹上,(-3+j2),j1不在根轨迹上。
4-3 回馈控制系统的开环传递函数如下,0≥r K ,试画出各系统的根轨迹图。
(2) )4)(1()5.1()(+++=s s s s K s G r (3) 2)1()(+=s s K s G r , 解:(2)1)开环零、极点:p 1=0,p 2=-1,p 3=-4,z=,n=3,m=1 2)实轴上根轨迹段:(0,-1),(,-4) 3)根轨迹的渐近线:︒±=±=-+±=-=----=902)12(,75.12)5.1(410)2( ππϕσm n k aa夹角交点条渐近线4)分离点和会合点6.05.1141111-=+=++++d d d d d 试探法求得(3)2)实轴上根轨迹段:(0,-1),(-1,-∞) 3)根轨迹的渐近线:±=-+±=-=--=3)12(,323110)3( ππϕσm n k aa夹角交点条渐近线4)分离点和会合点310121-=⇒=++d d d 5)与虚轴交点:223++s s4-5 系统的开环传递函数为)1()2()(++=s s s K s G r ,(1) 画出系统的根轨迹,标出分离点和会合点;(2) 当增益r K 为何值时,复数特征根的实部为-2求出此根。
解: (1)1)开环零、极点:p 1=0,p 22)实轴上根轨迹段:(0,-13)分离点和会合点.3,586.02111121-=-=⇒+=++d d d d d123ss s s r2K-r211K rKj,202rr±==⇒=-s K K(2)系统特征方程为02)1(rr2=+++K s K s2j 2322122,1rr±-==-=+-=-s K Ka b ,,得:由4-6 单位回馈系统的前向信道函数为)3)(1()(++=s s s K s G r,为使死循环主导极点具有阻尼比5.0=ξ,试确定r K 的值。
第四章 习题4-1 绘制具有下列开环传递函数的负反馈系统的根轨迹1、()()()()54*++=s s s K s H s G解:首先确定开环传递函数中的零极点的个数各是多少。
由开环传递函数可知 m=0,n=3,n -m=3。
即,有限零点为0个,开环极点为3个。
其中,3个开环极点的坐标分别为:p 1=0,p 2=-4,p 3=-5。
然后,在[s]平面上画出开环极点的分布情况,根据根轨迹方程的幅角条件:首先确定实轴上的闭环系统的根轨迹。
如图所示。
接着再通过所需参数的计算画出比较精确的根轨迹通过画实轴上的根轨迹图可知,有3条闭环根轨迹,分别从p 1=0,p 2=-4,p 3=-5出发奔向无穷远处的零点。
在这一过程中,从p 1=0,p 2=-4两个极点出发的根轨迹在实轴上相遇后进入复平面,因此,有必要进行分离点的坐标计算,渐进线在实轴上的坐标点和渐进线的角度计算,以及与虚轴交点的计算。
根据公式有:渐进线303054011-=----=--=∑∑==mn zp n i mj jiσ()() ,,331212ππππϕ±±=+=-+=k mn k a从p 1=0,p 2=-4两个极点出发的根轨迹在实轴上相遇后将沿着±60º进入复平面,分离点:设:()1=s N ;()()()s s s s s s s D 2095423++=++=;()0'=s N ;()201832'++=s s s D则有:()()()()()0201832''=++-=⋅-⋅s s s D s N s D s N[s ]0201832=++s s解得方程的根为s 1= -4.5275(不合题意舍去);s 2= -1.4725 得分离点坐标:d = -1.4725。
与虚轴的交点:在交点处,s=j ω,同时也是闭环系统的特征根,必然符合闭环特征方程,于是有:()020********=++--=+++*=*K j j K s s sj s ωωωω整理得: 0203=-ωω;092=-*ωK 解得01=ω;203,2±=ω;18092==*ωK 最后,根据以上数据精确地画出根轨迹。
4-1将下述特征方程化为适合于用根轨迹法进行分析的形式,写出等价的系统开环传递函数。
(1)210s cs c +++=,以c 为可变参数。
(2)3(1)(1)0s A Ts +++=,分别以A 和T 为可变参数。
(3)1()01I D P k k s k G s ss τ⎡⎤+++=⎢⎥+⎣⎦,分别以P k 、I K 、T 和τ为可变参数。
4-2设单位反馈控制系统的开环传递函数为(31)()(21)K s G s s s +=+试用解析法绘出开环增益K 从0→+∞变化时的闭环根轨迹图。
4-2已知开环零极点分布如下图所示,试概略绘出相应的闭环根轨迹图。
4-3设单位反馈控制系统的开环传递函数如下,试概略绘出相应的闭环根轨迹图(要求确定分离点坐标)。
(1)()(0.21)(0.51)KG s s s s =++(2)(1)()(21)K s G s s s +=+(3)(5)()(2)(3)K s G s s s s +=++4-4已知单位反馈控制系统的开环传递函数如下,试概略绘出相应的闭环根轨迹图(要求算出起始角)。
(1)(2)()(12)(12)K s G s s s j s j +=+++-(2)(20)()(1010)(1010)K s G s s s j s j +=+++-4-5设单位反馈控制系统开环传递函数如为*2()()(10)(20)K s z G s s s s +=++试确定闭环产生纯虚根1j ±的z 值和*K 值。
4-6已知系统的开环传递函数为*22(2)()()(49)K s G s H s s s +=++试概略绘出闭环根轨迹图。
4-7设反馈控制系统中*2()(2)(5)KG s s s s =++(1)设()1H s =,概略绘出系统根轨迹图,判断闭环系统的稳定性(2)设()12H s s =+,试判断()H s 改变后的系统稳定性,研究由于()H s 改变所产生的影响。
第4章 根轨迹法4-1 根轨迹法适用于哪类系统的分析?答:根轨迹法适用于分析高阶系统。
4-2 为什么可以利用系统开环零点和开环极点绘制闭环系统的根轨迹?答:绘制根轨迹的依据是幅角条件,而系统的幅角关系为式中:;为开环有限零点-z i 到s 的矢量幅角;为开环极点-p j 到s 的矢量幅角。
由此可知,可以利用系统开环零点和开环极点来绘制闭环系统的根轨迹。
4-3 绘制根轨迹的依据是什么?答:绘制根轨迹的依据是幅角条件,即幅角的和总等于。
4-4 为什么说幅角条件是绘制根轨迹的充分必要条件?答:由根轨迹的定义可知,根轨迹由特征方程式的幅值条件和幅角条件决定,但因为K g 在0→∞范围内连续变化,总有一个K g 能满足幅值条件,所以,绘制根轨迹的依据是幅角条件。
4-5 系统开环零、极点对根轨迹形状有什么影响?答:(1)增加开环零点将使系统的根轨迹向左弯曲,并在趋向于附加零点的方向发生变形。
(2)增加开环极点将使系统的根轨迹向右弯曲,使对应同一个K g值的复数极点的实数部分和虚数部分数值减小,从而系统的调节时间加长,振荡频率减小。
4-6 求下列各开环传递函数所对应的负反馈系统的根轨迹。
解:(1)①起点:两个开环极点为-p1=-1,-p2=-2;终点:系统有一个开环有限零点为-z=-3。
②实轴上的根轨迹区间为(-∞,-3],[-2,-1]。
③根轨迹的分离点、会合点计算。
即因为根轨迹在(-∞,-3]和[-2,-1]上,所以,分离点为-1.58,会合点为-4.42。
根轨迹如图4-1所示。
图4-1 题4-6(1)根轨迹图(2)①起点:三个开环极点-p1=0,-p2=-3,-p3=-2;终点:系统有一个开环有限零点-z=-5。
②实轴上根轨迹区间为[-5,-3],[-2,0]。
③渐近线倾角及交点计算。
由公式求得根轨迹的渐近线倾角和渐近线与实轴的交点为④求分离点N'(s)D(s)-D'(s)N(s)=0。
【练习】系统的闭环传递函数为)13()3(3)(23++++++=ΦK s K s s Ks s ,其中,K >0试绘制系统根轨迹,并求出s=-2时的闭环极点和零点。
解: ,得根轨迹方程:由0)13()3(323=+++++K s K s s0)1()3(13=+++s s K0)2)(2(2=+++s s s 2721,23,21js s ±-=-=⇒【练习1】一单位负反馈系统,其开环传递函数为:]4)1[()1(4)(++-=s K s s K s G(1) 试绘制K 从0→+∞时的系统根轨迹; (2) 求系统阶跃响应中含有分量)cos(βωα+-t et时的K 值范围,其中0,0>>ωα;(3) 求系统有一个闭环极点为-2时的闭环传递函数。
解:(1)根轨迹方程为:)4()2(12=+-+s s s K等效开环传递函数为:)4()2()(2+-=s s s K s G实轴上的根轨迹:[-4,0] 分离点:122411-=-=++d d d d,得:由与虚轴交点:劳斯表如下KsK s K K s 404441012-+显然,K=1时,系统处于临界稳定,由辅助方程可解出交点处21,±==ωK由模值条件得分离点处根轨迹增益:313*33*1==d K 系统根轨迹如下图所示:(2)求K值范围尼状态,分量时,系统处于欠阻当系统含有)cos(βωα+-t et系统有一对具有负实部的共轭极点,K值的范围为:131<<K(3)求闭环极点41442221=⨯⨯=-=K K s 值为:其对应的时,由模值条件,当系统具有闭环极点)445()1(]4)1[()1(4)(+-=++-=∴s s s s K s s K s G)2)(4.0()1(8.0)(1)()(++-=+=Φs s s s G s G s 闭环传递函数为:【练习2】负反馈系统的开环传递函数为22*)1)(1()2()(+-+=s s s K s G(1)绘制K 从0→+∞时的系统闭环根轨迹;(2)用根轨迹模值方程确定系统稳定 *K 的取值范围; (3)试证明复平面上的根轨迹不是圆。
4-1将下述特征方程化为适合于用根轨迹法进行分析的形式,写出等价的系统开环传递函数。
(1)210s cs c +++=,以c 为可变参数。
(2)3(1)(1)0s A Ts +++=,分别以A 和T 为可变参数。
(3)1()01I D P k k s k G s ss τ⎡⎤+++=⎢⎥+⎣⎦,分别以P k 、I K 、T 和τ为可变参数。
4-2设单位反馈控制系统的开环传递函数为(31)()(21)K s G s s s +=+试用解析法绘出开环增益K 从0→+∞变化时的闭环根轨迹图。
4-2已知开环零极点分布如下图所示,试概略绘出相应的闭环根轨迹图。
4-3设单位反馈控制系统的开环传递函数如下,试概略绘出相应的闭环根轨迹图(要求确定分离点坐标)。
(1)()(0.21)(0.51)KG s s s s =++(2)(1)()(21)K s G s s s +=+(3)(5)()(2)(3)K s G s s s s +=++4-4已知单位反馈控制系统的开环传递函数如下,试概略绘出相应的闭环根轨迹图(要求算出起始角)。
(1)(2)()(12)(12)K s G s s s j s j +=+++-(2)(20)()(1010)(1010)K s G s s s j s j +=+++-4-5设单位反馈控制系统开环传递函数如为*2()()(10)(20)K s z G s s s s +=++试确定闭环产生纯虚根1j ±的z 值和*K 值。
4-6已知系统的开环传递函数为*22(2)()()(49)K s G s H s s s +=++试概略绘出闭环根轨迹图。
4-7设反馈控制系统中*2()(2)(5)KG s s s s =++(1)设()1H s =,概略绘出系统根轨迹图,判断闭环系统的稳定性(2)设()12H s s =+,试判断()H s 改变后的系统稳定性,研究由于()H s 改变所产生的影响。
4-8试绘出下列多项式的根轨迹 (1)322320s s s Ks K ++++= (2)323(2)100s s K s K ++++= 4-9两控制系统如下图所示,试问:(1)两系统的根轨迹是否相同?如不同,指出不同之处。
(2)两系统的闭环传递函数是否相同?如不同,指出不同之处。
(3)两系统的阶跃响应是否相同?如不同,指出不同之处。
4-10设系统的开环传递函数为12(1)(1)()K s T s G s s++=(1)绘出10T =,K 从0→+∞变化时系统的根轨迹图。
(2)在(1)的根轨迹图上,求出满足闭环极点阻尼比0.707ξ=的K 的值。
(3)固定K 等于(2)中得到的数值,绘制1T 从0→+∞变化时的根轨迹图。
(4)从(3)的根轨迹中,求出临界阻尼的闭环极点及相应的1T 的值。
4-11系统如下图所示,试 (1)绘制0β=的根轨迹图。
(2)绘制15K =,22K =时,β从0→+∞变化时的根轨迹图。
(3)应用根轨迹的幅值条件,求(2)中闭环极点为临界阻尼时的β的值。
4-12单位正反馈系统如下图所示(1)绘制全根轨迹。
(2)求使闭环系统阻尼比0.707ξ=时的K 的取值。
4-13对于第二章例2.15的磁悬浮试验模型的例子,静态工作点附近被控对象的传递函数描述为244()1785G s s -=-(1)试确定反馈的极性和比例微分控制器(1)p k s τ+的参数,使闭环系统稳定,闭环极点的阻尼比0.707ξ=,无阻尼自然振荡频率10n ω=。
(2)试绘制0τ>、0P k >两参数变化时系统的根轨迹族。
4-12单位反馈系统如下图所示。
(1)设2a =,绘制K 从0→+∞变化时系统的根轨迹,确定系统无超调时的K 的取值,确定系统临界稳定时的K 的取值。
(2)设2K =,绘制a 从0→+∞变化时系统的根轨迹,确定系统闭环根的阻尼比0.707ξ=时的a 的取值。
4-13设单位反馈系统的开环传递函数是10(1)()(0.51)(1)s G s s Ts -=++(1)绘出T 从0→+∞变化时系统的根轨迹图。
(2)求出系统处于临界稳定和临界阻尼时的T 的值。
(3)求20T =时系统的单位阶跃响应。
4-14设系统开环传递函数如下,试画出b 从零变到无穷时的根轨迹图。
(1)20()(4)()G s s s b =++(2)30()()(10)s b G s s s +=+4-15设单位反馈控制系统的开环传递函数为*(1)()(2)K s G s s s -=+试绘出其根轨迹图,并求出使系统产生重实根和纯虚根的*K 值。
4-16设控制系统开环传递函数为*2(1)()(2)(4)K s G s s s s +=++试分别画出正反馈系统和负反馈系统的根轨迹图,并指出它们的稳定情况有何不同? 4-17系统如下图所示(1)试绘制a T 从0→+∞变化时闭环系统的根轨迹。
(2)为使系统的阶跃响应无振荡,a T 应在什么范围内取值? 4-18设单位反馈系统的开环传递函数为)2)(1()(++=s s s K s G(1)绘制K 从0→+∞变化时闭环系统的根轨迹。
(2)确定使闭环系统稳定的K 的取值范围。
(3)为使闭环系统的调节时间10s t =秒(按误差带5%∆=计算),求K 的取值。
解:(1)根轨迹方程为0)2)(1(1=+++s s s K ;1、 有三条分支,起始于开环极点01=p ,12-=p ,23-=p ,终止于无穷远处;2、 实轴上的根轨迹区段为:]2,(--∞,[0,1]-;3、 渐近线与实轴交点为103)2()1(0-=--+-+=aσ,夹角为(21)60,180,630a k πϕ+==--; 4、 由0)]()([=s H s G dsd 得分离点满足02632=++s s ,解为42.01-=s ,58.12-=s (舍去,因为它不在根轨迹上),1s 对应得*k 值为)2)(1(111++=*s s s k =0.385。
5、与虚轴的交点,将1()()0G j H j ωω+=实虚部分开有322030k ωωω⎧-+=⎪⎨-+=⎪⎩ 解出1230,01.41,61.41,6k k k ωωω***⎧==⎪==⎨⎪=-=⎩根轨迹图如下图所示。
(2)60<<K 时,闭环系统稳定。
(3)按 3.510s nt ζω==得主导极点的实部0.35n ζω-=-,系统的闭环特征方程为32123(1)(2)32()()()s s s K s s s K s s s s s s +++=+++=---式中1,2,3s 为系统的3个闭环特征根,设1,2n d s j ζωω=-±为闭环共轭主导极点,显然有123323n s s s s ζω---=-=这样得到3 2.3s =-。
根据模值条件,3 2.3s =-时的根轨迹增益33312 2.3 1.30.30.897k K s s s *==++=⨯⨯=4-19已知某单位负反馈系统的开环传递函数为2(5)()(2)K s G s s s +=+(1)绘制根轨迹简图;(2)求闭环系统出现重根时的K 值;(3)求使得闭环系统稳定且工作在欠阻尼状态的K 的取值范围。
解:(1)开环零点15z =-,开环极点10,p =232p p ==-,1m =,3n =。
系统有三条根轨迹分支,起始于极点1p 、2p 和3p ,一条终止于零点1z ,两条趋于无穷远零点。
实轴上根轨迹区域为(50-,)。
渐进线与实轴的交点为1231()0(2)(2)(5)0.531a p p p z n mσ++-+-+---===--夹角为(21)2,32a k n mπϕππ+==-在12p p 与间的实轴上存在一个分离点,分离点的坐标满足11231111d z d p d p d p =++----即2215100d d ++=得1,20.74, 6.76d =--(舍去)。
系统的特征方程为2(2)(5)0s s K s +++=,根轨迹与虚轴的交点满足2(2)(5)0j j K j ωωω+++=即2354(4)0K K j ωωωω-+-+=分别令实部和虚部等于零有2540K ω-=和340K ωωω-+=,解得16, =4.47K ω=。
根轨迹如下图。
(2)根轨迹的分离点处出现重根,根据模值条件有20.81500.81520.2740.8155K ---+==-+(3)当K 取值为(0.274, 16)时,闭环系统稳定且工作在欠阻尼状态。
4-20设单位反馈系统的开环传递函数为()(1)(1)KG s s s Ts τ=++式中2K =,1T =,0τ>为变化参数。
(1)试绘制参数τ变化时,闭环系统的根轨迹图,给出系统为稳定时τ的取值范围。
(2)求使3-成为一个闭环极点时τ的取值。
(3)τ取(2)中给出的值时,求系统其余的两个闭环极点,并据此计算系统的调节时间(按5%误差计算)和超调量。
解:(1)系统的特征方程为322(1)(1)(1)(1)220s s Ts K s s s s s s s ττττ+++=+++=++++=等效的开环传递函数为222(1)(1)()()2(0.5 1.32)(0.5 1.32)s s s s G s H s s s s j s j ττ++''==+++++-绘制根轨迹如下图。
图中根轨迹与虚轴的交点可从系统为临界稳定的条件12ττ+=得到1τ=。
1τ=时系统的特征方程为32222(2)(1)0s s s s s +++=++=得与虚轴交点的坐标为j j ω=±。
从根轨迹得到系统稳定的τ的取值范围为01τ<<。
(2)3-成为一个闭环极点时,从根轨迹的模值条件有223311(3)(3)2τ--+=-+-+得40.4449τ==。
(3)0.444τ=时,系统的另外两个闭环根从特征方程322322211299916(3)()044244s s s s s s s s s s s τττ++++=++++=+++=求出为0.125 1.218j -±,显然它是系统的主导极点。
系统的调节时间和超调量分别为 0.1251.2183.5280.125%100%100%100%100%72.5%nds t seeπξωπωσ--⨯===⨯=⨯=⨯=⨯=4-21系统如下图所示。
试绘制系统的根轨迹,并写求出当闭环共轭复数极点的阻尼比ξ=时,系统的单位阶跃响应的表达式。
0.707。