线性代数第3版习题全解(上海交通大学)[1]
- 格式:pdf
- 大小:46.27 KB
- 文档页数:2
习 题 三 (一)1.求下列矩阵的特征值与特征向量.(1)133353331A ⎛⎫ ⎪=--- ⎪ ⎪⎝⎭答案特征值为2,1321-===λλλ(二重)对应的特征向量. 1111c ⎛⎫ ⎪- ⎪ ⎪⎝⎭,23231110,,01c c c c --⎛⎫⎛⎫⎪ ⎪+ ⎪ ⎪ ⎪ ⎪⎝⎭⎝⎭为不同时为零的任意常数.(2)212533102A -⎛⎫⎪=- ⎪ ⎪--⎝⎭答案特征值为1231λλλ===-(三重)对应的特征向量. 11,1k k -⎛⎫⎪- ⎪ ⎪⎝⎭为任意非零常数. (3) 563101121A -⎛⎫ ⎪=- ⎪ ⎪⎝⎭答案特征值为1232λλλ===(三重)对应的特征向量. 12122110,,01c c c c -⎛⎫⎛⎫⎪ ⎪+ ⎪ ⎪ ⎪ ⎪⎝⎭⎝⎭为不同时为零的任意常数. (4) 222214241A -⎛⎫⎪=-- ⎪ ⎪-⎝⎭答案特征值为1236,3λλλ=-==(二重).对应的特征向量分别为:112,2k ⎛⎫ ⎪ ⎪ ⎪-⎝⎭232210,01k k -⎛⎫⎛⎫⎪ ⎪+ ⎪ ⎪ ⎪ ⎪⎝⎭⎝⎭1k 为任意非零常数,23,k k 为不同时为零的任意常数。
(5) 322010423A -⎛⎫⎪=- ⎪⎪-⎝⎭答案特征值为1231,1λλλ===-(二重) 。
对应的特征向量分别为. 110,1k ⎛⎫ ⎪ ⎪ ⎪⎝⎭231120,02k k -⎛⎫⎛⎫⎪ ⎪+ ⎪ ⎪ ⎪ ⎪⎝⎭⎝⎭1k 为任意非零常数,23,k k 为不同时为零的任意常数。
(6) 0100100000010010A ⎛⎫ ⎪⎪= ⎪- ⎪-⎝⎭答案特征值为121λλ==-(二重) 341λλ==(二重) 。
对应的特征向量分别为. 120101,1010k k -⎛⎫⎛⎫ ⎪ ⎪ ⎪ ⎪+ ⎪ ⎪ ⎪ ⎪⎝⎭⎝⎭340101,1010k k ⎛⎫⎛⎫ ⎪ ⎪ ⎪ ⎪+ ⎪ ⎪- ⎪ ⎪⎝⎭⎝⎭12,k k 为不同时为零的任意常数,34,k k 为不同时为零的任意常数。
第10章 曲线积分与曲面积分1.计算下列对弧长的曲线积分:(1) sin d C x y s ⎰,其中C 为3x ty t =⎧⎨=⎩,(0≤t ≤1);(2)22()d Cx y s +⎰Ñ,其中C 为圆周cos sin x a t y a t =⎧⎨=⎩,(0≤t ≤2π); (3) 2d Cy s ⎰,其中C 为摆线(sin )(1cos )x a t t y a t =-⎧⎨=-⎩的第一拱(0≤t ≤2π); (4) d Cy s ⎰,其中C 为抛物线y 2=2x 上由点(0,0)到点(2,2)之间的一段弧; (5) ()d Cx y s +⎰,其中C 为以O (0,0),A (1,0),B (0,1)为顶点的三角形的边界;(6)s ⎰,其中C 为圆周x 2+y 2=ax (a >0);(7) d Cz s ⎰,其中C 为圆锥螺线cos sin x t t y t t z t =⎧⎪=⎨⎪=⎩从t =0到t =1的一段;(8) 2d Cx s ⎰,其中C为圆周2224x y z z ⎧++=⎪⎨=⎪⎩解答:(1)1111sin d 3sin sin cos cos )Cx y s t t tdt t t tdt ===-+⎰⎰⎰(s i n 1c o s 1)=-;(2) 2223()d 2Cx y s a a ππ+==⎰⎰Ñ;(3)22223500d (1cos )16sin 2Cty s a t a dt ππ=-=⎰⎰⎰353025632sin 15a d a πθθ==⎰;(4)3222211d (1)1)33Cy s yy ==+=⎰⎰; (5) C 可以分割为三条直线:0(01)OA y x =≤≤,:0(01)O B xy =≤≤,:1(01)BA y x x =-≤≤()d Cx y s +⎰=()d OAx y s +⎰+()d OBx y s +⎰+()d ABx y s +⎰111(1xdx ydy x x =+++-⎰⎰⎰1=;(6) C 为圆周x 2+y 2=ax (a >0);化为参数方程cos 22sin 2a a x t a y t ⎧=+⎪⎪⎨⎪=⎪⎩,(0≤t ≤2π),2222200coscos 22222a a t ts dt dt a dt a πππ====⎰⎰⎰⎰;(7)1d Cz s =⎰⎰31212011(2)33t ==+=⎰; (8) C可以表示为参数方程[]cos sin ;0,2x y z θθθπ⎧=⎪=∈⎨⎪=⎩2220d cos Cx s πθπ==⎰⎰.所属章节:第十章第一节 难度:一级2.已知半圆形状铁丝cos sin x a ty a t =⎧⎨=⎩(0≤t ≤π)其上每一点的线密度等于该点的纵坐标,求此铁丝的质量解答:20d sin 2Cm y s a a π===⎰⎰所属章节:第十章第一节难度:一级3.已知螺旋线cos sin x a t y a t z bt =⎧⎪=⎨⎪=⎩(b >0)上各点的线密度等于该点到原点的距离的平方,试求t 从0到2π一段弧的质量解答:222222223208()d (ππ)3C m x y z s a b t a b π=++=+=+⎰⎰所属章节:第十章第一节 难度:二级4.求摆线(sin )(1cos )x a t t y a t =-⎧⎨=-⎩的第一拱(0≤t ≤2π)关于Ox 轴的转动惯量(设其上各点的密度与该点到x 轴的距离成正比,比例系数为k )解答:722332d (1cos )(1cos )CI ky s k t t dt ππ==-=-⎰⎰⎰23740102464sin 235t kadt ka π==⎰ 所属章节:第十章第一节 难度:二级5.计算下列对坐标的曲线积分:(1) d d C y x x y +⎰,其中C 为圆弧cos π,(0)sin 4x a t t y a t =⎧≤≤⎨=⎩,依参数t 增加方向绕行;(2) (2)d ()d Ca y x a y y ---⎰,其中C 为摆线(sin )(1cos )x a t t y a t =-⎧⎨=-⎩自原点起的第一拱; (3) d Cx y ⎰,其中C 为x +y =5上由点A (0,5)到点B (5,0)的一直线段;(4)Cxydx ⎰Ñ,其中C 为圆周222()(0)x a y a a -+=>及x 轴所围成的在第一象限内的区域的整个边界(按逆时针方向绕行) 解答:(1)()22440d d sin (cos )cos sin cos 22Ca y x x y a td a t a td a t atdt ππ+=+==⎡⎤⎣⎦⎰⎰⎰(2)(2)d ()d Ca y x a y y ---⎰220[(2cos )(sin )(cos )((1cos ))a a a t d at a t a a a t d a t a ππ=-+---+-=⎰(3)525d (5)2Cx y xd x =-=-⎰⎰ (4) C 分成两部分在2122()(0):x a y a a C -+=>在x 轴的上部逆时针方向,2C 是从原点指向(2,0)a ,则1202320π02aCC C a xydx xydx xydx x dx a =+=+⋅=-⎰⎰⎰⎰⎰蜒? 所属章节:第十章第二节 难度:一级6.计算22()d d OAx y x xy y -+⎰,其中O 为坐标原点,点A 的坐标为(1,1):(1) OA 为直线段y =x ; (2) OA 为抛物线段y =x 2; (3) OA 为y =0,x =1的折线段解答:(1)122201()d d 3OA x y x xy y x dx -+==⎰⎰;(2)()122243208()d d ()15OA x y x xy y x x dx x d x ⎡⎤-+=--=⎣⎦⎰⎰; (3) 设点B 的坐标为(1,0),则OA 分为两段1122205()d d 6OAOBBAx y x xy y x dx ydy -+=+=+=⎰⎰⎰⎰⎰. 所属章节:第十章第二节 难度:一级7.计算22d d ABxy x x y +⎰,其中点A 、B 的坐标分别为A (0,0),B (1,1):(1) AB 为直线段y =x ; (2) AB 为抛物线段y =x 2; (3) AB 为y =0,x =1的折线段 解答:(1) 122202d d (2)1ABxy x x y x dx x dx +=+=⎰⎰;(2)1232202d d [2()]1ABxy x x y x dx x d x +=+=⎰⎰;(3) 设点C 的坐标为(1,0),则AB 分为两段1122d d 011ABACCBxy x x y dx dy +=+=+=⎰⎰⎰⎰⎰.所属章节:第十章第二节 难度:一级8.计算下列曲线积分:(1) 222()d 2d d Ly z x yz y x y -+-⎰,其中L 依参数增加方向绕行的曲线段23x t y t z t =⎧⎪=⎨⎪=⎩(0≤t ≤1);(2)d d (1)d Lx x y y x y z +++-⎰,L 为从点A (1,1,1)到点B (2,3,4)的一直线段;解答:(1)1222466401()d 2d d (43)35Ly z x yz y x z t t t t dt -+-=-+-=⎰⎰; (2)此时L 写作参数方程12 1 (01)31x t y t t z t =+⎧⎪=+≤≤⎨⎪=+⎩1d d (1)d (14293)13Lx x y y x y z t t t dt +++-=+++++=⎰⎰.所属章节:第十章第二节 难度:一级9.一力场由沿横轴正方向的常力F 所构成。
第三章 矩阵的初等变换与线性方程组1.把下列矩阵化为行最简形矩阵:(1) ⎪⎪⎪⎭⎫ ⎝⎛--340313021201; (2) ⎪⎪⎪⎭⎫⎝⎛----174034301320; (3) ⎪⎪⎪⎪⎭⎫⎝⎛---------12433023221453334311; (4) ⎪⎪⎪⎪⎭⎫⎝⎛------34732038234202173132.解 (1) ⎪⎪⎪⎭⎫ ⎝⎛--340313*********2)3()2(~r r r r -+-+⎪⎪⎪⎭⎫ ⎝⎛---020********* )2()1(32~-÷-÷r r ⎪⎪⎪⎭⎫ ⎝⎛--01003100120123~r r -⎪⎪⎪⎭⎫⎝⎛--300031001201 33~÷r ⎪⎪⎪⎭⎫ ⎝⎛--100031001201323~r r +⎪⎪⎪⎭⎫ ⎝⎛-1000010012013121)2(~r r r r +-+⎪⎪⎪⎭⎫ ⎝⎛100001000001(2) ⎪⎪⎪⎭⎫ ⎝⎛----1740343013201312)2()3(2~r r r r -+-+⨯⎪⎪⎪⎭⎫ ⎝⎛---31003100132021233~r r r r ++⎪⎪⎪⎭⎫ ⎝⎛000031001002021~÷r ⎪⎪⎪⎭⎫⎝⎛000031005010 (3) ⎪⎪⎪⎪⎭⎫⎝⎛---------12433023221453334311141312323~rr r r rr ---⎪⎪⎪⎪⎭⎫ ⎝⎛--------1010500663008840034311)5()3()4(432~-÷-÷-÷r r r ⎪⎪⎪⎪⎭⎫ ⎝⎛-----22100221002210034311 2423213~r r r r r r ---⎪⎪⎪⎪⎭⎫⎝⎛---000000000022********(4) ⎪⎪⎪⎪⎭⎫⎝⎛------34732038234202173132 242321232~r r r r rr ---⎪⎪⎪⎪⎭⎫ ⎝⎛-----1187701298804202111110141312782~rr r r rr --+⎪⎪⎪⎪⎭⎫⎝⎛--410004100020201111134221)1(~r r r r r --⨯↔⎪⎪⎪⎪⎭⎫⎝⎛----0000041000111102020132~rr +⎪⎪⎪⎪⎭⎫⎝⎛--000004100030110202012.设⎪⎪⎪⎭⎫ ⎝⎛=⎪⎪⎪⎭⎫ ⎝⎛⎪⎪⎪⎭⎫ ⎝⎛987654321100010101100001010A ,求A 。
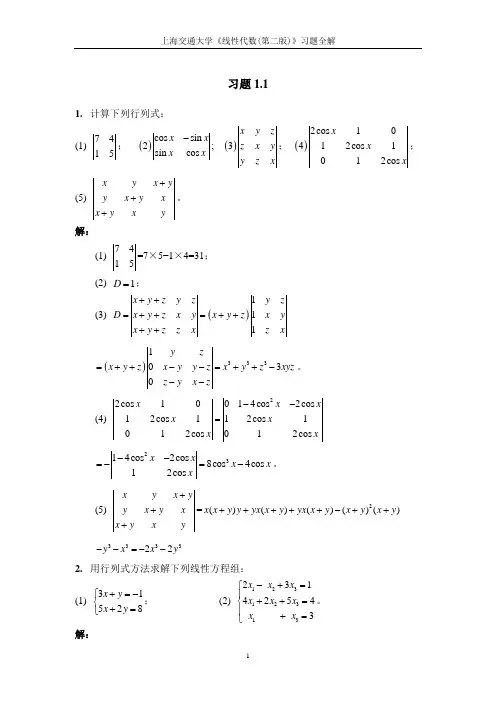
习题1.11. 计算下列行列式:(1) 7415; ()()c o s s i n 2;3s i n c o s x y z x x zx y x x yzx-; ()2cos 10412cos 1012cos x x x;(5)xy x y yx y x x yxy+++。
解:(1)7415=7×5−1×4=31; (2) 1D =;(3) ()111x y zy z y z D x y zx y x y z xy x y zz x zx++=++=++++ ()3331030y zx y z x yy z x y z xyz z yx z=++--=++---。
(4) 22cos 10014cos 2cos 12cos 112cos 1012cos 012cos x x x x x xx--=2314cos 2cos 8cos 4cos 12cos x xx x x--=-=-。
(5)x y x y y x y x x yxy+++=2()()()()()x x y y yx x y yx x y x y x y +++++-++33y x --3322x y =--2. 用行列式方法求解下列线性方程组:(1) 31528x y x y +=-⎧⎨+=⎩; (2) 1231231323142543x x x x x x x x -+=⎧⎪++=⎨⎪+=⎩。
解:(1) 123111311,10,29528258D D D --====-==, 121210,29D Dx x D D==-== (2) 12131134253,42527,11301D D --==-==- 242132114453,4241813113D D -====, 3121239,1,6D D Dx x x D D D====-==-。
3.求下列各排列的逆序数:(1) 34215; (2) 13…(2n −1)(2n )(2n −2)…2。
习题三A 组1 •填空题.(1)设口 = (1,1,1), 6 = (-1,-1,-1),则ah x= _____________ , a vh= _________ro o>1 ](3)若么=(1, 2, 3), B — 1, —, — , A — a}d ,则 A n =I 2 3丿‘1 0⑷设A= 0 2J o解0.(5)设 a = (l, 0, -if ,矩阵 A=aa l \ 斤为正整数,贝 i\kE - A n解 k 2(k-2n ).(6)设昇为斤阶矩阵,且A =2,贝ij AA T= _________ , AA : = _______2(2)设八1-3 2),B =-3丿1 -13 1 3>则AB = (0 0丿(—3 -3丿2 13232 3 1 1)0 ,正整数 /7 > 2 ,则 A n -2A ,l ~' =2“+i2".(cos& -sin&\(7)、sin& cos& 丿cos& sin&\、一sin& cos& 丿0 0、2 0 ,则(A*y =4 5,解討丫2(10)设矩阵/二,矩阵B满足BA = B + 2E,则B二,B<-1 2(2 0(11)设/,〃均为三阶矩阵,AB = 2A + B f B= 0 4,2 0‘0 0 P解0 1 0b o oj(12)设三阶矩阵/满足|力|二*, (3A)~l-2A* =1627(13)设/为加阶方阵,B为兀阶方阵,同=Q,\B\ = b, C =°, 则\c\ =(8)设…®?工0 ,则、\Z曾丿1)a n1%■■1 1■色丿丿a lP(9)设A= 22、0 ,贝=2丿/0、0 ,矩阵〃满足关系式ABA =2BA ^E,其屮才'为力的伴随矩阵,则|B | =解*•解0.解一3・是nxp 矩阵,C 是pxm 矩阵,加、n 、p 互不相等,则下列运算没有(B) ABC ;解D.(2)设/是mxn 矩阵(m n), B 是nxm 矩阵,则下列解(一l)〃5b ・(15)设4阶矩阵/的秩为1,则其伴随矩阵/的秩为 (14)设三阶矩阵/ =R(4)解1.(17)设矩阵力'a 、b\ a }b 2■ ■a 2b 2 ■ • ■a n b2,其中匕・工0, (Z=l,2,•••,/?),则力的秩,且7?(J) = 3,则丘=0、 -2i,则将/可以表示成以下三个初等矩阵的乘积(D) AC T .的运算结果是n 阶力•阵.(A) AB ;解B.(B) A YBT;(C) B r A T ;(D) (4B)T.(16 )设?1 = •咕、 ・仇 ・ a n b n)解2.选择题.(1)设/是mxn 矩阵,(3) 设力」是斤阶方阵,AB = O,贝I 」有 ________ • (A) A = B = Ox(B) A + B = O ; (C)同=0或|同=0;(D)同 + 圖=0・解C ・(4) 设力,〃都是斤阶矩阵,则必有 _______ . (A) \A + B\ = \^ + \B\; (B) AB = BA ; (C) \AB\ = \BA\ ;(D) (/1 + B)T M /T + BT ・解C ・(5) 设/,B 是斤阶方阵,下列结论正确的是 __________ ・ (A)若均可逆,则A^B 可逆; (B)若力,〃均可逆,则力〃可逆; (C)若A + B 可逆,则A-B 可逆;(D)若A + B 可逆,则4〃均可逆.解B.(6) 设斤阶方阵A,B,C 满足关系式 ABC = E ,则必有 ___________ ・ (A) ACB = E ; (B) CBA = E ;(C) BAC = E ;(D) BCA = E .解D.(7) 设昇,B,力 + B, /T+BT 均为斤阶可逆矩阵,贝等于 ________________________ (A)(B) A + B ;(C) (D) g + 3)".解C.(8) 设£B,C 均为兀阶矩阵,若B = E + MB , C = A^CA.则B-C 为 ________________ . (A) E\ (B) —E ; (C) ; (D) —A.. 解A.(9) 设矩阵A = (a i .} 满足才其中才是/的伴随矩阵,川为昇的转置矩阵.若\ "3x3。
1. 把下列矩阵化为行最简形矩阵:(1)⎪⎪⎭⎫ ⎝⎛--340313021201; 解 ⎪⎪⎭⎫⎝⎛--340313021201(下一步: r 2+(-2)r 1, r 3+(-3)r 1. )~⎪⎪⎭⎫⎝⎛---020*********(下一步: r 2÷(-1), r 3÷(-2). )~⎪⎪⎭⎫⎝⎛--010*********(下一步: r 3-r 2. )~⎪⎪⎭⎫⎝⎛--300031001201(下一步: r 3÷3. )~⎪⎪⎭⎫⎝⎛--100031001201(下一步: r 2+3r 3. )~⎪⎪⎭⎫ ⎝⎛-100001001201(下一步: r 1+(-2)r 2, r 1+r 3. ) ~⎪⎪⎭⎫⎝⎛100001000001.(2)⎪⎪⎭⎫ ⎝⎛----174034301320; 解 ⎪⎪⎭⎫⎝⎛----174034301320(下一步: r 2⨯2+(-3)r 1, r 3+(-2)r 1. )~⎪⎪⎭⎫⎝⎛---310031001320(下一步: r 3+r 2, r 1+3r 2. )~⎪⎪⎭⎫ ⎝⎛0000310010020(下一步: r 1÷2. ) ~⎪⎪⎭⎫⎝⎛000031005010.(3)⎪⎪⎪⎭⎫⎝⎛---------12433023221453334311; 解 ⎪⎪⎪⎭⎫⎝⎛---------12433023221453334311(下一步: r 2-3r 1, r 3-2r 1, r 4-3r 1. )~⎪⎪⎪⎭⎫⎝⎛--------1010500663008840034311(下一步: r 2÷(-4), r 3÷(-3) , r 4÷(-5). )~⎪⎪⎪⎭⎫⎝⎛-----22100221002210034311(下一步: r 1-3r 2, r 3-r 2, r 4-r 2. )~⎪⎪⎪⎭⎫⎝⎛---00000000002210032011. (4)⎪⎪⎪⎭⎫⎝⎛------34732038234202173132.解 ⎪⎪⎪⎭⎫⎝⎛------34732038234202173132(下一步: r 1-2r 2, r 3-3r 2, r 4-2r 2. )~⎪⎪⎪⎭⎫ ⎝⎛-----1187701298804202111110(下一步: r 2+2r 1, r 3-8r 1, r 4-7r 1. )~⎪⎪⎪⎭⎫⎝⎛--41000410002020111110(下一步: r 1↔r 2, r 2⨯(-1), r 4-r 3. )~⎪⎪⎪⎭⎫⎝⎛----00000410001111020201(下一步: r 2+r 3. ) ~⎪⎪⎪⎭⎫ ⎝⎛--00000410003011020201.2. 设⎪⎪⎭⎫⎝⎛=⎪⎪⎭⎫ ⎝⎛⎪⎪⎭⎫ ⎝⎛987654321100010101100001010A , 求A .解 ⎪⎪⎭⎫⎝⎛100001010是初等矩阵E (1, 2), 其逆矩阵就是其本身.⎪⎪⎭⎫⎝⎛100010101是初等矩阵E (1, 2(1)), 其逆矩阵是E (1, 2(-1)) ⎪⎪⎭⎫⎝⎛-=100010101.⎪⎪⎭⎫⎝⎛-⎪⎪⎭⎫ ⎝⎛⎪⎪⎭⎫ ⎝⎛=100010101987654321100001010A⎪⎪⎭⎫ ⎝⎛=⎪⎪⎭⎫ ⎝⎛-⎪⎪⎭⎫ ⎝⎛=287221254100010101987321654.3. 试利用矩阵的初等变换, 求下列方阵的逆矩阵:(1)⎪⎪⎭⎫⎝⎛323513123; 解 ⎪⎪⎭⎫ ⎝⎛100010001323513123~⎪⎪⎭⎫ ⎝⎛---101011001200410123~⎪⎪⎭⎫ ⎝⎛----1012002110102/102/3023~⎪⎪⎭⎫⎝⎛----2/102/11002110102/922/7003~⎪⎪⎭⎫⎝⎛----2/102/11002110102/33/26/7001故逆矩阵为⎪⎪⎪⎪⎭⎫ ⎝⎛----21021211233267.(2)⎪⎪⎪⎭⎫⎝⎛-----1210232112201023.解 ⎪⎪⎪⎭⎫⎝⎛-----10000100001000011210232112201023~⎪⎪⎪⎭⎫ ⎝⎛----00100301100001001220594012102321~⎪⎪⎪⎭⎫ ⎝⎛--------20104301100001001200110012102321~⎪⎪⎪⎭⎫ ⎝⎛-------106124301100001001000110012102321 ~⎪⎪⎪⎭⎫⎝⎛----------10612631110`1022111000010000100021 ~⎪⎪⎪⎭⎫⎝⎛-------106126311101042111000010000100001故逆矩阵为⎪⎪⎪⎭⎫⎝⎛-------10612631110104211.4. (1)设⎪⎪⎭⎫ ⎝⎛--=113122214A , ⎪⎪⎭⎫⎝⎛--=132231B , 求X 使AX =B ;解 因为⎪⎪⎭⎫ ⎝⎛----=132231 113122214) ,(B A ⎪⎪⎭⎫⎝⎛--412315210 100010001 ~r ,所以 ⎪⎪⎭⎫⎝⎛--==-4123152101B A X .(2)设⎪⎪⎭⎫ ⎝⎛---=433312120A , ⎪⎭⎫ ⎝⎛-=132321B , 求X 使XA =B . 解 考虑A T X T =B T . 因为⎪⎪⎭⎫ ⎝⎛----=134313*********) ,(T T B A ⎪⎪⎭⎫⎝⎛---411007101042001 ~r ,所以 ⎪⎪⎭⎫⎝⎛---==-417142)(1T T T B A X ,从而 ⎪⎭⎫ ⎝⎛---==-4741121BA X .5. 设⎪⎪⎭⎫⎝⎛---=101110011A , AX =2X +A , 求X .解 原方程化为(A -2E )X =A . 因为⎪⎪⎭⎫⎝⎛---------=-101101110110011011) ,2(A E A⎪⎪⎭⎫⎝⎛---011100101010110001~,所以 ⎪⎪⎭⎫⎝⎛---=-=-011101110)2(1A E A X .6. 在秩是r 的矩阵中,有没有等于0的r -1阶子式? 有没有等于0的r 阶子式?解 在秩是r 的矩阵中, 可能存在等于0的r -1阶子式, 也可能存在等于0的r 阶子式.例如, ⎪⎪⎭⎫⎝⎛=010*********A , R (A )=3.0000是等于0的2阶子式, 010001000是等于0的3阶子式.7. 从矩阵A 中划去一行得到矩阵B , 问A , B 的秩的关系怎样? 解 R (A )≥R (B ).这是因为B 的非零子式必是A 的非零子式, 故A 的秩不会小于B 的秩.8. 求作一个秩是4的方阵, 它的两个行向量是(1, 0, 1, 0, 0), (1, -1, 0, 0, 0).解 用已知向量容易构成一个有4个非零行的5阶下三角矩阵:⎪⎪⎪⎪⎭⎫ ⎝⎛-0000001000001010001100001, 此矩阵的秩为4, 其第2行和第3行是已知向量.9. 求下列矩阵的秩, 并求一个最高阶非零子式:(1)⎪⎪⎭⎫⎝⎛---443112112013; 解 ⎪⎪⎭⎫⎝⎛---443112112013(下一步: r 1↔r 2. )~⎪⎪⎭⎫⎝⎛---443120131211(下一步: r 2-3r 1, r 3-r 1. )~⎪⎪⎭⎫ ⎝⎛----564056401211(下一步: r 3-r 2. ) ~⎪⎭⎫ ⎝⎛---000056401211, 矩阵的2秩为, 41113-=-是一个最高阶非零子式.(2)⎪⎪⎭⎫ ⎝⎛-------815073*********; 解 ⎪⎪⎭⎫⎝⎛-------815073*********(下一步: r 1-r 2, r 2-2r 1, r 3-7r 1. )~⎪⎭⎫ ⎝⎛------15273321059117014431(下一步: r 3-3r 2. ) ~⎪⎭⎫ ⎝⎛----0000059117014431, 矩阵的秩是2, 71223-=-是一个最高阶非零子式.(3)⎪⎪⎪⎭⎫⎝⎛---02301085235703273812. 解 ⎪⎪⎪⎭⎫⎝⎛---02301085235703273812(下一步: r 1-2r 4, r 2-2r 4, r 3-3r 4. )~⎪⎪⎪⎭⎫⎝⎛------023*********63071210(下一步: r 2+3r 1, r 3+2r 1. )~⎪⎪⎪⎭⎫⎝⎛-0230114000016000071210(下一步: r 2÷16r 4, r 3-16r 2. )~⎪⎪⎪⎭⎫⎝⎛-023010*********71210 ~⎪⎪⎪⎭⎫⎝⎛-00000100007121002301,矩阵的秩为3, 070023085570≠=-是一个最高阶非零子式.10. 设A 、B 都是m ⨯n 矩阵, 证明A ~B 的充分必要条件是R (A )=R (B ).证明 根据定理3, 必要性是成立的.充分性. 设R (A )=R (B ), 则A 与B 的标准形是相同的. 设A 与B 的标准形为D , 则有A ~D , D ~B .由等价关系的传递性, 有A ~B .11. 设⎪⎪⎭⎫⎝⎛----=32321321k k k A , 问k 为何值, 可使(1)R (A )=1; (2)R (A )=2;(3)R (A )=3.解 ⎪⎪⎭⎫ ⎝⎛----=32321321k k k A ⎪⎪⎭⎫ ⎝⎛+-----)2)(1(0011011 ~k k k k k r . (1)当k =1时, R (A )=1; (2)当k =-2且k ≠1时, R (A )=2; (3)当k ≠1且k ≠-2时, R (A )=3.12. 求解下列齐次线性方程组:(1)⎪⎩⎪⎨⎧=+++=-++=-++02220202432143214321x x x x x x x x x x x x ;解 对系数矩阵A 进行初等行变换, 有A =⎪⎪⎭⎫ ⎝⎛--212211121211~⎪⎪⎭⎫ ⎝⎛---3/410013100101,于是 ⎪⎪⎩⎪⎪⎨⎧==-==4443424134334x x x x x x x x ,故方程组的解为⎪⎪⎪⎪⎪⎭⎫ ⎝⎛-=⎪⎪⎪⎭⎫ ⎝⎛1343344321k x x x x (k 为任意常数).(2)⎪⎩⎪⎨⎧=-++=--+=-++05105036302432143214321x x x x x x x x x x x x ; 解 对系数矩阵A 进行初等行变换, 有A =⎪⎪⎭⎫ ⎝⎛----5110531631121~⎪⎪⎭⎫ ⎝⎛-000001001021,于是 ⎪⎩⎪⎨⎧===+-=4432242102x x x xx x x x ,故方程组的解为⎪⎪⎪⎭⎫ ⎝⎛+⎪⎪⎪⎭⎫ ⎝⎛-=⎪⎪⎪⎭⎫ ⎝⎛10010*********k k x x x x (k 1, k 2为任意常数).(3)⎪⎩⎪⎨⎧=-+-=+-+=-++=+-+07420634072305324321432143214321x x x x x x x x x x x x x x x x ;解 对系数矩阵A 进行初等行变换, 有 A =⎪⎪⎪⎭⎫⎝⎛-----7421631472135132~⎪⎪⎪⎭⎫ ⎝⎛1000010000100001,于是 ⎪⎩⎪⎨⎧====0004321x x x x ,故方程组的解为⎪⎩⎪⎨⎧====00004321x x x x .(4)⎪⎩⎪⎨⎧=++-=+-+=-+-=+-+03270161311402332075434321432143214321x x x x x x x x x x x x x x x x .解 对系数矩阵A 进行初等行变换, 有A =⎪⎪⎪⎭⎫⎝⎛-----3127161311423327543~⎪⎪⎪⎪⎪⎭⎫⎝⎛--000000001720171910171317301,于是 ⎪⎪⎩⎪⎪⎨⎧==-=-=4433432431172017191713173x x x x x x x xx x ,故方程组的解为⎪⎪⎪⎪⎪⎭⎫⎝⎛--+⎪⎪⎪⎪⎪⎭⎫ ⎝⎛=⎪⎪⎪⎭⎫ ⎝⎛1017201713011719173214321k k x x x x (k 1, k 2为任意常数).13. 求解下列非齐次线性方程组:(1)⎪⎩⎪⎨⎧=+=+-=-+83111021322421321321x x x x x x x x ; 解 对增广矩阵B 进行初等行变换, 有B =⎪⎪⎭⎫ ⎝⎛--80311102132124~⎪⎭⎫ ⎝⎛----600034111008331,于是R (A )=2, 而R (B )=3, 故方程组无解.(2)⎪⎩⎪⎨⎧-=+-=-+-=+-=++69413283542432z y x z y x z y x z y x ;解 对增广矩阵B 进行初等行变换, 有 B =⎪⎪⎪⎭⎫⎝⎛-----69141328354214132~⎪⎪⎪⎭⎫ ⎝⎛--0000000021101201, 于是 ⎪⎩⎪⎨⎧=+=--=zz z y z x 212,即 ⎪⎪⎭⎫⎝⎛-+⎪⎪⎭⎫ ⎝⎛-=⎪⎪⎭⎫ ⎝⎛021112k z y x (k 为任意常数).(3)⎪⎩⎪⎨⎧=--+=+-+=+-+12222412w z y x w z y x w z y x ; 解 对增广矩阵B 进行初等行变换, 有B =⎪⎪⎭⎫ ⎝⎛----111122122411112~⎪⎪⎭⎫ ⎝⎛-00000010002/102/12/11,于是 ⎪⎪⎩⎪⎪⎨⎧===++-=0212121w z z y y z y x ,即 ⎪⎪⎪⎪⎭⎫ ⎝⎛+⎪⎪⎪⎪⎭⎫ ⎝⎛+⎪⎪⎪⎪⎭⎫⎝⎛-=⎪⎪⎪⎭⎫ ⎝⎛00021010210012121k k w z y x (k 1, k 2为任意常数).(4)⎪⎩⎪⎨⎧-=+-+=-+-=+-+2534432312w z y x w z y x w z y x . 解 对增广矩阵B 进行初等行变换, 有B =⎪⎪⎭⎫ ⎝⎛-----253414312311112~⎪⎭⎫ ⎝⎛----000007/57/97/5107/67/17/101,于是 ⎪⎪⎩⎪⎪⎨⎧==--=++=w w z z w z y w z x 757975767171,即 ⎪⎪⎪⎪⎪⎭⎫ ⎝⎛-+⎪⎪⎪⎪⎪⎭⎫ ⎝⎛-+⎪⎪⎪⎪⎪⎭⎫ ⎝⎛=⎪⎪⎪⎭⎫ ⎝⎛00757610797101757121k k w z y x (k 1, k 2为任意常数).14. 写出一个以⎪⎪⎪⎭⎫ ⎝⎛-+⎪⎪⎪⎭⎫ ⎝⎛-=1042013221c c x为通解的齐次线性方程组.解 根据已知, 可得⎪⎪⎪⎭⎫ ⎝⎛-+⎪⎪⎪⎭⎫ ⎝⎛-=⎪⎪⎪⎭⎫ ⎝⎛10420132214321c c x x x x ,与此等价地可以写成⎪⎩⎪⎨⎧==+-=-=2413212211432c x c x c c x c c x ,或 ⎩⎨⎧+-=-=432431432x x x x x x ,或 ⎩⎨⎧=-+=+-04302432431x x x x x x ,这就是一个满足题目要求的齐次线性方程组.15. λ取何值时, 非齐次线性方程组⎪⎩⎪⎨⎧=++=++=++23213213211λλλλλx x x x x x x x x .(1)有唯一解; (2)无解; (3)有无穷多个解?解 ⎪⎪⎭⎫⎝⎛=21111111λλλλλB⎪⎭⎫ ⎝⎛+-+----22)1)(1()2)(1(00)1(11011 ~λλλλλλλλλλr.(1)要使方程组有唯一解, 必须R (A )=3. 因此当λ≠1且λ≠-2时方程组有唯一解.(2)要使方程组无解, 必须R (A )<R (B ), 故 (1-λ)(2+λ)=0, (1-λ)(λ+1)2≠0. 因此λ=-2时, 方程组无解.(3)要使方程组有有无穷多个解, 必须R (A )=R (B )<3, 故 (1-λ)(2+λ)=0, (1-λ)(λ+1)2=0. 因此当λ=1时, 方程组有无穷多个解.16. 非齐次线性方程组⎪⎩⎪⎨⎧=-+=+--=++-23213213212222λλx x x x x x x x x当λ取何值时有解?并求出它的解.解 ⎪⎪⎭⎫ ⎝⎛----=22111212112λλB ~⎪⎪⎪⎭⎫ ⎝⎛+-----)2)(1(000)1(32110121λλλλ. 要使方程组有解, 必须(1-λ)(λ+2)=0, 即λ=1, λ=-2. 当λ=1时,⎪⎪⎭⎫ ⎝⎛----=121111212112B ~⎪⎪⎭⎫⎝⎛--000001101101,方程组解为⎩⎨⎧=+=32311x x x x 或⎪⎩⎪⎨⎧==+=3332311x x x x x x ,即 ⎪⎪⎭⎫⎝⎛+⎪⎪⎭⎫ ⎝⎛=⎪⎪⎭⎫ ⎝⎛001111321k x x x (k 为任意常数).当λ=-2时,⎪⎪⎭⎫ ⎝⎛-----=421121212112B ~⎪⎪⎭⎫⎝⎛--000021102101,方程组解为⎩⎨⎧+=+=223231x x x x 或⎪⎩⎪⎨⎧=+=+=33323122x x x x x x ,即 ⎪⎪⎭⎫⎝⎛+⎪⎪⎭⎫ ⎝⎛=⎪⎪⎭⎫ ⎝⎛022111321k x x x (k 为任意常数).17. 设⎪⎩⎪⎨⎧--=-+--=--+=-+-1)5(4224)5(2122)2(321321321λλλλx x x x x x x x x .问λ为何值时, 此方程组有唯一解、无解或有无穷多解? 并在有无穷多解时求解.解 B =⎪⎪⎭⎫ ⎝⎛---------154224521222λλλλ~⎪⎪⎭⎫⎝⎛---------)4)(1()10)(1(0011102452λλλλλλλλ. 要使方程组有唯一解, 必须R (A )=R (B )=3, 即必须 (1-λ)(10-λ)≠0,所以当λ≠1且λ≠10时, 方程组有唯一解. 要使方程组无解, 必须R (A )<R (B ), 即必须 (1-λ)(10-λ)=0且(1-λ)(4-λ)≠0, 所以当λ=10时, 方程组无解.要使方程组有无穷多解, 必须R (A )=R (B )<3, 即必须 (1-λ)(10-λ)=0且(1-λ)(4-λ)=0,所以当λ=1时, 方程组有无穷多解.此时,增广矩阵为B ~⎪⎪⎭⎫⎝⎛-000000001221,方程组的解为⎪⎩⎪⎨⎧==++-=3322321 1x x x x x x x ,或 ⎪⎪⎭⎫⎝⎛+⎪⎪⎭⎫ ⎝⎛+⎪⎪⎭⎫ ⎝⎛-=⎪⎪⎭⎫ ⎝⎛00110201221321k k x x x (k 1, k 2为任意常数).18. 证明R (A )=1的充分必要条件是存在非零列向量a 及非零行向量b T , 使A =ab T .证明 必要性. 由R (A )=1知A 的标准形为 )0 , ,0 ,1(001000000001⋅⋅⋅⎪⎪⎪⎭⎫⎝⎛⋅⋅⋅=⎪⎪⎪⎭⎫⎝⎛⋅⋅⋅⋅⋅⋅⋅⋅⋅⋅⋅⋅⋅⋅⋅⋅⋅⋅⋅⋅⋅, 即存在可逆矩阵P 和Q , 使)0 , ,0 ,1(001⋅⋅⋅⎪⎪⎪⎭⎫ ⎝⎛⋅⋅⋅=PAQ , 或11)0 , ,0 ,1(001--⋅⋅⋅⎪⎪⎪⎭⎫ ⎝⎛⋅⋅⋅=Q P A . 令⎪⎪⎪⎭⎫ ⎝⎛⋅⋅⋅=-0011P a , b T =(1, 0, ⋅⋅⋅, 0)Q -1, 则a 是非零列向量, b T 是非零行向量, 且A =ab T .充分性. 因为a 与b T 是都是非零向量, 所以A 是非零矩阵, 从而R (A )≥1. 因为1≤R (A )=R (ab T )≤min{R (a ), R (b T )}=min{1, 1}=1, 所以R (A )=1.19. 设A 为m ⨯n 矩阵, 证明(1)方程AX =E m 有解的充分必要条件是R (A )=m ;证明 由定理7, 方程AX =E m 有解的充分必要条件是R (A )=R (A , E m ),而| E m |是矩阵(A , E m )的最高阶非零子式, 故R (A )=R (A , E m )=m .因此,方程AX=E m有解的充分必要条件是R(A)=m.(2)方程YA=E n有解的充分必要条件是R(A)=n.证明注意,方程YA=E n有解的充分必要条件是A T Y T=E n 有解.由(1)A T Y T=E n有解的充分必要条件是R(A T)=n.因此,方程YA=E n有解的充分必要条件是R(A)=R(A T)=n.20.设A为m⨯n矩阵,证明:若AX=AY,且R(A)=n,则X=Y.证明由AX=AY,得A(X-Y)=O.因为R(A)=n,由定理9,方程A(X-Y)=O只有零解,即X-Y=O,也就是X=Y.。
第八章 多元函数的定义1.求下列函数的定义域,并作图表示:(1)arcsin 3xz =+ (2)()2ln 48;z y x =-+(3)z x = (4)z =(5))0;z R r =>>(6)z =解答: 本题图略(1)30,03,0,0;x x y y -≤≤≤≤⎧⎧⎨⎨≤≥⎩⎩ (2)()242y x >-;(3),0x y <+∞≤<+∞;(4)x ≥且0y ≥;(5)2222r x y R <+≤; (6) 1.xy >所属章节:第八章第一节 难度:一级2.试用不等式表示由抛物线2y x =和2y x =所围成的区域(含边界)。
解答:201,x x y ≤≤≤≤ 所属章节:第八章第一节 难度:一级3.设(),,x f x y xy y=+求1,32f ⎛⎫⎪⎝⎭及()1,1.f - 解答:()15,3,1,1 2.23f f ⎛⎫=-=- ⎪⎝⎭所属章节:第八章第一节 难度:一级4.设()22,tan ,xf x y x y xy y=+-求(),.f tx ty解答:()()2,,.f tx ty t f x y = 所属章节:第八章第一节 难度:一级5.设22,,x f x y x y y ⎛⎫+=- ⎪⎝⎭求(),.f x y解答: 令11uv u x y x v xv u y y v ⎧=+⎧=⎪⎪⎪+⇒⎨⎨=⎪⎪=⎩⎪+⎩,代入原式得 222(1)(,)()()111uv u u v f u v v v v -=-=+++,即2(1)(,)1x y f x y y -=+注:如果题目是“设22,,y f x y x x y ⎛⎫=⎪⎭-+ ⎝求(),.f x y ”则答案为令11u u x y x v yuv v y x v ⎧=+=⎧⎪⎪⎪+⇒⎨⎨=⎪⎪=⎩⎪+⎩ ,代入原式得 222(1)(,)()()111u uv u v f u v v v v -=-=+++,即2(1)(,)1x y f x y y -=+。
2023大学线性代数课后答案大学线性代数内容简介第一章矩阵与行列式1.0 预备知识1.0.1 集合1.0.2 数集1.0.3 数域1.0.4 求和号1.1 线性型和矩阵概念的引入1.1.1 矩阵的定义1.1.2 常用矩阵1.2 矩阵的运算1.2.1 矩阵的线性运算1.2.2 矩阵的乘法1.2.3 方阵的幂与方阵多项式1.3 方阵的行列式1.3.1 行列式的递归定义1.3.2 排列1.3.3 行列式的等价定义1.4 行列式的'基本性质1.4.1 转置行列式1.4.2 行线性性1.4.3 行列式的初等变换1.5 Laplace定理1.5.1 子式余子式代数余子式1.5.2 Laplace定理1.5.3 行列式的按行展开与按列展开 1.5.4 方阵乘积的行列式1.6 行列式的计算1.6.1 三角化1.6.2 降阶法与镶边法1.6.3 归纳与递推1.7 可逆矩阵1.7.1 可逆矩阵1.7.2 矩阵可逆的条件1.7.3 逆矩阵的求法1.8 分块矩阵1.8.1 矩阵的分块1.8.2 分块矩阵的运算1.8.3 分块对角矩阵习题一第二章线性方程组理论2.1 解线性方程组的消元法2.1.1 线性方程组的矩阵形式2.1.2 线性方程组的初等变换2.1.3 梯矩阵和简化梯矩阵2. 2向量空间Kn2.2.1 向量空间Kn及其运算性质2.2.2 子空间2.3 向量组的秩2.3.1 线性组合、线性方程组的向量形式 2.3.2 线性相关与线性无关2.3.3 极大线性无关组、向量组的秩2.4 矩阵的相抵标准形2.4.1 初等矩阵和矩阵的初等变换2.4.2 矩阵的秩2.5 Cramer法则2.5.1 Cramer法则2.5.2 求逆矩阵的初等变换法2.5.3 矩阵方程2.6 线性方程组解的结构2.6.1 线性方程组相容性判别准则2.6.2 齐次线性方程组的解空间2.6.3 非齐次线性方程组解的结构2.7 分块矩阵的初等变换2.7.1 分块矩阵的初等变换2.7.2 分块初等矩阵2.7.3 行列式和矩阵计算中的分块技巧习题二第三章相似矩阵3.1 方阵的特征值与特征向量3.1.1 方阵的特征值与特征向量3.1.2 特征值与特征向量的求法3.1.3 特征向量的性质3.2.1 矩阵相似的概念3.2.2 相似矩阵的性质3.3 矩阵相似于对角矩阵的条件3.3.1 矩阵相似于对角矩阵的条件3.3.2 特征值的代数重数和几何重数3.3.3 矩阵Jordan标准形3.4 方阵的最小多项式3.4.1 方阵的化零多项式3.4.2 最小多项式3.4.3 最小多项式与方阵相似于对角矩阵的条件 3.5 相似标准形的若干简单应用3.5.1 行列式求值与方阵求幂3.5.2 求与给定方阵可交换的方阵习题三第四章二次型与对称矩阵4.1 二次型及其标准形4.1.1 二次型及其矩阵表示4.1.2 二次型的标准形4.1.3 实对称矩阵的合同标准形4.2 惯性定理与二次型分类4.2.1 惯性定理4.2.2 二次型的分类4.3 正定二次型4.3.1 正定二次型4.3.2 二次型正定性判别法4.4 正交向量组与正交矩阵4.4.1 向量的内积4.4.2 正交向量组4.4.3 正交矩阵4.5 实对称矩阵的正交相似标准形4.5.1 实对称矩阵的特征值和特征向量 4.5.2 实对称矩阵的正交相似标准形 4.5.3 用正交替换化二次型为标准形习题四第五章线性空间与线性变换5.1 线性空间的概念5.1.1 线性空间的定义5.1.2 线性空间的简单性质5.1.3 线性子空间5.2 线性空间的同构5.2.1 基底,维数与坐标5.2.2 基变换与坐标变换5.2.3 线性空间的同构5.3 欧氏空间5.3.1 欧氏空间的定义与基本性质5.3.2 标准正交基5.3.3 欧氏空间的同构5.4 线性变换5.4.1 线性变换的概念与运算5.4.2 线性变换的性质5.5 线性变换的矩阵5.5.1 线性变换在给定基下的矩阵5.5.2 线性变换在不同基下矩阵间的关系习题五索引参考文献大学线性代数目录《大学数学线性代数》是普通高等教育“十一五”国家级规划教材“大学数学”系列教材之一,秉承上海交通大学数学基础课程“基础厚、要求严、重实践”的特点编写而成。
1. 利用对角线法则计算下列三阶行列式: (1)381141102---; 解 38114112---=2´(-4)´3+0´(-1)´(-1)+1´1´8 -0´1´3-2´(-1)´8-1´(-4)´(-1) =-24+8+16-4=-4.(2)ba c ac b cb a ; 解 ba c ac b cb a=acb +bac +cba -bbb -aaa -ccc =3abc -a 3-b 3-c 3.(3)222111cb ac b a ;解 222111cb a cb a=bc 2+ca 2+ab 2-ac 2-ba 2-cb 2=(a -b )(b -c )(c -a ).(4)yx y x x y x y y x y x +++.解yx y x x y x y yx y x +++=x (x +y )y +yx (x +y )+(x +y )yx -y 3-(x +y )3-x 3=3xy (x +y )-y 3-3x 2 y -x 3-y 3-x 3=-2(x 3+y 3).2. 按自然数从小到大为标准次序, 求下列各排列的逆序数:(1)1 2 3 4; 解 逆序数为0 (2)4 1 3 2;解 逆序数为4: 41, 43, 42, 32. (3)3 4 2 1;解 逆序数为5: 3 2, 3 1, 4 2, 4 1, 2 1. (4)2 4 1 3;解 逆序数为3: 2 1, 4 1, 4 3. (5)1 3 × × × (2n -1) 2 4 × × × (2n ); 解 逆序数为2)1(-n n :3 2 (1个) 5 2, 5 4(2个) 7 2, 7 4, 7 6(3个) ××××××(2n-1)2, (2n-1)4, (2n-1)6,×××, (2n-1)(2n-2) (n-1个) (6)1 3 ×××(2n-1) (2n) (2n-2) ××× 2.解逆序数为n(n-1) :3 2(1个) 5 2, 5 4 (2个) ××××××(2n-1)2, (2n-1)4, (2n-1)6,×××, (2n-1)(2n-2) (n-1个) 4 2(1个) 6 2, 6 4(2个) ××××××(2n)2, (2n)4, (2n)6,×××, (2n)(2n-2) (n-1个) 3.写出四阶行列式中含有因子a11a23的项.解含因子a11a23的项的一般形式为(-1)t a11a23a3r a4s,其中rs是2和4构成的排列,这种排列共有两个,即24和42.所以含因子a11a23的项分别是(-1)t a11a23a32a44=(-1)1a11a23a32a44=-a11a23a32a44,(-1)t a11a23a34a42=(-1)2a11a23a34a42=a11a23a34a42.4.计算下列各行列式:(1)71100251020214214;解 71125102021421410014231020211021473234-----======cc c c 34)1(143102211014+-´---= 143102211014--=01417172001099323211=-++======c c c c .(2)2605232112131412-;解 2605232112131412-260503212213041224--=====c c 04123212213041224--=====r r00003212213041214=--=====r r .(3)efcfbf de cd bd ae acab ---;解 efcfbf de cdbd aeacab ---e c b ec b e c b ad f ---=abcdef adfbce4111111111=---=.(4)dc b a100110011001---.解 dc b a 100110011001---dc b aab arr 1001100111021---++=====dc a ab 101101)1)(1(12--+--=+01011123-+-++=====cd c ad aab dc ccdad ab+-+--=+111)1)(1(23=abcd +ab +cd +ad +1.5. 证明: (1)1112222bb a a b ab a +=(a -b )3; 证明1112222b b a ab ab a +00122222221213ab a b a a b a ab ac c c c ------=====ab a b a b a ab 22)1(22213-----=+21))((ab a a b a b +--==(a -b )3 .(2)yx z x z y z y x b a bzay by ax bx az by ax bxaz bz ay bxaz bzay by ax )(33+=+++++++++; 证明bzay by ax bx az byax bx az bz ay bxaz bz ay by ax +++++++++bz ay by ax x byax bx az z bxaz bz ay y b bz ay by ax z by ax bx az y bx az bz ay x a +++++++++++++=bzay y x by ax x z bx az z y b y byax z x bxaz y z bzay x a +++++++=22zy x yx z xz y b y x z x z y z y x a 33+=yx z x z y zy x b y x z x z y zy x a33+=yx z xz y zy x b a )(33+=.(3)0)3()2()1()3()2()1()3()2()1()3()2()1(2222222222222222=++++++++++++d d d d c c c c b b b b a a a a ; 证明2222222222222222)3()2()1()3()2()1()3()2()1()3()2()1(++++++++++++d d d d c c c c b b b b a a a a (c 4-c 3,c 3-c 2, c 2-c 1得) 5232125232125232125232122222++++++++++++=d d d d c c c c b b b b a a a a (c 4-c 3,c 3-c 2得) 022122212221222122222=++++=d d c c b b a a .(4)444422221111d c b a d c b a d c b a=(a -b )(a -c )(a -d )(b -c )(b -d )(c -d )(a +b +c +d ); 证明444422221111d c b a d c b a d c b a)()()(0)()()(001111222222222a d d a c c a b b a d d a c c a b b ad a c a b ---------=)()()(111))()((222a d d a c c a b b d c b a d a c a b +++---=))(())((00111))()((a b d b d d a b c b c c b d b c a d a c a b ++-++------=)()(11))()()()((a b d d a b c c b d b c a da c ab ++++-----==(a -b )(a -c )(a -d )(b -c )(b -d )(c -d )(a +b +c +d ).(5)1221 1 000 00 1000 01a x a a a a x x x n n n +×××-×××××××××××××××××××××-×××--- =x n +a 1x n -1+× × × +a n -1x +a n .证明 用数学归纳法证明.当n =2时, 2121221ax a x a x a x D++=+-=, 命题成立.假设对于(n -1)阶行列式命题成立, 即D n -1=x n -1+a 1 x n -2+ × × × +a n -2x +a n -1,则D n 按第一列展开, 有1 11 00 10001)1(11-×××××××××××××××××××××-×××--+=+-x xa xDDn nn n=xD n -1+a n =x n +a 1x n -1+ × × × +a n -1x +a n .因此, 对于n 阶行列式命题成立.6. 设n 阶行列式D =det(a ij ), 把D 上下翻转、或逆时针旋转90°、或依副对角线翻转, 依次得nnnn a a a a D 11111 ×××××××××××××××=, 11112 n nnn a a a a D ×××××××××××××××= , 11113 a a a a D n nnn ×××××××××××××××=,证明DD D n n 2)1(21)1(--==, D 3=D .证明 因为D =det(a ij ), 所以nnn n nn nnn n a a a aa a a a a a D 2211111111111 )1( ××××××××××××××××××-=×××××××××××××××=-×××=×××××××××××××××××××××--=-- )1()1(331122111121nnn n nnn n a a a a a a a a DD n n n n 2)1()1()2( 21)1()1(--+-+×××++-=-=.同理可证nnn n n n a a a a D ×××××××××××××××-=- )1(11112)1(2D D n n Tn n 2)1(2)1()1()1(---=-=. DD D D D n n n n n n n n =-=--=-=----)1(2)1(2)1(22)1(3)1()1()1()1(.7. 计算下列各行列式(D k 为k 阶行列式):(1)aa D n 1 1×××=, 其中对角线上元素都是a , 未写出的元素都是0; 解aa aa a D n 010 000000000001000×××××××××××××××××××××××××××××××××=(按第n 行展开) )1()1(10 000 00 0000 001000)1(-´-+××××××××××××××××××××××××××××××-=n n n aa a )1()1(2)1(-´-××××-+n n n a a ann n nn a aa +×××-×-=--+)2)(2(1)1()1(=an-a n -2=a n -2(a 2-1).(2)xaa a x a a a xD n ×××××××××××××××××××××= ; 解 将第一行乘(-1)分别加到其余各行, 得ax x a ax x a a x x a aa a x D n --××××××××××××××××××--×××--×××=000 0 00 0,再将各列都加到第一列上, 得ax a x a x aaaan x D n -××××××××××××××××××-×××-×××-+=0000 0 00000 )1(=[x +(n -1)a ](x -a )n n-1.(3)111 1 )( )1()( )1(1111×××-×××××××××-××××××-×××--×××-=---+n a a a n a a a n a a a D n n n nn n n ; 解 根据第6题结果, 有nnn n n n n n n n a a a n a a a n a a a D )( )1()( )1( 11 11)1(1112)1(1-×××--×××××××××-××××××-×××-×××-=---++此行列式为范德蒙德行列式.Õ³>³++++--+--=112)1(1)]1()1[()1(j i n n n n j a i a DÕ³>³++---=112)1()]([)1(j i n n n j iÕ³>³++×××+-++-×-×-=1121)1(2)1()()1()1(j i n n n n n j iÕ³>³+-=11)(j i n j i .(4)nnnnn d c d c b a b a D ××××××××××××=11112; 解nnnnn d c d c b a b a D ××××××××××××=11112(按第1行展开) nn n n n nd d c d c b a b a a 00011111111----××××××××××××=0)1(1111111112c d c d c b a b a b nn n n n nn ----+××××××××××××-+.再按最后一行展开得递推公式D 2n =a n d n D 2n -2-b n c n D 2n -2, 即D 2n =(a n d n -b n c n )D 2n -2. 于是 Õ=-=ni i i i i n D c b d a D 222)(.而 111111112c b d a d c ba D -==,所以 Õ=-=ni i i i i n c b d a D 12)(.(5) D =det(a ij ), 其中a ij =|i -j |; 解 a ij =|i -j |,4321 4 01233 10122 210113210)det(×××----××××××××××××××××××-×××-×××-×××-×××==n n n n n n n n a D ij n4321 11 11111 1111111112132×××----××××××××××××××××××-×××---×××--×××--×××-=====n n n n r r rr15242321 22002100021000011213-×××----××××××××××××××××××-×××---×××--×××-+×××+=====n n n n n c c c c=(-1)n -1(n -1)2n -2. (6)nn a a a D +××××××××××××××××××+×××+=1 111111 1121, 其中a 1a 2 × × ×a n ¹0.解nn aa a D +××××××××××××××××××+×××+=1 11 1 111 1121nn n n a a a a a a a a a c c c c +-×××-×××××××××××××××××××××××××××-×××-×××-×××-=====--10 0001 000 10100 01000011332212132111131211211100011 00000 11000 01100001 ------+-×××-×××××××××××××××××××××××××××-×××-××××××=nn n aaa a a a a aå=------+×××××××××××××××××××××××××××××××××××××××=ni in n a a aa a a a a 111113121121100 0010 00000 10000 01000001)11)((121å=+=ni in a a a a .8. 用克莱姆法则解下列方程组:(1)ïîïíì=+++-=----=+-+=+++01123253224254321432143214321x x x x xx x x x x x x x x x x ;解 因为14211213513241211111-=----=D ,142112105132412211151-=------=D , 284112035122412111512-=-----=D ,426110135232422115113-=----=D , 14202132132212151114=-----=D , 所以 111==DD x , 222==D Dx , 333==D D x , 144-==DDx .(2)ïïîïïíì=+=++=++=++=+150650650651655454343232121x x x x x x x x x x x x x .解 因为665510006510006510065100065==D ,15075100165100065100650000611==D , 11455101065100065000601000152-==D ,7035110065000060100051001653==D , 3955160100005100651010654-==D ,2121100005100065100651100655==D ,所以66515071=x , 66511452-=x, 6657033=x, 6653954-=x, 6652124=x.9. 问l , m 取何值时, 齐次线性方程组ïîïíì=++=++=++0200321321321x x x x x x x x x m m l 有非零解?=11ll。
习题五 (一)1.试判断下列集合对所指定的运算是否构成实数域R 上的线性空间: (1)实数域R 上的全体n 阶实对称矩阵之集合, 对矩阵的加法和数乘;(2)平面上不平行于某一向量的全体向量集合, 依照二维向量的加法和数乘; (3)平面上全体向量对于通常的向量加法和数乘0,k k R α=∈;(4)全体复数集合依照数的加法及数的乘法作数乘.解 (1)是;因为实数域R 上的全体n 阶实对称矩阵之集合,关于矩阵的加法和数乘封闭,且易证满足8条性质。
(2)否;因为关于加法不封闭。
(3)否;不满足性质(5).(4)是;全体复数集合依照数的加法封闭,依照数的乘法作数乘封闭,且易证满足8条性质。
2.设C(R)是实数域R 上所有实函数的集合. 对任意(),,f g C R R λ∈∈, 定义()()()()()()(),,f g x f x g x f x f x x R λλ+=+=∈对于这两种运算, C(R)构成R 上的线性空间.问下列子集是否是C(R)的子空间, 为什么? (1)所有连续函数的集合1W ; (2)所有可微函数的集合2W ; (3)所有偶函数的集合3W ; (4)所有奇函数的集合4W ;(5)()()(){}5|01W f C R f f =∈=; (6) ()()(){}6|110W f C R f f =∈=+.解 (1)是;因为所有连续函数的集合1W 关于这里定义的加法和纯量乘法封闭。
(2)是;因为所有可微函数的集合2W 关于这里定义的加法和纯量乘法封闭。
(3)是;因为对任意(),,f g C R R λ∈∈,()()()()()()()()()()()()()(),,f g x f x g x f x g x f g x f x f x f x f x x Rλλλλ+-=-+-=+=+-=-==∈即,所有偶函数的集合3W 关于这里定义的加法和纯量乘法封闭。
(4)是;因为对任意(),,f g C R R λ∈∈,()()()()()()()()()()()()()(),(),f g x f x g x f x g x f g x f x f x f x f x x Rλλλλ+-=-+-=--=-+-=-=-=-∈即,所有奇函数的集合4W 关于这里定义的加法和纯量乘法封闭。
习 题 七1.验证2阶实上三角阵的全体111211122222,,0a a S a a a a ⎧⎫⎛⎫⎪⎪=∈⎨⎬⎪⎝⎭⎪⎪⎩⎭R 是实数域R 上的一个线性空间,并写出它的一个基.解:任意111211122222,,00a a b b k S S a b ⎛⎫⎛⎫∈=∈=∈⎪ ⎪⎝⎭⎝⎭R A B ,有 1111121222220a b a b S a b ++⎛⎫+=∈ ⎪+⎝⎭A B ,11121112222200a a ka ka k k S a ka ⎛⎫⎛⎫==∈ ⎪ ⎪⎝⎭⎝⎭A ,故S 为一线性空间,其一基底为100100,,000001⎛⎫⎛⎫⎛⎫⎪ ⎪ ⎪⎝⎭⎝⎭⎝⎭(不唯一). 2.验证实线性空间n R 中与已知向量0α正交的所有向量全体0{|(,)0}n S =∈=R ααα是nR 的一个子空间.解:任意,,k S αβ∈∈R ,有00(,)0,(,)0==αααβ,从而有000(,)(,)(,)0,S +=+=+∈ααβαααβαβ又00(,)(,)0,k k k S ==∈ααααα. 所以,S 为nR 的一个子空间.3.已知21,,x x 是实线性空间22210210[]{()|,,}x p x a x a x a a a a ==++∈R R的基,试求()(2)(3)p x x x =--在该基下的坐标.解:2()(2)(3)65p x x x x x =--=-+,故()p x 在基21,,x x 下的坐标为(6,5,1)-.4.设U 为线性空间V 的子空间,并且U 与V 的维数相等,证明U V =. 证:设U 的维数为r ,则U 有一极大数线无关向量组12,,,r ααα. U V ⊆,故12,,,r ααα是V 中线性无关向量组,而V 的维数也是,r 故12,,,r ααα为V 中的一极大线性无关向量组,即为V 之一基底,故任意V ∈α,可表为12,,,r ααα的线性组合. 这样有,V U U V ⊆=.5.在2[]P x 中,设有两组基①21,,x x ;②21,1,(1)x x ++(1)求①到②的过渡矩阵;(2)求由①经过渡阵112011001-⎛⎫ ⎪=- ⎪ ⎪⎝⎭P 得到的新基.解:(1)2222111100(1,,)0,1110(1,,)100x x x x x x x x x ⎛⎫⎛⎫⎪ ⎪=++=+=++= ⎪ ⎪ ⎪ ⎪⎝⎭⎝⎭,2221(1)121(1,,)21x x x x x ⎛⎫ ⎪+=++= ⎪ ⎪⎝⎭,故 22111(1,(1),(1))(1,,)012001x x x x ⎛⎫⎪++= ⎪ ⎪⎝⎭.①到②的过渡阵为111012001⎛⎫ ⎪⎪ ⎪⎝⎭.(2)令2123(,,)(1,,)x x ααα=P2112(1,,)011001x x -⎛⎫⎪=- ⎪ ⎪⎝⎭2(1,1,2)x x x =-+-+,知21231,1,2x x x ==-+=-+ααα为所求的新基.6.判别下面定义的变换,哪些是线性变换,哪些不是?(1)在线性空间n V 中,0(),n V αααα=+∀∈A ,其中0α是n V 中一固定向量;(2)在3R 中1122233323x x x x x x x x +⎛⎫⎛⎫ ⎪ ⎪=+ ⎪ ⎪ ⎪ ⎪⎝⎭⎝⎭A ;(3)在3[]x R 中3()(),()[]p x p x p x x '=∀∈R A ,其中()p x '表示()p x 的导函数.解:(1)0=0α时,,,n V =∀∈A Aααα为n V 上恒等线性变换. 0≠0α时,0(0)=≠0A α,故A 不是线性变换.(2)是线性变换. 因为令230011001⎛⎫ ⎪= ⎪ ⎪⎝⎭A ,则3,=∀∈R A X AX X ,这样,3,,k ∀∈∈R R X Y ,()()+=+=+=+A A A X Y A X Y AX AY X Y , ()()k k k k ==⋅=⋅A A X A X AX X ,故A 为3R 上线性变换.(3)是线性变换,因为由导数性质知,12313(),()[],,()[]p x p x x k p x x '∀∈∈∈R R R ,121211(()())()(),(())()p x p x p x p x kp x k p x '''''+=+=⋅. 7.说明xOy 平面上变换x x y y ⎛⎫⎛⎫= ⎪ ⎪⎝⎭⎝⎭A A 的几何意义,其中(1)1001-⎛⎫= ⎪⎝⎭A ; (2)1000⎛⎫= ⎪⎝⎭A ;(3)0110⎛⎫= ⎪⎝⎭A ; (4)0110⎛⎫= ⎪-⎝⎭A .解: (1)1001 x x x x y y y y --⎛⎫⎛⎫⎛⎫⎛⎫⎛⎫=== ⎪ ⎪ ⎪⎪ ⎪⎝⎭⎝⎭⎝⎭⎝⎭⎝⎭A A ,几何意义是将xOy 平面上的点映成关于y 轴对称的点.(2)10000x x x x y y y ⎛⎫⎛⎫⎛⎫⎛⎫⎛⎫=== ⎪ ⎪⎪⎪ ⎪⎝⎭⎝⎭⎝⎭⎝⎭⎝⎭A A ,几何意义为将xOy 平面上的点投影到x 轴上.(3)0110x x y y y x ⎛⎫⎛⎫⎛⎫⎛⎫== ⎪ ⎪⎪ ⎪⎝⎭⎝⎭⎝⎭⎝⎭A ,几何意义为将xOy 平面上的点映成关于直线y x =对称的点.(4)01 10x x y y y x ⎛⎫⎛⎫⎛⎫⎛⎫== ⎪ ⎪⎪ ⎪--⎝⎭⎝⎭⎝⎭⎝⎭A ,几何意义为将xOy 平面上的点顺时针旋转90.8.n 阶实对称阵全体V 对于矩阵通常的线性运算构成实数域R 上的一个(1)2n n +维线性空间,给定一个n 阶实可逆阵P ,则变换(),V '=∀∈A B P BP B称为合同变换,试证V 中的合同变换为线性变换.证:任意12,,V k ∈∈R B B ,有111()'''''==P B P P B P P B P ,这样有1V '∈P B P , 又 1212()()'+=+A B B P B B P 12''=+P B P P B P 12()()=+B B A A , 11()()k k '=B P B P A 1k '=P B P 1()k =B A . 综上可知,V 中合同变换为线性变换. 9.设A 为3R 中的线性变换,它使1110120 0,12,1 12 3011 4--⎛⎫⎛⎫⎛⎫⎛⎫⎛⎫⎛⎫⎪ ⎪ ⎪ ⎪ ⎪ ⎪=== ⎪ ⎪ ⎪ ⎪ ⎪ ⎪ ⎪ ⎪ ⎪ ⎪ ⎪ ⎪⎝⎭⎝⎭⎝⎭⎝⎭⎝⎭⎝⎭A A A . (1)求A 在自然基下的矩阵表示;(2)求A 在基12310 3 0,1,1 21 0-⎛⎫⎛⎫⎛⎫ ⎪ ⎪ ⎪===- ⎪ ⎪ ⎪ ⎪ ⎪ ⎪⎝⎭⎝⎭⎝⎭ααα下的矩阵表示.解:(1)设123,,εεε为自然基, 令 1231110,1,1201⎛⎫⎛⎫⎛⎫⎪ ⎪ ⎪'''=== ⎪ ⎪ ⎪ ⎪ ⎪ ⎪⎝⎭⎝⎭⎝⎭ααα, 则 11321231232,,'''=+=+=++αεεαεεαεεε. 由已知 1131() 03 3-⎛⎫⎪'==-+ ⎪ ⎪⎝⎭A αεε, 2230()221⎛⎫⎪'==+ ⎪ ⎪⎝⎭A αεε, 31232() 124 4-⎛⎫⎪'==-++ ⎪ ⎪⎝⎭A αεεε, 由A 为线性变换知13131223123123()2()3()()2()()()24+=-+⎧⎪+=+⎨⎪++=-++⎩A A A A A A A εεεεεεεεεεεεεε可解得112321233123()323()304()23=+-⎧⎪=-++⎨⎪=--+⎩A A A εεεεεεεεεεεε故123123332332((),(),())()201,201343343----⎛⎫⎛⎫ ⎪ ⎪=-=- ⎪ ⎪ ⎪ ⎪--⎝⎭⎝⎭A A A εεεεεεA 为所求.(2)131 02 2-⎛⎫ ⎪==-+ ⎪ ⎪⎝⎭αεε,223011⎛⎫ ⎪==+ ⎪ ⎪⎝⎭αεε,312 313 0⎛⎫ ⎪=-=- ⎪ ⎪⎝⎭αεε,故123,,εεε到123,,ααα的过渡阵为103011210-⎛⎫ ⎪=- ⎪ ⎪⎝⎭P .在自然基123,,εεε下矩阵表示为332201343--⎛⎫ ⎪=- ⎪ ⎪-⎝⎭A ,这样A 在基123,,ααα下矩阵表示为1-=B P AP 133777332103261201011777343210211777⎛⎫-- ⎪---⎛⎫⎛⎫ ⎪ ⎪⎪ ⎪=-- ⎪⎪ ⎪ ⎪⎪- ⎪⎝⎭⎝⎭ ⎪-⎪⎝⎭46296977729947777125777⎛⎫-⎪ ⎪ ⎪=-- ⎪⎪ ⎪-- ⎪⎝⎭. 10.设A 是3R 中的线性变换,已知A 在自然基123,,εεε下的矩阵为026103112⎛⎫ ⎪=- ⎪ ⎪-⎝⎭A ,求A 在基112123123,,ηηη==+=++εεεεεε下的矩阵.解: 基123,,εεε到基123,,ηηη的过渡矩阵为111011001⎛⎫ ⎪= ⎪ ⎪⎝⎭P ,故A 在基123,,ηηη下矩阵表示为 1-=B P AP110026111011103011001112001-⎛⎫⎛⎫⎛⎫⎪⎪⎪=-- ⎪⎪⎪ ⎪⎪⎪-⎝⎭⎝⎭⎝⎭136210102⎛⎫⎪=-- ⎪ ⎪⎝⎭. 11.求3R 中下列线性变换的逆变换:(1)11232123312322,35,323;y x x x y x x x y x x x =++⎧⎪=++⎨⎪=++⎩ (2)1123212331232,22,y x x x y x x x y x x x=+-⎧⎪=++⎨⎪=-+⎩解 (1)112233221315323y x y x y x ⎛⎫⎛⎫⎛⎫ ⎪ ⎪⎪= ⎪ ⎪ ⎪ ⎪ ⎪ ⎪⎝⎭⎝⎭⎝⎭,故为所求的逆变换为1112233221315323x y x y x y -⎛⎫⎛⎫⎛⎫ ⎪ ⎪ ⎪= ⎪ ⎪ ⎪ ⎪ ⎪ ⎪⎝⎭⎝⎭⎝⎭123749637324y y y --⎛⎫⎛⎫ ⎪⎪=- ⎪ ⎪ ⎪⎪-⎝⎭⎝⎭.(2)112233*********y x y x y x -⎛⎫⎛⎫⎛⎫ ⎪ ⎪⎪= ⎪ ⎪ ⎪ ⎪ ⎪ ⎪-⎝⎭⎝⎭⎝⎭.故所求逆变换为1111222333110332111221203311111033x y y x y y x y y -⎛⎫ ⎪-⎛⎫⎛⎫⎛⎫⎛⎫ ⎪ ⎪ ⎪ ⎪ ⎪ ⎪==- ⎪ ⎪ ⎪ ⎪ ⎪ ⎪ ⎪ ⎪ ⎪- ⎪⎝⎭⎝⎭⎝⎭⎝⎭ ⎪- ⎪⎝⎭. 12.设A 是线性空间n V 中的线性变换,n V ∈α,若1k -≠0Aα,但k =0A α,试证向量组1,,,k -αααA A(1)k ≥线性无关.证: 若 21121k k k k l l l l ---++++=0ααααA AA(*)其中12,,,k l l l 为一组常数.因为A 是线性空间n V 中的线性变换,A 作用(*)式两端1k -次后得11k l -=0A α,而1k -≠0Aα,故有10l =. 这样(*)式变为221231k k k k l l l l ---++++=0A A AAαααα在上式两端用A 作用2k -次得12k l -=0A α,于是由1k -≠0Aα知,20l =.同理可证 3440l l l ====. 故1,,,(1)k k -≥αααA A是线性无关的.。
线性代数同济第三版习题答案 习题一答案(1-16) 习题二答案(17-37) 习题三答案(38-58) 习题四答案(59-86)1. 利用对角线法则计算下列三阶行列式: (1)381141102---;解 381141102---=2⨯(-4)⨯3+0⨯(-1)⨯(-1)+1⨯1⨯8 -0⨯1⨯3-2⨯(-1)⨯8-1⨯(-4)⨯(-1) =-24+8+16-4=-4. (2)ba c a cb cb a ;解 ba c a cb cb a=acb +bac +cba -bbb -aaa -ccc =3abc -a 3-b 3-c 3.(3)222111c b a c b a ;解 222111c b a c b a=bc 2+ca 2+ab 2-ac 2-ba 2-cb 2 =(a -b )(b -c )(c -a ).(4)y x y x x y x y yx y x +++.解 yx y x x y x y yx y x +++=x (x +y )y +yx (x +y )+(x +y )yx -y 3-(x +y )3-x 3 =3xy (x +y )-y 3-3x 2 y -x 3-y 3-x 3 =-2(x 3+y 3).2. 按自然数从小到大为标准次序, 求下列各排列的逆序数:(1)1 2 3 4; 解 逆序数为0 (2)4 1 3 2;解 逆序数为4: 41, 43, 42, 32. (3)3 4 2 1;解 逆序数为5: 3 2, 3 1, 4 2, 4 1, 2 1. (4)2 4 1 3;解 逆序数为3: 2 1, 4 1, 4 3. (5)1 3 ⋅ ⋅ ⋅ (2n -1) 2 4 ⋅ ⋅ ⋅ (2n );解逆序数为2)1(-nn:3 2 (1个)5 2, 5 4(2个)7 2, 7 4, 7 6(3个)⋅⋅⋅⋅⋅⋅(2n-1)2, (2n-1)4, (2n-1)6,⋅⋅⋅, (2n-1)(2n-2) (n-1个)(6)1 3 ⋅⋅⋅(2n-1) (2n) (2n-2) ⋅⋅⋅ 2.解逆序数为n(n-1) :3 2(1个)5 2, 5 4 (2个)⋅⋅⋅⋅⋅⋅(2n-1)2, (2n-1)4, (2n-1)6,⋅⋅⋅, (2n-1)(2n-2) (n-1个)4 2(1个)6 2, 6 4(2个)⋅⋅⋅⋅⋅⋅(2n)2, (2n)4, (2n)6,⋅⋅⋅, (2n)(2n-2) (n-1个)3.写出四阶行列式中含有因子a11a23的项.解含因子a11a23的项的一般形式为(-1)t a11a23a3r a4s,其中rs是2和4构成的排列,这种排列共有两个,即24和42.所以含因子a11a23的项分别是(-1)t a 11a 23a 32a 44=(-1)1a 11a 23a 32a 44=-a 11a 23a 32a 44, (-1)t a 11a 23a 34a 42=(-1)2a 11a 23a 34a 42=a 11a 23a 34a 42. 4. 计算下列各行列式: (1)7110025*******214; 解 71100251020214214010014231020211021473234-----======c c c c 34)1(143102211014+-⨯---= 143102211014--=01417172001099323211=-++======c c c c .(2)2605232112131412-; 解 2605232112131412-26053212213041224--=====c c 041203212213041224--=====r r 0000003212213041214=--=====r r . (3)efcf bf de cd bd aeac ab ---;解 efcf bf de cd bd aeac ab ---e c b e c b e c b adf ---=abcdef adfbce 4111111111=---=.(4)dc b a 100110011001---. 解d c b a 100110011001---dc b aab ar r 10011001101021---++===== d c a ab 101101)1)(1(12--+--=+01011123-+-++=====cd c ad a ab dc ccdad ab +-+--=+111)1)(1(23=abcd +ab +cd +ad +1. 5. 证明:(1)1112222b b a a b ab a +=(a -b )3;证明1112222b b a a b ab a +00122222221213a b a b a a b a ab a c c c c ------=====ab a b a b a ab 22)1(22213-----=+21))((a b a a b a b +--==(a -b )3 . (2)y x z x z y zy x b a bz ay by ax bx az by ax bx az bz ay bx az bz ay by ax )(33+=+++++++++;证明bzay by ax bx az by ax bx az bz ay bxaz bz ay by ax +++++++++bz ay by ax x by ax bx az z bxaz bz ay y b bz ay by ax z by ax bx az y bx az bz ay x a +++++++++++++=bz ay y x by ax x z bxaz z y b y by ax z x bx az y z bz ay x a +++++++=22z y x y x z xz y b y x z x z y z y x a 33+=y x z x z y zy x b y x z x z y z y x a 33+=y x z x z y zy x b a )(33+=.(3)0)3()2()1()3()2()1()3()2()1()3()2()1(2222222222222222=++++++++++++d d d d c c c c b b b b a a a a ; 证明2222222222222222)3()2()1()3()2()1()3()2()1()3()2()1(++++++++++++d d d d c c c c b b b b a a a a (c 4-c 3, c 3-c 2, c 2-c 1得)5232125232125232125232122222++++++++++++=d d d d c c c c b b b b a a a a (c 4-c 3, c 3-c 2得) 022122212221222122222=++++=d d c c b b a a . (4)444422221111d c b a d c b a d c b a =(a -b )(a -c )(a -d )(b -c )(b -d )(c -d )(a +b +c +d ); 证明 444422221111d c b a d c b a d c b a )()()(0)()()(001111222222222a d d a c c a b b a d d a c c a b b ad a c a b ---------=)()()(111))()((222a d d a c c a b b d c b a d a c a b +++---=))(())((00111))()((a b d b d d a b c b c c b d b c a d a c a b ++-++------=)()(11))()()()((a b d d a b c c b d b c a d a c a b ++++-----= =(a -b )(a -c )(a -d )(b -c )(b -d )(c -d )(a +b +c +d ).(5)1221 1 000 00 1000 01a x a a a a x x x n n n +⋅⋅⋅-⋅⋅⋅⋅⋅⋅⋅⋅⋅⋅⋅⋅⋅⋅⋅⋅⋅⋅⋅⋅⋅-⋅⋅⋅--- =x n +a 1x n -1+ ⋅ ⋅ ⋅ +a n -1x +a n .证明 用数学归纳法证明.当n =2时, 2121221a x a x a x a x D ++=+-=, 命题成立. 假设对于(n -1)阶行列式命题成立, 即 D n -1=x n -1+a 1 x n -2+ ⋅ ⋅ ⋅ +a n -2x +a n -1, 则D n 按第一列展开, 有 11100 100 01)1(11-⋅⋅⋅⋅⋅⋅⋅⋅⋅⋅⋅⋅⋅⋅⋅⋅⋅⋅⋅⋅⋅-⋅⋅⋅--+=+-xx a xD D n n n n =xD n -1+a n =x n +a 1x n -1+ ⋅ ⋅ ⋅ +a n -1x +a n . 因此, 对于n 阶行列式命题成立.6. 设n 阶行列式D =det(a ij ), 把D 上下翻转、或逆时针旋转90︒、或依副对角线翻转, 依次得n nn n a a a a D 11111 ⋅⋅⋅⋅⋅⋅⋅⋅⋅⋅⋅⋅⋅⋅⋅=, 11112 n nn n a a a a D ⋅⋅⋅⋅⋅⋅⋅⋅⋅⋅⋅⋅⋅⋅⋅= , 11113 a a a a D n nnn ⋅⋅⋅⋅⋅⋅⋅⋅⋅⋅⋅⋅⋅⋅⋅=,证明D D D n n 2)1(21)1(--==, D 3=D .证明 因为D =det(a ij ), 所以nnn n n n nnnn a a a a a a a a a a D 2211111111111 )1( ⋅⋅⋅⋅⋅⋅⋅⋅⋅⋅⋅⋅⋅⋅⋅⋅⋅⋅-=⋅⋅⋅⋅⋅⋅⋅⋅⋅⋅⋅⋅⋅⋅⋅=- ⋅⋅⋅=⋅⋅⋅⋅⋅⋅⋅⋅⋅⋅⋅⋅⋅⋅⋅⋅⋅⋅⋅⋅⋅--=-- )1()1(331122111121nnn n nn n n a a a a a a a a D D n n n n 2)1()1()2( 21)1()1(--+-+⋅⋅⋅++-=-=.同理可证 nnn n n n a a a a D ⋅⋅⋅⋅⋅⋅⋅⋅⋅⋅⋅⋅⋅⋅⋅-=- )1(11112)1(2D D n n Tn n 2)1(2)1()1()1(---=-=. D D D D D n n n n n n n n =-=--=-=----)1(2)1(2)1(22)1(3)1()1()1()1(.7. 计算下列各行列式(D k 为k 阶行列式):(1)aaD n 11⋅⋅⋅=, 其中对角线上元素都是a , 未写出的元素都是0; 解aa a a a D n 0 0010 000 00 000 0010 00⋅⋅⋅⋅⋅⋅⋅⋅⋅⋅⋅⋅⋅⋅⋅⋅⋅⋅⋅⋅⋅⋅⋅⋅⋅⋅⋅⋅⋅⋅⋅⋅⋅=(按第n 行展开))1()1(10 000 00 000 0010 000)1(-⨯-+⋅⋅⋅⋅⋅⋅⋅⋅⋅⋅⋅⋅⋅⋅⋅⋅⋅⋅⋅⋅⋅⋅⋅⋅⋅⋅⋅⋅⋅⋅-=n n n aa a )1()1(2 )1(-⨯-⋅⋅⋅⋅-+n n n a a an n n nn a a a+⋅⋅⋅-⋅-=--+)2)(2(1)1()1(=a n -a n -2=a n -2(a 2-1).(2)xa aa x a a a xD n ⋅⋅⋅⋅⋅⋅⋅⋅⋅⋅⋅⋅⋅⋅⋅⋅⋅⋅⋅⋅⋅= ; 解 将第一行乘(-1)分别加到其余各行, 得 ax x a ax x a a x x a a a a x D n --⋅⋅⋅⋅⋅⋅⋅⋅⋅⋅⋅⋅⋅⋅⋅⋅⋅⋅--⋅⋅⋅--⋅⋅⋅=000 0 00 0, 再将各列都加到第一列上, 得ax ax a x aaa a n x D n -⋅⋅⋅⋅⋅⋅⋅⋅⋅⋅⋅⋅⋅⋅⋅⋅⋅⋅-⋅⋅⋅-⋅⋅⋅-+=0000 0000 00 )1(=[x +(n -1)a ](x -a )n -1. (3)111 1 )( )1()( )1(1111⋅⋅⋅-⋅⋅⋅⋅⋅⋅⋅⋅⋅-⋅⋅⋅⋅⋅⋅-⋅⋅⋅--⋅⋅⋅-=---+n a a a n a a a n a a a D n n n nn n n ; 解 根据第6题结果, 有nn n n n n n n n n a a a n a a a n a a aD )( )1()( )1( 11 11)1(1112)1(1-⋅⋅⋅--⋅⋅⋅⋅⋅⋅⋅⋅⋅-⋅⋅⋅⋅⋅⋅-⋅⋅⋅-⋅⋅⋅-=---++此行列式为范德蒙德行列式. ∏≥>≥++++--+--=112)1(1)]1()1[()1(j i n n n n j a i a D∏≥>≥++---=112)1()]([)1(j i n n n j i∏≥>≥++⋅⋅⋅+-++-⋅-⋅-=1121)1(2)1()()1()1(j i n n n n n j i∏≥>≥+-=11)(j i n j i .(4)n nnnn d c d c b a b a D ⋅⋅⋅⋅⋅⋅⋅⋅⋅⋅⋅⋅=11112; 解nnnnn d c d c b a b a D ⋅⋅⋅⋅⋅⋅⋅⋅⋅⋅⋅⋅=11112(按第1行展开)nn n n n nd d c d c b a b a a 000 011111111----⋅⋅⋅⋅⋅⋅⋅⋅⋅⋅⋅⋅=0)1(1111111112c d c d c b a b a b nn n n n nn ----+⋅⋅⋅⋅⋅⋅⋅⋅⋅⋅⋅⋅-+.再按最后一行展开得递推公式D 2n =a n d n D 2n -2-b n c n D 2n -2, 即D 2n =(a n d n -b n c n )D 2n -2. 于是 ∏=-=ni i i i i n D c b d a D 222)(.而 111111112c b d a d c b a D -==, 所以 ∏=-=n i i i i i n c b d a D 12)(. (5) D =det(a ij ), 其中a ij =|i -j |; 解 a ij =|i -j |, 043214 01233 10122 21011 3210)det(⋅⋅⋅----⋅⋅⋅⋅⋅⋅⋅⋅⋅⋅⋅⋅⋅⋅⋅⋅⋅⋅-⋅⋅⋅-⋅⋅⋅-⋅⋅⋅-⋅⋅⋅==n n n n n n n n a D ij n4321 1 11111 11111 11111 1111 2132⋅⋅⋅----⋅⋅⋅⋅⋅⋅⋅⋅⋅⋅⋅⋅⋅⋅⋅⋅⋅⋅⋅⋅⋅----⋅⋅⋅---⋅⋅⋅--⋅⋅⋅--⋅⋅⋅-=====n n n n r r r r 15242321 0 22210 02210 00210 0001 1213-⋅⋅⋅----⋅⋅⋅⋅⋅⋅⋅⋅⋅⋅⋅⋅⋅⋅⋅⋅⋅⋅⋅⋅⋅----⋅⋅⋅---⋅⋅⋅--⋅⋅⋅-+⋅⋅⋅+=====n n n n n c c c c =(-1)n -1(n -1)2n -2.(6)nn a a a D +⋅⋅⋅⋅⋅⋅⋅⋅⋅⋅⋅⋅⋅⋅⋅⋅⋅⋅+⋅⋅⋅+=1 11 1 1111121, 其中a 1a 2 ⋅ ⋅ ⋅ a n≠0.解nn a a a D +⋅⋅⋅⋅⋅⋅⋅⋅⋅⋅⋅⋅⋅⋅⋅⋅⋅⋅+⋅⋅⋅+=1 11 1 111 1121 nn n n a a a a a a a a a c c c c +-⋅⋅⋅-⋅⋅⋅⋅⋅⋅⋅⋅⋅⋅⋅⋅⋅⋅⋅⋅⋅⋅⋅⋅⋅⋅⋅⋅⋅⋅⋅-⋅⋅⋅-⋅⋅⋅-⋅⋅⋅-=====--100001 000 100 0100 0100 001133221213211113121121110 00011 000 00 11000 01100 001 ------+-⋅⋅⋅-⋅⋅⋅⋅⋅⋅⋅⋅⋅⋅⋅⋅⋅⋅⋅⋅⋅⋅⋅⋅⋅⋅⋅⋅⋅⋅⋅-⋅⋅⋅-⋅⋅⋅⋅⋅⋅=n n n a a a a a a a a∑=------+⋅⋅⋅⋅⋅⋅⋅⋅⋅⋅⋅⋅⋅⋅⋅⋅⋅⋅⋅⋅⋅⋅⋅⋅⋅⋅⋅⋅⋅⋅⋅⋅⋅⋅⋅⋅⋅⋅⋅=n i i n n a a a a a a a a 1111131******** 000100 10000 01000 001)11)((121∑=+=ni i n a a a a .8. 用克莱姆法则解下列方程组: (1)⎪⎩⎪⎨⎧=+++-=----=+-+=+++01123253224254321432143214321x x x x x x x x x x x x x x x x ;解 因为 14211213513241211111-=----=D , 142112105132412211151-=------=D , 284112035122412111512-=-----=D ,426110135232422115113-=----=D , 14202132132212151114=-----=D , 所以 111==DD x , 222==D D x , 333==D D x , 144-==D Dx .(2)⎪⎪⎩⎪⎪⎨⎧=+=++=++=++=+150650650651655454343232121x x x x x x x x x x x x x .解 因为 665510006510006510065100065==D , 150751001651000651000650000611==D , 114551010651000650000601000152-==D , 70351100650000601000051001653==D , 395510601000051000651010654-==D , 2121105100065100651100655==D , 所以66515071=x , 66511452-=x , 6657033=x , 6653954-=x , 6652124=x .9. 问λ, μ取何值时, 齐次线性方程组⎪⎩⎪⎨⎧=++=++=++0200321321321x x x x x x x x x μμλ有非零解?解 系数行列式为μλμμμλ-==1211111D .令D =0, 得 μ=0或λ=1.于是, 当μ=0或λ=1时该齐次线性方程组有非零解.10. 问λ取何值时, 齐次线性方程组⎪⎩⎪⎨⎧=-++=+-+=+--0)1(0)3(2042)1(321321321x x x x x x x x x λλλ有非零解?解 系数行列式为λλλλλλλ--+--=----=101112431111132421D=(1-λ)3+(λ-3)-4(1-λ)-2(1-λ)(-3-λ) =(1-λ)3+2(1-λ)2+λ-3. 令D =0, 得λ=0, λ=2或λ=3.于是, 当λ=0, λ=2或λ=3时, 该齐次线性方程组有非零解.1. 已知线性变换:⎪⎩⎪⎨⎧++=++=++=3213321232113235322y y y x y y y x y y y x , 求从变量x 1, x 2, x 3到变量y 1, y 2, y 3的线性变换. 解 由已知:⎪⎪⎭⎫⎝⎛⎪⎪⎭⎫ ⎝⎛=⎪⎪⎭⎫ ⎝⎛221321323513122y y y x x x ,故 ⎪⎪⎭⎫ ⎝⎛⎪⎪⎭⎫ ⎝⎛=⎪⎪⎭⎫ ⎝⎛-3211221323513122x x x y y y ⎪⎪⎭⎫⎝⎛⎪⎪⎭⎫ ⎝⎛----=321423736947y y y ,⎪⎩⎪⎨⎧-+=-+=+--=321332123211423736947x x x y x x x y x x x y .2. 已知两个线性变换⎪⎩⎪⎨⎧++=++-=+=32133212311542322y y y x y y y x y y x ,⎪⎩⎪⎨⎧+-=+=+-=323312211323z z y z z y z z y , 求从z 1, z 2, z 3到x 1, x 2, x 3的线性变换.解 由已知⎪⎪⎭⎫ ⎝⎛⎪⎪⎭⎫ ⎝⎛-=⎪⎪⎭⎫ ⎝⎛221321514232102y y y x x x ⎪⎪⎭⎫⎝⎛⎪⎪⎭⎫ ⎝⎛--⎪⎪⎭⎫ ⎝⎛-=321310102013514232102z z z ⎪⎪⎭⎫ ⎝⎛⎪⎪⎭⎫ ⎝⎛----=321161109412316z z z ,所以有⎪⎩⎪⎨⎧+--=+-=++-=3213321232111610941236z z z x z z z x z z z x .3. 设⎪⎪⎭⎫ ⎝⎛--=111111111A , ⎪⎪⎭⎫⎝⎛--=150421321B , 求3AB -2A 及A T B .解 ⎪⎪⎭⎫⎝⎛---⎪⎪⎭⎫ ⎝⎛--⎪⎪⎭⎫ ⎝⎛--=-1111111112150421321111111111323A AB⎪⎪⎭⎫⎝⎛----=⎪⎪⎭⎫ ⎝⎛---⎪⎪⎭⎫ ⎝⎛-=2294201722213211111111120926508503,⎪⎪⎭⎫⎝⎛-=⎪⎪⎭⎫ ⎝⎛--⎪⎪⎭⎫ ⎝⎛--=092650850150421321111111111B A T .4. 计算下列乘积:(1)⎪⎪⎭⎫⎝⎛⎪⎪⎭⎫ ⎝⎛-127075321134;解 ⎪⎪⎭⎫ ⎝⎛⎪⎪⎭⎫ ⎝⎛-127075321134⎪⎪⎭⎫ ⎝⎛⨯+⨯+⨯⨯+⨯-+⨯⨯+⨯+⨯=102775132)2(71112374⎪⎪⎭⎫⎝⎛=49635.(2)⎪⎪⎭⎫⎝⎛123)321(;解 ⎪⎪⎭⎫⎝⎛123)321(=(1⨯3+2⨯2+3⨯1)=(10).(3))21(312-⎪⎪⎭⎫⎝⎛;解 )21(312-⎪⎪⎭⎫⎝⎛⎪⎪⎭⎫ ⎝⎛⨯-⨯⨯-⨯⨯-⨯=23)1(321)1(122)1(2⎪⎪⎭⎫⎝⎛---=632142. (4)⎪⎪⎪⎭⎫ ⎝⎛---⎪⎭⎫ ⎝⎛-20413121013143110412 ; 解 ⎪⎪⎪⎭⎫⎝⎛---⎪⎭⎫ ⎝⎛-20413121013143110412⎪⎭⎫ ⎝⎛---=6520876.(5)⎪⎪⎭⎫⎝⎛⎪⎪⎭⎫ ⎝⎛321332313232212131211321)(x x x a a a a a a a a a x x x ;解⎪⎪⎭⎫⎝⎛⎪⎪⎭⎫ ⎝⎛321332313232212131211321)(x x x a a a a a a a a a x x x=(a 11x 1+a 12x 2+a 13x 3 a 12x 1+a 22x 2+a 23x 3 a 13x 1+a 23x 2+a 33x 3)⎪⎪⎭⎫⎝⎛321x x x322331132112233322222111222x x a x x a x x a x a x a x a +++++=.5. 设⎪⎭⎫ ⎝⎛=3121A , ⎪⎭⎫ ⎝⎛=2101B , 问:(1)AB =BA 吗? 解 AB ≠BA .因为⎪⎭⎫ ⎝⎛=6443AB , ⎪⎭⎫ ⎝⎛=8321BA , 所以AB ≠BA .(2)(A +B )2=A 2+2AB +B 2吗? 解 (A +B )2≠A 2+2AB +B 2.因为⎪⎭⎫ ⎝⎛=+5222B A , ⎪⎭⎫ ⎝⎛⎪⎭⎫ ⎝⎛=+52225222)(2B A ⎪⎭⎫ ⎝⎛=2914148,但 ⎪⎭⎫ ⎝⎛+⎪⎭⎫ ⎝⎛+⎪⎭⎫ ⎝⎛=++43011288611483222B AB A ⎪⎭⎫ ⎝⎛=27151610,所以(A +B )2≠A 2+2AB +B 2. (3)(A +B )(A -B )=A 2-B 2吗? 解 (A +B )(A -B )≠A 2-B 2.因为⎪⎭⎫ ⎝⎛=+5222B A , ⎪⎭⎫ ⎝⎛=-1020B A ,⎪⎭⎫ ⎝⎛=⎪⎭⎫ ⎝⎛⎪⎭⎫ ⎝⎛=-+906010205222))((B A B A ,而 ⎪⎭⎫ ⎝⎛=⎪⎭⎫ ⎝⎛-⎪⎭⎫ ⎝⎛=-718243011148322B A ,故(A +B )(A -B )≠A 2-B 2.6. 举反列说明下列命题是错误的:(1)若A 2=0, 则A =0;解 取⎪⎭⎫ ⎝⎛=0010A , 则A 2=0, 但A ≠0. (2)若A 2=A , 则A =0或A =E ; 解 取⎪⎭⎫ ⎝⎛=0011A , 则A 2=A , 但A ≠0且A ≠E . (3)若AX =AY , 且A ≠0, 则X =Y .解 取 ⎪⎭⎫ ⎝⎛=0001A , ⎪⎭⎫ ⎝⎛-=1111X , ⎪⎭⎫ ⎝⎛=1011Y , 则AX =AY , 且A ≠0, 但X ≠Y .7. 设⎪⎭⎫ ⎝⎛=101λA , 求A 2, A 3, ⋅ ⋅ ⋅, A k . 解 ⎪⎭⎫ ⎝⎛=⎪⎭⎫ ⎝⎛⎪⎭⎫ ⎝⎛=12011011012λλλA , ⎪⎭⎫ ⎝⎛=⎪⎭⎫ ⎝⎛⎪⎭⎫ ⎝⎛==1301101120123λλλA A A , ⋅ ⋅ ⋅ ⋅ ⋅ ⋅,⎪⎭⎫ ⎝⎛=101λk A k . 8. 设⎪⎪⎭⎫ ⎝⎛=λλλ001001A , 求A k . 解 首先观察⎪⎪⎭⎫ ⎝⎛⎪⎪⎭⎫ ⎝⎛=λλλλλλ0010010010012A ⎪⎪⎭⎫ ⎝⎛=222002012λλλλλ, ⎪⎪⎭⎫ ⎝⎛=⋅=3232323003033λλλλλλA A A , ⎪⎪⎭⎫ ⎝⎛=⋅=43423434004064λλλλλλA A A , ⎪⎪⎭⎫ ⎝⎛=⋅=545345450050105λλλλλλA A A , ⋅ ⋅ ⋅ ⋅ ⋅ ⋅,⎝⎛=k A k k k k k k k k k k λλλλλλ0002)1(121----⎪⎪⎪⎭⎫ . 用数学归纳法证明:当k =2时, 显然成立.假设k 时成立,则k +1时,⎪⎪⎭⎫ ⎝⎛⎪⎪⎪⎪⎭⎫ ⎝⎛-=⋅=---+λλλλλλλλλ0010010002)1(1211k k k k k k k k k k k k A A A ⎪⎪⎪⎪⎭⎫ ⎝⎛+++=+-+--+11111100)1(02)1()1(k k k k k k k k k k λλλλλλ,由数学归纳法原理知:⎪⎪⎪⎪⎭⎫ ⎝⎛-=---k k k k k k k k k k k A λλλλλλ0002)1(121. 9. 设A , B 为n 阶矩阵,且A 为对称矩阵,证明B T AB 也是对称矩阵.证明 因为A T =A , 所以(B T AB )T =B T (B T A )T =B T A T B =B T AB ,从而B T AB 是对称矩阵.10. 设A , B 都是n 阶对称矩阵,证明AB 是对称矩阵的充分必要条件是AB =BA .证明 充分性: 因为A T =A , B T =B , 且AB =BA , 所以 (AB )T =(BA )T =A T B T =AB ,即AB 是对称矩阵.必要性: 因为A T =A , B T =B , 且(AB )T =AB , 所以AB =(AB )T =B T A T =BA .11. 求下列矩阵的逆矩阵:(1)⎪⎭⎫ ⎝⎛5221; 解 ⎪⎭⎫ ⎝⎛=5221A . |A |=1, 故A -1存在. 因为 ⎪⎭⎫ ⎝⎛--=⎪⎭⎫ ⎝⎛=1225*22122111A A A A A ,故 *||11A A A =-⎪⎭⎫ ⎝⎛--=1225. (2)⎪⎭⎫ ⎝⎛-θθθθcos sin sin cos ; 解 ⎪⎭⎫ ⎝⎛-=θθθθc o s s i n s i n c o s A . |A |=1≠0, 故A -1存在. 因为 ⎪⎭⎫ ⎝⎛-=⎪⎭⎫ ⎝⎛=θθθθcos sin sin cos *22122111A A A A A , 所以 *||11A A A =-⎪⎭⎫ ⎝⎛-=θθθθcos sin sin cos . (3)⎪⎪⎭⎫ ⎝⎛---145243121; 解 ⎪⎪⎭⎫ ⎝⎛---=145243121A . |A |=2≠0, 故A -1存在. 因为 ⎪⎪⎭⎫ ⎝⎛-----=⎪⎪⎭⎫ ⎝⎛=214321613024*332313322212312111A A A A A A A A A A , 所以 *||11A A A =-⎪⎪⎪⎭⎫ ⎝⎛-----=1716213213012. (4)⎪⎪⎪⎭⎫ ⎝⎛n a a a 0021(a 1a 2⋅ ⋅ ⋅a n ≠0) .解 ⎪⎪⎪⎭⎫ ⎝⎛=n a a a A 0021, 由对角矩阵的性质知 ⎪⎪⎪⎪⎪⎪⎭⎫ ⎝⎛=-n a a a A 10011211 . 12. 解下列矩阵方程:(1)⎪⎭⎫ ⎝⎛-=⎪⎭⎫ ⎝⎛12643152X ; 解 ⎪⎭⎫ ⎝⎛-⎪⎭⎫ ⎝⎛=-126431521X ⎪⎭⎫ ⎝⎛-⎪⎭⎫ ⎝⎛--=12642153⎪⎭⎫ ⎝⎛-=80232. (2)⎪⎭⎫ ⎝⎛-=⎪⎪⎭⎫ ⎝⎛--234311*********X ; 解 1111012112234311-⎪⎪⎭⎫ ⎝⎛--⎪⎭⎫ ⎝⎛-=X ⎪⎪⎭⎫ ⎝⎛---⎪⎭⎫ ⎝⎛-=03323210123431131 ⎪⎪⎭⎫ ⎝⎛---=32538122. (3)⎪⎭⎫ ⎝⎛-=⎪⎭⎫ ⎝⎛-⎪⎭⎫ ⎝⎛-101311022141X ;解 11110210132141--⎪⎭⎫ ⎝⎛-⎪⎭⎫ ⎝⎛-⎪⎭⎫ ⎝⎛-=X ⎪⎭⎫ ⎝⎛⎪⎭⎫ ⎝⎛-⎪⎭⎫ ⎝⎛-=210110131142121 ⎪⎭⎫ ⎝⎛⎪⎭⎫ ⎝⎛=21010366121⎪⎪⎭⎫ ⎝⎛=04111. (4)⎪⎪⎭⎫ ⎝⎛---=⎪⎪⎭⎫ ⎝⎛⎪⎪⎭⎫ ⎝⎛021102341010100001100001010X . 解 11010100001021102341100001010--⎪⎪⎭⎫ ⎝⎛⎪⎪⎭⎫ ⎝⎛---⎪⎪⎭⎫ ⎝⎛=X ⎪⎪⎭⎫ ⎝⎛⎪⎪⎭⎫ ⎝⎛---⎪⎪⎭⎫ ⎝⎛=010100001021102341100001010⎪⎪⎭⎫ ⎝⎛---=201431012. 13. 利用逆矩阵解下列线性方程组: (1)⎪⎩⎪⎨⎧=++=++=++3532522132321321321x x x x x x x x x ;解 方程组可表示为⎪⎪⎭⎫ ⎝⎛=⎪⎪⎭⎫ ⎝⎛⎪⎪⎭⎫ ⎝⎛321153522321321x x x , 故 ⎪⎪⎭⎫ ⎝⎛=⎪⎪⎭⎫ ⎝⎛⎪⎪⎭⎫ ⎝⎛=⎪⎪⎭⎫ ⎝⎛-0013211535223211321x x x ,从而有 ⎪⎩⎪⎨⎧===001321x x x .(2)⎪⎩⎪⎨⎧=-+=--=--05231322321321321x x x x x x x x x .解 方程组可表示为⎪⎪⎭⎫ ⎝⎛=⎪⎪⎭⎫ ⎝⎛⎪⎪⎭⎫ ⎝⎛-----012523312111321x x x , 故 ⎪⎪⎭⎫ ⎝⎛=⎪⎪⎭⎫ ⎝⎛⎪⎪⎭⎫ ⎝⎛-----=⎪⎪⎭⎫ ⎝⎛-3050125233121111321x x x , 故有 ⎪⎩⎪⎨⎧===305321x x x . 14. 设A k =O (k 为正整数), 证明(E -A )-1=E +A +A 2+⋅ ⋅ ⋅+A k -1. 证明 因为A k =O , 所以E -A k =E . 又因为E -A k =(E -A )(E +A +A 2+⋅ ⋅ ⋅+A k -1),所以 (E -A )(E +A +A 2+⋅ ⋅ ⋅+A k -1)=E ,由定理2推论知(E -A )可逆, 且(E -A )-1=E +A +A 2+⋅ ⋅ ⋅+A k -1.证明 一方面, 有E =(E -A )-1(E -A ).另一方面, 由A k =O , 有E =(E -A )+(A -A 2)+A 2-⋅ ⋅ ⋅-A k -1+(A k -1-A k )=(E +A +A 2+⋅ ⋅ ⋅+A k -1)(E -A ),故 (E -A )-1(E -A )=(E +A +A 2+⋅ ⋅ ⋅+A k -1)(E -A ),两端同时右乘(E -A )-1, 就有(E -A )-1(E -A )=E +A +A 2+⋅ ⋅ ⋅+A k -1.15. 设方阵A 满足A 2-A -2E =O , 证明A 及A +2E 都可逆, 并求A -1及(A +2E )-1.证明 由A 2-A -2E =O 得A 2-A =2E , 即A (A -E )=2E ,或 E E A A =-⋅)(21, 由定理2推论知A 可逆, 且)(211E A A -=-. 由A 2-A -2E =O 得A 2-A -6E =-4E , 即(A +2E )(A -3E )=-4E ,或 E A E E A =-⋅+)3(41)2( 由定理2推论知(A +2E )可逆, 且)3(41)2(1A E E A -=+-.证明 由A 2-A -2E =O 得A 2-A =2E , 两端同时取行列式得 |A 2-A |=2,即 |A ||A -E |=2,故 |A |≠0,所以A 可逆, 而A +2E =A 2, |A +2E |=|A 2|=|A |2≠0, 故A +2E 也可逆. 由 A 2-A -2E =O ⇒A (A -E )=2E⇒A -1A (A -E )=2A -1E ⇒)(211E A A -=-, 又由 A 2-A -2E =O ⇒(A +2E )A -3(A +2E )=-4E⇒ (A +2E )(A -3E )=-4 E ,所以 (A +2E )-1(A +2E )(A -3E )=-4(A +2 E )-1,)3(41)2(1A E E A -=+-. 16. 设A 为3阶矩阵, 21||=A , 求|(2A )-1-5A *|. 解 因为*||11A A A =-, 所以 |||521||*5)2(|111----=-A A A A A |2521|11---=A A =|-2A -1|=(-2)3|A -1|=-8|A |-1=-8⨯2=-16. 17. 设矩阵A 可逆, 证明其伴随阵A *也可逆, 且(A *)-1=(A -1)*.证明 由*||11A A A =-, 得A *=|A |A -1, 所以当A 可逆时, 有 |A *|=|A |n |A -1|=|A |n -1≠0,从而A *也可逆.因为A *=|A |A -1, 所以(A *)-1=|A |-1A . 又*)(||)*(||1111---==A A A A A , 所以(A *)-1=|A |-1A =|A |-1|A |(A -1)*=(A -1)*.18. 设n 阶矩阵A 的伴随矩阵为A *, 证明:(1)若|A |=0, 则|A *|=0;(2)|A *|=|A |n -1.证明(1)用反证法证明. 假设|A *|≠0, 则有A *(A *)-1=E , 由此得 A =A A *(A *)-1=|A |E (A *)-1=O ,所以A *=O , 这与|A *|≠0矛盾,故当|A |=0时, 有|A *|=0.(2)由于*||11A A A =-, 则AA *=|A |E , 取行列式得到 |A ||A *|=|A |n .若|A |≠0, 则|A *|=|A |n -1;若|A |=0, 由(1)知|A *|=0, 此时命题也成立.因此|A *|=|A |n -1.19. 设⎪⎪⎭⎫ ⎝⎛-=321011330A , AB =A +2B , 求B . 解 由AB =A +2E 可得(A -2E )B =A , 故⎪⎪⎭⎫ ⎝⎛-⎪⎪⎭⎫ ⎝⎛---=-=--321011330121011332)2(11A E A B ⎪⎪⎭⎫ ⎝⎛-=011321330. 20. 设⎪⎪⎭⎫ ⎝⎛=101020101A , 且AB +E =A 2+B , 求B .解 由AB +E =A 2+B 得 (A -E )B =A 2-E , 即 (A -E )B =(A -E )(A +E ).因为01001010100||≠-==-E A , 所以(A -E )可逆, 从而⎪⎪⎭⎫⎝⎛=+=201030102E A B .21. 设A =diag(1, -2, 1), A *BA =2BA -8E , 求B . 解 由A *BA =2BA -8E 得 (A *-2E )BA =-8E , B =-8(A *-2E )-1A -1 =-8[A (A *-2E )]-1 =-8(AA *-2A )-1 =-8(|A |E -2A )-1 =-8(-2E -2A )-1 =4(E +A )-1=4[diag(2, -1, 2)]-1)21 ,1 ,21(diag 4-==2diag(1, -2, 1).22. 已知矩阵A 的伴随阵⎪⎪⎪⎭⎫⎝⎛-=8030010100100001*A , 且ABA -1=BA -1+3E , 求B .解 由|A *|=|A |3=8, 得|A |=2. 由ABA -1=BA -1+3E 得 AB =B +3A ,B =3(A -E )-1A =3[A (E -A -1)]-1A 11*)2(6*)21(3---=-=A E A E⎪⎪⎪⎭⎫ ⎝⎛-=⎪⎪⎪⎭⎫⎝⎛--=-1030060600600006603001010010000161. 23. 设P -1AP =Λ, 其中⎪⎭⎫ ⎝⎛--=1141P , ⎪⎭⎫ ⎝⎛-=Λ2001, 求A 11. 解 由P -1AP =Λ, 得A =P ΛP -1, 所以A 11= A =P Λ11P -1.|P |=3, ⎪⎭⎫ ⎝⎛-=1141*P , ⎪⎭⎫ ⎝⎛--=-1141311P ,而 ⎪⎭⎫ ⎝⎛-=⎪⎭⎫ ⎝⎛-=Λ11111120 012001,故 ⎪⎪⎪⎭⎫⎝⎛--⎪⎭⎫ ⎝⎛-⎪⎭⎫ ⎝⎛--=31313431200111411111A ⎪⎭⎫ ⎝⎛--=68468327322731. 24. 设AP =P Λ, 其中⎪⎪⎭⎫⎝⎛--=111201111P , ⎪⎪⎭⎫ ⎝⎛-=Λ511,求ϕ(A )=A 8(5E -6A +A 2). 解 ϕ(Λ)=Λ8(5E -6Λ+Λ2)=diag(1,1,58)[diag(5,5,5)-diag(-6,6,30)+diag(1,1,25)]=diag(1,1,58)diag(12,0,0)=12diag(1,0,0). ϕ(A )=P ϕ(Λ)P -1*)(||1P P P Λ=ϕ⎪⎪⎭⎫ ⎝⎛------⎪⎪⎭⎫ ⎝⎛⎪⎪⎭⎫ ⎝⎛---=1213032220000000011112011112 ⎪⎪⎭⎫⎝⎛=1111111114.25. 设矩阵A 、B 及A +B 都可逆, 证明A -1+B -1也可逆, 并求其逆阵. 证明 因为A -1(A +B )B -1=B -1+A -1=A -1+B -1,而A -1(A +B )B -1是三个可逆矩阵的乘积, 所以A -1(A +B )B -1可逆, 即A -1+B -1可逆.(A -1+B -1)-1=[A -1(A +B )B -1]-1=B (A +B )-1A . 26. 计算⎪⎪⎪⎭⎫ ⎝⎛---⎪⎪⎪⎭⎫⎝⎛30003200121013013000120010100121. 解 设⎪⎭⎫ ⎝⎛=10211A , ⎪⎭⎫ ⎝⎛=30122A , ⎪⎭⎫ ⎝⎛-=12131B , ⎪⎭⎫ ⎝⎛--=30322B ,则 ⎪⎭⎫ ⎝⎛⎪⎭⎫ ⎝⎛2121B O B E A O E A ⎪⎭⎫⎝⎛+=222111B A O B B A A ,而 ⎪⎭⎫ ⎝⎛-=⎪⎭⎫ ⎝⎛--+⎪⎭⎫ ⎝⎛-⎪⎭⎫ ⎝⎛=+4225303212131021211B B A ,⎪⎭⎫ ⎝⎛--=⎪⎭⎫ ⎝⎛--⎪⎭⎫ ⎝⎛=90343032301222B A , 所以 ⎪⎭⎫ ⎝⎛⎪⎭⎫ ⎝⎛2121B O B E A O E A ⎪⎭⎫ ⎝⎛+=222111B A O B B A A ⎪⎪⎪⎭⎫⎝⎛---=9000340042102521, 即 ⎪⎪⎪⎭⎫ ⎝⎛---⎪⎪⎪⎭⎫⎝⎛30003200121013013000120010100121⎪⎪⎪⎭⎫ ⎝⎛---=9000340042102521. 27. 取⎪⎭⎫ ⎝⎛==-==1001D C B A , 验证|||||||| D C B A D C B A ≠.解 4100120021100101002000021010010110100101==--=--=D C B A , 而 01111|||||||| ==D C B A ,故 |||||||| D C B A D C B A ≠.28. 设⎪⎪⎪⎭⎫ ⎝⎛-=22023443O O A , 求|A 8|及A 4. 解 令⎪⎭⎫ ⎝⎛-=34431A , ⎪⎭⎫ ⎝⎛=22022A ,则 ⎪⎭⎫⎝⎛=21A O O A A ,故 8218⎪⎭⎫ ⎝⎛=A O O A A ⎪⎭⎫ ⎝⎛=8281A O O A ,1682818281810||||||||||===A A A A A . ⎪⎪⎪⎭⎫⎝⎛=⎪⎭⎫ ⎝⎛=464444241422025005O O A O O A A . 29. 设n 阶矩阵A 及s 阶矩阵B 都可逆, 求 (1)1-⎪⎭⎫ ⎝⎛O B A O ; 解 设⎪⎭⎫ ⎝⎛=⎪⎭⎫ ⎝⎛-43211C C C C O B A O , 则 ⎪⎭⎫ ⎝⎛O B A O ⎪⎭⎫ ⎝⎛4321C C C C ⎪⎭⎫ ⎝⎛=⎪⎭⎫ ⎝⎛=s n E O O E BC BC AC AC 2143. 由此得 ⎪⎩⎪⎨⎧====s n EBC O BC O AC E AC 2143⇒⎪⎩⎪⎨⎧====--121413B C OC O C A C ,所以 ⎪⎭⎫ ⎝⎛=⎪⎭⎫ ⎝⎛---O A B O O B A O 111. (2)1-⎪⎭⎫ ⎝⎛B C O A . 解 设⎪⎭⎫ ⎝⎛=⎪⎭⎫ ⎝⎛-43211D D D D B C O A , 则 ⎪⎭⎫ ⎝⎛=⎪⎭⎫ ⎝⎛++=⎪⎭⎫ ⎝⎛⎪⎭⎫ ⎝⎛s n E O O E BD CD BD CD AD AD D D D D B C O A 4231214321.由此得 ⎪⎩⎪⎨⎧=+=+==s nEBD CD O BD CD OAD E AD 423121⇒⎪⎩⎪⎨⎧=-===----14113211B D CA B D O D A D ,所以 ⎪⎭⎫ ⎝⎛-=⎪⎭⎫ ⎝⎛-----11111B CA B O A BC O A . 30. 求下列矩阵的逆阵: (1)⎪⎪⎪⎭⎫⎝⎛2500380000120025; 解 设⎪⎭⎫ ⎝⎛=1225A , ⎪⎭⎫ ⎝⎛=2538B , 则⎪⎭⎫ ⎝⎛--=⎪⎭⎫ ⎝⎛=--5221122511A , ⎪⎭⎫ ⎝⎛--=⎪⎭⎫ ⎝⎛=--8532253811B .于是 ⎪⎪⎪⎭⎫ ⎝⎛----=⎪⎭⎫ ⎝⎛=⎪⎭⎫ ⎝⎛=⎪⎪⎪⎭⎫⎝⎛----850032000052002125003800001200251111B A B A .(2)⎪⎪⎪⎭⎫⎝⎛4121031200210001. 解 设⎪⎭⎫ ⎝⎛=2101A , ⎪⎭⎫ ⎝⎛=4103B , ⎪⎭⎫ ⎝⎛=2112C , 则⎪⎭⎫ ⎝⎛-=⎪⎭⎫ ⎝⎛=⎪⎪⎪⎭⎫⎝⎛------1111114121031200210001B CA B O A BC O A⎪⎪⎪⎪⎪⎪⎭⎫⎝⎛-----=411212458103161210021210001.1. 把下列矩阵化为行最简形矩阵:(1)⎪⎪⎭⎫ ⎝⎛--340313021201; 解 ⎪⎪⎭⎫⎝⎛--340313021201(下一步: r 2+(-2)r 1, r 3+(-3)r 1. )~⎪⎪⎭⎫⎝⎛---020*********(下一步: r 2÷(-1), r 3÷(-2). )~⎪⎪⎭⎫⎝⎛--010*********(下一步: r 3-r 2. )~⎪⎪⎭⎫⎝⎛--300031001201(下一步: r 3÷3. )~⎪⎪⎭⎫⎝⎛--100031001201(下一步: r 2+3r 3. )~⎪⎪⎭⎫ ⎝⎛-100001001201(下一步: r 1+(-2)r 2, r 1+r 3. ) ~⎪⎪⎭⎫⎝⎛100001000001.(2)⎪⎪⎭⎫ ⎝⎛----174034301320; 解 ⎪⎪⎭⎫⎝⎛----174034301320(下一步: r 2⨯2+(-3)r 1, r 3+(-2)r 1. )~⎪⎪⎭⎫⎝⎛---310031001320(下一步: r 3+r 2, r 1+3r 2. )~⎪⎪⎭⎫ ⎝⎛0000310010020(下一步: r 1÷2. ) ~⎪⎪⎭⎫⎝⎛000031005010.(3)⎪⎪⎪⎭⎫⎝⎛---------12433023221453334311; 解 ⎪⎪⎪⎭⎫⎝⎛---------12433023221453334311(下一步: r 2-3r 1, r 3-2r 1, r 4-3r 1. )~⎪⎪⎪⎭⎫⎝⎛--------1010500663008840034311(下一步: r 2÷(-4), r 3÷(-3) , r 4÷(-5). )~⎪⎪⎪⎭⎫⎝⎛-----22100221002210034311(下一步: r 1-3r 2, r 3-r 2, r 4-r 2. )~⎪⎪⎪⎭⎫⎝⎛---00000000002210032011. (4)⎪⎪⎪⎭⎫⎝⎛------34732038234202173132.解 ⎪⎪⎪⎭⎫⎝⎛------34732038234202173132(下一步: r 1-2r 2, r 3-3r 2, r 4-2r 2. )~⎪⎪⎪⎭⎫ ⎝⎛-----1187701298804202111110(下一步: r 2+2r 1, r 3-8r 1, r 4-7r 1. )~⎪⎪⎪⎭⎫⎝⎛--41000410002020111110(下一步: r 1↔r 2, r 2⨯(-1), r 4-r 3. )~⎪⎪⎪⎭⎫⎝⎛----00000410001111020201(下一步: r 2+r 3. ) ~⎪⎪⎪⎭⎫ ⎝⎛--00000410003011020201.2. 设⎪⎪⎭⎫⎝⎛=⎪⎪⎭⎫ ⎝⎛⎪⎪⎭⎫ ⎝⎛987654321100010101100001010A , 求A .解 ⎪⎪⎭⎫⎝⎛100001010是初等矩阵E (1, 2), 其逆矩阵就是其本身.⎪⎪⎭⎫⎝⎛100010101是初等矩阵E (1, 2(1)), 其逆矩阵是E (1, 2(-1)) ⎪⎪⎭⎫⎝⎛-=100010101.⎪⎪⎭⎫⎝⎛-⎪⎪⎭⎫ ⎝⎛⎪⎪⎭⎫ ⎝⎛=100010101987654321100001010A⎪⎪⎭⎫ ⎝⎛=⎪⎪⎭⎫ ⎝⎛-⎪⎪⎭⎫ ⎝⎛=287221254100010101987321654.3. 试利用矩阵的初等变换, 求下列方阵的逆矩阵:(1)⎪⎪⎭⎫⎝⎛323513123; 解 ⎪⎪⎭⎫ ⎝⎛100010001323513123~⎪⎪⎭⎫ ⎝⎛---101011001200410123~⎪⎪⎭⎫ ⎝⎛----1012002110102/102/3023~⎪⎪⎭⎫⎝⎛----2/102/11002110102/922/7003~⎪⎪⎭⎫⎝⎛----2/102/11002110102/33/26/7001故逆矩阵为⎪⎪⎪⎪⎭⎫ ⎝⎛----21021211233267.(2)⎪⎪⎪⎭⎫⎝⎛-----1210232112201023.解 ⎪⎪⎪⎭⎫⎝⎛-----10000100001000011210232112201023~⎪⎪⎪⎭⎫ ⎝⎛----00100301100001001220594012102321~⎪⎪⎪⎭⎫ ⎝⎛--------20104301100001001200110012102321~⎪⎪⎪⎭⎫ ⎝⎛-------106124301100001001000110012102321 ~⎪⎪⎪⎭⎫⎝⎛----------10612631110`1022111000010000100021 ~⎪⎪⎪⎭⎫⎝⎛-------106126311101042111000010000100001故逆矩阵为⎪⎪⎪⎭⎫⎝⎛-------10612631110104211.4. (1)设⎪⎪⎭⎫ ⎝⎛--=113122214A , ⎪⎪⎭⎫⎝⎛--=132231B , 求X 使AX =B ;解 因为⎪⎪⎭⎫ ⎝⎛----=132231 113122214) ,(B A ⎪⎪⎭⎫⎝⎛--412315210 100010001 ~r ,所以 ⎪⎪⎭⎫⎝⎛--==-4123152101B A X .(2)设⎪⎪⎭⎫ ⎝⎛---=433312120A , ⎪⎭⎫ ⎝⎛-=132321B , 求X 使XA =B . 解 考虑A T X T =B T . 因为⎪⎪⎭⎫ ⎝⎛----=134313*********) ,(T T B A ⎪⎪⎭⎫⎝⎛---411007101042001 ~r ,所以 ⎪⎪⎭⎫⎝⎛---==-417142)(1T T T B A X ,从而 ⎪⎭⎫ ⎝⎛---==-4741121BA X .5. 设⎪⎪⎭⎫⎝⎛---=101110011A , AX =2X +A , 求X .解 原方程化为(A -2E )X =A . 因为⎪⎪⎭⎫⎝⎛---------=-101101110110011011) ,2(A E A⎪⎪⎭⎫⎝⎛---011100101010110001~,所以 ⎪⎪⎭⎫⎝⎛---=-=-011101110)2(1A E A X .6. 在秩是r 的矩阵中,有没有等于0的r -1阶子式? 有没有等于0的r 阶子式?解 在秩是r 的矩阵中, 可能存在等于0的r -1阶子式, 也可能存在等于0的r 阶子式.例如, ⎪⎪⎭⎫⎝⎛=010*********A , R (A )=3.0000是等于0的2阶子式, 010001000是等于0的3阶子式.7. 从矩阵A 中划去一行得到矩阵B , 问A , B 的秩的关系怎样? 解 R (A )≥R (B ).这是因为B 的非零子式必是A 的非零子式, 故A 的秩不会小于B 的秩.8. 求作一个秩是4的方阵, 它的两个行向量是(1, 0, 1, 0, 0), (1, -1, 0, 0, 0).解 用已知向量容易构成一个有4个非零行的5阶下三角矩阵:⎪⎪⎪⎪⎭⎫ ⎝⎛-0000001000001010001100001, 此矩阵的秩为4, 其第2行和第3行是已知向量.9. 求下列矩阵的秩, 并求一个最高阶非零子式:(1)⎪⎪⎭⎫⎝⎛---443112112013; 解 ⎪⎪⎭⎫⎝⎛---443112112013(下一步: r 1↔r 2. )~⎪⎪⎭⎫⎝⎛---443120131211(下一步: r 2-3r 1, r 3-r 1. )~⎪⎪⎭⎫ ⎝⎛----564056401211(下一步: r 3-r 2. ) ~⎪⎭⎫ ⎝⎛---000056401211, 矩阵的2秩为, 41113-=-是一个最高阶非零子式.(2)⎪⎪⎭⎫ ⎝⎛-------815073*********; 解 ⎪⎪⎭⎫⎝⎛-------815073*********(下一步: r 1-r 2, r 2-2r 1, r 3-7r 1. )~⎪⎭⎫ ⎝⎛------15273321059117014431(下一步: r 3-3r 2. ) ~⎪⎭⎫ ⎝⎛----0000059117014431, 矩阵的秩是2, 71223-=-是一个最高阶非零子式.(3)⎪⎪⎪⎭⎫⎝⎛---02301085235703273812. 解 ⎪⎪⎪⎭⎫⎝⎛---02301085235703273812(下一步: r 1-2r 4, r 2-2r 4, r 3-3r 4. )~⎪⎪⎪⎭⎫⎝⎛------023*********63071210(下一步: r 2+3r 1, r 3+2r 1. )~⎪⎪⎪⎭⎫⎝⎛-0230114000016000071210(下一步: r 2÷16r 4, r 3-16r 2. )~⎪⎪⎪⎭⎫⎝⎛-023010*********71210 ~⎪⎪⎪⎭⎫⎝⎛-00000100007121002301,矩阵的秩为3, 070023085570≠=-是一个最高阶非零子式.10. 设A 、B 都是m ⨯n 矩阵, 证明A ~B 的充分必要条件是R (A )=R (B ).证明 根据定理3, 必要性是成立的.充分性. 设R (A )=R (B ), 则A 与B 的标准形是相同的. 设A 与B 的标准形为D , 则有A ~D , D ~B .由等价关系的传递性, 有A ~B .11. 设⎪⎪⎭⎫⎝⎛----=32321321k k k A , 问k 为何值, 可使(1)R (A )=1; (2)R (A )=2;(3)R (A )=3.解 ⎪⎪⎭⎫ ⎝⎛----=32321321k k k A ⎪⎪⎭⎫ ⎝⎛+-----)2)(1(0011011 ~k k k k k r . (1)当k =1时, R (A )=1; (2)当k =-2且k ≠1时, R (A )=2; (3)当k ≠1且k ≠-2时, R (A )=3.12. 求解下列齐次线性方程组:(1)⎪⎩⎪⎨⎧=+++=-++=-++02220202432143214321x x x x x x x x x x x x ;解 对系数矩阵A 进行初等行变换, 有A =⎪⎪⎭⎫ ⎝⎛--212211121211~⎪⎪⎭⎫ ⎝⎛---3/410013100101,于是 ⎪⎪⎩⎪⎪⎨⎧==-==4443424134334x x x x x x x x ,故方程组的解为⎪⎪⎪⎪⎪⎭⎫ ⎝⎛-=⎪⎪⎪⎭⎫ ⎝⎛1343344321k x x x x (k 为任意常数).(2)⎪⎩⎪⎨⎧=-++=--+=-++05105036302432143214321x x x x x x x x x x x x ; 解 对系数矩阵A 进行初等行变换, 有A =⎪⎪⎭⎫ ⎝⎛----5110531631121~⎪⎪⎭⎫ ⎝⎛-000001001021,于是 ⎪⎩⎪⎨⎧===+-=4432242102x x x xx x x x ,故方程组的解为⎪⎪⎪⎭⎫ ⎝⎛+⎪⎪⎪⎭⎫ ⎝⎛-=⎪⎪⎪⎭⎫ ⎝⎛10010*********k k x x x x (k 1, k 2为任意常数).(3)⎪⎩⎪⎨⎧=-+-=+-+=-++=+-+07420634072305324321432143214321x x x x x x x x x x x x x x x x ;解 对系数矩阵A 进行初等行变换, 有 A =⎪⎪⎪⎭⎫⎝⎛-----7421631472135132~⎪⎪⎪⎭⎫ ⎝⎛1000010000100001,于是 ⎪⎩⎪⎨⎧====0004321x x x x ,故方程组的解为⎪⎩⎪⎨⎧====00004321x x x x .(4)⎪⎩⎪⎨⎧=++-=+-+=-+-=+-+03270161311402332075434321432143214321x x x x x x x x x x x x x x x x .解 对系数矩阵A 进行初等行变换, 有A =⎪⎪⎪⎭⎫⎝⎛-----3127161311423327543~⎪⎪⎪⎪⎪⎭⎫⎝⎛--000000001720171910171317301,于是 ⎪⎪⎩⎪⎪⎨⎧==-=-=4433432431172017191713173x x x x x x x xx x ,故方程组的解为⎪⎪⎪⎪⎪⎭⎫⎝⎛--+⎪⎪⎪⎪⎪⎭⎫ ⎝⎛=⎪⎪⎪⎭⎫ ⎝⎛1017201713011719173214321k k x x x x (k 1, k 2为任意常数).13. 求解下列非齐次线性方程组:(1)⎪⎩⎪⎨⎧=+=+-=-+83111021322421321321x x x x x x x x ; 解 对增广矩阵B 进行初等行变换, 有B =⎪⎪⎭⎫ ⎝⎛--80311102132124~⎪⎭⎫ ⎝⎛----600034111008331,于是R (A )=2, 而R (B )=3, 故方程组无解.。