2006年浙江省普通高校“专升本”联考《高等数学(一)》试题及答案
- 格式:pptx
- 大小:468.95 KB
- 文档页数:2
【最新整理,下载后即可编傅】2005年浙江省普通商校“专升本”联考《高等数学(一)》试卷 一、填空题1. 函数的连续区间是c■V -(A-l)-------------------------2.lim --------- =ogY x(x +4)3.(1) x 轴在空间中的直线方程是 ___________(2)过原点且与x 轴垂直的平面方程是 ______________点X=1处连续。
5.设参数方程[s :cos2:y = r sin 2&(1)当厂是常数,&是参数时,则2=ax (2)当&是常数,厂是参数时,则字二CIX ------------二. 选择题1 •设函数y = f(x)在[°,b ]上连续可导,ce(a.b),且/ (c) = 0,则当( )时,fW 在x = C •处取得极大值。
(A) 当“ 5 X V c时,当 C V A : S /?时, f'(x)>0, (B) 当0 W X V C 时, / «>0,当c < xSb时〉 /«<o, (C) 当 <7 5 X V C 时〉 / W<o ,当 c < x S Z?时, /(A )>0,(D) 当Sx vc 时, / W<o ,当 c v x S Z?时〉2.设函数y = /(x)在点"心处可导,则4.设函数f(x)= < ("IFG,bx + 1,x=\,当 G = ____ ,b =X<1时,函数门X )在lim /(儿+3力)一/(如一2力)=( )o(A)f(x°), (B)3f'(x0), (C)4f(x°), (D)5fg・F, x> 03.设函数/(x) = < 0, x = 0,则积分£/(%>/%= ( )o-e』,x<0 _(A) — l, (3)0 (C)l, (£>)2.e5.设级数f?”和级数都发散,则级数是( ). n=l ;f=l w-l(A)发散(B)条件收敛(C)绝对收敛(D)可能发散或者可能收敛三•计算题1.求函数y = U2-x + ir的导数。
2005年浙江省普通高校“专升本”联考《高等数学(一)》试卷一、填空题1.函数xe x x x y --=)1(sin 2的连续区间是 。
2.=-+-∞→)4(1lim 2x x x x 。
3.(1)x 轴在空间中的直线方程是 。
(2)过原点且与x 轴垂直的平面方程是 。
4.设函数⎪⎪⎪⎩⎪⎪⎪⎨⎧<+=>+=--1 ,1b 1 ,1,)1(1)(2)1(12x x x a x e x x f x ,当_________,==b a 时,函数)(x f 在点1=x 处连续。
5.设参数方程⎩⎨⎧==θθ2sin 2cos 32r y r x , (1)当r 是常数,θ是参数时,则=dxdy。
(2)当θ是常数,r 是参数时,则=dxdy。
二.选择题1.设函数)(x f y =在b], [a 上连续可导,),(b a c ∈,且0)('=c f ,则当( )时,)(x f 在c x =处取得极大值。
(A )当c x a <≤时,0)('>x f ,当b x c ≤<时,0)('>x f , (B )当c x a <≤时,0)('>x f ,当b x c ≤<时,0)('<x f , (C )当c x a <≤时,0)('<x f ,当b x c ≤<时,0)('>x f , (D )当c x a <≤时,0)('<x f ,当b x c ≤<时,0)('<x f . 2.设函数)(x f y =在点0x x =处可导,则=--+→hh x f h x f h )2()3(lim000( )。
).(5)( ),( 4)( ),(x 3)( ),()(0'0'0'0'x f D x f C f B x f A3.设函数⎪⎩⎪⎨⎧<-=>=--0 ,0 0,0 x ,)(22x e x e x f x x ,则积分 ()11-=⎰f x dx ( )。
华东交通大学2006—2007学年第一学期考试卷承诺:我将严格遵守考场纪律,知道考试违纪、作弊的严重性,还知道请他人代考或代他人考者将被开除学籍和因作弊受到记过及以上处分将不授予学士学位,愿承担由此引起的一切后果。
专业 班级 学号 学生签名:试卷编号: (A )卷《高等数学(A)Ⅰ》 课程 (工科本科06级) 课程类别:必闭卷(√) 考试日期:2007.1.15 题号 一 二三四 五 总分 12 3 4 5 6 7 1 2分值 10 15 7777777998阅卷人 (全名)考生注意事项:1、本试卷共 6 页,总分 100 分,考试时间 120 分钟。
2、考试结束后,考生不得将试卷、答题纸和草稿纸带出考场。
一、填空题(每题2分,共10分)______)1(34)( 122=-+-=x x x x x x f 第一类间断点为设函数、___________ 11 2 02=+=⎰dy dt t y x则,设、_______)1 1(1 3==K xy 处的曲率,在点等边双曲线、_________141=+⎰dx x x、__________ } 3 2{}2 1 1{ 5==-=λλ则垂直,,,与,,已知向量、b a二、选择题(每题 3分,共15分)∞=--+∞→ D. 2 C. 1 B. 0 . A )B ()sin 11( 122limx x x x x 、22222221 D. )1(2 C. 12 B. 2 A.) C ( )()1ln(arctan 2t t t dxy d x y y t y t x -++==⎩⎨⎧+==则,确定设、 得分 评阅人得分 评阅人1dx x211+222ln 1-21xx ex e x x x e x xxsin D. C. )ln(1 B. 1 A.)D (0 3><>++<>时成立的是当下列各式中,、1cos D. 1cos C. 1sin B. 1sinA.) A ()1(1sin )( 42C x C x C x C x dx xf xx x f ++-++-='=⎰则,设、⎩⎨⎧==-+⎩⎨⎧==-+⎩⎨⎧==-+=-+⎩⎨⎧=+=++822 D. 0 822 C.0 822 B. 822 A.)D ( 19522222222222z y y x y y y x x y y x y y x xoy z y z y x 为平面上的投影曲线方程在曲线、三、计算题(每题 7分,共49分)x x x ex x 222sin 112lim--→、21 42 21422 1 2222limlimlimlim23042==-=-=--=→→→→xxe xe x xxe x x ex x xx x x xx 原式解:)22(2lim n n n n n --+∞→、 2 21214 224 limlim=-++=-++=∞→∞→nn nn n n nn n 原式解:得分 评阅人得分评阅人y e e y xx '++=求,设、 )1ln( 32 xx x x xxxx x x x e ee e e e e e e ee y 222122221 ]2)1(21[11 )1(11+=⋅++++='++++='-解:dxx x ⎰-2214、Cx x xCt t dtt tdttdttttdt dx t x +---=+--=-=====⎰⎰⎰arcsin 1 cot )1(csccot cos sincos cos sin 2222原式则,令解:dxx x ⎰1arctan 5、)1(arctan 121+=⎰x d x 原式解:得分 评阅人得分 评阅人得分 评阅人分扣缺1C。
浙江大学2006年数学分析试题解答(一)1) 证明:我们{n x }是单调有界数列,首先证明它是单调递减的。
取1x n =,即有11log(1)1n n +≥+,这也就证明了{n x }是单调递减数列,然后证明它也是有界的。
所以{n x }是单调有界数列,极限存在。
2)解:由1)知{n x }的极限存在,我们令11lim lim 1log()2n n n x n n γ→∞→∞⎛⎫=+++-= ⎪⎝⎭ 则有:111log()(1)2n n γο+++=++,111log(2)(1)22n nγο+++=++, 所以 111lim ...lim(log 2(1))log 2122n n n n n ο→∞→∞+++=+=++。
2(15)[,],()()2()lim 0.()k k k k k a b r x f x r f x r f x r f x →∞++--=二、分函数f(x)在闭区间上连续,存在收敛于零的数列使得对任意的,证明:为线性函数.证明:首先证明()()()()()f b f a f x x a f a b a-≤-+-。
作函数()()()()()()()()f b f a G x f x x a f a x a x b b a ε-=---+---, 则()()0G a G b ==。
我们可以得到结论0()0.G x x ≤事实上假设存在一点,使得()1()0,G x x >则a,b 必有最大值点,不仿设其中之一为,1δ则存在,1δδ<使得当时 111111()(),()()f x f x f x f x δδ+≤-≤11111()()2()f x f x f x δδ++-≤有,k r 数列收敛于零,所以____1112()()2()lim 0,k k k kG x r G x r G x r →∞++--≤但是 1112()()2()lim 20,k k k k G x r G x r G x r ε→∞++--=>矛盾。
------------------------2006年浙江省普通高校“专升本”联考《高等数学(一)》试卷--------------------2006年浙江省普通高校“专升本”联考《高等数学(一)》试卷考试说明:1、考试时间为150分钟;2、满分为150分;3、答案请写在试卷纸上,用蓝色或黑色墨水的钢笔、圆珠笔答卷,否则无效; 4、密封线左边各项要求填写清楚完整。
一、填空题:(只需在横线上直接写出答案,不必写出计算过程,本题共有8个空格,每一空格5分,共40分)1.__________________n =。
2.函数()f x =______________________。
3.若1(), 0x f x x A x ⎧≠⎪=⎨⎪=⎩在0x =处连续,则________________A =。
4.设ln(y x x =,则______________________dydx =。
5.322 2(1)cos ___________________1sin x xdx x ππ-+=+⎰ 。
6.设 121(,)(,)I dx f x y dy dx f x y dy =+⎰⎰⎰⎰,交换积分次序后_______________________________________I =。
7.已知arctan(),z xy =则___________________________________dz =。
8.微分方程2(21)x x y dyx e dx+-=+的通解 ______________________________y =。
姓名:_____________准考证号:______________________报考学校 报考专业:------------------------------------------------------------------------------------------密封线---------------------------------------------------------------------------------------------------二.选择题. (本题共有5个小题,每一小题4分,共20分,每个小题给出的选项中,只有一项符合要求)1. 函数()f x 的定义域为[]0,1,则函数11()()55f x f x ++-的定义域是[ ]()A 14,55⎡⎤-⎢⎥⎣⎦ ()B 16,55⎡⎤⎢⎥⎣⎦ ()C 14,55⎡⎤⎢⎥⎣⎦()D []0,12. 当0x →时,与x 不是等价无穷小量的是[ ]()A 2sin x x - ()B 2sin x x - ()C 3tan x x - ()D sin x x -3.设0()()xF x f t dt =⎰,其中2,01()1,12x x f x x ⎧≤≤=⎨≤≤⎩,则下面结论中正确的是 [ ]()A 31,01()3, 12x x F x x x ⎧≤≤⎪=⎨⎪≤≤⎩ ()B 311,01()33, 12x x F x x x ⎧-≤≤⎪=⎨⎪≤≤⎩ ()C 31,01()31,12x x F x x x ⎧≤≤⎪=⎨⎪-≤≤⎩ ()D 31,013()2,123x x F x x x ⎧≤≤⎪⎪=⎨⎪-≤≤⎪⎩ 4.曲线(1)(2),(02)y x x x x =--≤≤与x 轴所围图形的面积可表示为[ ]()A 2(1)(2)x x x dx ---⎰()B 1 20 1(1)(2)(1)(2)x x x dx x x x dx -----⎰⎰()C 120 1(1)(2)(1)(2)x x x dx x x x dx ---+--⎰⎰ ()D 2(1)(2)x x x dx --⎰5.设,a b 为非零向量,且a ⊥b ,则必有[ ]()A a b a b+=+ ()B a b a b +=-()C a b a b +=- ()D a b a b +=-三.计算题:(计算题必须写出必要的计算过程,只写答案的不给分,本题共10个小题,每小题7分,共70分)1.计算123lim()6x x x x -→∞++。
2006年专升本《高等数学》试卷一、单项选择题(每小题2分,共计60分) 1.已知函数)12(-x f 的定义域为]1,0[ ,则)(x f 的定义域为 A.]1,21[ B.]1,1[- C.]1,0[D.]2,1[-2.函数)1ln(2x x y -+=)(+∞<<-∞x 是A .奇函数 B. 偶函数 C.非奇非偶函数 D.既奇又偶函数3. 当0→x 时,x x sin 2-是x 的A.高阶无穷小B.低阶无穷小C.同阶非等价无穷小D.等价无穷小4.极限=+∞→nnn n sin 32lim A.∞ B.2 C.3 D.55.设函数⎪⎩⎪⎨⎧=+≠-=0,10,1)(2x a x xe xf ax ,在0=x 处连续,则 常数=a A. 0 B.1 C 2 D.3 6. 设函数)(x f 在点1=x 处可导 ,则=--+→xx f x f x )1()21(lim0 A. )1(f ' B. )1(2f ' C. )1(3f ' D. -)1(f '7. 若曲线12+=x y 上点M处的切线与直线14+=x y 平行,则点M的坐标A.(2,5) B (-2,5) C (1,2)D (-1,2)8.设⎪⎩⎪⎨⎧==⎰202cos sin ty du u x t ,则=dx dy A. 2t B.t 2 C.-2t D.t 2- 9.设2(ln )2(>=-n x x y n ,为正整数),则=)(n yA.x n x ln )(+B.x 1C.1)!2()1(---n n x n D. 0 10.曲线233222++--=x x x x yA. 有一条水平渐近线,一条垂直渐近线B. 有一条水平渐近线,两条垂直渐近线C. 有两条水平渐近线,一条垂直渐近线,D. 有两条水平渐近线,两条垂直渐近线 11.下列函数在给定的区间上满足罗尔定理的条件是 A.]2,0[|,1|-=x y B.]2,0[,)1(132-=x y C.]2,1[,232+-=x x y D.]1,0[,arcsin x x y =12. 函数x e y -=在区间),(+∞-∞内A. 单调递增且图像是凹的曲线B.单调递增且图像是凸的曲线C. 单调递减且图像是凹的曲线D.单调递减且图像是凸的曲线13.若⎰+=C x F dx x f )()(,则⎰=--dx e f e x x )(A.C e F e x x++--)( B.C e F x +-)( C. C e F e x x +---)( D.C e F x +--)( 14. 设)(x f 为可导函数,且x e x f =-')12( ,则 =)(x fA. C e x +-1221B. C e x ++)1(212 C. C e x ++1221 D. C e x +-)1(212 15. 导数=⎰ba tdt dxd arcsin A.x arcsin B. 0 C. a b arcsin arcsin - D.211x-16.下列广义积分收敛的是 A. ⎰+∞1dx e xB. ⎰+∞11dx x C. ⎰+∞+1241dx x D. ⎰+∞1cos xdx 17.设区域D 由)(),(,),(,x g y x f y a b b x a x ==>==所围成,则区域D 的面积为A. ⎰-b adx x g x f )]()([ B. ⎰-badx x g x f )]()([C.⎰-b adx x f x g )]()([ D. ⎰-badx x g x f |)()(|18. 若直线32311-=+=-z n y x 与平面01343=++-z y x 平行,则常数=n A. 2 B.3 C.4 D.5 19.设yxy x y x f arcsin)1(),(-+=,则偏导数)1,(x f x '为 A.2 B.1 C.-1 D.-220. 设方程02=-xyz ez确定了函数),(y x f z = ,则xz∂∂ = A.)12(-z x z B.)12(+z x z C.)12(-z x y D.)12(+z x y . 21.设函数xy y x z +=2,则===11y x dzA.dy dx 2+B.dy dx 2-C.dy dx +2D.dy dx -222.函数2033222+--=y x xy z在定义域上内A.有极大值,无极小值B. 无极大值,有极小值C.有极大值,有极小值D. 无极大值,无极小值 23设D 为圆周由012222=+--+y x y x围成的闭区域 ,则=⎰⎰DdxdyA. πB. 2πC.4πD. 16π 24.交换二次积分⎰⎰>axa dy y x f dx 00(),(,常数)的积分次序后可化为A. ⎰⎰aydx y x f dy 00),( B.⎰⎰a a ydx y x f dy 0),( C.⎰⎰a a dx y x f dy 0),( D.⎰⎰a yadx y x f dy 0),(25.若二重积分⎰⎰⎰⎰=20sin 20)sin ,cos (),(πθθθθrdr r r f d dxdy y x f D,则积分区域D 为A.x y x222≤+ B.222≤+y x C.y y x 222≤+ D.220y y x -≤≤26.设L 为直线1=+y x 上从点到)1,0(B 的直线段,则=-+⎰Ldy dx y x )(A. 2B.1C.-1D. -2.27.下列级数中,绝对收敛的是A .∑∞=1sin n n πB .∑∞=-1sin)1(n nnπC .∑∞=-12sin)1(n nnπD .∑∞=1cos n n π28. 设幂级数n n nna x a(0∑∞=为常数 ,2,1,0=n ),在点2-=x 处收敛,则∑∞=-0)1(n n naA.绝对收敛B. 条件收敛C.发散D.敛散性不确定29. 微分方程0sincos cos sin =+ydx x ydy x 的通解为A. C y x =cos sinB.C y x =sin cosC. C y x =sin sinD.C y x =cos cos30.微分方程xxe y y y -=-'+''2的特解用特定系数法可设为A. x e b ax x y -+=*)(B. x e b ax x y -+=*)(2C. x e b ax y -+=*)(D. x axe y -=*二、填空题(每小题2分,共30分) 31.设函数,1||,01||,1)(⎩⎨⎧>≤=x x x f 则=)(sin x f _________.32.=--+→xx x x 231lim22=_____________.33.设函数x y 2arctan =,则=dy __________.34.设函数bx ax x x f ++=23)(在1-=x 处取得极小值-2,则常数b a 和分别为___________.35.曲线12323-+-=x x x y 的拐点为 __________.36.设函数)(),(x g x f 均可微,且同为某函数的原函数,有1)1(,3)1(==g f 则=-)()(x g x f _________.37.⎰-=+ππdx x x )sin (32 _________.38.设函数⎪⎩⎪⎨⎧<≥=0,0,)(2x x x e x f x ,则 ⎰=-20)1(dx x f __________..39. 向量}1,1,2{}2,1,1{-==b a与向量的夹角为__________.40.曲线⎩⎨⎧==022z x y L :绕x 轴旋转一周所形成的旋转曲面方程为 _________. 41.设函数y x xy z sin 2+= ,则 =∂∂∂yx z 2_________.42.设区域}11,10|),{(≤≤-≤≤=y x y x D ,则________)(2⎰⎰=-Ddxdy x y .43. 函数2)(xe xf -=在00=x 处展开的幂级数是________________.44.幂级数∑∞=+++-0112)1()1(n n n nn x 的和函数为 _________.45.通解为x x e C e C y 321+=-(21C C 、为任意常数)的二阶线性常系数齐次微分方程为_________.三、计算题(每小题5分,共40分)46.计算 xx e x xx 2sin 1lim3202-→--.47.求函数x x x y 2sin 2)3(+=的导数dxdy .48.求不定积分 ⎰-dx xx 224.49.计算定积分⎰--+102)2()1ln(dx x x .50.设),()2(xy x g y x f z ++= ,其中),(),(v u g t f 皆可微,求yz x z ∂∂∂∂,.51.计算二重积分⎰⎰=Dydxdy x I 2,其中D 由12,===x x y x y 及所围成.52.求幂级数n n nx n∑∞=--+0)1()3(1的收敛区间(不考虑区间端点的情况).53.求微分方程 0)12(2=+-+dy x xy dy x 通解.四、应用题(每小题7分,共计14分)54. 某公司的甲、乙两厂生产同一种产品,月产量分别为y x ,千件;甲厂月生产成本是5221+-=x x C (千元),乙厂月生产成本是3222++=y y C (千元).若要求该产品每月总产量为8千件,并使总成本最小,求甲、乙两厂最优产量和相应最小成本.55.由曲线)2)(1(--=x x y 和x 轴所围成一平面图形,求此平面图形绕y 轴旋转一周所成的旋转体的体积.五、证明题(6分) 56.设)(x f 在],[a a -(0>a ,为常数)上连续, 证明: ⎰⎰--+=a aadx x f x f dx x f 0)]()([)(.并计算⎰--+441cos ππdx e xx .答案 1.B x x ⇒≤-≤-⇒≤≤112110. 201ln )1ln()1ln()()(22==+++-+=-+x x x x x f x f A ⇒.3. 1sin lim20-=-→xxx x C ⇒. 4. B n n n n n n n ⇒=+=+∞→∞→2]sin 32[lim sin 32lim . 5. B a a a ae xe xf ax x ax x x ⇒=⇒+===-=→→→1122lim 1lim)(lim 20200. 6. xx f f f x f x x f x f x x )1()1()1()21(lim )1()21(lim 00--+-+=--+→→C f xf x f x f x f x x ⇒'=---+-+=→→)1(3)1()1(lim 2)1()21(lim200 7.A y x x x y ⇒==⇒=⇒='5,2422000. 8. D t tt t dx dy ⇒-=-=2sin sin 222. 9.B xy x y x x yn n n ⇒=⇒+=⇒=--1ln 1ln )()1()2(. 10. A y y y x x x x x x x x y x x x ⇒∞=-==⇒++-+=++--=-→-→±∞→2122lim ,4lim ,1lim )2)(1()3)(1(2332.11.由罗尔中值定理条件:连续、可导及端点的函数值相等C ⇒.12. C e y e y xx ⇒>=''<-='--0,0. 13.D C e F e d e f dx e f e x x x x x ⇒+-=-=⎰⎰-----)()()()(.14. B C e x f e x f e x f x x x⇒+=⇒='⇒=-'++)1(21)1(212)()()12(. 15.⎰b a xdx arcsin 是常数,所以B xdx dx d ba⇒=⎰0arcsin . 16.C x dx x⇒-==++∞∞+⎰)21arctan 4(412arctan 4141112π. 17.由定积分的几何意义可得D 的面积为⎰-badx x g x f |)()(|D ⇒.18. B n n n ⇒=⇒=+-⇒-⊥30943}3,43{}3,,1{. 19. B x f x x f x ⇒='⇒=1)1,()1,(.20.令xy e F yz F xyz e z y x F z z x z-='-='⇒-=222,),,(A z x z xy xyz yz xy e yz x z z ⇒-=-=-=∂∂⇒)12(222.21222xydx xdy dy x xydx dz -++=A dy dx dx dy dy dx dz y x ⇒+=-++=⇒==2211. 22. ,6)0,0(),(062,06222-=∂∂⇒=⇒=-=∂∂=-=∂∂x z y x y x y z x y x z⇒=∂∂∂-=∂∂2,6222y x zy z 是极大值A ⇒.23有二重积分的几何意义知:=⎰⎰Ddxdy 区域D 的面积为π.24. 积分区域},0|),{(}0,0|),{(a x y a y y x x y a x y x D≤≤≤≤=≤≤≤≤=B ⇒.25.在极坐标下积分区域可表示为:}sin 20,20|),{(θπθθ≤≤≤≤=r r D ,在直角坐标系下边界方程为y y x 222=+,积分区域为右半圆域D ⇒26. L :,1⎩⎨⎧-==xy xx x 从1变到0,⎰⎰⇒-=+=-+012)(D dx dx dy dx y x L .27. ⇒<22sin n n ππ∑∞=π12sin n n 收敛C ⇒.28.∑∞=0n nnxa在2-=x收敛,则在1-=x 绝对收敛,即级数∑∞=-0)1(n nn a 绝对收敛A ⇒.29. dx xxdy y y ydx x ydy x sin cos sin cos 0sin cos cos sin -=⇒=+ C C y x C x y xxd y y d ⇒=⇒=+⇒-=⇒sin sin ln sin ln sin ln sin sin sin sin .30. -1不是微分方程的特征根,x 为一次多项式,可设xe b ax y -+=*)( C ⇒.二、填空题(每小题2分,共30分) 31. 1)(sin 1|sin |=⇒≤x f x .32. =++=++--=--+→→→)31(1lim )31)(2()2(lim 231lim2222x x x x x x x x x x x x 123341==. 33.:dx x dy 2412+= . 34. b a b a b ax x x f -+-=-=+-⇒++='12,02323)(25,4==⇒b a . 35. )1,1(),(0662632-=⇒=-=''⇒+-='y x x y x x y .362)1()1()()(=-=⇒=-g f C C x g x f 2)()(=-⇒x g x f .37. 3202sin )sin (3023232π=+=+=+⎰⎰⎰⎰πππ-ππ-ππ-dx x xdx dx x dx x x .38. ⎰⎰⎰⎰--=--=+=====-201110012132)()1(e dx e dx x dt t f dx x f xt x . 39. 3,21663||||,cos π>=⇒<==⋅>=<b a b a b a b a .40.把x y 22=中的2y 换成22y z +,即得所求曲面方程x y z 222=+.41.⇒+=∂∂y x y x z sin 2y x y x z cos 212+=∂∂∂. 42.⎰⎰⎰⎰⎰-=-=-=--Ddx x dy x y dx dxdy x y 102101122322)()( .43. ∑∞=⇒=0!n n xn x e ∑∑∞=∞=-+∞-∞∈-=-==0022),(,!1)1(!)()(2n n n n n x x x n n x e x f .44. ∑∑∑∞=∞=-+∞=+++=-=+-=+-0111011)21ln()2()1(1)2()1(2)1()1(n n n n n n n n n n x n x n x n x ,)22(≤<-x . 45.x x e C e C y 321+=-0323,1221=--⇒=-=⇒λλλλ032=-'-''⇒y y y .三、计算题(每小题5分,共40分)46.20300420320161lim 3222lim 81lim 2sin 1lim2222x e x xe x x e x xx ex x x x x x x x x -=+-=--=---→-→-→-→ 161lim 161322lim 22000-=-=-=-→-→x x x x e x xe .47.取对数得 :)3ln(2sin ln 2x x x y+=,两边对x 求导得:x x x x x x x y y 2sin 332)3ln(2cos 2122++++=' 所以]2sin 332)3ln(2cos 2[)3(222sin 2x xx x x x x x x y x+++++=' x x x x x x x x x x x 2sin )32()3()3ln(2cos )3(212sin 222sin 2+++++=-.48⎰⎰⎰====⎰-==-=π<<π-dt t tdt tdt t tdx x x t x t )2cos 1(2sin 4cos 2cos 2sin 4422sin 22222C x x x C t t x C t t +--=+-=+-=242arcsin 2cos sin 22arcsin 22sin 22.49. ⎰⎰⎰+---+=-+=-+101010102)1)(2(12)1ln(21)1ln()2()1ln(dx x x x x x d x dx x x ⎰=-=+-+=++--=10102ln 312ln 322ln 12ln 312ln )1121(312ln x x dx x x . 50. x vv g x u u g x y x y x f x z ∂∂∂∂+∂∂∂∂+∂+∂+'=∂∂)2()2(),(),()2(2xy x g y xy x g y x f v u'+'++'==∂∂∂∂+∂∂∂∂+∂+∂+'=∂∂yvv g y u u g y y x y x f y z )2()2(),()2(xy x g x y x f v '++'. 51.积分区域如图06-1所示,可表示为:x y x x 2,10≤≤≤≤.所以 ⎰⎰⎰⎰==10222xxDydy x dx ydxdy x I10323)2(10510421022====⎰⎰x dx x y dx x xx 52.令t x =-1,级数化为nn n t n ∑∞=-+0)3(1,这是不缺项的标准的幂级数. 因为 313)3(11)3(1lim 1)3(1)3(1lim lim11=--+-=+⋅-+-+==∞→+∞→+∞→nn n n n n nn n n n a a ρ,故级数n n n ∑∞=-+0)3(1的收敛半径3ρ,即级数收敛区间为(-3,3). 对级数nn nx n ∑∞=--+0)1()3(1有313<-<-x ,即42<<-x . 故所求级数的收敛区间为),(42-.53.微分方程0)12(2=+-+dx x xy dy x可化为 212xx y x y -=+',这是一阶线性微分方程,它对应的齐次线性微分方程02=+'y x y 通解为2xC y =. 设非齐次线性微分方程的通解为2)(x x C y =,则3)(2)(xx C x C x y -'=',代入方程得 C x x x C x x C +-=⇒-='2)(1)(2. 故所求方程的通解为2211x C x y +-=.四、应用题(每小题7分,共计14分)54.由题意可知:总成本8222221++-+=+=y x y x C C C, 约束条件为8=+y x . 问题转化为在8=+y x 条件下求总成本C 的最小值 .把8=+y x 代入目标函数得 0(882022>+-=x x x C 的整数).则204-='x C ,令0='C 得唯一驻点为5=x ,此时有04>=''C .xx故 5=x是唯一极值点且为极小值,即最小值点.此时有38,3==C y .所以 甲、乙两厂最优产量分别为5千件和3千件,最低成本为38千元. 55平面图形如图06-2所示,此立体可看作X 型区域绕y 轴旋转一周而得到。
Microsoft 个人试题库保密★启用前全国大联考(浙江专用)2006届高三第一次联考•数学试卷命题人:Microsoft 2005.ii.i2考生须知:1 •本试卷分第一卷(选择题)和第二卷(非选择题)两部分,共150分。
考试时间120分钟。
2 •答题前,考生务必将密封线内的项目填写清楚.3 .请将各卷答案填在试卷后面的答题卡上。
4•本试卷根据2005年高考数学考试大纲、浙江卷考试说明确定的考查内容命制。
5•考试内容:全日制高中教材人教版高一(上)“集合和函数”相关内容第I卷(共50分)一、选择题(每小题5分,满分50分)6 *1.已知集合A {a | N ,a Z},则A= (▲)5 aA. {-123,4}B. {123,4}C. {123,6}D. {2,3}2•当|x 2 | a时,不等式|x24| 1成立,则正数a的取值范围是(▲)B. 0 a .52C. a 5 2D. a 323.已知集合M a,b, c中的三个元素可构成某个三角形的三条边长,那么此三角形一定不是(▲)A.直角三角形B.锐角三角形C.钝角三角形D.等腰三角形4.对任意实数a , b , c在下列命题中,真命题的是(▲)A. ac bc是a b的必要条件B. ac bc是a b的必要条件C. ac bc是a b的充分条件D. ac bc是a b的充分条件y5.下列函数:(1)2(3) y2x; (4) y log 2 ;其中不是偶函数且在y x ;( 2);区间(0,)上也不是减函数的有(▲)A. 0个B. 1个C.2个D. 3个6.已知函数y log 2的反函数是y fj,则函数y f(11x)的图象是(▲)得 l (Xi)__c ,则称函数 f (X)在 D 上的“均值”为 C .已知 f(x) lg x,x [10,100], 2则函数f(x) lg x 在[10,100]上的均值为(▲)3 3 1 A.—B. —C.D.102410第H 卷(共 100分)二、填空题(每小题4分,满分16分) 11. 集合A {x | x 2 x 6 0} , B {x |mx 1 0},若B A ,则m 所能取的一切值构成的集合为 _____ ▲_____ •12. 方程log a (a 1)x 2 0的解的个数是 ___________ ▲ ______ •13. __________________________________ 设“ p :相似三角形的对应边相等” ,“ q :相似三角形的对应角相等”,则复合命题“ p 或q ”、 “ p 且q ”、“非p ”中是真命题的是 ▲ • 14. 已知f (x)为偶函数,g(x)是奇函数,且f(x) g(x) X 2 X 2,贝y f(x)、g(x)分别ij1-/1 〜J\ -11► XIX*rL] 弓(D7•设f(X )为偶函数,当X 0时,都有f(X 2) 2f (2 X),又 f( 1)4,则 f( 3)( ▲)A.2B. — 2C. 8D. — 88.已知函数y Xxf(2 )的定义域是[—1,1],则函数y f(log 2)的定义域是(▲A. (0 ,+s)B. (0 , 1)C. [1 , 2]D. [2 , 4]9.函数f (x) 2x 在[a ,b ]上的值域是[—3,1],则a b 的取值集合为(▲A. { — 4,0}B. [ — 4, — 2]C. [ — 2,0]D.[ — 4,0]10.定义:对函数f (x), X D ,若存在常数c ,对于任意 x 1 D ,存在唯一的x 2 D ,使为_____ ▲_____ .三、解答题(每小题14分,共84分)0 ,求C u A , 15•已知全集U {x|x2 3x 2 0} , A {x| x 2 1} , BC u B,A B , A (5B), (C u A) B.16.已知集合A {x |x2 23x 2 0} , B {x | mx 4x m 1 0,m R},若A n B=且A U B=A试求实数m的取值范围.17. 已知f(x)=x2+ (2 + lg a)x + lg b, f( - 1)= -2且f (x) >2x 恒成立,求a、b 的值.18. 若对任意正实数x,y总有f(xy)=f(x)+f(y)①求f(1)②证明f(x2)=2f(x)和f(-)f(x)xf x f x2 1 .19.已知f x x2c,且f⑴设g x f f x ,求g x的解析式;⑵设x g x f x,冋是否存在实数,使x在,1上是减函数,并且在1,0上是增函数.20.某地区上年度电价为0.80元/kW • h,年用电量为a kW・h .本年度计划将电价降到0.55元/kW •h 至0.75元/kW-h之间,而用户期望电价为0.4元/kW- h.经测算,下调电价后新增的用电量与实际电价和用户期望电价的差成反比(比例系数为k) •该地区电力的成本为0.3元/kW - h.(1)写出本年度电价下调后,电力部门的收益y与实际电价x的函数关系式.(2)设k=0.2 a,当电价最低定为多少时,仍可保证电力部门的收益比上年至少增长20%注:收益=实际用电量x(实际电价一成本价)。
2006年普通高等学校招生全国统一考试(浙江卷)数学试题(文科)第Ⅰ卷(共50分)一、选择题:本大题共10小题,每小题5分,共50分,在每小题给出的四个选项中,只有一项是符合题目要求的。
(1)设集合A=|x |-1≤x ≤2|,B=|x|0≤x ≤4|,则A ∩B= (A ).[0,2] (B ).[1,2] (C ).[0,4] (D ).[1,4] (2)在二项式(x+1)6的展开式中,含x 3的项的系数是 (A ).15 (B ).20 (C ).30 (D ).40 (3)抛物线y 2=8x 的准线方程是 (A )x=-2 (B )x=-4 (C )y=-2 (D )y=-4 (4)已知,0log log 2121<<n m 则(A )n <m <1 (B )m <n <1 (C )1<m <n (D )1<n <m(5)设向量a ,b ,c 满足a+b+c=0,且a ⊥b ,|a|=1,|b|=2,则|c|2= (A )1 (B )2 (C )4 (D )5 (6)函数f (x )=x 3-3x 2+2在区间[-1,1]上的最大值是 (A )-2 (B )0 (C )2 (D 4 (7)“a >0,b >0”是“ab >0”的 (A )充分而不必要条件 (B )必要而不充分条件 (C )充分必要条件 (D )既不充分也不必要条件 (8)如图,正三棱柱ABC —A 1B 1C 1的各棱长都为2,E 、F 分别为(A )2(B )3(C )5(D 7(9)在平面直角坐标系中,不等式组⎪⎩⎪⎨⎧≥≥+-≤-+00202y y x y x ,表示的平面区域的面积是(A )24(B )4(C )22(D )2(10)对a 、b ∈R ,记⎩⎨⎧<≥=ba b ba ab a ,,|,|max 函数)(||2||,1||max )(R x x x x f ∈-+=的最小值是(A )0(B )21 (C )23 (D )3第Ⅱ卷(共100分)二、填空题:本大题共4小题,每小题4分,共16分。
2005年浙江省普通高校“专升本”联考《高等数学(一)》试卷一、填空题1.函数xe x x x y --=)1(sin 2的连续区间是 。
2.=-+-∞→)4(1lim 2x x x x 。
3.(1)x 轴在空间中的直线方程是 。
(2)过原点且与x 轴垂直的平面方程是 。
4.设函数⎪⎪⎪⎩⎪⎪⎪⎨⎧<+=>+=--1 ,1b 1 ,1,)1(1)(2)1(12x x x a x e x x f x ,当_________,==b a 时,函数)(x f 在点1=x 处连续。
5.设参数方程⎩⎨⎧==θθ2sin 2cos 32r y r x , (1)当r 是常数,θ是参数时,则=dxdy。
(2)当θ是常数,r 是参数时,则=dxdy。
二.选择题1.设函数)(x f y =在b], [a 上连续可导,),(b a c ∈,且0)('=c f ,则当( )时,)(x f 在c x =处取得极大值。
(A )当c x a <≤时,0)('>x f ,当b x c ≤<时,0)('>x f , (B )当c x a <≤时,0)('>x f ,当b x c ≤<时,0)('<x f , (C )当c x a <≤时,0)('<x f ,当b x c ≤<时,0)('>x f , (D )当c x a <≤时,0)('<x f ,当b x c ≤<时,0)('<x f . 2.设函数)(x f y =在点0x x =处可导,则=--+→hh x f h x f h )2()3(lim000( )。
).(5)( ),( 4)( ),(x 3)( ),()(0'0'0'0'x f D x f C f B x f A3.设函数⎪⎩⎪⎨⎧<-=>=--0 ,0 0,0x ,)(22x e x e x f x x ,则积分 ()11-=⎰f x dx ( )。
2006年普通高等学校招生全国统一考试(浙江卷)数学试题(理科)第I 卷(共50分)一、选择题:本大题共10小题,每小题5分,共50分。
在每小题给出的四个选项中,只有一项是符合题目要求的。
(1)设集合{|12}A x x =-≤≤,{|04}B x x =≤≤,则A B ⋂=(A )[0,2] (B )[1,2] (C )[0,4] (D )[1,4](2)已知11mni i =-+,其中m ,n 是实数,i 是虚数单位,则m ni += (A )12i + (B )12i - (C )2i + (D )2i - (3)已知01,log log 0a a a m n <<<<,则(A )1n m << (B )1m n << (C )1m n << (D )1n m <<(4)在平面直角坐标系中,不等式组20,20,2x y x y x +-≥⎧⎪-+≥⎨⎪≤⎩表示的平面区域的面积是(A )42(B )4(C )22(D )2(5) 若双曲线221x y m -=上的点到左准线的距离是到左焦点距离的13 ,则m= (A )12 (B )32 (C )18 (D )98(6)函数21sin 2sin ,2y x x x R =+∈的值域是(A )13,22⎡⎤-⎢⎥⎣⎦ (B )31,22⎡⎤-⎢⎥⎣⎦ (C )2121,2222⎡⎤-++⎢⎥⎣⎦ (D )2121,2222⎡⎤---⎢⎥⎣⎦(7)“a >b >0”是”ab <222a b +”的(A )充分而不必要条件 (B )必要而不充分条件 (C )充分必要条件(D )既不充分也不必要条件(8)若多项式21091001910(1)(1)(1)x x a a x a x a x +=+++⋅⋅⋅++++,则9a =(A )9 (B )10 (C ) -9 (D )-10 (9)如图,O 是半径为1的球心,点A 、B 、C 在球面上,OA 、OB 、OC 两两垂直,E 、F 分别是大圆弧»AB 与»AC 的中点,则点E 、F 在该球面上的球面距离是(A )4π(B )3π (C )2π (D )24π(10)函数f :{1,2,3|→{1,2,3| 满足f (f (x ))=f (x ),则这样的函数个数共有(A )1个 (B )4个 (C )8个 (D )10个第Ⅱ卷(共100分)二. 填空题:本大题共4小题,每小题4分,共16分。
2006年普通高等学校招生全国统一考试数学(文科)浙江卷本试题卷第Ⅰ卷和第Ⅱ卷两部分。
全卷共4页,第Ⅰ卷和第Ⅱ卷,第Ⅰ卷1至2页,第Ⅱ卷3至4页 满分150分,考试时间120钟请考生按规定用笔将所有试题的答案涂、写在答题纸上。
第Ⅰ卷(共 50 分)注意事项:1. 答第 1 卷前,考生务必将自己的姓名,准考证号用黑色字迹的签字笔或钢笔填写在答题纸上。
2. 每小题选出正确答案后,用2B 铅笔把答题纸上对应题目的答案标号填黑. 叁考正式:如果事件 A , B 互斥,那么P ( A+ B ) = P( A)+ P( B) P( A+ B)= P( A). P( B)S=24R π 其中 R 表示球的半径如果事件A 在一次试验中发生的概念是p 球的体积公式V=234R π 那么n 次独立重复试验中恰好发生 其中R 表示球的半径k 次的概率: k n k n n p p C k P +-=)1()(4一、 选择题:本大题共10小题,每小题5分,共50分。
在每小题给出的四个选项中,只有一项是符合题目要求的。
(1)设集合{|1A x =-≤x ≤2},B={x |0≤x ≤4},则A ∩B=(A)[0,2] (B)[1,2] (C)[0,4](D)[1,4](2)在二项式()61x +的展开式中,含3x 的项的系数是(A)15 (B)20 (C)30 (D)40(3)抛物线28y x =的准线方程是(A) 2x =- (B) 4x =- (C) 2y =- (D) 4y =-(4)已知1122log log 0m n <<,则(A) n <m < 1 (B) m <n < 1 (C) 1< m <n (D) 1 <n <m(5)设向量,,a b c 满足0a b c ++=,,||1,||2a b a b ⊥==,则2||c =(A)1 (B)2 (C)4 (D)5(6)32()32f x x x =-+在区间[]1,1-上的最大值是(A)-2 (B)0 (C)2 (D)4(7)“a >0,b >0”是“ab>0”的(A)充分而不必要条件 (B)必要而不充分条件(C)充分必要条件 (D)既不允分也不必要条件(8)如图,正三棱柱111ABC A B C -的各棱长都2,E ,F 分别是11,AB A C 的中点,则EF 的长是(9) 在平面直角坐标系中,不等式组20,20,0x y x y y +-≤⎧⎪-+≥⎨⎪≤⎩表示的平面区域的面积是(A)(10)对a,b ∈R,记max{a,b}=⎩⎨⎧≥ba b b a a <,,,函数f (x )=max{|x+1|,|x-2|}(x ∈R)的最小值是 (A)0 (B)12 (C 32(D)3第Ⅱ卷(共100分)注意事项:1. 用黑色字迹的签字笔或钢笔将答案写在答题纸上,不能答在试题卷上。
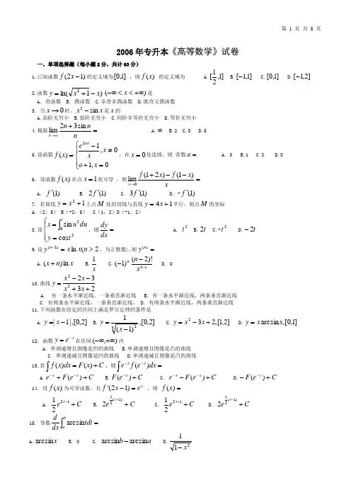
2006年普通高等学校选拔 优秀专科生进入本科阶段考试试题高等数学一、单项选择题(每小题2分,共60分)在每小题的四个备选答案中选出一个正确答案,并将其代码写在题干后面的括号内。
不选、错选或多选者,该题不得分。
1.已知f(2x-1)的定义域为[0,1],则f(x)的定义域为( )。
A.[21,1] B.[-1,1] C.[0,1] D.[-1,2]2.函数y=ln(21x+-x)(-∞<x<+∞)是( )。
A.奇函数B.偶函数C.非奇非偶函数D.即奇又偶函数 3.当x →0时,x 2-sinx 是x 的( )。
A.高阶无穷小 B.低阶无穷小 C.同阶但非等价无穷小 D.等价无穷小 4.极限∞→n limnnsin 3n 2+=( )。
A.∞B.2C.3D.5 5.设函数f(x)=⎪⎩⎪⎨⎧=+≠-0,10,12x a x xe ax 在x=0处连续,则常数a=( )。
A. 0B. 1C. 2D. 3 6.设函数f(x)在点x=1出可导,则xx f x f n )1()21(lim--+∞→=( )。
A.)1('fB. )1(2'f C. )1(3'f D. )1('f - 7.若曲线y=x 2+1上点M 处的切线与直线y=4x+1平行,则点M 的坐标为( ) A.(2,5) B.(-2,5) C.(1,2) D.(-1,2)8.设⎪⎩⎪⎨⎧==⎰22cos sin ty du u x t,则dxdy =( )。
A.t 2B.2tC.-t 2D.-2t 9.设y(n-2)=xlnx(n>2,为正整数),则y(n)=( )。
A.(x+n)lnxB.x1C.1)!2()1(---n nxn D.010.曲线233222++--=x xx x y( )。
A.有一条水平渐近线,一条垂直渐近线。
B.有一条水平渐近线,两条垂直渐近线。
C.有两条水平渐近线,一条垂直渐近线。
2006年普通高等学校招生全国统一考试(浙江卷)数学试题(理科)第I 卷(共50分)一、选择题:本大题共10小题,每小题5分,共50分。
在每小题给出的四个选项中,只有一项是符合题目要求的。
(1)设集合{|12}A x x =-≤≤,{|04}B x x =≤≤,则A B ⋂=(A )[0,2] (B )[1,2] (C )[0,4] (D )[1,4](2)已知11mni i =-+,其中m ,n 是实数,i 是虚数单位,则m ni += (A )12i + (B )12i - (C )2i + (D )2i - (3)已知01,log log 0a a a m n <<<<,则(A )1n m << (B )1m n << (C )1m n << (D )1n m <<(4)在平面直角坐标系中,不等式组20,20,2x y x y x +-≥⎧⎪-+≥⎨⎪≤⎩表示的平面区域的面积是(A)(B )4(C)(D )2(5) 若双曲线221x y m -=上的点到左准线的距离是到左焦点距离的13,则m= (A )12 (B )32(C )18 (D )98(6)函数21sin 2sin ,2y x x x R =+∈的值域是(A )13,22⎡⎤-⎢⎥⎣⎦ (B )31,22⎡⎤-⎢⎥⎣⎦ (C)11,2222⎡⎤-++⎢⎥⎣⎦ (D)11,2222⎡⎤---⎢⎥⎣⎦(7)“a >b >0”是”ab <222a b +”的(A )充分而不必要条件 (B )必要而不充分条件 (C )充分必要条件(D )既不充分也不必要条件(8)若多项式21091001910(1)(1)(1)x x a a x a x a x +=+++⋅⋅⋅++++,则9a =(A )9 (B )10 (C ) -9 (D )-10 (9)如图,O 是半径为1的球心,点A 、B 、C 在球面上,OA 、OB 、OC 两两垂直,E 、F 分别是大圆弧AB 与AC 的中点,则点E 、F 在该球面上的球面距离是(A )4π (B )3π (C )2π (D)4(10)函数f :{1,2,3|→{1,2,3| 满足f (f (x ))=f (x ),则这样的函数个数共有(A )1个 (B )4个 (C )8个 (D )10个第Ⅱ卷(共100分)二. 填空题:本大题共4小题,每小题4分,共16分。