电子电路基础第二章答案
- 格式:doc
- 大小:101.50 KB
- 文档页数:5
习题22.1在图2.18所示的电路中,求各理想电流源的端电压、功率及各电阻上消耗的功率。
解答:由节点方程得I3=I2-I1=1A,U1=I3R1=1A×20Ω=20V,U2=U1+I2R2=20V+2A×10Ω=40V,P1= U1I1=20V×1A=20W,P2=-U2I2=-80W,电阻上的功率P R1=20V×1A=20W,P R2=20V×2A=40W。
2.2求图2.19所示电路中各支路电流,并计算理想电流源的电压U1。
已知I1=3A,R2=12Ω,R3=8Ω,R4=12Ω,R5=6Ω。
电压和电流的参考方向如图中所示。
解答:节点方程I1+I2+I3=0,I3=I4+I5,网孔方程I2R2=I3R3+I4R4,I4R4=I5R5,联立上述方程得I2=I3=-1.5A,I4=-0.5A,I5=-1A,U1=I2R2=-1.5A×12Ω=-18V。
2.3试用支路电流法求图2.20所示电路中各支路电流,并求三个电源的输出功率和负载电阻RL上的取用功率。
解答:节点方程I1+I2+10=I,网孔方程0.8I1+116=0.4I2+120,0.8I1+4I=120,联立三方程得I1=75/8A,I2=35/4A,I=225/8A,三个电源的输出功率分别为1125W,1015W,1125W;负载电阻上的取用功率为3164.0625W。
2.4用网孔电流法求解习题2.3。
解答:将电流源与负载电阻的位置互换形成三个网孔,网孔参考电流方向均为顺时针方向,网孔电流方程如下1.2I A-0.4I B=120-116,4.4I B-0.4I A-4I C=116,I C=-10A,解得I A=75/8A,I B=145/8A,于是I1=I A=75/8A,I2=I B-I A=35/4A,I=I B-I C=225/8A。
2.5图2.21所示电路,网孔电流如图中所标,试列写可用来求解该电路的网孔方程。
第2章正弦交流电路习题解答习2.1题π⎞⎛电流i = 10sin ⎜100πt −⎟,问它的三要素各为多少?在交流电路中,有两个负载,3⎠⎝π⎞π⎞⎛⎛已知它们的电压分别为u1 = 60sin ⎜ 314t −⎟ V,u2 = 80sin ⎜ 314t + ⎟ V,求总电压u 的瞬时值6⎠ 3⎠⎝⎝表达式,并说明u、u1、u2 三者的相位关系。
解:(1)最大值为10(V),角频率为100 π rad/s,初相角为-60°。
(2)U1m = 60 / − 30°(V)U 2 m = 80 / 60°(V)则U m = U1m + U 2 m = 60 / −30° + 80 / 60°= 100 / 23.1°(V)u = 100 sin(314t + 23.1°) (V)u 滞后u2,而超前u1。
2.2两个频率相同的正弦交流电流,它们的有效值是I1=8A,I2=6A,求在下面各种情况下,合成电流的有效值。
(1)i1 与i2 同相。
(2)i1 与i2 反相。
(3)i1 超前i2 90º角度。
(4)i1 滞后i2 60º角度。
解:1)I = I1 + I 2 = 8 + 6 = 14 (A)((2)I= I 1 − I 2 = 8 + 6 (A)I1 + I 2 = 82 + 62 = 10 (A)2 2(3)I =(4)设I1 = 8/ 0°(A)则I 2 = 6 / 60°(A)I = I1 + I 2 = 8/ 0° + 6/ 60° = 12.2/ 25.3°(A)I = 12.2 (A)2.3 把下列正弦量的时间函数用相量表示。
(1)u = 10 2 sin314t V 解:(1) U =10/0º (V) (2)i = −5 sin(314t –60º) A (2) I m =-5/-60º =5/180º-60º=5/120º (A)2.4 已知工频正弦电压uab 的最大值为311V,初相位为–60°,其有效值为多少?写出其瞬时值表达式;当t=0.0025s 时,Uab 的值为多少?解:∵U abm = 2 U ab∴有效值U ab =1 1 × 311 = 220 (V) U abm =2 2 瞬时值表达式为u ab = 311sin (314t −60°) (V) ⎛⎝当t=0.0025S 时,U ab = 311 × sin ⎜100π×0.0025 −π⎞⎟= 311sin( − ) = −80.5 (V) 3⎠ 12π2.5题 2.5 图所示正弦交流电路,已知u1=220 2 sin314t V,u2=220 2 sin(314t–120º) V,第2章正弦交流电路习题解答65试用相量表示法求电压ua 和ub。
第二章逻辑门电路第一节重点与难点一、重点:1.TTL与非门外特性(1)电压传输特性及输入噪声容限:由电压传输特性曲线可以得出与非门的输出信号随输入信号的变化情况,同时还可以得出反映与非门抗干扰能力的参数U on、U off、U NH和U NL。
开门电平U ON是保证输出电平为最高低电平时输入高电平的最小值。
关门电平U OFF是保证输出电平为最小高电平时,所允许的输入低电平的最大值。
(2)输入特性:描述与非门对信号源的负载效应。
根据输入端电平的高低,与非门呈现出不同的负载效应,当输入端为低电平U IL时,与非门对信号源是灌电流负载,输入低电平电流I IL通常为1~1.4mA.当输入端为高电平U IH时,与非门对信号源呈现拉电流负载,输入高电平电流I IH通常小于50μA。
(3)输入负载特性:实际应用中,往往遇到在与非门输入端与地或信号源之间接入电阻的情况,电阻的取值不同,将影响相应输入端的电平取值。
当R≤关门电阻R OFF时,相应的输入端相当于输入低电平;当R≥ 开门电阻R ON时,相应的输入端相当于输入高电平。
2.其它类型的TTL门电路(1)集电极开路与非门(OC门)多个TTL与非门输出端不能直接并联使用,实现线与功能.而集电极开路与非门(OC门)输出端可以直接相连,实现线与的功能,它与普通的TTL与非门的差别在于用外接电阻代替复合管.(2)三态门TSL三态门即保持推拉式输出级的优点,又能实现线与功能。
它的输出除了具有一般与非门的两种状态外,还具有高输出阻抗的第三个状态,称为高阻态,又称禁止态.处于何种状态由使能端控制.3.CMOS逻辑门电路CMOS反相器和CMOS传输门是CMOS逻辑门电路的最基本单元电路,由此可以构成各种CMOS逻辑电路。
当CMOS反相器处于稳态时,无论输出高电平还是低电平,两管中总有一管导通,一管截止,电源仅向反相器提供nA级电流,功耗非常小。
CMOS器件门限电平U TH近似等于1/2U DD,可获得最大限度的输入端噪声容限U NH和U NL=1/2U DD。
第二章整流与滤波电路一、判断下列说法是否正确,用“√”和“×”表示判断结果填入空内。
(1)电容滤波适用于大电流场合,而电感滤波适用于高电压场合。
()(2)全波整流电路中,流过每个整流管的平均电流只有负载电流的一半。
()(3)单相桥式整流电容滤波电路中与单相半波整流电容滤波电路中,每个二极管承受的反向电压相同。
()(4)半波整流电路中,流过二极管的平均电流只有负载电流的一半。
()(5)硅稳压管并联型稳压电路的负载任意变化,稳压管都能起稳压作用。
()(6)电解电容的电极有正、负之分,使用时正极接高电位,负极接低电位。
()(7)任何电子电路都需要直流电源供电,因此需要直流稳压电源。
()(8)在整流电路后仅用电阻就构成滤波电路。
()(9)整流电路能将交流电压转换成单向脉动电压,是利用了二极管的单向导电性。
(()(10)全波整流电路中,其中一个整流管短路时对整流电路不影响,输出仍为全波整流。
()二、选择正确答案填入空内。
1、滤波电路中整流二极管的导通角较大,峰值电流很小,输出特性较好,适用于低电压、大电流场合的滤波电路是()A、电感B、电容C、复式D、有源分析如下图,选择正确答案填在括号内(第2题~第5题),已知U2=10V。
2、接入滤波电容后,输出直流电压为()A、升高B、降低C、不变D、为零3、接入滤波电容后,二极管的导通角为()A、加大B、减小C、不变D、为零4、输出电压的平均值U O约为()A、10VB、14VC、16VD、12V5、若D1短路,则()A、U0减小一半B、U O不变C、D3、D4发热D、D2或变压器烧坏分析如下图,选择正确答案填写在括号内(第6题~第11题)。
6、设U2有效值为10V,则电容两端电压为()A、 B、9V C、12V D、14V7、若电容C脱焊,则Ui为()A、 B、9V C、12V D、14V8、若二极管D4接反,则()A、变压器被短路,D1、D2或变压器被烧坏B、变为半波整流C、电容C将过压而击穿D、稳压管过流而烧坏9、若电阻R短路,则()A、U O将下降B、变为半波整流C、电容C将过压而击穿D、稳定管过流而损坏10、设电路正常工作,当电网电压波动而使U i增大时(负载不变),I R将增大,则I W将()A、增大B、减小C、基本不变D、为零11、设电路正常工作,当负载电流I O增大时(电网电压不变),I R将基本不变,则I W将()A、增大B、减小C、基本不变D、为零12、在单相整流电路中,流过负载电阻的电流是()A、交流电流B、平滑直流C、脉动直流D、纹波电流13、在单相桥式整流电路中,设变压器副边电压有效值为U2,若负载开路,则每只整流二极管承受的最高反向电压是()A、2U2B、U2C、2U2D、U214、在单相桥式整流电路中,设变压器副边电压有效值为U2=100V,则负载两端平均电压是()A、100VB、90VC、45VD、141V15、在单相桥式整流电路中,如果某个整流二极管极性接反,则会出现()现象A、输出电压升高B、输出电压为零C、有半周短路,输出电压明显下降D、输出电压不变三、填空题1、硅稳压管通常工作在区域。
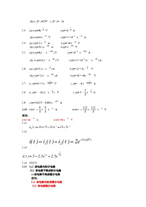
《电路与电子技术基础》作业答案第1章电路分析的基本概念---作业题1-1题1-3题1-6第2章电路分析定理和基本方法---作业一、第3章时域电路分析---作业第4章正弦稳态电路分析---作业第5章互感与理想变压器---作业第6章半导体器件---作业1、6.5(a)D1导通,U AB= -0.7V(b) D2导通,U AB= -5.3V2、6.9 D Z1导通,U o=0.7V3、6.12 U BE>0,I B>0;U CE>04、6.13 电流放大作用,i C=βi B,i E= i B+i C=i B(β+1)=( i C/β)*( β+1)5、6.16 (1)在截止区(2)U ce= 3.5V 工作在放大区(3)U ce= -1.5V 工作在反偏状态,在饱和区第7章半导体三极管放大电路---作业书上习题:1、7.22、7.3 (1) R B =565 K Ω ,R C =3 K Ω(2) A u == -120 ,U o =0.3V3、7.4 Q 点:Ω≈≈≈k r m A I A μ I be CQ BQ 3.176.122Ω==-≈Ω≈-≈≈k R R A k R A V U c o usi uCEQ 5933.13082.6 空载时:471153.25-≈-≈≈Ω=usuCEQ L A A V U k R 时:Ω==Ω≈k R R k R c o i 53.1第8章集成运算放大电路---作业1、 书上习题8.3 u O = u O1-0.6= -(R f /R 1)u i -0.6 V2、 书上习题8.5 u O =-1VI L =-100μAI O =110μA3补充:)()(200112t u t t u u O i O +-=-4补充:o f f I R R R R I ∙∙++≈414o f f f I R R R R R R I V ∙∙∙++≈=41411电流串联负反馈电路5补充:电压串联负反馈电路6补充:o f f I R R R I ∙∙+≈55 电流并联负反馈电路第9章波形发生电路---作业1 改错:2、3、书上习题9.2习题图9.2(a)习题图9.2(b)第10章直流稳压电源---作业书上习题1、 10.8 (1)U o =ZD U =10V I o =10 mAI =14 mAZ D I =4 mA(2)I = I o =16 mAU o =10VD 没反向工作, Z D I =0 mA2、 10.123、补充:A 5.4)1( 'O 12L 'O 12C =⋅+≈⋅≈I R R I I R R I。
第二章逻辑门电路第一节重点与难点一、重点:1.TTL与非门外特性(1)电压传输特性及输入噪声容限:由电压传输特性曲线可以得出与非门的输出信号随输入信号的变化情况,同时还可以得出反映与非门抗干扰能力的参数U on、U off、U NH和U NL。
开门电平U ON是保证输出电平为最高低电平时输入高电平的最小值。
关门电平U OFF 是保证输出电平为最小高电平时,所允许的输入低电平的最大值。
(2)输入特性:描述与非门对信号源的负载效应。
根据输入端电平的高低,与非门呈现出不同的负载效应,当输入端为低电平U IL时,与非门对信号源是灌电流负载,输入低电平电流I IL通常为1~1.4mA。
当输入端为高电平U IH时,与非门对信号源呈现拉电流负载,输入高电平电流I IH通常小于50μA。
(3)输入负载特性:实际应用中,往往遇到在与非门输入端与地或信号源之间接入电阻的情况,电阻的取值不同,将影响相应输入端的电平取值。
当R≤关门电阻R OFF时,相应的输入端相当于输入低电平;当R≥ 开门电阻R ON时,相应的输入端相当于输入高电平。
2.其它类型的TTL门电路(1)集电极开路与非门(OC门)多个TTL与非门输出端不能直接并联使用,实现线与功能。
而集电极开路与非门(OC 门)输出端可以直接相连,实现线与的功能,它与普通的TTL与非门的差别在于用外接电阻代替复合管。
(2)三态门TSL三态门即保持推拉式输出级的优点,又能实现线与功能。
它的输出除了具有一般与非门的两种状态外,还具有高输出阻抗的第三个状态,称为高阻态,又称禁止态。
处于何种状态由使能端控制。
3.CMOS逻辑门电路CMOS反相器和CMOS传输门是CMOS逻辑门电路的最基本单元电路,由此可以构成各种CMOS逻辑电路。
当CMOS反相器处于稳态时,无论输出高电平还是低电平,两管中总有一管导通,一管截止,电源仅向反相器提供nA级电流,功耗非常小。
CMOS器件门限电平U TH近似等于1/2U DD,可获得最大限度的输入端噪声容限U NH和U NL=1/2U DD。
第一章 思考题与习题1.1. 半导体材料都有哪些特性?为什么电子有源器件都是由半导体材料制成的?1.2. 为什么二极管具有单向导电特性?如何用万用表判断二极管的好坏? 1.3. 为什么不能将两个二极管背靠背地连接起来构成一个三极管? 1.4. 二极管的交、直流等效电阻有何区别?它们与通常电阻有什么不同? 1.5. 三极管的放大原理是什么?三极管为什么存在不同的工作状态? 1.6. 如图P1-1(a)所示的三极管电路,它与图P1-1(b)所示的二极管有何异同?1.7.稳压二极管为何能够稳定电压?1.8.三极管的交、直流放大倍数有何区别?共射和共基电流放大倍数的关系是什么?1.9.三极管的输入特性和输出特性各是什么?1.10. 如图P1-2所示,设I S =10-11A ,U T =26mV ,试计算u i =0,0.3V ,0.5V ,0.7V 时电流I 的值,以及u i =0.7V 时二极管的直流和交流等效电阻。
解:由I= I S *(exp(U i / U T )-1) 当U i =0时,I=0;当U i =0.3V 时,I=1.026×10-6A ; 当U i =0.5V 时,I=2.248×10-3A ; 当U i =0.7V 时,I=4.927A ; 直流等效电阻R= U i /I = 0.7V/4.927A = 0.142 Ω∵exp(U i / U T )>>1∴交流等效电阻R d = 26/I = 26/4927 = 5.277×10-3 Ω(a)(b)图P1-1图P1-2+ -u i Di1.11. 电路如图P1-3所示,二极管导通电压U D =0.7V ,U T =26mV ,电源U =3.3V ,电阻R =1k Ω,电容C 对交流信号可视为短路;输入电压u i 为正弦波,有效值为10mV 。
试问二极管中流过的交流电流有效值为多少?解:U =3.3V>>100mV ,I =(U -U D )/R = (3.3-0. 7)/1k = 2.6 mA 交流等效电阻:R d = 26/I = 10 Ω 交流电流有效值:Id = Ui/Rd = 1 mA1.12. 图P1-4(a)是由二极管D 1、D 2组成的电路,二极管的导通电压U D =0.3V 、反向击穿电压足够大,设电路的输入电压u 1和u 1如图P1-4(b)所示,试画出输出u o 的波形。
电工基础习题册标准答案(第二版)全国中等职业技术2010-04-12 02:05:34| 分类:电工基础2版习题| 标签:|字号大中小订阅全国中等职业技术(电子类)专业通用教材第二章直流电路§2-1 电阻的连接一、填空题1、在电路中,将两个或两个以上的电阻依次连接构成中间无分支的连接方式叫做电阻的串联。
电阻串得越多,等效电阻阻值越大;串联的电阻阻值越大,分得电压越大,消耗的功率越多。
2、电阻串联,可以用来构成分压器以提供几种不同的电压,也可限制和调节电路中电流的大小,还可以扩大电压表的量程。
3、在电路中,将两个或两个以上的电阻连接在、在电路中,将两个或两个以上的电阻连接在相同两点之间的连接方式叫电阻的并联,电阻并得越多,等效电阻越小;并联的电阻阻值越大,分得电流越小,消耗功率少。
4、电阻并联可以用来获得阻值较小的电阻,还可以扩大电流表的量程。
5、需要分压时,可选用电阻的串联;需要分流时可采用电阻的并联。
6、在电路中,既有电阻串联又有电阻并联的连接方式叫做电阻的混联。
在混联电路中为了便于计算电路等效电阻,可采用画等效电路图的方法,把原电路整理成易于判别串、并联关系的电路,然后进行计算。
7、在下列各图中,指出电流表或电压表的读数(电流表内阻无穷小、电压表内阻无穷大)。
(1)在图2-1中,PV1的读数为4V ,PV2的读数为12V ,PV3的读数为24V 。
(2)在图2-2中,PA1的读数为3A ,PA2的读数为2A ,PV的读数为12V 。
(3)在图2-3中,PV1的读数为11.2V ,PV2的读数为8V ,PA的读数为 1.6A 。
二、判断并改错1、在电阻的串联电路中,总电阻上的电压一定大于其中任何一个电阻上的电压。
(√)2、电阻并联后的总电阻一定小于其中任何一个电阻的阻值。
(√)3、在串联电路中,电阻串得越多,消耗的功率越大;在并联电路中,电阻并联得越多,消耗的功率越小。
(×)4、功率大的电灯一定比功率小的电灯亮。
第一章习题答案:1、I=3A,U=4V2、U=2V3、(a)耗能=120W 释放能量=120W ,(b) 耗能=122W 释放能量=122W4、I=2.8A U=10V5、I=0.5A U=9.6V6、U=-45V7、U=-4V U=8V8、I=18A P=1012.5W9、(a)55S 3S B543A33S 11S B3A321R UI U)R 1R 1R 1(U R 1I R UUR 1U )R 1R 1R 1(-=+++--=-++(b)V6UU U2I U 51I13U)141(U41U 2U41U )4121(BC C BABA=-+=-=++--=-+10、3S 33S C 543B3A433S 3S C 3B32A21S 11S C 4B2A421I R U U )R 1R 1R 1(UR 1UR 1R U I U R 1U )R 1R 1(U R 1I R U U R 1U R 1U )R 1R 1R 1(-=+++---=-+---=--++11、U=1.2V 12、A 12548I =13、I=7A U=14V14、U=-1/9 V I=17/7 A 15、I=19A16、(a)U OC =8V R eq =16Ω (b) U OC =26/7 V R eq =10/7Ω17、(a)U OC =15V R eq =12.5Ω (b) U OC =-4.8 V R eq =-0.6Ω 18、U=-40V 19、I=0.5A20、(a)R L =R eq =6Ω P Lmax =37.5W (a)R L =R eq =9Ω P Lmax = 4/9W 21、R eq = 400Ω I=0.04A U=4V P=0.16W P Lmax = 0.25W 22、U OC =1.25V R eq =1.25Ω 第二章习题答案2-1 (a )u 1c (0+)=100V i L (0+)=0A u 2c (0+)=0V i 2(0+)=0A(b) i L (0+)=6A u c (0+)=0V i c (0+)=6A u 1R (0+)=96V u L (0+)=–12V2-2 (a) u c (0+)=3V i L (0+)=1.5A i c (0+)=–3A u L (0+)=0V(b) u c (0+)=22V i c (0+)=–1A2-3 (a) u (t)=6e3t-V i (t)= 2e3t-A(b) u (t)=4 et2- V i (t)= 4×105- et2- A2-4 (a) i (t)= 2 et8- A u (t)= 16 et8- V(b) i (t)= 0.1 e t10- A u (t)= et10- V2-5 (a) u (t)=8(1– et250-) V i (t)= 103- et250- A(b) u (t)=15(1– et50-) V i (t)= 15×104-(1– et50-) A2-6 (a) i (t)= 3 (1–e2t-) A u (t)= 12 + 3e2t -V (b) i (t)= 2 (1– et10-) A u (t)= 50 + 10et10- V 2-7 u c (t)=10 + 5 e5103-⨯-tV i c (t)= –6 e5103-⨯-tA 2-8 u c (t)= –10 (1–e3t-) V i c (t)= 3–35e3t-A2-9 i (t)= 0.0275–0.003 e t410- A2-10 i (t)= –38+38 et7- A u (t)= –3112+3112 et7- V改为: i (t)= 4e t7- A u (t)= 56 et7- V2-11 2-122-132t te5.2e5.25)t (i --+-=2-14 画波形2-15 (a )该电路为积分电路(b )该电路不够成积分电路 (c)该电路不构成微分电路 改为: (a )该电路为阻容耦合电路 (b )该电路微分电路ttO e514e)149(14)t (u ---=-+=t105214e2)t (i )t (i )t (i ⨯-=+=(c)该电路为积分电路第三章习题 答案3.1 ⑴50, 225,36.87o;⑵7,214,40.1o3.2 20sin(5000×2πt-30o)mV3.3 ⑴t sin 23ω,⑵)90t sin(25o -ω⑶)59t sin(283.5o +ω,⑷)87.36t sin(25o -ω 3.4 A )9.16t sin(25i o -=ω 3.5 P=0.05W 3.6 7A ,3.5A 3.7A )135t 10sin(2100o6+3.8 Ωo 105∠,Ωo30100∠改为i :503.9 5A,12Ω3.10 5A ,39Ω,19.5Ω,19.5Ω 3.11 0.15o30∠ A 改为:0.8535o30∠ A 3.12 ⑴250 rad/s ,⑵500 rad/s ,⑶1000 rad/s 3.13 0.6,1162W ,1546V ar 3.14 L=1.56H ,C=5.16μF3.15 50V 改为:-j52V 3.16 K 打开:I 1=I 3=6A ,U ab =1202V ,U bc =120V ;K 闭合:I 1=I 2=6A ,I 3=0,U ab =0V ,U bc =120V3.17 14.1Ω,14.1Ω,7.1Ω,14.1A 3.18 10A ,15Ω,7.5Ω,7.5Ω 3.19 3.83A ,0.9883.20 50.7μF ,1260∠85.5o V ,-j1256V3.21 1250 rad/s ,I R =4A ,I C =I L =10A ,U=200V3.22⑴C=10μF ,U C =89.4V 或C=40μF ,U C =111.8V ⑵G>0.125S 3.23 ω0=484~1838kHz ,可以收听 3.24 13.9kV 3.25 220V ,44A 3.26 7.6A ,13.2A 3.27 1.174A ,376.5V 3.28 30.08A ,17.37A4.1 解:用万用表测量二极管的正向直流电阻,选择量程越大,通二极管的电流就减小,由二极管的伏安特性曲线可知,电流急剧减小时,电压减小的很慢,所以测量出来的电阻值会大副增大。
习题2-1 如图2-51所示,判断三极管处于截止、放大还是饱和状态? 解:a 放大状态。
b 饱和状态。
c 截止状态。
d 放大状态。
2-2 在电路中,三极管各管脚对地电位,试分析三极管A 、B 、C 各是什么电极,该管是NPN 还是PNP ,硅管还是锗管?(1)U A =3.8V ,U B =3.1V ,U C =8V ; (2)U A =7.2V ,U B =7V ,U C =3V 。
解:(1)A 是三极管基极;根据三极管发射结正偏,导通的特点,导通压降为0.7V ,则B 是三极管发射极,C 是三极管集电极;该管是NPN 型硅管。
(2)B 是三极管基极;根据三极管发射结正偏,导通的特点,导通压降为0.2V ,则A 是三极管发射极,C 是三极管集电极;该管是PNP 型锗管。
2-3 某三极管的极限参数I CM =20mA ,P CM =100mW ,U (BR )CEO =15V ,试分析下列条件下,三极管能否正常工作?(1)I C =15m A ,U CE =8V ; (2)I C =19mA ,U CE =3V ; (3)I C =30mA ,U CE =4V 。
解:(1)U CE =8V <U (BR )CEO ,I C =15mA <I CM ,P C =U CE I C =120mW >P CM ,所以不能正常工作。
(2)U CE =3V <U (BR )CEO ,I C =19m A <I CM , P C =U CE I C =57mW <P CM ,所以能正常工作。
(3)U CE =4V <U (BR )CEO ,但I C =30mA >I CM ,所以不能正常工作。
2-4试判断图2-52中各电路有无放大作用,简单说明理由。
图2-51 习题2-1图abcd2V解:a 无放大作用。
电源极性与三极管不符。
b 无放大作用。
I B =0。
c 无放大作用。
交流通路输入短路。
d 无放大作用。
2-1与信息电子电路中的二极管相比,电力二极管具有怎样的结构特点才使得其具有耐受高压和大电流的能力?答:1.电力二极管大都采用垂直导电结构,使得硅片中通过电流的有效面积增大,显著提高了二极管的通流能力。
2.电力二极管在P区和N区之间多了一层低掺杂N区,也称漂移区。
低掺杂N区由于掺杂浓度低而接近于无掺杂的纯半导体材料即本征半导体,由于掺杂浓度低,低掺杂N区就可以承受很高的电压而不被击穿。
2-6 GTO 和普通晶闸管同为PNPN 结构为什么 GTO 能够自关断而普通晶闸管不能?答:GTO和普通晶闸管同为 PNPN 结构,由 P1N1P2 和 N1P2N2 构成两个晶体管V1、V2 分别具有共基极电流增益α1 和α2,由普通晶闸管的分析可得,α1 + α 2 = 1 是器件临界导通的条件。
α1 + α 2>1 两个等效晶体管过饱和而导通;α1 + α 2<1 不能维持饱和导通而关断。
GTO 之所以能够自行关断,而普通晶闸管不能,是因为 GTO 与普通晶闸管在设计和工艺方面有以下几点不同:l)GTO 在设计时α 2 较大,这样晶体管 T2 控制灵敏,易于 GTO 关断;2)GTO 导通时α1 + α 2 的更接近于 l,普通晶闸管α1 + α 2 ≥ 1.5 ,而 GTO 则为α1 + α 2 ≈ 1.05 ,GTO 的饱和程度不深,接近于临界饱和,这样为门极控制关断提供了有利条件;3)多元集成结构使每个 GTO 元阴极面积很小, 门极和阴极间的距离大为缩短,使得 P2 极区所谓的横向电阻很小, 从而使从门极抽出较大的电流成为可能。
2-7与信息电子电路中的MOSFET相比,电力MOSFET具有怎样的结构特点才具有耐受高电压和大电流的能力?1.垂直导电结构:发射极和集电极位于基区两侧,基区面积大,很薄,电流容量很大。
2.N-漂移区:集电区加入轻掺杂N-漂移区,提高耐压。
3.集电极安装于硅片底部,设计方便,封装密度高,耐压特性好。
电路与电子技术——电路基础知到章节测试答案智慧树2023年最新中国石油大学(华东)第一章测试1.在图示电路中,器件A两端的电压和电流参考方向属于()。
参考答案:关联参考方向2.使用理想独立电压源的定义判断下列那个选项的电压源连接是被允许()。
参考答案:3.图中流过电阻的电流I=( )A。
参考答案:24.某电阻R两端的电压u与流过该电阻的电流i为非关联参考方向时,令u=-10V,消耗功率为0.5W,则电阻R为()。
参考答案:200Ω5.电路如图所示,流过受控源两端的电流I=( )A。
参考答案:26.图示电路中I = 0 A 时,电位UA=()。
参考答案:60 V7.沿顺时针和逆时针列写KVL方程,其结果是相同的。
()参考答案:对8.电路如图所示,已知U s=3V,I s=2A,则U AB=( )V;I=( )A。
参考答案:1;59.图示电路中,正确的电压方程是()。
参考答案:U S1-R1I1-U S2-R2I2=010.已知图中的I=3A,I2=1A,R1=2Ω,则R2=()Ω。
参考答案:4第二章测试1.下列说法中错误的是()。
参考答案:两个电路N1、N2等效时,电路内部的同一元件的功率一定相同2.ab端口的等效电阻为()Ω。
参考答案:103.对称Y形和对称Δ形纯电阻网络等效变换的公式为R Y=3RΔ。
参考答案:错4.ab在下图电路中,电流源与1欧姆电阻的串联电路等效为()。
参考答案:4A电流源5.图示电路中,对负载R而言,虚线框中的电路可以等效为()。
参考答案:10V电压源6.理想电压源和理想电流源间()。
参考答案:没有等效变换关系7.图示两个电路是等效的。
()参考答案:错8.若图示两电路等效,则U s=()V,R s=()Ω。
参考答案:8;29.一个含独立源的电阻性线性二端网络(可以含受控源)总可以等效为一个电压源与一个电阻串联或一个电流源与一个电阻并联。
()参考答案:错10.如图所示电路的等效电阻为参考答案:对第三章测试1.现用支路电流法求解图示电路,下面描述正确的是()。
第二章电路分析基础2-1 电路如图所示,已知US1=24V,US2=16V,IS=1A,R1=R2=8Ω,R3=4Ω。
试用支路电流法求各支路电流。
解:该题有四条支路其中一条支路是恒流源(设恒流源两端电压为U IS),应列四个方程。
有两个节点,按KCL定理可列一个节点方程: I1+I2 =I S+I3有三个网孔按KVL定理可列三个回路方程:I1R1 =U S1+U ISI2R2 =U S2+U IS I2R2+I3R3 =U S2 U IS=I3R3 解之 I1=2A I2=1A I3=2A U S=8V2-2 电路如图所示。
已知I S=2A,U S=6V,R1=R2=3Ω,R3=R4=6Ω,用叠加原理求a、b两点之间电压U ab。
解:当电压源U S单独作用时,题图变如右图:Uab1=1.5V当电流源I S单独作用时,题图变如右图Uab2=3V Uab=Uab1+Uab2=4.5V2-3 电路如图所示。
已知R1=6Ω,R2=12Ω,R3=8Ω,R4=4Ω,R5=1电路中流经R3的电流I当电流源I S单独作用时,题图变如右图)(13844434AIRRRI=⨯+=+=''I=)(211AII=+=''+'2-4 在图示电路中,当U S=24V时,Uab=8v. 试用叠加原理求U S=0时的UabIs。
解:以知U S=24V时,Uab=8v.解:当电压源U S单独作用时,题图变如右图)(1841243ARRUI S=+=+='当U S 、、I S1、I S2、单独作用时题图分别变作变作下图1、图2、图3由图1可得:Uab1=)(64244V R R U S -=-=⨯;由图2可得:Uab2=)(212411V R I R R I S S =⨯;由图3可得:Uab3=)(41422V R I R I S S =⨯;UabIs=Uab2+Uab3=8+6=14(V )2-5 用电源等效变换法求图示电路中6Ω电阻中的电流I 。
习题答案
2-2 电路如题图2-2所示,已知30Ω电阻中的电流I 4=0.2A ,试求此电路的总电压U 及总电流I 。
解:
如上图所示,可得
V
901009.010090A
9.03010A
6.02A 3.02060
306030A
1.05.0323254345=⨯==Ω
=+==+=Ω
=+====+=Ω=+⨯=
==IR U R R I I I R R I I I I I R I I ac bc ac bc
2-6 六个相等电阻R ,各等于20Ω,构成一个闭合回路(题图2-6所示)。
若将一外电源依次作用a 和b ,a 和c ,a 和d 之间,求在各种情况下的等效电阻。
Ω 题图2-2 习题2-2电路图
Ω 习题2-2电路图
解:
如上图所示,若将电源作用于a 和b ,则有
Ω
=====350
65//52
2121R R R R R R R R
R ab
同理,若将电源作用于a 和c ,则有
Ω
=====380
68//422
2121R R R R R R R R
R ac
若将电源作用于a 和d ,则有
Ω
=====3069//332
2121R R
R R R R R R
R ad
题图2-6 习题2-6电路
2-11 试为题图2-11所示的电路,写出
(1) 基尔霍夫电流定律独立方程(支路电流为未知量);
(2) 基尔霍夫电压定律独立方程(支路电流为未知量);
(3) 网孔方程;
(4) 节点方程(参考节点任选)。
解:
如上图所示。
(1) 由KCL ,有
00
524321164=--=--=--I I I I I I I I I
(2) 由KVL ,有
I I
5
00
235522333133116621112244=+-+-=++--=--++U U R I R I R I U U R I R I R I U U R I R I R I
(3) 网孔方程
2332215233
3133113162
212312
1241)()()(U U R I R I R R R I U U R I R I R R R I U U R I R I R R R I -='-'-++'--='-'-++'+='-'-++' (4) 节点方程,先将电压源串联等效为电流源并联,以节点2为零电位。
3
332221113536165342
544154231
64436411/,/,/)()()(R U I R U I R U I I G U G U G G G U I G U G U G G G U I G U G U G G G U S S S S S S ===-=--++-=--++=--++其中
2-14 网络“A ”与“B ”联接如题图2-14所示,求使I 为零得U s 值。
解:利用叠加定理,当左边电压源独立工作时
A 73
5.33211-=⨯-=I
当右边电压源独立工作时
A 74
11//32S
S U U I =+=
要使得I 为零,则021=+I I 。
即V
75.0073
74==-S S
U U。