线性代数常见证明题型及常用思路
- 格式:doc
- 大小:2.00 MB
- 文档页数:5
线性代数常见题型与解题方法归纳(1)高级版摘要本文介绍了线性代数中的常见题型及其解题方法。
通过归纳和总结,希望读者能够更好地理解和掌握线性代数的基本概念和解题技巧。
1. 矩阵运算题型矩阵运算是线性代数中的基础,掌握好矩阵的各种运算方法对于解题能力至关重要。
常见的矩阵运算题型包括:- 矩阵的加法和减法:根据定义,对应位置上的元素相加或相减。
- 矩阵的乘法:按照乘法规则,将矩阵的行与列进行相乘,并求和得到对应位置上的元素。
- 矩阵的转置:将矩阵的行和列进行对换。
- 矩阵的逆:如果一个矩阵存在逆矩阵,乘以逆矩阵后等于单位矩阵。
解题方法:熟悉矩阵运算的定义和规则,并通过大量练加深理解。
注意在计算过程中注意细节,避免疏忽和计算错误。
2. 线性方程组题型线性方程组是线性代数中另一个重要的概念,它涉及到多个未知数和多个方程的关系。
解线性方程组需要使用矩阵的运算方法。
常见的线性方程组题型包括:- 高斯消元法:通过消去系数矩阵中的元素,将线性方程组转化为阶梯形或行简化阶梯形,从而求得方程的解。
- 矩阵的逆:如果系数矩阵存在逆矩阵,可以通过左乘逆矩阵来求解线性方程组。
- 克拉默法则:对于n个未知数的线性方程组,如果系数矩阵的行列式不为0,则可以使用克拉默法则求解。
解题方法:根据题目的要求选择合适的解法,熟练掌握高斯消元法和矩阵的逆运算方法。
在解决线性方程组时,注意方程之间的关系和约束条件。
3. 特征值和特征向量题型特征值和特征向量是线性代数中的重要概念,用于描述线性变换对应的变量。
常见的特征值和特征向量题型包括:- 求特征值和特征向量:通过求解特征方程,找到特征值,并代入特征向量方程求解特征向量。
- 对角化:如果矩阵存在n个线性无关的特征向量,可以将矩阵对角化,即得到一个对角矩阵和一个对应的变换矩阵。
解题方法:理解特征值和特征向量的几何意义,掌握求解特征值和特征向量的方法。
注意在求解特征方程时,应特别注意解的个数和重复特征值的情况。
i j 线性代数的思维定势1.若题设条件与代数余子式A 或A*有关,则用行列式按行(列)展开定理以及AA*=A*A =n n2. 若涉及到 A , B 是否可交换,即 AB = BA ,则要立刻联想到逆矩阵的定义.3. 题目中涉及初等变换,要联想到初等方阵,把矩阵变换转化成矩阵相乘的等式.4. 若题设n 阶方阵 A 满足 f ( A ) = 0 ,要证aA + bE 可逆,则先分解出因子aA + bE .5. 若要证明一组向量α1,α2, ,αs 线性无关,先考虑用定义再说.6. 若已知 Ax = 0 的线性无关的解为α1,α2, ,αs ,则n - r (A ) ≥ s ,即r (A ) ≤ n - s .7. 若已知 AB = O ,则联想到① B 的列向量是齐次方程组 Ax = 0 的解;② r (A ) + r (B ) ≤ n .8. 若题目涉及求参数的值,则联想到是否有某行列式为零.9. 若已知 A 的特征向量ξ0 ,则先用定义 A ξ0 = λ0ξ0 处理一下.10. n 阶对称矩阵 A 可对角化⇔ n - r (A - λ0E ) = k ,其中k 是特征值λ0 的重数.11.若题目中涉及到二次型,要联想到实对称阵 A ,将二次型问题转化成实对称阵 A 的相关问题讨论.12. 若要证明抽象的n 阶实对称矩阵 A 为正定矩阵,则用定义处理一下.题型 1 数字型行列式计算,重点是掌握三、四阶行列式及简单n 阶行列式的计算. 1.用性质化为三个重要行列式;2. 按行(列)展开去降阶3. 建立 D n 与D n -1, D n -2 之间的关系,递推.题型 2 方阵的幂①求出 A 2 , A 3 ,递推求出 A n ;②若r ( A ) = 1,则 A = αβ T , A 2 = lA , l = β T α = αT β ;③若 A = E + B , 且 B k ≠ 0 , B k +1 = 0 ,则 A n = (E + B )n = E + C 1B + + C kB k + 0④ P -1 AP = B ⇒ A n = PB n P -1 若 A Λ ⇒ A n = P Λn P -1题型 3 抽象矩阵的行列式1.先矩阵运算,再行列式运算;注意 E 的恒等变形E = E T = AA -1 = A -1A ,kB =k n A2. A =λ1λ2 λn题型 4 解矩阵方程方法通过矩阵运算,把方程化简为下述基本方程: ①Ax =C ,则x =A-1C②xA =C ,则x =CA-1A ③ AxB =C ,则 x = A -1CB -1注 A , B 都可逆,才用上述方法;若 A , B 不可逆,则设出矩阵 A B 建立方程组求解。
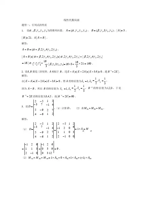
线性代数局部题型一:行列式的性质1.设α, β,γ1,γ2 ,γ3 为四维列向量,A = (α,γ1,γ2 ,γ3 ) ,B = (β,γ1,3γ2 ,γ3 ) ,| A |= 3 ,| B |= 21,求| A +B | 。
解答:A +B = (α+β,2γ1,4γ2 ,2γ3 ) ,| A +B |=| α+β,2γ1,4γ2 ,2γ3 |=| α,2γ1,4γ2 ,2γ3 | + | β,2γ1,4γ2 ,2γ3 |= 16 | α,γ,γ,γ| +161 2 3 3| β,γ1,3γ2 ,γ3 |=16 ⨯3 +⨯ 21 = 160 。
32.设A, B 都是三阶矩阵,A 相似于B ,且| E -A |=| E - 2 A |=| E - 3A |= 0 ,求| B -1+ 2E |。
解答:由| E -A |=| E - 2 A |=| E - 3A |= 0 ,得 A 的特征值为λ1=1, λ2=1, λ2 3=1,3因为 A ~ B ,所以 B 的特征值为 λ1=1, λ2=1, λ2 3=1,B -1的特征值为1,2,3 ,于是3B -1 + 2E 的特征值为3,4,5 ,故| B -1 + 2E |= 60 。
2 - 53.设D =- 3 75 - 9 4 - 6解答:1 2-1 42 7,〔1〕计算D ;〔2〕求M 31 +M 33 +M 34 。
1 22 - 5〔1〕 D =- 3 75 - 94 - 6 1 2 2 -5 1-1 4=-1 2 02 7 1 1 01 2 2 -1 026= 1⨯A =M3 13 13-1 2 = 1 12 -1 6 -13 =00 02 63 93 12= 9 。
〔2〕M 31 +M 33 +M 34 = 1⨯A31 + 0 ⨯A32 +1⨯A33 + (-1) ⨯A3416313 2 - 5 1= - 3 7 -1 2 2- 54 = - 3 7 -1 42 1= 1⨯ A = M - 5 -14 -5 -1 4 - 5 -1 4- 3 9= 7 2 1 = 3 72 1 =3 - 3 0 9 = -3⨯ A 12 = 3 3 - 2= -63 。
线性代数题型全攻略线性代数是计算机科学、工程学和数学等学科的基础,在此基础上,线性代数提供了一套有效的方法来分析和求解求解各种问题,特别是在矩阵和向量空间下,使用线性代数可以更有效地求解各种问题。
本文将介绍以下线性代数题型:矩阵运算题型:这类试题要求考生用矩阵运算计算给定矩阵的秩、特征值和特征向量、行列式、线性方程组的解。
考生应该熟练掌握矩阵运算的原理和方法,理解矩阵的秩、特征值和特征向量等概念。
向量空间题型:本类试题要求考生计算子空间、张成空间、直积空间、内积空间和正定空间等概念。
考生应该清楚地理解什么是向量空间,以及其中子空间、张成空间、直积空间、内积空间和正定空间等概念,并熟悉计算过程。
线性变换题型:这类试题要求考生计算线性变换的表示式、特征值和特征向量等概念,以及矩阵表示、零空间、核和图像等基本知识。
考生应该熟悉线性变换的定义及其计算方法,理解线性变换的表示式、特征值和特征向量等概念,了解矩阵表示、零空间、核和图像等基本知识。
Fourier变换题型:本类试题要求考生掌握Fourier变换的基本原理,熟练应用它来研究函数的变换、分析信号的特征、解析图像的模式、还原被混叠的信号等。
考生应该熟练掌握Fourier变换的定义、基本原理和应用方法。
数值线性代数题型:这类试题要求考生熟悉基本的数值线性代数方法,如拟牛顿方法、反平方根法、最小平方法等,以及非线性系统的数值解,如力学与热力学系统。
考生需要理解拟牛顿方法、反平方根法、最小平方法等,和非线性系统的数值解,如力学与热力学系统。
本文简要介绍了几种常见的线性代数题型,考生平时需要结合具体的线性代数课程内容,加强对相关知识的积累,复习时针对不同的线性代数题型细致有效地进行掌握,以期在考试中有所收获。
- 1 -。
考研线代证明题摘要:1.考研线代证明题概述2.线性无关组的概念及性质3.证明题的解题思路和方法4.举例说明5.结论正文:一、考研线代证明题概述线性代数是考研数学的重要组成部分,其中证明题是历年考研数学试卷中必考的内容。
线代证明题主要涉及到向量空间、线性变换、特征值与特征向量、二次型等知识点。
这类题目不仅考查考生的数学知识,还考查考生的逻辑思维和推理能力。
二、线性无关组的概念及性质线性无关组是线性代数中一个基本概念,是指一组向量线性无关。
线性无关组的性质有:1.线性无关组中的向量可以线性表示其他向量;2.线性无关组中的向量数量是最大的;3.线性无关组中的向量具有线性无关性,即任意一个向量都不能由其他向量线性表示。
三、证明题的解题思路和方法解线代证明题,首先要理解题目所给出的已知条件,然后找到解题的思路。
具体方法如下:1.利用已知条件,通过线性组合将向量表示出来;2.利用线性无关组的性质,判断向量是否线性无关;3.利用矩阵的性质,如行列式、秩等,推导出所需结论。
四、举例说明假设有一个线性无关组a(1), a(2),..., a(s),现在需要证明这个线性无关组是极大线性无关组。
我们可以按照以下步骤进行证明:1.假设a(1), a(2),..., a(s) 不是极大线性无关组,即存在一个向量a(i) 可以表示为a(1), a(2),..., a(s) 的线性组合,其中i 不属于{1, 2,..., s}。
2.根据线性组合的定义,可以得到一个矩阵方程,即a(i) = A * a(1) + B * a(2) +...+ D * a(s),其中A、B、...、D 为待定系数。
3.由于a(1), a(2),..., a(s) 线性无关,所以矩阵方程中系数矩阵的行列式不为0,即|A * a(1) + B * a(2) +...+ D * a(s)| ≠0。
4.根据矩阵的秩的定义,系数矩阵的秩等于矩阵方程中未知数的个数,即r(A * a(1) + B * a(2) +...+ D * a(s)) = s。
线性代数《线性方程组》常见题型与典型例题壹齐次线性方程组的基本公式与结论(1) 克莱姆法则若n个方程n个未知量构成的非齐次线性方程组AX=b的系数行列式|A|≠0,则方程组有唯一解,并且有其中|A i|是|A|中第i列元素(即x i的系数)替换成方程组右端的系数项b1,b2,…,b n所构成的行列式.(2) 齐次线性方程组解的存在性● 若n个方程n个未知量构成的齐次线性方程组AX=0的系数行列式|A|≠0,则方程组有唯一零解,● 若m个方程n个未知量构成的齐次线性方程组,若r(A)= n,即A的列向量组线性无关,则方程组有唯一零解;若r(A)= s<n,即A 的列向量组线性相关,则方程组有有非零解,且有n-s个线性无关解.(3) 求解方法之高斯消元法将系数矩阵A作初等行变换转换为阶梯型矩阵B,初等变换将方程组化为同解方程组,即Ax=0与Bx=0同解,只需要解Bx=0即可. 设n个变量m各方程构成的方程组,并设r(A)=r≤m≤n,则方程组的独立方程个数为r个,r也是独立变量的个数,故多余方程个数为m-r,自由变量的个数为n-r. 令自由变量为任意常数,回代求得独立未知变量,则得方程组的解.(4) 基础解系和解的结构基础解系:设x1,x2,…,x n-r是方程组Ax=0的解,若①x1,x2,…,x n-r 线性无关;②任一方程组Ax=0的解均由x1,x2,…,x n-r线性表出,则称x1,x2,…,x n-r是方程组Ax=0的一个基础解系.通解:设x1,x2,…,x n-r是方程组Ax=0的一个基础解系,则k1x1+k2x2+…+k n-r x n-r是方程组Ax=0的通解,其中k1,k2,…,k n-r为任意常数.贰非齐次线性方程组的基本公式与结论非齐次线性方程组AX=b,其导出组(即齐次方程组)AX=0,A系数矩阵,(A|b)增广矩阵。
(1) 解的性质● 导出组解的线性组合仍为导出组的解● 非齐次方程组的任意两个解的差为其导出组的解(2) 通解的结构● 导出组的n个线性无关组的线性组合为其通解● 非齐次线性方程组的通解等于其导出组的通解与其任意特解之和● 关于非齐次方程组AX=b解的讨论:若r(A)=r(A|b)=n(未知数个数),则有唯一解若r(A)≠r(A|b),则无解若r(A)=r(A|b)=m<n,则有无穷解,其基础解系所含解向量个数为n-m个(3) 求解方法求导出组的通解加上他的任意一个特解即可.叁常见题型(1) 有关线性方程组的概念与性质的命题解题方法:概念与性质必须娴熟。
线性代数一些证明题 1 题目设n 阶可逆矩阵A 满足A 2=A ,求A 的特征值。
知识点特征值与特征向量矩阵的行列式解题过程解:因为A 2=A所以A 2-A =0所以det(A 2-A )=det[A (A -E )]=det(A )det(A -E )=0 A 为可逆矩阵,所以det(A )≠0 所以det(A -E )=0所以A 的特征值为1.常见错误设存在λ,使Ax =λx 成立 则 det(Ax )=det(A )det(x )=det(λx )=n λdet(x ) (错误在于向量取行列式)所以 有)det(A n =λ成立.又因为A 2=Adet(A )2=det(A), 即det(A )=0或det(A )=1.由于A 为可逆矩阵,det(A)≠0. 所以 det(A )=1 1=n λ当n 为奇数时,λ=1. 当n 为偶数时,λ=±1.相关例题设A 为n 阶矩阵,若A 2=E ,试证A 的特征值是1或-1. 2题目设A 是奇数阶正交矩阵,且det(A )=1,证明det(E -A )=0. 知识点①正交矩阵的定义:A T A=E②单位矩阵的性质:EA=AE=A E T =E③矩阵运算规律④转置矩阵的性质:(A+B )T =A T +B T⑤det(A )=det(A T )⑥det(AB )=det(A )det(B ) ⑦det(-A )=(-1)n det(A )解题过程∵A 是正交矩阵∴E -A= A T A -A= A T A -EA=( A T -E )A ∵det(A )=1∴det(E-A)=det((A T-E)A)=det(A T-E)det(A)=det(A T-E)∵det(E-A)=det(E-A)T=det(E-A T)∴det(A T-E)= det(E-A T)= det(-(A T-E))= (-1)n det(A T-E)∵n为奇数∴(-1)n=-1∴det(A T-E)=0∴det(E-A)=0常见错误①误以为det(E-A)= det(E)-det(A),于是det(E-A)=1-det(A)=1-1=0②∵det(A)=1∴a·2a·…·n a=1(其中1a,2a,…,n a为A作初等变换变为上三角形后1对角线上的元素).∴det(E-A)=(1-a)(1-2a)…(1-n a).1∵det(E-A)=det((A T-E)A)=det(A T-E)det(A)=det(A T-E)且det(A T-E)= (a-1)(2a-1)…(n a-1).1∴(1-a)(1-2a)…(1-n a)=(1a-1)(2a-1)…(n a-1)1= (-1)n(1-a)(1-2a)…(1-n a)1∵n为奇数∴(-1)n=-1∴(1-a)(1-2a)…(1-n a)=01∴det(E -A )=0以上证法先把A 变为上三角,再用E 减去变化后的A ,再求行列式,这是错误的。
《线性代数》常见计算题型及常用思路计算题题型1.解线性方程组(必须掌握)最常用方法:先用高斯消元法化为阶梯形,从而得出自由未知量(设为1,,ti i x x ),然后对自由未知量赋予任意值,即设11,,t i i tx k x k ==,这儿1,,tk k 为任意常数。
把赋予自由未知量的值带入方程组,解除方程组的解(是关于1,,t k k 的一些表达式)方法(1)的变形:先用高斯消元法化为阶梯形,从而得出自由未知量(设为1,,ti i x x )。
设1,,tt F αα∈是tF 的一组基(常取自然基)。
然后令1(,,),1,2,t i i j x x j tα==,分别解得方程组的解:1,,tX X (这是一个基础解系)。
则可知方程组的解为11t tX k X k X =++,这儿1,,tk k 为任意常数。
(一般解)Cramer 法则。
注意:Cramer 法则只对系数矩阵可逆的情形适用。
题型2.将()V F β∈用1,,()m V F αα∈线性表示(或求坐标)常用思路:待定系数法。
设1,,mx x 使得11m mx x βαα=++。
然后根据题设条件得到关于1,,mx x 的一个方程组。
解方程组。
方法二:利用课本定理4.10(如果已知在某一组基下的矩阵)题型3.判断1,,()m V F αα∈的线性相关性常用思路:待定系数法。
设1,,mx x 使得110m mx x αα=++。
然后根据题设条件得到关于1,,mx x 的一个方程组。
解方程组。
如果方程组只有零解,则1,,()m V F αα∈线性相关。
反之,线性无关。
题型4.求1,,()m V F αα∈的极大无关组及秩常用思路:待定系数法。
设1,,mx x 使得110m mx x αα=++。
然后根据题设条件得到关于1,,mx x 的一个方程组。
用高斯消元法化简方程组,得到自用未知量。
不是自用未知量的ix 所对应的i α放到一起,就构成了原向量组的一个极大无关组。
2023届高三线性代数常考十大解答题型1. 矩阵运算这是线性代数中最基础的解答题型之一。
题目要求学生进行矩阵的加法、减法、乘法等运算,还可能涉及到矩阵的幂、转置等操作。
解决这类题型需要掌握矩阵的运算规则和相应的计算技巧。
2. 矩阵的特征值和特征向量这类题型要求学生求解矩阵的特征值和对应的特征向量。
解题过程中需要使用特征多项式、特征方程等概念,以及求解线性方程组的方法。
此外,还要能够判断特征值的重数和特征向量的线性无关性。
3. 矩阵的行列式这类题型要求学生求解矩阵的行列式值。
解决这类题目需要熟悉行列式的定义和计算方法,掌握行列式的性质和运算规则,并能够应用行列式的性质进行计算。
4. 向量的线性相关性这类题型要求学生判断给定向量组的线性相关性,并可能涉及求解向量组的线性表示和线性方程组的解。
解决这类题目需要理解线性相关和线性无关的概念,掌握求解线性方程组的方法和求解向量组线性表示的技巧。
5. 向量的内积和投影这类题型要求学生计算向量的内积和向量在另一向量方向上的投影。
解题过程需要使用向量的坐标表示法,掌握向量内积和投影的计算公式,以及向量的性质和运算法则。
6. 线性方程组这类题型要求学生求解给定的线性方程组。
解题过程需要应用矩阵运算、行列式、向量的线性表示等知识,以及高斯消元法、克莱姆法则等解线性方程组的方法。
7. 空间中的向量及其运算这类题型要求学生理解空间中向量的概念和运算法则,并能够进行相应的计算。
解决这类题目需要掌握向量的坐标表示、向量的运算规则和性质,以及运用空间向量的知识解决实际问题。
8. 矩阵的秩这类题型要求学生计算给定矩阵的秩,并可能涉及对矩阵进行初等行变换和行列式运算。
解决这类题目需要掌握矩阵的秩的定义和计算方法,以及初等行变换和行列式运算的技巧。
9. 线性空间和子空间这类题型要求学生理解线性空间和子空间的概念,并能够判断给定集合是否是线性空间或子空间。
解决这类题目需要掌握线性空间和子空间的性质和判定条件,以及对集合进行运算和验证的方法。
考研线代证明题(原创版)目录1.考研线代证明题概述2.线性无关组的概念及求解方法3.矩阵的秩及其性质4.线性方程组的解法及性质5.考研线代证明题的解题技巧6.举例说明正文一、考研线代证明题概述线性代数是考研数学中的一个重要科目,其中证明题是考试中常见的题型。
这类题目要求考生具备扎实的线性代数基础知识和较强的逻辑推理能力。
本文将针对考研线代证明题进行分析和讨论,为考生提供一些解题思路和技巧。
二、线性无关组的概念及求解方法线性无关组是指一组向量线性无关,即任意一个向量都不能由其他向量线性表示。
线性无关组的求解方法主要有以下两种:1.高斯消元法:通过高斯消元法可以将线性方程组转化为阶梯形矩阵,从而找出线性无关组。
2.矩阵的秩:矩阵的秩定义为矩阵中线性无关向量的最大数目。
根据秩的定义,可以求出线性无关组。
三、矩阵的秩及其性质矩阵的秩是矩阵的重要性质之一,具有以下性质:1.矩阵的秩等于其转置矩阵的秩;2.方阵的秩等于其行列式;3.矩阵的秩等于其阶梯形矩阵的阶数;4.矩阵的秩等于其高斯消元法得到的阶梯形矩阵的非零行的数量。
四、线性方程组的解法及性质线性方程组是指由一组线性方程所组成的方程组。
求解线性方程组是线性代数中的基本问题之一。
常用的求解方法有高斯消元法、克莱姆法则等。
线性方程组的解具有以下性质:1.线性方程组有唯一解当且仅当其系数矩阵的秩等于增广矩阵的秩;2.线性方程组有无穷多解当且仅当其系数矩阵的秩小于增广矩阵的秩;3.线性方程组无解当且仅当其系数矩阵的秩小于增广矩阵的秩。
五、考研线代证明题的解题技巧1.熟悉基本概念和性质:熟练掌握线性无关组、矩阵的秩、线性方程组等基本概念及其性质,为解题打下坚实的基础。
2.善于利用已知条件:在解题过程中,要充分利用题目给出的已知条件,通过逻辑推理和数学运算,找到问题的关键所在。
3.化繁为简:在证明过程中,要尽量将问题化繁为简,通过变换和化简,将问题转化为更容易解决的形式。
三、计算题与证明题1.(1987—Ⅰ,Ⅱ)问,a b 为何值时,线性方程组123423423412340,221,(3)2,321x x x x x x x x a x x b x x x ax +++=⎧⎪++=⎪⎨-+--=⎪⎪+++=-⎩ 有唯一解,无解,有无穷多组解?并求出有无穷多组解时的通解.【考点】非齐次线性方程组解的理论的应用.解 方法一:[]111100122100101010rB A b a b a ⎡⎤⎢⎥⎢⎥=→⎢⎥-+⎢⎥-⎣⎦. (1)当()41R A a =⇔≠时,方程组有惟一解;(2)当1a =时,方程组无解或无穷多解,此时[]11110012210000100000rB A b b ⎡⎤⎢⎥⎢⎥=→⎢⎥+⎢⎥⎣⎦.①当1b =-时,()()24R A R B ==<,方程组有无穷多解;此时[]10111012210000000rB A b ---⎡⎤⎢⎥⎢⎥=→⎢⎥⎢⎥⎣⎦, 方程组的通解为1212111221,,100010x k k k k -⎡⎤⎡⎤⎡⎤⎢⎥⎢⎥⎢⎥--⎢⎥⎢⎥⎢⎥=++⎢⎥⎢⎥⎢⎥⎢⎥⎢⎥⎢⎥⎣⎦⎣⎦⎣⎦为任意常数; ②当1b ≠-时,()2,()3R A R B ==,方程组无解.综上可得:(1)当1a ≠时,方程组有惟一解; (2)当1,1a b ==-时,方程组有无穷多解;(3)当1,1ab =≠-时,方程组无解.方法二:方程组的系数行列式2(1)A a =-.(1)当2(1)1A a a =-⇔≠时,方程组有惟一解;(2)以下同方法一.【注意】(1)含有参数的线性方程组的解的讨论都是用方法一或方法二解决.但方法一具有普遍性,即这类问题都可用方法一求解;方法二具有特殊性,其适用范围是: ①方程的个数等于未知数的个数; ②方程组的系数行列式含参数.(2)求解这类问题的关键点是先讨论方程组有惟一解的情形,再讨论无解或无穷多解.切记切记.2.(1987—Ⅱ;1990—Ⅳ)设A 为n 阶矩阵,1λ和2λ是A 的两个不同的特征值;12,x x 是分别属于1λ和2λ的特征向量,试证明12x x +不是A 的特征向量.【考点】特征值的定义,性质及向量组线性相(无)关的定义. 解 反证法:假设12x x +是A 的特征向量,则存在数λ,使得1212()()A x x x x λ+=+,则1122()()0x x λλλλ-+-=.因为12λλ≠,所以12,x x 线性无关,则11220λλλλλλ-=⎧⇒=⎨-=⎩.矛盾.【注】矩阵的不同的特征值所对应的特征向量线性无关.3.(1987—Ⅳ,Ⅴ)设矩阵A 和B 满足关系式2AB A B =+,其中423110123A ⎡⎤⎢⎥=⎢⎥⎢⎥-⎣⎦,求矩阵B .【考点】解矩阵方程.解 由12(2)BA B B A E A -=+⇒=-1434233861531102961641232129----⎡⎤⎡⎤⎡⎤⎢⎥⎢⎥⎢⎥=--=--⎢⎥⎢⎥⎢⎥⎢⎥⎢⎥⎢⎥---⎣⎦⎣⎦⎣⎦.4.(1987—Ⅳ,Ⅴ)解线性方程组12341341231342434,3,31,773 3.x x x x x x x x x x x x x -+-=-⎧⎪+-=-⎪⎨++=⎪⎪+-=⎩ 【考点】求解非齐次线性方程组.解21434101031011301208(|)3110100016707330r B A b ---⎡⎤⎡⎤⎢⎥⎢⎥----⎢⎥⎢⎥==→⎢⎥⎢⎥⎢⎥⎢⎥-⎣⎦⎣⎦. 由()()34R A R B ==<,得方程组有无穷多解.方程组的解132333286x x x x x =-+⎧⎪=-⎨⎪=⎩,令3x k =得方程组的通解12343182,0160x x k k x x -⎡⎤⎡⎤⎡⎤⎢⎥⎢⎥⎢⎥-⎢⎥⎢⎥⎢⎥=+⎢⎥⎢⎥⎢⎥⎢⎥⎢⎥⎢⎥⎣⎦⎣⎦⎣⎦为任意常数.5.(1987—Ⅳ,Ⅴ)求矩阵312014101A --⎡⎤⎢⎥=-⎢⎥⎢⎥-⎣⎦的实特征值及对应的特征向量.【考点】求矩阵的特征值及特征向量. 解2(1)(45)A E λλλλ-=-++,得A 的实特征值1λ=.解()0A E x -=得其对应的特征向量021x k ⎡⎤⎢⎥=⎢⎥⎢⎥⎣⎦,其中k 为不为零的任意常数. 6.(1988—Ⅰ,Ⅱ)已知AP PB =,其中100100000,210001211B P ⎡⎤⎡⎤⎢⎥⎢⎥==-⎢⎥⎢⎥⎢⎥⎢⎥-⎣⎦⎣⎦,求A 及5A .【考点】解矩阵方程及求矩阵的幂.解1100200611A P P B A P B P -⎡⎤⎢⎥=⇒==⎢⎥⎢⎥--⎣⎦.5511A PB P PBP A --===.【注意】若1A PBP -=,则1k k A PB P -=;一般地,设10()m m x a x a x a ϕ=+++,则方阵A 的多项式110()()m m A a A a A a E P B P ϕϕ-=+++=.7.(1988—Ⅰ,Ⅱ)已知矩阵20000101A x ⎡⎤⎢⎥=⎢⎥⎢⎥⎣⎦与20000001B y ⎡⎤⎢⎥=⎢⎥⎢⎥-⎣⎦相似:(1)求x 与y ;(2)求一个满足1P AP B -=的可逆矩阵P .【考点】相似矩阵的性质及一般矩阵的对角化方法. 解 (1)方法一:A 与B 相似,则A E B Eλλ-=-,即22(2)(1)(2)((1))x y y λλλλλλ---=-+--,比较系数,得1011x y x y y -=-=⎧⎧⇒⎨⎨-=-=⎩⎩.方法二:B 的特征值为2,,1y -.由A 与B 相似,则A 的特征值为2,,1y -.故2(1)2002(1)21y x x y A y ++-=++⎧=⎧⎪⇒⎨⎨⋅⋅-==-=⎪⎩⎩.【注意】方法一具有一般性;方法二具有特殊性(为什么?)如果利用方法二得到的不是惟一解,则方法二失效.但方法二比较简单,建议:做填空题与选择题时用方法二,做解答题时用方法一.(2)分别求出A 的对应于特征值1232,1,1λλλ===-的线性无关的特征向量为1231000,1,1011p p p ⎡⎤⎡⎤⎡⎤⎢⎥⎢⎥⎢⎥===-⎢⎥⎢⎥⎢⎥⎢⎥⎢⎥⎢⎥⎣⎦⎣⎦⎣⎦.令可逆矩阵[]123100011011Pp p p ⎡⎤⎢⎥==-⎢⎥⎢⎥⎣⎦,则1P AP B -=.8.(1988—Ⅳ) 设3阶方阵A 的伴随矩阵为*A ,且21=A ,求*12)3(A A --.【考点】矩阵运算的性质.解1*11112(3)2233A A A A A A -----=-=-,所以1*131228116(3)2()332727A A A A A ----=-=-=-⋅=-.或*1*1***114(3)222333A A A A A A A A ---=-=⋅-=-,则311**3*446416(3)2()332727A A A A A ---=-=-=-⋅=-. 【注意】求解此类问题,一般是将行列式中的式子先化简,再求行列式.此处用到矩阵的如下性质:111(),0kA A k k --=≠;*11*11*1;;;.n A A A A A A A A A A----====9.(1988—Ⅳ,Ⅴ) 设向量组)2(,,,21≥ss ααα 线性无关,且=+=+=-1322211,,,s βααβααβ 11,s s s s ααβαα-+=+,讨论向量组s βββ,,,21 的线性相关性.【考点】向量组的线性相关性的判别方法. 解 方法一:设11220s s x x x βββ+++=,即111221()()()0s s s s x x x x x x ααα-++++++=.因为12,,,s ααα线性无关,则1121000s s s x x x x x x -+=⎧⎪+=⎪⎨⎪⎪+=⎩,其系数行列式11000111001(1)0110000011s A -==+-. (1)当s 为奇数,20A =≠,方程组只有零解,则向量组s βββ,,,21 线性无关; (2)当s 为偶数,0A =,方程组有非零解,则向量组s βββ,,,21 线性相关.方法二:显然1212121000111000(,,,)(,,,)(,,,)0110000011s s s s s K βββαααααα⨯⎛⎫⎪ ⎪⎪== ⎪ ⎪ ⎪⎝⎭,因为12,,,s ααα线性无关,则1212(,,,)min{(,,,),()}()s s R R R K R K βββααα≤=(1)1()1(1)0s R K s K s -=⇔=+-≠⇒为奇数时,12(,,,)s R sβββ=,则向量组s βββ,,,21 线性无关;(2)1()1(1)0s R K s K s -<⇔=+-=⇒为偶数时,12(,,,)s R s βββ<,则向量组s βββ,,,21 线性相关.【注意】(1)已知12,,,m βββ可由12,,,m ααα线性表示的具体表达式,且12,,,m ααα线性无关时,用方法二求解一般较简便.(2)若B 可逆,则()()R AB R A =.一般地()min{(),()}R AB R A R B ≤,即乘积矩阵的秩不小于每一个因子的秩.10.(1988—Ⅳ,Ⅴ) 设线性方程组为⎪⎪⎩⎪⎪⎨⎧=+--=+--=+++=+++243214312143214321121053153363132k x x x x x x k x x x x x x x x x x ,问1k 与2k 各取何值时,方程组无解?有惟一解?有无穷多解?有无穷多解时,求其一般解.【考点】含参数的线性方程组解的讨论. 解 方法一:(一般情形)112211231112311361301212(|)311530022415101235r B A b k k k k ⎡⎤⎡⎤⎢⎥⎢⎥-⎢⎥⎢⎥==→⎢⎥⎢⎥---+⎢⎥⎢⎥--+⎣⎦⎣⎦.(1)当11()()4202R A R B k k ==⇔-+≠⇔≠时,方程组有惟一解;(2)当12k =时,21123101212000120001rB k ⎡⎤⎢⎥-⎢⎥→⎢⎥⎢⎥-⎣⎦,则 ①当21k ≠时,()3()4R A R B =≠=,方程组无解;②当21k =时,()()34R A R B ==<,方程组有无穷多解,且10008012030001200000rB -⎡⎤⎢⎥⎢⎥→⎢⎥⎢⎥⎣⎦, 则通解(一般解)为12348032,0120x x k k x x -⎡⎤⎡⎤⎡⎤⎢⎥⎢⎥⎢⎥-⎢⎥⎢⎥⎢⎥=+⎢⎥⎢⎥⎢⎥⎢⎥⎢⎥⎢⎥⎣⎦⎣⎦⎣⎦为任意常数. *综上:当12k ≠时,方程组有惟一解;当12k =且21k ≠时,方程组无解;当12k =且21k =时,方程组有无穷多解,且一般解为*式.方法二:(特殊情形)方程组的系数行列式16(2)A k =-.(1)当116(2)02A k k =-≠⇒≠时,方程组有惟一解;以下同方法一.11. (1988—Ⅴ)已知n 阶方阵A 满足矩阵方程2320A A E --=.证明A 可逆,并求出其逆矩阵1A -.【考点】抽象矩阵是求逆. 解 由23202A E AA E A E A ---=⇒⋅=⇒可逆,且12A EA --=.12.(1989—Ⅰ,Ⅱ)问λ为何值时,线性方程组13123123,422,6423x x x x x x x x λλλ+=⎧⎪++=+⎨⎪++=+⎩ 有解,并求出解的一般形式.【考点】含参数的非齐次线性方程组解的讨论及非齐次线性方程组的求解.解[]101101412201232614230001rB A b λλλλλλ⎡⎤⎡⎤⎢⎥⎢⎥==+→--+⎢⎥⎢⎥⎢⎥⎢⎥+-+⎣⎦⎣⎦.线性方程组有解()()R A R B ⇔=101λλ⇔-+=⇒=,其通解为1121,11x k k -⎡⎤⎡⎤⎢⎥⎢⎥=+-⎢⎥⎢⎥⎢⎥⎢⎥⎣⎦⎣⎦为任意常数.13.(1989—Ⅰ,Ⅱ)假设λ为n 阶可逆矩阵A 的一个特征值,证明:(1)1λ为1A-的特征值; (2)Aλ为A 的伴随矩阵*A 的特征值.【考点】特征值的概念. 证 (1)设A 对应于特征值λ的特征向量为x ,则11111()()Ax x A Ax A x A x x A x x λλλλλ≠----=⇒=⇒=⇒=.(2)****()()AAx x A Ax A x A x A x A x x λλλλλ≠=⇒=⇒=⇒=.14.(1989—Ⅳ,Ⅴ)已知B AX X +=,其中⎪⎪⎪⎭⎫ ⎝⎛--=⎪⎪⎪⎭⎫ ⎝⎛---=350211,101111010B A ,求矩阵X .【考点】解矩阵方程.解12111311()321202030115311X E A B ---⎡⎤⎡⎤⎡⎤⎢⎥⎢⎥⎢⎥=-=-=⎢⎥⎢⎥⎢⎥⎢⎥⎢⎥⎢⎥--⎣⎦⎣⎦⎣⎦. 15. (1989—Ⅳ)设),3,1(),3,2,1(),1,1,1(321t ===ααα.(1)问当t 为何值时,向量组321,,ααα线性无关? (2)问当t 为何值时,向量组321,,ααα线性相关?(3)当向量组321,,ααα线性相关时,将3α表示为1α和2α的线性组合.【考点】含参数的向量组线性相关性的讨论及求向量由向量组线性表示的具体表示式.解 方法一:(一般情形)123111111(,,)12301213005rT T TA t t ααα⎡⎤⎡⎤⎢⎥⎢⎥==→⎢⎥⎢⎥⎢⎥⎢⎥-⎣⎦⎣⎦. (1)当5t ≠时,123123123(,,)(,,)3,,T T TR R ααααααααα==⇒线性无关;(2)当5t=时,123123123(,,)(,,)23,,T T T R R ααααααααα==<⇒线性相关;(3)当5t =时,123111101(,,)12301213000rT T Tt ααα-⎡⎤⎡⎤⎢⎥⎢⎥=→⎢⎥⎢⎥⎢⎥⎢⎥⎣⎦⎣⎦,则 31231222T T Tαααααα=-+⇒=-+.方法二:(特殊情形)321,,ααα线性无关123111,,12350513A t t tααα⇔===-≠⇔≠;当5t =时,321,,ααα线性相关;令311223122x x αααααα=+⇒=-+.【注意】方法二只有在向量组所含向量的个数等于向量的维数时才适用.16.(1989—Ⅳ,Ⅴ)设⎪⎪⎪⎭⎫ ⎝⎛-----=122212221A . (1)试求矩阵A 的特征值;(2)利用(1)的结果,求矩阵1-+A E 的特征值,其中E 是三阶单位矩阵.【考点】特征值的计算及特征值的性质. 解 (1)2(1)(5)A E λλλ-=--+,则A 的特征值为1,1,5-.(2)设λ为可逆矩阵A 的特征值,x 为对应的特征向量,则1111()(1)Ax x A x x E A x x λλλ----=⇒=⇒+=+,即11λ-+为1-+A E 的特征值.所以1-+A E 的特征值为42,2,5.17. (1989—Ⅴ)讨论向量组123(1,1,0),(1,3,1),(5,3,)t ααα==-=的线性相关性.【考点】含参数的向量组线性相关性的讨论. 解 参考15. (1989—Ⅳ).答案:当1t ≠时线性无关;当1t =时线性相关.18.(1990—Ⅰ,Ⅱ)设四阶矩阵1100213401100213,,0011002100010002B C -⎡⎤⎡⎤⎢⎥⎢⎥-⎢⎥⎢⎥==⎢⎥⎢⎥-⎢⎥⎢⎥⎣⎦⎣⎦且矩阵A 满足关系式1()T T A E C B C E --=,其中E 为四阶单位矩阵,1C -表示C 的逆矩阵,TC 表示C 的转置矩阵,将上述关系式化简并求矩阵A .【考点】解矩阵方程及矩阵的运算. 解 111()[()]()()T TT TT T TA E CBC E A C C B C EA CBC C E----=⇒-=⇒-=1()()()T T T A C B CC E A C B E -⇒-=⇒-=110001100[()]12100121T A C B -⎡⎤⎢⎥-⎢⎥⇒=-=⎢⎥-⎢⎥-⎣⎦. 【注意】在解矩阵方程时,如果矩阵方程中含有已知矩阵A 的逆矩阵1A -或伴随矩阵*A ,利用11AA A A E --==或**AA A A E ==化掉1A -或*A .19.(1990—Ⅰ,Ⅱ)求一个正交变换化二次型22212312132344448f x x x x x x x x x =++-+-成标准形.【考点】利用正交变换化二次型为标准形的方法.解 (1)写出二次型的矩阵:122244244A -⎡⎤⎢⎥=--⎢⎥⎢⎥-⎣⎦.(2)求A 的特征值:2(9)A E λλλ-=-⇒A 的特征值为1,230,9λλ==.(3)求A 的两两正交且单位化的特征向量:对应于特征值1,20λ=的线性无关的特征向量为1210ξ⎡⎤⎢⎥=⎢⎥⎢⎥⎣⎦,2201ξ-⎡⎤⎢⎥=⎢⎥⎢⎥⎣⎦,正交化得1210η⎡⎤⎢⎥=⎢⎥⎢⎥⎣⎦,221455η-⎡⎤⎢⎥=⎢⎥⎢⎥⎣⎦,单位化得12,0p p ⎡⎢⎢⎢⎥==⎢⎥⎢⎥⎢⎥⎢⎥⎢⎥⎢⎥⎣⎦⎣⎦.对应于特征值1,20λ=的线性无关的特征向量为3122ξ⎡⎤⎢⎥=-⎢⎥⎢⎥⎣⎦,单位化得3132323p ⎡⎤⎢⎥⎢⎥⎢⎥=-⎢⎥⎢⎥⎢⎥⎢⎥⎣⎦.(4)构造正交变换:令正交矩阵[]123132,,3203P p p p ⎤⎥⎥⎥==-⎥⎥⎢⎥⎢⎥⎣⎦,则所求正交变换为1122331323203x y x y x y ⎤⎥⎥⎡⎤⎡⎤⎥⎢⎥⎢⎥=-⎥⎢⎥⎢⎥⎥⎢⎥⎢⎥⎣⎦⎣⎦⎢⎥⎢⎥⎣⎦. (5)写出二次型的标准形:二次型的标准形为239f y =.【注意】利用正交变换化二次型为标准形的步骤: (1)写出二次型的矩阵;(2)求A 的特征值;(3)求A 的两两正交且单位化的特征向量;(4)构造正交变换; (5)写出二次型的标准形.20.(1990—Ⅳ,Ⅴ) 已知线性方程组⎪⎪⎩⎪⎪⎨⎧=-+++=+++=-+++=++++2334562203235432154325432154321x x x x x b x x x x x x x x x a x x x x x (1)b a 、为何值时,方程组有解?(2)方程组有解时,求出方程组的导出组的一个基础解系; (3)方程组有解时,求出方程组的全部解. 【考点】含参数的线性方程组解的讨论.解 参考10.(1988—Ⅳ,Ⅴ),此题只能用方法一(一般情形)(为什么?请读者自己考虑).1111111111321130012263(|)012260000035433120000022r a aa B Ab b b a a ⎡⎤⎡⎤⎢⎥⎢⎥-⎢⎥⎢⎥==→⎢⎥⎢⎥-⎢⎥⎢⎥--⎣⎦⎣⎦.(1)方程组有解301()()2203b a a R A R B a b -==⎧⎧⇔=⇒⇒⎨⎨-==⎩⎩;(2)当13a b =⎧⎨=⎩时,101152012263(|)00000000r B A b ----⎡⎤⎢⎥⎢⎥=→⎢⎥⎢⎥⎣⎦,方程组的解13452345522263x x x x x x x x =++-⎧⎨=---+⎩. 方程组的导出组的解134523455226x x x x x x x x =++⎧⎨=---⎩,令3451000,1,0001x x x ⎡⎤⎡⎤⎡⎤⎡⎤⎢⎥⎢⎥⎢⎥⎢⎥=⎢⎥⎢⎥⎢⎥⎢⎥⎢⎥⎢⎥⎢⎥⎢⎥⎣⎦⎣⎦⎣⎦⎣⎦,得方程组的导出组的一个基础解系123115226,,100010001ξξξ⎡⎤⎡⎤⎡⎤⎢⎥⎢⎥⎢⎥---⎢⎥⎢⎥⎢⎥⎢⎥⎢⎥⎢⎥===⎢⎥⎢⎥⎢⎥⎢⎥⎢⎥⎢⎥⎢⎥⎢⎥⎢⎥⎣⎦⎣⎦⎣⎦.令345000x x x ⎡⎤⎡⎤⎢⎥⎢⎥=⎢⎥⎢⎥⎢⎥⎢⎥⎣⎦⎣⎦,得方程组的一个特解23000η-⎡⎤⎢⎥⎢⎥⎢⎥=⎢⎥⎢⎥⎢⎥⎣⎦.则方程组的通解112233xk k k ηξξξ=+++,其中123,,k k k 为任意常数.21.(1990—Ⅳ) 已知对于n 阶方阵A ,存在自然数k ,使得0=k A .试证明矩阵A E -可逆,并写出其逆矩阵的表达式(E 为n 阶单位阵). 【考点】抽象矩阵求逆. 证 1()()k k kk E E A E A E A E A A -=-=-=-+++,所以A E -可逆,且11()k E A E A A ---=+++.22.(1990—Ⅴ)设A 为1010⨯矩阵10010000010000001100000A ⎡⎤⎢⎥⎢⎥⎢⎥=⎢⎥⎢⎥⎢⎥⎣⎦计算行列式A E λ-,其中E 为10阶单位矩阵,λ为常数.【考点】行列式的计算. 解101010A Eλλ--按第一列展开=.23.(1990—Ⅴ)设方阵A 满足条件T A A E =,其中T A 是A 的转置矩阵, E 为单位阵.试证明A 的实特征向量所对应的特征值的绝对值等于1. 【考点】特征值与特征向量的概念. 证 设A 的实特征向量0x ≠所对应的特征值为λ,则Ax x λ=.又22()()()()11T T T T Ax Ax x x x x x x λλλλλ=⇒=⇒=⇒=.(0)T x x x =≠【注】注意本题的A 是正交矩阵,由此有如下结论:实对称正交矩阵的特征值必为1±.24.(1991—Ⅰ,Ⅱ)已知123(1,0,2,3),(1,1,3,5),(1,1,2,1)a ααα===-+,4(1,2,4,8)a α=+及(1,1,3,5)b β=+.(1),a b 为何值时,β不能表示成1234,,,αααα的线性组合?(2),a b 为何值时,β有1234,,,αααα的唯一的线性表示式?并写出该表示式. 【考点】含有参数的向量可由向量组线性表示的讨论.解β可由1234,,,αααα线性表示⇔线性方程组11223344x x x x ααααβ+++=有解.12341111101121,,,2324335185T T T T T a b a ααααβ⎡⎤⎢⎥-⎢⎥⎡⎤=⎣⎦⎢⎥++⎢⎥+⎣⎦11111011210010010r a b a ⎡⎤⎢⎥-⎢⎥→⎢⎥+⎢⎥+⎣⎦. (1)当1,0a b =-≠时,线性方程组无解,β不能由1234,,,αααα线性表示;(2)当1a ≠-时,线性方程组有惟一解,β可由1234,,,αααα惟一地线性表示.此时123421000110100,,,10010100010r T T T T Tb a a b a b a ααααβ⎡⎤-⎢⎥+⎢⎥++⎢⎥⎢⎥⎡⎤→+⎣⎦⎢⎥⎢⎥⎢⎥+⎢⎥⎣⎦,则123421,,,0111b a b bx x x x a a a ++=-===+++,所以 1234210111b a b ba a a βαααα++=-++++++.25.(1991—Ⅰ,Ⅱ)设A 是n 阶正定矩阵,E 是n 阶单位矩阵,证明A E +的行列式大于1. 【考点】正定矩阵的性质,特征值的性质,实对称矩阵的对角化理论.证 方法一:A 为n 阶正定矩阵,则A 的特征值120,0,,0n λλλ>>>.而A E +的特征值分别为1211,11,,11n λλλ+>+>+>,则12(1)(1)(1)1n A E λλλ+=+++>.方法二:A 为n 阶正定矩阵,则存在正交矩阵U ,使得112(,,,)n U AU diag λλλ-=Λ=,即1A U U -=Λ.其中12,,,n λλλ为A 的特征值,且120,0,,0n λλλ>>>.则1111()A E U U UEU U E U U E U ----+=Λ+=Λ+=⋅Λ+⋅12(1)(1)(1)1n E λλλ=Λ+=+++>.26.(1991—Ⅳ,Ⅴ)设有三维列向量⎪⎪⎪⎭⎫ ⎝⎛=⎪⎪⎪⎭⎫ ⎝⎛+=⎪⎪⎪⎭⎫ ⎝⎛+=⎪⎪⎪⎭⎫ ⎝⎛+=23210,111,111,111λλβλαλαλα,问λ取何值时:(1)β可由321,,ααα线性表示,且表达式惟一;(2)β可由321,,ααα线性表示,且表达式不惟一; (3)β不能由321,,ααα线性表示.【考点】含参数的向量可由向量组线性表示的讨论,等价于含有参数的线性方程组解的讨论.解 方法一:(一般情形)12321110(,,)111111λαααβλλλλ+⎛⎫⎪=+ ⎪ ⎪+⎝⎭221110(1)00(3)(12)r λλλλλλλλλλλ⎛⎫+⎪→-- ⎪ ⎪-+--⎝⎭. (1)当12312300(,,)(,,,)3(3)03R R λλααααααβλλλ≠≠⎧⎧==⇔⇒⎨⎨-+≠≠-⎩⎩时,β可由321,,ααα惟一地线性表示;(2)当0λ=时,123123(,,)(,,,)13R R ααααααβ==<,β可由321,,ααα线性表示,且表达式不惟一;(3)当3λ=-时,123123(,,)2(,,,)3R R ααααααβ=≠=,β不能由321,,ααα线性表示.方法二:2123111,,111(3)111λαααλλλλ+=+=++.(1)当1230,,03λαααλ≠⎧≠⇒⎨≠-⎩时,123(,,)3R ααα=,β可由321,,ααα惟一地线性表示;(2)当0λ=时,12311101110(,,)1110000011100000r αααβ⎛⎫⎛⎫⎪⎪=→ ⎪ ⎪ ⎪ ⎪⎝⎭⎝⎭, 123123(,,)(,,,)13R R ααααααβ==<,β可由321,,ααα线性表示,且表达式不惟一;(3)当3λ=-时,123123(,,)2(,,,)3R R ααααααβ=≠=,β不能由321,,ααα线性表示.【注意】(1)向量β可由12,,,m ααα线性表示1122m m x x x αααβ⇔+++=有解12(,,,)m x αααβ⇔=有解Ax β⇔=有解,其中12(,,,)m A ααα=1212(,,,)(,,,)m m R R ααααααβ⇔=.(2)本题实质上等价为问λ取何值时,线性方程组 1231232123(1)0(1)(1)x x x x x x x x x λλλλλ⎧+++=⎪+++=⎨⎪+++=⎩有惟一解,无解,有无穷多解.27.(1991—Ⅳ)考虑二次型323121232221422x x x x x x x x x f +-+++=λ问λ取何值时,f为正定二次型?【考点】判别二次型正定的霍尔维茨定理.解 二次型的矩阵1142124A λλ-⎛⎫⎪= ⎪ ⎪-⎝⎭.则f 为正定二次型1223101402144(1)(2)0A λλλλλλ⎧∆=>⎪⎪⇔∆==->⇔-<<⎨⎪⎪∆==-+>⎩.28.(1991—Ⅳ)试证明n 维列向量n ααα,,,21 线性无关的充分必要条件是0212221212111≠=nTn T n T n nT T T n T T T D αααααααααααααααααα,其中Ti α表示列向量i α的转置,n i ,,2,1 =.【考点】线性无关的判别定理,分块矩阵的运算,矩阵的性质.证n 维列向量n ααα,,,21 线性无关⇔12,,,0n A ααα=≠.又()111121*********2,,,T T T T n T T T TT n n T T T Tn n n n n A A αααααααααααααααααααααααα⎛⎫⎛⎫⎪ ⎪ ⎪ ⎪== ⎪ ⎪⎪ ⎪ ⎪ ⎪⎝⎭⎝⎭,则2T D A A A==,即00D A ≠⇔≠.29.(1991—Ⅴ)设n 阶矩阵A 和B 满足条件A B AB +=.(1)证明A E -为可逆矩阵; (2)已知130210002B -⎡⎤⎢⎥=⎢⎥⎢⎥⎣⎦,求矩阵A .【考点】证明抽象矩阵可逆及解矩阵方程.证 (1)由()()()()A B AB A E B A E E A E B E E +=⇒---=⇒--=,则A E -可逆.(2)由(1)得,111021()103002A B E E -⎛⎫ ⎪⎪ ⎪=-+=-⎪ ⎪ ⎪ ⎪⎝⎭.30.(1991—Ⅴ)已知向量(1,,1)T k α=是矩阵211121112A ⎡⎤⎢⎥=⎢⎥⎢⎥⎣⎦的逆矩阵1A -的特征向量,试求常数k 的值.【考点】特征值与特征向量的概念. 解 设λ为对应于α的1A -的特征值,则1A A αλαλαα-=⇒=.解方程组得1k =或2-.【注意】(1)已知含参数的矩阵A 的特征值,求参数时,方法是运用特征值的性质或特征多项式求解;(2)已知含参数的矩阵A 的特征向量,求参数时,方法是运用特征值与特征向量的定义,得线性方程组再解之. 31.(1992—Ⅰ,Ⅱ)设向量组123,,ααα线性相关,向量组234,,ααα线性无关,问: (1)1α能否由23,αα线性表出?证明你的结论. (2)4α能否由123,,ααα线性表出?证明你的结论. 【考点】向量组线性相关的性质.解 (1)1α能由23,αα线性表出.事实上,234,,ααα线性无关,则23,αα线性无关,又123,,ααα线性相关,所以1α能由23,αα线性表出. (2)4α不能由123,,ααα线性表出. 方法一:123423423123(,,|)(,,)3(,)(,,)R R R R αααααααααααα≥=>=.方法二:假设4α能由123,,ααα线性表出.由(1)知1α能由23,αα线性表出,则4α能由23,αα线性表出,与234,,ααα线性无关矛盾.32.(1992—Ⅰ,Ⅱ)设三阶矩阵A 的特征值为1231,2,3λλλ===,对应的特征向量依次为1231111,2,3149ξξξ⎡⎤⎡⎤⎡⎤⎢⎥⎢⎥⎢⎥===⎢⎥⎢⎥⎢⎥⎢⎥⎢⎥⎢⎥⎣⎦⎣⎦⎣⎦,又向量113β⎡⎤⎢⎥=⎢⎥⎢⎥⎣⎦.(1)将β用123,,ξξξ线性表出; (2)求nAβ(n 为自然数).【考点】向量的线性表示,特征值与特征向量的概念.解 (1)解方程组111223312323(,,)x x x x x x ξξξβξξξβ⎛⎫⎪++=⇔= ⎪⎪⎝⎭得12322βξξξ=-+.(2)121123112233322232222223223n n n n n n n n n n n n n A A A A βξξξλξλξλξ+++++⎛⎫-+ ⎪=-+=-+=-+ ⎪ ⎪-+⎝⎭.33.(1992—Ⅱ)设,A B 为3阶矩阵,I 为三阶单位矩阵,满足2AB I A B +=+,又知101020101A ⎡⎤⎢⎥=⎢⎥⎢⎥-⎣⎦,求矩阵B .34.(1992—Ⅳ)设矩阵A 与B 相似,其中20010022,02031100A x B y --⎡⎤⎡⎤⎢⎥⎢⎥==⎢⎥⎢⎥⎢⎥⎢⎥⎣⎦⎣⎦.(1)求x 和y 的值; (2)求可逆矩阵P ,使1P AP B -=.【考点】已知矩阵的特征值求矩阵含参数;相似矩阵的性质;矩阵的相似对角化. 解 (1)方法一:A 与B 相似,则A E B Eλλ-=-,即2(2)((1)(2))(1)(2)()x x y λλλλλλ+-++-=+--,解得0,2x y ==-.方法二:显然B 的特征值为1,2,y -;A 有特征值2-.A 与B 相似,则A 与B 有相同的特征值,故2y =-.又(1)2(2)10y x x -++=-++⇒=(2)A 的对应于特征值1,2,2--的特征向量分别为1230012,1,0111p p p -⎡⎤⎡⎤⎡⎤⎢⎥⎢⎥⎢⎥=-==⎢⎥⎢⎥⎢⎥⎢⎥⎢⎥⎢⎥⎣⎦⎣⎦⎣⎦,令可逆矩阵123(,,)P p p p =,则1P AP B -=.【注意】(1) 对(1)求解时,若由(1)2(2)1(1)22(2)y x y A x -++=-++⎧⎪⎨-⋅⋅==--⎪⎩,得,x y 有无穷多解,此时这种方法失效.(2) 在(1)的解法中,方法二非常简便,它综合运用了特征值的性质,避免了烦琐的计算.读者不觉得好好玩味一下吗?35.(1992—Ⅳ)已知三阶矩阵B O ≠,且B 的每一个列向量都是以下方程组的解:123123123220,20,30.x x x x x x x x x λ+-=⎧⎪-+=⎨⎪+-=⎩ (1)求λ的值; (2)证明0B =.【考点】线性方程组解的理论的应用.解 (1)由题意知,齐次线性方程组有非零解,则方程组的系数行列式122215(1)01311A λλλ-=-=-=⇒=-.(2)由题意,得0AB =.若00B A ≠⇒=,矛盾,所以0B =.或 由0()()3AB R A R B =⇒+≤;又0()1A R A ≠⇒≥,则()3R B <⇒0B =.【注意】 (1) 若0m s s n A B ⨯⨯=,则有下面两个常用的结论:①()()R A R B s +≤.②若B O ≠,则齐次线性方程组0m s A x ⨯=有非零解.(2)0()n n A R A n ⨯=⇔<,即非奇异矩阵就是降秩矩阵.36.(1992—Ⅳ)设,A B 分别为,m n 阶正定矩阵,试判定分块矩阵A O C O B ⎡⎤=⎢⎥⎣⎦是否是正定矩阵. 【考点】正定矩阵的判别定理.解 方法一:用定义证明.0x y ⎛⎫∀≠ ⎪⎝⎭,不妨设0x ≠,则0,0T T x Ax y By >≥,故()0TT T T T x x A O x C x y x Ax y By y y O B y ⎛⎫⎛⎫⎛⎫⎛⎫==+> ⎪ ⎪ ⎪⎪⎝⎭⎝⎭⎝⎭⎝⎭,即A O CO B ⎡⎤=⎢⎥⎣⎦是正定矩阵.方法二:用特征值证明.A E O C E A EB E OB Eλλλλλ--==-⋅--,即C 的特征值由,A B 的特征值的全部.而,A B 的特征值全大于零,则C 的特征值全大于零,即C 是正定矩阵.【注意】讨论抽象矩阵的正定性,一般用上面两种方法.37.(1992—Ⅴ)设矩阵101020101A ⎡⎤⎢⎥=⎢⎥⎢⎥⎣⎦,矩阵X 满足2AX I A X +=+,其中I为三阶单位矩阵.试求出矩阵X .【考点】解矩阵方程.解 由2()()()AXI A X A I X A I A I +=+⇒-=-+.又10A I -=-≠,则201030102X A I ⎛⎫ ⎪=+= ⎪ ⎪⎝⎭.【注意】此题也可由12()()X A I A I -=--求解,但计算烦琐.在矩阵的运算时,应尽量应用矩阵的性质先化简.38.(1992—Ⅴ)设线性方程组123123123220,20,30x x x x x x x x x λ+-=⎧⎪-+=⎨⎪+-=⎩ 的系数矩阵为A ,三阶矩阵B O ≠,且AB O =.试求λ的值.参考35.(1992—Ⅳ)的(1).39.(1992—Ⅴ)已知实矩阵33ij A a ⨯⎡⎤=⎣⎦满足条件:(1)ijij a A =(,1,2,3i j =),其中ij A 是ij a 的代数余子式;(2)110a ≠.计算行列式A.【考点】伴随矩阵及其性质;行列式按行(列)展开定理. 解 由23**0T T ij ij a A A A AA AA A E A A A =⇒=⇒==⇒=⇒=或1A =.又22211111212131311121301A a A a A a A a a a A =++=++≠⇒=.40.(1993—Ⅰ,Ⅱ)已知二次型222123232332(0)f x x x ax x a =+++>,通过正交变换化为标准形22212325f y y y =++,求参数a 及所用的正交变换矩阵.【考点】二次型理论;用正交变换化二次型为标准形的方法.解 二次型的矩阵2000303A a a ⎛⎫ ⎪= ⎪ ⎪⎝⎭,则A 的特征值为1231,2,5λλλ===.由22(2)(69)(1)(2)(5)2a A E a a λλλλλλλ>-=--+-=---⇒=.或 由2123952a A a a λλλ>=⇒-=⇒=.对应于特征值11λ=的特征向量1011ξ⎛⎫⎪=- ⎪ ⎪⎝⎭,单位化,得1110p ξξ⎛⎫⎪ ⎪ == ⎪ ⎪⎝⎭;对应于特征值22λ=的特征向量2100ξ⎛⎫ ⎪= ⎪ ⎪⎝⎭,单位化,得2100p ⎛⎫ ⎪= ⎪ ⎪⎝⎭;对应于特征值35λ=的特征向量3011ξ⎛⎫⎪= ⎪ ⎪⎝⎭,单位化,得3330p ξξ⎛⎫ ⎪ ⎪==.则所求的正交变换矩阵123010(,,)00P p p p ⎛⎫ ⎪ ⎪ == ⎝. 41.(1993—Ⅰ,Ⅱ)设A 是n m ⨯矩阵,B 是m n ⨯矩阵,其中n m <,I 是n 阶单位矩阵.若AB I =,证明B 的列向量组线性无关.【考点】抽象向量组线性相关性的判别.证 方法一:用定义证明.设10()000m n n B x AB x Ix x ⨯⨯=⇒=⇒=⇒=,则B 的列向量组线性无关. 方法二:用矩阵的秩证明.()()()()n R B R AB R I n R B n ≥≥==⇒=,则B 的列向量组线性无关.42.(1993—Ⅱ)已知3R 的两个基为1231111,0,0111ααα⎡⎤⎡⎤⎡⎤⎢⎥⎢⎥⎢⎥===⎢⎥⎢⎥⎢⎥⎢⎥⎢⎥⎢⎥-⎣⎦⎣⎦⎣⎦与1231232,3,4143βββ⎡⎤⎡⎤⎡⎤⎢⎥⎢⎥⎢⎥===⎢⎥⎢⎥⎢⎥⎢⎥⎢⎥⎢⎥⎣⎦⎣⎦⎣⎦,求由基123,,ααα到基123,,βββ的过渡矩阵P .【考点】过渡矩阵的概念;矩阵的运算.解1123123123123234(,,)(,,)(,,)(,,)010101P P βββααααααβββ-⎛⎫⎪=⇒==- ⎪ ⎪--⎝⎭. 【注意】由基12,,,r ααα到基12,,,r βββ的过渡矩阵P 定义为1212(,,,)(,,,)r r P βββααα=,即P 是向量组12,,,r βββ由12,,,r ααα线性表示的系数矩阵.43.(1993—Ⅳ)k 为何值时,线性方程组12321231234,,24,x x kx x kx x k x x x ++=⎧⎪-++=⎨⎪-+=-⎩ 有唯一解,无解,有无穷多组解?在有解情况下,求出其全部解. 【考点】含参数的线性方程组解的讨论.解 方法一:(一般情形)21141124()1102281124(4)(1)00(4)2r kB A b k k k k k k k ⎛⎫⎪--⎛⎫ ⎪⎪==-→- ⎪ ⎪ ⎪ ⎪---+⎝⎭- ⎪⎝⎭.(1)方程组有惟一解(4)(1)()()3012k k R A R B k -+⇔==⇔≠⇒≠-且4k ≠,此时222100124010120011r k k k k k B k k k ⎛⎫+ ⎪+ ⎪⎪++→ ⎪+⎪⎪-⎪+⎝⎭则解为221232242,,111k k k k kx x x k k k +++===-+++.(2)当1k =-时,()2()3R A R B =≠=,方程组无解.(3)当4k=时,()()23R A R B ==<,方程组有无穷多解,此时103001140000rB ⎛⎫⎪→ ⎪ ⎪⎝⎭解为132334x x x x =-⎧⎨=-+⎩,则通解为034101x c -⎛⎫⎛⎫⎪ ⎪=+- ⎪ ⎪⎪ ⎪⎝⎭⎝⎭,其中c 为任意常数.方法二:(特殊情形)方程组的系数行列式(4)(1)A k k =-+.(1)当01A k ≠⇒≠-且4k ≠时,方程组有惟一解,由Crammer 法则得解为221232242,,111k k k k k x x x k k k +++===-+++.(2)当1k =-时,11141124()1111023811240005r B A b ---⎛⎫⎛⎫⎪⎪==--→-⎪ ⎪ ⎪ ⎪--⎝⎭⎝⎭, ()2()3R A R B =≠=,方程组无解.(3)当4k =时,11441124()14116022811240000r B A b --⎛⎫⎛⎫⎪⎪==-→⎪ ⎪ ⎪ ⎪--⎝⎭⎝⎭, ()()23R A R B ==<,方程组有无穷多解,且103001140000rB ⎛⎫⎪→ ⎪ ⎪⎝⎭,解为132334x x x x =-⎧⎨=-+⎩,则通解为034101x c -⎛⎫⎛⎫ ⎪ ⎪=+- ⎪ ⎪ ⎪ ⎪⎝⎭⎝⎭,其中c 为任意常数.44.(1993—Ⅳ)设二次型222123122313222f x x x x x x x x x αβ=+++++经正交变换x Py =化成22232f y y =+,其中12(,,,)T n x x x x =和12(,,,)T n y y y y =都是三维列向量,P 是三阶正交矩阵.试求常数,αβ.【考点】二次型理论.解 二次型的矩阵11111A ααββ⎛⎫⎪=⎪ ⎪⎝⎭,其特征值为0,1,2,则(0)(1)(2)(1)(2)0A E λλλλλλλαβ-=---=---⇒==.(这里为什么不能用特殊方法,请读者自己思考).45.(1993—Ⅴ)已知三阶矩阵A 的逆矩阵1111121113A -⎡⎤⎢⎥=⎢⎥⎢⎥⎣⎦为,试求其伴随矩阵*A 的逆矩阵.【考点】矩阵运算.解*1111521()()220101AA A A A------⎛⎫⎪===- ⎪ ⎪-⎝⎭.46.(1993—Ⅴ)设A 是m n ⨯矩阵,B 是n m ⨯矩阵,E 是n 阶单位矩阵(m n >),已知BA E =.试判断A 的列向量组是否线性相关?为什么?参考(1993—Ⅰ,Ⅱ).47.(1994—Ⅰ,Ⅱ)设四元齐次线性方程组(Ⅰ)为12240,0.x x x x +=⎧⎨-=⎩又已知某齐次线性方程组(Ⅱ)的通解为12(0,1,1,0)(1,2,2,1)k k +-; (1)求线性方程组(Ⅰ)的基础解系;(2)问线性方程组(Ⅰ)和(Ⅱ)是否有非零公共解?若有,则求出所有的非零公共解.若没有,则说明理由.【考点】齐次线性方程组的基础解系;两个线性方程组的公共解.解 (1)线性方程组(Ⅰ)的解为14243344x x x x x x x x =-⎧⎪=⎪⎨=⎪⎪=⎩.取3410,01x x ⎛⎫⎛⎫⎛⎫=⎪ ⎪ ⎪⎝⎭⎝⎭⎝⎭,得所求基础解系()()120,0,1,0,1,1,0,1ξξ==-.(2)将方程组(Ⅱ)的通解代入方程组(Ⅰ),得1212120k k k k k k +=⎧⇒=-⎨+=⎩.当120k k =-≠时, 方程组(Ⅰ)和(Ⅱ)有非零公共解,且为222(0,1,1,0)(1,2,2,1)(1,1,1,1)(1,1,1,1)x k k k k =-+-=-=-其中k 为不为零的任意常数.【注意】求两个线性方程组1Axb =和2Bx b =的公共解的方法.(1)若已知两个方程组1Ax b =和2Bx b =,则求它们的公共解就是求12Ax b Bx b =⎧⎨=⎩的解;(2)若已知一个方程组1Ax b =和另一个方程组2Bx b =的通解(方程组2Bx b =未知),则求它们的公共解的方法是:将2Bxb =的通解代入到已知方程组1Ax b =中,解出2Bx b =的通解中任意常数的条件(如果任意常数无解,则无公共解),再代入2Bx b =的通解中,从而得到方程组1Ax b =和2Bx b =的公共解;(3)若已知两个方程组1Ax b =和2Bx b =的通解(两个方程组未知),则求它们的公共解的方法是:令两个方程组的通解相等,只要解出一个方程组(不妨设为1Ax b =)的通解中的任意常数的条件(如果任意常数无解,则无公共解),再代入1Ax b =的通解中,从而得到方程组1Ax b =和2Bx b =的公共解.(4)对于两个齐次线性方程组,由于它们总有公共的零解,因此关于它们公共解的讨论为它们是否有公共的非零解.本题是第二种情形.为了让读者了解两个方程组公共解的求法,下面举两例说明第一和第三种情形.(它们是本题的变形)例1 求线性方程组122400x x x x +=⎧⎨-=⎩和14230x x x x +=⎧⎨-=⎩的公共的非零解.解 这是第一种情形.所求公共的非零解即为方程组122414230000x x x x x x x x +=⎧⎪-=⎪⎨+=⎪⎪-=⎩的非零解,可求得为(1,1,1,1)x k =-,其中k 为不为零的任意常数.例2 已知齐次线性方程组(Ⅰ)的通解为()()120,0,1,01,1,0,1x l l =+-,又已知某齐次线性方程组(Ⅱ)的通解为12(0,1,1,0)(1,2,2,1)k k +-.求线性方程组(Ⅰ)和(Ⅱ)的非零公共解.解 令()()1212(0,1,1,0)(1,2,2,1)0,0,1,01,1,0,1k k l l +-=+-,解得12k k =-.当120k k =-≠时, 方程组(Ⅰ)和(Ⅱ)的非零公共解为222(0,1,1,0)(1,2,2,1)(1,1,1,1)(1,1,1,1)x k k k k =-+-=-=-其中k 为不为零的任意常数. 请读者比较本题与例1和例2的解题思路,条件不同,解题方法也不同,虽然目的是一样的. 48.(1994—Ⅰ,Ⅱ)设A 为n 阶非零矩阵,*A 是A 的伴随矩阵,T A 是A 的转置矩阵.当*T A A =时,证明0A ≠.【考点】矩阵的乘法;伴随矩阵的性质.证 由**T T A A AA AA A E =⇒==.假设0T A AA O =⇒=.考虑T AA 的主对角线上的元素,令()T ij AA B b ==,则222121200ii i i in i i in b a a a a a a =+++=⇒====,即A 的第i行的元素全为零,由i 的任意性,得A 的元素全为零,即A O =,矛盾.49.(1994—Ⅱ)设A 是n 阶方阵,2,4,,2n 是A 的n 个特征值,I是n 阶单位阵.计算行列式3A I-的值.【考点】特征值的性质或矩阵的对角化. 解 方法一:由特征值的定义,马上得到:若λ为A 的特征值,则3λ-为3A I-的特征值(为什么?).所以3A I-的特征值为1,1,3,,23n --,故3(1)13(23)[(23)!!]A I n n -=-⨯⨯⨯⨯-=--.方法二:A 有n 个不同的特征值,则A 能对角化,即存在可逆矩阵P ,使得11(2,4,,2)P AP diag n A P P --=Λ=⇒=Λ.1133(3)3[(23)!!]A I P P I P I P I n ---=Λ-=Λ-=Λ-=--.50.(1994—Ⅳ) 设线性方程组⎪⎪⎩⎪⎪⎨⎧=++=++=++=++34324241333232313232222131321211a x a x a x a x a x a x a x a x a x a x a x a x (1)证明:若4321,,,a a a a 两两不相等,则此线性方程组无解;(2)设1324,(0)a a k a a k k ====-≠,且已知21,ββ是该方程组的两个解,其中⎪⎪⎪⎭⎫ ⎝⎛-=⎪⎪⎪⎭⎫ ⎝⎛-=111,11121ββ,写出此方程组的通解. 【考点】非齐次线性方程组有解的判别定理;非齐次线性方程组解的性质及结构;范德蒙行列式.证 (1)()3R A ≤(更进一步()3R A =,为什么?),而14()0()4i j j i Ba a R B ≤<≤=-≠⇒=∏范氏行列式因为()()R A R B ≠,所以线性方程组无解.(2)经计算得()()23R A R B ==<,方程组有无穷多解,且对应的齐次方程组的基础解系所含解向量个数为()321n R A -=-=个,取为12(2,0,2)T ξββ=-=-,则此方程组的通解为1x k βξ=+,其中k 为任意常数. 【注意】(1)求矩阵的秩时不要动不动就是初等行变换,如果变换很繁,想想能否从定义和秩的性质推导.请读者仔细体会本题的(1);(2)已知方程组的特解求其通解时,第一感应该是利用解的性质和解的结构去解决;有时对选择题或填空题还可观察出方程组的解.不管方程组是否具体知道.不要动不动就去解方程组(特别是方程组含参数时).切记切记.51.(1994—Ⅳ,Ⅴ)设⎪⎪⎪⎭⎫ ⎝⎛=0011100y x A 有三个线性无关的特征向量,求x 和y 应满足的条件.【考点】特征值与特征向量.解2(1)(1)A E λλλ-=--+1,231,1λλ⇒==-.对于二重特征值1,21λ=应有两个线性无关的特征向量,则()1R A E -=0x y ⇒+=.【注意】(1)此类问题的理论根据是:重特征值有重数个线性无关的特征向量,即设λ为n 阶矩阵A 的r 重特征值,则A 有属于λ的r 个线性无关的特征向量()R A E n r λ⇔-=-.关键是考虑重特征值情形,最后转化为含参数的矩阵的秩的讨论.(2)矩阵A 能对角化(与对角矩阵相似)A ⇔的重特征值有重数个线性无关的特征向量.(3)本题的等价问题是:设⎪⎪⎪⎭⎫ ⎝⎛=0011100y x A 能对角化(与对角矩阵相似) ,求x 和y 应满足的条件.52.(1994—Ⅴ)设123,,ααα是齐次线性方程组0Ax =的一个基础解系.证明122,ααα+331,ααα++也是该方程组的一个基础解系.【考点】基础解系的概念.证 显然0Ax =的基础解系含三个线性无关的解向量.由齐次线性方程组解的性质,知122,ααα+331,ααα++为0Ax =的解.只须证明122,ααα+331,ααα++线性无关.122331123123101(,,)(,,)110(,,)011K αααααααααααα⎛⎫⎪+++== ⎪ ⎪⎝⎭而122331123()3(,,)(,,)3R K R R ααααααααα=⇒+++==,即122,ααα+331,ααα++线性无关. 【注意】要证明12,,,r ααα为齐次线性方程组0Ax =的基础解系,必须说明:(1)12,,,r ααα是0Ax =的解;(2)r=齐次线性方程组0Ax =的未知数的个数()R A -;(3)12,,,r ααα线性无关.53.(1995—Ⅰ,Ⅱ)设三阶实对称矩阵A 的特征值为1231,1λλλ=-==,对应于1λ的特征向量为1011ξ⎡⎤⎢⎥=⎢⎥⎢⎥⎣⎦,求A.【考点】实对称矩阵对角化理论.解 设对应于特征值231λλ==的特征向量为x ,则1ξ与x 正交,即10T x ξ=,其基础解系为23100,101ξξ⎛⎫⎛⎫ ⎪ ⎪==- ⎪ ⎪⎪ ⎪⎝⎭⎝⎭.令可逆矩阵()123,,P ξξξ=,则1123(,,)P AP diag λλλ-=Λ=,故1100001010A P P -⎛⎫⎪=Λ=- ⎪ ⎪-⎝⎭.【注意】此类问题为已知矩阵A 的特征值和特征向量,求矩阵A .问题的关键是利用矩阵与对角矩阵相似.包括两种情形:(1)已知矩阵A 的全部特征值和全部线性无关的特征向量,求矩阵A .这时A 不一定是对称矩阵,只能由1P AP -=Λ求A ;(见本题解法)(2)已知矩阵A 的全部特征值和部分线性无关的特征向量,求矩阵A .这时A 一定是对称矩阵.在求出A 的全部线性无关的特征向量后(利用实对称矩阵不同的特征值对应的特征向量正交),可以两种方法处理:①同(1).由1P AP -=Λ求A .(此时需求逆矩阵)②求出A 的全部两两正交且单位化的特征向量,构造正交矩阵U.由1T UAU U AU -==Λ得T A U U =Λ.(此时不需要求逆矩阵,但多了向量组的正交单位化过程)③建议读者用方法①,以便统一处理这类问题. 54.(1995—Ⅰ,Ⅱ)设A 是n阶矩阵,满足T AA I =(I是n阶单位矩阵,TA 是A 的转置矩阵),0A <,求A I+.【考点】矩阵的运算性质.解()()T T T A I A A A A I A A A T A AI +=+=+=⋅+=⋅+(1)00A A A I A I <⇒-+=+=.55.(1995—Ⅳ)已知向量组321,,)(αααI ;4321,,,)(ααααII ;5321,,,)(ααααIII,如果各向量组的秩分别为4)(,3)()(=I I I =I I =I R R R .证明:向量组45321,,,ααααα-的秩为4.【考点】向量组线性相关的性质;向量组秩的计算. 解 方法一:要证向量组45321,,,ααααα-的秩为4,等价于证明45321,,,ααααα-线性无关.由()()3R R I =II =,得123,,ααα线性无关,而1234,,,αααα线性相关,则4α可由123,,ααα线性表示,即存在123,,k k k ,使得4112233k k k αααα=++.令112233454()0x x x x ααααα+++-=,则14112422343345()()()0x x k x x k x x k x αααα-+-+-+=.又()4R III =,则1235,,,αααα线性无关,故1412421234343400000x x k x x k x x x x x x k x -=⎧⎪-=⎪⇒====⎨-=⎪⎪=⎩,则45321,,,ααααα-线性无关,所以向量组45321,,,ααααα-的秩为4.方法二:由()()3R R I =II =,得123,,ααα线性无关,而1234,,,αααα线性相关,则4α可由123,,ααα线性表示,即存在123,,k k k ,使得4112233k k k αααα=++.则41,2,3123541235(,,,)(,,,)j jc k c j ααααααααα+=-→所以123541235(,,,)(,,,)4R R ααααααααα-==.56.(1995—Ⅳ)已知二次型323121232232184434),,(x x x x x x x x x x x f +-+-=.(1)写出二次型f的矩阵表达式;(2)用正交变换把二次型f化为标准型,并写出相应的正交矩阵.【考点】二次型的矩阵;用正交变换把二次型化为标准型的方法.解 (1) 二次型的矩阵022244243A -⎛⎫ ⎪= ⎪ ⎪--⎝⎭,则二次型f 的矩阵表达式T f x Ax =.(2)A 的特征多项式(6)(1)(6)A E λλλλ-=-+--,则A 的特征值1236,1,6λλλ=-==.16λ=-对应的正交单位化特征向量1Tp =;21λ=对应的正交单位化特征向量2T p =;36λ=对应的正交单位化特征向量3Tp =.令正交矩阵123(,,)0P p p p⎛==⎝,所求正交变换112233x yx P yx y⎛⎫⎛⎫⎪ ⎪=⎪ ⎪⎪ ⎪⎝⎭⎝⎭,二次型f的标准型22212366f y y y=-++.57.(1995—Ⅴ)对于线性方程组1231231233,2,2.x x xx x xx x xλλλλ++=-⎧⎪++=-⎨⎪++=-⎩讨论λ取何值时,方程组无解,有唯一解和无穷多组解.在方程组有无穷多组解时,试用其导出组的基础解系表示全部解.【考点】含参数的线性方程组解的讨论.解方法一(一般情形):113112 (|)112011011200(1)(2)3(1)rB A bλλλλλλλλλλ--⎛⎫⎛⎫⎪ ⎪==-→--⎪ ⎪⎪ ⎪--+-⎝⎭⎝⎭(1)方程组有惟一解()()31R A R Bλ⇔==⇒≠且2λ≠-;(2)当1λ=时,11120000()()130000rB R A R B-⎛⎫⎪→⇒==<⎪⎪⎝⎭,方程组有无穷多解,且1232x x x=---则方程组的通解12211010,001x k k---⎛⎫⎛⎫⎛⎫⎪ ⎪ ⎪=++⎪ ⎪ ⎪⎪ ⎪ ⎪⎝⎭⎝⎭⎝⎭其中12,k k为任意常数;(3)当2λ=-时,()2()3R A R B=≠=,方程组无解.方法二(特殊情形):方程组的系数行列式2(1)(2)Aλλ=-+.(1)当0A≠,即1λ≠且2λ≠-时方程组有惟一解;(2)当1λ=时,11120000()()130000rB R A R B-⎛⎫⎪→⇒==<⎪⎪⎝⎭,方程组有无穷多解,且。
线性代数的重要题型三:向量组的线性相关性的证明向量组的线性相关性是考试的重点,经常是以解答题和客观题的形式来考查.2008年和2009年连续两年以证明题的形式考查了向量组的线性相关性。
向量组线性相关性的证明主要用到的方法是定义和秩.一、定义法.利用定义法证明向量组1,,s αα的线性相关性,应先设11s s k k ++=0αα,再根据已知条件通过恒等变形(重组、同乘)转化为齐次线性方程组,讨论1,,s k k 是否全为0,从而得到结论.对于向量组1,,s αα,若存在不全为0的数1,,s k k 使上式成立,则1,,s αα线性相关;若上式当且仅当10s k k ===时才成立,则1,,s αα线性无关. 二、秩.(1)1,,s αα线性相关⇔1(,,)s r s <αα; 1,,s αα线性无关⇔1(,,)s r s =αα. 特别地,n 个n 维向量12,,,n a a a 的线性相关⇔12,,,0a a a n =;n 个n 维向量12,,,n a a a 的线性无关⇔12,,,0a a a n ≠.(2)利用“三秩相等”,经常将向量组的秩转化为矩阵的秩.用秩的时候经常用到下面几个定理:①()(),()()r r r r ≤≤AB A AB B .②若m n r =n ⨯A (),则()()r r =AB B .③若m n n s ⨯⨯=A B O ,则()()r r n +≤A B .【例1】设A 是n 阶矩阵,123,,ααα是n 维列向量,且1≠0α,112123233,23,23,==+=+A ααA αααA ααα证明123,,ααα线性无关.【分析】对112233k k k ++=0ααα,如何证明系数1230k k k ===呢?先仔细分析已知条件,112123233,23,23,==+=+A ααA αααA ααα其实就是12132(3),(3)2,(3)2,-=-=-=0A E αA E ααA E αα这启发我们应用3-A E 左乘112233k k k ++=0ααα来作恒等变形.【证明】设 112233k k k ++=0ααα, ① 用3-A E 左乘①式,有112233(3)(3)(3),k k k -+-+-=0A E αA E αA E α即 213222k k +=0αα. ②再用3-A E 左乘②式,可得21322(3)2(3),k k -+-=0A E αA E α即314k =0α.由1≠0α,故必有30k =;将其代入②式得212k =0α,故有20k =;再将其代入①式得11k =0α,故有10k =,所以123,,ααα线性无关.【评注】用定义法证明向量组的线性相关性时,需要作恒等变形,最常用的两种变形方法是拆项重组和同乘(等式两端同乘以同一个矩阵).【例2】已知四维列向量123,,ααα线性无关,(1,2,3,4)i i =β为非零向量,且与123,,ααα均正交,求向量组1234,,,ββββ的秩.【解析】123,,ααα均正交,即0(,1,2,3,4)αβT j i i j ==.以123,,T T T ααα为行向量作为矩阵123A αααT T T =⎛⎫ ⎪ ⎪ ⎪⎝⎭,1234,,,ββββ为列向量作为矩阵()1234,,,B ββββ=,则AB O =.利用矩阵秩的性质得到()+()4A B r r ≤.123,,ααα线性无关,则()3A r =,从而()1B r ≤(1,2,3,4)i i =β为非零向量,则()1B r ≥,得到()=1B r ,即1234(,,,)1r =ββββ.。
◆定理1 向量组α1, α2,…, αn线性相关(⽆关)的充要条件是向量组中⾄少有⼀个(任⼀)向量可由(均不能)其余s-1个向量线性表出.◆定理2 向量组αj=(α1j, α2j,…, αnj)(j=1,2,…,s)线性相关(⽆关)的充要条件是齐次线性⽅程组有⾮零解(唯⼀零解).◆定理3 向量组α1, α2,…, αn线性⽆关,向量组α1, α2,…, αn,β线性相关,则β可由α1,α2,…,αn线性表出,且表法唯⼀.◆定理4 向量组(I)β1,β2,…,βn中的每⼀个向量均可由向量组(II)α1, α2,…, αm线性表出,且n>m,则向量组(I)β1,β2,…,βn线性相关(以少表多,则多相关);反之,若(I)中每⼀个向量均可由(II)表出,且(I)线性⽆关,则s≤t.◆向量组等价两向量组等价,且记作(I)≅ (II).如果(I) α1, α2,…, αn和(II)β1,β2,…,βn可以互相线性表出,则成两向量组等价◆三秩相等r(A)=A的⾏秩(A的⾏向量组的值)=A的列秩(A的列向量组的值)◆初等变换不改变矩阵的秩设P1,Q1为初等矩阵,P,Q为可逆矩阵,则(1) r(A)=r(P1A)=r(AQ1)=r(P1AQ1)=r(PA)=r(AQ)=r(PAQ);(2) PAQ=B⇔A≅B⇔r(A)= r(B);(3) 若A经过初等⾏变换得到B,则A的⾏向量组与B的⾏向量组是等价向量组;(4) 若A经过初等⾏变换得到B,则A和B的任何相应的部分列向量组具有相同的线性相关性.◆有关等式与不等式设A是m×n矩阵,B是满⾜有关矩阵运算要求的矩阵,则◆施密特正交化公式如果向量αTβ=0,则称向量α,β为正交向量.设α1,α2,…,αn为线性⽆关组,则其对应的正交向量组可按如下公式求:得到β1,β2,…,βn为正交向量组,将该向量组单位化,则得到⼀组标准正交向量组.◆过渡矩阵设α=(α1,α2,…,αn)与β=(β1,β2,…,βn)是R n的两组基,如果有β=AαT,则A称为过渡矩阵. 过渡矩阵是可逆矩阵.◆正交矩阵设A是n阶⽅阵,满⾜AA T=E或A T A=E,则称A为正交矩阵. A是正交矩阵,A T=A-1⇔A的⾏(列)向量组是标准正交向量组.◆正交变换设A是正交矩阵,则称y=Ax为正交变换,正交变换保持向量的内积不变,即保持向量的长度和两向量的夹⾓不变.(1) 有关向量的概念及其性质的命题解题⽅法:解题⽅法●向量的线性组合,向量组的线性相关与线性⽆关,极⼤线性⽆关组,向量空间的基,⼀定记熟.●重要定理,如增加向量不改变相关,增加分量不改变⽆关,等价向量组等秩,被表出的⽆关组的秩不超过表出组向量个数。
●第一句话:题设条件与代数余子式Aij或A*有关,则立即联想到用行列式按行(列)展开定理以及AA*=A*A=|A|E。
●第二句话:若涉及到A、B是否可交换,即AB=BA,则立即联想到用逆矩阵的定义去分析。
●第三句话:若题设n阶方阵A满足f(A)=0,要证aA+bE可逆,则先分解因子aA+bE再说。
●第四句话:若要证明一组向量α1,α2,…,αS线性无关,先考虑用定义再说。
●第五句话:若已知AB=0,则将B的每列作为Ax=0的解来处理
●第六句话:若由题设条件要求确定参数的取值,联想到是否有某行列式为零再说。
●第七句话:若已知A的特征向量ξ0,则先用定义Aξ0=λ0ξ0处理一下再说。
●第八句话:若要证明抽象n阶实对称矩阵A为正定矩阵,则用定义处理一下再说。
线性代数常见证明题型及
常用思路
The Standardization Office was revised on the afternoon of December 13, 2020
《线性代数》常见证明题型及常用思路
二、证明题
题型1.关于1,
,m αα线性相关性的证明中常用的结论 (1)设110m m λαλα++=,然后根据题设条件,通过解方程
组或其他手段:如果能证明1,,m λλ必全为零,则1,,m αα线性
无关;如果能得到不全为零的1,
,m λλ使得等式成立,则1,,m αα线性相关。
(2)1,,m αα线性相关当且仅当其中之一可用其他向量线性表
示。
(3)如果1,
,n m F αα∈,则可通过矩阵的秩等方面的结论证明。
(4)如果我们有两个线性无关组,
11,,,m W αα∈12,,,t W ββ∈且12,W W 是同一个线性空间的两
个子空间,要证11,
,,,,m t ααββ线性无关。
这种情况下,有些时候我们设
111111110,,m m t t m m t t
λαλαμβμβαλαλαβμβμβ+
++++==++=++。
根据题设条件往往能得到0αβ==,进而由
11,,,m W αα∈12,,t W ββ∈的线性无关得到系数全为零。
题型2. 关于欧氏空间常用结论
(1)内积的定义
(2)单位正交基的定义
(3)设1{,,}n B αα=是单位正交基,
11(,,),(,,)B n B n u x x v y y ==。
则
11(,)n n u v x y x y =++ 5 题型3. 关于矩阵的秩的证明中常用的结论
(1)初等变换不改变矩阵的秩
(2)乘可逆矩阵不改变矩阵的秩 (3)阶梯形的秩
(4)几个公式(最好知道如何证明):常用来证明关于秩的不等式 ()()();
()min{(),()};
()()();
max{(),()}(,)()();()();()()()()();0()()T T T T m n r A B r A r B r AB r A r B r A r A r A A A r A r B r A B r r A r B B A r r A r B B A r A r B r r A r B r C C B A B r A r B n
⨯+≤+≤==⎛⎫≤=≤+ ⎪⎝⎭
⎛⎫=+ ⎪⎝⎭
⎛⎫+≤≤++ ⎪⎝⎭
=⇒+≤ (5)利用分块矩阵的初等变化不改变矩阵的秩(常用来证明关于秩的不等式)
例:证明:()()()m n r A r B n r AB ⨯+≤+。
证:
()()()0n n n E E n r AB r r AB A
AB E B r r A r B A ⎛⎫⎛⎫+== ⎪ ⎪⎝⎭⎝⎭-⎛⎫=≤+ ⎪⎝⎭
上面第二个等号是用A 左乘第一个分块矩阵的第一行,然后加到第二行所得;第三个等号是用B -又乘第二个分块矩阵的第一列,然后加到第二列所得。
(6)利用齐次线性方程组解的结构
(dim ()()m n N A n r A ⨯=-),此方法也可以用来证明关于向量组的秩方面的的问题。
(7)利用向量组的秩与维数
主要是两个结论:(i )矩阵的秩=列秩=行秩
(ii )dimker dimIm dimker ()r σ
σσσσ+=+=的定义域 的维数
(8)利用行列式秩
(9)利用相抵标准形
题型4. 关于可逆矩阵常用结论
(1)结论:A 可逆AX b ⇔=有唯一解||0A ⇔≠。
(2)结论:,()n A B M F ∈可逆AB ⇔可逆。
(3)结论:A 可逆当且仅当可以写为初等矩阵的乘积。
(4)结论:A 可逆当且仅当0不是它的特征值。
(1)结论: A 相似于1..
B C s t A C BC -⇔∃=。
(2)结论:任一个复数域上的方阵都相似于一个若当形矩阵。
(3)特征值与特征向量的定义
(4)结论:λ是A 的特征值||0E A λ⇔-=。
(5)结论:属于不同特征值的特征向量线性无关。
(6)结论:特征多项式的常数项就是它的行列式,它的第n-1次项的系数就是对角线上元素之和。
(7)结论:()[],()()AX X h x F x h A X h X λλ=⇒∀∈=。
(8)结论:课本P242定理。
(9)结论:课本P242推论。
(10)结论:课本P243定理。
(11)结论:实对称矩阵一定可以通过正交矩阵对角化。
(1)定义:二次型的矩阵。
(2)定义:相合关系。
(3)实对称矩阵的相似标准形、相合标准形与相合规范形的区别。
(4)定义:课本P263定义与P269定义
(5)实对称矩阵的正、负惯性指数与特征值的关系。
(6)结论:课本P264定理、、
(7)结论:课本P269定义下面的内容
重要建议:最好把课本第七章内容全部记住!。