第4章 随机历程通过线性系统分析
- 格式:pdf
- 大小:243.62 KB
- 文档页数:8
实验名称线性系统对随机过程的响应一、实验目的通过本仿真实验了解正态白色噪声随机过程通过线性系统后相关函数以及功率谱的变化;培养计算机编程能力。
二、实验平台MATLAB R2014a三、实验要求(1)运用正态分布随机数产生函数产生均值为m=0,根方差σ=1的白色正态分布序列{u(n)|n=1,2,…,2000},画出噪声u(n)的波形图。
(2)设离散时间线性系统的差分方程为x(n)=u(n)-0.36u(n-1)+0.85u(n-2)(n=3,4,…,2000).画出x(n)的波形图。
(3)随机过程x(n)的理论上的功率谱函数为在[0,π]范围内对w进行采样,采样间隔0.001π,计算S(i×0.001π) (i=1,2,…,1000);画出波形图。
(4)根据步骤二产生的数据序列x(n)计算相关函数的估计值与理论值1.1296、-0.666、0.85、0、0、0的差异。
(5)根据相关函数的估计值对随机过程的功率谱密度函数进行估计在[0,π]范围内对w进行采样,采样间隔0.001π,计算S(i×0.001π) (i=1,2,…,1000);画出波形图,比较其与理论上的功率谱密度函数S(w)的差异。
(6)依照实验1的方法统计数据x(n)在不同区间出现的概率,计算其理论概率,观察二者是否基本一致。
四、实验代码及结果A、运用正态分布随机数产生函数产生均值为m=0,根方差σ=1的白色正态分布序列{u(n)|n=1,2,…,2000},画出噪声u(n)的波形图。
代码实现:波形图:分析:运用正态分布随机数产生函数产生均值为0,根方差σ=1的白色噪声样本序列。
B、设离散时间线性系统的差分方程为x(n)=u(n)-0.36u(n-1)+0.85u(n-2)(n=3,4,…,2000).画出x(n)的波形图。
代码实现:波形图:分析:正态随机序列通过离散时间线性系统生成的仍是正态随机序列。
C、随机过程x(n)的理论上的功率谱函数为在[0,π]范围内对w进行采样,采样间隔0.001π,计算S(i×0.001π) (i=1,2,…,1000);画出波形图。
线性系统分析_(吴大正_第四版)习题答案(总184页)-CAL-FENGHAI.-(YICAI)-Company One1-CAL-本页仅作为文档封面,使用请直接删除专业课习题解析课程西安电子科技大学844信号与系统2专业课习题解析课程第1讲第一章信号与系统(一)3专业课习题解析课程第2讲第一章信号与系统(二)451-1画出下列各信号的波形【式中)()(t t t r ε=】为斜升函数。
(2)∞<<-∞=-t et f t,)( (3))()sin()(t t t f επ=(4))(sin )(t t f ε= (5))(sin )(t r t f = (7))(2)(k t f kε= (10))(])1(1[)(k k f kε-+=解:各信号波形为 (2)∞<<-∞=-t et f t,)((3))()sin()(t t t f επ=6(4))(sin )(t t f ε=(5))(sin )(t r t f =7(7))(2)(k t f k ε=(10))(])1(1[)(k k f k ε-+=81-2 画出下列各信号的波形[式中)()(t t t r ε=为斜升函数]。
(1))2()1(3)1(2)(-+--+=t t t t f εεε (2))2()1(2)()(-+--=t r t r t r t f (5))2()2()(t t r t f -=ε (8))]5()([)(--=k k k k f εε (11))]7()()[6sin()(--=k k k k f εεπ (12))]()3([2)(k k k f k---=εε解:各信号波形为(1))2()1(3)1(2)(-+--+=t t t t f εεε9(2))2()1(2)()(-+--=t r t r t r t f(5))2()2()(t t r t f -=ε10(8))]5()([)(--=k k k k f εε(11))]7()()[6sin()(--=k k k k f εεπ11(12))]()3([2)(k k k f k ---=εε1-3 写出图1-3所示各波形的表达式。
目 录第1章 信号与系统1.1 复习笔记1.2 课后习题详解1.3 名校考研真题详解第2章 连续系统的时域分析2.1 复习笔记2.2 课后习题详解2.3 名校考研真题详解第3章 离散系统的时域分析3.1 复习笔记3.2 课后习题详解3.3 名校考研真题详解第4章 傅里叶变换和系统的频域分析4.1 复习笔记4.2 课后习题详解4.3 名校考研真题详解第5章 连续系统的s域分析5.1 复习笔记5.2 课后习题详解5.3 名校考研真题详解第6章 离散系统的z域分析6.1 复习笔记6.2 课后习题详解6.3 名校考研真题详解第7章 系统函数7.1 复习笔记7.2 课后习题详解7.3 名校考研真题详解第8章 系统的状态变量分析8.1 复习笔记8.2 课后习题详解8.3 名校考研真题详解第1章 信号与系统1.1 复习笔记一、信号的基本概念与分类信号是载有信息的随时间变化的物理量或物理现象,其图像为信号的波形。
根据信号的不同特性,可对信号进行不同的分类:确定信号与随机信号;周期信号与非周期信号;连续时间信号与离散时间信号;实信号与复信号;能量信号与功率信号等。
二、信号的基本运算1加法和乘法f1(t)±f2(t)或f1(t)×f2(t)两信号f1(·)和f2(·)的相加、减、乘指同一时刻两信号之值对应相加、减、乘。
2.反转和平移(1)反转f(-t)f(-t)波形为f(t)波形以t=0为轴反转。
图1-1(2)平移f(t+t0)t0>0,f(t+t0)为f(t)波形在t轴上左移t0;t0<0,f(t+t0)为f(t)波形在t轴上右移t0。
图1-2平移的应用:在雷达系统中,雷达接收到的目标回波信号比发射信号延迟了时间t0,利用该延迟时间t0可以计算出目标与雷达之间的距离。
这里雷达接收到的目标回波信号就是延时信号。
3.尺度变换f(at)若a>1,则f(at)波形为f(t)的波形在时间轴上压缩为原来的;若0<a<1,则f(at)波形为f(t)的波形在时间轴上扩展为原来的;若a<0,则f(at)波形为f(t)的波形反转并压缩或展宽至。
随机过程第三版课后答案【篇一:随机过程习题答案】们的均值分别为mx和my,它们的自相关函数分别为rx(?)和ry(?)。
(1)求z(t)=x(t)y(t)的自相关函数;(2)求z(t)=x(t)+y(t)的自相关函数。
答案:(1)rz(?)?e?z(t??)z(t)??e?x(t??)y(t??)x(t)y(t)?利用x(t)和y(t)独立的性质:rz(?)?e?x(t??)x(t)?e?y(t??)y(t)???rx(?)ry(?)(2)rz(?)?e?z(t??)z(t)??e??x(t??)?y(t??)???x(t)?y(t)?? ?e?x(t??)x (t)?x(t??)y(t)?y(t??)x(t)?y(t??)y(t)?仍然利用x(t)和y(t)互相独立的性质:rz(?)?rx(?)?2mxmy?ry(?)2、一个rc低通滤波电路如下图所示。
假定输入是均值为0、双边功率谱密度函数为n0/2的高斯白噪声。
(1)求输出信号的自相关函数和功率谱密度函数;(2)求输出信号的一维概率密度函数。
电流:i(t)电压:y(t)答案:(1)该系统的系统函数为h(s)?y(s)1? x(s)1?rcs则频率响应为h(j?)?11?jrc?n02而输入信号x(t)的功率谱密度函数为px(j?)?该系统是一个线性移不变系统,所以输出y(t)的功率谱密度函数为:py(j?)?px(j?)h(j?)?2n0/21?rc?2对py(j?)求傅里叶反变换,就得到输出的自相关函数:1ry(?)?2?????py(j?)ej??1d??2?n0/2j?????1?rc?2ed??(2)线性系统输入为高斯随机过程,则输出也一定是高斯的。
因此,为了求输出的一维概率密度函数,仅需知道输出随机过程的均值和方差即可。
均值:已知输入均值mx=0,则输出均值my=mxh(0)=02方差:ry(0)?var(y)?my因为均值为0,所以方差var(y)?ry(0)?一维pdf:略12?n0/2???1?rc2?2d??3、理想带通滤波器的中心频率为fc、带宽为b,其在通带的频率增益为1。
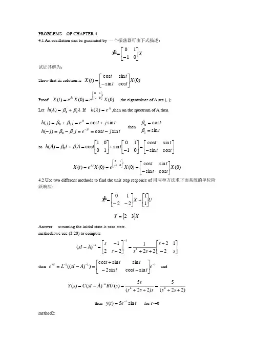
PROBLEMS OF CHAPTER 44.1 An oscillation can be generated by 一个振荡器可由下式描述:X X ⎥⎦⎤⎢⎣⎡-=0110 试证其解为:Show that its solution is )0(cos sin sin cos )(X t t t t t X ⎥⎦⎤⎢⎣⎡-=Proof: )0()0()(0110X eX e t X t At ⎥⎦⎤⎢⎣⎡-== ,the eigenvalues of A are j,-j;Let λββλ10)(+=h .If te h λλ=)(,then on the spectrum of A,thentj t e j j h t j t e j j h jt jt sin cos )(sin cos )(1010-==-=-+==+=-ββββ thenttsin cos 10==ββso ⎥⎦⎤⎢⎣⎡-=⎥⎦⎤⎢⎣⎡-+⎥⎦⎤⎢⎣⎡=+=t t t t t t A I A h cos sin sin cos 0110sin 1001cos )(10ββ )0(cos sin sin cos )0()0()(0110X t t t t X eX e t X t At ⎥⎦⎤⎢⎣⎡-===⎥⎦⎤⎢⎣⎡- 4.2 Use two different methods to find the unit-step response of 用两种方法求下面系统的单位阶跃响应:U X X ⎥⎦⎤⎢⎣⎡+⎥⎦⎤⎢⎣⎡--=112210[]X Y 32=Answer: assuming the initial state is zero state.method1:we use (3.20) to compute⎥⎦⎤⎢⎣⎡-+++=⎥⎦⎤⎢⎣⎡+-=---s s s s s s A sI 212221221)(211then t At e t t tt tt A sI L e ---⎥⎦⎤⎢⎣⎡--+=-=sin cos sin 2sin sin cos ))((11 and )22(5)22(5)()()(221++=++=-=-s s s s s s s BU A sI C s Y then t e t y tsin 5)(-= for t>=0method2:ttt tt At tt A tt A te t e t e t e t e C Be e CA B d e C d Bu e C t y --------=⎥⎦⎤⎢⎣⎡---+⎥⎦⎤⎢⎣⎡--=-===⎰⎰sin 51sin 3cos 1sin 2cos 015.01)()()(010)(0)(τττττfor t>=04.3 Discretize the state equation in Problem 4.2 for T=1 and T=π.离散化习题4.3中的状态方程,T 分别取1和π Answer:][][][][][]1[0k DU k CX k Y k BU d e k X e k X TA AT +=⎪⎭⎫ ⎝⎛+=+⎰ααFor T=1,use matlab: [ab,bd]=c2d(a,b,1) ab =0.5083 0.3096 -0.6191 -0.1108 bd =1.0471 -0.1821[]][32][][1821.00471.1][1108.06191.03096.05083.0]1[k X k Y k U k X k X =⎥⎦⎤⎢⎣⎡-+⎥⎦⎤⎢⎣⎡--=+for T=π,use matlab:[ab,bd]=c2d(a,b,3.1415926) ab =-0.0432 0.0000 -0.0000 -0.0432 bd =1.5648 -1.0432[]][32][][0432.15648.1][0432.0000432.0]1[k X k Y k U k X k X =⎥⎦⎤⎢⎣⎡-+⎥⎦⎤⎢⎣⎡--=+ 4.4 Find the companion-form and modal-form equivalent equations of 求系统的等价友形和模式规范形。
《应用随机过程》课程教学大纲一、课程基本信息课程代码:16055502课程名称:应用随机过程英文名称:Applied Stochastic Processes课程类别:专业课学时:32学分: 2适用对象:财经类专业本科生考核方式:考试先修课程:微积分、线性代数、概率论二、课程简介中文简介紧抓课程改革核心环节,不断提升教学质量,将“课程思政”作为融合德育与智育的融合主渠道,是逐步实现“立德树人”的综合教育理念的前进方向。
《应用随机过程》是面向经济统计专业三年级学生开设的一门必修课,随机过程通常被视为概率论的动态部分,即研究的是随机现象的动态特征,着重对随时间和空间变化的随机现象提出各种不同的模型并研究其内在的性质与相互联系。
具有较强的理论性。
该学科在社会科学、自然科学、经济和管理等各个领域中都有广泛的应用,培养学生的科学精神,探索自然和人类的奥秘。
英文简介The course Applied Stochastic Processes is one of the compulsory courses for the junior undergraduates majoring in Economic Statistics,which is usually viewed as the dynamic part of probability theories. It focuses on the dynamic feature of stochastic phenomena and emphasizes modeling the stochastic phenomena varying with time and space .Moreover,it explores the inner property and relationship among various models and it is quite theoretical and widely used in social science,natural science,Economic and management science etc.三、课程性质与教学目的本课程是经济统计专业一门应用性很强的专业课。
实验三 随机过程通过线性系统的分析实验目的1. 理解和分析白噪声通过线性系统后输出的特性。
2. 学习和掌握随机过程通过线性系统后的特性,验证随机过程的正态化问题。
实验原理1.白噪声通过线性系统设连续线性系统的传递函数为)(ωH 或)(s H ,输入白噪声的功率谱密度为2)(0N S X =ω,那么系统输出的功率谱密度为2)()(02N H S Y ⋅=ωω (3.1) 输出自相关函数为⎰∞∞-=ωωπτωτd e H N R j Y 20)(4)( (3.2)输出相关系数为)0()()(Y Y Y R R ττγ=(3.3) 输出相关时间为⎰∞=00)(ττγτd Y (3.4)输出平均功率为[]⎰∞=202)(2)(ωωπd H N t Y E (3.5)上述式子表明,若输入端是具有均匀谱的白噪声,则输出端随机信号的功率谱主要由系统的幅频特性)(ωH 决定,不再是常数。
2.等效噪声带宽在实际中,常常用一个理想系统等效代替实际系统的)(ωH ,因此引入了等效噪声带宽的概念,他被定义为理想系统的带宽。
等效的原则是,理想系统与实际系统在同一白噪声的激励下,两个系统的输出平均功率相等,理想系统的增益等于实际系统的最大增益。
实际系统的等效噪声带宽为⎰∞=∆022max)()(1ωωωωd H H e (3.6)或⎰∞∞--=∆j j e ds s H s H H j )()()(212maxωω (3.7)3.线性系统输出端随机过程的概率分布 (1)正态随机过程通过线性系统若线性系统输入为正态过程,则该系统输出仍为正态过程。
(2)随机过程的正态化随机过程的正态化指的是,非正态随机过程通过线性系统后变换为正态过程。
任意分布的白噪声通过线性系统后输出是服从正态分布的;宽带噪声通过窄带系统,输出近似服从正态分布。
实验内容设白噪声通过图3.1所示的RC 电路,分析输出的统计特性。
图3.1 RC 电路(1)试推导系统输出的功率谱密度、相关函数、相关时间和系统的等效噪声带宽。
由于百度文库格式转换的原因,不能整理在一个word 文档里面,下面是三四章的答案。
给大家造成的不便,敬请谅解随机信号分析 第三章习题答案、随机过程 X(t)=A+cos(t+B),其中A 是均值为2,方差为1的高斯变量,B 是(0,2π)上均匀分布的随机变量,且A 和B 独立。
求(1)证明X(t)是平稳过程。
(2)X(t)是各态历经过程吗?给出理由。
(3)画出该随机过程的一个样本函数。
(1)(2)3-1 已知平稳过程()X t 的功率谱密度为232()(16)X G ωω=+,求:①该过程的平均功率?②ω取值在(4,4)-范围内的平均功率?解[][]()[]2()cos 211,cos 5cos 22X E X t E A E t B A B R t t EA τττ=++=⎡⎤⎣⎦+=+=+与相互独立()()()21521()lim2TT T E X t X t X t X t dt AT-→∞⎡⎤=<∞⇒⎣⎦==⎰是平稳过程()()[]()()4112211222222242'4(1)24()()444(0)41132(1)224414414(2)121tan 13224X X XE X t G d RFG F e R G d d d arc x x ττωωωωωππωωπωωπωπωω∞----∞∞-∞-∞∞--∞∞⎡⎤⨯⎡⎤==⋅=⋅⎢⎥+⎣⎦====+==⎛⎫+ ⎪==⎣⎦=++⎝⎭=⎰⎰⎰⎰⎰P P P P 方法一()方:时域法取值范围为法二-4,4内(频域的平均率法功)2d ω=3-7如图3.10所示,系统的输入()X t 为平稳过程,系统的输出为()()()Y t X t X t T =--。
证明:输出()Y t 的功率谱密度为()2()(1cos )Y X G G T ωωω=-[][]:()[()()]{()()}{()(}2()()()()()()()()2(()[)()(()()]()())Y X X X Y X X Y Y Y X X X Y Y j T j T R E Y t Y t E X t X t T X t X t T R R R R E Y t Y t G F R T T e e G R G R G G G G ωωτττττωτωττωττττωωωω-⇒⇒=+=--+-+-=--=+=-⇔⇔∴=-+-=已知平稳过程的表达式利用定义求利用傅解系统输入输出立叶平变稳换的延时特性2()2()22()(1cos )j T j T X X X e e G G G T ωωωωωω-⎡⎤+-⎢⎥⎣⎦=-3-9 已知平稳过程()X t 和()Y t 相互独立,它们的均值至少有一个为零,功率谱密度分别为 216()16X G ωω=+22()16Y G ωωω=+令新的随机过程()()()()()()Z t X t Y t V t X t Y t =+⎧⎨=-⎩ ①证明()X t 和()Y t 联合平稳; ②求()Z t 的功率谱密度()Z G ω ③求()X t 和()Y t 的互谱密度()XY G ω ④求()X t 和()Z t 的互相关函数()XZ R τ ⑤求()V t 和()Z t 的互相关函数()VZ R τ 解:()()4124(1)()()()2[()]()0[()]0()2[()]0()()(,)[()][()]0()()(2)()()()()[()()][()()][()X X X Y XY Z X t Y t R F G e E X t R E X t R eE Y t X t Y t R t t E X t E Y t X t Y t Z t X t Y t R E Z t Z t E X t Y t X t τττωτδττττττ---==∞=⇒=⎡⎤⎣⎦=-⇒=∴+=⋅+=⇒=+=+=++、都平稳=与与联合独平立稳[][]{}2214||()]()()()()()0()()()16()()()116(3)()0()0(4)()[()()]()()()()()()[()]2(5)(X YX XY Y XY Z X Y Z X Y XY XY XZ X XY X X VZ Y t R R R R R R R R G G G R G R E X t Z t E X t X t Y t R R R F G e R ττττττττττωωωωωτωτττττττωτ--++=+++=∴=++∴=+==+=→==+=+++=+==={}4||)[()()][()()][()()]()()()4X Y E V t Z t E X t Y t X t Y t R R e ττττττδτ-=+=-+++=-=+-3-11 已知可微平稳过程()X t 的自相关函数为2()2exp[]X R ττ=-,其导数为()()Y t X t '=。