1.2 传输线波动方程及其解
- 格式:ppt
- 大小:1.04 MB
- 文档页数:31
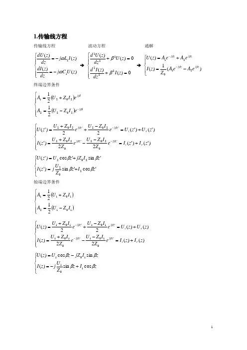
1.传输线方程传输线方程 波动方程 通解⎪⎪⎩⎪⎪⎨⎧-=-=)()()()(11z U C j dz z dI z I L j dz z dU ωω → ⎪⎪⎩⎪⎪⎨⎧=+=+0)()(0)()(222222z I dzz I d z U dz z U d ββ → ⎪⎩⎪⎨⎧-=+=--)(1)()(21021zj z j z j z j e A e A Z z I e A e A z U ββββ终端边界条件()()⎪⎪⎩⎪⎪⎨⎧-=+=-lj lj e I Z U A e I Z U A ββ202220212121 ⎪⎪⎩⎪⎪⎨⎧+=--+=+=-++=--)'()'(22)'()'()'(22)'('0202'0202'202'202z I z I e Z I Z U e Z I Z U z I z U z U e I Z U e I Z U z U r i z j z j r i z j z j ββββ ⎪⎩⎪⎨⎧+=+='cos 'sin )'('sin 'cos )'(202202z I z Z U j z I z I jZ z U z U ββββ 始端边界条件 ()()⎪⎪⎩⎪⎪⎨⎧-=+=101210112121I Z U A I Z U A ⎪⎪⎩⎪⎪⎨⎧+=--+=+=-++=--)()(22)()()(22)('0101'0101'101'101z I z I e Z I Z U e Z I Z U z I z U z U e I Z U e I Z U z U r i z j z j r i z j z j ββββ ⎪⎩⎪⎨⎧+-=-=z I z Z U j z I z I jZ z U z U ββββcos sin )(sin cos )(1011012.特性参数相位常数 相速度 相波长11C L ωβ= 111C L dtdz v p ===βω rp p T v ελβπλ02===特性阻抗 驻波系数 行波系数 110)()()()(C L z I z U z I z U Z r r i i =-==Γ-Γ+===11m i nm a x m i nm a x II UU ρ ρ1=K输入阻抗'cos 'sin 'sin 'cos )'()'((202202z I z Z U j z I jZ z U z I z U Z in ββββ++==输入阻抗与负载阻抗的关系'')'(000z tg jZ Z z tg jZ Z Z z Z L L in ββ++= 周期性:)'()2/'(z Z m z Z in g in =+λ反射系数(反射系数与该参考面的输入阻抗有一一对应的关系)电压、电流反射系数:)'()'()'(z U z U z i r V =Γ ; )'()'()'(z I z I z i r I =Γ → )'()'(z z I V Γ-=Γ)]'(1)['()'()]'(1)['()'(z z I z I z z U z U Γ-=Γ+=++终端、任意点反射系数:'2)'(z j L e z β-Γ=Γ; 20ϕj L L L L e Z Z Z Z Γ=+-=Γ → )'2(2)'(z j L ez βϕ-Γ=Γ周期性: )'()2'(z mz g Γ=+Γλ反射系数与驻波系数关系:ρρ+-=Γ11反射系数与阻抗关系⎪⎪⎩⎪⎪⎨⎧+-=ΓΓ-Γ+=000)'()'()'()'(1)'(1)'(Z z Z Z z Z z z z Z z Z → z ’=0时,负载情况 ⎪⎪⎩⎪⎪⎨⎧+-=ΓΓ-Γ+=00011Z Z Z Z Z Z L LLL L L传输功率())()()(12)()(22z P z P z Z z U z P rii -=Γ-=电压波腹点 K Z U IUz P 02maxminmax2121)(==传输线功率容量 K Z U P br br 0221=3.传输线工作状态(见附件PPT )4.阻抗圆图θπφλθ∆=∆=∆4l5.阻抗匹配4/λ匹配 L Z Z Z 001=。
传输线理论§1.1 引言微波传输线是传输微波能量和信息的电磁装置,也可用来构成各种微波元件。
本节主要讲述两点:传输线的基本概念以及分布参数的概念一、传输线的基本概念微波传输线是传输微波能量和信息的电磁装置,也可用来构成各种微波元件。
矩形波导圆形波导同轴线波导按其传播的被导电磁波的特征,大致可分为三种类型:(1)TEM波传输线(2)波导传输线(3)表面波传输线传输线的分析方法有“场”和“路”两种方法。
二、分布参数的概念分布参数是相对于集总参数而言的。
微波传输线与集总参数电路不同,当高频信号通过传输线时将产生如下一些分布参数效应分布电阻效应分布电导效应分布电感效应分布电容效应所以在高频情况下,传输线是具有分布参数的电路。
§1.2 传输线方程及其解传输线方程是研究传输线的电压、电流及其相互关系的方程。
本节主要讲述三个问题:传输线方程、传输线方程的解以及传输线的特性参量一、传输线方程传输线方程是研究传输线的电压、电流及其相互关系的方程。
对于均匀传输线,由于参数是沿线均匀分布的,所以只需考虑线元dz的情况,并把它看成集总参数电路。
dV(z)/dz=ZI(z) (1-3a)dI(z)/dz=YV(z) (1-3b)二、传输线原理传输线之电路表示方式一般以两条等长的导线表示,如图1.1(a)。
其中一小段长度为Δz的传输线,可以用1.1(b)的集总组件电路模型描述,其中图1.1 传输线之等效电路图R=两导体中单位长度的串联电阻,单位Ω/m。
L=两导体中单位长度的串联电感,单位H/m。
G=两导体中单位长度的并联电导,单位S/m。
R=两导体中单位长度的并联电容,单位F/m。
图1.1(b)中,由柯希荷夫电压定律可得为一组行进波,其中项表示往方向传播,项表示往方向传播。
将(1.6a)代入(1.3a),可得传输在线的电流波三、参数说明1.传播常数2.特性阻抗定义:传输线上任一点的行波电压与行波电流之比,即入射波电压与入射波电流之比,或反射波电压与反射波电流之比的负值。