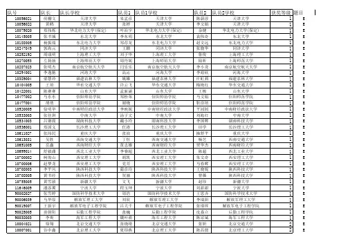
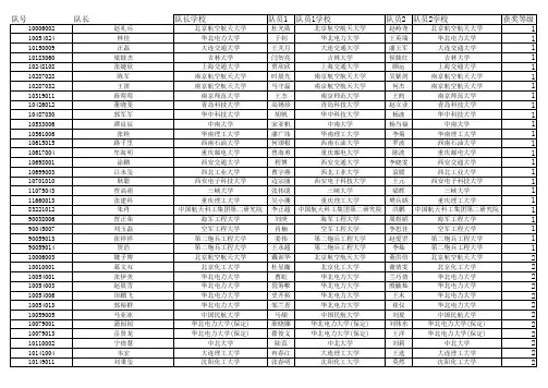
2014研究生数学建模A题获奖名单公示
- 格式:xls
- 大小:61.00 KB
- 文档页数:15
一等奖一等奖一等奖二等奖二等奖二等奖二等奖二等奖二等奖二等奖二等奖二等奖二等奖二等奖二等奖二等奖二等奖二等奖二等奖二等奖二等奖二等奖二等奖二等奖二等奖二等奖二等奖二等奖二等奖二等奖二等奖二等奖二等奖二等奖二等奖二等奖二等奖二等奖二等奖二等奖二等奖二等奖二等奖二等奖二等奖二等奖二等奖二等奖二等奖二等奖二等奖二等奖二等奖二等奖二等奖二等奖二等奖二等奖二等奖二等奖二等奖二等奖二等奖二等奖二等奖三等奖三等奖三等奖三等奖三等奖三等奖三等奖三等奖三等奖三等奖三等奖三等奖三等奖三等奖三等奖三等奖三等奖三等奖三等奖三等奖三等奖三等奖三等奖三等奖成功参赛成功参赛成功参赛成功参赛成功参赛成功参赛成功参赛成功参赛成功参赛成功参赛成功参赛成功参赛成功参赛成功参赛成功参赛成功参赛成功参赛成功参赛成功参赛成功参赛成功参赛成功参赛成功参赛成功参赛成功参赛二等奖三等奖三等奖成功参赛成功参赛成功参赛一等奖二等奖二等奖三等奖三等奖三等奖三等奖三等奖三等奖三等奖成功参赛成功参赛成功参赛成功参赛成功参赛成功参赛成功参赛成功参赛成功参赛成功参赛成功参赛成功参赛成功参赛成功参赛二等奖二等奖二等奖一等奖二等奖二等奖二等奖二等奖三等奖三等奖三等奖成功参赛成功参赛无效试卷一等奖一等奖二等奖二等奖二等奖二等奖三等奖成功参赛成功参赛成功参赛成功参赛成功参赛成功参赛成功参赛一等奖一等奖一等奖一等奖一等奖一等奖一等奖二等奖二等奖二等奖二等奖二等奖二等奖二等奖二等奖二等奖二等奖二等奖二等奖二等奖二等奖二等奖二等奖二等奖二等奖三等奖三等奖三等奖三等奖三等奖三等奖三等奖三等奖三等奖三等奖三等奖三等奖三等奖三等奖三等奖三等奖三等奖三等奖三等奖成功参赛成功参赛成功参赛成功参赛成功参赛成功参赛成功参赛成功参赛成功参赛成功参赛一等奖一等奖一等奖一等奖一等奖一等奖一等奖一等奖二等奖二等奖二等奖二等奖二等奖二等奖二等奖二等奖二等奖二等奖二等奖二等奖二等奖二等奖二等奖二等奖二等奖二等奖三等奖三等奖三等奖三等奖三等奖成功参赛成功参赛成功参赛成功参赛成功参赛成功参赛一等奖一等奖二等奖二等奖三等奖三等奖成功参赛一等奖一等奖二等奖二等奖二等奖二等奖三等奖成功参赛一等奖一等奖二等奖二等奖二等奖二等奖二等奖二等奖二等奖二等奖三等奖三等奖三等奖三等奖三等奖三等奖成功参赛成功参赛成功参赛成功参赛二等奖二等奖二等奖二等奖二等奖二等奖三等奖三等奖三等奖三等奖三等奖三等奖三等奖三等奖成功参赛成功参赛成功参赛成功参赛成功参赛二等奖二等奖三等奖三等奖三等奖三等奖二等奖二等奖二等奖二等奖二等奖二等奖二等奖二等奖二等奖二等奖二等奖二等奖二等奖二等奖二等奖三等奖三等奖三等奖三等奖一等奖二等奖成功参赛一等奖一等奖一等奖二等奖二等奖二等奖三等奖无效试卷无效试卷一等奖一等奖一等奖二等奖二等奖二等奖二等奖二等奖二等奖三等奖三等奖成功参赛成功参赛二等奖二等奖二等奖二等奖二等奖二等奖一等奖一等奖一等奖二等奖二等奖二等奖二等奖二等奖二等奖二等奖二等奖二等奖二等奖二等奖二等奖二等奖二等奖二等奖三等奖三等奖三等奖三等奖成功参赛成功参赛二等奖三等奖三等奖三等奖成功参赛成功参赛成功参赛成功参赛成功参赛成功参赛成功参赛成功参赛成功参赛成功参赛成功参赛成功参赛成功参赛二等奖成功参赛成功参赛一等奖一等奖一等奖一等奖二等奖二等奖二等奖二等奖二等奖二等奖二等奖二等奖二等奖二等奖二等奖二等奖二等奖二等奖三等奖三等奖三等奖三等奖三等奖成功参赛成功参赛成功参赛成功参赛成功参赛成功参赛二等奖二等奖二等奖二等奖成功参赛成功参赛成功参赛成功参赛成功参赛成功参赛成功参赛成功参赛一等奖一等奖一等奖一等奖一等奖一等奖一等奖一等奖一等奖一等奖一等奖一等奖二等奖二等奖二等奖二等奖二等奖二等奖二等奖二等奖二等奖二等奖二等奖二等奖二等奖二等奖三等奖三等奖三等奖三等奖三等奖三等奖成功参赛成功参赛二等奖三等奖三等奖三等奖三等奖二等奖二等奖二等奖三等奖三等奖成功参赛一等奖二等奖二等奖二等奖二等奖二等奖二等奖三等奖三等奖成功参赛二等奖二等奖二等奖三等奖二等奖二等奖二等奖二等奖二等奖二等奖三等奖三等奖三等奖三等奖三等奖三等奖成功参赛一等奖一等奖一等奖一等奖一等奖一等奖一等奖一等奖一等奖一等奖一等奖一等奖一等奖一等奖一等奖一等奖一等奖一等奖一等奖一等奖一等奖一等奖一等奖一等奖一等奖一等奖一等奖一等奖二等奖二等奖二等奖二等奖二等奖二等奖二等奖二等奖二等奖二等奖二等奖二等奖二等奖二等奖二等奖二等奖二等奖二等奖三等奖三等奖三等奖三等奖三等奖成功参赛无效试卷二等奖二等奖三等奖三等奖三等奖成功参赛成功参赛成功参赛一等奖一等奖二等奖二等奖二等奖三等奖二等奖三等奖三等奖三等奖三等奖成功参赛成功参赛成功参赛成功参赛成功参赛成功参赛三等奖成功参赛成功参赛一等奖一等奖一等奖一等奖一等奖。
2014第七届认证杯数学中国数学建模网络挑战赛第一阶段成绩初稿(5.11)队号所选题目成绩获奖等级简短评语参赛组别队员甲队员乙队员丙本科组方沛吴梦茹张肖1439A题60优秀奖模型表述完善本科组张莞玲年华徐梦伟1492A题81一等奖主要基于层次本科组朱翰希尚运动刘殷成1513C题60优秀奖模型未完成,1517C题75二等奖模型对于问题本科组邓扬罗翔燕刘帆本科组栾伟东潘鹏程代伟1520A题79二等奖单一考虑层次本科组张玉何娜宋雯1521A题77二等奖对轮胎滑水性本科组刘梦婷胡璨郝诗红1539A题81一等奖建立一元回归本科组付帅孙永威张咪咪1540B题75三等奖该文思路比较本科组徐宇轩周超陈挚1541C题75二等奖聚类分析用的本科组束云霞许梦宇程鹏1545C题62优秀奖层次分析中考本科组陈梦珂蔡雪飞周晓苏1552A题60优秀奖噪声模型和排1553A题50优秀奖似乎全文来自本科组郭文伟刘越王昌海本科组陈雨安胜男张玲平1554C题60优秀奖评价因素的权1555A题72二等奖总体表述尚可本科组许莉萍宋艺旋洪粼本科组周健王玲凤吕丹妮1556A题60优秀奖问题一的分析1561A题60优秀奖P5图1无实质本科组朱运良张雨农吴安琪本科组邓路黄国荣李晓琳1562C题75二等奖运用机理分析本科组缪灵均魏惠敏王晨睿1563C题75二等奖使用模糊综合本科组魏光辉侍冰雪汪永1571C题75二等奖风险中影响的本科组马洋洋李婷李丹1572C题75二等奖利用综合分析1573C题80一等奖模型分析部分本科组程倩倩徐俊杰房勇本科组张童莲罗和静张芮1574C题65优秀奖摘要抓不住重本科组王恒张大江王文利1577C题60优秀奖风险变异的得本科组万燕周王玉坤孔志伟1578A题78二等奖利用层次分析本科组张沛文刘一鸣何亚男1579A题79二等奖建立噪音排水本科组许铭刘芸瑾朱芸芸1580C题80一等奖综合评价体系1585A题75二等奖数据分析较全本科组武莹唐慧何焦焦本科组周冠宇章春芳李瑞丽1592C题60优秀奖问题分析过程本科组陈怡静熊忆嘉高维静1605C题78二等奖层次分析时,1683C题60优秀奖文中对模型的本科组陈鑫张晨琛王正宏本科组储彬姜聪陈徐明2040C题80一等奖在原始数据处本科组颜博董丽姚志2249C题60优秀奖问题二中定义本科组曾知文王艳贾晨曦2285C题70三等奖文中建立了对本科组李瑞雪刘思玢赵晶晶2368A题70三等奖文中针对轮胎本科组许文祥施婷宋凯艺2487C题60优秀奖在计算盈亏平2487A题55优秀奖本文建立了本科组许文祥施婷宋凯艺本科组陈钰孙婉悦韩井芳1461C题73三等奖文中建立综合本科组宋紫君王芳马盼盼1462C题74二等奖构建层次分析本科组贾立红李梦茜张琤1471C题75二等奖对几个重要因本科组秦新龙王苒方佩1474A题71二等奖数据选取较全本科组董梦瑶吴思杰万云璐1479C题72三等奖使用多元统计本科组洪光昊王洪飞黄怿晟1069B题84一等奖模型结构合理本科组常世元张少伟朱定刚2675B题72三等奖对图形边缘的本科组周国林司文静苏春雷3951A题52优秀奖本文模型不够本科组李安然余欢欢周涛3952C题50优秀奖模型不够清晰本科组王若陶军军秦少生3953C题55优秀奖论文不够完整本科组姜盼盼徐自涵张千3954C题62优秀奖模型不够清晰本科组王楠徐进李保震3955C题60优秀奖论文的格式达本科组杨裴兵杜运兵祝现礼3956C题60优秀奖模型不够清晰本科组黄栋才孙绪绪许冠军3957C题70三等奖利润率肯定是本科组邵冬贵康瑞华朱明明3958C题60优秀奖模型评估时,3959C题60优秀奖建模工作做的本科组杨杨薛敏范冬冬本科组王似江董玉凤郭辉铭3960C题60优秀奖回归分析中,本科组储海龙高梦萍张强3961B题75三等奖本文给出了简3962D题74优秀奖对于题意理本科组耿婷婷方涛涛盛夏3963D 题72优秀奖对于题意理本科组张文力陈晚前赵双红本科组薛敏孙孝于邢明明3964D题75三等奖对于题意理解本科组胡孟君李萌张家伟3965B题60优秀奖这是一个只对本科组涂友丽张通李文静3966A题50优秀奖基本描述了花本科组刁杰举杨宁宁孔德礼3967C题70三等奖文中对处理本本科组张雪梅张成辉高宏专3968B题68优秀奖本文给出了简本科组孙玉龙赵月然芮圣超3969B题57优秀奖本文只是给出本科组章蕾蔡忠雅李孟芳3970B题70三等奖本文中给出了本科组胡亮亮王亭杨东锦3971B题56优秀奖本文模型不够本科组潘传辉郎年何迎春3972B题70三等奖本文中给出了本科组金婷李斌刘应3973A题52优秀奖本文模型不够本科组杜冰洁王艺腾朱斌3974A题50优秀奖文中生硬的列本科组刘欢张鼎佩任义3975A题52优秀奖本文模型不够3976A题56优秀奖本文建立了本科组丁绍军司继申杨刘本科组梅芳占海军周红剑3977A题57优秀奖本文建立了轮本科组黄庆柏淑婷程小益3979B题72三等奖本文给出了简本科组盛晨王伟夏雅娟3980A题80一等奖讨论不同花纹3981A题60优秀奖本文简要分本科组周慰邓迪郑新军3982A题60优秀奖本文简要分本科组姚晓军宋春雷王子康本科组欧阳阿林王春峰张月洋3983C题72三等奖采用了单级模本科组凌燕袁梦徐建于3984B题75三等奖该文思路较好本科组宋丽舒生茂陈伟宁3985B题78二等奖图像边界模型本科组马德张磊潘婷3986B题70三等奖分治的思路是本科组郑汉陆伟丰惯珉3987B题79二等奖模型推广中提本科组戈梦琦高龙席爽爽3988C题75二等奖用spss将主要本科组韩佳佳孙亮马志远3989B题79二等奖思路是正确的本科组徐兰李红左晓彤3990C题73三等奖分别建立了模本科组黄莹莹李虎张学友3991A题75二等奖模型假设合理本科组刘霄曹俊荣梦雨3992C题70三等奖使用敏感性分3993A题62三等奖本文简要分本科组高雅陈超罗杰本科组肖联波郜雪洁张新3994B题65优秀奖本文中给出了3995A题45优秀奖主体5.1部分本科组张岑岑肖雄马宏雷3996C 题75二等奖回归分析部分本科组岳占伟刘恪张莉3997A题60优秀奖本文简要分本科组李晶晶刘晶晶林傲本科组李懂钱钢龙贺3998A题68三等奖虽然讨论了花本科组谢实海李岩松王慧3999A题72二等奖文中能够概括本科组路安心周国林司文静4000A题60优秀奖文中大量引用本科组苏春雷李安然余欢欢4001A题70三等奖轮胎花纹的设4002A题60优秀奖平均流量模型本科组周涛王若陶军军本科组秦少生姜盼盼徐自涵4003C题65优秀奖建模方法有些本科组张千王楠徐进4004A题61三等奖粗略的对模型本科组李保震杨裴兵杜运兵4005A题64三等奖本文建立了轮本科组祝现礼黄栋才孙绪绪4006A题70三等奖噪声中的数据本科组许冠军邵冬贵康瑞华4007A题60优秀奖模型一做的很本科组朱明明杨杨薛敏4008A题70三等奖平均流量模型本科组范冬冬王似江董玉凤4009A题73二等奖论文主要考虑本科组郭辉铭储海龙高梦萍4010A题72二等奖全文写作相对本科组张强耿婷婷方涛涛4011C题60优秀奖模型结果分析本科组盛夏张文力陈晚前4012A题75二等奖文中建立三种本科组赵双红薛敏孙孝于4013A题78二等奖主要从单一噪本科组邢明明胡孟君李萌4014A题72二等奖对抓地力和轮4015A题61三等奖关于轮胎花纹本科组张家伟涂友丽张通本科组李文静刁杰举杨宁宁4016C题70三等奖与模糊综合评本科组孔德礼张雪梅张成辉4017C题70三等奖分开评估对模本科组高宏专孙玉龙赵月然4018A题73二等奖文中虽然讨论4019A题75二等奖抓地力,耐磨本科组芮圣超章蕾蔡忠雅本科组李孟芳胡亮亮王亭4020A题72二等奖考虑轮胎滑水4021A题70三等奖本文建立了本科组杨东锦潘传辉郎年4022C 题60优秀奖文中结构条理本科组何迎春金婷李斌本科组刘应杜冰洁王艺腾4023A题79二等奖讨论附着力等本科组朱斌刘欢张鼎佩4024C题60优秀奖效益成本等指4025C题60优秀奖回归模型应对本科组任义丁绍军司继申本科组杨刘梅芳占海军4026C题80一等奖文中对数据的本科组周红剑王美娟王康4027C题68优秀奖以预期收益为本科组张小燕柯兴隆佘培亮4079C题71三等奖运用了层次分本科组邵叱风张凤竹金玲玲4283C题60优秀奖模型的风险评本科组王士纯周寰章健2891B题70三等奖该文思路比较本科组祖祎婷宛艺胡劼1472C题74二等奖主要建立了模本科组廖梦雨刘春英陆红丽1145C题76二等奖文中对模型二本科组夏松林杨傲王苗1455C题66优秀奖判定各个变量1457C题60优秀奖灵敏度分析做本科组孔雪雪罗兴晨方来丽本科组谢瑞瑞施春红毛卓1468A题80一等奖整体模型建立本科组陈洁苗晴陈龙1469C题75二等奖采用无量纲化1470A题70三等奖误差分析只是本科组陈蓓蕾宋灿灿王乐本科组齐瑾吴君茹刘小钰1473C题73三等奖利用多元线性本科组孙文康吴丹丹朱慧君1484B题76二等奖该文思路比较本科组张浩宇卢详远张晓静1485C题65优秀奖模型一需要用本科组张兴皖黄婷婷王雪琪1486A题80一等奖采用了类比分1487C题60优秀奖文中提取的4本科组张衍林叶龙生甄瑶瑶本科组伍淑惠李慧玲沈龙泉1488A题75二等奖摘要过于简单1489C题79二等奖文中图例分析本科组许冬梅周杰李学成本科组施展汪思铭陈媛媛1490A题80一等奖利用层次分析本科组郑宇强洪文姗徐义青1491C题60优秀奖构造矩阵时应本科组周小伟李哲陈莹1493B题86特等奖该文分析细致本科组焦雅婷夏蓉尹伊群1494A题81一等奖文中将资料中本科组蒋婷李坤星徐霞明1495A题68三等奖数据来源无任1496A题77二等奖考虑回归拟合本科组杨劲松石正新王忆曼本科组刘鑫高媛媛尹世超1497A题76二等奖选取花纹面积本科组赵晶晶王立凤吴飞1498A题79二等奖前两个利用常1499C题73三等奖使用AHP等方本科组宋辞章启明黄雅楠本科组解晶晶马明坤楚兴元1500B题75三等奖使用软件来提本科组汤忠玲汪晓黄伟业1501A题77二等奖采用曲线拟合本科组李峻山尹彤李祥宇1503C题80一等奖文中由模型为本科组刘茉莉蔡钰程瑶瑶1504B题75三等奖方法比较简单本科组吴诗行段智中朱浩东1505C题60优秀奖模型对数据的1506C题70三等奖确立6个相关本科组王海林王方元武海殷本科组王海林王方元武海殷1506C题77二等奖模型分析和数本科组李娜肖聪刘浩1507C题60优秀奖模型对接风险1508C题82一等奖模型建立过程本科组张翔徐露露董玉林本科组马馨悦葛辉凡甲甲1510B题78二等奖文中对于一般本科组李昕程若吴涛1511A题84一等奖文中很好利用1512C题70三等奖借助因子分析本科组张瑶熊梦瑶周秒1514A题65三等奖问题1引用过本科组卞恒良李琼王振杰本科组陈天骄汪良晨徐贤丽1516A题76二等奖研究不同花纹本科组宋慧茹屈静朱思雨1518C题60优秀奖多元回归分析本科组朱勇胡学峰刘雅倩1519B题86特等奖该文思路清晰本科组张岗岗刘泽华徐静1522C题80一等奖在建立模型初本科组林超丹辜齐杨睿智1523C题66优秀奖收益性风险引本科组黄奇秦维国童昊1525C题60优秀奖建模过程需要本科组周越付家田张涛1526C题60优秀奖未对模型进行1527A题60优秀奖问题三的模型本科组赵婉茹童易成朱晓煜本科组冯传朋束祖忠刘红杉1528A题70三等奖问题1利用C程1530C题65优秀奖模型一的建立本科组徐重栋李诗远陈聪本科组纪元昕王茜瑶赵美中1531C题81一等奖文中数据处理1532C题74二等奖以八大指标进本科组刘雅洁陶世红徐孝琳1533C题80一等奖后半部分的讨本科组朱韶东詹洪敏石舍玉本科组方昌芳金颖颖董莹莹1534A题60优秀奖讨论尚佳,模1535A题76二等奖模型I中数据本科组胡柱斌金满娟胡嘉嵘本科组汪亚楠曾淑娴朱国燕1537A题77二等奖使用层次分析本科组周苑苑乔玲王虎1538C题60优秀奖问题二中求解本科组魏慧茹陈媛刘亚楠1543A题80一等奖研究数据拟合本科组丁书敏焦瑶彭壮壮1546C题79二等奖文中数据处理本科组葛玉峰刘思繁赵店1547A题78二等奖利用类比法等1548C题81一等奖使用均值方差本科组王浩豫罗赧李孟莹本科组江涛张腾飞宋阳琴1549C题60优秀奖文中对误差和1550C题72三等奖利用层次分析本科组吴秀盟张岩如汪胜本科组许明功蔡文辉汪毅1551C题70三等奖对主成分分析本科组方一伟徐振强陈嘉睿1557C题60优秀奖对问题的检验本科组翁新新杨露王伟1558A题55优秀奖考虑问题单一1559C题60优秀奖文中对问题二本科组虞玥朱缓缓方园园本科组夏梦云杨华玉谢羽纶1560C题60优秀奖模型二是单一本科组吴晗林健范雨雨1564A题50优秀奖摘要内容太少本科组陈伟强陈森森李俐芸1565A题82一等奖论文利用层次本科组唐健张雪段海漪1566C题70三等奖模型汇总定义本科组李露平许冬梅周立敏1567A题40优秀奖全文无任何实本科组胡超群张倩倩李剑锋1568B题77二等奖边缘提取的效本科组黄瑞瑞欧凯丽徐一帆1569A题60优秀奖虽然有参考文1570C题74二等奖建立风险评估本科组郭子豪杨乐鹏崔健本科组余剑秋曹喆赖秋平1575A题80一等奖给出多种模型1576C题76二等奖文中对模型其本科组张雪周卉支援援本科组夏凤艳缪萍萍徐王忠1581C题62优秀奖模型在确定指本科组江晓露李子贤翟浩1582C题79二等奖综合评价不应本科组高莽陈家欣莫双1584C题79二等奖文中图例清晰本科组潘维宁胡婧昀吕婕1586C题79二等奖文中对问题二本科组王彦玲张俊赵雪利1587C题60优秀奖在整理各个影1588C题74二等奖似乎没有做出本科组赵思怡黄泽华梁轶本科组刘敏张元钰周思敏1589C题60优秀奖文中流程图清1590A题60优秀奖文中一共5篇本科组邵笑孙丹孙嫦婷本科组余珊珊吕晨王天琛1591A题78二等奖以轮胎特性为本科组侯丽朱一凡朱妍1594C题60优秀奖文中对模型结1595C题68优秀奖对层次分析和本科组陈星明韩越叶宇昊1596C题50优秀奖摘要过于简单本科组刘紫瑜管弦余道伟1597B题80二等奖该文对问题理本科组施文君邢亚楠汪宁丽本科组曹燕韩情汪敏龙1599C题60优秀奖计算临界点需1600C题60优秀奖问题一定综本科组王青青时韩荣方一婷本科组张俊杰梁宪飞陈超1601A题40优秀奖仿章鱼模型完1602A题50优秀奖有很多雷同的本科组程龙陈伟健雷德志本科组潘恒孙远李敏1604A题62三等奖文中采用所谓本科组刘润泽汪攀攀卢楠楠1606A题70三等奖文中主要围绕1607C题73三等奖采用灵敏度等本科组陈雨佳汪诚赵孙龙本科组关玉婷李松宇张海峰1617A题58优秀奖全文模型来自本科组石大伟郭明珠凌中萍1658B题79二等奖该文考虑问题1716C题86特等奖文中模型准备本科组马可许亚东刘元志本科组黄异芳范芹芹孙礼科1811C题65优秀奖模型一的讨论中学组张皖君汝林陈城城1814C题60优秀奖相关系数在计本科组魏冰茹李煜郭阳2026B题75三等奖该文思路比较本科组王悦秦瑞李琴琴1456A题80一等奖参考的数据较本科组叶陈王靓王娜1458C题79二等奖模型前期对数1459C题60优秀奖模型建立过程本科组童淑娟方姚袁玮1460C题73三等奖以一个城市为本科组朱杰戚功平崔爽爽本科组曹婷娟余姗姗吴泉垚1463A题65三等奖问题分析较多1464C题84一等奖首先剔除了原本科组吕娴雅褚诗成杨鑫1465C题78二等奖使用多元回归本科组汪懿然殷健陈国庆本科组徐瑶瑶赵丹丹姜雅静1466C题60优秀奖对问题二结果本科组李艳春甘晶晶王佳玉1467A题70三等奖全文分析表述本科组唐密陈园园项岚1476A题70三等奖虽然给出了一1478A题55优秀奖没有恰当参考本科组郑瑶丁芳丽王婷婷1480C题71三等奖利用综合评价本科组任洁李仕佳周雨婷1481C题75二等奖研究指数近似本科组彭伟刚张恒刁辰辰本科组倪强徐琳陈伟1544C题60优秀奖误差分析不够本科组孙姝周佳程浩冉1502A题79二等奖基于轮胎制动2308C题68优秀奖在对土地储备本科组李肖强李凤梅汪瑛琪1640A题55优秀奖本文建立了本科组夏爱玲胡丽云王欣1675B题72三等奖主要是运用二本科组陈杰梁园园赵敬侠本科组任新悦张秀玲张翔2012B题68优秀奖在进行模型建2085C题67优秀奖考虑是风险指本科组侯梦婷黄超男张海斌2359B题60优秀奖用坐标的手法本科组陈文强苏鑫森范翔3126B题67优秀奖利用canny算研究生组林园胜郝玲玲吴益红1941B题64优秀奖首先以数字曲本科组肖升徐昌韩文峰4029A题65三等奖本文建立了模本科组刘钰媛孟倩程婧4030C题60优秀奖文章对数据预本科组晋珊黄丙耀杨文建本科组陈伟余静王琪4031C题60优秀奖对数据的归一本科组李雨容高世飞廖凯4032C题73三等奖模型二需要给4033B题65优秀奖该文使用了m本科组杨颖刘振宝郭睿4034A 题60优秀奖本文建立了模本科组李思睿丁甘婷刘佳艺4035A题58优秀奖本文建立了本科组蒋亚丽干明瑞郑翔本科组尹巧一吴越陶涛4036B题65优秀奖图像处理部分4037A题55优秀奖本文建立了本科组姚春王伟峰曹旭4038C题80一等奖该文思路比较本科组左芸芸俞露露袁蕊本科组潘诗卉马海涛徐婷婷4039C题60优秀奖缺少模型优缺4040A题50优秀奖本文模型不本科组周鸣涧张雪张若南本科组方亚兰任丹丹刘洁4041C题68优秀奖该文使用了层4042B题78二等奖本来建立了贝本科组王镇羽牛中超郑合庆本科组吴欣舟邓志伟张鹏4043C题65优秀奖该文使用了层4044B题72三等奖本文给出了简本科组杨玎玲郑晨张玉珍4045B题70三等奖本文给出了简本科组陈筱朱付秀王正东4046A题40优秀奖无轮胎花纹和本科组陈铮强萍萍李娜娜本科组张磊吴倩徐静4047C题70三等奖该文使用了权4049A题63三等奖本文建立了本科组杨晓琪尹强汪酉申本科组黄帅何育昆刘圣杰4050C题60优秀奖该文对于问题4051B题78二等奖本来建立了贝本科组韩文锴唐益剑黄成3428D题71优秀奖模型不够完中学组薛兆恩张伯臣刘临祺3447D题70优秀奖模型不够完中学组李榕吴丹妮崔朔4235D题70优秀奖模型不够完中学组张浦淇刘兆华葛庆元4240D题60优秀奖没有给出有中学组高媛陈立奇张冉昀本科组吴涛岳海洋崔洪辉1918B题75三等奖文中用工程范本科组吴涛岳海洋崔洪辉1918B题79二等奖前半部分的处1807C题66优秀奖从土地储备项本科组王隆隆许松岭李甫尧2120A题60优秀奖本文建立了本科组崔少飞侯月赵航本科组彭滔何泽鹏张成2121A题78二等奖文中主要考虑本科组张雄雄唐慧娟赵静2122C题60优秀奖模型在条理和2123B题70三等奖该文的亮点是本科组张泽贤李双杨鹏松本科组吴东昱张海超李哲2124C题65优秀奖在后续得到风2125B题64优秀奖本文中给出了本科组郭向鑫高新郭兴欣本科组李少华张小鹏龚雪2126C题75二等奖模型方法比较2127A题60优秀奖本文建立了本科组杨旭张境娱马坤颖本科组万梦茹杜丹丹杨锦铎2128C题65优秀奖在讨论风险评2129B题65优秀奖文中主要是基本科组叶贵伦吴忠德刘子扬本科组邓云蛟商迎秋张冰妍2130C题79二等奖使用敏感性分2131A题65三等奖本文建立了本科组阴丹凤杨艳丰李凡2132C 题73三等奖建立了模糊综本科组刘建新秦帅姜钰2133A题62三等奖本文建立了本科组刘宝程刘青谷振杰2134C题75二等奖运用模糊数学本科组徐建壮陈银和吕若飞本科组姜斌黄殿云李运吉2136A题65三等奖论文的排版效2137A题62三等奖本文建立了本科组王啸黄铭秋何飞帆本科组李钊赵宝爱任利荣2138A题78二等奖文中围绕不同2139B题53优秀奖本文模型不够本科组何神君李敬权杨高峰2141D题74优秀奖对于题意理专科组贾凯路王凯贾亚男2251A题58优秀奖本文建立了本科组刘新武王金龙赵杰超本科组张晓宇陈洋王云霄2358A题79二等奖文中主要抓住本科组范朋森詹欣孟帅2574C题80一等奖把一些指标转3050A题60优秀奖本文建立了本科组展朝飞王道林宋嘉贞4222D题74优秀奖对于题意理专科组段梦瑶杜宝山刘洋2292A题40优秀奖本文模型严重本科组王正茂王坤寿徐炳锋2697B题64优秀奖本文中给出了本科组付博徐加伟巫佳佳本科组杨佳鑫张紫祺李开意1196B题65优秀奖在文中边界提本科组田庭忠刘晨宇肖惟4275B题60优秀奖单一的曲线拟研究生组张梦姿罗欢郭美荣1039B题79二等奖文章在拟合时1913C题67优秀奖从拆迁补偿人研究生组翟璐张亚琴刘杰本科组徐培健郭鸿金王彬1179A题72二等奖较详细给出不本科组蔡志强郭杭熙陈桂清3358C题79二等奖数据处理上下2075A题50优秀奖摘要过于简单本科组张弛慕霖何飞本科组孙莉萍杭婕李莹华1789C题60优秀奖未对原始数据2309C题60优秀奖模型的建立过本科组许可邱方舟张振邦本科组冯培培李典娜苏梦玮2407C题70三等奖文中对综合评本科组王丹苏智伟张雪静2044B题65优秀奖该文对建模前2408C题70三等奖模型中有7个本科组李琦程显琨魏静毅4119C 题71三等奖虽然使用改进本科组邱世毅付瑶王子田1165B题70三等奖用四种算法对本科组谢文强吴方舟吴杨本科组范开李亚光张宇欣1349C题60优秀奖模型缺少对结2155A题58优秀奖本文建立了本科组董晓静孙晟程鸣2156C题73三等奖用递阶层次分本科组高雨黄涛邹岱秀本科组蒋明丰邱诚炜刘丹阳2157B题65优秀奖在图像处理上2158A题53优秀奖本文建立了本科组肖健吴昊李少杰2159A题62三等奖本文建立了本科组邓思诗陈泽宇郎珊2160C题69三等奖整个模型并没本科组范中兴杨帆杨景月本科组谭宁赵煜照高有为2162B题80二等奖文中结构合理2163B题65优秀奖用图像灰度值本科组王炜王滔铭詹新成2164B题68优秀奖用扫描曲线图本科组陈明金丹陈思达2165A题67三等奖本文建立了轮本科组官中尉姚永鑫王忠康2166A题62三等奖本文建立了轮本科组曾莞婷徐寄烈陈昌华2167A题53优秀奖本文摘要过于本科组刘绍毅程逸凡刘壮志2168A题62三等奖本文建立了轮本科组李凯世李珍李朝2169A题60优秀奖本文模型考虑本科组史肖阳李宇双方赈民2170A题60优秀奖本文模型摘要本科组张哲珺张钿李立2173A题69三等奖本文建立了轮本科组王晓桐张文燕梁爽3688D题80二等奖文章给出了逐中学组唐寅李宇杰朱以待1004D题78二等奖对于题意理解专科组郑彦骏李容丽刘森林2006A题56优秀奖本文建立了本科组姜鸿宇陈星朋龚婷2007B题70三等奖模型一中寻找本科组李浩刘佳胡元川专科组何长枭魏鑫曾小倩2009B题60优秀奖文中思想清晰本科组何健张东言王彦博3462B题72三等奖图像检测工作本科组周倩倩黄叶邵明3463B题78二等奖matlab图像处3464A题64三等奖本文建立了本科组苏明明谭佳谭佳3465C题60优秀奖单独几个因素本科组赵策张慧民刘军本科组罗强赵静陈晋荣1371C题71三等奖本文应先对数1769C题60优秀奖关联度分析应本科组张阳周璟瑜常福霞本科组汪杨成张磊陈兆婷1770A题75二等奖文中作者虽然本科组赵庆伟王茂均肖风凯1771B题80二等奖本文对尖点的3103B题79二等奖在提取特殊点本科组陈姝荞肖玉何家玉2650A题62三等奖本文建立了本科组胡琼芳苟娜马飞本科组陈振荣王利华陈树立1116C题75二等奖回归分析中,本科组赵亚平胡倩倩刘翠萍1147B题60优秀奖在提取过程中本科组张宁李敏韩胡日都呼2105C题60优秀奖摘要达不到要2106B题66优秀奖模型只是对简本科组王雪滕晓杰焦慧然。
2014年全国研究生数学建模竞赛A题小鼠视觉感受区电位信号(LFP)与视觉刺激之间的关系研究人类脑计划(Human Brain Project, HBP)是继人类基因组计划之后,又一国际性科研计划,其核心是神经信息学(Neuroinformatics)。
该研究旨在努力探究数十亿个神经元的信息,以期对知觉、行动以及意识等有更进一步的了解。
科学家们预期这是一条开发新技术的好途径,由此可能进一步认识像老年痴呆和帕金森综合症等疾病,有望为各种精神疾病研究出新的治疗方法。
此外,该计划还可以更好地为人工智能服务。
目前该计划已经取得一定进展,例如在2014年足球世界杯巴西开幕式上,脊髓损伤患者开球就是利用了美国杜克大学的神经生物学家、大脑-计算机界面研究的先驱、巴西人Miguel Nicolelis开发的一种由大脑脑电波控制的外骨骼系统。
它既是人类脑计划的结晶,也是2014年Nature十大科学展望领域之一神经科学的代表性成就。
1.脑电波介绍脑是支配人和高级动物活动的司令部和信息中心,神经系统承担着感受外界刺激,产生、处理、传导和整合信号,实现各种认知活动(如知觉、学习、记忆、情绪、语言、意思和思维等),以及运动控制等众多功能。
神经系统的基本结构单元是神经元,其放电活动涉及复杂的物理化学过程,表现出丰富的非线性动力学行为。
神经系统整体可视为由数目众多的神经元组成的庞大而复杂的信息网络,通过对信息的处理、编码、整合,转变为传出冲动,从而联络和调节机体的各系统和器官的功能。
神经元对信息的处理和加工是神经元集群共同完成的,而神经元集群的同步形成较强的电信号就是脑电波。
脑电波(Electroencephalogram,EEG)是大脑在活动时,脑皮质细胞群之间形成电位差,从而在大脑皮质的细胞外产生电流。
它们是脑神经细胞的电生理活动在大脑皮层或头皮表面的总体反映,将大脑活动时这种电波的变化记录下来就得到脑电图。
2.脑电波的应用脑电波或脑电图是一种比较敏感的客观指标,不仅用于脑科学的基础理论研究,而且更重要的在于临床实践的应用。
2014高教社杯全国大学生数学建模竞赛获奖名单
本科组高教社杯获得者:程双泽、李君昌、陈凌勤(信阳师范学院)
专科组高教社杯获得者:丁晓彤、回荣洲、段君宜(海军航空工程学院青岛校区)本科组MATLAB创新奖获得者:陈超、唐梦珏、杨克宇(浙江工业大学)
专科组MATLAB创新奖获得者:王磊、蒋国辉、蔡姗姗(四川建筑职业技术学院)[注]以下每一获奖等级内,按赛区顺序排列(同一赛区内,按学校笔画顺序排列)。
本科组一等奖(共293名)
本科组二等奖(共1256名)
专科组一等奖(共47名)
专科组二等奖(共197名)。
序号题目类型队号队长姓名队长所在学校第一队友姓名1A10013008高雄北京邮电大学李响2A10147001蒲凌杰辽宁工程技术大学吕雅婷3A10252401朱伟明上海理工大学王宁4A10254014徐凤新上海海事大学朱若琪5A10270029黄中武上海师范大学彭钰6A10286374李欣东南大学秦晨7A10287012宿爱静南京航空航天大学方小星8A10336002李影杭州电子科技大学孙纯岭9A10336009徐家豪杭州电子科技大学姜孟津10A10404001魏超华东交通大学陈兰兰11A10425002吕飞中国石油大学(华东)魏佳12A10459017王棚郑州大学张群13A10533005罗思慧中南大学李朝斌14A10590001欧阳志平深圳大学张逍15A10700035付玉龙西安理工大学付斌16A10700045王远西安理工大学刘曙铭17A11414002王振达中国石油大学(北京)郭聪18A80143001陈其聪中国科学院上海技术物理研究所杨天杭19A82303001孙少华国网电力科学研究院李震20A83285034姜峰上海航天技术研究院(航天八院)张岚昕21A90006016杨旋陆军工程大学任国亭22A K0160朱格南京大学张晓荟23A10003034张连登清华大学金逸飞24A10006005戴训华北京航空航天大学任锦瑞25A10036002张子千对外经济贸易大学叶琳26A10070001葛通天津财经大学刘思雨27A10079065米师农华北电力大学(保定)吴若冰28A10144007秦晓成沈阳理工大学张修乐29A10147008胡海峰辽宁工程技术大学陶万成30A10183010张雅吉林大学徐小俊31A10183028林佳眉吉林大学袁晶鑫32A10213002王德华哈尔滨工业大学袁笛33A10219005杨虹黑龙江科技大学杨丹34A10220048王程玮东北石油大学张建波35A10220055王旭东北石油大学李淼36A10224019陈君执东北农业大学王加一37A10246084李巍复旦大学路亚南38A10247023仇婉约同济大学刘洋泽西39A10247029白炳仁同济大学管志云40A10247088张鹏同济大学肖宇41A10247137马晓栋同济大学陈许蓬42A10247169叶涵琦同济大学顾鹏43A10247211朱希迅同济大学李伟志44A10247316郑银同济大学陈晓灿45A10247364叶亚媚同济大学潘刘洋46A10248035贾昌浩上海交通大学赵国成47A10248070姜若云上海交通大学孙泱48A10248112赵旭鹏上海交通大学阮静平49A10248168荣健上海交通大学林文峰50A10248206徐岑上海交通大学王绵进51A10248220徐廷喜上海交通大学陈建国52A10248256安慧丽上海交通大学吴毅53A10248257孟万林上海交通大学李意54A10248258杨玲蔚上海交通大学李瑶55A10248352张天佳上海交通大学熊靖丰56A10252010黄振鑫上海理工大学李雪源57A10252026杨冰芳上海理工大学雷阳58A10252067李旭然上海理工大学魏小东59A10252122胡建秋上海理工大学黄希扬60A10252161郭帅上海理工大学汤卿61A10252175孙一品上海理工大学李航62A10252176赵超凡上海理工大学陶晨63A10252293吴鹤上海理工大学邵文64A10252299刘亮上海理工大学殷亚65A10252323石彬彬上海理工大学涂洋66A10252359李志荣上海理工大学刘涛67A10252411吴明杰上海理工大学郝运68A10252414张健上海理工大学黄震69A10252447沈天马上海理工大学顾天飞70A10254024程如朋上海海事大学李锐洪71A10254046杨志启上海海事大学郭志丽72A10256062郭先堂上海电力学院袁博73A10256070李帅位上海电力学院刘鹏飞74A10256099王琳上海电力学院刘鹏飞75A10259004杜天宇上海应用技术大学黄金华76A10269082郭丛威华东师范大学刘欣雨77A10270033张巧琦上海师范大学代莹78A10272004朱云迪上海财经大学张凌霄79A10273001王阅川上海对外经贸大学张一帆80A10280066翁东明上海大学顾婧瑜81A10280233付传波上海大学楼志挺82A10286007史鹏鹏东南大学施豪栋83A10286021袁祖龙东南大学葛佳月84A10286085周昊东南大学王群慧85A10286111陆震宇东南大学聂云聪86A10286233王乐东南大学黄炎87A10286376杜丽双东南大学李春露88A10287002郑亚龙南京航空航天大学蒋烁莹89A10287025鲍晗南京航空航天大学刘信超90A10287038徐丽敏南京航空航天大学张月圆91A10287041丁晟辉南京航空航天大学陈文辉92A10287048施展南京航空航天大学李竟铭93A10287076崔爱欣南京航空航天大学葛越94A10287079虞军军南京航空航天大学周烨95A10287097吴翔南京航空航天大学孟庆开96A10287153崔滔文南京航空航天大学陈昊翔97A10288020施佳伟南京理工大学危海明98A10292003沈冰燕常州大学刘阳99A10293012郭舒婷南京邮电大学柳池煜100A10294006晋恬河海大学胡雅婷101A10294030欧海军河海大学杨俊雄102A10294063陈壹鹏河海大学徐宇航103A10299001陈祎江苏大学程静峰104A10299005翁烁丰江苏大学朱体操105A10299015魏振东江苏大学颜秉卿106A10299017冯海鹏江苏大学戴煜107A10356006杨健中国计量大学闫剑锋108A10404057王露华东交通大学陈祚松109A10404064林春辉华东交通大学商庆园110A10412003黄强江西中医药大学李欢111A10422026马池坤山东大学孙佳欣112A10422038张天羽山东大学孙瑾婕113A10425080王宇川中国石油大学(华东)丁乾申114A10459013李胜光郑州大学王禹博115A10486026张博恩武汉大学夏畅116A10486043汪海涛武汉大学张炎117A10497031胡胜武汉理工大学高栋118A10500018许诚湖北工业大学彭瑞119A10500019郭林鑫湖北工业大学石肖120A10533038刘汉文中南大学朱龙胤121A10558002赖弘基中山大学张燕红122A10561023刘伯东华南理工大学谢沛民123A10593010裴世康广西大学应文倩124A10611004沈轩帆重庆大学李独运125A10611035徐兆俊重庆大学黄世鹏126A10613004黄宇峰西南交通大学徐士恒127A10613030杨文龙西南交通大学许明昊128A10617007许奥狄重庆邮电大学钟丹丹129A10617019刘一帆重庆邮电大学唐成130A10617083周梦娇重庆邮电大学王浩131A10618023陈正雄重庆交通大学黄麟钬132A10624003栾天中国民用航空飞行学院戴经天133A10673047杨大荣云南大学张晓云134A10674034蒋卫丽昆明理工大学陈振华135A10689023马建云南财经大学邱语136A10698007白帆西安交通大学黄启航137A10698014姜文宇西安交通大学刘建志138A10698033吴剑南西安交通大学李炳绪139A10698036樊嘉杰西安交通大学王萍140A10698074李陆西安交通大学王睿141A10699016周易成西北工业大学员婉莹142A10699018姚亮西北工业大学高举143A10699065赵万里西北工业大学丁松144A10708026褚恩亮陕西科技大学李沁145A10856100陈佳上海工程技术大学袁汪凰146A10856130林文衡上海工程技术大学姜彦文147A11035001丁宇沈阳大学王智勇148A11065019燕翔青岛大学刘华斌149A11075004孔阳三峡大学王越150A11075029张明三峡大学陈艳151A11105004徐天锋中国人民武装警察部队学院李欣152A11414020袁梦中国石油大学(北京)闫亚敏153A11632001罗晓乐沈阳工程学院赵阳阳154A11660022张林重庆理工大学曾亮155A11664001牟锦鹏西安邮电大学张琦156A11664017窦戈西安邮电大学冀敏杰157A11845002蒋名超广东工业大学罗源158A80001011任洋明中国科学院大学苏丽娜159A82701004李海漪机械科学研究总院封楠160A83241003田敏杰中国航天科工集团第三研究院向凯161A83285011郑益凯上海航天技术研究院(航天八院)林书宇162A83285012乔帆上海航天技术研究院(航天八院)杜洋163A90002036孙志强国防科学技术大学徐志康164A90002087段碧琦国防科学技术大学胡佳165A90006002许颢砾陆军工程大学朱玺峰166A90006015彭川陆军工程大学陈文浩167A90013001曹宇剑陆军军官学院王辉168A90025027赵增贺后勤工程学院蔡运雄169A90031004刘恩第三军医大学王倩楠170A90038032周煜韬海军工程大学贾正荣171A90039002缪幸吉海军航空工程学院齐嘉兴172A90039008周威海军航空工程学院赵超轮173A90045033张启瑞空军工程大学许卓凡174A90045041赵伟灼空军工程大学李翔175A90045052戴聪空军工程大学丁超176A90045057梁永强空军工程大学袁树植177A90045069朱创创空军工程大学何吕龙178A90045071王应洋空军工程大学王维佳179A90045073范翔宇空军工程大学吕茂隆180A90059001马世欣火箭军工程大学孙琦云181A90059003王笛火箭军工程大学李响182A90059033李军火箭军工程大学王朝183A91036004吕永申中国人民解放军战略支援部队航天工程大学陈国越184A K0026鲁晓希西南财经大学周振宇185A K0037叶杭杨同济大学武圣186A K0054王薇薇重庆交通大学杨国林187A K0060梅琳复旦大学陈锁188A K0085王乐华东交通大学刘淑丽189A K0149苏宇上海交通大学花卉190A K0152王泽同济大学魏国进191A K0171文涛华东师范大学叶健192A K0225李学伟北京交通大学宁丹麦193A K0252房尧立上海大学薛杰194A K0324毕慕超东南大学汤亚玮195A K0400徐明明上海交通大学张园园196A K0428许来西上海大学苏向阳197A K0437朱文浩北京大学李冠楠198A K0449吴金泽华东师范大学张芷涵199A K0482刘康中国科学技术大学彭顺风200A K0555段资政北京大学谢雨彤201A K0741孙小冬西北工业大学王琦202A10001020田米忍北京大学周康生203A10001045王雨萌北京大学雷佳媛204A10004001刘翔北京交通大学程蕾205A10004036卢思思北京交通大学高雅206A10004038牟文婷北京交通大学黄文俊207A10006004张源北京航空航天大学刘灏208A10007026吕永峰北京理工大学蒋召国209A10011006陈运兵北京工商大学唐小江210A10013015李雪玉北京邮电大学郭宇辰211A10013019孙宇航北京邮电大学刘欣怡212A10013040李潇阳北京邮电大学刘梦媛213A10016006章超北京建筑大学李昀阳214A10027004叶璨北京师范大学胡能瑶215A10054022黄登一华北电力大学黄子洋216A10054027宋籽锌华北电力大学张超217A10056010陈敏天津大学焉台郎218A10059003邓文敏中国民航大学田世权219A10069001杨祥飞天津商业大学王崇善220A10077001陈鹏河北地质大学马庆涛221A10079019张铭嘉华北电力大学(保定)刘兵成222A10081009安海飞华北理工大学田灿223A10081012亢静锐华北理工大学杨晓彤224A10110016刘昕中北大学李坤225A10128013李学彬内蒙古工业大学霍德豪226A10141036邵光明大连理工大学程博阳227A10145020张志晨东北大学吴思228A10145025万姣东北大学孙晓俊229A10148027李龙辽宁石油化工大学程健强230A10148040郐楚婷辽宁石油化工大学王博231A10148044郝一霖辽宁石油化工大学潘操232A10151001付金宇大连海事大学刘毅233A10153001杜晓宇沈阳建筑大学王昭怡234A10163039贾丹阳沈阳药科大学王雨微235A10166003耿帅沈阳师范大学王庆洋236A10183113蒋明智吉林大学童树林237A10184004王秋霞延边大学白东旭238A10188038曲钰东北电力大学庄妍239A10190004武凡凯长春工业大学潘昊天240A10193001王明月吉林农业大学黄彦博241A10201007姚欣彤北华大学王春艳242A10205002张雪长春师范大学侯晓莉243A10207003曲长雨吉林财经大学魏莱244A10217035王思超哈尔滨工程大学王欢245A10219009高帅帅黑龙江科技大学那洪亮246A10220002田亚军东北石油大学王梦谦247A10220008李井洋东北石油大学曹海宇248A10220024田哲熙东北石油大学宋达明249A10220027曹义威东北石油大学郭明翰250A10220029焦钰嘉东北石油大学陈宇豪251A10220037周岩东北石油大学王捷252A10223005刘凯旋黑龙江八一农垦大学许译丹253A10246030王昕旸复旦大学杨皓轩254A10247006贾宏坤同济大学汪彦辰255A10247174袁迎春同济大学宋玉洁256A10247195张宇飞同济大学黄礼彬257A10247200彭涛同济大学谭芬258A10247225单丽杰同济大学薛若男259A10247310常成成同济大学石凤260A10247369陈丹丹同济大学刘津伶261A10248006向籽行上海交通大学卢宙262A10248050王映远上海交通大学李泽阳263A10248094徐淇玮上海交通大学赵清波264A10248139李柏鹤上海交通大学秦勤265A10248143宋文浩上海交通大学马子泰266A10248146黄永辉上海交通大学黄巾帼267A10248163史舒婧上海交通大学李杰明268A10248199孙迪上海交通大学李京民269A10248278张铎上海交通大学张智奇270A10248356刘林上海交通大学张超271A10252080吴展翔上海理工大学吴冬梅272A10252164郭胜男上海理工大学梁听听273A10252165周柱上海理工大学李平阳274A10252205陈婷婷上海理工大学乔丹275A10252228余玉琴上海理工大学刘珊珊276A10252255高子欣上海理工大学田坤鹏277A10252271杨健上海理工大学胡宇豪278A10252358管振兴上海理工大学轩倩倩279A10252378孙峰上海理工大学张曙280A10252392李于翔上海理工大学薛瑶环281A10252405张刚上海理工大学骆震282A10252418张立明上海理工大学严志伟283A10252452殷彩萍上海理工大学秦维284A10252460刁倩倩上海理工大学朱艳玲285A10252524高瑜上海理工大学夏一秀286A10252526徐璐上海理工大学张梦月287A10254008陈雨汀上海海事大学彭琳288A10254019方进上海海事大学陈尚289A10254022王帅上海海事大学王明甲290A10254148王耀宗上海海事大学马琳291A10255016杨浩东华大学马勋勋292A10255018孙炜东华大学林逸飞293A10255032金元林东华大学张东杰294A10259005李雨萌上海应用技术大学丁艳花295A10259018赵涛涛上海应用技术大学董亚军296A10269079戴锡强华东师范大学蒋凤丹297A10269096胡文燕华东师范大学李若男298A10269110何淼华东师范大学王文强299A10270052卢海洋上海师范大学季鑫300A10270089翁丽慧上海师范大学王腾腾301A10272006郑多如上海财经大学潘岩302A10280053郭瑞上海大学喻凤303A10280137陈拼博上海大学许微304A10280171郭小丰上海大学季乐文305A10280206麻嘉诚上海大学方远306A10284052王璇南京大学刘敏307A10285010徐婷苏州大学刘哲308A10286030耿飞跃东南大学赵司宇309A10286052张凯恒东南大学陈曦310A10286055胡旭晖东南大学沈志乐311A10286100李华超东南大学门亚清312A10286239曾攀东南大学王俊玮313A10286255陈垚鑫东南大学杨文鑫314A10286259石子豪东南大学彭双315A10286322闫晣东南大学张梦尧316A10286447丁逸行东南大学俞智鹏317A10287044李根根南京航空航天大学曹佩蓓318A10287046陈辛南京航空航天大学魏炳翌319A10287087陈斌南京航空航天大学孙明珠320A10287098曹文见南京航空航天大学刘全新321A10287138李晓玉南京航空航天大学赵勰322A10287185曹永锋南京航空航天大学杨勇323A10287212刘婷炜南京航空航天大学何呈琳324A10288008张坤南京理工大学王凯325A10288011戴碧娜南京理工大学张宁326A10290006孙婷婷中国矿业大学王明锦327A10291005陆佳伟南京工业大学马婷婷328A10294044宋哲河海大学蔡时雨329A10294049李凡凡河海大学赵宇萌330A10294050范志成河海大学邱林331A10294062王文学河海大学钱苇航332A10298003孙葛亮南京林业大学安海燕333A10336032苏慧需杭州电子科技大学陈超334A10336038姬思雨杭州电子科技大学陈一梅335A10338003高腾跃浙江理工大学周景润336A10338020葛丹妮浙江理工大学罗亮337A10356014帅少杰中国计量大学胡杰338A10357013张凤晓安徽大学刘婷婷339A10357017侯咪咪安徽大学张彦杰340A10357018白宝林安徽大学皇慧慧341A10359018俞海燕合肥工业大学徐皓342A10361014吴晓东安徽理工大学刘健343A10386028关心宇福州大学陈莉莉344A10403003解晓龙南昌大学华文举345A10403014柳阿亮南昌大学段彧346A10404004余愿华东交通大学张大347A10404019张佳伟华东交通大学杨晓霞348A10404030康文洋华东交通大学张梦丽349A10404036乐陈飞华东交通大学结顺利350A10404062华敏华东交通大学李思明351A10406003黄林然南昌航空大学葛红平352A10412007贾佳江西中医药大学刘密353A10412012赵兰君江西中医药大学鄢星354A10422043丁媛媛山东大学李哲355A10424080高冠中山东科技大学马伯龙356A10424098牟永飞山东科技大学刘振振357A10425104朱彤宇中国石油大学(华东)李雪鹏358A10427001孙风阳济南大学张宇微359A10460010孟祥宾河南理工大学罗娜360A10465002朱范炳中原工学院孙雪凯361A10465005柴欣中原工学院杨合恒362A10465010菅晨光中原工学院王折折363A10465024纪志刚中原工学院陈鹏364A10476007冯务实河南师范大学何建樑365A10477007朱聪聪信阳师范学院张硕366A10486035何义才武汉大学熊倩367A10486040曾伟鑫武汉大学陈蕾368A10486055巩雪萍武汉大学邹正369A10489002王超长江大学姜圆香370A10490002何宛澄武汉工程大学薛凯仪371A10497001张东波武汉理工大学张晓婷372A10497022朱梦飞武汉理工大学黄羽韬373A10500020杨振宇湖北工业大学宋鹏才374A10500028毛月祥湖北工业大学司伟康375A10500035陈智龙湖北工业大学方诗雪376A10517004杨鼎鼎湖北民族学院牟鱼377A10520018阚剑中南财经政法大学屠雪永378A10530014汪震湘潭大学唐娟379A10531005叶冬平吉首大学田利萍380A10554003蔡娟湖南商学院张丽家381A10559004石玉龙暨南大学张利平382A10573003赵炳强广东药科大学张灵俐383A10594008张汉卿广西科技大学徐彻384A10595016张军军桂林电子科技大学文立超385A10611036周培重庆大学王义良386A10613057金鑫西南交通大学魏久林387A10614005曹昌杰电子科技大学杨颖388A10614007蓝永星电子科技大学王超楠389A10615032伍鹏程西南石油大学张航宇390A10617039王烟濛重庆邮电大学廉颖慧391A10618032金博重庆交通大学戴森昊392A10635003胡海龙西南大学邹斌393A10636004左芝翠四川师范大学李玉林394A10636005袁钟四川师范大学高艳苹395A10637008胡培杰重庆师范大学唐威396A10637014周小清重庆师范大学黄继英397A10637016周俊屹重庆师范大学郑霜398A10674005吴俊斌昆明理工大学李孟涵399A10674006宁友欢昆明理工大学陈壮400A10674031祁俊辉昆明理工大学林哲401A10698020陈宇飞西安交通大学刘莹402A10698022彭干涛西安交通大学郭俊403A10698024徐硕西安交通大学侯云婷404A10698032张诚西安交通大学王海峰405A10699002姚琦西北工业大学楚亚松406A10699004魏宇豪西北工业大学张文鑫407A10699026银益辉西北工业大学王喜成408A10699067惠文智西北工业大学郭奇409A10700010李阳辉西安理工大学薛杉410A10701023高佩西安电子科技大学闫丽萍411A10702016李建平西安工业大学张宇412A10708003阴奇麟陕西科技大学邓萌413A10708009高月月陕西科技大学刘澄澄414A10708022王陈陈陕西科技大学张魏415A10709032王杰西安工程大学郑晗416A10710014罗清云长安大学王睿417A10720002熊超陕西理工大学郑佳文418A10731005景双林兰州理工大学张华博419A10739001陈对平天水师范学院赵宇航420A10749009王萌宁夏大学于永川421A10764001仝荣伊犁师范学院马雪丽422A10856027陈帅上海工程技术大学董哲423A10856055戚凯科上海工程技术大学黄凯莉424A10856064刘文涛上海工程技术大学张东剑425A10856178孙玉珍上海工程技术大学申建康426A11035002贾美玉沈阳大学王雨薇427A11078001覃哲广州大学陈江栋428A11105006任中杰中国人民武装警察部队学院石坚429A11413004吕重重中国矿业大学(北京)崔东林430A11414008李钟原中国石油大学(北京)辛晶431A11414047任凯中国石油大学(北京)宋学锋432A11458005谢涛上海电机学院王杰433A11632008耿赫男沈阳工程学院尹柏睿434A11646047任艳多宁波大学胡伟435A11646068蒋桧慧宁波大学王潇436A11646074寿震宇宁波大学杨安邦437A11664005刘豪西安邮电大学李延峰438A11664013陶金西安邮电大学赵衡439A11664016成湘西安邮电大学张佳440A11664024董莹莹西安邮电大学李植441A11726006徐安俊长春大学秦丹丹442A11845009罗德谋广东工业大学向力宏443A12026023张连生大连民族大学贾世贤444A80139001吴浩中科院长春光学精密机械与物理研究所曲直445A80143024雷林建中国科学院上海技术物理研究所刘学446A80151010薛晓良中国科学院光电技术研究所林子慧447A82707001司明明上海材料研究所李绪东448A83201020张曦中国航天科技集团公司第一研究院崔鑫449A83277005叶衍权中国航天科技集团公司第十一研究院曹天赐450A83301001高峰煤炭科学研究总院张碧川451A83901002魏德山上海船舶运输科学研究所薛振宇452A85403001蔡润中国地震局兰州地震研究所郭鹏453A86212003陈原西安精密机械研究所王升454A90002012王培超国防科学技术大学吕流春455A90005041江建军解放军信息工程大学杨文晗456A90006012黄皓陆军工程大学任俊凯457A90006025白韡陆军工程大学李文458A90006035阮朗陆军工程大学徐逸凡459A90038007黄智海军工程大学杨晓乐460A90045011蒲磊空军工程大学倪磊461A90045060王博空军工程大学冯晓宇462A90046003史继拓中国人民解放军空军航空大学苏振宇463A90203002蔡楠峰武警后勤学院王诗瑶464A K0051卢霄同济大学徐阳465A K0172胡兴凯中国科学院上海光学精密机械研究所张健浩466A K0176付宝伟西北工业大学王春467A K0206陈青建中山大学莫珊兰468A K0223潘芳芳复旦大学朱群喜469A K0232葛佳上海交通大学杨金川470A K0279郭益民国防科学技术大学郑展471A K0308沈遥浙江工业大学刘舒阳472A K0320房泽晨同济大学刘宣473A K0339杜垚强温州医科大学史琪立474A K0381赵洪飞中国石油大学(华东)马钰淋475A K0398何敏上海财经大学胡慧燕476A K0399李越上海交通大学丁肇伟477A K0413王冰郑州大学徐亮亮478A K0457康若皓上海社会科学院顾澄479A K0489曹琪勇南京师范大学范晨480A K0497葛云龙上海交通大学苏博越481A K0524苗强中国石油大学(华东)武改红482A K0550刘曌俞中国航天科技集团公司第一研究院陈聿晨483A K0552南四威上海师范大学刘会明484A K0645王宝坤复旦大学叶奔嫣485A10001019桂杨北京大学王喆486A10001029杜鹰鹏北京大学沈懿馨487A10001042文习聪北京大学李晟骞488A10001099石鹏北京大学喻聪489A10003020李雨欣清华大学来耀490A10003023王维佳清华大学赵丰491A10004006吴月北京交通大学马秋林492A10004031韩奇秀北京交通大学刘珍493A10006002王永桢北京航空航天大学谷满仓494A10006006路博晗北京航空航天大学史晓495A10006018王楠北京航空航天大学朱黎明496A10007005刘志华北京理工大学岳明明497A10007006曹运北京理工大学吴泰霖498A10007013郑向阳北京理工大学常国兵499A10007027郜昱北京理工大学段正超500A10010007宋德魁北京化工大学杨小萍501A10010008朱永皓北京化工大学许祺502A10011014迟小童北京工商大学范博503A10011017赵军军北京工商大学余仁辉504A10013006张贤北京邮电大学王振505A10013012贺硕北京邮电大学崔亚娟506A10013016郭子俊北京邮电大学应山川507A10013037姜梦磊北京邮电大学韩晨阳508A10016002王来阳北京建筑大学于龙昊509A10017003欧文新北京石油化工学院胡盼510A10019003张耘铨中国农业大学喻启华511A10027005刘玲北京师范大学朱双伟512A10038025尹一豪首都经济贸易大学于泽琦513A10038028莫雅淇首都经济贸易大学严雨514A10041004徐晓霖中国人民公安大学沈炜域515A10054026聂雅楠华北电力大学周倩516A10055011刘连鹏南开大学李建阁517A10055012赵宇南开大学陈怡雯518A10056008李佩灵天津大学孙振519A10056009王宇天津大学吴卿仪520A10056022韩忠立天津大学杨超521A10056024程飞阳天津大学蓝晟522A10056026李明磊天津大学郭建军523A10059001杨晓中国民航大学韦东东524A10065003张婕天津师范大学邓蕊525A10065007崔文喆天津师范大学张旭彤526A10070004蒙晓庆天津财经大学左慧惠527A10070006刘迪天津财经大学戴昆鹏528A10076008姚卫涛河北工程大学马爽529A10079007姚然华北电力大学(保定)李东旭530A10079075张程华北电力大学(保定)曾亚敏531A10079077焦衡华北电力大学(保定)李宽532A10080008彭伟峰河北工业大学彭伟桃533A10080012纪学玲河北工业大学刘旭林534A10080018崔焘河北工业大学钟斌斌535A10081008常胜华北理工大学李耀东536A10094001康孟河北师范大学王二静537A10094002何博雅河北师范大学鹿春平538A10107021马闯石家庄铁道大学王伟539A10107022潘英东石家庄铁道大学张云鹏540A10109003李晓云太原科技大学王宝光541A10109008张森太原科技大学胡富元542A10109009李强太原科技大学尚静543A10109013马立群太原科技大学王建丽544A10109015张赫太原科技大学杨志强545A10109020李瑶太原科技大学吴云霞546A10112011杨海珠太原理工大学李吉547A10125001王碧山西财经大学潘扬548A10125003郅钧栋山西财经大学武翰章549A10125006田振中山西财经大学张慧怡550A10126006曹越内蒙古大学牛天551A10128004黄卫星内蒙古工业大学曹艳552A10140004王洪各辽宁大学韩文玉553A10141012倪翠大连理工大学班级新554A10141052王鑫大连理工大学刘美淇555A10141053陈星弛大连理工大学廖王程556A10142003张凡沈阳工业大学高畅557A10142011柳博文沈阳工业大学颜宁558A10143001康玉祥沈阳航空航天大学秦运海559A10144004宋鹏沈阳理工大学汪浩560A10144005熊伟沈阳理工大学安宏伟561A10145003王斯东北大学张硕562A10145006张馨文东北大学徐临平563A10145009荣玉龙东北大学乔若真564A10146006李彤辽宁科技大学孙冰565A10146011于忠鑫辽宁科技大学王镱嬴566A10146012翟凤阁辽宁科技大学张肖辉567A10146013刘小旋辽宁科技大学张悦568A10147004薛胜寒辽宁工程技术大学魏思瑶569A10148014邓程鹏辽宁石油化工大学宋卓570A10148018高健飞辽宁石油化工大学刘永超571A10148024刘嘉琪辽宁石油化工大学康凯572A10148034明男希辽宁石油化工大学靳远573A10148036潘佳鑫辽宁石油化工大学葛彤彤574A10148050闫安辽宁石油化工大学敖博文575A10148082谭文辽宁石油化工大学郭思彤576A10149008李文强沈阳化工大学钱神华577A10149014闫红旭沈阳化工大学杨茹578A10150011谢超大连交通大学丁海春579A10150016贾熙大连交通大学刘山580A10150022褚清清大连交通大学薛豪鹏581A10153017杨乐沈阳建筑大学孙琪582A10153018殷智慧沈阳建筑大学苏博583A10154004许鹏辽宁工业大学张震584A10154012邵新峰辽宁工业大学李克文585A10163004薛金艳沈阳药科大学林涵586A10163022王涛沈阳药科大学牟晨587A10163027张小溪沈阳药科大学于颖588A10163032孟宇沈阳药科大学蔡洪宁589A10163038向优沈阳药科大学胡蓉菠590A10163040张瑞沈阳药科大学张智慧591A10165006杜萍辽宁师范大学白静592A10165027刁宏悦辽宁师范大学孟佳593A10173009许东彦东北财经大学林婷594A10183019李明玉吉林大学何煦595A10183020刘雅丹吉林大学姜雲崧596A10183034李秀岭吉林大学韩提亮597A10183035郑旭东吉林大学郑林飞598A10183043田入运吉林大学王大任599A10183044栾建泽吉林大学王森600A10183047李林吉林大学张佩601A10183052冷玮吉林大学刘相廷602A10183093杨记龙吉林大学尚雪松603A10183104刘继文吉林大学王思奇604A10183126苗阳阳吉林大学蒋春文605A10183128林成男吉林大学王磊606A10183136李金来吉林大学张晓晨607A10183144郑婷婷吉林大学郑骁608A10183159李烁吉林大学李安石609A10184007雷玛丽延边大学张庆辰610A10186009包春宇长春理工大学刘丹611A10186016林雅荔长春理工大学杨惠612A10188005刘琳琳东北电力大学李鑫613A10188007胡达珵东北电力大学王文婷614A10188011马俊华东北电力大学谢禹615A10188020梁帅东北电力大学蔡玉汝。
2014年全国大学生数学建模竞赛获奖名单的通知(附件)附件1:2014年全国大学生数学建模竞赛河北赛区获全国奖名单本科组一等奖(共9组)学校队员一队员二队员三指导教师东北大学秦皇岛分校鄢盛丰董安葳翟洁丽指导教师组河北大学孙浩张静思张天一指导教师组华北电力大学邢法财申津京袁野指导教师组华北电力大学张硕朱思丞米师农指导教师组华北电力大学周新丽徐达王炜康指导教师组华北电力大学赵铮朱原兴刘佳指导教师组石家庄经济学院韩晓丹刘琬玥马阁张江燕山大学冯太永闫冷非王睿飞章胤燕山大学孙雪皓李浩楠马敬山章胤本科组二等奖(共42组)学校队员一队员二队员三指导教师北华航天工业学院彭宇龙赵雪志崔园园邓凤茹东北大学秦皇岛分校郑念祖顾立晨尤轲指导教师组东北大学秦皇岛分校殷晓娟王海燕李起旺指导教师组东北大学秦皇岛分校蔡佳秀邹紫盛高志伟指导教师组河北大学聂淑昆刘宸瑀马晓燕指导教师组河北工业大学刘彦凯刘洋安贺舜焦艳东河北工业大学刘富豪孙进周凤娇金少华河北工业大学张新宇贾旭白云孙光坤河北工业大学高静李真成张润锋苏国忠河北工程大学刘国强张闻天朱新宇庞培林河北工程大学武方达刘毓乾金爱国王超河北北方学院张鹏鹏孙晓栋毕天宇马鹏程河北师范大学刘恩豪李浩天穆文琪侯波河北师范大学刘颖王琛梅济民侯波河北师范大学暴俊华刘媛媛尹彦松周丙寅河北师范大学汇华学院王第增石毓杨莹莹鲁明河北农业大学杨宁宫雅婷王振廷指导教师组河北农业大学张晓彤刘雅钗王晓阳指导教师组河北经贸大学高雅硕石滨萌杜飞飞指导教师组河北科技大学许文鹏井梦龙马金瑶指导教师组河北科技大学樊聪聪张曼张立芳指导教师组华北电力大学刘力铭彭飞李得第指导教师组华北电力大学张智敏杨江平吴若冰指导教师组华北电力大学贾孟硕崔泽宇韩博指导教师组华北电力大学曹治李迎张雪原指导教师组华北电力大学科技学院陈怡树王靖云吴曼曼指导教师组军械工程学院林枫周晓阳宋一凡王志平石家庄学院随金明白莉莎谢瑞雪李伟才石家庄经济学院王凌志王旋安德凯张江石家庄经济学院张文雅张皓东曾望王博石家庄铁道大学安志勇徐方正孙冉刘宝友邢台学院韩晓妹闫岩康照川王明礼燕山大学牛子佳刘楠楠胡丽章胤燕山大学安文静李进环张明坤宋向东燕山大学李新丽王丽王俊德刘俊伟燕山大学贾雪娜阚玉红耿碧莹李德生燕山大学顾艳田周梦涵柳世莹王艳宁燕山大学景兴春李征王亭亭王刚燕山大学谢韵博郭广路张询李建东燕山大学滕秋润李潇连宸章胤燕山大学里仁学院孙博梅刘朋李景忠王增富中国人民武装警察部队学院朱晨旖张明帅肖蓉兰月新专科组一等奖(共1组)学校队员一队员二队员三指导教师承德石油高等专科学校葛鹏飞马森刘永健唐世星专科组二等奖(共5组)学校队员一队员二队员三指导教师河北金融学院叶飞李娜沈杨阳指导教师组石家庄邮电职业技术学院唐杰胡晓扬张艳贾慧羡石家庄经济学院李涛张洁贾红芳张玉荣石家庄经济学院郭德敏王文霞李金爽张玉荣承德石油高等专科学校纪浩王旭豪安占强潘承松附件2 :2014年全国大学生数学建模竞赛河北赛区获河北省奖名单本科组一等奖(共81组)学校队员一队员二队员三指导教师北华航天工业学院彭宇龙赵雪志崔园园邓凤茹北京交通大学海滨学院田婷婷卢思敏高苗董立伟东北大学秦皇岛分校蔡佳秀邹紫盛高志伟指导教师组东北大学秦皇岛分校鄢盛丰董安葳翟洁丽指导教师组东北大学秦皇岛分校郑念祖顾立晨尤轲指导教师组东北大学秦皇岛分校殷晓娟王海燕李起旺指导教师组邯郸学院赵庆彬宋玉玮闫晓阳张青河北北方学院张鹏鹏孙晓栋毕天宇马鹏程河北大学聂淑昆刘宸瑀马晓燕指导教师组河北大学孙浩张静思张天一指导教师组河北工程大学刘国强张闻天朱新宇庞培林河北工程大学武方达刘毓乾金爱国王超河北工业大学高静李真成张润锋苏国忠河北工业大学刘富豪孙进周凤娇金少华河北工业大学张新宇贾旭白云孙光坤河北工业大学刘彦凯刘洋安贺舜焦艳东河北经贸大学高雅硕石滨萌杜飞飞指导教师组河北科技大学樊聪聪张曼张立芳指导教师组河北科技大学许文鹏井梦龙马金瑶指导教师组河北联合大学刘凯王成林林琳指导教师组河北联合大学罗兴军李明虎吴弯弯指导教师组河北联合大学宁可云吴涛武刘惠指导教师组河北联合大学姚茗放孙凯丽李佳指导教师组河北联合大学祁明晓任喜亮孙月阔指导教师组河北联合大学杨军辉戚鹏梅焦贝贝指导教师组河北联合大学轻工学院张义学赵乾马洪福指导教师组河北农业大学杨宁宫雅婷王振廷指导教师组河北农业大学张晓彤刘雅钗王晓阳指导教师组河北农业大学殷忠浩李子谦任晓磊指导教师组河北师范大学暴俊华刘媛媛尹彦松周丙寅河北师范大学李文杰蒋晓霞刘元元解建军河北师范大学刘恩豪李浩天穆文琪侯波河北师范大学刘颖王琛梅济民侯波河北师范大学汇华学院王第增石毓杨莹莹鲁明华北电力大学曹治李迎张雪原指导教师组华北电力大学国赫刘婧妍杨雪指导教师组华北电力大学刘力铭彭飞李得第指导教师组华北电力大学刘祥韩金新吴光敏指导教师组华北电力大学牛天尧李新军吉瑞芳指导教师组华北电力大学陶冀赵篷阳韩新杰指导教师组华北电力大学王长正王亚琦姚文展华北电力大学张硕朱思丞米师农指导教师组华北电力大学周新丽徐达王炜康指导教师组华北电力大学董圣孝李宛容郭佳熠指导教师组华北电力大学贾孟硕崔泽宇韩博指导教师组华北电力大学李燕王睿豪周光奇指导教师组华北电力大学邢法财申津京袁野指导教师组华北电力大学张婕乐梦雅梁雪琪李鹏华北电力大学张朋宇戚鹏胡皓玮指导教师组华北电力大学张智敏杨江平吴若冰指导教师组华北电力大学赵铮朱原兴刘佳指导教师组华北电力大学科技学院陈怡树王靖云吴曼曼指导教师组华北电力大学科技学院姬洪超张伟张西娇指导教师组华北科技学院程胜杰王琛杨瑞锋杨戍军械工程学院林枫周晓阳宋一凡王志平军械工程学院曾宇杜军钟子睿王志平廊坊师范学院肖亚敏李阳赵芳婷张宝雷石家庄经济学院韩晓丹刘琬玥马阁张江石家庄经济学院王凌志王旋安德凯张江石家庄经济学院张文雅张皓东曾望王博石家庄经济学院郑潇豪刘宇胡照乐张江石家庄铁道大学安志勇徐方正孙冉刘宝友石家庄学院随金明白莉莎谢瑞雪李伟才邢台学院韩晓妹闫岩康照川王明礼燕山大学安文静李进环张明坤宋向东燕山大学冯太永闫冷非王睿飞章胤燕山大学顾艳田周梦涵柳世莹王艳宁燕山大学路勇超孙娜郝遥迪王永茂燕山大学牛子佳刘楠楠胡丽章胤燕山大学孙雪皓李浩楠马敬山章胤燕山大学滕秋润李潇连宸章胤燕山大学谢韵博郭广路张询李建东燕山大学徐朋顾英辉杨毅赵晓知燕山大学张磊姜升殿闫小苗黄秋红燕山大学贾雪娜阚玉红耿碧莹李德生燕山大学景兴春李征王亭亭王刚燕山大学李新丽王丽王俊德刘俊伟燕山大学王思琦李达李叶儿王艳宁燕山大学廉馨宋振宇孔志飞李德生燕山大学里仁学院孙博梅刘朋李景忠王增富中国人民武装警察部队学院朱晨旖张明帅肖蓉兰月新本科组二等奖(共162组)学校队员一队员二队员三指导教师保定学院何男张佳朋客文欢崔嵬北华航天工业学院张浩然顾志明展朝飞张翠莲北华航天工业学院李少华张小朋龚雪曾大有承德石油高等专科学校黄发宋宇刘旭光杨红梅承德石油高等专科学校于金须郭美玲杨昭云杨红梅东北大学秦皇岛分校韩锦姚洋邓维指导教师组东北大学秦皇岛分校靳一徐礼林任鑫涛指导教师组东北大学秦皇岛分校石浩孙慧任洁指导教师组东北大学秦皇岛分校宋舒意付秀英李莉指导教师组东北大学秦皇岛分校孙业军孙静远郝承达指导教师组东北大学秦皇岛分校王嘉辉杨号鑫王志翔指导教师组东北大学秦皇岛分校李忠飞尹芃森周春亚指导教师组东北大学秦皇岛分校杨宇昊姚文峰张茂林指导教师组东北大学秦皇岛分校赵利郭金梅王华指导教师组防灾科技学院王东丁艳青王暾任晴晴河北北方学院郝美情王娴郭爽郑秀亮河北大学冯嘉琦张东琦刘唱指导教师组河北大学董华李玉鹏石福宽指导教师组河北大学张玉韩新新董海林指导教师组河北大学刘悦黎孟吴同熊志广指导教师组河北大学岳娇王迪程育指导教师组河北工程大学李鹤龚美玲孙博旭栗文国河北工程大学马晓迪贾瑞丽张婉婷栗文国河北工程大学宋晓旭李颖超王思雪张艳萍河北工程大学科信学院沈奇韩玉珠白金龙王超河北工程大学科信学院姚龙飞张士中张晨陈继强河北工业大学毕成浩刘梦迪赵贤达王志京河北工业大学陈会朋刘亚君谢宗霖徐常青河北工业大学高洁艳周锦怡丁晓林高然河北工业大学何厚锦李新新韩乃峥谭春晓河北工业大学章昱昭刘伟强樊亚琴于新凯河北工业大学高志红韩霞赵丽萌睢佰龙河北工业大学李潇涵王青松谭芝王金环河北工业大学王轲尧高敏靳炜徐勇河北金融学院侯雯琰彭芳陈敏指导教师组河北金融学院张梦驰王鑫高鹏飞指导教师组河北经贸大学李云欣郭丽敏王欣欣指导教师组河北经贸大学石梦如赵大力王艳海指导教师组河北经贸大学杨琪郑冰冰刘阳指导教师组河北科技大学樊明波蔡必光张盼指导教师组河北科技大学郑皓元陈锐陈庆峰指导教师组河北科技师范学院冀南南郭盼盼李帅指导教师组河北科技师范学院李扬张治苗婷婷指导教师组河北科技师范学院要旭蔡金月刘佳惠指导教师组河北科技师范学院郝倩闫林林赵顺心指导教师组河北科技师范学院王玉张弯孙斌指导教师组河北联合大学胡晓园李鹏永贺晓梦指导教师组河北联合大学焦嫚赵梓欣韩韫泽指导教师组河北联合大学亢静锐杨晓彤赵亚彬指导教师组河北联合大学李帅印刘洪超舒英浚指导教师组河北联合大学孙月欣袁明明冯建瑶指导教师组河北联合大学陶万成马宁李晓菲指导教师组河北联合大学王润泽张广鹤唐芳玲指导教师组河北联合大学谢元艾王帅张婉指导教师组河北联合大学张宇王一星张艺辉指导教师组河北联合大学赵雷杜雷彭美叶指导教师组河北联合大学赵志勇孙立波郭明超指导教师组河北联合大学曹志林王永康万震指导教师组河北联合大学李琴樊航赵靖指导教师组河北联合大学刘颖任增耀韩共乐指导教师组河北联合大学王荣孙文斌邢云青指导教师组河北联合大学轻工学院崔佳磊刘丹璇杜铎指导教师组河北联合大学轻工学院黄兰王自龙王强指导教师组河北联合大学轻工学院孟繁强李贺冯美如指导教师组河北联合大学轻工学院师燕鹏郭波超吕剑波指导教师组河北联合大学轻工学院安家威范世达李娅楠指导教师组河北联合大学轻工学院李俊萱贾瑞强赵杨指导教师组河北联合大学轻工学院石帅杨晓磊刘金委指导教师组河北联合大学轻工学院武若飞郭威东黄建苓指导教师组河北民族师范学院李淅凤贾茹韩赛美尚宇辉河北民族师范学院刘航赵亚丽胡潇媛韩伟河北农业大学李赛赛郑玲玲章若曦指导教师组河北农业大学张强强孟蕾王子婵指导教师组河北农业大学李波李思蒙冯会江指导教师组河北农业大学王通靳超刘晓帆指导教师组河北师范大学白宁裴梦霄郝珍珍李俊红河北师范大学刘洪琛陈磊侯家宏王志巍河北师范大学张凯旋王健楠付一帆郑小伟河北师范大学付芹郭增卫陈一玮曹鹏浩河北师范大学汇华学院朱晓悦郝宁宇卢曼丽李俊红衡水学院李树亮杨雪颖戴瑶瑶魏连秋衡水学院张于黄金子张景芝周婷衡水学院郭露景赵文娟仝丽嫒陈爱新华北电力大学代家丞李军邓莉荣指导教师组华北电力大学黄馨仪苏同发蒋畅王修武华北电力大学蒋慧卿徐巧变刘智远华北电力大学林志勇张小梅温家琦指导教师组华北电力大学刘清晨张思行张冠群戴志辉华北电力大学刘为辰康美娜李帅指导教师组华北电力大学逄飞杨泽陈蕊指导教师组华北电力大学裴鑫谭忠维蔡莹华北电力大学任国俊赵圣楠肖艳红指导教师组华北电力大学时钟肖卿宇廖成城指导教师组华北电力大学童格格付佳良门向阳华北电力大学王国庆魏安安崔悦指导教师组华北电力大学王世杰胡灿张宇潇杨玉华华北电力大学王亚祝张晨浩王祯指导教师组华北电力大学鲜浩波师昭蓉文月李鹏华北电力大学邢佳妮章钧恺肖曾翔石彤菊华北电力大学张瑞雪游嵘臻龚宇佳马新顺华北电力大学董国静梁芷睿陈曦华北电力大学侯美玲陶君明杨新宇马新顺华北电力大学裴继坤张屹刘树培李鹏华北电力大学尹旭张思景李文乔指导教师组华北电力大学科技学院陈方徐珺叶晟指导教师组华北电力大学科技学院陈小龙谷晓会马标指导教师组华北电力大学科技学院苟庆林王琪吴旭指导教师组华北电力大学科技学院黄海宁孙世全周玉指导教师组华北电力大学科技学院李灏李宁宁魏少雄指导教师组华北科技学院凌玮杨鹏石洋洋王清华北科技学院张玉杰姚林昌谭杰谭立云华北科技学院张源源韩超解晶森杨文光军械工程学院刘宝骏洪泽浩历寒李德清军械工程学院李瑞刘国增雷浩孙梅慈军械工程学院刘毅黄琛金录军李德清军械工程学院何思雨刘益岑朱晓秀王志平军械工程学院王胜利杨哲陈佳孟明强军械工程学院吴恒卢昱铭张孟孟明强军械工程学院杨岳张银赵润泽冯光辉廊坊师范学院邓晓涵荣奕华马军硕仝雅娜廊坊师范学院薛皓元杨璐李超群范利强石家庄经济学院曹柳青张溪郭丰辉张俊顺石家庄经济学院孙佳奇齐鑫宇柳峰张俊顺石家庄经济学院闫亚静刘福珍房海飞张俊顺石家庄铁道大学蒋振中刘鹏张彦孙铁石家庄铁道大学徐璐卢兆楠贾学梅刘炜石家庄铁道大学张杨英刘鑫鑫马迅张素娟石家庄铁道大学游朝俊寇晨辉龚斌张丽丽石家庄铁道大学张壮陆贵银周新张丽丽石家庄铁道大学四方学院解伟强任兵杰梁甜甜安宏伟石家庄铁道大学四方学院高启杰孙张伟赵文兰郑莉芳石家庄学院苑俊华张莉邢睿聂翠平石家庄学院张路迎王志波杨硕李伟才唐山师范学院段娅杰吴丽苗闫克丽樊丽丽唐山学院刁俊洁代金琳冯林星王成燕京理工学院张静婷曹显武静陈凡红燕山大学董志涛陈培锴林勃婵王永茂燕山大学刘蓓毛戌宁刘波刘俊伟燕山大学刘财兴陈莹王怀翔杜会静燕山大学刘广鹏霍如建李倩章胤燕山大学刘琦贾宗显马小为李建东燕山大学刘喜娈高鹏孙潇章胤燕山大学佟玲韩菲菲秦碧磊王永茂燕山大学吴中原闫占正韩颖章胤燕山大学张佳佳张利萍沈若尧章胤燕山大学冯琴琴肖斌刘若王刚燕山大学付东东王伟然毛宏源王艳宁燕山大学李雅娟朱萌萌彭云龙黄秋红燕山大学张浩翔马超王雨薇李建东燕山大学张泽林洋陆经纬杜会静燕山大学里仁学院黄日辰马灿付华樊剑武燕山大学里仁学院孔祥西孙妙然张扬王增富燕山大学里仁学院路遥王旭辉林旭鹏陆瑶燕山大学里仁学院王文彬白海龙王科磊章胤燕山大学里仁学院赵伟陆鑫伟商雅静杨洋燕山大学里仁学院赵永超郝素超孙亚楠鄂成国燕山大学里仁学院周意牛雅馨陈志广章胤等燕山大学里仁学院吴瑶孟爱文李奇阳王梅婷燕山大学里仁学院张焱鑫袁丹真王凯陆瑶中国人民武装警察部队学院张高杰王溢伟郑赛马莉中国人民武装警察部队学院周子裕王浩宇陆润王立冬中国人民武装警察部队学院冯锋俞超金建丞安晓伟专科组一等奖(共8组)学校队员一队员二队员三指导教师承德石油高等专科学校葛鹏飞马森刘永健唐世星承德石油高等专科学校纪浩王旭豪安占强潘承松河北金融学院叶飞李娜沈杨阳指导教师组石家庄经济学院郭德敏王文霞李金爽张玉荣石家庄经济学院李涛张洁贾红芳张玉荣石家庄邮电职业技术学院唐杰胡晓扬张艳贾慧羡唐山职业技术学院张龙王鹏朱永兴于红中国人民武装警察部队学院昝永健崔博孟敬彬姜春艳专科组二等奖(共22组)学校队员一队员二队员三指导教师保定电力职业技术学院贾宝朋王路喜朱亚楠指导教师组保定电力职业技术学院马全月柳致鹏张宇飞指导教师组保定电力职业技术学院郭晓于史仁杰李宗盛指导教师组渤海理工职业学院李伟王宏涛赵晨阳李梅玲承德石油高等专科学校杨禹尹朝庆高月相秀芬河北工业职业技术学院刘刚陈浩任雪兰李英芳河北机电职业技术学院赵立燕杨玉丛窦博文程锋利河北机电职业技术学院石文杰杨硕信广东周世兴河北金融学院陈玮琦陈雨奇何张璐指导教师组河北科技师范学院程柔茜崔美娟李腾飞指导教师组廊坊燕京职业技术学院李嘉新王京聂亚秋赵鹏廊坊职业技术学院陈嘉鑫刘利许敬帅马东石家庄经济学院刘静飞郑国林乔婷宋建民石家庄经济学院田琳琳谷二帅冯寒青宋建民石家庄理工职业学院侯迎英王兢兢于龙李小敏石家庄铁路职业技术学院贾栋梁李雄威陈战董文雷石家庄邮电职业技术学院何凌寒唐琦李园于金青石家庄邮电职业技术学院李林山张燕茹武笑丽李锦石家庄邮电职业技术学院惠中升石天陈丽张静唐山职业技术学院王毅娟冯敬捧闫少茜李海英邢台职业技术学院马伟刘海瑞侯孟蝶艾立新中国人民武装警察部队学院杨涵博陈跃峰杨立强姜春艳附件3:2014年全国大学生数学建模竞赛河北赛区优秀组织奖名单燕山大学。
附件1:2014年全国大学生数学建模竞赛河北赛区获全国奖名单本科组一等奖(共9组)学校队员一队员二队员三指导教师东北大学秦皇岛分校鄢盛丰董安葳翟洁丽指导教师组河北大学孙浩张静思张天一指导教师组华北电力大学邢法财申津京袁野指导教师组华北电力大学张硕朱思丞米师农指导教师组华北电力大学周新丽徐达王炜康指导教师组华北电力大学赵铮朱原兴刘佳指导教师组石家庄经济学院韩晓丹刘琬玥马阁张江燕山大学冯太永闫冷非王睿飞章胤燕山大学孙雪皓李浩楠马敬山章胤本科组二等奖(共42组)学校队员一队员二队员三指导教师北华航天工业学院彭宇龙赵雪志崔园园邓凤茹东北大学秦皇岛分校郑念祖顾立晨尤轲指导教师组东北大学秦皇岛分校殷晓娟王海燕李起旺指导教师组东北大学秦皇岛分校蔡佳秀邹紫盛高志伟指导教师组河北大学聂淑昆刘宸瑀马晓燕指导教师组河北工业大学刘彦凯刘洋安贺舜焦艳东河北工业大学刘富豪孙进周凤娇金少华河北工业大学张新宇贾旭白云孙光坤河北工业大学高静李真成张润锋苏国忠河北工程大学刘国强张闻天朱新宇庞培林河北工程大学武方达刘毓乾金爱国王超河北北方学院张鹏鹏孙晓栋毕天宇马鹏程河北师范大学刘恩豪李浩天穆文琪侯波河北师范大学刘颖王琛梅济民侯波河北师范大学暴俊华刘媛媛尹彦松周丙寅河北师范大学汇华学院王第增石毓杨莹莹鲁明河北农业大学杨宁宫雅婷王振廷指导教师组河北农业大学张晓彤刘雅钗王晓阳指导教师组河北经贸大学高雅硕石滨萌杜飞飞指导教师组河北科技大学许文鹏井梦龙马金瑶指导教师组河北科技大学樊聪聪张曼张立芳指导教师组华北电力大学刘力铭彭飞李得第指导教师组华北电力大学张智敏杨江平吴若冰指导教师组华北电力大学贾孟硕崔泽宇韩博指导教师组华北电力大学曹治李迎张雪原指导教师组华北电力大学科技学院陈怡树王靖云吴曼曼指导教师组军械工程学院林枫周晓阳宋一凡王志平石家庄学院随金明白莉莎谢瑞雪李伟才石家庄经济学院王凌志王旋安德凯张江石家庄经济学院张文雅张皓东曾望王博石家庄铁道大学安志勇徐方正孙冉刘宝友邢台学院韩晓妹闫岩康照川王明礼燕山大学牛子佳刘楠楠胡丽章胤燕山大学安文静李进环张明坤宋向东燕山大学李新丽王丽王俊德刘俊伟燕山大学贾雪娜阚玉红耿碧莹李德生燕山大学顾艳田周梦涵柳世莹王艳宁燕山大学景兴春李征王亭亭王刚燕山大学谢韵博郭广路张询李建东燕山大学滕秋润李潇连宸章胤燕山大学里仁学院孙博梅刘朋李景忠王增富中国人民武装警察部队学院朱晨旖张明帅肖蓉兰月新专科组一等奖(共1组)学校队员一队员二队员三指导教师承德石油高等专科学校葛鹏飞马森刘永健唐世星专科组二等奖(共5组)学校队员一队员二队员三指导教师河北金融学院叶飞李娜沈杨阳指导教师组石家庄邮电职业技术学院唐杰胡晓扬张艳贾慧羡石家庄经济学院李涛张洁贾红芳张玉荣石家庄经济学院郭德敏王文霞李金爽张玉荣承德石油高等专科学校纪浩王旭豪安占强潘承松附件2 :2014年全国大学生数学建模竞赛河北赛区获河北省奖名单本科组一等奖(共81组)学校队员一队员二队员三指导教师北华航天工业学院彭宇龙赵雪志崔园园邓凤茹北京交通大学海滨学院田婷婷卢思敏高苗董立伟东北大学秦皇岛分校蔡佳秀邹紫盛高志伟指导教师组东北大学秦皇岛分校鄢盛丰董安葳翟洁丽指导教师组东北大学秦皇岛分校郑念祖顾立晨尤轲指导教师组东北大学秦皇岛分校殷晓娟王海燕李起旺指导教师组邯郸学院赵庆彬宋玉玮闫晓阳张青河北北方学院张鹏鹏孙晓栋毕天宇马鹏程河北大学聂淑昆刘宸瑀马晓燕指导教师组河北大学孙浩张静思张天一指导教师组河北工程大学刘国强张闻天朱新宇庞培林河北工程大学武方达刘毓乾金爱国王超河北工业大学高静李真成张润锋苏国忠河北工业大学刘富豪孙进周凤娇金少华河北工业大学张新宇贾旭白云孙光坤河北工业大学刘彦凯刘洋安贺舜焦艳东河北经贸大学高雅硕石滨萌杜飞飞指导教师组河北科技大学樊聪聪张曼张立芳指导教师组河北科技大学许文鹏井梦龙马金瑶指导教师组河北联合大学刘凯王成林林琳指导教师组河北联合大学罗兴军李明虎吴弯弯指导教师组河北联合大学宁可云吴涛武刘惠指导教师组河北联合大学姚茗放孙凯丽李佳指导教师组河北联合大学祁明晓任喜亮孙月阔指导教师组河北联合大学杨军辉戚鹏梅焦贝贝指导教师组河北联合大学轻工学院张义学赵乾马洪福指导教师组河北农业大学杨宁宫雅婷王振廷指导教师组河北农业大学张晓彤刘雅钗王晓阳指导教师组河北农业大学殷忠浩李子谦任晓磊指导教师组河北师范大学暴俊华刘媛媛尹彦松周丙寅河北师范大学李文杰蒋晓霞刘元元解建军河北师范大学刘恩豪李浩天穆文琪侯波河北师范大学刘颖王琛梅济民侯波河北师范大学汇华学院王第增石毓杨莹莹鲁明华北电力大学曹治李迎张雪原指导教师组华北电力大学国赫刘婧妍杨雪指导教师组华北电力大学刘力铭彭飞李得第指导教师组华北电力大学刘祥韩金新吴光敏指导教师组华北电力大学牛天尧李新军吉瑞芳指导教师组华北电力大学陶冀赵篷阳韩新杰指导教师组华北电力大学王长正王亚琦姚文展华北电力大学张硕朱思丞米师农指导教师组华北电力大学周新丽徐达王炜康指导教师组华北电力大学董圣孝李宛容郭佳熠指导教师组华北电力大学贾孟硕崔泽宇韩博指导教师组华北电力大学李燕王睿豪周光奇指导教师组华北电力大学邢法财申津京袁野指导教师组华北电力大学张婕乐梦雅梁雪琪李鹏华北电力大学张朋宇戚鹏胡皓玮指导教师组华北电力大学张智敏杨江平吴若冰指导教师组华北电力大学赵铮朱原兴刘佳指导教师组华北电力大学科技学院陈怡树王靖云吴曼曼指导教师组华北电力大学科技学院姬洪超张伟张西娇指导教师组华北科技学院程胜杰王琛杨瑞锋杨戍军械工程学院林枫周晓阳宋一凡王志平军械工程学院曾宇杜军钟子睿王志平廊坊师范学院肖亚敏李阳赵芳婷张宝雷石家庄经济学院韩晓丹刘琬玥马阁张江石家庄经济学院王凌志王旋安德凯张江石家庄经济学院张文雅张皓东曾望王博石家庄经济学院郑潇豪刘宇胡照乐张江石家庄铁道大学安志勇徐方正孙冉刘宝友石家庄学院随金明白莉莎谢瑞雪李伟才邢台学院韩晓妹闫岩康照川王明礼燕山大学安文静李进环张明坤宋向东燕山大学冯太永闫冷非王睿飞章胤燕山大学顾艳田周梦涵柳世莹王艳宁燕山大学路勇超孙娜郝遥迪王永茂燕山大学牛子佳刘楠楠胡丽章胤燕山大学孙雪皓李浩楠马敬山章胤燕山大学滕秋润李潇连宸章胤燕山大学谢韵博郭广路张询李建东燕山大学徐朋顾英辉杨毅赵晓知燕山大学张磊姜升殿闫小苗黄秋红燕山大学贾雪娜阚玉红耿碧莹李德生燕山大学景兴春李征王亭亭王刚燕山大学李新丽王丽王俊德刘俊伟燕山大学王思琦李达李叶儿王艳宁燕山大学廉馨宋振宇孔志飞李德生燕山大学里仁学院孙博梅刘朋李景忠王增富中国人民武装警察部队学院朱晨旖张明帅肖蓉兰月新本科组二等奖(共162组)学校队员一队员二队员三指导教师保定学院何男张佳朋客文欢崔嵬北华航天工业学院张浩然顾志明展朝飞张翠莲北华航天工业学院李少华张小朋龚雪曾大有承德石油高等专科学校黄发宋宇刘旭光杨红梅承德石油高等专科学校于金须郭美玲杨昭云杨红梅东北大学秦皇岛分校韩锦姚洋邓维指导教师组东北大学秦皇岛分校靳一徐礼林任鑫涛指导教师组东北大学秦皇岛分校石浩孙慧任洁指导教师组东北大学秦皇岛分校宋舒意付秀英李莉指导教师组东北大学秦皇岛分校孙业军孙静远郝承达指导教师组东北大学秦皇岛分校王嘉辉杨号鑫王志翔指导教师组东北大学秦皇岛分校李忠飞尹芃森周春亚指导教师组东北大学秦皇岛分校杨宇昊姚文峰张茂林指导教师组东北大学秦皇岛分校赵利郭金梅王华指导教师组防灾科技学院王东丁艳青王暾任晴晴河北北方学院郝美情王娴郭爽郑秀亮河北大学冯嘉琦张东琦刘唱指导教师组河北大学董华李玉鹏石福宽指导教师组河北大学张玉韩新新董海林指导教师组河北大学刘悦黎孟吴同熊志广指导教师组河北大学岳娇王迪程育指导教师组河北工程大学李鹤龚美玲孙博旭栗文国河北工程大学马晓迪贾瑞丽张婉婷栗文国河北工程大学宋晓旭李颖超王思雪张艳萍河北工程大学科信学院沈奇韩玉珠白金龙王超河北工程大学科信学院姚龙飞张士中张晨陈继强河北工业大学毕成浩刘梦迪赵贤达王志京河北工业大学陈会朋刘亚君谢宗霖徐常青河北工业大学高洁艳周锦怡丁晓林高然河北工业大学何厚锦李新新韩乃峥谭春晓河北工业大学章昱昭刘伟强樊亚琴于新凯河北工业大学高志红韩霞赵丽萌睢佰龙河北工业大学李潇涵王青松谭芝王金环河北工业大学王轲尧高敏靳炜徐勇河北金融学院侯雯琰彭芳陈敏指导教师组河北金融学院张梦驰王鑫高鹏飞指导教师组河北经贸大学李云欣郭丽敏王欣欣指导教师组河北经贸大学石梦如赵大力王艳海指导教师组河北经贸大学杨琪郑冰冰刘阳指导教师组河北科技大学樊明波蔡必光张盼指导教师组 河北科技大学郑皓元陈锐陈庆峰指导教师组 河北科技师范学院冀南南郭盼盼李帅指导教师组河北科技师范学院李扬张治苗婷婷指导教师组河北科技师范学院要旭蔡金月刘佳惠指导教师组河北科技师范学院郝倩闫林林赵顺心指导教师组河北科技师范学院王玉张弯孙斌指导教师组河北联合大学胡晓园李鹏永贺晓梦指导教师组河北联合大学焦嫚赵梓欣韩韫泽指导教师组河北联合大学亢静锐杨晓彤赵亚彬指导教师组河北联合大学李帅印刘洪超舒英浚指导教师组河北联合大学孙月欣袁明明冯建瑶指导教师组河北联合大学陶万成马宁李晓菲指导教师组河北联合大学王润泽张广鹤唐芳玲指导教师组河北联合大学谢元艾王帅张婉指导教师组河北联合大学张宇王一星张艺辉指导教师组河北联合大学赵雷杜雷彭美叶指导教师组河北联合大学赵志勇孙立波郭明超指导教师组河北联合大学曹志林王永康万震指导教师组河北联合大学李琴樊航赵靖指导教师组河北联合大学刘颖任增耀韩共乐指导教师组河北联合大学王荣孙文斌邢云青指导教师组河北联合大学轻工学院崔佳磊刘丹璇杜铎指导教师组河北联合大学轻工学院黄兰王自龙王强指导教师组河北联合大学轻工学院孟繁强李贺冯美如指导教师组河北联合大学轻工学院师燕鹏郭波超吕剑波指导教师组河北联合大学轻工学院安家威范世达李娅楠指导教师组河北联合大学轻工学院李俊萱贾瑞强赵杨指导教师组河北联合大学轻工学院石帅杨晓磊刘金委指导教师组河北联合大学轻工学院武若飞郭威东黄建苓指导教师组河北民族师范学院李淅凤贾茹韩赛美尚宇辉河北民族师范学院刘航赵亚丽胡潇媛韩伟河北农业大学李赛赛郑玲玲章若曦指导教师组河北农业大学张强强孟蕾王子婵指导教师组河北农业大学李波李思蒙冯会江指导教师组河北农业大学王通靳超刘晓帆指导教师组河北师范大学白宁裴梦霄郝珍珍李俊红河北师范大学刘洪琛陈磊侯家宏王志巍河北师范大学张凯旋王健楠付一帆郑小伟河北师范大学付芹郭增卫陈一玮曹鹏浩河北师范大学汇华学院朱晓悦郝宁宇卢曼丽李俊红衡水学院李树亮杨雪颖戴瑶瑶魏连秋衡水学院张于黄金子张景芝周婷衡水学院郭露景赵文娟仝丽嫒陈爱新华北电力大学代家丞李军邓莉荣指导教师组华北电力大学黄馨仪苏同发蒋畅王修武华北电力大学蒋慧卿徐巧变刘智远华北电力大学林志勇张小梅温家琦指导教师组华北电力大学刘清晨张思行张冠群戴志辉华北电力大学刘为辰康美娜李帅指导教师组华北电力大学逄飞杨泽陈蕊指导教师组华北电力大学裴鑫谭忠维蔡莹华北电力大学任国俊赵圣楠肖艳红指导教师组华北电力大学时钟肖卿宇廖成城指导教师组华北电力大学童格格付佳良门向阳华北电力大学王国庆魏安安崔悦指导教师组华北电力大学王世杰胡灿张宇潇杨玉华华北电力大学王亚祝张晨浩王祯指导教师组华北电力大学鲜浩波师昭蓉文月李鹏华北电力大学邢佳妮章钧恺肖曾翔石彤菊华北电力大学张瑞雪游嵘臻龚宇佳马新顺华北电力大学董国静梁芷睿陈曦华北电力大学侯美玲陶君明杨新宇马新顺华北电力大学裴继坤张屹刘树培李鹏华北电力大学尹旭张思景李文乔指导教师组华北电力大学科技学院陈方徐珺叶晟指导教师组华北电力大学科技学院陈小龙谷晓会马标指导教师组华北电力大学科技学院苟庆林王琪吴旭指导教师组华北电力大学科技学院黄海宁孙世全周玉指导教师组华北电力大学科技学院李灏李宁宁魏少雄指导教师组华北科技学院凌玮杨鹏石洋洋王清华北科技学院张玉杰姚林昌谭杰谭立云华北科技学院张源源韩超解晶森杨文光军械工程学院刘宝骏洪泽浩历寒李德清军械工程学院李瑞刘国增雷浩孙梅慈军械工程学院刘毅黄琛金录军李德清军械工程学院何思雨刘益岑朱晓秀王志平军械工程学院王胜利杨哲陈佳孟明强军械工程学院吴恒卢昱铭张孟孟明强军械工程学院杨岳张银赵润泽冯光辉廊坊师范学院邓晓涵荣奕华马军硕仝雅娜廊坊师范学院薛皓元杨璐李超群范利强石家庄经济学院曹柳青张溪郭丰辉张俊顺石家庄经济学院孙佳奇齐鑫宇柳峰张俊顺石家庄经济学院闫亚静刘福珍房海飞张俊顺石家庄铁道大学蒋振中刘鹏张彦孙铁石家庄铁道大学徐璐卢兆楠贾学梅刘炜石家庄铁道大学张杨英刘鑫鑫马迅张素娟石家庄铁道大学游朝俊寇晨辉龚斌张丽丽石家庄铁道大学张壮陆贵银周新张丽丽石家庄铁道大学四方学院解伟强任兵杰梁甜甜安宏伟石家庄铁道大学四方学院高启杰孙张伟赵文兰郑莉芳石家庄学院苑俊华张莉邢睿聂翠平石家庄学院张路迎王志波杨硕李伟才唐山师范学院段娅杰吴丽苗闫克丽樊丽丽唐山学院刁俊洁代金琳冯林星王成燕京理工学院张静婷曹显武静陈凡红燕山大学董志涛陈培锴林勃婵王永茂燕山大学刘蓓毛戌宁刘波刘俊伟燕山大学刘财兴陈莹王怀翔杜会静燕山大学刘广鹏霍如建李倩章胤燕山大学刘琦贾宗显马小为李建东燕山大学刘喜娈高鹏孙潇章胤燕山大学佟玲韩菲菲秦碧磊王永茂燕山大学吴中原闫占正韩颖章胤燕山大学张佳佳张利萍沈若尧章胤燕山大学冯琴琴肖斌刘若王刚燕山大学付东东王伟然毛宏源王艳宁燕山大学李雅娟朱萌萌彭云龙黄秋红燕山大学张浩翔马超王雨薇李建东燕山大学张泽林洋陆经纬杜会静燕山大学里仁学院黄日辰马灿付华樊剑武燕山大学里仁学院孔祥西孙妙然张扬王增富燕山大学里仁学院路遥王旭辉林旭鹏陆瑶燕山大学里仁学院王文彬白海龙王科磊章胤燕山大学里仁学院赵伟陆鑫伟商雅静杨洋燕山大学里仁学院赵永超郝素超孙亚楠鄂成国燕山大学里仁学院周意牛雅馨陈志广章胤等燕山大学里仁学院吴瑶孟爱文李奇阳王梅婷燕山大学里仁学院张焱鑫袁丹真王凯陆瑶中国人民武装警察部队学院张高杰王溢伟郑赛马莉中国人民武装警察部队学院周子裕王浩宇陆润王立冬中国人民武装警察部队学院冯锋俞超金建丞安晓伟专科组一等奖(共8组)学校队员一队员二队员三指导教师承德石油高等专科学校葛鹏飞马森刘永健唐世星承德石油高等专科学校纪浩王旭豪安占强潘承松河北金融学院叶飞李娜沈杨阳指导教师组石家庄经济学院郭德敏王文霞李金爽张玉荣石家庄经济学院李涛张洁贾红芳张玉荣石家庄邮电职业技术学院唐杰胡晓扬张艳贾慧羡唐山职业技术学院张龙王鹏朱永兴于红中国人民武装警察部队学院昝永健崔博孟敬彬姜春艳专科组二等奖(共22组)学校队员一队员二队员三指导教师保定电力职业技术学院贾宝朋王路喜朱亚楠指导教师组保定电力职业技术学院马全月柳致鹏张宇飞指导教师组保定电力职业技术学院郭晓于史仁杰李宗盛指导教师组渤海理工职业学院李伟王宏涛赵晨阳李梅玲承德石油高等专科学校杨禹尹朝庆高月相秀芬河北工业职业技术学院刘刚陈浩任雪兰李英芳河北机电职业技术学院赵立燕杨玉丛窦博文程锋利河北机电职业技术学院石文杰杨硕信广东周世兴河北金融学院陈玮琦陈雨奇何张璐指导教师组河北科技师范学院程柔茜崔美娟李腾飞指导教师组廊坊燕京职业技术学院李嘉新王京聂亚秋赵鹏廊坊职业技术学院陈嘉鑫刘利许敬帅马东石家庄经济学院刘静飞郑国林乔婷宋建民石家庄经济学院田琳琳谷二帅冯寒青宋建民石家庄理工职业学院侯迎英王兢兢于龙李小敏石家庄铁路职业技术学院贾栋梁李雄威陈战董文雷石家庄邮电职业技术学院何凌寒唐琦李园于金青石家庄邮电职业技术学院李林山张燕茹武笑丽李锦石家庄邮电职业技术学院惠中升石天陈丽张静唐山职业技术学院王毅娟冯敬捧闫少茜李海英邢台职业技术学院马伟刘海瑞侯孟蝶艾立新中国人民武装警察部队学院杨涵博陈跃峰杨立强姜春艳附件3:2014年全国大学生数学建模竞赛河北赛区优秀组织奖名单燕山大学。