超高层建筑的造价(含国内著名超高层建筑成本数据)
- 格式:docx
- 大小:134.19 KB
- 文档页数:9
一、[全国]各类超高层建筑造价指标对比分析,本资料对全国(北京、上海、广州、南京、深圳)等一、二线城市各类(住宅楼、商业楼、写字楼、酒店)等超高层建筑造价成本分析、分部分项(桩基工程、地下室工程、基坑围护及支撑结构工程、建筑工程、新型节能幕墙、给排水、喷淋、气体消防、污水处理、空调工程、地下室通风工程、照明、防雷、动力、变配电、电话总机及配线、闭路电视、监视、广播音响、管理电脑、火灾报警、共用天线、电报电传、煤气工程电梯、自动扶梯、室内精装修连家具、厨房设备)等分项工程造价指标及造价分析,可供您编制各类项目投资估算及成本估算、造价指标参考用。
各类超高层建筑造价指标对比分析
各类超高层建筑造价指标对比分析
分部分项造价分析
二、[三亚]各类框架结构建筑造价指标对比分析(含分部分项造价分析),本资料为2 010年到2012年三亚各类框架结构建筑在家指标,EXCEL格式,包括:办公楼、小高层住宅、高层住宅、教师宿舍楼、幼儿园、教学楼的造价成本分析,分部分项(土石方工程,桩及基础工程,砌筑工程,砼及钢筋砼工程,楼地面工程,屋面及防水工程,墙柱面天棚装饰工程,门窗工程,电气工程,给排水工程,通风空调工程、弱电工程)等分项工程造价指标
及造价分析,可供您编制各类项目投资估算及成本估算、造价指标参考用。
工程造价指标
主要人工材料消耗量
工程造价指标。
超高层建筑的造价分析超高层建筑的结构决定了总体造价的高低,常见的结构如下:超过下表标注的限高即为超高层建筑框架-剪力墙结构造价较低,和普通高层造价相仿,造价增加主要体现在以下9个方面:1 .设置避难层(100米以上的建筑,一般每隔50米要设置一个避难层)2 .供电系统:双电源+自备电源3 .进户门要求为甲级防火门4 .消防电梯要在3台或以上5 .电梯必须要分层设计6 .由于高处的湿度和风力情况较为复杂,在外墙材料,铝合金窗,玻璃等建筑材料的选择会格外严格,会较大成都的增加建筑成本7 .超高层建筑设计复杂,项目设计和管理水平要求也较高,设计、工程顾问及监理费用会增加8 .超高层建筑的消防要求极为严格,凡超过5平方米的房间均要设置火灾探测器9 .超高层建筑的配套人防面积也较大考虑到普通框架-剪力墙建筑的造价大约在2200元/平米,超高层的成本在2555元/平米-2765元/平米左右,全部落地剪力墙的成本则会增加大约500-1000元/平米,而部分框支剪如果结构为45层左右的(与环球中心类似)框架-核心筒结构,造价细目如下表所示。
总体估计每平米造价在9000元左右筒中筒结构的造价较难以估计,受建筑外立面,高度等影响巨大,下表是别人收集的中国超高建筑的成本表单方造价从4090-15322元/平米,很好的显示了这一特点。
由于这种高度的建筑,在设计上往往与众不同,其成本预估较为困难,如果建造的不是写字楼,而是住宅或酒店,价格则更高,主要是因为每层的隔断墙的增加和排水系统的增加导致。
下表展示了一个超高层酒店(40层,全部落地剪力墙结构)的建造成本(含装修)其建造成本大致在13910-15655元/平米,扣除装修费用后,其建设费用为10310-11705元/平米,远超相似结构的写字楼造价。
云南省高层建筑平均造价云南省高层建筑每平米造价基本上一平米2000左右,具体如下1.桩基工程(如有):70~100元/平方米;2.钢筋:40~75KG/平方米(多层含量较低、高层含量较高),合160~300元/平方米;3.砼:0.3~0.5立方/平方米(多层含量较低、高层含量较高),合100~165元/平方米;4.砌体工程:60~120元/平方米(多层含量较高、高层含量较低);5.抹灰工程:25~40元/平方米;6.外墙工程(包括保温):50~100元/平方米(以一般涂料为标准,如为石材或幕墙,则可能高达300~1000元/平方米;7.室内水电安装工程(含消防):60~120元/平方米(按小区档次,多层略低一些);8.屋面工程:15~30元/平方米(多层含量较高、高层含量较低);9.门窗工程(不含进户门):每平方米建筑面积门窗面积约为0.25~0.5平方米(与设计及是否高档很大关系,高档的比例较大),造价90~300元/平方米,一般为90~150元/平方米,如采用高档铝合金门窗,则可能达到300元/平方米;10.土方、进户门、烟道及公共部位装饰工程:30~150元/平方米(与小区档次高低关系很大,档次越高,造价越高);11.地下室(如有):增加造价40~100元/平方米(多层含量较高、高层含量较低);12.电梯工程(如有):40~200元/平方米,与电梯的档次、电梯设置的多少及楼层的多少有很大关系,一般工程约为100元/平方米;13.人工费:130~200元/平方米;14.室外配套工程:30~300元/平方米,一般约为70~100元/平方米;15.模板、支撑、脚手架工程(成本):70~150元/平方米;16.塔吊、人货电梯、升降机等各型施工机械等(约为总造价的5~8%:约60~90元/平方米;17.临时设施(生活区、办公区、仓库、道路、现场其它临时设施(水、电、排污、形象、生产厂棚与其它生产用房):30~50元/平方米;18.检测、试验、手续、交通、交际等费用:10~30元/平方米;19.承包商管理费、、劳保、利润等各种费用(约为10%):以上各项之和*10%=90~180元/平方米;20.上交各种税费(总造价3.3~3.5%):33~70元/平方米,高档的可能高达100元/平方米。
各类超高层建造造价指标对照分析【一】前言:本文档旨在对各类超高层建造的造价指标进行对照分析,以便为相关建造项目的决策提供参考。
本文档将从以下几个方面进行细化:建造材料费用、人工费用、土地成本、设计费用、设备费用、维护费用等。
一、建造材料费用1.1 主要建造材料种类及价格1.2 各类超高层建造使用建造材料的比例对照1.3 不同建造材料的优缺点对照分析二、人工费用2.1 各类超高层建造的施工人工费用汇总2.2 人工费用与建造高度的关系分析2.3 人力资源市场供需情况对人工费用的影响三、土地成本3.1 各地区土地价格对照分析3.2 土地成本与建造高度的关系及趋势预测3.3 城市规划对土地成本的影响四、设计费用4.1 各类超高层建造的设计费用统计4.2 设计费用与建造高度的关系分析4.3 设计费用对建造质量的影响五、设备费用5.1 各类超高层建造的设备费用对照分析5.2 采用不同设备对建造造价的影响5.3 设备费用与建造高度的关系分析六、维护费用6.1 各类超高层建造的维护费用统计6.2 维护费用与建造高度的关系分析6.3 不同维护策略对维护费用的影响附件:1. 建造材料价格表2. 人工费用统计数据表3. 各地区土地价格表4. 设计费用统计数据表5. 设备费用对照分析表6. 维护费用统计数据表法律名词及注释:1. 建造材料:指用于建造物各部份的原材料,如钢材、混凝土、砖块等。
2. 人工费用:指施工人员的劳务报酬及社会保险费用。
3. 土地成本:指购买土地或者租赁土地所需支付的费用。
4. 设计费用:指进行建造设计工作所需支付的费用。
5. 设备费用:指建造物所需的设备及相关设备的采购、安装等费用。
6. 维护费用:指建造物正常使用过程中所需的维护、修缮等费用。
【二】前言:本文档对各类超高层建造的造价指标进行对照分析,旨在为相关领域的专业人士提供参考。
本文档将从以下几个方面进行细化分析:基础设施建设费用、主体结构工程费用、装饰装修费用、机电设备费用等。
超高层建筑的造价分析超高层建筑的结构决定了总体造价的高低,常见的结构如下:超过下表标注的限高即为超高层建筑框架-剪力墙结构造价较低,和普通高层造价相仿,造价增加主要体现在以下9个方面:1.设置避难层(100米以上的建筑,一般每隔50米要设置一个避难层)2.供电系统:双电源+自备电源3.进户门要求为甲级防火门4.消防电梯要在3台或以上5.电梯必须要分层设计6.由于高处的湿度和风力情况较为复杂,在外墙材料,铝合金窗,玻璃等建筑材料的选择会格外严格,会较大成都的增加建筑成本7.超高层建筑设计复杂,项目设计和管理水平要求也较高,设计、工程顾问及监理费用会增加8.超高层建筑的消防要求极为严格,凡超过5平方米的房间均要设置火灾探测器9.超高层建筑的配套人防面积也较大考虑到普通框架-剪力墙建筑的造价大约在2200元/平米,超高层的成本在2555元/平米- 2765元/平米左右,全部落地剪力墙的成本则会增加大约500-1000元/平米,而部分框支剪如果结构为45层左右的(与环球中心类似)框架-核心筒结构,造价细目如下表所示。
总体筒中筒结构的造价较难以估计,受建筑外立面,高度等影响巨大,下表是别人收集的中国超高建筑的成本表单方造价从4090-15322 元/平米,很好的显示了这一特点。
由于这种高度的建筑,在设计上往往与众不同,其成本预估较为困难,一般来说在上海建一个超高层的建筑,价格至少在13000元/平米以上;在北京则需要10000元/平米以上。
如果建造的不是写字楼,而是住宅或酒店,价格则更高,主要是因为每层的隔断墙的增加和排水系统的增加导致。
下表展示了一个超高层酒店(40层,全部落地剪力墙结构)的建造成本(含装修)其建造成本大致在13910 – 15655 元/平米,扣除装修费用后,。
超高层建筑的造价分析超高层建筑的结构决定了总体造价的高低,常见的结构如下:超过下表标注的限高即为超高层建筑框架-剪力墙结构造价较低,和普通高层造价相仿,造价增加主要体现在以下9个方面:1.设置避难层(100米以上的建筑,一般每隔50米要设置一个避难层)2.供电系统:双电源+自备电源3.进户门要求为甲级防火门4.消防电梯要在3台或以上5.电梯必须要分层设计6.由于高处的湿度和风力情况较为复杂,在外墙材料,铝合金窗,玻璃等建筑材料的选择会格外严格,会较大成都的增加建筑成本7.超高层建筑设计复杂,项目设计和管理水平要求也较高,设计、工程顾问及监理费用会增加8.超高层建筑的消防要求极为严格,凡超过5平方米的房间均要设置火灾探测器9.超高层建筑的配套人防面积也较大考虑到普通框架-剪力墙建筑的造价大约在2200元/平米,超高层的成本在2555元/平米- 2765元/平米左右,全部落地剪力墙的成本则会增加大约500-1000元/平米,而部分框支剪如果结构为45层左右的(与环球中心类似)框架-核心筒结构,造价细目如下表所示。
总体筒中筒结构的造价较难以估计,受建筑外立面,高度等影响巨大,下表是别人收集的中国超高建筑的成本表单方造价从4090-15322 元/平米,很好的显示了这一特点。
由于这种高度的建筑,在设计上往往与众不同,其成本预估较为困难,一般来说在上海建一个超高层的建筑,价格至少在13000元/平米以上;在北京则需要10000元/平米以上。
文案大全文案大全文案大全文案大全文案大全实用文档如果建造的不是写字楼,而是住宅或酒店,价格则更高,主要是因为每层的隔断墙的增加和排水系统的增加导致。
下表展示了一个超高层酒店(40层,全部落地剪力墙结构)的建造成本(含装修)其建造成本大致在13910 – 15655 元/平米,扣除装修费用后,。
2007-06-13 11:10:42]
超高层建筑工程的附属工程(含给排水、空调、强电、弱电、消防、暖通、电梯等)单方造价为550-750元/平方米,其中如果超高层建筑为酒店则要高一些,为800元/平方米;超高层建筑的外墙一般为干挂石材幕墙或干挂玻璃幕墙,单方造价一般在500-650元/平方米(含外窗)。
贵阳地区兴建超高层办公写字楼土建结构部分的造价一般在1000-1200元/平方米,附属工程为550-750元/平方米,外墙装饰工程在500-650元/平方米;而贵阳地区高层建筑工程的土建结构在750-900元/平方米,附属工程在200-300元/平方米,外墙装饰工程在350-450元/平方米(贴面砖,含外窗但不含保温),钢筋含量在50-75公斤/平方米,砼含量在0.32-0.4立方米/平方米。
比较而言,超高层建筑工程的总造价比高层建筑高出750-1000元/平方米左右(主要是主体结构、附属工程、外墙装饰三方面的差异),其他分部分项工程的单方造价相差不大。
Ø超高层住宅楼:
贵阳地区兴建超高层住宅楼土建结构部分的造价一般在1000-1200元/平方米,附属工程为350-550元/平方米,外墙装饰工程在400-500元/平方米;比较而言,超高层住宅的总造价比高层建筑高出450-900元/平方米左右。
上海豪华装修超高层住宅造价估算指标(33-45层)关键词:超高层住宅造价造价指标造价估算钢筋混凝土剪力墙结构一、工程概况1、工程类型:全装修超高层住宅2、技术经济指标:8515元/m23、拟建地点:上海市4、建筑面积: 38500m2其中地上33000m2,地下5500m2,标准层面积≦900m25、建筑高度:≦140m (檐口高度)标准层层高≦3.2m6、建筑层数:地下2层,地上≦45层,其中裙房1层7、结构形式:钢筋混凝土剪力墙结构,部分裙房框架结构,钻孔灌注桩,桩长≦56m,钻孔灌注桩结合钢板桩基坑围护,钢筋混凝土支撑8、基础埋深:≦12m(地下室外墙长度≦220m,按六级人防标准建设)9、室内外高差:0.6m二、建筑标准1、外装饰标准:石材/铝板幕墙,遮阳百叶,低反射LOW-E中空夹胶玻璃铝合金窗,局部单元式低反射LOW-E中空夹胶玻璃幕墙2、屋面:防水砂浆,防水卷材,憎水珍珠岩砂浆,挤塑聚苯板保温层,局部屋面装饰构架,局部地砖3、内装饰标准:门厅、电梯厅及底层高档进口花岗石地面,大理石墙面,石膏板造型吊顶;住宅内客厅及餐厅高档进口大理石地面,墙纸墙面配合局部大理石饰面及高档木饰面,石膏板造型吊顶;起居室高档实木地板、羊毛地毯,墙纸墙面;卫生间花岗岩地面,大理石墙面,金属板吊顶;厨房高档玻化砖地面,高档墙面砖墙面,金属板吊顶;其他公共部位墙面乳胶漆,地砖地坪,矿棉板吊顶三、设备管线1、给排水管道:铜给水管,硬聚氯乙烯螺旋排水管,UPVC雨水管2、消防工程:热镀锌钢管,沟槽式连接3、煤气:镀锌钢管4、变配电:热镀锌钢管,铜芯电缆,塑料铜芯线,铜母线,热镀锌桥架5、电气管线:热镀锌桥架,铜芯电缆,塑料铜芯线,塑料管,KBG钢管,插接式母线6、空调通风:热镀锌钢管,镀锌钢板,橡塑保温,铝合金风口7、综合布线:六类线,RJ45信息口,光缆8、BA系统:控制线,信号线9、消防报警:阻燃电源线,阻燃控制线10、安防系统:控制线,视频线,电源线11、卫星天线及有线电视:视频线,信号线,同轴电缆四、设备配置1、给排水工程:成品水箱,供水设备,高档卫生洁具,电加热热水器,中继水箱2、消防工程;消火栓箱,湿式报警,消防泵,中继水箱,气体灭火3、煤气:煤气表房4、变配电:变压器,高压柜(35KV、10KV),低压柜,二路供电5、应急发电机:应急柴油发电机组,切换柜6、电气工程:配电箱,配电柜7、泛光照明:投光灯,控制箱8、空调通风:冷水机组,冷动泵,冷冻冷却水循环泵,冷却塔,热交换器,变风量空调箱,四管制风机盘管,四管制供回水系统,送排风机组,新风机组,IT机房独立24小时空调系统9、锅炉:燃气锅炉,水泵,集/分水器10、综合布线:光端转换器,配线架11、BA系统:直接数字控制器,服务器,控制器,控制阀12、消防报警:感烟探测器,楼层显示器,联动控制器,控制模块13、安防系统:监控主机,监视器,采集点14、广播系统:音源设备,功率放大器,扬声器,广播接线箱15、卫星天线及有线电视:接收器,放大器,分配器,分支器,楼层接线箱16、电梯:6台电梯,速度2.5~4.0米/秒,荷载≤1350公斤17、车库管理系统:感应线圈,收费闸机,电脑管理系统18、擦窗系统:擦窗设备及轨道,控制设备厨房设备:进口高档一体化橱柜(含洗水槽、灶具、烤炉、脱排油烟机、消毒柜、洗碗机、大容积冰箱、洗衣机等)豪华装修超高层(33-45层)住宅造价估算指标序号工程和费用名称特殊说明总价(万元)数量(m2)单方造价(元/m2)一土建及装饰工程1 打桩825.00 33000 2502 基坑围护467.50 5500 8503 土方工程66.00 5500 1204 地下建筑192.50 5500 3505 地下结构1622.50 5500 29506 地上建筑990.00 33000 3007 地上结构2805.00 33000 8508 装饰9900.00 33000 30009 外立面含门窗、保温2343.00 33000 71010 屋面66.00 33000 20土建及装饰工程费小计19277.50 38500 5007二机电安装工程1 给排水工程含水箱/洁具1540.00 38500 4002 消防喷淋公共部位喷淋173.25 38500 453 煤气煤气公司施工30.80 38500 84 变配电1155.00 38500 3005 电气电缆线为母线槽进户1578.50 38500 4106 泛光照明192.50 38500 507 消防报警154.00 38500 408 综合布线327.25 38500 859 弱电配管96.25 38500 2510 弱电桥架115.50 38500 3011 智能化调光系统577.50 38500 15012 BA系统288.75 38500 7513 卫星天线及有线电视231.00 38500 6014 安防系统115.50 38500 3015 广播系统38.50 38500 1016 冷却循环系统57.75 38500 1517 空调送排风1732.50 38500 45018 锅炉77.00 38500 2019 电梯731.50 38500 19020 擦窗机4套165.00 33000 5021 车库99.00 33000 3022 厨房1386.00 33000 42023 中央吸尘系统214.50 33000 65机电安装工程小计11077.55 38500 2877 三预备费按建安工程费的8%计列2428.40 38500 631 建安工程总费用32783.45 38500 8515。
超高层建筑的造价分析超高层建筑的结构决定了总体造价的高低,常见的结构如下:超过下表标注的限高即为超高层建筑结构体系非抗震设计抗震烈度6 级地震7 级地震8 级地震框架 -剪力墙170160140120全部落地剪力墙180170150130剪力墙150140120100部分框支剪力墙筒体框架 -核心筒220210180140筒中筒300280230170框架 -剪力墙结构造价较低,和普通高层造价相仿,造价增加主要体现在以下9 个方面:1.设置避难层( 100 米以上的建筑,一般每隔50 米要设置一个避难层)2.供电系统:双电源 +自备电源3.进户门要求为甲级防火门4.消防电梯要在 3 台或以上5.电梯必须要分层设计6.由于高处的湿度和风力情况较为复杂,在外墙材料,铝合金窗,玻璃等建筑材料的选择会格外严格,会较大成都的增加建筑成本7.超高层建筑设计复杂,项目设计和管理水平要求也较高,设计、工程顾问及监理费用会增加8.超高层建筑的消防要求极为严格,凡超过5 平方米的房间均要设置火灾探测器9.超高层建筑的配套人防面积也较大考虑到普通框架-剪力墙建筑的造价大约在2200元/ 平米,超高层的成本在2555元/ 平米-2765 元 / 平米左右,全部落地剪力墙的成本则会增加大约力墙结构的成本与框架-剪力墙结构相仿。
500-1000元 / 平米,而部分框支剪增加造价(元/ 平米)整体设计标准与技术20-40基础与结构160-260屋面及外立面15-25机电设备合计160-240355 –565(振幅约为16% - 26%)如果结构为 45 层左右的(与环球中心类似)框架 -核心筒结构,造价细目如下表所示。
总体估计每平米造价在 9000 元左右单位:万元、平方米、元/平方米类型建筑面积地上地下其他序号工程和费用名称一土建及装饰工程1打桩2基坑围护3土方工程4地下建筑5地下结构6地上建筑7地上结构8装饰9外立面10屋面土建及装饰工程费小计二机电安装工程1给排水工程2消防喷淋3煤气4变配电5应急柴油发电机组6电气7泛光照明8消防报警9综合布线10弱电配管11弱电架桥12智能化调光系统13BA 系统 (楼宇设备管理系统 ) 14卫星天线及有线电视15计算机网络机房16安防系统17广播系统18程控电话19空调送排风高档装修甲级写字楼(超高层 )124,000100,00024,000地下 3 层,地上 =45 层总价数量单方造价2,500.00100,000250 2,112.0024,000880 624.0024,000260 960.0024,000400 7,200.0024,0003,000 3,500.00100,000350 16,000.00100,0001,600 20,000.00100,0002,000 14,000.00100,0001,400 250.00100,00025 67,146.00124,0005,4152,480.00124,000200 1,860.00124,000150 124.00124,00010 2,852.00124,000230 1,240.00124,000100 4,960.00124,000400 200.00100,00020 310.00124,00025 744.00124,00060 682.00124,00055 434.00124,00035 372.00124,00030 992.00124,00080 124.00124,00010 496.00124,00040 372.00124,00030 124.00124,00010 248.00124,00020 9,300.00124,00075020 21 22 23 24 25 26 27三锅炉电梯擦窗机车库管理标识厨房设备、垃圾压缩机等集成管理系统会议室音视频系统机电安装工程费小计预备费(按建安工程费的8%计列)建安工程总费用620.00124,000503,720.00124,000300450.00100,0004596.0024,00040300.00100,0003033,100.00124,0002,6698,019.68124,000647108,265.68124,0008,7311 、给排水工程含水箱2、消防喷淋含气体灭火筒中筒结构的造价较难以估计,受建筑外立面,高度等影响巨大,下表是别人收集的中国超高建筑的成本表单方造价从 4090-15322元/ 平米,很好的显示了这一特点。
由于这种高度的建筑,在设计上往往与众不同,其成本预估较为困难,一般来说在上海建一个超高层的建筑,价格至少在13000元 / 平米以上;在北京则需要10000 元 / 平米以上。
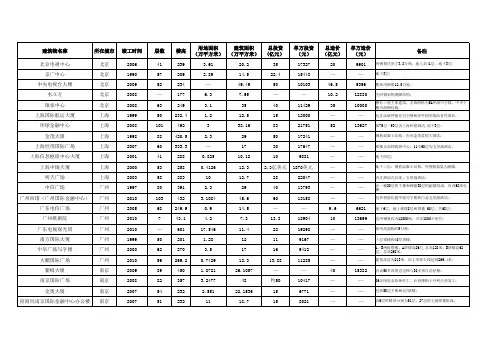
建筑物名称所在竣工层楼用地面积建筑面积总投资单方投总造价单方造备注城市时间数高(万平方米)(万平方米)( 亿元)资(元)(亿元)价(元)北京电视中心北京200641239 3.6120.23517327209901用钢量达到了 3.8万吨,地上高 41 层,地下 3 层;京广中心北京199057209 2.8914.522.415448——地下3层;中央电视台大楼北京200952234—49.49501010346.59396整体用钢量 12.5 万吨;水立方北京2008—177 6.37.95——10.212830空间钢架的薄膜结构;拥有三座主体建筑,东西两栋银泰中心北京200863249 3.13540114293510000为 5A 甲级写字楼,中央主楼为纯钢结构;上海国际航运大上海1999502321.212.51512000——包含高级智能化写字楼和涉外厦.4四星级商务性酒店;环球金融中心上海200810492338.1683217515213627第 79 层~ 93 层为上海柏悦酒1店,地下 3层;金茂大厦上海1998884202.3295017241——钢筋混凝土结构;内有金茂君.5悦大酒店;上海世茂国际广上海200760333—173017647——裙楼为高档购物中心; 11 至 60场.3层为五星级酒店;上海信息枢纽中上海2001412880.82510.12109881——地下四层;心大厦上海中银大厦上海2000532580.412612.32.3 亿美1870 美——地下三层,钢筋混凝土结构,元元外围框架梁为钢梁;明天广场上海2003582831012.72822047——内含酒店式公寓、五星级酒店;中信广场广州199780391 2.3294013793——由一幢 80 层的主楼和两幢 38层的副楼组成,内设 68 部电梯;广州西塔(广州国广州201010432 3.108445.66013158——包括智能化超甲级写字楼和白际金融中心)3金五星级酒店;广东电信广场广州2005682490.914.5——9.66621地下 6 层,地上裙楼 8层和塔.9楼 60 层,共68 层;广州歌剧院广州2010743.4.27.313.8189041013699总用钢量约为 12000 吨,可容11800 个座位;广东电视观光塔广州2010—60117.54611.42219298——使用高强钢约 5 万吨;南方国际大厦广州199950201 1.2812119167——十层裙楼和 40层塔楼;A、B 两栋塔楼, A 塔楼高26 层,中华广场写字楼广州200062270 3.517169412——总高 128 米; B 塔楼高62 层,总高 268 米。
大鹏国际广场广州2010592690.742912.313.8811285——建筑高度为 213 米,加上顶部.2天线达到 269.4 米;紫峰大厦南京200989450 1.872126.1057——4015322内设 50 多部垂直电梯与30 多部自动扶梯;南京国际广场南京200882357 3.247748约 5010417——06 年因资金短缺停工,后获摩根士丹利注资复工;金奥大厦南京200754232 2.55122.1536156771——包括 50 层主楼和 4 层裙楼;招商局南京国际南京2007512321118.7158021——由 6 层裙楼和分别为51 层、27金融中心办公楼层的主副塔楼组成;深圳财富大厦深圳2006572410.811————地下 3 层,写字楼层高 3.65M ;深圳地王大厦14815 港用钢量为 24500 吨;由商业大深圳199669384 1.872740 亿港币——楼、商务公寓和购物中心三部(信兴广场)元分组成;深圳福田香格里深圳200842200 1.145711.151********约 10亿8967地下三层,拉元钢管混凝土结构,地下 4 层,1-8 层为商业裙楼,9 层以上为深圳赛格广场深圳2000753550.965317.5————写字楼和酒店; 3.6米层高,净高 2.7 米;双层中空玻璃幕墙和 25mm厚蜂窝铝板幕墙;深圳世界深圳200954227 1.020*********——54 层高的主楼和两栋33 层高金融中心副楼组成;深圳信息深圳2007482439.2218——158333主楼 48 层,副楼 22层,裙房 8枢纽大厦层,地下 3 层;深圳招商深圳2001532371.036611.9————结构设计为钢骨砼框架—筒体银行大厦.2结构,钢结构用量近一万吨;地下 4 层,商业裙房7 层,主深圳中航广场深圳201058280 1.7117.962312806——体为浇型钢框架钢筋混凝土剪力墙核心筒结构;重庆浪高会展重庆2006542682 5.4427 5.610289——国际广场滨海浙江大厦天津200151260 1.9912.9553861——旋转体结构;滨江万丽酒店天津200248203 6.512.364878——共 268 间客房;津塔天津201075337234.64401154728.648267地下四层,全钢筒中筒结构;天津信达广场天津200551238215.394106496——框筒为结构,裙楼为框剪结构;中钢国际广场天津201288358 2.666625187200——摩天 360无锡2004502090.56778 5.727150——无锡红豆国际广无锡200848248 1.213.6885847——场60其中购物中心 20 万㎡,甲级写无锡茂业城无锡2008250545204444——字楼 7 万㎡,超五星级酒店 4层万㎡,国际公寓 14 万㎡;无锡润华无锡200958278 1.5315128000——由两幢楼组合而成,一幢楼为国际大厦58 层,另一幢 48 层,无锡世界57包括 1 座五星级的商务酒店,无锡2008250 5.5632154688——公寓楼,写字楼,1 座交流中心,贸易中心层1 座世贸中心南宁地王南宁200659218 1.0113.2153785——国际商会中心沈阳国际沈阳20108942745310 亿美元1887 美——金融中心元东北世贸广场沈阳201066260334308824——62 层主楼内设 5A 智能化甲级写字楼及超五星级酒店;武汉世界武汉1998582480.5211—— 4.54090地下两层,主楼为筒中筒结构,贸易大厦附楼为框架结构;虎门黄河东莞200962 247—966667——中心大厦温州世界温州200868 300 3.125208000——地上68层,地下 4 层;贸易大厦如果建造的不是写字楼,而是住宅或酒店,价格则更高,主要是因为每层的隔断墙的增加和排水系统的增加导致。